高中英语知识点学习课型“三步五环节” 教学流程图
- 格式:doc
- 大小:52.00 KB
- 文档页数:1
高中英语“五步教学法”分析【摘要】高中英语“五步教学法”是一种系统化的教学方法,旨在帮助学生更有效地掌握英语知识和技能。
本文首先介绍了五步教学法的背景和意义,然后详细解释了五步教学法的具体步骤,展示了其在英语教学中的应用情况。
接着分析了五步教学法的优势和局限性,以及对学生学习的影响。
提出了如何更好地运用五步教学法的建议。
通过对五步教学法的分析,我们可以看到其在高中英语教学中的重要性,并且展望了未来可能的发展方向。
教师们也可以从中得到一些启示和建议,以提高自己的教学效果。
五步教学法为高中英语教学提供了一个全面而有效的指导框架,有望在未来继续发挥重要作用。
【关键词】高中英语、五步教学法、教学步骤、应用、优势、局限性、影响、运用、重要性、未来发展、教师、启示、建议。
1. 引言1.1 介绍高中英语“五步教学法”高中英语“五步教学法”是一种常见且有效的教学方法,被广泛运用于英语课堂教学中。
五步教学法的基本理念是通过系统性、逐步性的教学过程,帮助学生掌握知识和提高能力。
这种教学法主要包括导入、讲解、练习、作业和复习五个步骤,每个步骤都有具体的指导和目标。
通过五步教学法,教师可以循序渐进地引导学生学习,提升他们的学习兴趣和自信心。
五步教学法也可以帮助教师更好地组织课堂教学,提高教学效率。
在英语教学中,五步教学法通常被用于教授语法、写作、阅读等方面,对于提高学生的语言综合能力有显著的促进作用。
高中英语“五步教学法”是一种很好的教学方法,有助于提高学生的学习效果和教师的教学效率。
1.2 目的和意义The significance of utilizing the Five-Step Teaching Method lies in its ability to cater to different learning styles and abilities of students. It provides a systematic and organized framework for teachers to follow, ensuring that key language concepts are presented in a logical sequence. By incorporating various activities such as listening, speaking, reading, and writing tasks, this method encourages active participation and engagement from students, leading to a more interactive and dynamic learning environment.2. 正文2.1 五步教学法的具体步骤五步教学法是一种常用的教学方法,它包括五个具体步骤,分别是导入、呈现、实践、操练和作业。
英语五步教学法简介集团文件发布号:(9816-UATWW-MWUB-WUNN-INNUL-DQQTY-英语五步教学法简介一般说来,除了第一节课以外,每一节课教师所要进行教学的内容不外乎三部分:1、复习已教过的语言材料;2、教学新的语言项目如词汇、语音、语法或句型等;3、进行各种形式的听、说、读、写训练活动。
为教学上述三部分内容,一般采用以下五个步骤(即五步教学法):步骤1 (Step 1): 复习 (Revision)步骤2 (Step 2): 介绍 (Presentation)步骤3 (Step 3): 操练 (Drill)步骤4 (Step 4): 练习 (Practice)步骤5 (Step 5): 巩固 (Consolidation)在每一个步骤当中,教师的作用都有所不同。
一位成功的教师一定是一位“多面手”,不但会讲解、还会指挥、会导演、会组织、会表演、会监督、会评判、会记分、会帮忙、会引导,而且还是一位很好的帮助学生强化记忆的人。
教师在课堂上能够扮演上述各种角色,就能够顺利地上好一节课,完成一节课的整体教学任务。
