【20秋】西南大学[0727]《建筑力学》
- 格式:docx
- 大小:108.44 KB
- 文档页数:10
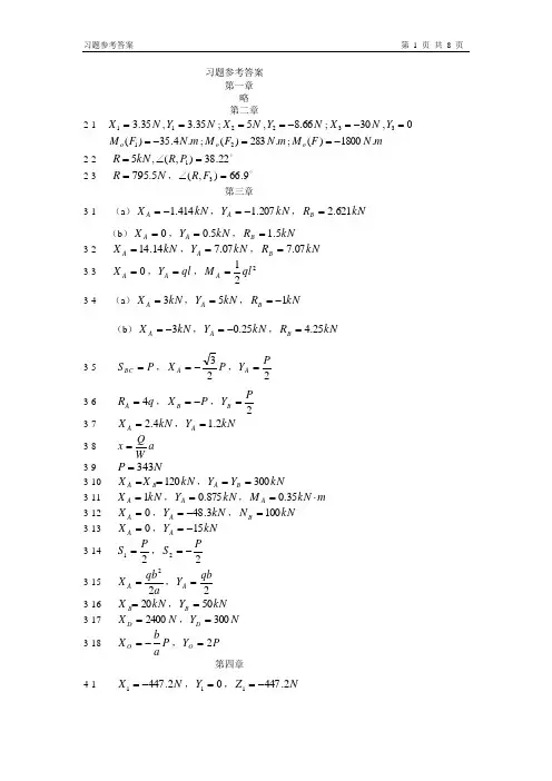
《建筑力学》机考网考题库及谜底之勘阻及广创作一、单项选择题1.若刚体在二个力作用下处于平衡,则此二个力必( ). D.年夜小相等,方向相反,作用在同一直线2.由两个物体组成的物体系统,共具有( )自力的平衡方程. D.63.静定结构的几何组成特征是( ). B.体系几何不变且无过剩约束4.低碳钢的拉伸过程中,胡克定律在( )范围内成立. A.弹性阶段5.约束反力中含有力偶的支座为( ). B.固定端支座7.截面法求杆件截面内力的三个主要步伐顺序为( ). D.取分离体、画受力图、列平衡方程8.在一对( )位于杆件的纵向平面内的力偶作用下,杆‘件将发生弯曲变形,杆的轴线由直线弯曲成曲线. B.年夜小相等、方向相反9.低碳钢的拉伸过程中,( )阶段的特点是应力几乎不变. B.屈服1.约束反力中能确定约束反力方向的约束为( ). D.光滑接触面2.平面平行力系有( )个自力的平衡方程,可用来求解未知量. C.23.三个刚片用( )两两相连,组成几何不变体系. A.不在同一直线的三个单铰4.力的作用线都互相平行的平面力系是( ). C.平面平行力系5.结点法计算静定平面桁架,其所取脱离体上的未知轴力数一般不超越( )个. B.27.轴向拉(压)时,杆件横截面上的正应力( )分布. A.均匀8.在图乘法中,欲求某点的水平位移,则应在该点虚设( ). B.水平向单元力3.静定结构的几何组成特征是( ). B.体系几何不变且无过剩约束5.图示构件为T形截面,其形心轴最有可能的是( ). C Z3 、6.位移法的基本未知量是( ). C.结点位移7.作刚架内力图时规定,弯矩图画在杆件的( ). c.受拉一侧9.利用正应力强度条件,可进行( )三个方面的计算. C.强度校核、选择截面尺寸、计算允许荷载10.在图乘法中,欲求某点的转角,则应在该点虚设( ). D.单元力偶6.在梁的强度计算中,必需满足( )强度条件. C.正应力和剪应力7.在力法典范方程的系数和自由项中,数值范围可为正、负实数或零的有( ). D.副系数和自由项1.既限制物体沿任何方向运动,又限制物体转动的支座称为( ). C.几何不变体系,无过剩约束4.力的作用线都互相平行的平面力系是( ). C.平面平行力系5.结点法计算静定平面桁架,其所取脱离体上的未知轴力数一般不超越( )个. B.27.轴向拉(压)时,杆件横截面上的正应力( )分布. A.均匀8.在图乘法中,欲求某点的水平位移,则应在该点虚设( ). B.水平向单元力3.静定结构的几何组成特征是( ). B.体系几何不变且无过剩约束5.图示构件为T形截面,其形心轴最有可能的是( ). C Z3 、6.位移法的基本未知量是( ). C.结点位移7.作刚架内力图时规定,弯矩图画在杆件的( ). c.受拉一侧二、判断题11.在约束的类型中,结点可分为铰结点、刚结点、自由结点.(×)12.交于一点的力所组成的力系,可以合成为一个合力,合力在坐标轴上的投影即是各分力在同一轴上投影的代数和.(\/) 13.在平面力系中,所有力作用线汇交于一点的力系,称为平面一般力系,有3个平衡方程.(×)14.过剩约束是指维持体系几何不变性所过剩的约束.(\/)15.杆件变形的基本形式共有轴向拉伸与压缩、剪切、扭转和弯曲四种.(\/)16.截面上的剪力使研究对象有逆时针转向趋势时取正值.(×)17.作资料的拉伸试验的试件,中间部份的工作长度是标距,规定圆形截面的试件,标距和直径之比为5:1或10:1.(\/)18.平面图形的对称轴一定通过图形的形心.(\/)19.两端固定的压杆,其长度系数是一端固定、一端自由的压杆的4倍.(×)20.挠度向下为正,转角逆时针转向为正.(×)21.力法的基本未知量就是过剩未知力.(\/) 22.力矩分配法的三个基本要素为转动刚度、分配系数和传递系数.(\/)23.力偶的作用面是指组成力偶的两个力所在的平面.(\/)24.在使用图乘法时,两个相乘的图形中,至少有一个为直线图形.(\/)25.力系简化所得的合力的投影和简化中心位置无关,而合力偶矩和简化中心位置有关. (/)11.约束是阻碍物体运动的限制物.(\/)12.力沿坐标轴方向上的分力是矢量,力在坐标轴上的投影是代数量.(\/)13.力系简化所得的合力的投影和简化中心位置有关,合力偶矩和简化中心位置有关. (×)14.几何不变体系是指在荷载作用下,不考虑资料的位移时,结构的形状和位置都不成能变动的结构体系.( ×)15.没有过剩约束的几何不变体系组成的结构是超静定结构.(×)16.平行于梁横截面的内力是剪力作用面与梁横截面垂直的内力偶是弯矩.(\/)17.轴向拉伸(压缩)的正应力年夜小和轴力的年夜小成正比,规定拉为正,压为负.(\/)18.平安因素取值年夜于1的目的是为了使构件具有足够的平安储藏.(\/)19.压杆上的压力年夜于临界荷载,是压杆稳定平衡的前提.( ×)20.梁横截面竖向线位移称为挠度,横截面绕中性轴转过的角度称为转角.(\/)21.图乘法的正负号规定为:面积∞与纵坐标Y.在杆的同一边时,乘积甜Yo应取正号;面积叫与纵坐标Yo在杆的分歧边时,乘积叫Yo应取负号.(\/)22.结点角位移的数目就即是结构超静定的次数.(×)23.物体系统是指由若干个物体通过约束按一定方式连接而成的系统.(\/)24.有面积相等的正方形和圆形,比力两图形对形心轴惯性矩的年夜小,可知前者比后者年夜.( \/)25.计算简图是指经过简化后可以用于对实际结构进行受力分析的图形.(\/)11.对作用在刚体上的力,力的三要素是年夜小、方向和作用点.(\/)12.梁按其支领情况可分为静定梁和超静定梁.(\/)13.力偶的作用面是组成力偶的两个力所在的平面. (\/) 14.如果有扎个物体组成的系统,每个物体都受平面一般力系的作用,则共可以建立3个自力的平衡方程.(×)15.未知量均可用平衡方程解出的平衡问题,称为稳定问题;仅用平衡方程不成能求解出所有未知量的平衡问题,称为不稳定问题.(×)16.平面弯曲是指作用于梁上的所有荷载都在梁的纵向对称面内,则弯曲变形时梁的轴线仍在此平面内. ( \/) 17.