物理化学第4章课后答案傅献彩_第五版
- 格式:pdf
- 大小:2.53 MB
- 文档页数:11
目 录第1章 气 体1.1 复习笔记1.2 课后习题详解1.3 名校考研真题详解第2章 热力学第一定律2.1 复习笔记2.2 课后习题详解2.3 名校考研真题详解第3章 热力学第二定律3.1 复习笔记3.2 课后习题详解3.3 名校考研真题详解第4章 多组分系统热力学及其在溶液中的应用4.1 复习笔记4.2 课后习题详解4.3 名校考研真题详解第5章 相平衡5.1 复习笔记5.2 课后习题详解5.3 名校考研真题详解第6章 化学平衡6.1 复习笔记6.2 课后习题详解6.3 名校考研真题详解第7章 统计热力学基础7.1 复习笔记7.2 课后习题详解7.3 名校考研真题详解第8章 电解质溶液8.1 复习笔记8.2 课后习题详解8.3 名校考研真题详解第9章 可逆电池的电动势及其应用9.1 复习笔记9.2 课后习题详解9.3 名校考研真题详解第10章 电解与极化作用10.1 复习笔记10.2 课后习题详解10.3 名校考研真题详解第11章 化学动力学基础(一)11.1 复习笔记11.2 课后习题详解11.3 名校考研真题详解第12章 化学动力学基础(二)12.1 复习笔记12.2 课后习题详解12.3 名校考研真题详解第13章 表面物理化学13.1 复习笔记13.2 课后习题详解13.3 名校考研真题详解第14章 胶体分散系统和大分子溶液14.1 复习笔记14.2 课后习题详解14.3 名校考研真题详解第1章 气 体1.1 复习笔记一、气体分子动理论1.理想气体理想气体:在任何压力、任何温度下都符合理想气体状态方程pV=nRT 的气体。
理想气体状态方程中,p为气体压力,单位是Pa;V为气体的体积,单位是m3;n为物质的量,单位是mol;T为热力学温度,单位是K;R是摩尔气体常数,。
2.气体分子动理论的基本公式(1)气体分子运动的微观模型①气体是大量分子的集合体;②气体分子不断地作无规则的运动,均匀分布在整个容器之中;③分子彼此的碰撞以及分子与器壁的碰撞是完全弹性的。
完整word版,物理化学傅献彩下册第五版课后习题答案
编辑整理:
尊敬的读者朋友们:
这里是精品文档编辑中心,本文档内容是由我和我的同事精心编辑整理后发布的,发布之前我们对文中内容进行仔细校对,但是难免会有疏漏的地方,但是任然希望(完整word版,物理化学傅献彩下册第五版课后习题答案)的内容能够给您的工作和学习带来便利。
同时也真诚的希望收到您的建议和反馈,这将是我们进步的源泉,前进的动力。
本文可编辑可修改,如果觉得对您有帮助请收藏以便随时查阅,最后祝您生活愉快业绩进步,以下为完整word版,物理化学傅献彩下册第五版课后习题答案的全部内容。
物理化学傅献彩下册第五版课后习题答案第九章可逆电池的电动势及其应用。
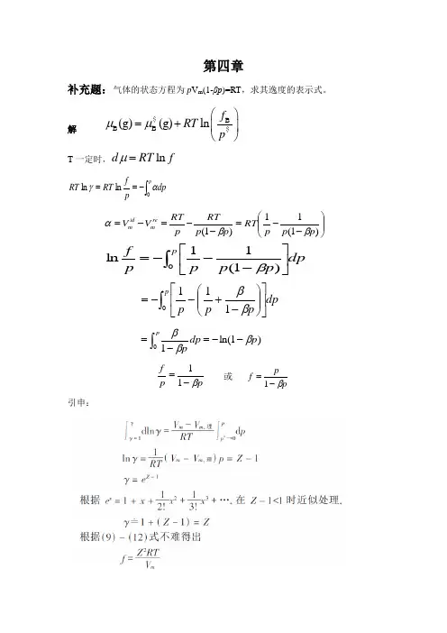
第四章补充题:气体的状态方程为p V m (1-βp )=RT ,求其逸度的表示式。
解 B B B (g)(g)ln f RT p μμ⎛⎫=+ ⎪⎝⎭$$ T 一定时,ln d RT f μ=⎰-==p dp pf RT RT 0ln ln αγ ⎪⎪⎭⎫ ⎝⎛--=--=-=)1(11)1(p p p RT p p RT p RT V V re mid m ββα dp p p pp f p ⎰⎥⎦⎤⎢⎣⎡---=0)1(11ln β dp p p p p ⎰⎥⎦⎤⎢⎣⎡⎪⎪⎭⎫ ⎝⎛-+--=0111ββ )1l n (10p dp pp βββ--=-=⎰ p p f β-=11 或 pp f β-=1 引申:对于范德华气体则有1、在298K 时,有0.10kg 质量分数为0.0947的硫酸H 2SO 4水溶液,试分别用(1)质量摩尔浓度m B ;(2)物质的量浓度c B 和(3)摩尔分数x B 来表示硫酸的含量。
已知在该条件下,硫酸溶液的密度为1.0603×103kg .m -3,纯水的密度为997.1kg .m -3。
解:m (B)= w B × = 0.0947×0.10kg =0.00947kg=9.47gn B = m (B)/M B =9.47/98.079=0.09655molm (A)= - m (B)= 0.10×(1-0.0947)=0.09153kg=91.53g n A = m (A)/M A =91.53/18.015=5.080766mol(1) m B =n B /m (A)= 0.09655/0.09153=1.055mol.kg -1(2) V 溶液= /ρ=0.10/(1.0603×103)=0.0943×10-3 m 3=0.0943dm 3 c B =n B /V=0.09655/0.0943=1.024mol.L -1(3) x B = n B / =0.09655/(0.09655+5.08076)=0.01864∑AA m ∑AA m ∑AA m ∑AA n2、在298K和大气压力下,含甲醇(B)的摩尔分数x B为0.458的水溶液的密度为0.8946kg.dm-3,甲醇的偏摩尔体积V B=39.80cm3.mol-1,试求该水溶液中水的偏摩尔体积V A。