教师在各个步骤中的作用,请看下表:步骤 (Steps)教师的作用 (Teacher’s Role/Job)复习 (Revision)强化记忆者 (Memory activator)介绍 (Presentation)示范表演者 (Demonstrator)操练 (Drills)组织者/指挥者 (Organizer/Conductor)练习 (Practice)裁判员/监督者/监听者(Referee/Supervisor/Listener)巩固 (Consolidation)帮手(后来是记分员)(Helper, and later on, marker) 教师在进行上述五个步骤的教学中,自始至终观察全班学生的反应,保证所教的内容大家都能理解。
如果相当一部分学生还没有弄懂,那么教师就需要重教。
高中英语阅读“三段式五步教学法”模式阅读教学是高中英语教学中的一个重要环节,是培养学生正确阅读习惯和能力的重要阵地,所以探究一个行之有效的阅读教学模式至关重要。
主要形成高中英语阅读“三段式五步教学法” 模式:第一阶段:读前一、课文整体导入新课导入就是把课文的主题呈现给学生,使学生的注意力集中到课文提供的语境中来,激发学生的阅读欲望。
教师应根据不同的教学内容采用多种形式导入新课。
第二阶段:读中二、依据不同篇章的类型与模式,选择寻读、略读方式教师出示一、两个问题让学生带着听课文录音或快速通读整个文章。
要求学生抓住篇章大意,确定所搜寻的信息在文章的大体位置;要求学生以尽可能快的速度主动获取信息反映篇章大意,构建篇章大致的语义图。
1. 快速阅读(fast reading)教师先让学生快速阅读(fast reading)课文,要求学生找出文章的主题句,弄清文章的中心内容,初步了解作者的写作意图和对文中人物或事件的态度。
可以设计以下几个问题:a. does this article have a topic sentence?b. what is it?c. according to the topic sentence,what’s the author’s attitude towards zhongguancun?2. 略读(skimming)本文行文流畅,脉络清楚,可以让学生通过略读(skimming)了解文章的主旨大意和行文结构,要求学生在规定的时间内完成阅读后,基本能说出大概内容,或回答关于general idea 的wh-问题,可以检查学生自主获取大意信息的效果、训练短时记忆信息的能力、多角度训练思维的变通性。
三、精读和语篇分析在第二步的基础上,细读、精读课文并进行语篇分析,综合推理、细读指对课文中一些重要语段进行仔细阅读,通过有目标的阅读,加大信息输入量,加深对课文的理解。
在这一环节中,教师应先给学生预设目标,引导他们观察和提取与主题密切相关的具体事实和信息,不同文体了解不同信息。
英语教案思维导图模板
一、教学目标
•确认学习目标
•制定学习计划
•识别重点和难点
二、教学内容
•重点词汇
•语法知识点
•阅读材料
•听力练习
三、教学方法
•激发学生兴趣
•创设情境
•合作学习
•多媒体辅助
四、教学过程
1.导入:通过引入问题或图片引起学生兴趣。
2.知识讲解:清楚简洁的语言讲解词汇、语法等知识点。
3.示范演示:提供示范作品,让学生理解应用。
4.练习扩展:设计各种练习形式,巩固知识。
5.作业布置:合理布置作业巩固学生所学内容。
五、评估方式
•学生表现评价
•课堂测验
•作业表现评定
六、拓展延伸
•提供拓展阅读材料
•推荐学习网站资源
•鼓励学生参加英语角或活动
七、课堂反思
•总结课堂亮点
•反思问题及改进方向
•学生反馈意见
以上是英语教案思维导图模板的基本框架,老师可以根据具体教学内容和学生情况进行调整和完善。
愿每一堂英语课都能激发学生学习兴趣,提高英语水平!。
高中英语五步教学法一、教学任务及对象1、教学任务本教学设计围绕“高中英语五步教学法”展开,旨在通过五个步骤的教学活动,帮助学生提高英语综合运用能力,特别是在听、说、读、写四项基本技能上取得显著进步。
五步教学法分别为:开篇引入、温习旧知、灵活应用、深入探究、总结巩固。
此外,该教学法注重培养学生自主、合作、探究的学习方式,以提升其终身学习的能力。
2、教学对象本教学设计针对的教学对象为高中学生,他们已经具备一定的英语基础知识,但在实际应用中仍存在听、说、读、写方面的困难。
此外,高中生正处于青春期,具有强烈的好奇心和求知欲,但同时也可能存在注意力分散、学习动机不足等问题。
因此,五步教学法将针对这些特点,采用多样化的教学策略,激发学生的学习兴趣和积极性。
二、教学目标1、知识与技能(1)掌握并运用高中英语课程所要求的词汇、语法、句型等基础知识,提高英语语言表达能力。
(2)培养良好的听、说、读、写四项基本技能,能够熟练地运用英语进行日常交流,具备一定的跨文化交际能力。