应力是构件截面某点上内力的集度,垂直于截面的应力称为剪应力.(×)18.在工程中为保证构件平安正常工作,构件的工作应力不得超越资料的许用应力[a],而许用应力[a]是由资料的极限应力和平安因素决定的.(\/)19.压杆丧失了稳定性,称为失稳.( \/)20.折减系数9可由压杆的资料以及柔度入查表得出.( \/)21.在使用图乘法时,两个相乘的图形中,至少有一个为三角图形.(×)22.位移法的基本未知量为结构过剩约束反力.(×)23.轴力是指沿着杆件轴线方向的内力.(\/)24.桁架中内力为零的杆件称为零杆.(\/)25.无过剩约束的几何不变体系组成的结构为静定结构.(\/)11.建筑的三要素为坚固、实用、美观.(\/)12.计算简图是经过简化后可以用于对实际结构进行受力分析的图形.(\/)13.力偶对物体的转动效应,用力偶矩怀抱而与矩心的位置有关.(×)14.物体系统是指由若干个物体通过约束按一定方式连接而成的系统.(\/)15.在某一瞬间可以发生微小位移的体系是几何不变体系.(×)16.在垂直于杆件轴线的两个平面内,看成用一对年夜小相等、转向相反的力偶时,杆件将虹生弯曲变形.( ×)17.桁架中内力为零的杆件称为零杆.(\/)18.任何一种构件资料都存在着一个接受应力的固有极限,称为极限应力,如构件内应力疆过此值时,构件即告破坏.(\/) 19.平面图形对任一轴的惯性矩,即是它对平行于该轴的形心轴的惯性矩加上平面图形面积与两轴之间距离平方的乘积.(\/)20.细长压杆其他条件不变,只将长度增加一倍,则压杆的临界应力为原来的4倍. (×)21.从提高梁弯曲刚度的角度动身,较为合理的梁横截面应该是:以较小的横截面面积获得较年夜的惯性矩. (\/)22.在力法方程中,主系数瓯恒即是零.(×) 23.约束是阻碍物体运动的限制物.(\/)24.结点角位移的数目纷歧定即是结构的超静定次数.(\/)25.力矩分配法的三个基本要素为转动刚度、分配系数和传递系数.(\/)11.作用在物体上的力,可以沿其作用线移动而对物体的作用效果不变.(×)12.使物体发生运动或运动趋势的力,称为主动力.(\/)13.物体系统是指由若干个物体通过约束按一定方式连接而成的系统.(\/)14.力偶在坐标轴上的投影的代数和恒即是零. (\/)15.轴向拉伸(压缩)时与轴线相重合的内力称为剪力.(×) 16.图形对所有平行轴的惯性矩中,图形对其形心轴的惯性矩为最年夜.(×)17. -根链杆相当于一个约束,一个单铰相当于两个约束,所以一个单铰相当于两根链杆.(\/)18.二力在坐标轴上的投影相等,则两个力一定相等.(×)19.在使用图乘法时,两个相乘的图形中,至少有一个为直线图形.(\/)20.结点角位移的数目就即是结构的超静定次数.(×)21.平面一般力系的平衡方程共有三组九个方程,但自力的平衡方程只有三个.(\/)22.当弯矩不为零时,离中性轴越远,弯曲正应力的绝对值越年夜.(\/)23.有过剩约束的几何不变体系组成的结构是超静定结构.(\/)24.图乘法的正负号规定为:面积∞与纵坐标y.在杆的同一边时,乘积叫.应取正号;面积叫与纵坐标Yo在杆的分歧边时,乘积wy.应取负号.(\/)25.力矩分配法的三个基本要素为转动刚度、分配系数和固端弯矩.(×)1.约束是阻碍物体运动的限制物.(\/)2.力沿坐标轴方向上的分力是矢量,力在坐标轴上的投影是代数量.(\/)3.力系简化所得的合力的投影和简化中心位置有关,而合力偶矩和简化中心位置有关.(×)4.几何不变体系是指在荷载作用下,不考虑资料的位移时,结构的形状和位置都不成能变动的结构体系.(×)5.没有过剩约束的几何不变体系组成的结构是超静定结构.(×)6.平行于梁横截面的内力是剪力,作用面与梁横截面垂直的内力偶是弯矩.(\/)7.轴向拉伸(压缩)的正应力年夜小和轴力的年夜小成正比,规定拉为正,压为负.(\/)8.平安因素取值年夜于1的目的是为了使构件具有足够的平安储藏.(\/)9.压杆上的压力年夜于临界荷载,是压杆稳定平衡的前提.(×)10.梁横截面竖向线位移称为挠度,横截面绕中性轴转过的角度称为转角.(\/)11.图乘法的正负号规定为:面积∞与纵坐标Y.在杆的同一边时,乘积∞Y.应取正号;面积∞与纵坐标Y.在杆的分歧边时,乘积∞弘应取负号.(\/)12.结点角位移的数目就即是结构超静定的次数.(×) 13..物体系统是指由若干个物体通过约束按一定方式连接而成的系统.(\/)14.有面积相等的正方形和圆形,比力两图形对形心轴惯性矩的年夜小,可知前者比后者年夜.(\/)15.计算简图是指经过简化后可以用于对实际结构进行受力分析的图形.(\/)166211.力的三要素是年夜小、方向、作用点.(\/) 12.合力一定比分力年夜.(×)13.物体平衡是指物体处于静止状态.(×)14.二力在坐标轴上的投影相等,则两个力一定相等.(×)15.力偶的作用面是指组成力偶的两个力所在的平面.( \/)16.几何不变体系是指在荷载作用下,不考虑资料的位移时,结构的形状和位置都不成能变动的结构体系.( ×)17.约束是阻碍物体运动的限制物.(\/)18.平安因素取值年夜于1的目的是为了使构件具有足够的平安储藏.(\/)19.抗弯刚度只与资料性质有关.(×)20.应力是构件截面某点上内力的集度,垂直于截面的应力称为剪应力.(×)21.梁和刚架的主要内力是轴力.(×) 22.桁架中内力为零的杆件称为零杆.(\/)23.压杆上的压力年夜于临界荷载,是压杆稳定平衡的前提.(×)24.结点角位移的数目一定即是结构的超静定次数.(×)25.力法典范方程是根据变形协调条件建立的. (\/)(一)判断题1.若两个力在坐标轴上的投影相等,则这两个力一定相等.(×)2.力法的基本未知量为结点位移.(×)3. 力偶对物体的转动效应,用力偶矩怀抱而与矩心的位置无关.(√)4. 拉压刚度EA越小,杆件抵当纵向变形的能力越强.(×)5. 应力是构件截面某点上内力的集度,垂直于截面的应力称为切应力.(×)6. 轴向拉伸(压缩)的正应力年夜小和轴力的年夜小成正比.(√)7. 图形对所有平行轴的惯性矩中,图形对其形心轴的惯性矩为最年夜.(×)8. 平面图形对其形心轴的静矩恒为零.(√)9. 压杆上的压力即是临界荷载,是压杆稳定平衡的前提.(×)10.欧拉公式是在假定资料处于弹性范围内并服从胡克定律的前提下推导出来的.