第1章1.2.2同步训练及解析(5)
- 格式:docx
- 大小:31.26 KB
- 文档页数:6
第1章质点的运动知识要点1.1 位移速度加速度1.2 圆周运动及其描述书后习题解析同步训练题同步训练题答案第2章牛顿运动定律知识要点2. 1 牛顿运动定律2.2 动量定理动能定理书后习题解析同步训练题同步训练题答案第3章运动的守恒定律知识要点3.1 保守力势能3.2 机械能守恒定律动量守恒定律书后习题解析同步训练题同步训练题答案第4章刚体的转动知识要点4.1 转动惯量转动动能定轴转动定律4.2 刚体的角动量角动量定理角动量守恒定律书后习题解析同步训练题同步训练题答案第5章相对论基础知识要点5.1 狭义相对论基本原理5.2 洛仑兹坐标变换书后习题解析同步训练题同步训练题答案第6章气体动理论知识要点6.1 理想气体6.2 麦克斯韦速率分布律6.3 玻尔兹曼分布律6.4 气体分子的平均碰撞次数及平均自由程书后习题解析同步训练题同步训练题答案第7章热力学基础知识要点7.1 热力学第一定律7.2 热力学第一定律对理想气体的应用7.3 循环过程7.4 热力学第二定律7.5 熵书后习题解析同步训练题同步训练题答案第8章真空中的静电场第9章导体和电介质中的静电场第10章恒定电流和恒定电场第11章真空中的恒定磁场第12章磁介质中的磁场第13章电磁感应和暂态过程第14章麦克斯韦方程组电磁场第15章机械振动和电磁振动第16章机械波和电磁波第17章波动光学第18章早期量子论和量子力学基础第19章激光和固体的量子理论第20章原子核物理和粒子物理简介。
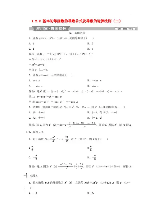
1.2.2 基本初等函数的导数公式及导数的运算法则(二)[A 基础达标]1.函数y =(x +1)2(x -1)在x =1处的导数等于( ) A .1 B .2 C .3D .4解析:选D.y ′=[(x +1)2]′(x -1)+(x +1)2(x -1)′ =2(x +1)(x -1)+(x +1)2=3x 2+2x -1, 所以y ′|x =1=4.2.函数y =cos(-x )的导数是( ) A .cos x B .-cos x C .-sin xD .sin x解析:选C.法一:[cos(-x )]′=-sin(-x )·(-x )′=sin(-x )=-sin x . 法二:y =cos(-x )=cos x ,所以[cos(-x )]′=(cos x )′=-sin x .3.(2018·郑州高二检测)若f (x )=x 2-2x -4ln x ,则f ′(x )>0的解集为( ) A .(0,+∞) B .(-1,0)∪(2,+∞) C .(2,+∞)D .(-1,0)解析:选C.因为f ′(x )=2x -2-4x =2(x -2)(x +1)x,又x >0,所以f ′(x )>0即x-2>0,解得x >2.4.对于函数f (x )=e xx 2+ln x -2kx,若f ′(1)=1,则k 等于( )A.e 2B.e 3 C .-e 2D .-e 3解析:选A.因为f ′(x )=e x(x -2)x 3+1x +2kx2,所以f ′(1)=-e +1+2k =1,解得k =e2,故选A. 5.已知函数f (x )的导函数为f ′(x ),且满足f (x )=2e xf ′(1)+3ln x ,则f ′(1)=( )A .-3B .2eC.21-2eD.31-2e解析:选D.因为f ′(1)为常数, 所以f ′(x )=2e xf ′(1)+3x,所以f ′(1)=2e f ′(1)+3, 所以f ′(1)=31-2e.6.若f (x )=log 3(2x -1),则f ′(2)=________. 解析:因为f ′(x )=[log 3(2x -1)] ′= 1(2x -1)ln 3(2x -1)′=2(2x -1)ln 3,所以f ′(2)=23ln 3.答案:23ln 37.已知函数f (x )=ax 4+bx 2+c ,若f ′(1)=2,则f ′(-1)=________. 解析:法一:由f (x )=ax 4+bx 2+c ,得f ′(x )=4ax 3+2bx .因为f ′(1)=2, 所以4a +2b =2, 即2a +b =1.则f ′(-1)=-4a -2b =-2(2a +b )=-2. 法二:因为f (x )是偶函数, 所以f ′(x )是奇函数, 所以f ′(-1)=-f ′(1)=-2. 答案:-28.已知f (x )=exx,若f ′(x 0)+f (x 0)=0,则x 0的值为________.解析:因为f ′(x )=(e x )′x -e x x ′x 2=e x(x -1)x2(x ≠0). 所以由f ′(x 0)+f (x 0)=0, 得e x0(x 0-1)x 20+e x0x 0=0. 解得x 0=12.答案:129.求下列函数的导数: (1)y =cos(1+x 2); (2)y =sin 2⎝ ⎛⎭⎪⎫2x +π3; (3)y =ln(2x 2+x ); (4)y =x ·2x -1.解:(1)设u =1+x 2,y =cos u ,所以y ′x =y ′u ·u ′x =(cos u )′·(1+x 2)′ =-sin u ·2x =-2x sin(1+x 2). (2)设y =u 2,u =sin v ,v =2x +π3,则y ′x =y ′u ·u ′v ·v ′x =2u ·cos v ·2 =4sin v ·cos v=2sin 2v =2sin ⎝ ⎛⎭⎪⎫4x +2π3. (3)设u =2x 2+x ,则y ′x =y ′u ·u ′x =(ln u )′·(2x 2+x )′ =1u ·(4x +1)=4x +12x 2+x. (4)y ′=x ′·2x -1+x ·(2x -1)′. 先求t =2x -1的导数. 设u =2x -1,则t =u 12,t ′x =t ′u ·u ′x =12·u -12·(2x -1)′=12×12x -1×2=12x -1 . 所以y ′=2x -1+x 2x -1=3x -12x -1. 10.已知抛物线y =ax 2+bx +c 通过点P (1,1),且在点Q (2,-1)处与直线y =x -3相切,求实数a 、b 、c 的值.解:因为曲线y =ax 2+bx +c 过点P (1,1), 所以a +b +c =1.① 因为y ′=2ax +b ,所以4a +b =1.②又因为曲线过点Q (2,-1), 所以4a +2b +c =-1.③ 联立①②③,解得a =3,b =-11,c =9.[B 能力提升]11.等比数列{a n }中,a 1=2,a 8=4,函数f (x )=x (x -a 1)(x -a 2)·…·(x -a 8),则f ′(0)=( )A .26B .29C .212D .215解析:选 C.因为f ′(x )=x ′·[(x -a 1)(x -a 2)·…·(x -a 8)]+[(x -a 1)·(x -a 2)·…·(x -a 8)]′·x =(x -a 1)(x -a 2)·…·(x -a 8)+[(x -a 1)·(x -a 2)·…·(x -a 8)]′·x ,所以f ′(0)=(0-a 1)(0-a 2)·…·(0-a 8)+0=a 1a 2·…·a 8.因为数列{a n }为等比数列,所以a 1a 8=a 2a 7=a 3a 6=a 4a 5=8,所以f ′(0)=84=212.12.给出定义:若函数f (x )在D 上可导,即f ′(x )存在,且导函数f ′(x )在D 上也可导,则称f (x )在D 上存在二阶导函数,记f ″ (x )=(f ′(x ))′.若f ″(x )<0在D 上恒成立,则称f (x )在D 上为凸函数.以下四个函数在⎝⎛⎭⎪⎫0,π2上不是凸函数的是( )A .f (x )=sin x +cos xB .f (x )=ln x -2xC .f (x )=-x 3+2x -1D .f (x )=-x e -x解析:选D.若f (x )=sin x +cos x ,则f ″(x )=-sin x -cos x ,在x ∈⎝⎛⎭⎪⎫0,π2上,恒有f ″(x )<0;若f (x )=ln x -2x ,则f ″(x )=-1x 2,在x ∈⎝⎛⎭⎪⎫0,π2上,恒有f ″(x )<0;若f (x )=-x 3+2x -1,则f ″(x )=-6x ,在x ∈⎝⎛⎭⎪⎫0,π2上,恒有f ″(x )<0;若f (x )=-xe-x,则f ″(x )=2e-x-x e-x=(2-x )e -x,在x ∈⎝⎛⎭⎪⎫0,π2上,恒有f ″(x )>0,不是凸函数.13.已知曲线y =e 2x·cos 3x 在点(0,1)处的切线与直线l 的距离为5,求直线l 的方程.解:因为y ′=(e 2x)′·cos 3x +e 2x·(cos 3x )′=2e 2x·cos 3x -3e 2x·sin 3x , 所以y ′|x =0=2,所以经过点(0,1)的切线方程为y -1=2(x -0), 即y =2x +1.设符合题意的直线方程为y =2x +b ,根据题意,得5=|b -1|5,解得b =6或-4. 所以符合题意的直线方程为y =2x +6或y =2x -4. 14.(选做题)已知函数f (x )=ax 2+ln x 的导数为f ′(x ). (1)求f (1)+f ′(1);(2)若曲线y =f (x )存在垂直于y 轴的切线,求实数a 的取值范围. 解:(1)由题意,函数的定义域为(0,+∞), 由f (x )=ax 2+ln x , 得f ′(x )=2ax +1x,所以f (1)+f ′(1)=3a +1.(2)因为曲线y =f (x )存在垂直于y 轴的切线,故此时切线斜率为0,问题转化为在x ∈(0,+∞)内导函数f ′(x )=2ax +1x存在零点,即f ′(x )=0⇒2ax +1x=0有正实数解,即2ax 2=-1有正实数解,故有a <0,所以实数a 的取值范围是(-∞,0).。
人教A高中数学必修3同步训练1.阅读右边的程序框图,运行相应的程序,则输出s的值为() A.-1B.0C.1 D.3解析:选B.当i=1时,s=1×(3-1)+1=3;当i=2时,s=3×(3-2)+1=4;当i=3时,s=4×(3-3)+1=1;当i=4时,s=1×(3-4)+1=0;紧接着i=5,满足条件i>4,跳出循环,输出s的值为0.2.某程序框图如图所示,若输出的S=57,则判断框内为()A.k>4? B.k>5?C.k>6? D.k>7?解析:选A.当k=1时,k=k+1=2,S=2×1+2=4;当k=2时,k=k+1=3,S=2×4+3=11;当k=3时,k=k+1=4,S=2×11+4=26;当k=4时,k=k+1=5,S=2×26+5=57.此时S=57,循环结束,k=5,所以判断框中应为“k>4?”.3.右图是求x1,x2,…,x10的乘积S的程序框图,图中空白框中应填入的内容为()A.S=S*(n+1)B.S=S*x n+1C.S=S*nD.S=S*x n解析:选D.由循环结构的程序框图知识可知选D.4.如图所示的程序框图,输出的结果是S =7,则输入的A 值为________.解析:该程序框图的功能是输入A ,计算2A +1的值.由2A +1=7,解得A =3. 答案:31.如下图所示的程序框图,其功能是( )A .输入a ,b 的值,按从小到大的顺序输出它们的值B .输入a ,b 的值,按从大到小的顺序输出它们的值C .求a ,b 的最大值D .求a ,b 的最小值解析:选C.输入a =1,b =2,运行程序框图可得输出2.根据执行过程可知该程序框图的功能是输入a ,b 的值,输出它们的最大值,即求a ,b 的最大值.2.给出如图的程序框图,那么输出的S 等于( )A .2450B .2550C .5050D .4900解析:选A.按照程序框图计数,变量i ≥100时终止循环,累加变量S =0+2+4+…+98=2450,故选A.3.如图是一个算法的程序框图,该算法所输出的结果是( )A .1+12+13+…+110B .1+13+15+…+119C.12+14+16+…+120D.12+122+123+…+1210 解析:选C.第一次循环:s =12,n =4,i =2;第二次循环:s =12+14,n =6,i =3;第三次循环:s =12+14+16,n =8,i =4;由于i =10时,不满足i >10,所以继续执行循环;此时s =12+14+…+120,n =22,i =11;当i =11时,满足i >10,输出s .4.如图所示是求样本x 1,x 2,…,x 10平均数x 的程序框图,图中空白框中应填入的内容为( )A .S =S +x nB .S =S +x nnC .S =S +nD .S =S +1n解析:选A.由循环结构的程序框图可知需添加的运算为S =x 1+x 2+…+x 10的累加求和,故选A.5.如图所示的程序框图输出的结果是S =720,则判断框内应填的条件是( )A .i ≤7B .i >7C .i ≤9D .i >9解析:选B.程序框图所示的运算是10×9×8×7×…,若输出结果是S =720,则应是10×9×8=720,所以i =10,9,8时累乘,即当i >7时执行循环体.6.如果执行下面的程序框图,输入n =6,m =4,那么输出的p 等于( )A .720B .360C .240D .120解析:选B.由框图可知:当n =6,m =4时, 第一次循环:p =(6-4+1)×1=3,k =2. 第二次循环:p =(6-4+2)×3=12,k =3. 第三次循环:p =(6-4+3)×12=60,k =4.第四次循环:p =(6-4+4)×60=360,此时k =m ,终止循环.输出p =360,故选B.7.已知函数y =⎩⎪⎨⎪⎧log 2x , x ≥2,2-x , x <2.图中表示的是给定x 的值,求其对应的函数值y 的程序框图.①处应填写________;②处应填写________.解析:框图中的①就是分段函数解析式两种形式的判断条件,故填写x <2?,②就是函数的另一段表达式y =log 2x .答案:x <2? y =log 2x8.如图,是求实数x 的绝对值的算法程序框图,则判断框①中可填________.解析:由于|x |=⎩⎪⎨⎪⎧ x , x ≥0-x ,x <0,或|x |=⎩⎪⎨⎪⎧x , x >0-x ,x ≤0,故根据所给的程序框图,易知可填x >0或x ≥0.答案:x >0或x ≥09.在如图的程序框图中,输出结果是________.解析:a =5时,S =1+5=6; a =4时,S =6+4=10;a =3时,终止循环,输出S =10. 答案:1010.画出计算函数y =|x -1|的函数值的程序框图(x 由键盘输入).解:算法如下: 第一步,输入x .第二步,判断x ,若x ≥1, 则y =x -1,否则执行第三步. 第三步,y =1-x . 第四步,输出y .程序框图如图所示.11.设计一个算法,求表达式12+22+32+…+102的值,画出程序框图. 解:第一步,令S =0,i =1.第二步,判断i 是否小于或等于10,若是,则执行第三步;若否,则输出S . 第三步,令S =S +i 2,并令i =i +1,然后返回第二步. 程序框图:12.有十件商品,设计一个算法,计算其平均价,并画出程序框图.解:我们用一个循环依次输入10个数,再用一个变量存放数的累加和,在求出10个数的和后,除以10,就得到10件商品的平均价算法:第一步,S=0,i=1.第二步,输入P.第三步,S=S+P.第四步,i=i+1.第五步,判断i是否大于10,若不大于10,转入第二步,若i>10,退出循环,执行第六步第六步,A=S 10.第七步,输出A.程序框图如图所示.关于数学名言警句大全1、数学家本质上是个着迷者,不迷就没有数学。
1.计算C28+C38+C29等于()A.120B.240C.60 D.480解析:选A.原式=C39+C29=C310=120.2.若C7n+1-C7n=C8n,则n等于()A.12 B.13C.14 D.15解析:选C.C7n+1-C7n=C8n,即C7n+1=C8n+C7n=C8n+1,所以n+1=7+8,即n=14.3.某校一年级有5个班,二年级有8个班,三年级有3个班,分年级举行班与班之间的篮球单循环赛,总共需进行比赛的场数是()A.C25+C28+C23B.C25C28C23C.A25+A28+A23D.C216解析:选A.分三类:一年级比赛的场数是C25,二年级比赛的场数是C28,三年级比赛的场数是C23,再由分类加法计数原理可求.4.把8名同学分成两组,一组5人学习电脑,一组3人做生物实验,则不同的安排方法有________种.解析:C38=56.答案:56一、选择题1.下面几个问题中属于组合问题的是()①由1,2,3,4构成的双元素集合;②5个队进行单循环足球比赛的分组情况;③由1,2,3构成两位数的方法;④由1,2,3组成无重复数字的两位数的方法.A.①③B.②④C.①②D.①②④答案:C2.已知平面内A、B、C、D这4个点中任何3点均不共线,则由其中任意3个点为顶点的所有三角形的个数为()A.3 B.4C.12 D.24解析:选B.C34=4.3.C03+C14+C25+C36+…+C1720的值为()A.C321B.C320C.C420D.C421解析:选D.原式=()C04+C14+C25+C36+…+C1720=()C15+C25+C36+…+C1720=(C26+C36)+…+C1720=C1721=C21-1721=C421.4.若A3n=12C2n,则n等于()A.8 B.5或6C.3或4 D.4解析:选A.A3n=n(n-1)(n-2),C2n=12n(n-1),∴n(n-1)(n-2)=6n(n-1),又n∈N*,且n≥3.解得n=8.5.从6位同学中选出4位参加一个座谈会,要求张、王两人中至多有一个人参加,则不同选法的种数为()A.9 B.14C.12 D.15解析:选A.法一:直接法:分两类,第一类张、王两人都不参加,有C44=1种选法;第二类张、王两人只有1人参加,有C 12C 34=8种选法.故共有C 44+C 12×C 34=9种选法.法二:间接法:C 46-C 24=9(种).6.把三张游园票分给10个人中的3人,分法有( )A .A 310种B .C 310种C .C 310A 310种D .30种解析:选B.三张票没区别,从10人中选3人即可,即C 310.二、填空题7.若C 13n =C 7n ,则C 18n =________.解析:∵C 13n =C 7n ,∴13=n -7,∴n =20,∴C 1820=C 220=190.答案:1908.C 22+C 23+C 24+…+C 210=________.解析:原式=C 33+C 23+C 24+…+C 210=C 34+C 24+…+C 210=C 35+C 25+…+C 210=C 311=165.答案:1659.从4名男生和3名女生中选出4人担任奥运志愿者,若选出的4人中既有男生又有女生,则不同的选法共有________________________________________________________________________种.解析:(间接法)共有C 47-C 44=34种不同的选法.答案:34三、解答题10.若C 4n >C 6n ,求n 的取值集合.解:∵C 4n >C 6n ,∴⎩⎪⎨⎪⎧ C 4n >C 6n n ≥6⇒⎩⎪⎨⎪⎧ n !4!(n -4)!>n !6!(n -6)!n ≥6⇒⎩⎪⎨⎪⎧ n 2-9n -10<0n ≥6⇒⎩⎪⎨⎪⎧-1<n <10,n ≥6. ∵n ∈N *,∴n =6、7、8、9,∴n 的集合为{6,7,8,9}.11.要从6男4女中选出5人参加一项活动,按下列要求,各有多少种不同的选法?(1)甲当选且乙不当选;(2)至少有1女且至多有3男当选.解:(1)甲当选且乙不当选,∴只需从余下的8人中任选4人,有C 48=70种选法.(2)至少有1女且至多有3男时,应分三类:第一类是3男2女,有C 36C 24种选法;第二类是2男3女,有C 26C 34种选法;第三类是1男4女,有C 16C 44种选法.由分类计数原理知,共有C 36C 24+C 26C 34+C 16C 44=186种选法.12.现有10件产品,其中有2件次品,任意抽出3件检查.(1)正品A 被抽到有多少种不同的抽法?(2)恰有一件是次品的抽法有多少种?(3)至少一件是次品的抽法有多少种?解:(1)C 29=9×82=36(种). (2)从2件次品中任取1件有C 12种方法,从8件正品中取2件有C 28种方法,由分步乘法计数原理,不同的抽法共有C 12×C 28=2×8×72=56(种). (3)法一:含1件次品的抽法有C 12C 28种,含2件次品的抽法有C 22×C 18种,由分类加法计数原理,不同的抽法共有C12×C28+C22×C18=56+8=64(种).法二:从10件产品中任取3件的抽法为C310种,不含次品的抽法有C38种,所以至少1件次品的抽法为C310-C38=64(种).高∴考≧试∠题]库。