热 力 学 第L 如果-个系统从环境吸收了如J 的热,而系统的热力学能却增加r 200 n 问系统从环境得到r 妾少 功?如果该系统<t 膨脈过程对环境作了 10 KJ 的功•同时收了 2« KJ 的热*求系统的热力学施变化值. 解;根据∆U=Q^W 热力学第一定律.可知W r -=∆Lf -Q (系统从环境吸热,QAo)= (200-40)J = 16OJΔΠ=Q÷W (系筑对环境做功MVtD= (28-10)kJ≡18kJ,2, 冇10 πκl 的气体(设为理想气休)■压力为Kx)O kP 酣温度为300 K •分别求出等温时下列过程的功' O )在空气压力为IoOkP 日时.体积胀大I dm½(2) 在空气压力为100 kPa 时•膨胀到气体压力也是IOO kPa ;(3) 等温可逆膨胀至气体的压力为IOo kPa.解:(D 外压始终维持恒定'系统对环境做功W-=-A∆V1(X)XlO J PaXlX 10^3m 3= — 100」*一 E 牛由沖«*>--IOmoixa. 314 J * mol~, ∙ K-I X300KXln IOmOl,300 K IOOokl⅛.V 1 IOmOL 300 KIOOkPa ⅛V;S 2-6^-PΛV 1~VOTIRTI \4 )=-1OnlO1XB, 314 * J ∙ TnOr I ∙ K^l ×30°KX 100^(i⅛-ιδ⅛)=-^ 25XIQ 4J*&尊温可≡K --f : MV一 PE nRT 2 = ~nRT In= -5. 74XIO 4 J. ■3. 1 mcl 单原子理想气体,Cv"∙∣R.始态⑴的温度为273 K,体积为22.4 dπ?,经历如下三步•又叵 到始态•请计算每个状杰的压力、Q ・W 和2.(1) 等容可逆升温由始态(1〉到546K 的状态(2卄(2) 等温(546K)可逆膨胀由状态(2)到44. 8 dm j 的状杰(3卄(3) 经等压过程由状态(3)回到始态(1).解,(1)尊容可逆升温过程如图2-7. 546k,lmol. 44.8×10⅛5图2-7W-~A∆V=0∆L∕=Q÷W≡=Q = J : nCv.m <lT=lmol×-∣-×& 314 ・ J ・ mol"・ KTX(546-273)K=34O4. 58J.(2)等温可逆膨胀过程∆U=0 W≈-∏RT In^ = -ITnol×& 314 J ・ mol^, ∙ K~, Xln ∣∣r ∣×546K=-3146. 50JQ=-W=3146∙ 50J∙ (3〉等压过程W = -P t ∙ ∆V=-vΓ(VI_v :)1I∏212⅛J14 J_LmQLL∙ K J ×273K χc22 4_44 S)X 10-3rn J = 2269. 72J nC fi .m dT ="(∙∣∙R+R)X(273 K -546 K)∆LΓ=Q*W= (-5674. 31+2269. 72)J = -3404. 59J.4. 在29】K 和IOO kPa 下・1 mol Zn(S)溶于足就稀盐酸中•置换出1 mol H, (g).并放热152 kJ.若以Zn和盐酸为系统,求该反应所做的功及系统热力学能的变化. 解:Zn(S)+2HCl —ZnCl 2 ÷ H 2 (g)22∙4X10fQ= -y×8∙314J ∙ moΓ, XK*1 X(-273)KXlmol≡-5674. 31J 5461ςlmol,22,4×10W [T]在291 K-IOOkPa的条件下发生以上反应•产生Hz(g)W=-P r(V J-V I )== — />, =_ p. τ^~ = -nRT(.p,≈ p= IOOkl,a)≡ - Imol X & 3)4 J ∙ moΓ,•KTX291 K=-2419. 37J该反应为放热反应>Q<0.Q=-152X103J∆σ=Q÷W=-(152× IO3+2439. 37)J = -154∙ 42X103J∙5在298 K时,有2 mol N2(g),始态体积为15 dm3.保持温度不变•经下列三个过程膨胀到终态体积为50 dn?,计算各过程的∆U f^H t W和Q的值.设气体为理想气体.(1)自由膨胀;(2)反抗恒定外压100 kPa膨胀;(3)可逆膨胀.解:(1)自由膨胀过程为尊熔过程AH=O由于A=O W=-P.V=O同理∙∆H=Δl7+∆(pV)可推出∆LΓ=O又根据∆U=Q÷W可知Q=O.(2)反抗恒定外压膨胀W=-P e(V2-V l) =-100×103 Pa(50-15) × 10^8m3 = -3500J因为理想气体的U和H都只是温度的函数•等温下∆U=0.∆H-0,Q- W=35OOJ.(3)等温可逆膨胀W =-∫pdV = 一HRT In 普=一2τnol X & 314 J ・moΓ1・ K-I X 298 KXIn 誇=-5965. 86 J2=Q÷W,等温过程∆L∕=O.∆H=OQ=-W=5965. 86 J.6•在水的正常沸点(373. 15 K,101. 325 kPa),有1 mol H2CXD变为同温、同压的H l O(g),已知水的摩尔汽化焙变值为‰=40. 69 kJ・TnOrLiS计算该变化的Q∆U,∆H的值各为多少.解:相变在373.15K,101. 325kPa等温等压下进行,AH=QQ= H. =40. 69kJ ∙ moΓ1×lmol≡=40. 69kJW--^(V g-V r)--TtPT--ImoIX& 314J ∙ mol 订∙ Kβl×373K≡-3. IkJ ∆U=Q÷W=(40. 69-3.1)kg=37. 59kJ.7.理想气体等温可逆膨胀,体积从匕膨胀大到】0匕,对外作f 41.85 kJ的功,系统的起始压力为202.65 kPa⑴求始态体积VZ(2)若气体的Ift为2 mol.