(3)学会使用英语词典、参考书等工具,养成自主学习英语的良好习惯。
(4)掌握一定的英语阅读技巧,如快速阅读、精读、略读等,提高阅读理解能力。
(5)学会用英语进行写作,包括叙述、议论、说明等不同类型的文章。
2、过程与方法(1)通过小组合作、讨论、探究等方式,培养学生的团队合作意识和解决问题的能力。
(2)运用启发式、任务驱动等教学方法,引导学生主动参与教学活动,提高课堂学习效果。
(3)结合多媒体、网络等教学资源,拓展学生的学习渠道,丰富学习内容。
(4)鼓励学生进行课外阅读、参加英语角等活动,提高实际运用英语的能力。
(5)定期进行学习反馈和评价,帮助学生了解自己的学习进度,调整学习方法和策略。
3、情感,态度与价值观(1)激发学生对英语学习的兴趣和热情,树立自信心,形成积极的学习态度。
(2)培养学生的跨文化意识,尊重和理解不同文化背景下的价值观和行为方式。
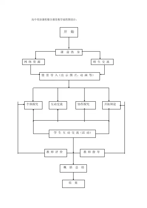
高中英语课程整合课堂教学流程图设计:评价:“高中英语课程要有利于学生优化英语学习方式,使他们通过观察、体验、探究等积极主动的学习方法,充分发挥自己的学习潜能,形成有效的学习策略,提高自主学习的能力;要有利于学生学会运用多种媒体和信息源,拓宽学习渠道并形成具有个性的学习方法和风格。
”把信息技术作为英语教学的认知工具和知识载体,围绕英语学科知识进行整体实验,不仅可以扩大英语阅读的“面”和“量”,而且也培养了学生诸如“信息的获取、加工以及信息的交流”等多种信息素养。
网络学习是一种学习过程交互化的学习模式。
学生带着问题借助网络查询信息,进行信息交流,由此“任务驱动、自主探究、协作交流”等学习策略在这里得到了更充分的体现。
使教师把信息技术和网络作为自己真正的工具,把信息技术融入学科教学中来。
本课主要以多媒体技术为依托,借助网络技术的功能,为学生营造一个自主学习的环境,让学生自主探究。
一、信息技术与英语学科整合方面1)信息技术与英语学科内容的整合。
网络是信息的海洋、包罗万象的课本, 把信息技术作为英语教学的认知工具和知识载体,围绕英语学科知识进行整合实验,有效扩大学生英语阅读的“面”和“量”。
2)信息技术与英语学习模式的整合。
网络学习是一种学习过程交互化的学习模式。
学生带着问题借助网络查询信息,进行信息交流,由此“任务驱动、自主探究、协作交流”等学习策略在这里得到了更充分的体现。
二、英语课堂教学方面: 英语教学以问题为线索,采用“任务驱动”方法,让学生自主探究和协作探究为主,培养学生的自主学习能力。
故本人在这节课中通过安排形式来激发学生学习兴趣,主动阅读,有创造性的完成任务。
让学生在教师的指导下,通过感知、体验、实践,参与和合作等方式,实现任务的目标,感受成功:在学习过程中进行情感和策略调整,以形成积极的学习态度,促进语言实际运用能力的提高。
采用师生交流方式导入自然亲切,拉近了师生之间的情感距离,营造出宽松的学习气氛。
高中英语知能结构体系图青州三中张心荣元音(20)单元音(12)/ɪ/ /i:/ /ɔ/ /ɔ:/ /ʊ/ /U:/ /ə/ /ɜ:/ / ʌ/ /ɑ:/ /æ//e/语音(国际音标):双元音(8)/aɪ/ /eɪ/ /ɔɪ/ /ɪə/ /eə/ /ʊə/ /əʊ/ /aʊ/辅音(26)清辅音(11)/p/ /t/ /k/ /f/ /θ/ /s/ /ʃ/ /ts/ /tʃ/ /tr/ / h/浊辅音(15)/b/ /d/ /g/ /v/ /ð//z/ /ʒ/ /dz/ /dʒ/ /dr/ /m/ /n/ /ŋ/ /r/ /ǀ/半元音(2)/ w/ / j/词类:实词(6):名词、代词、动词、形容词、副词、数词虚词(4):冠词、介词、连词、感叹词名词:词义辨析、可数名词、不可数名词、名词所有格、名词单复数动词:动词的数与分类:主谓一致;实义动词(及物动词与不及物动词)、连系动词、情态动词、助动词词法:动词的时态:一般过去时、一般现在时、一般将来时、现在进行时、过去进行时、进来进行时、现在完成时、过去完成时、将来完成时、完成进行时动词的语态(主动、被动)非谓语动词(不定式、分词、动名词)语法代词:(人称代词、物主代词、不定代词、反身代词、指示代词、疑问代词、关系代词、连接代词、相互代词)句子种类:陈述句、疑问句、祈使句、感叹句句子类型:简单句、并列句、复合句句法:句子成分:主语、谓语、宾语、表语、定语、状语、补语、同位语从句:名词性从句:(主语从句、宾语从句、表语从句、同位语从句)形容词性定语从句:(限制性定语从句、非限制性定语从句)副词性状语从句:(时间、地点、条件、原因、结果、目的、让步、方式、比较)【知能结构体系图】第 1 页共 3 页【知能结构体系图】 第 2 页 共 3 页短 语:动词短语、名词短语、介词短语(300短语)词 汇:全部考纲词汇及其派生词、不在纲内但是常见常用的词汇(3500单词 300短语 四会词语:2000多单词)特殊结构:倒装句、强调句、省略句、插入语、it 句型、虚拟语气1.