人教A高中数学选修2-3同步训练1.用1,2,3,4,5这5个数字,组成无重复数字的三位数,其中奇数共有()A.30个B.36个C.40个D.60个解析:选B.分2步完成:个位必为奇数,有A13种选法;从余下的4个数中任选2个排在三位数的百位、十位上,有A24种选法.由分步乘法计数原理,共有A13×A24=36个无重复数字的三位奇数.2.6人站成一排,甲、乙、丙3个人不能都站在一起的排法种数为()A.720 B.144C.576 D.684解析:选C.(间接法)甲、乙、丙三人在一起的排法种数为A44×A33;不考虑任何限制,6人的全排列有A66.∴符合题意的排法种数为:A66-A44×A33=576.3.某班新年联欢会原定的5个节目已排成节目单,开演前又增加了两个新节目,如果将这两个节目插入原节目单中,那么不同插法种数为()A.42 B.30C.20 D.12解析:选A.分两类:①两个新节目相邻的插法有6A22种;②两个新节目不相邻的插法有A26种.故N=6×2+6×5=42.4.将红、黄、蓝、白、黑5种颜色的小球,分别放入红、黄、蓝、白、黑5种颜色的小口袋中,若不允有空袋,且红口袋中不能装入红球,则有______种不同的放法.解析:先装红球,且每袋一球,所以有A14×A44=96(种).答案:96一、选择题1.高三(1)班需要安排毕业晚会的4个音乐节目,2个舞蹈节目和1个曲艺节目的演出顺序,要求两个舞蹈节目不连排,则不同排法的种数是()A.1800 B.3600C.4320 D.5040解析:选B.利用插空法,先将4个音乐节目和1个曲艺节目全排列有A55种,然后从6个空中选出2个空将舞蹈节目全排列有A26种,所以共有A55A26=3600(种).故选B.2.某省有关部门从6人中选4人分别到A、B、C、D四个地区调研十二五规划的开局形势,要求每个地区只有一人,每人只去一个地区,且这6人中甲、乙两人不去A地区,则不同的安排方案有()A.300种B.240种C.144种D.96种解析:选B.A地区有A14种方法,其余地区有A35种方法,共有A14A35=240(种).3.用数字1,2,3,4,5可以组成没有重复数字,并且比20000大的五位偶数共有() A.48个B.36个C.24个D.18个解析:选B.个位数字是2的有3A33=18(个),个位数字是4的有3A33=18(个),所以共有36个.4.8名学生和2位老师站成一排合影,2位老师不相邻的排法种数为()A.A88A29B.A88A210C.A88A27D.A88A26解析:选A.运用插空法,8名学生间共有9个空隙(加上边上空隙),先把老师排在9个空隙中,有A29种排法,再把8名学生排列,有A88种排法,共有A88×A29种排法.5.五名男生与两名女生排成一排照相,如果男生甲必须站在中间,两名女生必须相邻,符合条件的排法共有()A.48种B.192种C.240种D.288种解析:选B.(用排除法)将两名女生看作1人,与四名男生一起排队,有A55种排法,而女生可互换位置,所以共有A55×A22种排法,男生甲插入中间位置,只有一种插法;而4男2女排列中2名女生恰在中间的排法共有A22×A44(种),这时男生甲若插入中间位置不符合题意,故符合题意的排列总数为A55×A22-A44×A22=192.6.由1、2、3、4、5组成没有重复数字且1、2都不与5相邻的五位数的个数是() A.36 B.32C.28 D.24解析:选A.分类:①若5在首位或末位,共有2A12×A33=24(个);②若5在中间三位,共有A13×A22×A22=12(个).故共有24+12=36(个).二、填空题7.5人站成一排,甲必须站在排头或排尾的不同站法有________种.解析:2A44=48.答案:488.3个人坐8个位置,要求每人的左右都有空位,则有________种坐法.解析:第一步:摆5个空位置,○○○○○;第二步:3个人带上凳子插入5个位置之间的四个空,有A34=24(种),故有24种不同坐法.答案:249.5名大人要带两个小孩排队上山,小孩不排在一起也不排在头、尾,则共有________种排法(用数字作答).解析:先让5名大人全排列有A55种排法,两个小孩再依条件插空有A24种方法,故共有A55A24=1440种排法.答案:1440三、解答题10.7名班委中有A、B、C三人,有7种不同的职务,现对7名班委进行职务具体分工.(1)若正、副班长两职只能从A、B、C三人中选两人担任,有多少种分工方案?(2)若正、副班长两职至少要选A、B、C三人中的一人担任,有多少种分工方案?解:(1)先排正、副班长有A23种方法,再安排其余职务有A55种方法,依分步计数原理,共有A23A55=720种分工方案.(2)7人中任意分工方案有A77种,A、B、C三人中无一人任正、副班长的分工方案有A24 A55种,因此A、B、C三人中至少有一人任正、副班长的方案有A77-A24A55=3600(种).11.用0,1,2,3,4,5这六个数字:(1)能组成多少个无重复数字的四位偶数?(2)能组成多少个无重复数字且为5的倍数的五位数?(3)能组成多少个无重复数字的比1325大的四位数?解:(1)符合要求的四位偶数可分为三类:第一类:0在个位时,有A35个;第二类:2在个位时,首位从1,3,4,5中选定1个有A14种,十位和百位从余下的数字中选,有A24种,于是有A14×A24(个);第三类:4在个位时,与第二类同理,也有A14×A24(个).由分类加法计数原理得:共有A35+2A14×A24=156(个).(2)为5的倍数的五位数可分为两类:第一类:个位上为0的五位数有A45个;第二类:个位上为5的五位数有A14×A34(个),故满足条件的五位数共有A45+A14×A34=216(个).(3)比1325大的四位数可分为三类:第一类:形如2,3,4,5,共有A14×A35 (个);第二类:形如14,15,共有A12×A24(个);第三类:形如134,135,共有A12×A13(个).由分类加法计数原理可得,比1325大的四位数共有:A14×A35+A12×A24+A12×A13=270(个).12.7名师生站成一排照相留念,其中老师1人,男学生4人,女学生2人,在下列情况下,各有多少种不同站法?(1)两名女生必须相邻而站;(2)4名男生互不相邻;(3)若4名男生身高都不等,按从高到低的顺序站;(4)老师不站中间,女生不站两端.解:(1)2名女生站在一起有站法A22种,视为一种元素与其余5人全排,有A66种排法,所以有不同站法A22×A66=1440(种).(2)先站老师和女生,有站法A33种,再在老师和女生站位的间隔(含两端)处插入男生,每空一人,则插入方法A44种,所以共有不同站法A33×A44=144(种).(3)7人全排列中,4名男生不考虑身高顺序的站法有A44种,而由高到低有从左到右和从=420(种).右到左的不同,所以共有不同站法2×A77A44(4)中间和两侧是特殊位置,可分类求解如下:①老师站在两侧之一,另一侧由男生站,有A12×A14×A55种站法;②两侧全由男生站,老师站除两侧和正中的另外4个位置之一,有A14×A24×A44种站法,所以共有不同站法A12×A14×A55+A14×A24×A44=960+1152=2112(种).。
人教A版高中数学选修2-3全册知能训练目录第1章1.1知能优化训练第1章1.2.1第一课时知能优化训练第1章1.2.1第二课时知能优化训练第1章1.2.2第一课时知能优化训练第1章1.2.2第二课时知能优化训练第1章1.3.1知能优化训练第1章1.3.2知能优化训练第2章2.1.1知能优化训练第2章2.1.2知能优化训练第2章2.2.1知能优化训练第2章2.2.2知能优化训练第2章2.2.3知能优化训练第2章2.3.1知能优化训练第2章2.3.2知能优化训练第2章2.4知能优化训练第3章3.1知能优化训练第3章3.2知能优化训练1.从A 地到B 地要经过C 地和D 地,从A 地到C 地有3条路,从C 地到D 地有2条路,从D 地到B 地有4条路,则从A 地到B 地不同走法的种数是( )A .3+2+4=9B .1C .3×2×4=24D .1+1+1=3解析:选C.由题意从A 地到B 地需过C 、D 两地,实际就是分三步完成任务,用乘法原理.2.某学生去书店,发现3本好书,决定至少买其中一本,则购买方式共有( )A .3种B .6种C .7种D .9种解析:选C.分3类:买1本书,买2本书和买3本书,各类的购买方式依次有3种、3种和1种,故购买方式共有3+3+1=7(种).3.(2011年高考课标全国卷)有3个兴趣小组,甲、乙两位同学各自参加其中一个小组,每位同学参加各个小组的可能性相同,则这两位同学参加同一个兴趣小组的概率为( )A.13B.12C.23D.34解析:选A.甲、乙两位同学参加3个小组的所有可能性有3×3=9(种),其中甲、乙两人参加同一个小组的情况有3(种).故甲、乙两位同学参加同一个兴趣小组的概率P =39=13. 4.将3封信投入6个信箱内,不同的投法有________种.解析:第1封信有6种投法,第2、第3封信也分别有6种投法,因此共有6×6×6=216种投法.答案:216一、选择题1.现有4件不同款式的上衣和3条不同颜色的长裤,如果一条长裤与一件上衣配成一套,则不同的配法种数为( )A .7B .12C .64D .81解析:选B.要完成配套,分两步:第1步,选上衣,从4件上衣中任选一件,有4种不同选法;第2步,选长裤,从3条长裤中任选一条,有3种不同选法.故共有4×3=12种不同的配法.2.从A 地到B 地,可乘汽车、火车、轮船三种交通工具,如果一天内汽车发3次,火车发4次,轮船发2次,那么一天内乘坐这三种交通工具的不同走法为( )A .1+1+1=3B .3+4+2=9C .3×4×2=24D .以上都不对答案:B3.十字路口来往的车辆,如果不允许回头,共有不同的行车路线( )A .24种B .16种C .12种D .10种解析:选C.完成该任务可分为四类,从每一个方向入口都可作为一类,如图:从第1个入口进入时,有3种行车路线;同理,从第2个,第3个,第4个入口进入时,都分别有3种行车路线,由分类加法计数原理可得共有3+3+3+3=12种不同的行车路线,故选C.4.从集合{0,1,2,3,4,5,6}中任取两个互不相等的数a,b组成复数a+b i,其中虚数有() A.30个B.42个C.36个D.35个解析:选C.第一步取b的数,有6种方法,第二步取a的数,也有6种方法,根据乘法计数原理,共有6×6=36种方法.5.从集合{1,2,3,4,5}中任取2个不同的数,作为直线Ax+By=0的系数,则形成不同的直线最多有()A.18条B.20条C.25条D.10条解析:选A.第一步取A的值,有5种取法,第二步取B的值有4种取法,其中当A=1,B=2时,与A=2,B=4时是相同的;当A=2,B=1时,与A=4,B=2时是相同的,故共有5×4-2=18(条).6.用1,2,3三个数字组成一个四位数,规定这三个数必须全部使用,且同一数字不能相邻出现,这样的四位数有()A.36个B.18个C.9个D.6个解析:选B.分3步完成,1,2,3这三个数中必有某一个数字被使用2次.第1步,确定哪一个数字被使用2次,有3种方法;第2步,把这2个相同的数字排在四位数不相邻的两个位置上有3种方法;第3步,将余下的2个数字排在四位数余下的两个位置上,有2种方法.故有3×3×2=18个不同的四位数.二、填空题7.加工某个零件分三道工序,第一道工序有5人,第二道工序有6人,第三道工序有4人,从中选3人每人做一道工序,则选法有________种.解析:选第一、第二、第三道工序各一人的方法数依次为5、6、4,由分步乘法计数原理知,选法总数为N=5×6×4=120.答案:1208.如图是某校的校园设施平面图,现用不同的颜色作为各区域的底色,为了便于区分,要求相邻区域不能使用同一种颜色.若有6种不同的颜色可选,则有________种不同的着色方案.解析:操场可从6种颜色中任选1种着色;餐厅可从剩下的5种颜色中任选1种着色;宿舍区和操场、餐厅颜色都不能相同,故可从其余的4种颜色中任选1种着色;教学区和宿舍区、餐厅的颜色都不能相同,故可从其余的4种颜色中任选1种着色.根据分步乘法计数原理,共有6×5×4×4=480种着色方案.答案:4809.从1,2,3,4,7,9六个数中,任取两个数作对数的底数和真数,则所有不同的对数的值的个数为________.解析:(1)当取1时,1只能为真数,此时对数的值为0.(2)不取1时,分两步:①取底数,5种;②取真数,4种.其中log23=log49,log32=log94,log24=log39,log42=log93,∴N=1+5×4-4=17.答案:17三、解答题10.8张卡片上写着0,1,2,…,7共8个数字,取其中的三张卡片排放在一起,可组成多少个不同的三位数?解:先排放百位,从1,2,…,7共7个数中选一个有7种选法;再排十位,从除去百位的数外,剩余的7个数(包括0)中选一个,有7种选法;最后排个位,从除前两步选出的数外,剩余的6个数中选一个,有6种选法.由分步乘法计数原理,共可以组成7×7×6=294个不同的三位数.11.从黄瓜、白菜、油菜、扁豆4种蔬菜品种中选出3种,分别种在不同土质的三块土地上,其中黄瓜必须种植,求有多少种不同的种植方法?解:若黄瓜种在第一块土地上,则有3×2×1=6种不同种植方法.同理,黄瓜种在第二块、第三块土地上,均有3×2×1=6(种).故不同的种植方法共有6×3=18(种).12.某校学生会由高一年级5人,高二年级6人,高三年级4人组成.(1)选其中一人为学生会主席,有多少种不同的选法?(2)若每年级选1人为校学生会常委成员,有多少种不同的选法?(3)若要选出不同年级的两人分别参加市里组织的两项活动,有多少种不同的选法?解:(1)分三类:第一类,从高一年级选一人,有5种选择;第二类,从高二年级选一人,有6种选择;第三类,从高三年级选一人,有4种选择.由分类加法计数原理,共有5+6+4=15种选法.(2)分三步完成:第一步,从高一年级选一人,有5种选择;第二步,从高二年级选一人,有6种选择;第三步,从高三年级选一人,有4种选择.由分步乘法计数原理,共有5×6×4=120种选法.(3)分三类:高一、高二各一人,共有5×6=30种选法;高一、高三各一人,共有5×4=20种选法;高二、高三各一人,共有6×4=24种选法;由分类加法计数原理,共有30+20+24=74种选法.1.用1,2,3,4,5这5个数字,组成无重复数字的三位数,其中奇数共有()A.30个B.36个C.40个D.60个解析:选B.分2步完成:个位必为奇数,有A13种选法;从余下的4个数中任选2个排在三位数的百位、十位上,有A24种选法.由分步乘法计数原理,共有A13×A24=36个无重复数字的三位奇数.2.6人站成一排,甲、乙、丙3个人不能都站在一起的排法种数为()A.720 B.144C.576 D.684解析:选C.(间接法)甲、乙、丙三人在一起的排法种数为A44×A33;不考虑任何限制,6人的全排列有A66.∴符合题意的排法种数为:A66-A44×A33=576.3.某班新年联欢会原定的5个节目已排成节目单,开演前又增加了两个新节目,如果将这两个节目插入原节目单中,那么不同插法种数为()A.42 B.30C.20 D.12解析:选A.分两类:①两个新节目相邻的插法有6A22种;②两个新节目不相邻的插法有A26种.故N=6×2+6×5=42.4.将红、黄、蓝、白、黑5种颜色的小球,分别放入红、黄、蓝、白、黑5种颜色的小口袋中,若不允有空袋,且红口袋中不能装入红球,则有______种不同的放法.解析:先装红球,且每袋一球,所以有A14×A44=96(种).答案:96一、选择题1.高三(1)班需要安排毕业晚会的4个音乐节目,2个舞蹈节目和1个曲艺节目的演出顺序,要求两个舞蹈节目不连排,则不同排法的种数是()A.1800 B.3600C.4320 D.5040解析:选B.利用插空法,先将4个音乐节目和1个曲艺节目全排列有A55种,然后从6个空中选出2个空将舞蹈节目全排列有A26种,所以共有A55A26=3600(种).故选B.2.某省有关部门从6人中选4人分别到A、B、C、D四个地区调研十二五规划的开局形势,要求每个地区只有一人,每人只去一个地区,且这6人中甲、乙两人不去A地区,则不同的安排方案有()A.300种B.240种C.144种D.96种解析:选B.A地区有A14种方法,其余地区有A35种方法,共有A14A35=240(种).3.用数字1,2,3,4,5可以组成没有重复数字,并且比20000大的五位偶数共有() A.48个B.36个C.24个D.18个解析:选B.个位数字是2的有3A33=18(个),个位数字是4的有3A33=18(个),所以共有36个.4.8名学生和2位老师站成一排合影,2位老师不相邻的排法种数为()A.A88A29B.A88A210C.A88A27D.A88A26解析:选A.