试求系统的温度.解,1)等温可逆过程W≈-nRT In^V r)理想气体状态方程pV=nRT两式联合求解PVI =InV =0. 089m ∖202. 65×103Pa41.85×1O 3J Vl=曲(2)同理根据笥温可逆过程中W=-nRTIn存W 41.85 × IO3J "iz可得T= ------------V- ------------------------------------------- :一i∩v;-1°93∙ 05K.nR In 护2mol× & 314 J ∙ mol 1∙ K In&在100 kPa及423 K时閑1 mol NH j(g)等温压缩到体积等于10 dm3,求最少需做多少功?(1)假定是理想气体,(2)假定符合Van der WaHIS 方程式.已知Van der WaaIS 常数α = 0∙ 417 Pa ∙ m4∙ moL"=3∙ 71X 10"5m3∙ moΓ6.解:(1)假定为理想气体,那么气体在等温可逆压缩中做功最小W≈-nRT In 务= -ltnoI×& 314 J ・moΓ,∙ K-l×4Z3 KXIn 35 χ lo⅞'=MQ5, ?4J可根据理想气体状态方程V严警=—X8,314wop√κ—23 K =s35X Io-Jm3 代入上式方可求解.(2)假定符合Van der WaalS方程•方程整理后•可得(6÷T)÷V-7-⅞≡0代入数据Vi-3. 472×10∙t Vl÷4.17× IO-6V flt-L 547×lO',o=O解三次方程后得V m=35×10-3m3= 疑三篇一曲(炳一吉)=0. 417Pa ・m∙ ∙ moΓ> ×12× (5⅛厂5⅛?)4385. 21J.9.巳知在373 K和100 kPa压力时,1 kg H2O(I)的体枳为1. 043 dm∖ 1 kg H20(g)的体积为1677dm3,H2O(I)的摩尔汽化熔变值JpH fn=MO. 69 kJ・moΓ1.当1 mol HQ(I)在373 K和外压为】00 kPa时完全蒸发成H2O(g).试求:(1)蒸发过程中系统对环境所做的功;(2)假定液态水的体积可忽略不计,试求蒸发过程中系统对环境所做的功•并计算所得结果的相对谋3假定把蒸汽看作理想气体,且略去液态水的体积,求系统所做的功;解:<1)«发过程中系统对环境做功W=-A(V<-½)= -100×10,Pa×(1677×10-,-1.043×10"s)m s・⅛~,×(18.0×10^3)kg=-3016. 72J.5解释何故蒸发的熔变大于系统所作的功.6 求(1)中变化的^U a和(2) 假设水的体枳可忽略∙W!J ½=0W=-P •匕= -100X103P8X1677XKΓ'kgT ∙ ∏? X18XlO -'kg=-3O18∙ 6OJ (二眇鹫盍嚮 72)J X ]00% =0 062%.(3) 把水蒸气看作理想气体•则可使用理想弐体状态方程PV=HRT且忽略液态水的体积,则V Z =OW≈-p^V g ≈-nRT= -lmol×8.314J ∙ moΓ, ∙ R -,×373 K= 一3101. 12J.(4) Q ,ιa = ∆r MI Hm = 40. 69kJ ∙ πx>Γ1A ” _Q-J rW 40. 69kJ ・ moL XlmolX103 + (-3016. 72)J 4U in - ---------------- T=S J ------------------------- = 37. 67 X IO 3J ・ moΓl .(5)仝蕉发过程中•用于系统对环境做膨胀功的部分很少•吸收的夬部分热量用于提岛系统的热力学10. 1 mol 单原子理想气体,从始态:273 K.200 kPa,到终态323 K,100 kAu 通过两个途径:(1〉先等压加热至323 K,再尊温可逆膨胀至IOO kPa,(2)先等温可逆膨胀至IOO kPa,再等压加热至323 K.请分别计算两个途径的Q∙W,2和AH,试比校两种结果有何不同•说明为什么.解:⑴因为单原子理想气体Gj=∙∣R,C,rn =今R 过程如图2—&①等压升温W I =_P ,(S_S=_P (呼^_呼^)= -M ∕?(^-T I ) = -ImOlX8. 314 J ∙ moΓl ∙ KrX (323—273)K= — 415∙ 7JHC Arni dT=Imol×γ×8. 314 J ∙ moΓl ∙ K l (323-273)K=1039. 257 心=J : MCv,m dT=ImolXyX8.314 J ・ moL ・ KTM623.55J.②等温可逆总=-叔Tl 唸= -hnolX8. 314 J ・ moL ・ KU 323 KXln 需= -1861∙ 39 J∆LΛ ≡O∙∆Hf =Of Q 2 =-W 2 = 1861. 39JW = W 】+WZ =-2277∙ 09JQ=Ql 卜Q=29OO∙ 64J ∆U=∆IΛ+∆IΛ = 623∙ 55J ∆H=∆Wι +∆H 2 = 1039. 25J.Wz≈~nRT InImOl323 KIOOkPa①等温可逆Vy I =^Tln⅛ = →T Ing≡-lmol×& 314 J ∙ moΓ, ∙ KTX273KXln 需=一 1573∙ 25J∆Uι ==0∙∆Hι =0Q=-Wl= 1573∙ 25J.