话题项目(24): 1.个人情况 (Personal information );2.家庭、朋友与周围的人 (Family, friends and people around );3.周围的环境(Personal environments );4.日常活动(Daily routines );5.学校生活(School life );6.兴趣与爱好 (Interests and hobbies );7,个人感情 (Emotions );8.人际关系 (Interpersonal relationships );9.计划与愿望(Plans and intentions );10.节假日活动 (Festivals, holidays and celebrations );11.购物( Shopping );12.饮食(Food and drink );13.健康(Health );14.天气(Weather );15.文娱与体育(Entertainment and sports );16.旅游和交通(Travel and transport );17.语言学习(Language learning );18.自然 (Nature ); 19.世界和环境(The world and the environment );20.科普知识与现代技术 (Popular science and modern technology );21.热点话题 (Topical issues );22.历史和地理( History and geography );23.社会 (Society );24.文学与艺术 (Literature and art ) 2.功能意念项目(11): (特别注意1. 社会交往 (Social Communications)中的22项)(1)问候 (Greetings)(2)介绍 (Introduction)(3)告别 (Farewells )(4)感谢 (Thanks )(5)道歉 (Apologies)(6)邀请 (Invitation)(7)请求允许 (Asking for permission )(8)祝愿和祝贺 (Expressing wishes and congratulations)(9)提供帮助 (Offering help)(10)接受或拒绝(acceptanc e and refusal )(11)约会 (Making appointments )(12)打电话(Making telephone calls )(13)就餐(Having meals)(14)就医 (Seeing the doct or)(15)购物 (Shopping)(16)问路 (Asking the way)(17)谈论天气 (Talking about weather)(18)语言交际困难 (Language difficulties in co mmunication)(19)提醒注意 (Reminding)(20)警告和禁止 (Warning and prohibition )(21)劝告 (Advice)(22)建议 (Suggestions)听:语句理解、情景反应、对话理解、语篇理解说:正确区分交际场合,培养英语语感,了解英语交际功能读:教学目的:培养阅读策略;培养语感;特别强调培养学生在阅读过程中获取和处理信息的能力。
高三英语知识点结构图高三阶段是学生备战高考的重要时期,英语作为其中一门必修科目,知识点繁多而且复杂。
为了帮助同学们更好地整理和掌握英语知识,以下是对高三英语知识点的结构图。