运用插空法,8名学生间共有9个空隙(加上边上空隙),先把老师排在9个空隙中,有A29种排法,再把8名学生排列,有A88种排法,共有A88×A29种排法.5.五名男生与两名女生排成一排照相,如果男生甲必须站在中间,两名女生必须相邻,符合条件的排法共有()A.48种B.192种C.240种D.288种解析:选B.(用排除法)将两名女生看作1人,与四名男生一起排队,有A55种排法,而女生可互换位置,所以共有A55×A22种排法,男生甲插入中间位置,只有一种插法;而4男2女排列中2名女生恰在中间的排法共有A22×A44(种),这时男生甲若插入中间位置不符合题意,故符合题意的排列总数为A55×A22-A44×A22=192.6.由1、2、3、4、5组成没有重复数字且1、2都不与5相邻的五位数的个数是() A.36 B.32C.28 D.24解析:选A.分类:①若5在首位或末位,共有2A12×A33=24(个);②若5在中间三位,共有A13×A22×A22=12(个).故共有24+12=36(个).二、填空题7.5人站成一排,甲必须站在排头或排尾的不同站法有________种.解析:2A44=48.答案:488.3个人坐8个位置,要求每人的左右都有空位,则有________种坐法.解析:第一步:摆5个空位置,○○○○○;第二步:3个人带上凳子插入5个位置之间的四个空,有A34=24(种),故有24种不同坐法.答案:249.5名大人要带两个小孩排队上山,小孩不排在一起也不排在头、尾,则共有________种排法(用数字作答).解析:先让5名大人全排列有A55种排法,两个小孩再依条件插空有A24种方法,故共有A55A24=1440种排法.答案:1440三、解答题10.7名班委中有A、B、C三人,有7种不同的职务,现对7名班委进行职务具体分工.(1)若正、副班长两职只能从A、B、C三人中选两人担任,有多少种分工方案?(2)若正、副班长两职至少要选A、B、C三人中的一人担任,有多少种分工方案?解:(1)先排正、副班长有A23种方法,再安排其余职务有A55种方法,依分步计数原理,共有A23A55=720种分工方案.(2)7人中任意分工方案有A77种,A、B、C三人中无一人任正、副班长的分工方案有A24 A55种,因此A、B、C三人中至少有一人任正、副班长的方案有A77-A24A55=3600(种).11.用0,1,2,3,4,5这六个数字:(1)能组成多少个无重复数字的四位偶数?(2)能组成多少个无重复数字且为5的倍数的五位数?(3)能组成多少个无重复数字的比1325大的四位数?解:(1)符合要求的四位偶数可分为三类:第一类:0在个位时,有A 35个;第二类:2在个位时,首位从1,3,4,5中选定1个有A 14种,十位和百位从余下的数字中选,有A 24种,于是有A 14×A 24(个);第三类:4在个位时,与第二类同理,也有A 14×A 24(个).由分类加法计数原理得:共有A 35+2A 14×A 24=156(个).(2)为5的倍数的五位数可分为两类:第一类:个位上为0的五位数有A 45个;第二类:个位上为5的五位数有A 14×A 34(个),故满足条件的五位数共有A 45+A 14×A 34=216(个).(3)比1325大的四位数可分为三类:第一类:形如2,3 ,4 ,5 ,共有A 14×A 35(个);第二类:形如14 ,15 ,共有A 12×A 24(个); 第三类:形如134 ,135 ,共有A 12×A 13(个).由分类加法计数原理可得,比1325大的四位数共有:A 14×A 35+A 12×A 24+A 12×A 13=270(个).12.7名师生站成一排照相留念,其中老师1人,男学生4人,女学生2人,在下列情况下,各有多少种不同站法?(1)两名女生必须相邻而站;(2)4名男生互不相邻;(3)若4名男生身高都不等,按从高到低的顺序站;(4)老师不站中间,女生不站两端.解:(1)2名女生站在一起有站法A 22种,视为一种元素与其余5人全排,有A 66种排法,所以有不同站法A 22×A 66=1440(种).(2)先站老师和女生,有站法A 33种,再在老师和女生站位的间隔(含两端)处插入男生,每空一人,则插入方法A 44种,所以共有不同站法A 33×A 44=144(种).(3)7人全排列中,4名男生不考虑身高顺序的站法有A 44种,而由高到低有从左到右和从右到左的不同,所以共有不同站法2×A 77A 44=420(种). (4)中间和两侧是特殊位置,可分类求解如下:①老师站在两侧之一,另一侧由男生站,有A 12×A 14×A 55种站法;②两侧全由男生站,老师站除两侧和正中的另外4个位置之一,有A 14×A 24×A 44种站法,所以共有不同站法A 12×A 14×A 55+A 14×A 24×A 44=960+1152=2112(种).1.5A35+4A24=()A.107B.323C.320 D.348解析:选D.原式=5×5×4×3+4×4×3=348.2.4×5×6×…·(n-1)·n等于()A.A4n B.A n-4nC.n!-4! D.A n-3n解析:选D.原式可写成n·(n-1)·…×6×5×4,故选D.3.6名学生排成两排,每排3人,则不同的排法种数为()A.36 B.120C.720 D.240解析:选C.排法种数为A66=720.4.下列问题属于排列问题的是________.①从10个人中选2人分别去种树和扫地;②从10个人中选2人去扫地;③从班上30名男生中选出5人组成一个篮球队;④从数字5,6,7,8中任取两个不同的数作幂运算.解析:①选出的2人有不同的劳动内容,相当于有顺序.②选出的2人劳动内容相同,无顺序.③5人一组无顺序.④选出的两个数作为底数或指数其结果不同,有顺序.答案:①④一、选择题1.甲、乙、丙三地客运站,需要准备在甲、乙、丙三地之间运行的车票种数是() A.1 B.2C.3 D.6解析:选D.A23=6.2.已知A2n+1-A2n=10,则n的值为()A.4 B.5C.6 D.7解析:选B.由A2n+1-A2n=10,得(n+1)n-n(n-1)=10,解得n=5.3.从5本不同的书中选两本送给2名同学,每人一本,则不同的送法种数是() A.5 B.10C.20 D.60解析:选C.A25=20.4.将3张不同的电影票分给10人中的3人,每人一张,则不同的分法种数是() A.2160 B.720C.240 D.120解析:选B.A310=10×9×8=720.5.某段铁路所有车站共发行132种普通车票,那么这段铁路共有车站数是()A.8 B.12C.16 D.24解析:选B.设车站数为n,则A2n=132,n(n-1)=132,∴n =12.6.S =1!+2!+3!+…+99!,则S 的个位数字为( )A .0B .3C .5D .7解析:选B.∵1!=1,2!=2,3!=6,4!=24,5!=120,6!=720,…∴S =1!+2!+3!+…+99!的个位数字是3.二、填空题7.若A m 10=10×9×…×5,则m =________.解析:10-m +1=5,得m =6.答案:68.A n +32n +A n +14=________.解析:由⎩⎪⎨⎪⎧ n +3≤2n ,n +1≤4,n ∈N *,得n =3, ∴A n +32n +A n +14=6!+4!=744. 答案:7449.甲、乙、丙、丁四人轮读同一本书,则甲首先读的安排方法有________种. 解析:甲在首位,相当于乙、丙、丁全排,即3!=3×2×1=6.答案:6三、解答题10.解不等式:A x 9>6A x -29.解:原不等式可化为9!(9-x )!>6·9!(9-x +2)!, 其中2≤x ≤9,x ∈N *,∴(11-x )(10-x )>6,即x 2-21x +104>0,∴(x -8)(x -13)>0,∴x <8或x >13.又∵2≤x ≤9,x ∈N *,∴2≤x <8,x ∈N *.故x =2,3,4,5,6,7.11.解方程3A x 8=4A x -19.解:由3A x 8=4A x -19得3×8!(8-x )!=4×9!(10-x )!. ∴3×8!(8-x )!=4×9×8!(10-x )(9-x )(8-x )!. 化简得:x 2-19x +78=0,解得x 1=6,x 2=13.∵x ≤8,且x -1≤9,∴原方程的解是x =6.12.判断下列问题是否为排列问题.(1)北京、上海、天津三个民航站之间的直达航线的飞机票的价格(假设来回的票价相同);(2)选2个小组分别去植树和种菜;(3)选2个小组去种菜;(4)选10人组成一个学习小组;(5)选3个人分别担任班长、学习委员、生活委员;(6)某班40名学生在假期相互通信.解:(1)中票价只有三种,虽然机票是不同的,但票价是一样的,不存在顺序问题,所以不是排列问题;(2)植树和种菜是不同的,存在顺序问题,属于排列问题;(3)、(4)不存在顺序问题,不属于排列问题;(5)中每个人的职务不同,例如甲当班长或当学习委员是不同的,存在顺序问题,属于排列问题;(6)A给B写信与B给A写信是不同的,所以存在着顺序问题,属于排列问题.所以在上述各题中(2)、(5)、(6)属于排列问题.1.编号为1、2、3、4、5、6、7的七盏路灯,晚上用时只亮三盏灯,且任意两盏亮灯不相邻,则不同的开灯方案有( )A .60种B .20种C .10种D .8种解析:选C.四盏熄灭的灯产生的5个空档中放入3盏亮灯,即C 35=10.2.某中学要从4名男生和3名女生中选4人参加公益劳动,若男生甲和女生乙不能同时参加,则不同的选派方案共有( )A .25种B .35种C .820种D .840种解析:选A.分3类完成:男生甲参加,女生乙不参加,有C 35种选法;男生甲不参加,女生乙参加,有C 35种选法;两人都不参加,有C 45种选法.所以共有2C 35+C 45=25(种)不同的选派方案.3.(2010年高考大纲全国卷Ⅰ)某校开设A 类选修课3门,B 类选修课4门,一位同学从中共选3门.若要求两类课程中各至少选一门,则不同的选法共有( )A .30种B .35种C .42种D .48种解析:选A.法一:可分两种互斥情况:A 类选1门,B 类选2门或A 类选2门,B 类选1门,共有C 13C 24+C 23C 14=18+12=30种选法.法二:总共有C 37=35种选法,减去只选A 类的C 33=1(种),再减去只选B 类的C 34=4(种),故有30种选法.4.(2011年高考江苏卷)从1,2,3,4这四个数中一次随机地取两个数,则其中一个数是另一个数的两倍的概率是________.解析:从1,2,3,4中任取两个数的组合个数为C 24=6,满足一个数是另一个数两倍的组合为{1,2},{2,4},故P =26=13.答案:13一、选择题1.9名会员分成三组讨论问题,每组3人,共有不同的分组方法种数为( )A .C 39C 36B .A 39A 36C.C 39C 36A 33 D .A 39A 36A 33 解析:选C.此为平均分组问题,要在分组后除以三组的排列数A 33.2.5本不同的书全部分给4个学生,每个学生至少1本,不同的分法种数有( ) A .480 B .240 C .120 D .96 解析:选B.先把5本书中两本捆起来,再分成4份即可,∴分法数为C 25A 44=240.3.某班级要从4名男生、2名女生中选派4人参加某次社区服务,如果要求至少有1名女生,那么不同的选派方案种数为( )A .14B .24C .28D .48解析:选A.6人中选4人的方案有C 46=15(种),没有女生的方案只有一种,所以满足要求的方案总数有14种.4.已知圆上9个点,每两点连一线段,所有线段在圆内的交点有( ) A .36个 B .72个 C .63个 D .126个解析:选D.此题可化归为:圆上9个点可组成多少个四边形,每个四边形的对角线的交点即为所求,所以,交点有C 49=126(个).5.(2010年高考大纲全国卷Ⅱ)将标号为1,2,3,4,5,6的6张卡片放入3个不同的信封中,若每个信封放2张,其中标号为1,2的卡片放入同一信封,则不同的放法共有( )A .12种B .18种C .36种D .54种解析:选B.先将1,2捆绑后放入信封中,有C 13种方法,再将剩余的4张卡片放入另外两个信封中,有C 24C 22种方法,所以共有C 13C 24C 22=18种方法.6.如图所示的四棱锥中,顶点为P ,从其他的顶点和各棱中点中取3个,使它们和点P 在同一平面内,不同的取法种数为( )A .40B .48C .56D .62解析:选C.满足要求的点的取法可分为3类:第1类,在四棱锥的每个侧面上除点P 外任取3点,有4C 35种取法; 第2类,在两个对角面上除点P 外任取3点,有2C 34种取法;第3类,过点P 的四条棱中,每一条棱上的两点和与这条棱异面的两条棱的中点也共面,有4C 12种取法.所以,满足题意的不同取法共有4C 35+2C 34+4C 12=56(种). 二、填空题7.在50件产品中有4件是次品,从中任意抽出5件,至少有三件是次品的抽法共有________种.解析:分两类,有4件次品的抽法为C 44C 146(种);有三件次品的抽法有C 34C 246(种),所以共有C 44C 146+C 34C 246=4186种不同的抽法.答案:41868.某运动队有5对老搭档运动员,现抽派4个运动员参加比赛,则这4人都不是老搭档的抽派方法数为________.解析:先抽取4对老搭档运动员,再从每对老搭档运动员中各抽1人,故有C 45C 12C 12C 12C 12=80(种). 答案:809.2011年3月10日是第六届世界肾脏日,某社区服务站将5位志愿者分成3组,其中两组各2人,另一组1人,分别去三个不同的社区宣传这届肾脏日的主题:“保护肾脏,拯救心脏”,不同的分配方案有________种.(用数字作答)解析:分配方案有C 25C 23C 11A 22×A 33=10×3×62=90(种). 答案:90三、解答题 10.四个不同的小球放入编号为1,2,3,4的四个盒子中,恰有一个空盒的放法有多少种? 解:恰有一个空盒,则另外三个盒子中小球数分别为1,1,2,实际上可转化为先将四个不同的小球分为三组,两组各1个,另一组2个,分组方法有C 14C 13C 22A 22(种),然后将这三组再加上一个空盒进行全排列,即共有C 14C 13C 22A 22·A 44=144(种). 11.要从7个班中选10人参加数学竞赛,每班至少1人,共有多少种不同的选法?解:法一:共分三类:第一类:一个班出4人,其余6个班各出1人,有C 17种;第二类:有2个班分别出2人,3人,其余5个班各出1人,有A 27种;第三类:有3个班各出2人,其余4个班各出1人,有C 37种,故共有C 17+A 27+C 37=84(种).法二:将10人看成10个元素,这样元素之间共有9个空(两端不计),从这9个空中任选6个(即这6个位置放入隔板,将其分为七部分),有C 69=84种放法.故共有84种不同的选法.12.如图,在以AB 为直径的半圆周上,有异于A 、B 的六个点C 1、C 2、C 3、C 4、C 5、C 6,直径AB 上有异于A 、B 的四个点D 1、D 2、D 3、D 4.(1)以这10个点中的3个点为顶点作三角形可作出多少个?其中含C 1点的有多少个? (2)以图中的12个点(包括A 、B )中的4个点为顶点,可作出多少个四边形?解:(1)可分三种情况处理:①C 1、C 2、…、C 6这六个点任取三点可构成一个三角形;②C 1、C 2、…、C 6中任取一点,D 1、D 2、D 3、D 4中任取两点可构成一个三角形; ③C 1、C 2、…、C 6中任取两点,D 1、D 2、D 3、D 4中任取一点可构成一个三角形.∴C 36+C 16C 24+C 26C 14=116(个).其中含C 1点的三角形有C 25+C 15·C 14+C 24=36(个). (2)构成一个四边形,需要四个点,且无三点共线,∴共有C 46+C 36C 16+C 26C 26=360(个).1.计算C 28+C 38+C 29等于() A .120 B .240C .60D .480解析:选A.原式=C 39+C 29=C 310=120.2.若C 7n +1-C 7n =C 8n ,则n 等于( ) A .12 B .13 C .14 D .15解析:选C.C 7n +1-C 7n =C 8n ,即C 7n +1=C 8n +C 7n =C 8n +1,所以n +1=7+8,即n =14. 3.某校一年级有5个班,二年级有8个班,三年级有3个班,分年级举行班与班之间的篮球单循环赛,总共需进行比赛的场数是( )A .C 25+C 28+C 23B .C 25C 28C 23C .A 25+A 28+A 23 D .C 216解析:选A.分三类:一年级比赛的场数是C 25,二年级比赛的场数是C 28,三年级比赛的场数是C 23,再由分类加法计数原理可求.4.把8名同学分成两组,一组5人学习电脑,一组3人做生物实验,则不同的安排方法有________种.解析:C 38=56. 答案:56一、选择题1.下面几个问题中属于组合问题的是( )①由1,2,3,4构成的双元素集合;②5个队进行单循环足球比赛的分组情况;③由1,2,3构成两位数的方法;④由1,2,3组成无重复数字的两位数的方法.A .①③B .②④C .①②D .①②④ 答案:C2.已知平面内A 、B 、C 、D 这4个点中任何3点均不共线,则由其中任意3个点为顶点的所有三角形的个数为( )A .3B .4C .12D .24解析:选B.C 34=4.3.C 03+C 14+C 25+C 36+…+C 1720的值为( ) A .C 321 B .C 320C .C 420 D .C 421 解析:选D.原式=()C 04+C 14+C 25+C 36+…+C 1720 =()C 15+C 25+C 36+…+C 1720=(C 26+C 36)+…+C 1720=C 1721=C 21-1721=C 421. 4.若A 3n =12C 2n ,则n 等于( ) A .8 B .5或6 C .3或4 D .4解析:选A.A 3n =n (n -1)(n -2),C 2n =12n (n -1),∴n (n -1)(n -2)=6n (n -1),又n ∈N *,且n ≥3.解得n =8.5.从6位同学中选出4位参加一个座谈会,要求张、王两人中至多有一个人参加,则不同选法的种数为( )A .9B .14C .12D .15解析:选A.法一:直接法:分两类,第一类张、王两人都不参加,有C 44=1种选法;第二类张、王两人只有1人参加,有C 12C 34=8种选法.故共有C 44+C 12×C 34=9种选法.法二:间接法:C 46-C 24=9(种).6.把三张游园票分给10个人中的3人,分法有( ) A .A 310种 B .C 310种C .C 310A 310种D .30种 解析:选B.