②等压升温VV 2 = -A (½-V 1) =-n ^(T 2-T 1 J--ImolX& 314 J ∙ mcΓ, ∙ K "】(323—273)K≡= — 415∙ 7J△H2=Q" = J ;: nC pt .dT=1 TnOlX 孑X8.314 J ∙ moΓ1 ∙ KTX(323—273)K=IO39∙ 25J∆U t ≈ P rtC v .m dT=l mo ∣X⅜×& 314 J ∙ moΓl ∙ K^,=623. 55J 儿 2W=W l ÷W 2 = -198& 95J Q=Q+Q = 2612∙ 5J∆U=∆LΓ1 +∆IΛ =623. 55J∆H≡∆Hι ÷∆H 2 = 1039. 25J.比较两种结杲・2和'H 值相同•而Q 和W 值不同.说明Q 和W 不是状态函数•它们的数值与所经 过的途径和过程有关.而2和3H.是状态函数,无论经过何种途径•只要最终状态相同.2和∆H 的数 值必相等.11.273 K,压力为5×10s Pa^.N 2(g)的体积为2.0 dπ?.在外压为IOO kPa 压力下等温膨胀•宜到M (g >的压力也等于IOO kPa 为止.求过程中的Vy,∆M,∆H 和Q 假定气体是理想气体•解:该过程为恒定外压等温膨胀∆U=0∙∆H=0W=-PAVZ-VX y )Q=-W=800J.12.0.02 kg 乙醇在其沸点时蒸发为气体.巳知蒸发热为85E kJ ・kg",蒸气的比容为0. 607 m j ・ 治一'.试求过程的∆U,AH∙W 和Q(计算时略去液体的体积).H IGHSOH(I)I [p],[τ] ∣C 2H 5OH(g)p 、Tb图 2-10P∙Tb 图2-9(理想气体状态方稈PV=HRT)此蒸发过程为等温等压可逆过程∆H=Q Λ≡O. 02kgX858kJ ∙ kg -l =17.16kJ=-p f v g (忽略液体的体积)=-IOOX IO 3PaXO. 02kgX0. 607 m 3 ∙ kgT = -1214JMJ=Q+W= 17. 16×103 + (-1214J) = 15946J∙13. 373 K∙压力为100kI⅛时,LOgH 2O(I)经下列不同的过程变为373 KJOokPa 的出0@〉•请分别 求出各个过程的∆LΓ.∆H,W 和Q 值.⑴在373 KJoO kPa 压力下H 2O(I)变成同温、同压的汽;(2) 先在373 K ・外压为50 kPa 下变为汽,然后加压成373 KJOO kPa 的汽$(3) 把这个H 2O(I)突煞放进恒温373 K 的真空箱中•控制容积使终态压力为100 kPa 的汽.已知水的 N 化热为 ZZ59 kJ ∙ kg l .解:(1)水住同温同压的条件下蒸发∆H≈Q, = l×10-1kg×2259kJ ∙ kg 1=2∙26kjW≈-pV β (忽略液体体积)= _nRT∆U=Q+W=2∙ 26 × IO 3 J+(~ 172J) ≡2088J.图 2-11 [p] AHl=Q 、= 1 × IoTX 2259kJ ∙ k f Γl =2. 26kJWl = -PY l = -WRT= -172J∆Uι =Ql ÷W ∣ =2088J[C AU 2 = 01 ∆H 2 ≡0. W*≡ ~ n RT In^ = - nRT In y ∖PI 一⅛⅛¾X3∙314 J ・ mol- ∙ KT X373 KXln 鑰= 119J、 Q=-W2 = -119JW≈W l ^W z ~-53JQ=Q+Q=214U∆U=NΛ+∆IΛ=2088J∆H=∆H 3 ÷∆H: =2. 26X ]03J.(3) 在真空箱中"∙=0∙故W=O由∆U.∆H 为状态函数•即只奥最终状态相同,则数值相等 ∆H=2. 26×103J∙ W=Q+W=Q= 2088J.14. 1 mol 单原子理想气体•始态为200 kPa. 11. 2 dn?,经PT=储数的可逆过程(即过程中PT=誉數)■ 压缩到终杰为400 kPa.已知气;体的CV tm = -IR 试求 l∙0X107⅛g 18×10β,kg∙ moΓlX&314 J ∙ moΓx ∙ K -I X373KH-172J (2)373K∙ H 2CXD [/>] 50kPa 373K> H 2CXg) CTJ 50kPa373K>H 2O(g) IOOkPa(1) 终态的体积和温度;(2) ∆L r 和 M(3)所做的功•解:(1)根据PT ■常数,则PITI-P I T2丁 =ATl __________________ _________ _____ ______________2 PZ PZ 400ICPaF =航乃_ ImolX& 314 J ・ moL ・ KTXl34.7K gχ 10-3m3PZ Zd • •⑵单原子理想气体CV.,m =J-R2=J ; nCv,m dT=nC v ,m (.T z -T l ) = ImolXyX& 314J ・ mol~,・ KTX(134. 7—269. 4)K=-1679. 84J △H = r nC^dT=nC,.m (T 2-Tχ>JT I= ImoIX--X& 314 J ∙∙tnoΓ, ∙ KTX(134. 7—269. 4)K=-2799∙ 74J.⑶由/「D 丁两式可推出V=曙∖pV^nRT eW=PdVM-J ; £ ・?^XdT=-2nR(7⅛-T 1)= -2×lmol×& 314 J ∙ TnOr l ∙ KTX(134.7—269・ 4>K=2239∙ 79J.15. 设有压力为IOO kPa 、温度为293 K 的理想气体3.0 Bm 3 ,在尊压下加热,直到最后的温度为353 K 为止•计算过程中W.3l7.