(√)(二)单项选择题1.既限制物体沿任何方向运动,又限制物体转动的支座称为( C ). C. 固定端支座2. 能够限制物体角位移的约束是( B ). B.固定端支座3.力偶可以在它的作用平面内( C ),而不改变它对物体的作用.C.任意移动和转动4.在下列原理、法则、定理中,只适用于刚体的是( C )C.力的可传性原理5.平面力偶系合成的结果是一个( B ). B.合力偶7.平面汇交力系合成的结果是一个( A ). A.合力8.图示单跨梁的传递系数是( A ). A.09. 图示结构的超静定次数为( A )次 A.010.在图乘法中,欲求某两点的相对转角,则应在该点虚设( C ). C. 一对反向的单元力偶(三)作图与计算题 1.绘制图示悬臂梁的弯矩图.解:图示悬臂梁的弯矩图正确的是()谜底:C2.计算图示桁架的支座反力及1、2杆的轴力.解:求支座反力一、静力学基本知识1. 建筑的三要素是什么?坚固、实用、美观2.什么是计算简图?计算简图是经过简化后可以用于对实际结构进行受力分析的图形.3.物体平衡是指物体处于静止状态吗?物体相对地球坚持静止或作匀速直线运动,称为平衡.4. 对作用在物体上的力,力的三要素是年夜小、方向、作用线吗?力的三要素是年夜小、方向、作用点.5.力是矢量吗?力是有年夜小和方向的量,所以力是矢量.6.什么是刚体?在任何外力作用下,年夜小和形状均坚持不变的物体称为刚体.7.作用在物体上的力,可以沿其作用线移动而对物体的作用效果不变吗?作用在物体上的力,可以沿其作用线移动而对物体的作用效果可能会变.8.力的作用线通过矩心,力矩为几多?力的作用线通过矩心,则力矩为零.9.力偶在坐标轴上的投影的代数和恒即是零吗?力偶在坐标轴上的投影的代数和恒即是零.10.力偶对物体的转动效应,用力偶矩怀抱而与矩心的位置有关吗?力偶对物体的转动效应,用力偶矩怀抱而与矩心的位置有关. 11.若刚体在二个力作用下处于平衡,则此二个力有什么关系?若刚体在二个力作用下处于平衡,则此二个力肯定年夜小相等,方向相反,作用在同一直线.12.交于一点的力所组成的力系,可以合成为一个合力,合力在坐标轴上的投影即是各分力在同一轴上投影的代数和吗?交于一点的力所组成的力系,可以合成为一个合力,合力在坐标轴上的投影即是各分力在同一轴上投影的代数和.13.投影方程建立与坐标原点位置有关吗?投影方程建立与坐标原点位置无关.14.二力在坐标轴上的投影相等,则两个力一定相等吗?二力在坐标轴上的投影相等,则两个力纷歧定相等.15.力沿坐标轴方向上的分力是矢量,力在坐标轴上的投影是代数量吗?力沿坐标轴方向上的分力是矢量,力在坐标轴上的投影是代数量.16.力系简化所得的合力的投影和简化中心位置有关吗?合力偶矩和简化中心位置有关吗?力系简化所得的合力的投影和简化中心位置无关,合力偶矩和简化中心位置有关.17.力在某坐标轴上投影为零,如力的年夜小不为零,则该力一定与该坐标轴垂直吗?力在某坐标轴上投影为零,如力的年夜小不为零,则该力一定与该坐标轴垂直.束.4.什么是两刚片规则?平面内两个刚片用三根既不完全平行也不交于一点的链杆相连,组成的体系为几何不变体系,且无过剩约束.5.约束是阻碍物体运动的一种装置吗?约束是阻碍物体运动的一种装置.6.什么是过剩约束?裁撤后不影响体系几何不变性的约束称为过剩约束.过剩约束是指维持体系几何不变性所过剩的约束.7.在一个几何不变体系中增加一个二元体,是否会改变原体系的几何性质?在一个几何不变体系中增加一个二元体,不会改变原体系的几何性质.在一个几何可变体系中增加一个二元体,原体系仍为几何可变体系.在一个几何可变体系中去失落一个二元体,原体系仍为几何可变体系.8.什么是三刚片规则?三个刚片用不在同一直线的三个单铰两两相连,组成几何不变体系.9.切断一根结构内部链杆相当于解除几多约束?切断一根结构内部链杆相当于解除1个约束.10.连结两个物体的圆柱铰链有几多个约束?连结两个物体的圆柱铰链有2个约束.11.裁撤一根支承链杆相当于解除几多个约束?裁撤一根支承链杆相当于解除1个约束.12.一个点在平面内的自由度有几多个?一个点在平面内的自由度有2个.13.一根杆件在平面内有几多个自由度?一根杆件在平面内有3个自由度.14.静定结构的几何组成特征是什么?静定结构的几何组成特征是体系几何不变且无过剩约束.15. 两刚片用一个铰和欠亨过该铰的一根链杆相连组成的体系是几何可变还是几何不变?两刚片用一个铰和欠亨过该铰的一根链杆相连组成的体系是无过剩约束的几何不变体系.16.图示结构为几何可变体系还是几何不变体系?图示结构为几何不变体系,无过剩约束.三、静力结构内力计算1. 杆件变形的基本形式有几种?具体有哪些?杆件变形的基本形式有轴向拉伸与压缩、剪切、扭转和弯曲四种.2. 轴力是指沿着杆件轴线方向的内力吗?轴力是指沿着杆件轴线方向的内力.3.两根资料分歧,截面面积分歧的杆件,在相同轴向外力作用下,轴力是否相等?两根资料分歧,截面面积分歧的杆件,在相同轴向外力作用下,轴力是相等的.4. 什么是截面法?截面法是将构件用假想截面截开,将内力显露出来,再应用平衡原理,确定内力.5. 轴向拉伸(压缩)时与轴线相重合的内力称为剪力?轴向拉伸(压缩)时与轴线相重合的内力称为轴力.6. 结点法一次截取几个结点作为研究对象?结点法一次截取一个结点作为研究对象.7.结点法计算静定平面桁架,其所取脱离体上的未知轴力数一般不超越几个?结点法计算静定平面桁架,其所取脱离体上的未知轴力数一般不超越2个.8. 桁架中内力为零的杆件称为什么?应该裁撤吗?桁架中内力为零的杆件称为零杆,零杆不是过剩杆件,不应该裁撤.9.“左上右下剪力为正”是剪力的正负号规定吗?“左上右下剪力为正”不是剪力的正负号.10.截面上的剪力使研究对象有逆时针转向趋势时取正值吗?截面上的剪力使研究对象有顺时针转向趋势时取正值,有逆时针转向趋势时取负值.11.轴力的正负规定是如何规定的?轴力以拉为正.12.弯矩图应画在梁的哪一侧?弯矩图应画在梁的受拉一侧.13.梁和刚架的主要内力是轴力吗?梁和刚架的主要内力不是轴力.14.关于内力图,以下说法正确吗?在集中力作用点处,梁的剪力图有突变,弯矩图有尖点. 正确.15.简支梁在跨中受集中力作用时,跨中弯矩一定最年夜吗?简支梁在跨中受集中力作用时,跨中弯矩一定最年夜.16.