第一层级:四大基本技能- 听力:理解并获取有效信息的能力- 口语:流利表达和交流的能力- 阅读:理解并分析各类文章的能力- 写作:准确表达思想和观点的能力第二层级:各技能下的知识点1. 听力技能- 听力材料类型:短对话、长对话、听力理解、听写等- 基本听力技巧:预测、推断、准确抓关键信息等- 常见听力话题:学校生活、旅游、购物、社交等2. 口语技能- 日常对话:问候、介绍自己、讨论话题、提出建议等- 表达观点:展开思路、举例论证、辩论等- 演讲技巧:开头、结尾、纲要、语言表达等3. 阅读技能- 阅读题型:主旨题、细节题、推测题、态度观点题等- 阅读材料类型:报纸文章、科普文章、小说、广告等- 阅读技巧:扫读、略读、词汇猜测、文段理解等4. 写作技能- 作文类型:记叙文、议论文、应用文等- 文章结构:引言、主体段落、结尾等- 语法和词汇:句子结构、时态、连接词、高级词汇等第三层级:各知识点下的具体内容1. 听力技能- 短对话理解:人物关系、场景、目的等- 长对话理解:主题、观点、细节等- 听力理解:听取信息、根据录音回答问题等- 听写:听取录音并书写正确的内容2. 口语技能- 日常对话:自我介绍、问候、请求帮助等- 话题讨论:环保、教育、科技、社会问题等- 观点表达:支持、反对、解释原因等- 情景模拟:面试、辩论、演讲等3. 阅读技能- 阅读理解:主旨、细节、推理、态度观点等- 词汇猜测:根据上下文猜测词义- 词汇积累:同义词、反义词、固定搭配等- 阅读速度:提高阅读速度和理解能力4. 写作技能- 作文结构:开头、主体段落、结尾的写作技巧- 句型和语法:多样化的句型和语法结构运用- 词汇和拓展:高级词汇、词组和常用表达- 写作练习:各类作文题目的实际练习通过以上的知识点结构图,同学们可以清晰地了解到高三英语的知识点划分和重点内容。
(新课标)高中英语Unit2 五步教课方案( 3)新人教版必修5必修五 : Unit 2 the United Kingdom五步教课方案教教案SectionⅢ Grammar—过去分词作宾语补足语一、教课目的:让学生熟习并掌握过去分词作宾语补足语的用法。
教课要点:掌握过去分词作宾语补足语的用法。
教课难点:熟记过去分词作宾语补足语的用法,能自己独立达成有关练习。
二、预习导学[ 察看后的发现 ]1.a . Now when people refer to England you find Wales included as well.b.To their surprise, the three countries found themselves united peacefully.c.Have you ever heard the song sung in Chinese?d.We'd like to see the problems solved within seven days.2.a.It passes through Greenwich, so Pingyu had a photo taken standing on either side of the line.b.However, just as they were going to get Ireland connected to form the United Kingdom, the southern part of that country broke away to form its own government.c.You must make yourself respected.3.a . The teacher wanted the problem discussed at the moment.b.My cell phone has broken down and I would like it repaired soon.c.The manager wished those letters typed as soon as possible.[ 我的发现 ](1) 以上例句中的过去分词在句中作宾语补足语,它们与句子宾语之间的关系为逻辑上的被动关系或达成关系。
高一英语知识点之安排学习的各个环节(实用版)编制人:______审核人:______审批人:______编制单位:______编制时间:__年__月__日序言下载提示:该文档是本店铺精心编制而成的,希望大家下载后,能够帮助大家解决实际问题。