∆H 和Q.已知该气体的等压摩尔热容为:Q lnI = (27. 28÷3. 26×10^3T∕K)J ・ K~1 ∙ πκ>Γ,.解:该过程为等压升温过程△H=Qp — J ; n C,.m ATC,ιn =(27. 28+3. 26X10-J T)J ・ KT ・ moΓ,∆H =∏Γ27. 28(T 2-T 1)+y×3. 26×10^,(7l-71)]=0.123×[27. 28X(353—293>+* X3. 26X10^X(3532—293J]=209. IJIOO XlO 净X 3 X10Tm3 _8?314 j~∙ τnoΓ1 ∙ K*1 ×^93K理想气体等压过程普=书 ,3X¾^353K =3 6χ 10-3m3(½-V 1 ) = -100× 10, Pa× (3.6-3) X 10-1m 3≡-6DjQ=Q+W=209∙ 1J -6OJ=149∙ 1J∙16. 在1200 KaOO kPa 压力下,有1 mol CaCO (S)完全分解为CaO(S)和CO 2(g),吸热180 kJ.计算过 程的W,∆L ∖∆H 和Q 设气体为理想气体.AV l "c 1 c 2θOX103Pa×11.2×10-3m 3 匕 ⅛ 2°OkP a 石拠314 J=TnO 产T0 = ^. IK400X10讥 RT l =0.】23mol解:CaCO3(S)-^-Cao(S)+CO2(g)⅛化学方程式可知ImOl OCO J(S)分解可生成ImOI CQ(g),计算过程中忽略CaCOa (s)> CaCXs)的体积.w≈ -P f V g≡ -HKT=≡ -ImolX& 314 J ∙ moΓl∙ K*1×12∞K=-9976. 8JQ=180×103J=∆H∆L∕≡Q÷H r=180× IO j J÷(-9976. 8)J≡170×103kJ・17 •证明:(霁),=—〃(霁)「并证明对于理想气体有(黑)广0・(勞)广0・证W:(l)已知H"¾7+z>U •U=H-PV(紮广(霁)厂(锡辽理想气体CP仅是温度函数C产(黑)*故(畀)广G-P(霁)严立.(2)dH-(IH)Vdτ+(IH)Td V理想气体等温过程∆H=O,∆T=O,故dH=O,d:T= O故(霍)∕V=0 等温彩胀或等温压缩∙dVHO所以(黑)广O 成立.⑶ Λ7=(S)V dr÷(^)Λ理想G体等温过程∆LΓ=O,∆T=O,同理ΛJ=O,dT=O由(2)可知dV≠O所以(需)广O成立.由于S(霁)v故,(寫)T=S陽(畀)J = [齐(影)订严他证明:(需),=C,(黑)厂〃—歌[(制厂町证明:(1)U=U(P t V)H⅛J÷∕>V dH=ΛJ÷pdV÷Vdp =(韵严+ (黑)严+ pdV-hVdp 等圧过程dH=(5V)/V+pdV两边同除以dT (霁)广(軌(歌+P(歌提取相同的(霁),収因为C严(霁力所以Cr執[(韵,+打所叫執“-/>(執成立•⑵ H=H[75 dH-(W)∕τ÷(lj)Λ同上题,可知dH=dU÷∕xlv÷VdΛ=dU÷VdZ>(等体积过程)联立等式•两边同除以Crr又由于C 严(黑), CV=(^)V 代人上式,整理后得—3 = -(霁)』(制广可故・证明完毕・19.在标准压力下•把一个极小的冰块投人0.1 kg.268 K 的水中•结栗使系统的温度变为273 K,并有 一定数槓的水凝结成冰•由于过稈进行得很快•可以看作是绝热的•已知冰的溶解热为333. 5 kJ ・kg-> •在 268〜273 K 之间水的比热为4. 21 kJ ・K"・kg^Λ(1) 写出系统物杰的变化•并求出∆H, (2) 求析出冰的质fit.解:(1)在p∙的条件下•此过程为绝热尊压过程故AH=Qp=O. ⑵设析出冰为∙rkg∙那么水为(0∙ l -χ)kg t 如图2-12.268 kQN kg HI O(D图 2-12∆H=∆H ∣ +∆H2 + ∆H3同种物质同温同压下变化AHs ・0・故∆H -∆H ∣ +∆H: ∆Hι +∆W2i =0O. IkgX<2IkJ ∙ K -I ∙ kg ∙,×(273-268)K+(-333.5kJ ∙ kg*1)Xkg=O x=6. 31kg.20.1 mol N 2(g)∙在298 K 和IookPa 压力下•经可逆绝热过程压缩到5 dm 3.试计算(设气体为理想气 (DN√g )的遇后温度, (2) N 2(g )的最后压力; (3) 需做多少功・C解:(1)Imol N 2为双原子分子7=沙= W- = I.42KImOl 气体为理想气体•符合理想气体状态方程 V_迟石 JmoIM& 314 J ∙ mo ∣τ ∙ KTX298 心“心心 VL 例- IOoXlO 3Pa-0.02448m理想气体绝热可逆过程中的过程方民式:TV-I =^数 T I v I L ^I = T 2v 2,4*1298K×<0. 02448)(M = Tl (0. 005)°∙4 Γ2=b62. SK. (2) 同理=X k« H J o(J) [ (0.1∙x)kg H I o(O 273K I 273 K0.1kg H j 0(∕)273IOOxIo j Pa×<O. 02448)1∙4= ∕>2×(0. 005)I∙4∕⅛=924×103kPa.(3)理想气体绝热可逆过程中的功:W "仇S-PlV F]LI■= nCv.m(T2-T)) = ImolXy X& 314 J ・ moL ・ K^1 X(562. 