河北工业大学887量子力学07-11年真题
- 格式:pdf
- 大小:2.12 MB
- 文档页数:9
考研是一项小火慢炖的工程,切不可操之过急,得是一步一个脚印,像走长征那样走下来。
在过去的一年中,我几乎从来没有在12点之前睡去过。
也从来也没有过睡到自然醒的惬意生活,我总是想着可能就因为这一时的懒惰,一切都不同了。
所以,我非常谨小慎微,以至于有时会陷入自我纠结中,像是强迫症那样。
如今想来,这些都是不应该的,首先在心态上尽量保持一个轻松的状态,不要给自己过大的压力。
虽然考研是如此的重要,但它并不能给我们的人生下一个定论。
所以在看待这个问题上不可过于极端,把自己逼到一个退无可退的地步。
而在备考复习方面呢,好多学弟学妹们都在问我备考需要准备什么,在我看来考研大工程,里面的内容实在实在是太多了。
首先当你下定决心准备备考的时候,要根据自己的实际情况、知识准备、心理准备、学习习惯做好学习计划,学习计划要细致到每日、每周、每日都要规划好,这样就可以很好的掌握自己的学习进度,稳扎稳打步步为营。
另外,复试备考计划融合在初试复习中。
在进入复习之后,自己也可以根据自己学习情况灵活调整我们的计划。
总之,定好计划之后,一定要坚持下去。
最近我花费了一些时间,整理了我的一些考研经验供大家参考。
篇幅比较长,希望大家能够有耐心读完,文章结尾处会附上我的学习资料供大家下载。
河北工业大学物理学的初试科目为:(101)思想政治理论和(201)英语一(611)光学和(811)量子力学参考书目为:《光学》,游璞、于国萍,北京:高等教育出版社,2003《量子力学教程》周世勋,高等教育出版社关于英语复习。
我提一个建议,考研单词主要是用于阅读,所以知道意思即可,建议背单词书的同学不要死啃单词书,以“过单词”的方式背单词,每个单词记忆时间不要太长,不然很容易走神,效率也会很低,背诵单词应利用好零碎的时间,如吃饭之前半个小时,饭后半个小时,也可以穿插在复习专业课期间学累了的时候。
我大概早上会有半个小时的时间来背单词,考研单词大多数是不要求掌握拼写的,在阅读中见到能认出即可,所以速度可以快一点,多重复几遍。
【关键字】试题量子力学自测题(1)一、简答与证明:(共25分)1、什么是德布罗意波?并写出德布罗意波的表达式。
(4分)2、什么样的状态是定态,其性质是什么?(6分)3、全同费米子的波函数有什么特点?并写出两个费米子组成的全同粒子体系的波函数。
(4分)4、证明是厄密算符(5分)5、简述测不准关系的主要内容,并写出坐标和动量之间的测不准关系。
(6分)2、(15分)已知厄密算符,满足,且,求1、在A表象中算符、的矩阵表示;2、在B表象中算符的本征值和本征函数;3、从A表象到B表象的幺正变换矩阵S。
三、(15分)设氢原子在时处于状态,求1、时氢原子的、和的取值几率和平均值;2、时体系的波函数,并给出此时体系的、和的取值几率和平均值。
四、(15分)考虑一个三维状态空间的问题,在取定的一组正交基下哈密顿算符由下面的矩阵给出这里,,是一个常数,,用微扰公式求能量至二级修正值,并与精确解相比较。
五、(10分)令,,分别求和作用于的本征态和的结果,并根据所得的结果说明和的重要性是什么?量子力学自测题(1)参考答案一、1、描写自由粒子的平面波称为德布罗意波;其表达式:2、定态:定态是能量取确定值的状态。
性质:定态之下不显含时间的力学量的取值几率和平均值不随时间改变。
3、全同费米子的波函数是反对称波函数。
两个费米子组成的全同粒子体系的波函数为:。
4、=,因为是厄密算符,所以是厄密算符。
5、设和的对易关系,是一个算符或普通的数。
以、和依次表示、和在态中的平均值,令,,则有,这个关系式称为测不准关系。
坐标和动量之间的测不准关系为:2、解1、由于,所以算符的本征值是,因为在A表象中,算符的矩阵是对角矩阵,所以,在A表象中算符的矩阵是:设在A 表象中算符的矩阵是,利用得:;由于,所以,;由于是厄密算符,, 令,其中为任意实常数,得在A 表象中的矩阵表示式为: 2、类似地,可求出在B 表象中算符的矩阵表示为:在B 表象中算符的本征方程为:,即 和不同时为零的条件是上述方程的系数行列式为零,即 对有:,对有:所以,在B 表象中算符的本征值是,本征函数为和 3、类似地,在A 表象中算符的本征值是,本征函数为和从A 表象到B 表象的幺正变换矩阵就是将算符在A 表象中的本征函数按列排成的矩阵,即 三、解: 已知氢原子的本征解为: ,将向氢原子的本征态展开, 1、=,不为零的展开系数只有三个,即,,,显然,题中所给的状态并未归一化,容易求出归一化常数为:,于是归一化的展开系数为: ,,(1)能量的取值几率,, 平均值为:(2)取值几率只有:,平均值 (3)的取值几率为: ,,平均值 2、时体系的波函数为:=由于、和皆为守恒量,所以它们的取值几率和平均值均不随时间改变,与时的结果是一样的。