截面法求杆件截面内力的三个主要步伐是什么?截面法求杆件截面内力的三个主要步伐是:取分离体、画受力图、列平衡方程.17.杆件横截面上的内力有几种形式?具体为什么?杆件横截面上的内力有3种形式,具体为弯矩、轴力、剪力.18.单跨静定梁有哪几种类型?单跨静定梁有简支梁、悬臂梁、伸臂梁三种类型.19.杆件的内力与杆件的外力、截面、资料都有关?杆件的内力与杆件的外力有关,与截面、资料都无关.四、杆件的强度、刚度和稳定性计算1.什么是应力?应力是构件截面某点上内力的集度,垂直于截面的应力称为正应力,相切于截面的应力称为切应力.2.两根相同截面、分歧资料的杆件,受相同的外力作用,它们的应力是否相同?两根相同截面、分歧资料的杆件,受相同的外力作用,它们的应力相同.3.杆件的应变与杆件的外力、截面、资料有关吗?杆件的应变与杆件的外力、截面、资料有关.4.胡克定律适用于什么情况?胡克定律适用于应力不超越比例极限.5.什么是EA?什么是EI?EA是抗拉刚度.EI是抗弯刚度.6.低碳钢的拉伸过程中,每个阶段的应力特点是什么?弹性阶段的特点是应力与应酿成正比.屈服阶段的特点是应力几乎不变.7.工程设计中,规定了容许应力作为设计依据:其值为极限应力0除以平安系数n, n的取值范围是几多?n>18.确定塑性资料的容许应力时,极限应力是什么极限?确定塑性资料的容许应力时,极限应力是屈服极限.9.轴向拉(压)时,杆件横截面上的正应力是均匀分布吗?轴向拉(压)时,杆件横截面上的正应力是均匀分布.10.利用正应力强度条件,可进行哪3个方面的计算?利用正应力强度条件,可进行强度校核、选择截面尺寸、计算允许荷载3个方面的计算.11.要保证轴向拉杆在荷载作用下不失效,横截面上的最年夜正应力需满足什么条件?要保证轴向拉杆在荷载作用下不失效,横截面上的最年夜正应力应小于或即是许用正应力.12.什么是构件的强度、刚度、稳定性?构件抵当破坏的能力称为强度.构件抵当变形的能力称为刚度.构件坚持原来平衡状态的能力称为稳定性.13.圆形截面,直径为D,则其对形心轴的惯性矩为几多?圆形截面,直径为D,则其对形心轴的惯性矩为矩形截面,高为h,宽为b,则其对形心轴Z的惯性矩为几多?矩形截面,高为h,宽为b,则其对形心轴Z的惯性矩为矩形截面,高为h,宽为b,则其抗弯截面模量为几多?矩形截面,高为h,宽为b,则其抗弯截面模量为14.压杆稳定平衡的前提是什么?压杆稳定平衡的前提是压杆上的压力小于临界荷载.15.压杆的长细比λ与哪些因素有关?压杆的长细比λ与压杆两真个支领情况、杆长、截面形状和尺寸等因素有关.16.受压杆件在罕见的各种支领情况下,若其他条件完全相同,临界应力最小是什么情况?临界应力最年夜是什么情况?受压杆件在罕见的各种支领情况下,若其他条件完全相同,临界应力最小是一端固定一端自由,临界应力最年夜的是两端固定.17.一个两端固定的受压构件,若其临界力为100kN,如果将支领情况改为两端铰支,则构件的临界力酿成几多?由下面的计算公式可得临界力酿成25 kN.当资料处于弹性阶段时,细长压杆的临界力可用欧拉推导出的公式计算.。
0727 20232单项选择题1、一般的空间应力状态下有()个独立的应力分量。
.3 . 6. 4 .52、矩形截面梁横截面的切应力,其大小沿高度按照( )变化。
. 假设均匀 . 抛物线. 直线 .均匀3、以下关于应力的说法正确的是( )。
. 应力可以分解为正应力和切应力 . 不同点的应力不同. ABC.应力是单位面积的力4、一般的空间应力状态下有( )个独立的应变分量。
. 6. 4 .3.55、第二强度理论又称为( )。
.最大伸长线应变理论.形状改变能密度理论.最大切应力理论.最大拉应力理论6、纯弯曲指的是梁的( )。
.弯矩为零;剪力为常量.剪力和弯矩都为零.剪力和弯矩都不为零.剪力为零;弯矩为常量7、以下的约束,其约束力表现为空间的一个力和一个力偶的是()。
.固定铰支座.径向轴承.空间固定端约束.可动铰支座8、惯性矩较大的截面形式是()。
.空心截面.矩形.对称于中性轴的截面.圆形9、以下选项中衡量材料塑性的指标是( )。
.屈服极限.强度极限.比例极限.伸长率10、以下的约束其约束力属于法向约束力的是( )。
.向心轴承.ABC.铰链约束.固定铰支座11、根据均匀性假设,可认为构件的下列各量中的哪个量在各点处都相同。
( ).应变.位移.应力.材料的弹性常数12、薄壁环形截面梁最大切应力是其平均值的()倍。
. 1.5.4/3.1.0.213、第三强度理论又称为( )。
.最大伸长线应变理论.形状改变能密度理论.最大拉应力理论.最大切应力理论14、以下哪一个措施不能提高梁的强度( )。
.合理布置梁的荷载和支座.采用合理的截面.增大跨长.采用变截面梁15、以下关于应力的说法错误的是()。
.应力是矢量.同一点的应力相同.应力是单位面积的力.应力可以分解为正应力和切应力16、以下关于平衡力系说法中正确的是( )。
.ABC.力系中所有力在任意轴投影的代数和均为零.力系的主矢和对任意点的主矩均为零.力系中所有力对任意点力矩之和均为零17、力偶对物体产生的运动效应为()。
《建筑力学》复习题及参考答案一、单项选择题固定端约束通常有(C)个约束反力。
A∙大小相等,方向相反,作用在同一直线。
B∙大小相等,作用在同一直线。
A.体系儿何可变B∙体系儿何瞬变A. FQC(左)二FQC(右),Mc(左)二McCtf)建筑力学复习题4.5.C∙方向相反,作用在同一直线。
一个点和一个刚片用(A∙两根共线的链杆C∙三根不共线的链杆B∙D∙静定结构的儿何组成特征是D.大小相等。
的链杆相连,组成儿何不变体系。
两根不共线的链杆三根共线的链杆D )oC∙体系儿何不变D∙体系儿何不变且无多余约束6.7.简支梁受力如图示,2.(A) 一(B)二(C)三如右图所示结构为)oA∙儿何瞬变体系C∙儿何不变体系, 无多余约束D •儿何不变体系, 有一个多余约束3・若刚体在二个力作用下处于平衡,则此二个力必(A)o(D)四B.儿何可变体系B.F QC(左)二F QC(右)-F, Mc (左)二Mc (右)C.FQC(左)=F0c(右)+F, Mc(左)=McCfi)D.FQC(左)二FQC(右)-F, MC(左)≠Mc(右)8.工程设计中,规定了容许应力作为设计依据:[σ∙]=匚。