三张票没区别,从10人中选3人即可,即C 310. 二、填空题7.若C 13n =C 7n ,则C 18n =________.解析:∵C 13n =C 7n ,∴13=n -7,∴n =20, ∴C 1820=C 220=190. 答案:1908.C 22+C 23+C 24+…+C 210=________. 解析:原式=C 33+C 23+C 24+…+C 210=C 34+C 24+…+C 210=C 35+C 25+…+C 210=C 311=165. 答案:1659.从4名男生和3名女生中选出4人担任奥运志愿者,若选出的4人中既有男生又有女生,则不同的选法共有________________________________________________________________________种.解析:(间接法)共有C 47-C 44=34种不同的选法. 答案:34 三、解答题10.若C 4n >C 6n ,求n 的取值集合. 解:∵C 4n >C 6n ,∴⎩⎪⎨⎪⎧C 4n >C 6n n ≥6⇒⎩⎨⎧n !4!(n -4)!>n !6!(n -6)!n ≥6⇒⎩⎨⎧ n 2-9n -10<0n ≥6⇒⎩⎨⎧-1<n <10,n ≥6.∵n ∈N *,∴n =6、7、8、9,∴n 的集合为{6,7,8,9}.11.要从6男4女中选出5人参加一项活动,按下列要求,各有多少种不同的选法? (1)甲当选且乙不当选;(2)至少有1女且至多有3男当选.解:(1)甲当选且乙不当选,∴只需从余下的8人中任选4人,有C 48=70种选法.(2)至少有1女且至多有3男时,应分三类:第一类是3男2女,有C 36C 24种选法; 第二类是2男3女,有C 26C 34种选法; 第三类是1男4女,有C 16C 44种选法.由分类计数原理知,共有C 36C 24+C 26C 34+C 16C 44=186种选法. 12.现有10件产品,其中有2件次品,任意抽出3件检查. (1)正品A 被抽到有多少种不同的抽法? (2)恰有一件是次品的抽法有多少种? (3)至少一件是次品的抽法有多少种?解:(1)C 29=9×82=36(种).(2)从2件次品中任取1件有C 12种方法,从8件正品中取2件有C 28种方法,由分步乘法计数原理,不同的抽法共有C 12×C 28=2×8×72=56(种). (3)法一:含1件次品的抽法有C 12C 28种,含2件次品的抽法有C 22×C 18种,由分类加法计数原理,不同的抽法共有C 12×C 28+C 22×C 18=56+8=64(种).法二:从10件产品中任取3件的抽法为C 310种,不含次品的抽法有C 38种,所以至少1件次品的抽法为C 310-C 38=64(种).1.(x +2)6的展开式中x 3的系数是( ) A .20 B .40 C .80 D .160解析:选D.法一:设含x 3的为第r +1项,则T r +1=C r n x6-r ·2r,令6-r =3,得r =3,故展开式中x 3的系数为C 36×23=160.法二:根据二项展开式的通项公式的特点:二项展开式每一项中所含的x 与2分得的次数和为6,则根据条件满足条件x 3的项按3与3分配即可,则展开式中x 3的系数为C 36×23=160.2.(2x -12x)6的展开式的常数项是( )A .20B .-20C .40D .-40解析:选B.由题知(2x -12x )6的通项为T r +1=(-1)r C r 626-2r x 6-2r,令6-2r =0得r =3,故常数项为(-1)3C 36=-20.3.1.056的计算结果精确到0.01的近似值是( ) A .1.23 B .1.24 C .1.33 D .1.34解析:选 D.1.056=(1+0.05)6=C 06+C 16×0.05+C 26×0.052+C 36×0.053+…=1+0.3+0.0375+0.0025+…≈1.34.4.(2011年高考浙江卷)设二项式⎝⎛⎭⎫x -a x 6(a >0)的展开式中x 3的系数是A ,常数项为B ,若B =4A ,则a 的值是________.解析:A =C 26(-a )2,B =C 46(-a )4, 由B =4A 知,4C 26(-a )2=C 46(-a )4,解得a =±2. 又∵a >0,∴a =2. 答案:2一、选择题1.在(1-x )5-(1-x )6的展开式中,含x 3的项的系数是( ) A .-5 B .5 C .-10 D .10解析:选D.(1-x )5中x 3的系数-C 35=-10,-(1-x )6中x 3的系数为-C 36·(-1)3=20,故(1-x )5-(1-x )6的展开式中x 3的系数为10.2.(x -2y )10的展开式中x 6y 4项的系数是( ) A .840 B .-840 C .210 D .-210解析:选A.在通项公式T r +1=C r 10(-2y )r x10-r 中,令r =4,即得(x -2y )10的展开式中x 6y 4项的系数为C 410·(-2)4=840.3.(2010年高考陕西卷)⎝⎛⎭⎫x +ax 5(x ∈R )展开式中x 3的系数为10,则实数a 等于( ) A .-1 B.12 C .1D .2解析:选D.由二项式定理,得T r +1=C r 5x 5-r ·⎝⎛⎭⎫a x r =C r 5·x 5-2r ·a r ,∴5-2r =3,∴r =1,∴C 15·a =10,∴a =2.4.若C 1n x +C 2n x 2+…+C n n x n能被7整除,则x ,n 的值可能为( ) A .x =4,n =3 B .x =4,n =4 C .x =5,n =4 D .x =6,n =5解析:选C.由C 1n x +C 2n x 2+…+C n n x n =(1+x )n-1,分别将选项A 、B 、C 、D 代入检验知,仅有C 适合.5.⎝⎛⎭⎫x -13x 10的展开式中含x 的正整数指数幂的项数是( ) A .0 B .2 C .4 D .6解析:选B.T r +1=C r 10x 10-r 2·⎝⎛⎭⎫-13r ·x -r =C r 10⎝⎛⎭⎫-13r ·x 10-3r2.若是正整数指数幂,则有10-3r2为正整数,∴r 可以取0,2,∴项数为2.6.(1+2x )3(1-3x )5的展开式中x 的系数是( ) A .-4 B .-2 C .2 D .4解析:选C.(1+2x )3(1-3x )5=(1+6x 12+12x +8x 32)·(1-5x 13+10x 23-10x +5x 43-x 53),x的系数是-10+12=2.二、填空题 7.⎝⎛⎭⎪⎫2-13x 6的展开式中的第四项是________.解析:T 4=C 3623⎝⎛⎭⎪⎫-13x 3=-160x .答案:-160x8.若(x +a )5的展开式中的第四项是10a 2(a 为大于0的常数),则x =________.解析:∵T 4=C 35(x )2·a 3=10x ·a 3. ∴10xa 3=10a 2(a >0),∴x =1a.答案:1a9.(2010年高考辽宁卷)(1+x +x 2)⎝⎛⎭⎫x -1x 6的展开式中的常数项为__________. 解析:(1+x +x 2)⎝⎛⎭⎫x -1x 6=(1+x +x 2)[ C 06x 6⎝⎛⎭⎫-1x 0+C 16x 5⎝⎛⎭⎫-1x 1+C 26x 4⎝⎛⎭⎫-1x 2+C 36x 3⎝⎛⎭⎫-1x 3。
人教A 高中数学必修5同步训练1.某次测量中,若A 在B 的南偏东40°,则B 在A 的( )A .北偏西40°B .北偏东50°C .北偏西50°D .南偏西50°答案:A2.已知A 、B 两地间的距离为10 km ,B 、C 两地间的距离为20 km ,现测得∠ABC =120°,则A 、C 两地间的距离为( )A .10 kmB .10 3 kmC .10 5 kmD .107 km解析:选D.由余弦定理可知:AC 2=AB 2+BC 2-2AB ·BC cos ∠ABC .又∵AB =10,BC =20,∠ABC =120°,∴AC 2=102+202-2×10×20×cos 120°=700.∴AC =107.3.在一座20 m 高的观测台测得对面一水塔塔顶的仰角为60°,塔底的俯角为45°,观测台底部与塔底在同一地平面,那么这座水塔的高度是________m.解析:h =20+20tan 60°=20(1+3) m.答案:20(1+3)4.如图,一船以每小时15 km 的速度向东航行,船在A 处看到一个灯塔B 在北偏东60°,行驶4 h 后,船到达C 处,看到这个灯塔在北偏东15°.求此时船与灯塔间的距离.解:BC sin ∠BAC =AC sin ∠ABC, 且∠BAC =30°,AC =60,∠ABC =180°-30°-105°=45°.∴BC =30 2.即船与灯塔间的距离为30 2 km.一、选择题1.在某次测量中,在A 处测得同一方向的B 点的仰角为60°,C 点的俯角为70°,则∠BAC 等于( )A .10°B .50°C .120°D .130°解析:选D.如图,∠BAC 等于A 观察B 点的仰角与观察C 点的俯角和,即60°+70°=130°.2.一艘船以4 km/h 的速度沿着与水流方向成120°夹角的方向航行,已知河水流速为2 km/h ,则经过 3 h ,该船的实际航程为( )A .215 kmB .6 kmC .221 kmD .8 km解析:选B.v 实=22+42-2×4×2×cos 60°=2 3.∴实际航程=23×3=6(km).故选B.3. 如图所示,D ,C ,B 在同一地平面的同一直线上,DC =10 m ,从D ,C 两地测得A 点的仰角分别为30°和45°,则A 点离地面的高度AB 等于( )A .10 mB .5 3 mC .5(3-1) mD .5(3+1) m解析:选D.在△ADC 中,AD =10·sin 135°sin 15°=10(3+1)(m). 在Rt △ABD 中,AB =AD ·sin 30°=5(3+1)(m).4.我舰在敌岛A 处南偏西50°的B 处,且AB 距离为12海里,发现敌舰正离开岛沿北偏西10°的方向以每小时10海里的速度航行,若我舰要用2小时追上敌舰,则速度大小为( )A .28海里/小时B .14海里/小时C .14 2 海里/小时D .20海里/小时解析:选B.如图,设我舰在C 处追上敌舰,速度为v ,则在△ABC 中,AC =10×2=20(海里),AB =12海里,∠BAC =120°,∴BC 2=AB 2+AC 2-2AB ·AC cos 120°=784,∴BC =28海里,∴v =14海里/小时.5.台风中心从A 地以每小时20千米的速度向东北方向移动,离台风中心30千米内的地区为危险区,城市B 在A 的正东40千米处,则B 城市处于危险区内的持续时间为( )A .0.5小时B .1小时C .1.5小时D .2小时解析:选B.设t 小时后,B 市处于危险区内,则由余弦定理得:(20t)2+402-2×20t×40cos 45°≤302.化简得:4t2-82t+7≤0,∴t1+t2=22,t1·t2=74.从而|t1-t2|=(t1+t2)2-4t1t2=1.6.要测量底部不能到达的东方明珠电视塔的高度,在黄浦江西岸选择甲、乙两观测点,在甲、乙两点测得塔顶的仰角分别为45°、30°,在水平面上测得电视塔与甲地连线及甲、乙两地连线所成的角为120°,甲、乙两地相距500米,则电视塔在这次测量中的高度是() A.1002米B.400米C.2003米D.500米解析:选D.由题意画出示意图,设高AB=h,在Rt△ABC中,由已知BC=h,在Rt△ABD中,由已知BD=3h,在△BCD中,由余弦定理BD2=BC2+CD2-2BC·CD·cos∠BCD,得3h2=h2+5002+h·500,解之得h=500(米),故选D.二、填空题7.一树干被台风吹断,折断部分与残存树干成30°角,树干底部与树尖着地处相距5米,则树干原来的高度为________米.答案:10+5 38.如图所示,已知两座灯塔A和B与海洋观察站C的距离相等,灯塔A在观察站C的北偏东40°,灯塔B在观察站C的南偏东60°,则灯塔A在灯塔B的__________.解析:由题意可知∠ACB=180°-40°-60°=80°.∵AC=BC,∴∠CAB=∠CBA=50°,从而所求为北偏西10°.答案:北偏西10°9.海上一观测站测得方位角240°的方向上有一艘停止待修的商船,在商船的正东方有一艘海盗船正向它靠近,速度为每小时90海里.此时海盗船距观测站107 海里,20分钟后测得海盗船距观测站20海里,再过________分钟,海盗船即可到达商船.解析:如图,设开始时观测站、商船、海盗船分别位于A、B、C处,20分钟后,海盗船到达D处,在△ADC中,AC=107,AD=20,CD=30,由余弦定理得cos ∠ADC =AD 2+CD 2-AC 22AD ·CD =400+900-7002×20×30=12. ∴∠ACD =60°,在△ABD 中由已知得∠ABD =30°.∠BAD =60°-30°=30°,∴BD =AD =20,2090×60=403(分钟). 答案:403三、解答题10.如图,A 、B 两点都在河的对岸(不可到达),在河岸边选定两点C 、D ,测得CD =1000米,∠ACB =30°,∠BCD =30°,∠BDA =30°,∠ADC =60°,求AB 的长.解:由题意知△ACD 为正三角形,所以AC =CD =1000米.在△BCD 中,∠BDC =90°,所以BC =CD cos ∠BCD=1000cos 30°=200033米. 在△ACB 中,AB 2=AC 2+BC 2-2AC ·BC ·cos 30°=10002+200023-2×1000×200033×32=10002×13,所以AB =100033米. 11.如图,地面上有一旗杆OP ,为了测得它的高度,在地面上选一基线AB ,测得AB=20 m ,在A 处测得点P 的仰角为30°,在B 处测得点P 的仰角为45°,同时可测得∠AOB =60°,求旗杆的高度(结果保留1位小数).解:设旗杆的高度为h ,由题意,知∠OAP =30°,∠OBP =45°.在Rt △AOP 中,OA =OP tan 30°=3h . 在Rt △BOP 中,OB =OP tan 45°=h . 在△AOB 中,由余弦定理,得AB 2=OA 2+OB 2-2OA ·OB cos 60°,即202=(3h )2+h 2-23h ×h ×12.解得h2=4004-3≈176.4.∴h≈13(m).∴旗杆的高度约为13 m.12.一商船行至索马里海域时,遭到海盗的追击,随即发出求救信号.正在该海域执行护航任务的海军“黄山”舰在A处获悉后,即测出该商船在方位角为45°距离10海里的C 处,并沿方位角为105°的方向,以9海里/时的速度航行.“黄山”舰立即以21海里/时的速度前去营救.求“黄山”舰靠近商船所需要的最少时间及所经过的路程.解:如图所示,若“黄山”舰以最少时间在B处追上商船,则A,B,C构成一个三角形.设所需时间为t小时,则AB=21t,BC=9t.又已知AC=10,依题意知,∠ACB=120°,根据余弦定理,AB2=AC2+BC2-2·AC·BC cos∠ACB.∴(21t)2=102+(9t)2-2×10×9t cos 120°,∴(21t)2=100+81t2+90t,即360t2-90t-100=0.∴t=23或t=-512(舍).∴AB=21×23=14(海里).即“黄山”舰需要用23小时靠近商船,共航行14海里.关于数学名言警句大全1、数学家本质上是个着迷者,不迷就没有数学。
高中数学必修一同步训练及解析1.已知集合A ={a ,b },集合B ={0,1},则下列对应不是A 到B 的映射的是( )解析:选C.A 、B 、D 均满足映射的定义,C 不满足A 中任一元素在B 中都有唯一元素与之对应,且A 中元素b 在B 中无元素与之对应.2.设函数f (x )=⎩⎪⎨⎪⎧1-x 2,x ≤1,x 2+x -2,x >1,则f [1f (2)]的值为( ) A.1516B .-2716C.89D .18解析:选A.∵f (2)=22+2-2=4,∴f [1f (2)]=f (14)=1-(14)2=1516. 3.已知函数f (x )=⎩⎪⎨⎪⎧x 2,x ≤00,x >0,则f (2)+f (-2)=________. 答案:44.已知M ={正整数},N ={正奇数},映射f :a →b =2a -1,(a ∈M ,b ∈N ),则在映射f 下M 中的元素11对应N 中的元素是________.答案:21[A 级 基础达标]1.下列给出的式子是分段函数的是( )①f (x )=⎩⎪⎨⎪⎧x 2+1,1≤x ≤5,2x ,x ≤1. ②f (x )=⎩⎪⎨⎪⎧ x +1,x ∈R ,x 2,x ≥2. ③f (x )=⎩⎪⎨⎪⎧ 2x +3,1≤x ≤5,x 2,x ≤1. ④f (x )=⎩⎪⎨⎪⎧x 2+3,x <0,x -1,x ≥5. A .①②B .①④C .②④D .③④2.已知f (x )=⎩⎪⎨⎪⎧x +2(x ≤-1),x 2(-1<x <2),2x (x ≥2),若f (x )=3,则x 的值是( )A .1B .1或32C .1,32或±3 D. 3 解析:选D.该分段函数的三段各自的值域为(-∞,1],[0,4),[4,+∞),而3∈[0,4), ∴f (x )=x 2=3,x =±3,而-1<x <2,∴x = 3.3.函数y =x +|x |x的图象为( )解析:选C.y =x +|x |x =⎩⎪⎨⎪⎧x +1 (x >0)x -1 (x <0),再作函数图象. 4.如图,函数f (x )的图象是折线段ABC ,其中点A ,B ,C 的坐标分别为(0,4),(2,0),(4,2),则f (f (f (2)))=________.解析:f (2)=0,f (f (2))=f (0)=4,f (f (f (2)))=f (4)=2.答案:25.已知f (x )=⎩⎪⎨⎪⎧2x ,x <0x 2,x ≥0,若f (x )=16,则x 的值为________. 解析:当x <0时,2x =16,无解;当x ≥0时,x 2=16,解得x =4.答案:4 6.已知函数f (x )=⎩⎪⎨⎪⎧ x +2,x ≤-1,2x ,-1<x <2,x 22,x ≥2.(1)求f (-74); (2)求f (14); (3)求f (4);(4)若f (a )=3,求a 的值.解:(1)f (-74)=-74+2=14; (2)f (14)=2×14=12; (3)f (4)=422=8; (4)因为当x ≤-1时,x +2≤1,当x ≥2时,x 22≥2, 当-1<x <2时,-2<2x <4.所以⎩⎪⎨⎪⎧ -1<a <22a =3⇒a =32,或⎩⎪⎨⎪⎧a ≥2a 22=3⇒a 2=6⇒a = 6. 综上,若f (a )=3,则a 的值为32或 6. [B 级 能力提升] 7.若函数f (x )=⎩⎪⎨⎪⎧ 2x +2 (-1<x <0)-12x (0≤x <2),3 (x ≥2)则f (x )的值域是( )A .(-1,2)B .(-1,3]C .(-1,2]D .(-1,2)∪{3} 解析:选D.对f (x )来说,当-1<x <0时,f (x )=2x +2∈(0,2);当0≤x <2时,f (x )=-12x ∈(-1,0];当x ≥2时,f (x )=3.故函数y =f (x )的值域为(-1,2)∪{3}.故选D.8.映射f :A →B ,A ={-3,-2,-1,1,2,3,4},对于任意a ∈A ,在集合B 中和它对应的元素是|a |,则集合B 中的元素个数至少是( )A .4B .5C .6D .7解析:选A.对于A 中的元素±1,B 中有1与之对应;A 中的元素±2,B 中有一个元素2与之对应;A 中的元素±3,B 中有一个元素3与之对应;A 中的元素4,B 中有一个元素4与之对应,所以B 中的元素个数至少是4.9.设f :A →B 是从集合A 到B 的映射,其中A =B ={(x ,y )|x ,y ∈R},f :(x ,y )→(x +y ,x -y ),那么A 中元素(1,3)所对应的B 中的元素为________,B 中元素(1,3)在A 中有________与之对应.解析:(1,3)→(1+3,1-3),即(4,-2).设A 中与(1,3)对应的元素为(x ,y ),则⎩⎪⎨⎪⎧ x +y =1x -y =3,解得⎩⎪⎨⎪⎧x =2,y =-1.答案:(4,-2) (2,-1)10.根据函数f (x )的图象如图所示,写出它的解析式.解:当0≤x ≤1时,f (x )=2x ;当1<x <2时,f (x )=2;当x ≥2时,f (x )=3.所以解析式为f (x )=⎩⎪⎨⎪⎧ 2x ,0≤x ≤1,2,1<x <2,3,x ≥2.11.某市乘出租车计费规定:2公里以内5元,超过2公里不超过8公里的部分按每公里1.6元计费,超过8公里以后按每公里2.4元计费.若甲、乙两地相距10公里,则乘出租车从甲地到乙地共需要支付乘车费为多少元?解:设乘出租车走x 公里,车费为y 元,由题意得y =⎩⎪⎨⎪⎧ 5,0<x ≤25+1.6×(x -2),2<x ≤8,14.6+2.4×(x -8),x >8即y =⎩⎪⎨⎪⎧ 5,0<x ≤21.8+1.6x ,2<x ≤8,2.4x -4.6,x >8因为甲、乙两地相距10公里,即x =10>8,所以车费y =2.4×10-4.6=19.4(元). 所以乘出租车从甲地到乙地共需要支付乘车费为19.4元.。