5-298)K=5497. 63J.21.理想气体经可逆多方过程膨胀•过程方程式为PV =C•式中C,”沟为常数.n>l.⑴若/J=2,l mol气体从W膨胀大到匕•温度由T, ≡573 K到T2≈m K •求过稈的功W:(2〉如果气体的Cv.w = 20.9 J・C・moΓ,•求过程的Qz和∆H.解:(】)过程方程式PS=Cm=2∙p=磊W=-[: NV=―匸:翁dV=C(舟一#)=野一響=0S-PX=HR耳一“R蘇=HR(T-T I) = ImoIx & 314 J∙ πκ)Γl∙ K'1 (473~573)K=-831. 4J(2)∆U^ F » C^dT= n Cv.m(T2 ~T3) == 1 molX20. 9J ∙ KT∙(473—573)K=-2090jJ T lC"=G∙u n+R=(20∙9+& 314)J ∙ TnoIτ ∙ Kβl=29.21J ∙ moΓ1∙ K l△H= f 2n C p.f∏dT=n CP^ (T2— Ti)J T I= ImOlX29.21 J ・ moL ・ KTX(473-573)K=-2921J∆U=Q+W(热力学第一定律)Q=∆U-W≡=-2090j-(-83L 4j)≡=-125& 6J.22.在298 K时•冇一定量的单原子理想气体(CV.m = 1.5/?),从始态2000 kPa及20 dm3经下列不同过程,膨胀到终态压力为100 kFa・求各过程的M∕,AH,Q及附. |(1)等温可逆膨胀;(2)绝热可逆膨胀;(3〉以5= I. 3的多方过程可逆膨胀•试在P-V图上画出三种膨胀功的示意图•并比较三种功的大小.解:单原子理想气体・3=号R∙C,m=号R,Z=詮=号I图2—13F a相U圧分大卡砂,_內匕_ 2000X103P8X20X107∏?_, 1, I理想气体状心方程n- RTI-8. 314 J ・moΓl∙ K1X298K~"∙ 14m°1(L)等温可逆膨胀∆U=0,∆H=0W≈-nRT∖n^≈-tιRT In^ (理想气体状态方Spι⅛=p2V2) P2= -16. 14mol×& 314 J ・ mol~,・ K^1×298K -119. 79kJ2=Q+W r=O Q=-W==I19. 79kJ.(2)绝热可逆膨胀Q=O理想气体绝热可逆过程方程式Pi-j TV = P2-TVp1<H>τJ=p1<ι-4>τ3(2000)∙i (298T =(IoO)一专T2IΓ2=89.91K理气绝热过程中W ≡nCv.m<T2-Tι)= 16∙ 14 molXyX8.314 J ∙ moΓ,∙ K*,(89. 91-298)K--4L 88X10,J ∆U≈Q+W≈W≈-41.88X1O3J *∆H=n C h^(-T i) = I6.14 mol×y X& 314 J ∙ moΓl∙ KT ×(89. 91-298)K=-69. 81XIO3J.(3〉多方可逆过程与绝热可逆过程方程式相似故aτ√≡z>21-*τ/(2000)73 (298)】」=(IOO) ^3T2k3T2 = 149. 27KW=器(号一TJ= 16.14molX 普詔]•型T匕KT(149. 27-298)Kn—66. 53kJ∆U=n CV t m ( T: ^~ Ti) = 16.14mol×-∣∙×8. 314 J ・moΓ 1•KTX(149. 27-298)K=-29. 94kJ∆H=nCn.m(T2-T l) = l6.14mol×y X& 314 J ∙ moΓ,•KTX(149. 27-298)K=-49∙ 89kJQ=Q+W(热力学第一定律)Q=∆U-W r=-29. 94kJ一(一66∙ 53kJ) = 36∙ 59kJ.(4)等温可逆膨胀∕>∣½≡p2½求出V2=0. 4m3绝热可逆膨胀∕>1V ∣4 =∕>2v 2i 求出V 2=O. 12m 3 多方过程可逆膨胀Zh⅛, s = ^V 2, 3求出V 2=O. 2 通过0(1)〜(3)的计算,可知杯,如图2-14.23.1 mol 单原子理想气体从始态298 K∙200 kPa.经下列途径使体积加倍•试计算每种途径的终态圧 力及各过程的Q ,W 及 W 的值,画出P-V 示意图,并把2和W 的值按大小次胖排列.(1) 等温可逆膨胀) (2) 绝热可逆膨胀;(3) 沿着^∕Pa=1.0×10*V.∕(dm j ・moΓl )÷6的途牲可逆变化. 解:1 mol 单原子理想气体 C^.β = -∣R.Q.1B = -I-R(1)等温可逆膨胀W=OW=—nRT In^ = -ImQIX& 314 J ・ moL ・ KTX298KXln 孝=-1717. 32J Q=-W=I717. 32J. (2)绝热可逆膨胀Q=OPIVI r ≡P J V J Z *故 Q= ”】(令)≡=200×103Pa伕X2χ連21-镇=鬻=7.7K= ImOlX 售 X8∙314 J ∙ InOr l ∙ K*1 (187. 7-Z98)K= -1375. 55J.V2=2Vι=24.78X10"3m 3p∕Pa≡ 1. OXIO 4V fII (Clm 3 ∙ TnOr l )+6代入数值•求解 6 值 2OOX1O 3 = 1.O× IO 4 × 12. 39+6 6=76100p 2=l× IO 4 XV 2 +∂=1 XIO 4 X24. 