河北⼤学研究⽣⼊学考试量⼦⼒学题库考核科⽬量⼦⼒学课程类别必修课考核类型考试考核⽅式闭卷卷别 A⼀、概念题:(共20分,每⼩题4分)1、简述波函数的统计解释;2、对“轨道”和“电⼦云”的概念,量⼦⼒学的解释是什么?3、⼒学量G在⾃⾝表象中的矩阵表⽰有何特点? 4、简述能量的测不准关系;5、电⼦在位置和⾃旋z S ?表象下,波函数=ψ),,(),,(21z y x z y x ψψ如何归⼀化?解释各项的⼏率意义。
⼆(20分)设⼀粒⼦在⼀维势场c bx ax x U ++=2)(中运动(0>a )。
求其定态能级和波函数。
三(20分)设某时刻,粒⼦处在状态)cos (sin )(212kx kx B x +=ψ,求此时粒⼦的平均动量和平均动能。
四(20分)某体系存在⼀个三度简并能级,即E E E E ===)0(3)0(2)0(1。
在不含时微扰H'?作⽤下,总哈密顿算符H在)0(?H 表象下为=**21100E E E H βαβα。
求受微扰后的能量⾄⼀级。
五(20分)对电⼦,求在x S ?表象下的xS ?、y S ?、z S ?的矩阵表⽰。
考核科⽬量⼦⼒学课程类别必修课考核类型考试考核⽅式闭卷卷别 B⼀、概念题:(共20分,每⼩题4分)1、何为束缚态?2、当体系处于归⼀化波函数ψ(,) r t 所描述的状态时,简述在ψ(,)r t 状态中测量⼒学量F 的可能值及其⼏率的⽅法。
3、设粒⼦在位置表象中处于态),(t r ψ,采⽤Dirac 符号时,若将ψ(,) r t 改写为ψ(,)r t 有何不妥?采⽤Dirac 符号时,位置表象中的波函数应如何表⽰? 4、简述定态微扰理论。
5、Stern —Gerlach 实验证实了什么?⼆(20分)设粒⼦在三维势场()ax a z y x U <>??∞=x 0,,中运动,求粒⼦定态能量和波函数。
三(20分)⼀维运动的粒⼦在态()00<>=-x x Axe x x 当当λψ中运动,其中0>λ。
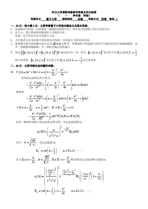
河北大学课程考核参考答案及评分标准( — 学年第 学期)考核科目 量子力学 课程类别 必修 考核方式 闭卷 卷别 A一、20分,每小题4分,主要考察量子力学基本概念以及基本思想。
1. 波函数在空间某一点的强度(振幅绝对值的平方)和在该点找到粒子的几率成正比。
2. 电子云:用点的疏密来描述粒子出现的几率。
轨道:电子径向分布几率最大之处。
3. 力学量Gˆ在自身表象中的矩阵是对角的,对角线上为G ˆ的本征值。
4. 能量测不准关系的数学表示式为E t /2∆∙∆≥ ,即微观粒子的能量与时间不可能同时进行准确的测量,其中一项测量的越精确,另一项的不确定程度越大。
5. 利用()()()2212x,y,z x,y,z d 1ψψτ+=⎰进行归一化,其中:()21x,y,z ψ表示粒子在()z y x ,,处21S z =的几率密度,()22x,y,z ψ表示粒子在()z y x ,,处21S z -=的几率密度。
二、20分,主要考察定态问题的求解。
解:()222b b x ax bxc a x c 2a 4a U ⎛⎫=++=+-+ ⎪⎝⎭ 体系的定态薛定谔方程为:()()()x E x c 4a b 2a b x a x 222222ϕϕϕμ=⎥⎥⎦⎤⎢⎢⎣⎡+-⎪⎭⎫ ⎝⎛++-dx d 整理得,()()()x c 4a b E x 2a b x a x 222222ϕϕϕμ⎪⎪⎭⎫ ⎝⎛-+=⎪⎭⎫ ⎝⎛++-dx d 令2a b x X +=, 221a μϖ=, c 4ab E E 2-+='则: ()()()22222X 1X X E X 22X d d ϕμϖϕϕμ'-+= 此为一维线性谐振子的定态薛定谔方程,其定态波函数为:()()X H e 2X n 2X 21n 21n 22απαϕα-⎪⎪⎪⎭⎫ ⎝⎛=!n 其中,μϖα=,其定态能级为:⋅⋅⋅⋅⋅⋅=⎪⎭⎫ ⎝⎛+='3210n 21n E n ,,,ϖ代入2b b X x ,E Ec 2a 4aϖ'=+==+-得系统的定态波函数与能级为:()⎪⎪⎪⎭⎫ ⎝⎛⎪⎭⎫ ⎝⎛+⎪⎭⎫ ⎝⎛⎪⎪⎪⎪⎪⎪⎭⎫ ⎝⎛⎪⎭⎫ ⎝⎛=⎪⎭⎫ ⎝⎛+⎪⎭⎫ ⎝⎛-2a b x 2H e !22x 412n 22a b x 221n 21412n 2212 μπμϕμa n a a⋅⋅⋅⋅⋅⋅=-+⎪⎭⎫ ⎝⎛+=3210n 4a b c 21n E 2n ,,,ϖ 。