文档下载后可定制修改,请根据实际需要进行调整和使用,谢谢!并且,本店铺为大家提供各种类型的实用资料,如工作总结、述职报告、心得体会、工作计划、演讲稿、教案大全、作文大全、合同范文、活动方案、其他资料等等,想了解不同资料格式和写法,敬请关注!Download tips: This document is carefully compiled by this editor.I hope that after you download it, it can help you solve practical problems. The document can be customized and modified after downloading, please adjust and use it according to actual needs, thank you!And, this store provides various types of practical materials for everyone, such as work summaries, job reports, insights, work plans, speeches, lesson plans, essays, contract samples, activity plans, and other materials. If you want to learn about different data formats and writing methods, please pay attention!第1页共2页高一英语知识点之安排学习的各个环节高一英语知识点之安排学习的各个环节1.预习:听录音,朗读课文,扫清单词发音障碍,了解重点语法内容,阅读重点课文并回答课文后的问题。
高三英语复习导学式五环节教学法刘惠摘自:《山东省青岛第一中学》英语教学重视语言能力、交际能力和认识能力。
它有条理、有系统、文章涉及面广。
由于新教材内容量大,知识面广,因此对学生的理解分析能力、概括总结能力、知识迁移能力、更大程度的参与课堂教学和课堂教学中师生双向交流的广度和深度都提出了更高要求。
这就要求英语教师改革教学方式,加强理论学习,转变教学观念,探讨、研究教学规律,不断改进教学方法。
围绕怎样表现教学内容、采用怎样的策略进行分层次教学,各种媒体如何展现,怎样与学生进行交互等问题上,突出课堂教学的实践性,以语言实践为主,让学生在大量的语言实践运用中掌握外语知识的技能、锻炼用英语进行交际的能力。
我通过近几年的高三教学,借鉴、尝试运用了一种教学法,即“高三英语复习导学式五环节教学法”。
它着重强调发挥教师的主导作用和学生的主体作用。
本教学法借鉴现代心理学、教学论研究成果。
从1998年开始在高三英语复习中打破复习课旧课重讲、题海战术、填鸭式“满堂灌”等传统教学模式,按素质教育要求,根据学生年龄和身心发展规律,探索有创新精神、有利于培养适应新世纪创新人才的行之有效的复习方法。
经过几年的探索、补充、完善,初步形成“教为主导、学为主体”的导学式五环节教学法。
一、理论根据:马克思主义认识论认为,人的认识来源于实践,认识又指导着再实践。
从认识论角度看,高三英语复习的过程就是学生由实践到认识、再实践再认识的过程。
美国教育家杜威倡导的“活动-经验课程”、瑞士心理学家皮亚杰创立的发生认识论,这些研究成果适用于高三英语复习课上学生的活动和积极参与。
素质教育理论要求面向全体学生、体现“教为主导、学为主体“。
正如前苏联教育家凯洛夫在论述教学实质时曾指出:“教学一方面包括教师的活动(教),同时也包括学生的活动(学)”.这为构建“高三英语复习课导学式五环节教学法”提供了理论依据。
二、教学目标:1.认知目标:再现高一至高三课本的词;学习语法,归纳总结;重视语篇复习,加大难度,加长篇幅,提高阅读理解能力;2.能力目标:综合、概括、归纳问题的能力,透过现象看本质的能力,语言实践与创新能力。
“三步五环节”小学英语教学课堂模式
一、创设情境,激情导入
通过情景、free talk、设疑、、多媒体等方法导入新课。
二、合作探究,交流展示
1、媒体呈现课文,初步感知课文内容。
2、自读课文,学生带着问题(who ; where; what;how)进行搜寻式阅读,指导学生捕捉关键词句。
3、小组合作,交流预习内容,通读课文,扫除障碍。
三、突破疑难,精讲点拨
4、精讲点拨,解疑答惑,相机渗透相关语法。
5、研读课文,以小组合作形式完成与课文内容相关的阅读理解、问答、排序、填表等任务。
四、当堂检测,反馈矫正
抓住本课重难点、易错点、易混淆点。
五、链接生活,拓展延伸
把课本上的知识迁移到课外,尝试用所学知识解决身边问题。
“三步五环节”
三步:课前预习——课内探究——课后训练
五环节:情境导入——合作探究——精讲点拨——当堂检测——拓展延伸。