其值为极限应力刃Il 除以安全系数“,其中“为( D )oA・≥1 B. ≤1 C・〈1 D. >110.位移法的基本未知量是(2E11/2A・ 2/ B・ 4i C. 8/ D. 16/12.如图所示为四根材料相同、直径相等的杆件。
承载能力大的是(D )杆。
A.图a。
B.图b。
C.图6D.图d。
b) C)a)d)A∙结点位移 B. 多余约束力C∙杆件的变形 D.11.图示单跨梁的转动刚度SAB是(D支座位移.Z . El)(Z =——)。
I13.桁架中的二杆结点, 如无外力作用,如果二杆(A ),则此二杆都是零杆。
I-不共线11・共线III.互相垂直A. IB. IIC. I、IIID. II、III14.如图所示各杆的受载情况中, 使杆件产生纯扭转变形的是图(bZF(a)e≡ e≡2F(e)15•正方形结构如图所示,已知各杆的EA都相同,则斜杆1-3的伸长为(C A.△ /=2/ EA B.∆∕=0o)。
国开期末考试《建筑力学》机考试题及答案(第4套) (试卷号2348,整套相同,祝同学们取得优异成绩!)一、判断题(共10题,共40分)1、对于作用在物体上的力,力的三要素是大小、方向和作用线。
(×)2、如果有n个物体组成的系统,每个物体都受平面一般力系的作用,则共可以建立3个独立的平衡方程。
(×)3、几何可变体系是指在荷载作用下,不考虑材料的位移时,结构的形状和位置都不可能变化的结构体系。
(×)4、“左上右下剪力为正”是剪力的正负号规定。
(×)5、安全因素取值大于1的目的是为了使构件具有足够的安全储备。
(√)6、平面图形的对称轴一定不通过图形的形心。
(×)7、欧拉公式是在假定材料处于弹性范围内并服从胡克定律的前提下推导出来的。
(√)8、梁横截面竖向线位移称为挠度,横截面绕中性轴转过的角度称为转角。
(√)9、在力法方程中,主系数δii恒等于零。
(×)10、在力矩分配法中,相邻的结点不能同时放松。
(√)二、单项选择题(共10题,共40分)1、若刚体在二个力作用下处于平衡,则此二个力必(D)。
【A】:大小相等【B】:大小相等,作用在同一直线【C】:方向相反,作用在同一直线【D】:大小相等,方向相反,作用在同一直线2、力F在x轴上的投影Fx=Fsinβ,力F与x轴的夹角为(B)。
【A】:β【B】:90°-β【C】:90°+β【D】:180°-β3、如图所示结构为(B)。
【A】:几何可变体系【B】:几何瞬变体系【C】:几何不变体系,无多余约束【D】:几何不变体系,有一个多余约束4、截面法求杆件截面内力的三个主要步骤顺序为(D)。
【A】:列平衡方程、画受力图、取分离体【B】:画受力图、列平衡方程、取分离体【C】:画受力图、取分离体、列平衡方程【D】:取分离体、画受力图、列平衡方程5、低碳钢的拉伸过程中,(A)阶段的特点是应力与应变成正比。
西南大学培训与继续教育学院课程考试试题卷学期:2020年春季
课程名称【编号】:建筑力学【0727】 A卷
考试类别:大作业满分:100分
说明:学生可以任选两题作答
一、已知外伸梁的荷载和尺寸如图,试确定支座A和B的支座约束反力。
(50分)
二、组合梁由AC,CD组成。
已知a,q。
不计梁自重。
试求A,B,D处的约束力。
(50分)
三、如图所示,正方形截面简支梁,长l=4m,中点作用集中力F=3kN。
若材料的许用应力[ ]=10MPa,试确定截面尺寸a。
(50分)
四、图示直径为d的圆截面杆,受到一对偏心距为e的偏心压力F的作用,试求当杆横截面上不存在拉应力时,偏心距e的取值范围。
(50分)
五、图示结构由梁AB和杆CD组成,材料均为Q235钢,其E=200GPa,[σ]=160MPa;杆CD为细长杆,两端为铰支,截面为直径d=80mm的圆形。
已知载荷F=40kN,规定稳定安全因数[n st]=5,试校核杆CD的稳定性。
(50分)
A B
三、如图所示,正方形截面简支梁,长l=4m,中点作用集中力F=3kN。
若材料的许用应力[ ]=10MPa,试确定截面尺寸a。
(50分)
五、图示结构由梁AB和杆CD组成,材料均为Q235钢,其E=200GPa,[σ]=160MPa;杆CD为细长杆,两端为铰支,截面为直径d=80mm的圆形。
已知载荷F=40kN,规定稳定安全因数[n st]=5,试校核杆CD的稳定性。
(50分)。
第二次作业单选题题目说明:(10.0 分)1.轴向拉伸的应力公式在什么条件下不适用A.A:杆件不是等截面直杆B.B:杆件各横截面的内力不仅有轴力,还有弯矩C.C:杆件各横截面上的轴力不相同D.D:作用于杆件的每一个外力作用线不全与杆件轴线相重合纠错(10.0 分)2. 最大剪应力所在的截面和主平面成的角度是A.A:30B.B:60C.C:45D.D:90纠错(10.0 分)3..一实心圆轴受扭,当其直径减少到原来的一半时,则圆轴的单位扭转角为原来的几倍A.A:2B.B:4C.C:8D.D:16纠错(10.0 分)4.下面说法正确的是A.A:挠度向下为正B.B:挠度向上为负C.C:转角以顺时针为正D.D:ABC纠错(10.0 分)5. 两根直径相同长度及材料不同的圆轴,在相同扭矩作用下,其最大剪应力和单位扭转角之间的关系是A.A:最大剪应力相同,单位扭转角不同B.B:最大剪应力相同,单位扭转角相同C.C:最大剪应力不同,单位扭转角不同D.D:最大剪应力不同,单位扭转角相同纠错(10.0 分)6. 不属于材料力学的基本假设的有A.A:连续性B.B:均匀性C.C:各向同性D.D:各向异性纠错(10.0 分)7.以下说法不正确的是A.A:外力按其作用方式可分为体积力和表面力B.B:按是否随时间变化将载荷分为静载荷和动载荷C.C:动载荷可分为交变载荷和冲击载荷D.D:在动静载荷中材料的机械性能一样纠错(10.0 分)8.关于矩形截面和圆截面杆扭转的区别以下正确的是A.A:变形后圆截面杆的横截面还是平面B.B:平面假设可以用于矩形截面杆扭转分析C.C:矩形截面杆变形后横截面还是平面D.D:平面假设对任何截面杆都适用纠错(10.0 分)9.提高梁的弯曲强度的措施有A.A:采用合理截面B.B:合理安排梁的受力情况C.C:采用变截面梁或等强度梁D.D:ABC纠错(10.0 分)10.在梁的正应力公式σ=My/Iz中,Iz为梁截面对于()的惯性矩A.A:形心轴B.B:对称轴C.C:中性轴D.D:形心主对称轴纠错(10.0 分)11.