高中数学必修一同步训练及解析1.下列集合中是空集的是()A.{x|x2+3=3}B.{(x,y)|y=-x2,x,y∈R}C.{x|-x2≥0}D.{x|x2-x+1=0,x∈R}解析:选D.∵方程x2-x+1=0的判别式Δ<0,∴方程无实根,故D选项为空集,A选项中只有一个元素0,B选项中有无数个元素,即抛物线y=-x2上的点,C选项中只有一个元素0.2.已知集合A={x|-1<x<2},B={x|0<x<1},则()A.A>BB.A BC.B AD.A⊆B解析:选C.利用数轴(图略)可看出x∈B⇒x∈A,但x∈A⇒x∈B不成立.3.下列关系中正确的是________.①∅∈{0};②∅;③{0,1}⊆{(0,1)};④{(a,b)}={(b,a)}.解析:∅,∴①错误;空集是任何非空集合的真子集,②正确;{(0,1)}是含有一个元素的点集,③错误;{(a,b)}与{(b,a)}是两个不等的点集,④错误,故正确的是②.答案:②4.图中反映的是四边形、梯形、平行四边形、菱形、正方形这五种几何图形之间的关系,则A、B、C、D、E分别代表的图形的集合为__________________________.解析:由以上概念之间的包含关系可知:集合A={四边形},集合B={梯形},集合C={平行四边形},集合D={菱形},集合E={正方形}.答案:A={四边形},B={梯形},C={平行四边形},D={菱形},E={正方形}[A级基础达标]1.如果A={x|x>-1},那么()A.0⊆AB.{0}∈AC.∅∈AD.{0}⊆A解析:选D.A、B、C的关系符号是错误的.2.若{1,2}={x|x2+bx+c=0},则()A.b=-3,c=2B.b=3,c=-2C.b=-2,c=3D.b=2,c=-3解析:选A.由题意知1,2为方程x 2+bx +c =0的两个根,所以⎩⎪⎨⎪⎧1+2=-b ,1×2=c ,解得b =-3,c =2. 3.符合条件{a P ⊆{a ,b ,c }的集合P 的个数是( )A .2B .3C .4D .5解析:选B.集合P 中一定含有元素a ,且不能只有a 一个元素,用列举法列出即可.4.设x ,y ∈R ,A ={(x ,y )|y =x },B ={(x ,y )|y x=1},则A 、B 间的关系为________. 解析:(0,0)∈A ,而(0,0)∉B ,故B A . 答案:B A5.已知集合A ={-1,3,2m -1},集合B ={3,m 2}.若B ⊆A ,则实数m =________.解析:由于B ⊆A ,则应有m 2=2m -1,于是m =1.答案:16.已知集合A ={(x ,y )|x +y =2,x ,y ∈N},试写出A 的所有子集.解:∵A ={(x ,y )|x +y =2,x ,y ∈N},∴A ={(0,2),(1,1),(2,0)}.∴A 的子集有:∅,{(0,2)},{(1,1)},{(2,0)},{(0,2),(1,1)},{(0,2),(2,0)},{(1,1),(2,0)},{(0,2),(1,1),(2,0)}.[B 级 能力提升]7.集合M ={x |x 2+2x -a =0,x ∈R},且∅M ,则实数a 的取值范围是( )A .a ≤-1B .a ≤1C .a ≥-1D .a ≥1解析:选C.∅M 等价于方程x 2+2x -a =0有实根.即Δ=4+4a ≥0.解得a ≥-1.8.设A ={x |1<x <2},B ={x |x <a },若A B ,则a 的取值范围是( )A .a ≥2B .a ≤1C .a ≥1D .a ≤2解析:选A.A ={x |1<x <2},B ={x |x <a },要使A B ,则应有a ≥2.9.设A ={x ∈R|x 2-5x +m =0},B ={x ∈R|x -3=0},且B ⊆A ,则实数m =________,集合A =________.解析:B ={3}.∵B ⊆A ,∴3∈A ,即9-15+m =0.∴m =6.解方程x 2-5x +6=0,得x 1=2,x 2=3,∴A ={2,3}.答案:6 {2,3}10.设M ={x |x 2-2x -3=0},N ={x |ax -1=0},若N ⊆M ,求所有满足条件的a 的集合.解:由N ⊆M ,M ={x |x 2-2x -3=0}={-1,3},得N =∅或N ={-1}或N ={3}.当N =∅时,ax -1=0无解,∴a =0.当N ={-1}时,由1a=-1,得a =-1. 当N ={3}时,由1a =3,得a =13. ∴满足条件的a 的集合为{-1,0,13}. 11.已知集合A ={x |1≤x ≤2},B ={x |1≤x ≤a ,a ≥1}.(1)若A B ,求a 的取值范围;(2)若B⊆A,求a的取值范围.解:(1)若A B,由图可知,a>2.(2)若B⊆A,由图可知,1≤a≤2.。
第2课时角度、面积问题学习目标1.能把方向角等角度条件转化为解三角形的条件,解决航海等角度问题.2.掌握用两边及其夹角表示的三角形面积公式.知识点一 角度问题测量角度问题主要是指在海上或空中测量角度的问题,如确定目标的方位,观察某一建筑物的视角等.解决它们的关键是根据题意和图形及有关概念,确定所求的角在哪个三角形中,该三角形中已知哪些量,需要求哪些量.通常是根据题意,从实际问题中抽象出一个或几个三角形,然后通过解这些三角形得到所求的量,从而得到实际问题的解. 知识点二 用两边及其夹角表示的三角形面积公式一般地,三角形面积等于两边及夹角正弦乘积的一半,即S △ABC =12ab sin C =12bc sin A =12ac sin B .思考1 S △ABC =12ab sin C 中,b sin C 的几何意义是什么?答案 BC 边上的高.思考2 如何用AB ,AD ,角A 表示▱ABCD 的面积? 答案 S ▱ABCD =AB ·AD ·sin A .1.仰角是视线与视线在水平面的射影的夹角.(√)2.在处理方向角时,两个正北方向线视为平行.(√)3.航海问题中,所求结果中的角度通常要化为方向角或方位角.(√)4.△ABC的面积S=14R abc(其中R为△ABC外接圆半径).(√)题型一角度问题例1如图,在海岸A处发现北偏东45°方向,距A处(3-1)海里的B处有一艘走私船.在A处北偏西75°方向,距A处2海里的C处的我方缉私船奉命以10 3 海里/时的速度追截走私船,此时走私船正以10海里/时的速度,从B处向北偏东30°方向逃窜.问:缉私船沿什么方向行驶才能最快截获走私船?并求出所需时间.解设缉私船应沿CD方向行驶t小时,才能最快截获(在D点)走私船,则CD=103t,BD=10t,在△ABC 中,由余弦定理,有 BC 2=AB 2+AC 2-2AB ·AC cos A=(3-1)2+22-2(3-1)·2·cos 120°=6. ∴BC = 6.又∵BC sin A =ACsin ∠ABC, ∴sin ∠ABC =AC ·sin A BC =2·sin 120°6=22,又∠ABC ∈(0°,60°),∴∠ABC =45°, ∴B 点在C 点的正东方向上, ∴∠CBD =90°+30°=120°, 在△BCD 中,由正弦定理得BD sin ∠BCD =CDsin ∠CBD,∴sin ∠BCD =BD ·sin ∠CBD CD =10t ·sin 120°103t =12.又∵∠BCD ∈(0°,60°),∴∠BCD =30°, ∴缉私船沿北偏东60°的方向行驶.又在△BCD 中,∠CBD =120°,∠BCD =30°, ∴∠CDB =30°,∴BD =BC ,即10t = 6. ∴t =610小时≈15分钟. ∴缉私船应沿北偏东60°的方向行驶,才能最快截获走私船,大约需要15分钟.反思感悟 解决航海问题先根据条件,画出示意图,然后把方向角、速度、时间等条件转化为三角形的角、边,化为解三角形问题.跟踪训练1 甲船在A 点发现乙船在北偏东60°的B 处,乙船以每小时a 海里的速度向北行驶,已知甲船的速度是每小时3a 海里,问甲船应沿着什么方向前进,才能最快与乙船相遇? 解 如图所示.设经过t 小时两船在C 点相遇,则在△ABC 中, BC =at 海里, AC =3at 海里, B =90°+30°=120°, 由BC sin ∠CAB =ACsin B,得sin ∠CAB =BC sin B AC =at ×sin 120°3at =323=12,∵0°<∠CAB <60°,∴∠CAB =30°, ∴∠DAC =60°-30°=30°,∴甲船应沿着北偏东30°的方向前进,才能最快与乙船相遇.题型二 用两边夹角表示三角形面积命题角度1 求三角形面积例2 在△ABC 中,已知BC =6,A =30°,B =120°,则△ABC 的面积为( ) A .9 B .18 C .9 3 D .18 3 答案 C解析 由正弦定理得AC sin B =BC sin A ,∴AC =BC ·sin B sin A =6×sin 120°sin 30°=6 3.又∵C =180°-120°-30°=30°,∴S △ABC =12AC ·BC ·sin C =12×63×6×12=9 3.反思感悟 求三角形面积,主要用两组公式(1)12×底×高. (2)两边与其夹角正弦的乘积的一半.选用哪组公式,要看哪组公式的条件已知或易求.跟踪训练2 在△ABC 中,已知AB →·AC →=tan A ,当A =π6时,△ABC 的面积为 .答案 16解析 ∵AB →·AC →=|AB →||AC →|cos A =tan A , ∴|AB →||AC →|=sin A cos 2A ,∴S △ABC =12|AB →||AC →|sin A=12sin 2A cos 2A =12tan 2A =16. 命题角度2 涉及三角形面积的条件转化例3 在△ABC 中,内角A ,B ,C 的对边分别是a ,b ,c ,若sin B =2sin A ,且△ABC 的面积为a 2sin B ,则cos B = . 答案 14解析 由sin B =2sin A 及正弦定理,得b =2a ,由△ABC 的面积为a 2sin B , 得12ac sin B =a 2sin B ,即c =2a , ∴cos B =a 2+c 2-b 22ac =a 24a 2=14.反思感悟 表示三角形面积,即使确定用两边夹角,还要进一步选择好用哪两边夹角. 跟踪训练3 已知△ABC 的内角A ,B ,C 的对边分别为a ,b ,c ,面积S =14(a 2+b 2-c 2),则角C 为( )A .135°B .45°C .60°D .120° 答案 B解析 ∵S =14(a 2+b 2-c 2)=12ab sin C ,∴a 2+b 2-c 2=2ab sin C ,∴c 2=a 2+b 2-2ab sin C .由余弦定理c 2=a 2+b 2-2ab cos C ,得sin C =cos C . 又C ∈(0°,180°),∴C =45°.三角形中的建模问题典例 如图,A ,B ,C 三地有直道相通,AB =5 千米,AC =3千米,BC =4 千米.现甲、乙两警员同时从A 地出发匀速前往B 地,经过t 小时,他们之间的距离为f (t )(单位:千米).甲的路线是AB ,速度为5千米/时,乙的路线是ACB ,速度为8千米/时.乙到达B 地后原地等待.设t =t 1时乙到达C 地.(1)求t 1与f (t 1)的值;(2)已知警员的对讲机的有效通话距离是3千米.当t 1≤t ≤1时,求f (t )的表达式,并判断f (t )在[t 1,1]上的最大值是否超过3.说明理由. 解 (1)由题意可得t 1=AC v 乙=38,设此时甲运动到点M ,则AM =v 甲t 1=5×38=158,∴f (t 1)=MC =AC 2+AM 2-2AC ·AM ·cos A=32+⎝⎛⎭⎫1582-2×3×158×35=3418. (2)当t 1≤t ≤78时,乙在CB 上的Q 点,设甲在P 点,∴QB =AC +CB -8t =7-8t ,PB =AB -AP =5-5t , ∴f (t )=PQ =QB 2+PB 2-2QB ·PB ·cos B =(7-8t )2+(5-5t )2-2(7-8t )(5-5t )×45=25t 2-42t +18,当78<t ≤1时,乙在B 点不动,设此时甲在点P , ∴f (t )=PB =AB -AP =5-5t ,∴f (t )=⎩⎨⎧25t 2-42t +18,38≤t ≤78,5-5t ,78<t ≤1,∴当38≤t ≤1时,f (t )∈⎣⎡⎦⎤0,3418,故f (t )的最大值没有超过3.[素养评析] 本题是关于对讲机有效通话距离的实际问题.其解决完整经历了数学建模的全过程:在实际情境中提出问题(警员能否在行动过程中保持通话),分析问题.建立模型⎝⎛⎭⎪⎪⎫f (t )=⎩⎨⎧25t 2-42t +18,38≤t ≤78,5-5t ,78<t ≤1,计算求解.最终解决实际问题.1.在△ABC中,A,B,C所对的边分别为a,b,c,其中a=4,b=3,C=60°,则△ABC 的面积为()A.3 B.3 3 C.6 D.6 3答案 B解析S△ABC=12ab sin C=12×4×3×sin 60°=3 3.2.如图所示,在坡度一定的山坡A处测得山顶上一建筑物CD的顶端C对于山坡的斜度为15°,向山顶前进100 m到达B处,又测得C对于山坡的斜度为45°,若CD=50 m,山坡对于地平面的坡度为θ,则cos θ等于()A.32 B.22 C.3-1 D.2-1答案 C解析 在△ABC 中,由正弦定理得AB sin 30°=ACsin 135°,∴AC =100 2.在△ADC 中,AC sin (θ+90°)=CDsin 15°,∴cos θ=sin(θ+90°)=AC ·sin 15°CD=3-1.3.已知三角形的面积为14,其外接圆的面积为π,则这个三角形的三边之积为( )A .1B .2 C.12 D .4答案 A解析 设三角形外接圆的半径为R ,则由πR 2=π,得R =1,∵S △=12ab sin C =abc 4R =abc 4=14,∴abc =1.4.某船开始看见一灯塔在南偏东30°方向,后来船沿南偏东60°的方向航行45 km 后,看见该灯塔在正西方向,则这时船与灯塔的距离是 km. 答案 15 3解析 设灯塔位置为A ,船的初始位置为O ,船的终止位置为B , 由题意知∠AOB =30°,∠OAB =120°,则∠OBA =30°, 所以由正弦定理,得AB =153, 即此时船与灯塔的距离是15 3 km.1.各种测量问题本质上是把不能或不易直接测量的量转化为用能直接测量的量表示.而在三角形测量中易获得的数据方向角等多以铅垂线、正南正北为始边,需要准确地转化为三角形的元素.2.(1)对于面积公式S =12ab sin C =12ac sin B =12bc sin A ,一般是已知哪一个角就使用哪一个公式.(2)与面积有关的问题,一般要用到正弦定理或余弦定理进行边和角的转化.一、选择题1.如图已知两座灯塔A ,B 与海洋观察站C 的距离相等,灯塔A 在观察站C 的北偏东40°,灯塔B 在观察站C 的南偏东60°,则灯塔A 在灯塔B 的( )A .北偏东10°B .北偏西10°C .南偏东10°D .南偏西10°答案 B解析 如题图,因为△ABC 为等腰三角形, 所以∠CBA =12(180°-80°)=50°,60°-50°=10°.所以灯塔A 在灯塔B 的北偏西10°.2.从A 处望B 处的仰角为α,从B 处望A 处的俯角为β,则α,β的关系为( ) A .α>β B .α=β C .α+β=90° D .α+β=180°答案 B3.当太阳光与水平面的倾斜角为60°时,一根长为2 m 的竹竿如图所示放置,要使它的影子最长,则竹竿与地面所成的角是( )A .15°B .30°C .45°D .60° 答案 B解析 设竹竿与地面所成的角为α,影子长为x m. 由正弦定理,得2sin 60°=x sin (120°-α),∴x =433sin(120°-α).∵30°<120°-α<120°,∴当120°-α=90°,即α=30°时,x 有最大值. 即竹竿与地面所成的角是30°时,影子最长.4.