78+76100= 32390O(Pa)T =AV2=3239OQFaX24∙ 78X1OT 2~ nR -ImOIx& 314 J ∙ moL ∙ K -'W =_匸 PdV=-£2 (1.0×104V w +6)dV= -[y ×1. 0×104× (Vl-V4)÷76100× (V 2-⅛ )]=^3245. 56J∆U≡ΛCv,m (T 2-Tι)(3)V 1=讐=S 喙蘇3—2.咖E= 965. 4KK 2-15=63. OOXlO 3Pa=1 mol×4×&314 J ∙ moΓl ∙ KTX(965∙ 4-298)K=8323∙ 15J∆LΓ=Q÷H rQ≈∆U -W≈↑1. 57×1O 3J.(4)比较可得W3>W l >W 2f>随丁变大而变大p 3>∕h>p2册力学能变化 4>A3>∆LL,如图2 — 16. 24.某一热BL 的低温热源为313 K,若高温热源分别为: (1) 373 K (在大气压力下水的沸点”(2) 538 K (是压力为5. OXlO 6Pa 下水的沸点)・ 试分别计算热机的理论转换系数.解:(1)热机效3-⅞-I 1-κ=16.08%.T^TX298 K-273 K “一“ ^LT T Wl 273 K 八 33DkJ ∙ I QJ 人 1ICg —30. 68kj系统和环境中得到30. 68kJ 的功.26.有如下反应,设都在298 K 和大气压力下进行,请比较各个反应的2与的大小,并说明这差 别主要是什么因素造成的.(1) C lZ H 22C>1(蔗糖)完全燃烧;(2) CI O H ft (蔡,s)完全氧化为苯二甲酸 C βH 4(COOH 2)(S)I (3) 乙醇的完全燃烧;(4) FbS(S)完全氯化为 Eb(XS)和 5(⅛(gλ解:反应条件为 298 K, 100× IO 3Pa 压力下进行 Δ.H ro (T) = Δ<LΓm (T)+∆^T (1) C 12Hno ne + 1202(g>^12CO l (g)+llH2θ(l) An= 12—12=0 ∆H -∆L∕. (2) Δn<0∆H<∆U.(3) C 2 H 5OH÷3(⅛ (g)-2O⅛ (g) +3H 2O Δn<0 ∆H<∆L7.(4) 2Pbs÷3(⅛ ------- 2PbO+2SC⅛ Δn<0 ∆H<∆L7差别的主要因索在于反应前后气体的物质的虽差M fiiB 当 Δn<0 时.∆H<ΔU 当 Δn>0 时,∆H>∆U.27.0. 500 g 正庚烷放在弹形热量计中,燃烧后温度升高2. 94 K.若热量计本身及其附件的热容量为8. 177 kJ ・K-I •计算298 K 时正庚烷的摩尔燃烧焙(凰热计的平均泯度为298 K).解:GHw(l) + llQ(g)竺 7CO⅛(g)+8H2θ<l)TA373 K(2)热机效率 7=¾^ = 538KzpJS =41 82%.T K 538 K25某电冰箱内的温度为273 K ・空温为298 K ・今欲使1 kg 273 K 的水变 成冰,何最:少需做多少功?已知273 K 时冰的融化热为335 kJ ・kg-*.解:冷冻系数尸籌 W=丑匚耳Q 图 2-16止庚烷燃烧放热反应 ∆U=Q =—& 177kJ ∙ K 1 ×298 K=-24.0lkJ A f U =—= --------- 二?4. O^jeJ --------- = —4817 6kJ ・ mol 勺 d5 π 0∙5X]07⅛g 4*∙wu Inol100. 2 XIr rJ kg ∙ moΓl 正庚烷摩尔燃烧熔ΔcH w (GHιβ∙298K∙z>∙) = Δet∕ιn +∆zιRT= -4817.6kJ ∙ moΓ,+(7-ll)×8.314 kJ ∙ mol"1 ∙ X 10~ X298K=-4827. 5kJ ∙ moΓ,.2&根据下列反应在298.15 K 时的熔变值•计算AgCI(S)的标准摩尔生成给Δ H 紅AgChS,29& 15 K). (1) Afco(4+2HCl(g)—2AgCl(s) + H 2O(l) Δr W∙.ι(29& 15 K) - 32l.9 kJ ∙ moΓ,∣ (2) 2Ag(S)+*Q f (g)-Ag 2(Xs) (3) -∣ H 2 ⅛)+∙∣CI 2 <g)_HCKg) (4) H 2(g)+yO 2(g)-H 2CXI) 解:Ag( S) ÷~-C ∣2( g)—AgCl(S)经(I)Xy+(2)×y÷(3)-(4)×-∣这个计算过程方可得到Δl HX(AgCl,s.29& 15K) = *Δ,H"298. 15K)+*ΔJ H^(29& 15K) + ∆r ‰ 入、吐=×(-324.9)÷y ×(-30. 57) + (-92.31)—*(-285. 84) JkJ ・ mol~, = -127. 13kJ ・ moΓ1.29. 在29& 15 K 及IookPa 压力时•设环丙烷、石零及氢气的燃烧熔∆r ^(298.15 K)分别为一2092 kJ ・moΓ∖-393.8 kJ ・moL 及一285. 84 kJ ・moL.若已知丙烯QH<(g)的标准摩尔生成焙为Δl Hl <298. 15 K) = 2O. SO kJ ・ mol~l .试求:(1) 环丙烷的标准摩尔生成焙4HS,(29& 15 K)I(2) 环丙烷异构化变为丙烯的摩尔反应焙变值Δr HX(298. 15 K). 解:(1 )3C( 5)+3H 2 (g)-C 3 H e (g) ∆r Ht(C 3He,298.15K) = - Y vH∆c Wζ(β)B= -[∆C H; (GHs(g)∙29 & 15K)—3'H :MC(S) .29 & 15K)-3∆eW(H t (g)∙29 & 15K)] = -[-2092-3X(-393. 