铸铁试件在扭转时,若发生破坏,其破坏截面是A.A:沿横截面B.B:沿与杆轴线成45度的斜截面C.C:沿纵截面D.D:沿与杆轴线成60度的斜截面纠错(10.0 分)12.下列结论哪些是正确的(1)剪应力互等定理是根据平衡条件推倒出来的(2)剪应力互等定理是在考虑平衡、几何、物理三个方面因素基础上导出的(3)剪应力互等定理只适用于受扭杆件(4)剪应力互等定理适用于各种受力杆件A.A:(1)(3)B.B:(1)(4)C.C:(2)(3)D.D:(2)(4)纠错(10.0 分)13.剪应力公式τ=Q/A的应用条件是A.A:平面假设B.B:剪应力在剪切面上均匀分布假设C.C:剪切面积很小D.D:无正应力的面上纠错(10.0 分)14.下列结论中哪个是正确的?A.A:内力是应力的代数和B.B:应力是内力的平均值;C.C:应力是内力的集度;D.D:内力必大于应力纠错(10.0 分)15.直径为D的实心圆轴,两端受扭矩力偶矩T作用,轴内的最大剪应力为τ。
电大机考(新)《建筑力学》第4套判断题(共15题,共30分)1. 力使物体的形状发生改变的效应称为变形效应或内效应。
()T √F ×参考答案:T2. 凡两端用铰链连接的直杆均为二力杆。
()T √F ×参考答案:F3. 力就是荷载,荷载就是力。
()T √F ×参考答案:F4. 当力与坐标轴平行时,力在该轴上投影的绝对值等于力的大小。
()T √F ×参考答案:T5. 力的作用线通过矩心,则力矩为零。
()T √F ×参考答案:T6. 投影方程的建立与坐标原点的位置有关。
()T √F ×参考答案:F7. 应力是构件截面某点上内力的集度,垂直于截面的应力称为切应力。
()T √F ×8. 轴向拉压杆的横截面上只有切应力。
()T √F ×参考答案:F9. E为材料的拉压弹性模量,其值可由试验测定。
T √F ×参考答案:T10. 截面上的剪力使研究对象有逆时针转动趋势时取正值。
T √F ×参考答案:F11. 度量梁的弯曲变形有两个量,分别是挠度和转角。
T √F ×参考答案:T12. 图形对所有平行轴的惯性矩中,图形对其形心轴的惯性矩为最大。
T √F ×参考答案:F13. 压杆的长细比λ越小,其临界应力越小。
T √F ×参考答案:F14. 体系的全部反力和内力均可用静力平衡方程求出的平衡问题,称为静定问题。
T √F ×15. 抗弯刚度只与材料性质有关。
T √F ×参考答案:F单选题(共15题,共30分)1. 建筑力学在研究变形固体时,对变形固体做了什么假设?()A 连续性假设B 非均匀性假设C 各向异性假设D 大变形假设参考答案:A2. 两个共点的力可以合成为一个力,一个力也可以分解为两个相交的力。
一个力的分解可以有()解。
A 一个B 两个C 三个D 无数个参考答案:D3. 既限制物体沿任何方向运动,又限制物体转动的支座是()。
《建筑力学》教案第一章绪论【目的要求】1. 掌握:刚体的概念,杆件变形的基本形式。
2.熟悉:平面杆系结构的类型,建筑力学的任务,刚体、变形体及其基本假设。
3.了解:薄壁结构、实体结构的概念,载荷的分类。
【重点、难点】1.教学重点:杆件变形的基本形式。
2.教学难点:刚体、变形体及其基本假设。
【教学方法与教学手段】讲授式、讨论式、案例式。
【教学时数】4学时【本章知识点】1.杆系结构杆系结构——建筑物中的骨架主要由杆件组成,建筑力学主要研究平面杆件结构,在计算简同中用其轴线表示;2.计算模型:刚体、变形体计算模型-刚体、变形体——其中刚体是受力不变形的物体,当我们讨论的问题与变形无关或影响很小时可以使问题简化;3.变形基本形式变形体是物体变形不可忽略时的讨论,但也要有连续、均匀及各向同性的假设。
包括拉压、剪切、扭转、弯曲,这四种基本的变形形式是日常生活中常见的,在本课程的学习中,应注意产生变形的力和力偶与相应的变形的对应关系。
4.建筑力学的内容和任务(1)结构由杆件组成,如何组成才能成为一个结构是我们首先要研究的问题;(2)结构是要承受荷载的,这里讨论最简单的结构(静定结构)在荷载作用下的内力计算(杆件视为刚体)(3)研究单个杆件在基本变形形式下的受力情况,及其相应的变形以及受力与变形之间关系(变形体)(4)静定结构在荷载作用下的变形与位移(5)超定结构的内力(位移)三个经典方法(6)直杆受压的稳定问题5.集中荷载、均布荷载主要讨论集中荷载、均布荷载问题,其它荷载在其他课程讨论。
【基本内容及要求】1.结构与构件(1)理解结构的概念;(2)了解结构按其几何特征的三种分类。
2.刚体、变形体及其基本假设(1)了解建筑力学中物体的概念;(2)掌握在建筑力学中将物体抽象化为两种计算模型,以及刚体、理想变形固体的概念及其主要区别。
(3)掌握弹性变形与塑性变形的概念。
3.杆件变形的基本形式(1)掌握轴向变形或压缩、剪切、扭转、弯曲四种基本变形的变形特点。
《建筑力学》例题及解答第二章 平面杆件体系的几何组成分析对图示各体系分别作几何组成分析。
一、答题要点:( 共 10分)1、结论:整个体系为无多余约束的几何不变体系。
( 4分)2、分析要点:( 6分)a 、大地及A 支座一起看成刚片Ⅰb 、BCF 看成刚片Ⅱc 、根据两刚片原则,刚片Ⅰ、Ⅱ通过三根不相交一点,且不完全平行的链杆AB 、EF 、CD 相连,组成无多余约束的几何不变体系。
二、答题要点:( 共 10分)1、结论:整个体系为无多余约束的几何不变体系。
( 4分)2、分析要点:( 6分)a 、大地及A 支座一起看成大刚片Ⅰb 、ABEF 看成刚片,BCDG 看成刚片。
根据两刚片原则, 两刚片通过铰B 和不通过铰B 的链杆ED 相连,则ABCDE 可看成一个大刚片Ⅱ。
c 、根据两刚片原则,大刚片Ⅰ、Ⅱ通过铰A 和不通过铰A 的链杆CH 相连,为无多余约束的几何不变体系。
三、对图示各体系分别作几何组成分析。
答题要点:( 共10分)1、结论:整个体系为无多余约束的几何不变体系。