在△ABC 中,AB =3,BC =13,AC =4,则△ABC 的面积是( ) A .3 3 B.332 C .3 D.32答案 A解析 ∵cos A =AB 2+AC 2-BC 22AB ·AC =9+16-132×3×4=12,∴sin A =32, S △ABC =12bc sin A =12×4×3×32=3 3.5.在△ABC 中,内角A ,B ,C 所对的边分别是a ,b ,c ,若c 2=(a -b )2+6,C =π3,则△ABC的面积是( )A. 3B.932C.332 D .3 3答案 C解析 由题意得c 2=a 2+b 2-2ab +6,由余弦定理可得c 2=a 2+b 2-2ab cos C =a 2+b 2-ab , ∴-2ab +6=-ab ,即ab =6. ∴S △ABC =12ab sin C =332.6.(2018·全国Ⅲ)△ABC 的内角A ,B ,C 的对边分别为a ,b ,c .若△ABC 的面积为a 2+b 2-c 24,则C 等于( ) A.π2 B.π3 C.π4 D.π6 答案 C解析 ∵S =12ab sin C =a 2+b 2-c 24=2ab cos C 4=12ab cos C , ∴sin C =cos C ,即tan C =1. 又∵C ∈(0,π),∴C =π4.7.如图,两座相距60 m 的建筑物AB ,CD 的高度分别为20 m ,50 m ,BD 为水平面,则从建筑物AB 的顶端A 看建筑物CD 的张角为( )A .30°B .45°C .60°D .75° 答案 B解析 依题意可得AD =2010,AC =305, 又CD =50,所以在△ACD 中,由余弦定理得cos ∠CAD =AC 2+AD 2-CD 22AC ·AD=(305)2+(2010)2-5022×305×2010= 6 0006 0002=22,又0°<∠CAD <180°,所以∠CAD =45°, 所以从顶端A 看建筑物CD 的张角为45°.8.若钝角△ABC 的面积是12,AB =1,BC =2,则AC 等于( )A .5 B. 5 C .2 D .1 答案 B解析 ∵钝角△ABC 的面积是12,AB =c =1,BC =a =2, ∴S =12ac sin B =12,即sin B =22.当B 为钝角时,cos B =-1-sin 2B =-22. 利用余弦定理,得AC 2=AB 2+BC 2-2AB ·BC cos B =1+2+2=5,即AC =5; 当B 为锐角时,cos B =1-sin 2B =22, 利用余弦定理,得AC 2=AB 2+BC 2-2AB ·BC cos B =1+2-2=1,即AC =1,此时AB 2+AC 2=BC 2,即△ABC 为直角三角形,不合题意,舍去. 故AC = 5. 二、填空题9.在△ABC 中,角A ,B ,C 的对边a ,b ,c 满足b 2+c 2=a 2+bc ,且bc =8,则△ABC 的面积为 . 答案 2 3 解析 因为b 2+c 2=a 2+bc ,所以cos A =b 2+c 2-a 22bc =12,所以A =π3,三角形面积S =12bc sin A=12×8×32=2 3. 10.已知三角形ABC 的三边分别为a ,b ,c ,面积S =a 2-(b -c )2,则cos A = . 答案1517解析 S =a 2-(b -c )2=a 2-b 2-c 2+2bc =-2bc cos A +2bc , ∵S =12bc sin A ,∴12bc sin A =2bc -2bc cos A .即4-4cos A =sin A .平方得17cos 2A -32cos A +15=0. 即(17cos A -15)(cos A -1)=0. 得cos A =1(舍)或cos A =1517.11.如图所示,位于A 处的信息中心获悉:在其正东方向相距40海里的B 处有一艘渔船遇险,在原地等待营救.信息中心立即把消息告知在其南偏西30°、相距20海里的C 处的乙船,现乙船朝北偏东θ的方向沿直线CB 前往B 处救援,则cos θ的值为 .答案2114解析 如题图知,在△ABC 中,AB =40,AC =20,∠BAC =120°, 由余弦定理得BC 2=AB 2+AC 2-2AB ·AC ·cos 120°=2 800, 所以BC =207, 由正弦定理得sin ∠ACB =AB BC ·sin ∠BAC =217,由∠BAC =120°知∠ACB 为锐角, 故cos ∠ACB =277.故cos θ=cos(∠ACB +30°)=cos ∠ACB cos 30°-sin ∠ACB sin 30°=2114. 三、解答题12.甲船在A 处,乙船在A 的南偏东45°方向,距A 有9海里的B 处,并以20海里/时的速度沿南偏西15°方向行驶,若甲船以28海里/时的速度行驶,用多少小时能最快追上乙船? 解 如图所示,设用t 小时甲船能追上乙船,且在C 处相遇.在△ABC 中,AC =28t ,BC =20t ,AB =9, ∠ABC =180°-45°-15°=120°.由余弦定理得AC 2=AB 2+BC 2-2AB ·BC cos ∠ABC , 即(28t )2=92+(20t )2-2×9×20t ×⎝⎛⎭⎫-12, 128t 2-60t -27=0,∴t =34或t =-932(舍去),∴甲船用34小时能最快追上乙船.13.在△ABC 中,内角A ,B ,C 所对的边分别是a ,b ,c .已知A =π4,b 2-a 2=12c 2.(1)求tan C 的值;(2)若△ABC 的面积为3,求b 的值.解 (1)由b 2-a 2=12c 2及正弦定理得sin 2B -12=12sin 2C ,所以-cos 2B =sin 2C .由A =π4,得B +C =34π,则-cos 2B =-cos ⎝⎛⎭⎫32π-2C =sin 2C =2sin C cos C ,所以sin 2C =2sin C cos C ,又sin C ≠0,解得tan C =2. (2)由tan C =2,C ∈(0,π),得sin C =255,cos C =55.因为sin B =sin(A +C )=sin ⎝⎛⎭⎫π4+C , 所以sin B =31010.由正弦定理得c =b sin C sin B =223b ,又因为A =π4,12bc sin A =3,所以bc =62,故b =3.14.如图,四边形ABCD 中,B =C =120°,AB =4,BC =CD =2,则该四边形的面积等于( )A. 3 B.5 3 C.6 3 D.7 3答案 B解析连接BD,四边形面积可分为△ABD与△BCD两部分面积的和,由余弦定理,得BD=23,S△BCD=12BC×CD sin 120°=3,∠ABD=120°-30°=90°,∴S△ABD=12AB×BD=4 3.∴S四边形ABCD=3+43=5 3.15.为保障高考的公平性,高考时每个考点都要安装手机屏蔽仪,要求在考点周围1千米处不能收到手机信号,检查员抽查某市一考点,在考点正西 3 千米有一条北偏东60°方向的公路,在此处检查员用手机接通电话,以每小时12千米的速度沿公路行驶,问最长需要多少分钟检查员开始收不到信号,并至少持续多长时间该考点才算合格?解如图所示,考点为A,检查开始处为B,设检查员行驶到公路上C,D两点之间时收不到信号,即公路上C,D两点到考点的距离为1千米.在△ABC中,AB=3千米,AC=1千米,∠ABC=30°,由正弦定理,得sin∠ACB=sin 30°AC×AB=32,∴∠ACB=120°(∠ACB=60°不合题意),∴∠BAC=30°,∴BC=AC=1 千米.在△ACD中,AC=AD=1千米,∠ACD=60°,∴△ACD为等边三角形,∴CD=1千米.∵BC12×60=5,∴在BC上需5分钟,CD上需5分钟.∴最长需要5分钟检查员开始收不到信号,并持续至少5分钟才算合格.。
——教学资料参考参考范本——【初中教育】最新人教版物理八年级上册同步训练第一章第二节运动的描述同步训练(解析版)word版______年______月______日____________________部门运动的描述同步训练一、单选题(共14题;共28分)1、下面那一项不是机械运动()A、江河奔流B、斗转星空C、分子运动D、地壳运动2、下列运动中,属于物理学中描述的机械运动的是()A、汽车在高速公路上以每小时100km的速度行驶B、“五四”运动是我国新民主主义革命的标志C、小明和小方用手机进行了通话D、我校9月10日举行了“尊师典礼”活动3、下列运动不属于机械运动的是()A、物体从高空落下B、气温升高C、飞机在空中飞行D、自行车在公路上转弯4、机械运动是宇宙中最常见的运动,在下列现象中,不属于机械运动的是()A、树木生长B、流星划过天空C、水流潺潺D、风车转动5、下列现象中不属于机械运动的是()A、寒来暑往B、行云流水C、斗转星移D、龙腾虎跃6、(20xx•内江)如图所示,在新型汽车的研制中,将汽车模型放在风洞中固定不动,让风(流动的空气)高速迎面吹来,真实地模拟汽车在空气中高速运动的情形.在此情境中下列说法正确的是()A、汽车模型相对于风洞是运动的B、汽车模型相对于风是运动的C、风相对于风洞是静止的D、风相对于地面是静止的7、(20xx•邵阳)20xx 年 4 月 27 日,我国的天舟一号货运飞船与天宫二号空间实验室成功对接,首次完成推进剂在轨补加试验,实现了空间推进领域的一次重大技术跨越.如图是它们成功对接时的情形,此时若认为天宫二号是静止的,则所选的参照物是()A、太阳B、月亮C、地球D、天舟一号8、(20xx•扬州)如图所示,菲菲和翔翔坐在车厢内,观察判断火车的运动情况.菲菲:以窗外的动车为参照物,火车的位置变化了,因此火车是运动的.翔翔:以窗外的站台为参照物,火车的位置没有变化,因此火车是静止的.以上判断()A、菲菲正确B、翔翔正确C、两人都正确D、两人都不正确9、(20xx•郴州)随着经济的发展,我国的国防事业得到了相应的发展.如图所示为我国空军战机空中加油时的情景()A、以地面为参照物,加油机是静止的B、以加油机为参照物,战机是运动的C、以地面为参照物,加油机和战机都是静止的D、以战机为参照物,加油机是静止的10、(20xx•宜昌) 20xx年4月20日,中国首个货运飞船“天舟一号”在海南文昌发射升空,升空后,“天舟一号”与空间站“天宫二号”成功实现了交会对接,如图为对接模拟图,对接后“天舟一号”相对以下哪个参照物是静止的()A、地球B、“天舟一号”C、“天宫二号”D、太阳11、(20xx•安顺)假期到了,同学们送小明乘列车回家.几个同学看着列车徐徐地向前开动了,小明坐在窗边,却看到同学们渐渐向后退去,原因是几个同学和小明所选择的参照物分别是()A、地面、列车B、列车、地面C、列车、列车D、地面、地面12、小林骑自行车沿河堤向下游行进,感觉无风,但堤上柳树的枝叶却在随风飘拂.此时的风向是()A、向下游B、向上游C、向河对岸D、从对岸吹来13、(20xx•益阳)某大学两位研究生从蚂蚁身上得到启示,设计出如图所示的“都市蚂蚁”概念车.这款概念车小巧实用,有利于缓解城市交通拥堵.下列关于正在城市中心马路上行驶的此车说法正确的是()A、以路面为参照物,车是静止的B、以路旁的树木为参照物,车是静止的C、以路旁的房屋为参照物,车是运动的D、以车内的驾驶员为参照物,车是运动的14、下列语句中加点部分描绘的运动情景,选取山为参照物的是()A、两岸青山相对出,孤帆一片日边来B、小小竹排江中游,巍巍青山两岸走C、满眼风波多闪灼,看山恰似走来迎D、两岸猿声啼不住,轻舟已过万重山二、填空题(共8题;共21分)15、(1)在物理学中,我们把物体________ 的变化叫做机械运动.人们判断物体的运动和静止,总是选取某一物体作为标准,这个作为标准的物体叫________ .(2)如图所示,是因庆阅兵式上空中梯队飞越天空门广场的情景,呈“口”字形展开的战斗机群,好长一段时间队形不变,蔚为壮观.其中蕴含很多物理知识,队形不变时,飞机之间相对________ (运动/静止);观礼人听到的飞机是通过________ 传播而来,随着飞机运离听到的声音响度________ (变大/不变/变小).16、三位同学到车站送小明上车,列车徐徐开动时的情景如右图所示.三位同学看到火车开动了,他们选择的参照物是________(选填“站台”或“列车”);坐在窗边的小明感觉同学们渐渐向车尾退去,他选择的参照物是________;小明乘坐的快速列车,其正常运行的速度是120km/h、等于________ m/s.17、《刻舟求剑》这则寓言故事中,刻舟人最终没能寻到剑,是因为船相对于河岸是________的,而剑相对于河岸是________的.18、从运动本身来说,自然界中一切物体都在________,不做________变化的物体是不存在的.19、(20xx•江西)如图所示,一个白鹭正平行于水面飞行,若以白鹭为参照物,它在水中的倒影是________的,若以岸为参照物,白鹭是的________(均选填“运动”或“静止”).20、20xx年1月12日凌晨,赴南海执行跨海区训练和实验的辽宁舰编队通过台湾海峡.如图为歼﹣15航母舰载机从航母上起飞,以航母为参照物,舰载机是________的,以舰载机上挂载的导弹为参照物,舰载机是________的.(选填“运动”或“静止”)21、宋代诗人陈与义乘船出游时曾写下一首诗:“飞花两岸照船红,百里榆堤半日风.卧看满天云不动,不知云与我俱东”,其中“云不动”、“云与我俱东”分别是以________、________(选填“榆堤”或“船”)为参照物.22、小明在马路边上拍街景照片,连续拍了两张,如图甲、乙所示.如果以行驶的卡车为参照物,树是________的,轿车是________的,骑自行车的人是________的.(均选填“向左运动”“向右运动”或“静止”)三、解答题(共1题;共5分)23、如图,小朋友认为车上的乘客在运动,而司机则认为车上的乘客是静止的,请用学过的知识解释小朋友和司机得出不同结论的原因.四、综合题(共1题;共2分)24、如图所示A、B两车先后在两个时刻的位置情况.请写出A、B两车在这一过程中相对于地面的两种可能的运动情况:(1) ________(2) ________.答案解析部分一、单选题1、【答案】C 【考点】机械运动【解析】【解答】解:A、江水奔腾,水的位置不断发生变化,是机械运动,故A错误; B、斗转星空,指的是星体之间的位置发生变化,是机械运动,故B错误;C、分子的运动是微观世界的运动,不是物体的运动,不是机械运动,故C正确;D、地壳运动,是地壳位置发生了变化,是机械运动,故D错误.故选:C.【分析】一个物体相对于另一个物体位置的改变叫机械运动,根据机械运动的定义即可解答.2、【答案】A 【考点】机械运动【解析】【解答】解:A、汽车在高速公路上行驶,其位置相对应地面等物体不断发生变化,属于机械运动. B、“五四”运动,是历史上的一次青年组织的爱国运动,不是机械运动.C、用手机通话是利用电磁波和电流传递信息,没有位置变化,不属于机械运动.D、“尊师典礼”活动,属于集会形式,不是只物体位置的变化,不是机械运动.故选A.【分析】(1)机械运动是指一个相对于别的物体有位置的改变;(2)物理上的运动都是相对的,判断物体是不是做机械运动,关键是看这个物体相对于别的物体是不是有位置的改变.3、【答案】B 【考点】机械运动【解析】【解答】解:物体从高空落下、飞机在空中飞行、自行车转弯这三种情境中,物体的位置都发生了变化,因此属于机械运动;而气温升高,只是温度的变化,没有位置的变化,因此不属于机械运动.故选B.【分析】在物理学中,把物体位置的变化叫做机械运动.4、【答案】A 【考点】机械运动【解析】【解答】解:A、树木生长是生物的成长过程,没有位置的变化,所以不是机械运动; B、明亮的流星划过夜空,流星的位置不断发生变化,属于机械运动.C、水流潺潺,水的位置不断发生变化,属于机械运动.D、风车转动,风车的位置不断发生变化,属于机械运动.故选A.【分析】机械运动是指物体位置的变化,是宇宙中的一种普遍运动形式.在判断物体的运动与静止时,要看物体相对于参照物的位置是否发生改变.5、【答案】A 【考点】机械运动【解析】【解答】解:A、寒来暑往,是气温的变化,不是机械运动,不符合题意;B、行云流水,云和水的位置发生了变化,属于机械运动,不符合题意;C、斗转星移,星的位置发生了变化,属于机械运动,不符合题意.D、龙腾虎跃,龙和虎的位置发生了变化,属于机械运动,不符合题意.故选A.【分析】在物理学中,把物体位置的变化叫机械运动.6、【答案】B 【考点】运动和静止的相对性【解析】【解答】解:A、汽车模型相对于风洞位置没有发生改变,所以是静止的,故A错误;B、汽车模型相对于风位置在不断发生改变,所以是运动的,故B正确;C、风相对于风洞位置在不断发生改变,所以是运动的,故C错误;D、风相对于地面位置在不断发生改变,所以是运动的,故D错误.故选B.【分析】同一物体是运动还是静止,取决于选择的参照物,参照物不同,其运动和静止的状态可能不同.这就是运动和静止的相对性.7、【答案】D 【考点】参照物及其选择【解析】【解答】解:天宫二号相对于地球、月球、太阳,均有位置的变化,故以它们为参照物,天宫二号是运动的,故ABC错误;“天舟一号”飞船与“天宫二号”实现成功对接后,保持相对静止,以对方为参照物,两者都是静止的,所以选择“天舟一号”为参照物,“天宫二号”是静止的,故D正确.故选D.【分析】研究机械运动时,假定不动的物体叫参照物,与参照物相比,物体位置有变化,说明物体在运动;物体位置没有变化,说明物体处于静止状态.8、【答案】B 【考点】运动和静止的相对性【解析】【解答】解:菲菲:以窗外的动车为参照物,火车的位置变化了,若动车不动,则火车是运动的;若动车运动,则火车可能是运动的也可能是静止的,故菲菲的判断错误;翔翔:以窗外的站台为参照物,火车的位置没有变化,因此火车是静止的,故翔翔的判断正确.故选B.【分析】研究物体的运动时,必须事先选定一个标准的物体,这个事先被选作标准的物体叫参照物.如果被研究的物体相对于这个标准位置发生了改变,则是运动的;如果被研究的物体相对于这个标准位置没有发生改变,则是静止的.9、【答案】D 【考点】参照物及其选择【解析】【解答】解:AC、加油过程中,若以地面为参照物,加油机、战机和地面的位置在不断发生变化,所以说它们是运动的.故AC错误. B、以加油机为参照物,战机与加油机之间位置没有发生变化,战机是静止的,故B错误;D、以战机为参照物,加油机与战机之间的位置没有发生变化,加油机是静止的,故D正确.故选D.【分析】解答此题的关键是看被研究的物体与所选的标准,即参照物之间的相对位置是否发生了改变,如果发生改变,则物体是运动的;如果未发生变化,则物体是静止的.10、【答案】C 【考点】参照物及其选择【解析】【解答】解: AD、“天舟一号”相对于地球和太阳,均有位置的变化,故以它们为参照物,“天舟一号”是运动的,故AD错误;B、参照物不能选择被研究的物体本身,故C错误;C、天舟一号”与“天宫二号”实现成功对接后,保持相对静止,以对方为参照物,两者都是静止的,所以选择“天宫二号”为参照物,“天舟一号”是静止的,故C正确.故选C.