河北工业大学2011年攻读硕士学位研究生入学考试试题(A)科目名称机械原理(II)科目代码822 共3页适用专业机械工程注:所有试题答案一律写在答题纸上、答案写在试卷上、草稿纸上一律无效。
一、填空题(共20分,每题2分。
答案一律写在答题纸上,否则无效)1、一对渐开线标准直齿圆柱齿轮传动,齿轮的压力角与啮合角在处相等。
2、直齿圆锥齿轮的标准参数规定在。
3、在平行轴斜齿圆柱齿轮传动中,除了用变位方法来凑中心距,还可用来凑中心距。
4、对心曲柄滑块机构因极位夹角,所以机会特性。
5、对于直动滚子从动件盘形凸轮机构,为减小升程压力角,则应凸轮的基圆半径。
6、曲柄导杆机构,若导杆为主动件,则机构出现死点的位置时。
7、当使机器在外力作用下能够稳定运转,可采取下列措施:当机器主轴转速具有周期性波动时,使用调速;而当机器主轴转速具有非周期性波动时,则使用来调速。
8、从受力观点分析,移动副的自锁条件是;转动副的自锁条件。
9、作相对运动的三个构件的三个瞬心必。
10、当两个构件组成移动副时其瞬心位于处。
当两构件组成转动副时,其瞬心位于。
二、简答题(共34分)1、(6分)什么是机械的自锁?自锁与死点位置有什么区别?2、(6分)同一构件上不同两点A和B间的速度及加速度有何关系?两构件上的重合点B1和B2间的速度及及加速度有何关系?3、(6分)一对标准齿轮的实际中心距略大于标准中心距时,其传动比有无变化?仍能继续啮合吗?其顶隙、齿侧间隙有何变化?请说明原因。
4、(8分)何谓刚性转子的动平衡?何谓刚性转子的静平衡?他们各需要满足什么条件?各至少需要几个平衡平面进行平衡。
5、(8分)为什么要建立机械系统的等效动力学模型?确定模型所应遵循的条件是什么?三、计算题(共40分)1、(16分)一对渐开线直齿圆柱齿轮传动,已知:传动比i12=2.5,模数m=4mm,压力角α=20°,正常齿。
(1)若按标准中心距安装,a=140mm,试求:①两齿轮齿数z1、z2;②啮合角α’;③节圆半径r1’、r2’;④齿顶圆半径r a1、r a2;⑤齿根圆半径r f1、r f2。
量子力学习题河北大学课程考核试卷—学年第学期级专业(类)考核科目量子力学课程类别必修课考核类型考试考核方式闭卷卷别 A(注:考生务必将答案写在答题纸上,写在本试卷上的无效)一、概念题:(共20分,每小题4分)1、简述波函数的统计解释;2、对“轨道”和“电子云”的概念,量子力学的解释是什么?3、力学量G在自身表象中的矩阵表示有何特点?4、简述能量的测不准关系;5、电子在位置和自旋z S ?表象下,波函数???? ??=ψ),,(),,(21z y x z y x ψψ如何归一化?解释各项的几率意义。
二(20分)设一粒子在一维势场c bx ax x U ++=2)(中运动(0>a )。
求其定态能级和波函数。
三(20分)设某时刻,粒子处在状态)cos (sin )(212kx kx B x +=ψ,求此时粒子的平均动量和平均动能。
四(20分)某体系存在一个三度简并能级,即 E E E E ===)0(3)0(2)0(1。
在不含时微扰H '?作用下,总哈密顿算符H ?在)0(?H 表象下为=**21100E E E H βαβα。
求受微扰后的能量至一级。
五(20分)对电子,求在x S ?表象下的xS ?、y S ?、z S ?的矩阵表示。
A —1—1河北大学课程考核试卷—学年第学期级专业(类)考核科目量子力学课程类别必修课考核类型考试考核方式闭卷卷别 B(注:考生务必将答案写在答题纸上,写在本试卷上的无效)一、概念题:(共20分,每小题4分)1、何为束缚态?2、当体系处于归一化波函数ψ(,)?r t 所描述的状态时,简述在ψ(,)?r t 状态中测量力学量F 的可能值及其几率的方法。
3、设粒子在位置表象中处于态),(t r ?ψ,采用Dirac符号时,若将ψ(,)?r t 改写为ψ(,)?r t 有何不妥?采用Dirac 符号时,位置表象中的波函数应如何表示?4、简述定态微扰理论。
5、Stern —Gerlach 实验证实了什么?二(20分)设粒子在三维势场()ax a z y x U <>??∞=x 0,,中运动,求粒子定态能量和波函数。