( 4分)2、分析要点:( 6分)A B C DE F A B C DE F G H (a)(b)(a)F E D CB A ⅠⅡBC D EF A B C EF G H (a)(b)(b)H G F E D CBA ⅠⅡA B C D E H I J (a)F A B C D E G H I J K (b)123ⅡⅠO 2O 1(a)J I H E D C B Aa 、将ABC 、CDE 、IH 分别看成钢片1、2、3b 、1、2刚片-用铰C 相连;1、3刚片用虚铰O 2相连(AF 、AH 延长线的交点);2、3刚片用虚铰O 1相连(DI 、EH 延长线的交点)。
三铰不共线,根据三刚片原则,ABCDEH 为无多余约束的內部几何不变体系,可看成大钢片Ⅰ。
c 、大地及A 支座一起看成刚片Ⅱ,刚片Ⅰ、Ⅱ通过铰A 和不通过铰A 的链杆EJ 相连,,根据两刚片原则,可判断整个体系为无多余约束的几何不变体系。
0727 20211单项选择题1、材料破坏或者失效的类型有( )。
.脆性断裂和塑性屈服.拉压破坏.弯曲破坏.扭转破坏2、拉压变形的变形特点是 ( )。
.杆件任意两个横截面沿外力的方向产生相对错动.杆件纵向伸长或者缩短.杆件任意两个横截面绕轴线产生相对转动.杆件任意两个横截面绕中性轴产生相对转动3、平面一般力系的简化结果有( )。
.合力.平衡.合力偶.ABC4、关于平衡力系,以下说法错误的是()。
.最多可以列出6个平衡方程.力系的所有力对任一轴力矩之和为零.力系的所有力在任一轴投影的代数和为零.力系的主矢和主矩均为零5、三力平衡汇交定理是以下哪个公理的推论()。
. C. 力的平移定理.二力平衡公理.加减平衡力系公理.力的平行四边形法则6、根据力的平移定理的逆过程,同平面的一个力和一个力偶( )。
.可以合成为一个合力偶.可以合成为一个合力.以上全错.不能进一步合成7、以下选项中衡量材料塑性的指标是( )。
.屈服极限.强度极限.比例极限.伸长率8、矩形截面对其对称轴的惯性半径是( )。
. B. 12bh..bh/12.h/129、弯曲变形的内力有()。
.弯矩.剪力和弯矩.扭矩.剪力10、关于圆轴扭转时横截面上的切应力,以下说法正确的是()。
.切应力的方向和半径垂直.以上全对.切应力的大小和半径成正比.切应力的指向与扭矩的转向一致11、以下构件的变形属于拉压变形的是( )。
.吊车梁.连接件中的铆钉或螺丝.二力杆.机器传动轴12、圆心截面对其直径轴的惯性半径是( )。
.d/8.d.d/4.2d13、以下构件的变形以扭转变形为主的是( )。
. A. 二力杆.连接件中的铆钉或螺丝.机器传动轴.吊车梁14、汇交力系平衡的充要条件是力系的( )为零。
.合力偶.主矩.合力.投影15、弯曲刚度指的是( )。
.A.EIz.GIp.EA16、若刚体在两个力的作用下平衡,则此两个力必()。
.大小相等.方向相反,作用在同一直线。
《建筑力学》机考网考题库及答案一、单项选择题1.若刚体在二个力作用下处于平衡,则此二个力必( )。
D.大小相等,方向相反,作用在同一直线2.由两个物体组成的物体系统,共具有( )独立的平衡方程。
D.63.静定结构的几何组成特征是( )。
B.体系几何不变且无多余约束4.低碳钢的拉伸过程中,胡克定律在( )范围内成立。
A.弹性阶段5.约束反力中含有力偶的支座为( )。
B.固定端支座7.截面法求杆件截面内力的三个主要步骤顺序为( )。
D.取分离体、画受力图、列平衡方程8.在一对( )位于杆件的纵向平面内的力偶作用下,杆‘件将产生弯曲变形,杆的轴线由直线弯曲成曲线。
B.大小相等、方向相反9.低碳钢的拉伸过程中,( )阶段的特点是应力几乎不变。
B.屈服1.约束反力中能确定约束反力方向的约束为( )。
D.光滑接触面2.平面平行力系有( )个独立的平衡方程,可用来求解未知量。
C.23.三个刚片用( )两两相连,组成几何不变体系。
A.不在同一直线的三个单铰4.力的作用线都互相平行的平面力系是( )。
C.平面平行力系5.结点法计算静定平面桁架,其所取脱离体上的未知轴力数一般不超过( )个。
B.27.轴向拉(压)时,杆件横截面上的正应力( )分布。
A.均匀8.在图乘法中,欲求某点的水平位移,则应在该点虚设( )。
B.水平向单位力3.静定结构的几何组成特征是( )。
B.体系几何不变且无多余约束5.图示构件为T形截面,其形心轴最有可能的是( )。
C Z3 、6.位移法的基本未知量是( )。
C.结点位移7.作刚架内力图时规定,弯矩图画在杆件的( )。
c.受拉一侧9.利用正应力强度条件,可进行( )三个方面的计算。
C.强度校核、选择截面尺寸、计算允许荷载10.在图乘法中,欲求某点的转角,则应在该点虚设( )。
D.单位力偶6.在梁的强度计算中,必须满足( )强度条件。
C.正应力和剪应力 7.在力法典型方程的系数和自由项中,数值范围可为正、负实数或零的有( )。
《建筑力学(一)》复习考试说明考试形式及试卷结构考试方法(闭卷)。
试卷满分(为100分,考试时间120分钟)。
●试卷内容比例(各章节内容分数比例)(1)静力学35%(2)材料力学65%轴向拉伸与压缩25%剪切和挤压20%平面弯曲15%压杆稳定5%●题型比例选择题40%填空题20%计算题40%●试卷难易比例容易题60%中等题30%较难题10%复习题库一、选择题(每题2分,共40分)第1章:静力学基础1、“二力平衡公理”和“力的可传性原理”只适用于( D )。
A 、任何物体B 、固体C 、弹性体D 、刚体 2、只限制物体任何方向移动,不限制物体转动的支座称( A )支座。
A 、固定铰B 、可动铰C 、固定端D 、光滑面 3、既限制物体任何方向运动,又限制物体转动的支座称( C )支座。
A 、固定铰B 、可动铰C 、固定端D 、光滑面 4、物体系统的受力图上一定不能画出( B )。
A 、系统外力B 、系统内力C 、主动力D 、约束反力 5、光滑面对物体的约束反力,作用在接触点处,其方向沿接触面的公法线( A )。
A 、指向受力物体,为压力 B 、指向受力物体,为拉力 C 、背离受力物体,为拉力 C 、背离受力物体,为压力 6、柔体约束反力,作用在连接点,方向沿柔体( B )。
A 、指向被约束体,为拉力B 、背离被约束体,为拉力C 、指向被约束体,为压力 C 、背离被约束体,为压力 7、两个大小为3N 和4N 的力合成一个力时,此合力的最大值为( B )。
A 、5N B 、7N C 、12ND 、16N 8、三力平衡汇交定理是( A )。