【分析】研究机械运动时,假定不动的物体叫参照物,与参照物相比,物体位置有变化,说明物体在运动;物体位置没有变化,说明物体处于静止状态.11、【答案】A 【考点】参照物及其选择【解析】【解答】解:这些同学以地面为参照物时,看到列车与地面之间的位置不断发生变化,所以列车是运动的;若以火车、小明,或火车内其他乘客为参照物,几个同学与这些物体之间的位置发生了变化,这些同学是运动的,所以小明看到几个同学渐渐向后退去.故选A.【分析】判断物体的运动状态之前,必须选择参照物.如果物体和参照物之间发生了位置的改变,则称物体是运动的;如果物体和参照物之间没有发生位置的改变,则称物体是静止的.12、【答案】A 【考点】运动和静止的相对性【解析】【解答】解:小明骑自行车沿河堤向下游行驶,以自己作为参照物,他骑车的速度与风速相同,所以感觉无风,此时的风向应该是向下游;以柳树作为参照物,会看到堤上柳树的枝叶却在随风飘动.所以选项A正确,B、C、D错误.故选A.【分析】解答此题的关键是看被研究的物体与所选的标准,即参照物之间的相对位置是否发生了改变,如果发生改变,则物体是运动的;如果未发生变化,则物体是静止的.13、【答案】C 【考点】参照物及其选择【解析】【解答】解:在城市中心马路上行驶的“都市蚂蚁”概念车相对于路面、路旁的树木、路旁的房屋的位置不断发生变化,所以以路面、路旁的树木、路旁的房屋为参照物,“都市蚂蚁”概念车是运动的,相对于车内的驾驶员的位置没有发生变化,所以以车内的驾驶员为参照物,车是静止的,故C正确.故选C.【分析】物体的运动和静止都是相对于参照物而言的,相对于参照物位置变化的物体是运动的,位置不变的物体是静止的.14、【答案】D 【考点】参照物及其选择【解析】【解答】解: A、“两岸青山相对出”是相对于船来说的,以船为参照物,故A错误;B、“巍巍青山两岸走”是以竹排为参照物的,故B错误;C、“看山恰似走来迎”选择的参照物是自己或者船与船上静止不动的物体,故C错误;D、“轻舟已过万重山”,舟的运动应是相对于山;故诗人选取的参照物为山及两边的岸,故D正确.故选D.【分析】研究物体的运动情况时,需要先选取一个标准做为参照物,物体与参照物的位置发生了变化,物体就是运动的;物体与参照物的位置没有发生变化,物体就是静止的.二、填空题15、【答案】位置;参照物;静止;空气;变小【考点】机械运动【解析】【解答】解:(1)物体位置的改变叫做机械运动,人们判断物体的运动和静止,总是选取某一物体作为标准,这个作为标准的物体叫参照物;(2)因为各飞机间保持相对位置不变,因此以彼此为参照物,它们都是静止的;声音的传播需要介质,人群听到的声音是空气传播而来的,随着飞机远离听到声音的响度变小.故答案为:(1)位置;参照物;(2)静止;空气;变小.【分析】(1)平时所说的运动在物理学中称为机械运动,即物体位置发生了改变叫做机械运动,一切物体都是运动的,事先选定的物体,叫做参照物.平时所说的物体是运动还是静止的都是相对参照物而言的.(2)队形不变,表明各飞机之间的相对位置没有发生改变,因此静止;声音是靠周围的介质进行传播的;把人耳能感觉到的声音的强弱成为响度,与物体振动幅度有关,振幅越大,响度越大;振幅越小,响度越小;同时响度还和距离声源的距离有关,即距离声源越近,响度越大;距离声源越远,响度越小.16、【答案】站台;列车;33.3 【考点】参照物及其选择【解析】【解答】解:当地面上的同学以站台为参照物时,列车与站台之间的位置不断发生变化,所以列车是运动的;若以列车或列车内其他乘客为参照物,三位同学与这些物体之间的位置发生了变化,这些同学是运动的,所以小明看到几个同学渐渐向后退去.因为1km/h= m/s,所以120km/h=120× m/s≈33.3m/s.故答案为:站台;列车;33.3.【分析】①判断物体的运动状态之前,必须选择参照物.如果物体和参照物之间发生了位置的改变,则称物体是运动的;如果物体和参照物之间没有发生位置的改变,则称物体是静止的;②1km/h= m/s.17、【答案】运动;静止【考点】运动和静止的相对性【解析】【解答】解:以河岸为参照物,船与河岸之间的位置关系发生了变化,船是运动的;而剑与河岸之间的位置没有发生变化,剑是静止的,所以刻舟人最终没能寻到剑.故答案为:运动;静止.【分析】一个物体的运动状态的确定,关键取决于所选取的参照物.所选取的参照物不同,得到的结论也不一定相同.这就是运动和静止的相对性.18、【答案】运动;位置【考点】机械运动【解析】【解答】解:自然界一切物体都在运动,位置不变化的物体是不存在的.故答案为:运动;位置.【分析】物理学中,把一个物体相对于另一个物体的位置的变化叫做机械运动,一切物体都是运动的,绝对静止的物体是不存在的.19、【答案】静止;运动【考点】参照物及其选择【解析】【解答】解:一个白鹭正平行于水面飞行,白鹭所成的像相对于水面时对称的,若以白鹭为参照物,像与白鹭间没有位置的变化,故是静止的;以岸为参照物,白鹭与岸有位置的变化,是运动的.故答案为:静止;运动.【分析】在研究物体运动时,要选择参照的标准,即参照物,物体的位置相对于参照物发生变化,则运动,不发生变化,则静止.20、【答案】运动;静止【考点】参照物及其选择【解析】【解答】解:由题意知,歼﹣15航母舰载机从航母上起飞,以航母为参照物,舰载机的位置改变,因此如果以航母为参照物,舰载机是运动的;以舰载机上挂载的导弹为参照物,舰载机的位置没有发生改变,因此舰载机是静止的.故答案为:运动;静止.【分析】在判断物体的运动与静止时,如果物体的位置相对于参照物不变,则物体是静止的,如果物体的位置相对于参照物不断变化,则物体是运动的.21、【答案】船;榆堤【考点】参照物及其选择【解析】【解答】解:(1)从“不知云与我俱东”可知,相对于地面来说,诗人与云都是向东运动的,也就是说,二者的运动状态相同,相对静止.所以诗人以船为参照物看云时,会认为“卧看满天云不动”的效果;(2)在本题中船是向东高速行驶,而“卧看满天云不动”是指“云与我”保持相对静止,即“云与我”以相同的速度相对于地球向东运动.所以“云与我俱东”是以“榆堤”或运动的“飞花”为参照物的.故答案为:船;榆堤.【分析】研究物体的运动情况时,首先要选取一个物体作为标准,这个被选作标准的物体叫做参照物.研究对象的运动情况是怎样的,就看它与参照物的相对位置是否变化.22、【答案】向右运动;向左运动;向右运动【考点】运动和静止的相对性【解析】【解答】解:如果以行驶的卡车为参照物,树的位置发生了改变,因此是向右运动的;如果以行驶的卡车为参照物,小轿车超过了卡车,因此,轿车是向左运动的;如果以行驶的卡车为参照物,骑自行车的人的位置向右发生了改变,因此是向右运动的.故答案为:向右运动;向左运动;向右运动.【分析】判断物体的运动状态,必须首先选择参照物,才可以做出判断.运动和静止时相对的,当选择的参照物不同时,得出的物体运动情况有可能不同.结合图片可逐一分析判断.三、解答题23、【答案】答:小朋友以地面为参照物,认为车上的乘客是运动的;司机以汽车为参照物,认为车上的乘客是静止的.因为他们所选的参照物不同,所以小朋友和司机得到的结论不同【考点】运动和静止的相对性【解析】【分析】要解决此题,需要掌握运动和静止的相对性,物体的运动和静止相对于所选取的参照物而言的.关键是看物体相对于参照物的位置是否改变,若改变则是运动的;若不变,则是静止的.四、综合题24、【答案】(1)A车静止,B车向东运动(2)B车静止,A车向西运动【考点】机械运动【解析】【解答】解:从a图到b图,A和B的运动情况有以下几种可能:(1)A车静止,B车向东运动;(2)B车静止,A车向西运动;(3)A车向西运动,同时B车也向东运动.故答案为:(1)A车静止,B车向东运动;(2)B车静止,A车向西运动.【分析】一个物体的运动状态的确定,关键取决于所选取的参照物,所选取的参照物不同,得到的结论也不一定相同,但都是正确的结论.。
1.2 充分条件与必要条件1.2.1 充分条件与必要条件 1.2.2 充要条件自主预习·探新知情景引入古代有一次考画师的题目是“深山藏古寺”,考生的画面上有的是崇山峻岭,松柏深处有座寺庙;有的是山峦之间露出寺庙的一角……而有一个考生的画面上只有起伏的山峦,密密的松林,一个和尚正从山脚下沿着一股小道担水上山,却没有寺庙.最后,这幅画被评为第一名.和尚担水上山与深山古寺之间有什么逻辑关系呢?(如果有和尚担水上山,那么山里就有庙……)新知导学1.如果命题“若p,则q”为真,则记为__p⇒q__,“若p则q”为假,记为__p⇒/q__.2.如果已知p⇒q,则称p是q的__充分条件__,q是p的__必要条件__.3.如果既有p⇒q,又有q⇒p,则p是q的__充要条件__,记为__p⇔q__.4.如果p⇒/q且q⇒/p,则p是q的__既不充分也不必要条件__.5.如果p⇒q且q⇒/p,则称p是q的__充分不必要__条件.6.如果p⇒/q且q⇒p,则称p是q的__必要不充分__条件.预习自测1.直线x-y+m=0与圆x2+y2-2x=0有两个不同交点的一个充分不必要条件是( A ) A.-1<m<0 B.-4<m<2C.m<1 D.-3<m<1[解析] 圆方程整理得(x -1)2+y 2=1, 即圆心为(1,0),半径r =1.∵直线x -y +m =0与圆x 2+y 2-2x =0有两个不同交点,∴直线与圆相交,∴|1+m |2<1,即|m +1|<2,解得-2-1<m <2-1.故结合选项得直线x -y +m =0与圆x 2+y 2-2x =0有两个不同交点的一个充分不必要条件是-1<m <0,故选A .2.(2020·天津卷,2)设a ∈R ,则“a >1”是“a 2>a ”的( A ) A .充分不必要条件 B .必要不充分条件 C .充要条件D .既不充分也不必要条件[解析] 由a 2>a 得a >1或a <0,反之,由a >1得a 2>a ,则“a >1”是“a 2>a ”的充分不必要条件,故选A .3.(2019·浙江卷,5)若a >0,b >0,则“a +b ≤4”是“ab ≤4”的( A ) A .充分不必要条件 B .必要不充分条件 C .充分必要条件 D .既不充分也不必要条件[解析] ∵ a >0,b >0,若a +b ≤4,∴ 2ab ≤ a +b ≤4. ∴ ab ≤4,此时充分性成立.当a >0,b >0,ab ≤4时,令a =4,b =1,则a +b =5>4, 这与a +b ≤4矛盾,因此必要性不成立.综上所述,当a >0,b >0时,“a +b ≤4”是“ab ≤4”的充分不必要条件.故选A . 4.设点P (x ,y ),则“x =-3,y =1”是“点P 在直线l :x -y +4=0上”的( A ) A .充分不必要条件 B .必要不充分条件 C .充要条件D .既不充分也不必要条件[解析] 由x =-3,y =1⇒x -y +4=0成立,而由x -y +4=0⇒/x =-3,y =1成立,故选A .5.已知p :1-x <0,q :x >a .若p 是q 的充分不必要条件,则实数a 的取值范围是__a <1__.[解析] p :x >1,q :x >a ,∵p 是q 的充分不必要条件.∴a <1.互动探究·攻重难互动探究解疑 命题方向❶充分条件的判断典例1 下列“若p ,则q ”形式的命题中,哪些命题中的p 是q 的充分条件?(1)若x >1,则-3x <-3; (2)若x =1,则x 2-3x +2=0; (3)若f (x )=-x3,则f (x )为减函数;(4)若x 为无理数,则x 2为无理数; (5)若l 1∥l 2,则k 1=k 2.[思路分析] 判断命题“若p ,则q ”的真假,从而判定p 是否是q 的充分条件. [解析] 由定义知:若p ⇒q (即原命题为真时),则p 是q 的充分条件.易知(1)(2)(3)是真命题;当x =2时,x 2=2,所以(4)是假命题;当l 1∥l 2时,可能斜率都不存在,故(5)为假命题.即命题(1)(2)(3)中的p 是q 的充分条件.『规律方法』 1.判断p 是q 的充分条件,就是判断命题“若p ,则q ”为真命题. 2.p 是q 的充分条件说明:有了条件p 成立,就一定能得出结论q 成立.但条件p 不成立时,结论q 未必不成立.例如,当x =2时,x 2=4成立,但当x ≠2时,x 2=4也可能成立,即当x =-2时,x 2=4也可以成立,所以“x =2”是“x 2=4”成立的充分条件,“x =-2”也是“x 2=4”成立的充分条件.┃┃跟踪练习1__■下列“若p ,则q ”形式的命题中,p 是q 的充分条件的命题个数为( B ) ①若f (x )是周期函数,则f (x )=sin x ; ②若x >5,则x >2; ③若x 2-9=0,则x =3. A .0B .1C.2 D.3[解析]①中,周期函数还有很多,如y=cos x,所以①中p不是q的充分条件;很明显②中p是q的充分条件;③中,当x2-9=0时,x=3或x=-3,所以③中p不是q的充分条件.所以p是q的充分条件的命题个数为1,故选B.命题方向❷必要条件典例2 下列命题中是真命题的是( D )①“x>3”是“x>4”的必要条件;②“x=1”是“x2=1”的必要条件;③“a=0”是“ab=0”的必要条件;④“函数f(x)的定义域关于坐标原点对称”是“函数f(x)为奇函数”的必要条件.A.①②B.②③C.②④D.①④[思路分析]根据必要条件的定义进行判断.[解析]x>4⇒x>3,故①是真命题;x=1⇒x2=1,x2=1⇒/x=1,故②是假命题;a=0⇒ab=0,ab=0⇒/a=0,故③是假命题;函数f(x)的定义域关于坐标原点对称⇒/函数f(x)为奇函数,函数f(x)为奇函数⇒函数f(x)的定义域关于坐标原点对称,故④是真命题,∴选D.『规律方法』 1.判断p是q的必要条件,就是判断命题“若q,则p”成立;2.p是q的必要条件理解要点:①有了条件p,结论q未必会成立,但是没有条件p,结论q一定不成立.②如果p是q的充分条件,则q一定是p的必要条件.真命题的条件是结论的充分条件;真命题的结论是条件的必要条件.假命题的条件不是结论的充分条件,但是有可能是必要条件.例如:命题“若p:x2=4,则q:x=-2”是假命题.p不是q的充分条件,但q⇒p成立,所以p是q的必要条件.因此只有一个命题“若p,则q”是真命题时,才能说p是q的充分条件,q是p的必要条件.3.推出符号“⇒”只有当命题“若p,则q”为真命题时,才能记作“p⇒q”.┃┃跟踪练习2__■函数f(x)=a-22x+1为奇函数的必要条件是__a=1__.[解析]∵函数f(x)=a-22x+1为奇函数,定义域为R.∴f(0)=0,即a-220+1=0,解得a=1.命题方向❸充要条件典例3 函数f(x)=x2+mx+1的图象关于直线x=1对称的充要条件是( A ) A.m=-2 B.m=2C.m=-1 D.m=1[解析]∵f(x)=x2+mx+1的图象的对称轴为x=-m2,∴-m2=1,∴m=-2,故选A.『规律方法』 1.充要条件一般地,如果有p⇒q,那么p是q的充分条件;如果还有q⇒p,那么p又是q的必要条件,则称p是q的充要条件.显然p和q能互相推出,所以q也是p的充要条件.记为:p⇔q(“⇔”表示p与q等价).2.充分条件、必要条件、充要条件与命题的真假之间关系:条件p与结论q关系结论p⇒q,但q⇒/p p是q成立的充分不必要条件q⇒p,但p⇒/q p是q成立的必要不充分条件p⇒q,q⇒p,即p⇔q p是q成立的充要条件p⇒/q,q⇒/p p是q成立的既不充分也不必要条件┃┃跟踪练习3__(1)设a、b是实数,则“a+b>0”是“ab>0”的( D )A.充分不必要条件B.必要不充分条件C.充分必要条件D.既不充分也不必要条件[解析]本题采用特殊值法:当a=3,b=-1时,a+b>0,但ab<0,故不是充分条件;当a=-3,b=-1时,ab>0,但a+b<0,故不是必要条件.所以“a+b>0”是“ab>0”的既不充分也不必要条件,故选D.(2)(2019·全国Ⅱ卷文,7)设α,β为两个平面,则α∥β的充要条件是( B )A.α内有无数条直线与β平行B.α内有两条相交直线与β平行C.α,β平行于同一条直线D.α,β垂直于同一平面[解析]若α∥β,则α内有无数条直线与β平行,反之不成立;若α,β平行于同一条直线,则α与β可以平行也可以相交;若α,β垂直于同一平面,则α与β可以平行也可以相交,故A,C,D均不是充要条件.根据平面与平面平行的判定定理知,若一个平面内有两条相交直线与另一个平面平行,则两平面平行,反之亦成立.因此B中条件是α∥β的充要条件.故选B.命题方向❹充要条件的证明典例4 求证:关于x的方程ax2+bx+c=0有一个根为1的充要条件是a+b+c =0.[思路分析]第一步,审题,分清条件与结论:“p是q的充要条件”中p是条件,q是结论;“p的充要条件是q”中,p是结论,q是条件.本题中条件是“a+b+c=0”,结论是“关于x的方程ax2+bx+c=0有一个根为1”.第二步,建联系确定解题步骤.分别证明“充分性”与“必要性”先证充分性:“条件⇒结论”;再证必要性:“结论⇒条件”.第三步,规范解答.[解析]必要性:∵关于x的方程ax2+bx+c=0有一个根为1,∴x=1满足方程ax2+bx+c=0.∴a×12+b×1+c=0,即a+b+c=0.充分性:∵a+b+c=0,∴c=-a-b,代入方程ax2+bx+c=0中可得ax2+bx-a-b=0,即(x -1)(ax+a+b)=0.因此,方程有一个根为x=1.故关于x的方程ax2+bx+c=0有一个根为1的充要条件是a+b+c=0.┃┃跟踪练习4__■已知ab≠0,证明:a+b=1成立的充要条件是a3+b3+ab-a2-b2=0.[解析]充分性:若a3+b3+ab-a2-b2=0,则(a +b -1)(a 2-ab +b 2)=0,∴(a +b -1)[(a -b 2)2+34b 2]=0,由ab ≠0,得a +b -1=0,∴a +b =1,充分性得证. 必要性:若a +b =1,则由以上对充分性的证明知a 3+b 3+ab -a 2-b 2=(a +b -1)(a 2-ab +b 2)=0, 故必要性得证.综上可知,a +b =1成立的充要条件是a 3+b 3+ab -a 2-b 2=0.学科核心素养求参数的值或取值范围的关键先合理转化条件,常通过有关性质、定理、图象将恒成立问题和有解问题转化为最值问题等,得到关于参数的方程或不等式(组),再通过解方程或不等式(组)求出参数的值或取值范围.典例5 已知P ={x |x 2-8x -20≤0},非空集合S ={x |1-m ≤x ≤1+m }.若x ∈P是x ∈S 的必要条件,求m 的取值范围.[解析] 由x 2-8x -20≤0,得-2≤x ≤10, ∴P ={x |-2≤x ≤10},由x ∈P 是x ∈S 的必要条件,知S ⊆P . 则⎩⎪⎨⎪⎧1-m ≤1+m ,1-m ≥-2,1+m ≤10,∴0≤m ≤3.所以当0≤m ≤3时,x ∈P 是x ∈S 的必要条件, 即所求m 的取值范围是[0,3].『规律方法』 先把p ,q 等价转化,利用充分条件、必要条件与集合间的包含关系,建立关于参数的不等式(组)进行求解.注意:把充分条件或必要条件转化为集合间的关系后,集合端点处的等号易错. ┃┃跟踪练习5__■设集合A ={x |2a +1≤x ≤3a -5},B ={x |y =3-xx -22},则A ⊆A ∩B 的充要条件为__a ≤9__;A ⊆A ∩B 的一个充分不必要条件可为__6≤a ≤9__(答案不惟一).[解析] A ⊆A ∩B ⇔A ⊆B ,B ={x |3≤x ≤22}.若A =∅,则2a +1>3a -5,解得a <6;若A ≠∅,则A ⊆B ⇔⎩⎪⎨⎪⎧2a +1≥3,3a -5≤22,3a -5≥2a +1,解得6≤a ≤9.综上可知,A ⊆A ∩B 的充要条件为a ≤9;A⊆A ∩B 的一个充分不必要条件可为6≤a ≤9.易混易错警示 忽视隐含条件致误典例6 在△ABC 中,A 、B 、C 分别为三角形三边所对的角,则“A >B ”是“sin A >sinB ”的( )A .充分不必要条件B .必要不充分条件C .充要条件D .既不充分也不必要条件[错解] A >B ⇒/sin A >sin B ,如:A =150°,B =60°;sin A >sin B ⇒/A >B ,如:sin 45°>sin 150°⇒/45°>120°,故选D .[错解分析] 错解的原因是忽视了A 、B 是△ABC 的内角这一条件.[正解] C 在△ABC 中,设角A 、B 所对的边分别为a 、b ,则A >B ⇔a >b ⇔2R sin A >2R sinB (其中R 为△ABC 外接圆的半径)⇔sin A >sin B ,故选C .。