8) — 3X( — 285∙ 84)]kJ ∙ moΓl =53.08kJ ∙ moΓ∖ (2)C 1H β =GCH=CH2XHl =3(GCH=CH?・298∙ 15K)-Δ(Hζl (GHχ298∙ ISK)= 20. SokJ ∙ moΓ1 —53. 08kJ ∙ moΓ1 = —32. 58kJ ∙ mol~,.30. 根据以下数据•计算乙酸乙商的标准摩尔生成焙(CH J C(XXZ 2H 5.1.29& 15 K) CH3αX)H(l)÷G H 5OH(I)=CH 3CCXX^ H S (1) + H 2O(1) Δf Hζ(29& 15 K) = -9. 20 kJ ∙ TnOr l乙酸和乙醉的标准障尔燃烧席Δt Hζ(298∙15 K)分别为:-874. 54 kJ ・moL 和一1366 kJ ・TnOΓ,, CO z (g),HτO(l)的标准摩尔生成熔分别为:一393・51 kJ ・moL 和一285. 83 kJ ・moΓ,.解:先求出ClhCCKJH(I)和GHsOH(I)的标准摩尔生成焙. CH 3C∞H+2Cλ —2CQ+2Hg∆r‰(29 8. 15 K)--30. 57 kJ ・ moL) ∆r‰(298. 15 K>-92. 31 kJ ・ m 。
物理化学傅献彩第五版复习题答案物理化学是化学学科中的一个重要分支,它结合了物理学的原理来研究物质的性质和变化。
傅献彩教授的《物理化学》第五版是许多高校化学专业学生的必修教材。
以下是根据该教材复习题的一些参考答案,供同学们复习参考:第一章热力学基础1. 描述热力学第一定律和第二定律的物理意义。
- 第一定律,即能量守恒定律,表明能量不能被创造或消灭,只能从一种形式转换为另一种形式,或从一个系统转移到另一个系统。
- 第二定律,表明在自发过程中,系统的熵总是增加,这意味着自然界倾向于向更加无序的状态发展。
2. 解释什么是熵,并给出熵变的计算方法。
- 熵是系统无序程度的度量,通常用于描述系统的热力学状态。
熵变可以通过等压或等容过程的积分来计算,例如:\(\Delta S = \int \frac{dQ}{T}\)。
第二章化学平衡1. 简述勒夏特列原理。
- 勒夏特列原理指出,如果一个处于平衡状态的系统受到外部条件的改变(如压力、温度或浓度的改变),系统会自发调整以抵消这种改变,从而重新达到平衡。
2. 描述化学平衡常数及其表达式。
- 化学平衡常数是一个衡量反应在平衡状态下各组分浓度的比值的常数,表达式通常为:\(K = \frac{[C]^c[D]^d}{[A]^a[B]^b}\),其中\(a, b, c, d\)是各组分的系数。
第三章相平衡1. 解释拉乌尔定律及其适用范围。
- 拉乌尔定律指出,在理想溶液中,溶剂的蒸汽压力与其摩尔分数成正比。
该定律适用于理想溶液,即溶质和溶剂之间没有相互作用力的溶液。
2. 描述相图的基本概念及其在物理化学中的应用。
- 相图是表示不同相态(如固体、液体、气体)在不同条件下的共存关系的图形。
在物理化学中,相图用于描述和预测物质在不同温度和压力下的相变行为。
第四章电化学1. 定义法拉第定律及其在电化学中的应用。
- 法拉第定律描述了在电解过程中,通过电极的物质量与通过电极的电荷量成正比的关系。
第四章多组分系统热力学4.1有溶剂A与溶质B形成一定组成的溶液。
此溶液中B的浓度为c B,质量摩尔浓度为b B,此溶液的密度为。
以M A,M B分别代表溶剂和溶质的摩尔质量,若溶液的组成用B的摩尔分数x B表示时,试导出x B与c B,x B与b B之间的关系。
解:根据各组成表示的定义4.2D-果糖溶于水(A)中形成的某溶液,质量分数,此溶液在20℃时的密度。
求:此溶液中D-果糖的(1)摩尔分数;(2)浓度;(3)质量摩尔浓度。
解:质量分数的定义为4.3 在25℃,1 kg 水(A )中溶有醋酸(B ),当醋酸的质量摩尔浓度b B 介于和之间时,溶液的总体积求:(1) 把水(A )和醋酸(B )的偏摩尔体积分别表示成b B 的函数关系。
(2)时水和醋酸的偏摩尔体积。
解:根据定义当时4.460℃时甲醇的饱和蒸气压是84.4 kPa ,乙醇的饱和蒸气压是47.0 kPa 。
二者可形成理想液态混合物。
若混合物的组成为二者的质量分数各50 %,求60℃时此混合物的平衡蒸气组成,以摩尔分数表示。
解:甲醇的摩尔分数为58980049465004232500423250....x B =+=4.580℃时纯苯的蒸气压为100 kPa,纯甲苯的蒸气压为38.7 kPa。
两液体可形成理想液态混合物。
若有苯-甲苯的气-液平衡混合物,80℃时气相中苯的摩尔分数,求液相的组成。
解:4.6在18℃,气体压力101.352 kPa下,1 dm3的水中能溶解O2 0.045 g,能溶解N2 0.02 g。
现将 1 dm3被202.65 kPa空气所饱和了的水溶液加热至沸腾,赶出所溶解的O2和N2,并干燥之,求此干燥气体在101.325 kPa,18℃下的体积及其组成。
设空气为理想气体混合物。
其组成体积分数为:,解:显然问题的关键是求出O2和N2的亨利常数。
4.7 20℃下HCl 溶于苯中达平衡,气相中HCl 的分压为101.325 kPa 时,溶液中HCl 的摩尔分数为0.0425。