A 、共面不平行的三个力互相平衡必汇交于一点B 、共面三力若平衡,必汇交于一点C 、三力汇交于一点,则这三个力必互相平衡D 、此三个力必定互相平行 第2章:平面汇交力系1、一个物体上的作用力系,满足( A )条件,就称这种力系为平面汇交力系。
A 、作用线都在同一平面内,且汇交于一点 B 、作用线都在同一平面内,但不汇交于一点 C 、作用线不在同一平面内,且汇交于一点 D 、作用线不在同一平面内,且不交于一点2、平面汇交力系的合成结果是( C )。
建筑力学第一章绪论现代结构技术的理论基础是力学中的一个分支——建筑力学,其中包含静力学、材料力学、结构力学的主要内容;是建筑结构、建筑选型的基础。
结构设计的重要前提在于构思,计算只是作为验证的手段。
在结构构思的过程中,更为重要的是运用建筑中的基本力学概念来进行概略的推理和初步的判断。
在现代建筑设计和创作中,仅仅停留在对已有的结构形式的力学原理的认识上是不够的,还必须进一步去揭示和掌握,反映在这些结构力学原理中的普遍规律。
这样,不仅可以提高对结构方案进行推理判断的直观能力,而且,还可以引导我们去探索那些既能满足功能需要,又能适应材料力学性能的更加经济有效、先进合理的结构体系和结构形式§1-1结构与构件建筑物中承受荷载而起骨架作用的部分称为结构。
组成结构的各单独部分称为构件。
结构分为:(1)杆系结构(l >>b,h)(2)薄壁结构(t<<a,b) (3)实体结构(a,b,c近量级)§1-2刚体,变形固体的基本假设,弹性变形,塑性变形刚体:受力作用而不变形的固体。
变形固体的基本假设:1.连续性假设:密实的,物体所占空间内材料毫无空隙地连续分布。
2.均匀性假设:认为物体内的任何部分,其力学性质相同。
3.各向同性假设:认为物体内在各个不同方向上的力学性质相同。
4.小变形条件:用物体变形前的尺寸建立平衡方程(建立平衡方程时物体视为刚体) 5.完全弹性假设:本教材只研究弹性变形,且服从胡克定律——线性弹性。
撤去荷载可消失的变形称为弹性变形;撤去荷载仍残留的变形称为塑性变形。
§1-3杆件的基本变形形式1.轴向拉伸和压缩:受力特点:作用线与杆件轴线重合。
变形形式:沿杆件长度的伸长或缩短。
如托架的拉杆和压杆受力后的变形(图1-10)。
2.剪切:受力特点:大小相等、方向相反、作用距离很近的一对力作用。
变形形式:沿剪切面相对错动。
如连接件中的螺栓和销钉受力后的变形(图1-11)。
一、单项选择题(下列每小题的备选标准答案中,只有一个正确标准答案)1. 在图示四个单元体的应力状态中,()是正确的纯剪切状态。
A.B.C.D.标准答案:D2. 轴向拉伸杆,正应力最大的截面和切应力最大的截面()。
A. 分别是横截面、45°斜截面B. 都是横截面C. 分别是45°斜截面、横截面D. 都是45°斜截面标准答案:A3. 简支梁上在均布荷载作用下,跨度为L,其弯矩图为抛物线,在跨中的最大弯矩值为()。
A. ql2/8B. ql/8C. ql2/4D. ql/2标准答案:A4. 图中杆件的零杆个数是()。
A. 1B. 3C. 5D. 8标准答案:D5. 图中杆件的零杆个数是多少A. 1B. 2C. 3D. 4标准答案:B6. 等截面直杆承受轴向拉力FP作用,若选用三种不同的截面形状:圆形、正方形、空心圆,试比较材料用量,正确的是()。
A. 正方形截面最费料B. 圆形截面最省料C. 空心圆最省料D. 三者用料相同标准答案:D7. 图中杆件的零杆个数是()。
A. 0B. 1C. 7D. 8标准答案:B8. 图中杆件的零杆个数是多少A. 5B. 9C. 13D. 15标准答案:D9. 图中杆件的零杆个数是()。
A. 5B. 7C. 9D. 11标准答案:D10. 某钢杆的截面积为A=6cm2,在FP=30KN的外力作用下,木杆横截面上的正应力为()。
A. 0.5MPaB. 5MPaC. 50MPaD. 0.5GPa标准答案:C11. 图示体系的几何组成为:A. 几何不变,无多余约束B. 几何不变,有多余约束C. 瞬变体系D. 常变体系标准答案:A12. 图中杆件的零杆个数是多少A. 1B. 2C. 3D. 4标准答案:D13. 关于力的合成,以下简图正确的是()。
A.B.C.D.标准答案:C14. 进入屈服阶段以后,材料发生()变形。
A. 弹性B. 线弹性C. 塑性D. 弹塑性标准答案:C15. 梁挠曲线近似微积分方程w″=-M(x)/EI在()条件下成立。
0727 20202
单项选择题
1、强度指的是()。
.在荷载作用下构件抵抗破坏的能力
.在荷载作用下构件保持原有平衡状态的能力
.在荷载作用下构件抵抗可恢复变形的能力
2、圆形截面最大弯曲剪应力是平均剪应力的( )倍
. 2
. 1.25
. 1.33
. 1.5
3、认为材料沿各个方向的力学性能是相同的,这个假设属于()。
. A. 均匀性假设
.各项异形假设
.各项同性假设
4、薄壁环形截面最大弯曲剪应力是平均剪应力的( )倍
. B. 1.33
. E. 1.5
. 1
. 2
5、
点的速度合成定理的适用条件是()
.牵连运动只能是平动
.牵连运动为平动和转动
.牵连运动只能是平面平动
.牵连运动不限
6、刚体受三不平行的力作用而处于平衡状态,则此三力的作用线()
.必汇交于一点
.必互相平行
.必皆为零
.必位于同一平面
7、作用在一个刚体上的两个力如果满足等值反向,则该二力可能是()<br< span="">
.作用力和反作用力或一对平衡力
.一对平衡力或一个力偶
.一对平衡力或一个力和一个力偶
.作用力与反作用力或一个力偶
8、平面内一非平衡共点力系和一非平衡共点力偶系最后可能合成的情况是().一合力偶
.一合力
.相平衡
.无法进一步合成
9、
工程中常见的组合变形是()
.斜弯曲及拉压与弯曲的组合
.弯曲与扭转的组合
.拉压及弯曲与扭转的组合
.ABC
10、关于脆性断裂的强度理论是()
.第一和第四
.第三和第四
.第一和第二
.第二和第三
11、
下列结论中哪个是正确的?
.内力是应力的代数和
.应力是内力的平均值
.应力是内力的集度
.内力必大于应力
12、
关于屈服的强度理论是()
.第一和第二
.第三和第四
.第一和第四
.第二和第三
13、
以下说法错误的是()
.构件材料的极限应力由计算可得
.塑性材料以屈服极限为极限应力
.脆性材料以强度极限作为极限应力
.材料的破坏形式主要有2种。