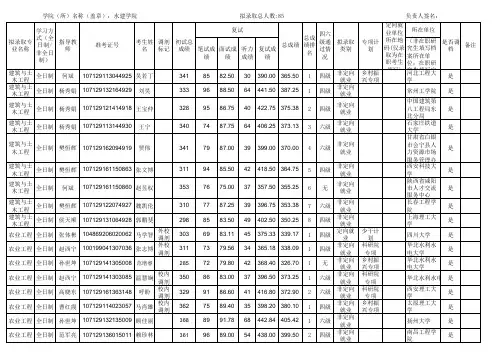
导师姓名准考证号考生姓名调剂标记复试总成绩专项计划所在单位是否调档备注笔试成绩面试成绩听力成绩复试成绩林业全日制37082888644214039570林业全日制107129151114796周娜娜37277872744141039305六级西华师范大学林业全日制107129151074795李玉婷33784882794301038355六级四川农业大学林业全日制校外调剂3677886443970038200六级湖北第二师范学院林业全日制校内调剂33294888374259037895四级山东农业大学林学院林业全日制34488874394137037885四级西北农林科技大学林业全日制3229488474285037525林业全日制34875856403893036865林业全日制校内调剂331915858204046536783四级山西农业大学林学院林业全日制3188685657414303661510六级林业全日制3338782240397103650511四级西北农林科技大学林业全日制校外调剂3168684462413203646012四级南京林业大学林业全日制校内调剂318868740410003640013四级西北农林科技大学林业全日制3247687442397203606014四级西北农林科技大学林业全日制张强1071291614747903476683447372703598515四级榆林学院林业全日制校外调剂3357483645384303596516四级四川农业大学成都校区林业全日制3218285237397103590517四级林业全日制3228184637393803579018六级绵阳师范学院林业全日制李新岗107129161150835石国朝330748538385003575019西北农林科技大学林业全日制校内调剂3506682635364303571520四级运城学院林业全日制校内调剂3196786868394903569521四级东方英才人才服务中心林业全日制校外调剂331658652381503562522四级自贡市人才市场林业全日制校内调剂3336187846377903554523四级西北农林科技大学林业全日制唐光辉103849214115220校外调剂3287484635382303551524四级河南科技大学拟录取总人数