高中数学必修二第一章同步练习(含答案)(word版可编辑修改)编辑整理:尊敬的读者朋友们:这里是精品文档编辑中心,本文档内容是由我和我的同事精心编辑整理后发布的,发布之前我们对文中内容进行仔细校对,但是难免会有疏漏的地方,但是任然希望(高中数学必修二第一章同步练习(含答案)(word版可编辑修改))的内容能够给您的工作和学习带来便利。
同时也真诚的希望收到您的建议和反馈,这将是我们进步的源泉,前进的动力。
本文可编辑可修改,如果觉得对您有帮助请收藏以便随时查阅,最后祝您生活愉快业绩进步,以下为高中数学必修二第一章同步练习(含答案)(word版可编辑修改)的全部内容。
1。
1.1 柱、锥、台、球的的结构特征练习一一、选择题1、下列命题中,正确命题的个数是()(1)桌面是平面;(2)一个平面长2米,宽3米;(3)用平行四边形表示平面,只能画出平面的一部分;(4)空间图形是由空间的点、线、面所构成。
A 、 1 B、 2 C、 3 D、 42、下列说法正确的是()A、水平放置的平面是大小确定的平行四边形B、平面ABCD就是四边形ABCD的四条边围来的部分C、 100个平面重叠在一起比10个平面重叠在一起厚D、平面是光滑的,向四周无限延展的面3、下列说法中表示平面的是()A、水面B、屏面C、版面D、铅垂面4、下列说法中正确的是( )A、棱柱的面中,至少有两个面互相平行B、棱柱的两个互相平行的平面一定是棱柱的底面C、棱柱的一条侧棱的长叫做棱柱的高D、棱柱的侧面是平行四边形,但它的底面一定不是平行四边形5、长方体的三条棱长分别是AA/=1,AB=2,AD=4,则从A点出发,沿长方体的表面到C/的最短距离是( )A、 5B、 7C、、6、若正棱锥的底面边长与侧棱长相等,则该棱锥一定不是()A、三棱锥B、四棱锥C、五棱锥D、六棱锥]7、过球面上两点可能作出球的大圆( )A、 0个或1个B、有且仅有1个C、无数个D、一个或无数个8、一个圆柱的母线长为5,底面半径为2,则圆柱的轴截面的面积为()A、 10B、 20C、 40D、 15二、填空题9、用一个平面去截一个正方体,截面边数最多是-—-—---—---——---条.10、正三棱台的上、下底面边长及高分别为1、2、2,则它的斜高是--—-——--—-—-。
第一章 1.2 1.2.2一、选择题1.命题“存在一个无理数,它的平方是有理数”的否定是导学号641500103 ()A.任意一个有理数,它的平方是有理数B.任意一个无理数,它的平方不是有理数C.存在一个有理数,它的平方是有理数D.存在一个无理数,它的平方不是有理数[答案] B[解析]本题主要考查了存在性命题与全称命题的互化问题.将“存在”改为“任意”,将“它的平方是有理数”改为“它的平方不是有理数”即可,命题的否定指将存在性命题,改为全称命题,否定其结论,或将全称命题改为存在性命题,否定其结论.2.假如命题“¬p或¬q”是真命题,命题“¬p且¬q”是假命题,那么导学号641500104 ()A.命题p和q都是真命题B.命题p和q都是假命题C.命题p与“¬q”的真假相同D.命题p与“¬q”的真假不同[答案] C[解析]“¬p或¬q”是真命题,说明¬p与¬q至少有一为真命题,而¬p且¬q是假命题,说明¬p与¬q至少有一为假命题,所以¬p和¬q有一真命题一假命题,∴p与“¬q”真假相同.3.(2021·浙江理,4)命题“∀n∈N*,f(n)∈N*且f(n)≤n”的否定形式是导学号641500105 ()A.∀n∈N*, f(n)∉N*且f(n)>nB.∀n∈N*, f(n)∉N*或f(n)>nC.∃n0∈N*, f(n0)∉N*且f(n0)>n0D.∃n0∈N*, f(n0)∉N*或f(n0)>n0[答案] D[解析]依据全称命题的否定是特称命题,可知选D.4.命题“∃x0∈∁R Q,x30∈Q”的否定是导学号641500106 ()A.∃x0∉∁R Q,x30∈QB.∃x0∈∁R Q,x30∉QC.∀x∉∁R Q,x3∈QD.∀x∈∁R Q,x3∉Q[答案] D[解析]本题考查量词命题的否定改写.∀x0∈∁R Q,x30∉Q,留意量词肯定要改写.5.命题“全部奇数的立方都是奇数”的否定是导学号641500107 ()A.全部奇数的立方都不是奇数B.不存在一个奇数,它的立方是偶数C.存在一个奇数,它的立方不是奇数D.不存在一个奇数,它的立方是奇数[答案] C[解析]全称命题的否定是特称命题,即“存在一个奇数,它的立方不是奇数”.6.设命题p:函数y=sin2x的最小正周期为π2;命题q:函数y=cos x的图象关于直线x=π2对称.则下列推断正确的是导学号641500108 ()A.p为真B.¬q为假C.p∧q为假D.p∨q为真[答案] C[解析]函数y=sin2x的最小正周期为T=2π2=π,所以命题p假,函数y=cos x的图象关于直线x=kπ(k ∈Z)对称,所以命题q假,¬p为真,p∨q为假.二、填空题7.命题“存在x∈R,使得x2+2x+5=0”的否定是____________.导学号641500109[答案]对∀x∈R,都有x2+2x+5≠0.[解析]该题考查命题的否定.留意存在性命题的否定是全称命题.8.若命题“∃x∈R,使x2+(a-1)x+1<0”是假命题,则实数a的取值范围为________.导学号641500110[答案][-1,3][解析]若命题为假命题,则命题的否定为真命题,即∀x∈R,x2+(a-1)x+1≥0恒成立,则Δ=(a-1)2-4≤0,解得-1≤a≤3.三、解答题9.已知:p :|3x -4|>2,q :1x 2-x -2>0,求¬p和¬q 对应的x 值的集合.导学号 641500111[解析] 由p :|3x -4|>2,得p :x >2或x <32,∴¬p :23≤x ≤2.即¬p :{x |23≤x ≤2}.由q :1x 2-x -2>0,得q :x >2或x <-1,∴¬q :-1≤x ≤2,即¬q :{x |-1≤x ≤2}.一、选择题1.在一次跳伞训练中,甲、乙两位学员各跳一次,设命题p 是“甲降落在指定范围”,q 是“乙降落在指定范围”,则命题“至少有一位学员没有降落在指定范围”可表示为导学号 641500112 ( ) A .(¬p )∨(¬q ) B .p ∨(¬q ) C .(¬p )∧(¬q ) D .p ∨q[答案] A[解析] ∵¬p “甲没降落在指定范围”,¬q “乙没降落在指定范围”, ∴“至少一位学员没有降落在指定范围”可表示为(¬p )∨(¬q ),故选A.2.(2022·浙江理,4)命题“∀x ∈R ,∃n ∈N *使得n ≥x 2”的否定形式是导学号 64150113( ) A .∀x ∈R ,∃n ∈N *使得n <x 2 B .∀x ∈R ,∀n ∈N *使得n <x 2C .∃x ∈R ,∃n ∈N *使得n <x 2D .∃x ∈R ,∀n ∈N *使得n <x 2[答案] D[解析] 依据含有量词的命题的否定的概念可知,选D. 3.已知命题p :∃x ∈R ,使sin x =52;命题q :∀x ∈R ,都有x 2+x +1>0.给出下列结论: ①命题“p ∧q ”是真命题;②命题“p ∧(¬q )”是假命题; ③命题“(¬p )∨q ”是真命题; ④命题“(¬p )∨(¬q )”是假命题. 其中正确的是导学号 641500114 ( ) A .②④ B .②③ C .③④ D .①②③[答案] B[解析] 由于对任意实数x ,|sin x |≤1,而sin x =52>1,所以p 为假;由于x 2+x +1=0的判别式Δ<0,所以q 为真.因而②③正确.4.已知命题p :若x >y ,则-x <-y ;命题q :若x >y ,则x 2>y 2.在命题①p ∧q ;②p ∨q ;③p ∧(¬q );④(¬p )∨q 中,真命题是导学号 641500115 ( )A .①③B .①④C .②③D .②④[答案] C[解析] 当x >y 时,两边乘以-1可得-x <-y ,所以命题p 为真命题,当x =1,y =-2时,由于x 2<y 2,所以命题q 为假命题,所以②③为真命题,故选C.二、填空题5.已知命题p :不等式x 2+x +1≤0的解集为R ,命题q :不等式x -2x -1≤0的解集为{x |1<x ≤2},则命题“p ∨q ”“p ∧q ”、“¬p ”“¬q ”中正确的命题是________.导学号 641500116 [答案] p ∨q ,¬p[解析] p 的范围应为∅,故p 为假;q 为真,故“p ∨q ”与“¬p ”为真,而“p ∧q ”与“¬p ”为假. 6.已知命题p :|x 2-x |≥6,q :x ∈Z 且“p ∧q ”与“¬q ”同时为假命题,则x 的值为________. 导学号 641500117[答案] -1、0、1、2 [解析] ∵“p ∧q ”为假,∴p 、q 至少有一个命题为假,又“¬q ”为假, ∴q 为真,从而可知p 为假. 由p 为假且q 为真,可得|x 2-x |<6且x ∈Z ,即⎩⎪⎨⎪⎧x 2-x <6x 2-x >-6x ∈Z⇒⎩⎪⎨⎪⎧x 2-x -6<0x 2-x +6>0x ∈Z⇒⎩⎪⎨⎪⎧-2<x <3,x ∈R ,x ∈Z .故x 的值为-1、0、1、2. 7.下列说法错误的是________.①“p 且q ”的否定是“¬p 或¬q ” ②若q 为真,则¬q 为假 ③若p ∧q 为真,则¬p 为假④命题p :若M ∪N =M ,则N ⊆M ,命题q :5∉{2,3},则命题“p 且q ”为假[答案] ④[解析] ④中p 为真q 为真,所以p 且q 为真. 三、解答题8.写出下列命题的“否定”,并推断其真假:(1)p :∀x ∈R ;x 2-x +14≥0; (2)q :全部的正方形都是矩形; (3)s :至少有一个实数x ,使x 3+1=0.[解析] (1)¬p :∃x ∈R ,x 2-x +14<0.是假命题,由于由∀x ∈R ,x 2-x +14=⎝⎛⎭⎫x -122≥0恒成立. (2)¬q :至少存在一个正方形不是矩形.是假命题.(3)¬s :∀x ∈R ,x 3+1≠0.是假命题,这是由于x =-1时,x 3+1=0.9.已知p :方程x 2-mx +m +3=0有两个不等的负根,q :方程x 2+2(m -2)x -3m +24=0无实根.若p ∨q 为真,p ∧q 为假.求实数m[解析] 当p 为真命题时,有 ⎩⎪⎨⎪⎧Δ=(-m )2-4(m +3)>0,x 1+x 2=m <0,x 1x 2=m +3>0,即⎩⎨⎧m 2-4m -12>0m <0m >-3⇔⎩⎨⎧m <-2或m >6m <0m >-3⇔-3<m <-2.当q 为真命题时有Δ=[2(m -2)]2-4(-3m +24)<0,即m 2-4m +4+3m -24<0⇔m 2-m -20<0⇔-4<m <5. ∵p ∨q 为真,p ∧q 为假,∴p 与q 中有一真命题,一假命题,即p 真q 假或p 假q 真.∴⎩⎪⎨⎪⎧ -3<m <-2m ≤-4或m ≥5或⎩⎪⎨⎪⎧m ≤-3或m ≥-2-4<m <5⇔-4<m ≤-3或-2≤m <5.所以所求实数m 的取值范围是(-4,-3]∪[-2,5).。
1.2 导数的运算常见函数的导数 1.2.2 函数的和、差、积、商的导数5分钟训练 (预习类训练,可用于课前)1.f(x)=0的导数是( )A.0B.1C.不存在D.不确定答案:A解析:f(x)=0是常数,常数的导数是0.2.函数y=sinx 的导数为( )A.sinxB.cosxC.-cosxD.-sinx答案:B解析:由常用函数的导数公式可知(sinx)′=cosx.3.函数y=3x-4的导数是( )A.3B.-4C.-1D.12答案:A解析:由函数导数的运算法则知y′=3.4.函数y=x-(2x-1)2的导数是_____________.解析:y=x-4x 2+4x-1=-4x 2+5x-1.∴y′=-8x+5.答案:5-8x10分钟训练 (强化类训练,可用于课中) 1.y=32x 的导数是( )A.3x 2B.13x 2C.3131--x D.3132-x 答案:D解析:∵y=32x =32x , ∴y′=(32x )′=23132-x =2331-x . 2.y=cosx 在x=6π处切线的斜率为( ) A.23B.23- C.-12D.12 答案:C解析:y′6|π=x =-sin 6π=21-. 3.函数y=sinxcosx 的导数是( )A.sin 2xB.cos 2xC.sin2xD.cos2x答案:D解析:y′=(sinxcosx)′=(sinx)′cosx+sinx(cosx)′=cos 2x-sin 2x=cos2x.4.函数y=x 2·cosx 的导数为___________.解析:y′=(x 2·cosx)′=(x 2)′·cosx+x 2·(cosx )′=2x·cosx -x 2·sinx.答案:2x·cosx -x 2·sinx5.过原点作曲线y=e x 的切线,则切点的坐标为___________,切线的斜率为___________.解析:将e x 求导知(e x )′=e x .设切点坐标为(x 0,0x e ),则过该切点的直线的斜率为0x e .∴直线方程为y-0x e =0x e (x-x 0).∴y -0x e =0x e ·x -x 0·0x e .∵直线过原点,∴(0,0)符合上述方程.∴x 0·0x e =0x e .∴x 0=1.∴切点为(1,e),斜率为e.答案:(1,e) e6.求下列函数的导数.(1)y=x 4-3x 2-5x+6;(2)y=x·tanx; (3)y=11+-x x ; (4)y=(x+1)(x+2)(x+3).解:(1)y′=(x 4-3x 2-5x+6)′=(x 4)′-3(x 2)′-5x′+6′=4x 3-6x-5. (2)y′=(x·tanx)′=(xx x cos sin •)′ =x x x x x x x 2cos )'(cos sin cos )'sin (-• =xx x x x x x 22cos sin cos )cos (sin +•+ =xx x x x x x 222cos sin cos cos sin ++• =xxx x x x 222cos sin cos 2sin 21++ =xx x 2cos 222sin +. (3)解法一:y′=(11+-x x )′ =2)1()'1)(1()1()'1(++--+-x x x x x=2)1()1()1(+--+x x x =)1(2+x .解法二:y=112+-x , y′=(112+-x )′=(12+-x )′ =2)1()'1(2)1()'2(++-+-x x x =2)1(2+x .(4)解法一:y′=[(x+1)(x+2)]′(x+3)+(x+1)(x+2)(x+3)′=[(x+1)′(x+2)+(x+1)(x+2)′](x+3)+(x+1)(x+2)=(x+2+x+1)(x+3)+(x+1)(x+2)=(2x+3)(x+3)+(x+1)(x+2)=3x 2+12x+11.解法二:y=x 3+6x 2+11x+6,∴y′=3x 2+12x+11.30分钟训练 (巩固类训练,可用于课后)1.若y=sint,则y′|t=6π等于( )A.1B.-1C.0D.cost答案:A解析:y′|t=6π=cos6π=1.2.曲线y=2x 3-6x 上切线平行于x 轴的点的坐标是…( )A.(-1,4)B.(1,-4)C.(-1,-4)或(1,4)D.(-1,4)或(1,-4)答案:D解析:y′=(2x 3-6x)′=6x 2-6,由y′=0,得x=1或x=-1.代入y=2x 3-6x,得y=-4或y=4.即所求点的坐标为(1,-4)或(-1,4).3.曲线f(x)=x 3+x-2在P 0点处的切线平行于直线y=4x-1,则P 0点的坐标为( )A.(1,0)或(-1,-4)B.(0,1)C.(-1,0)D.(1,4)答案:A4.设y=-2e x sinx,则y′等于( )A.-2e x cosxB.-2e x sinxC.2e x sinxD.-2e x (sinx+cosx)答案:D解析:y′=-2(e x sinx+e x cosx)=-2e x (sinx+cosx).5.设f(x)=x(x-1)(x-2)…(x-100),则f′(0)等于…( )A.100B.0C.100×99×98×…×3×2×1D.1答案:C解析:∵f(x)=x(x -1)(x-2)…(x-100),∴f′(x)=(x -1)(x-2)…(x-100)+x·[(x-1)·(x -2)…(x-100)]′.∴f′(0)=(-1)(-2)…(-100)=100×99×98×…×3×2×1.6.曲线y=x 3在点(a,a 3)(a≠0)处的切线与x 轴、直线x=a 所围成的三角形的面积为61,则a=_______________.解析:∵y=x 3,∴y′=3x 2.∴y=x 3在(a,a 3)点的切线斜率k 为3a 2.∴切线方程为y-a 3=3a 2(x-a),y=3a 2x-2a 3.令3a 2x-2a 3=0,得x=32a,即y=3a 2x-2a 3与x 轴交点横坐标为32a. 令x=a,得y=3a 2×a -2a 3=a 3,即y=3a 2x-2a 3与x=a 交点纵坐标为a 3.∴S △=21×(a 32-a)×a 3=61.∴a=±1. 答案:±1 7.已知直线l 是曲线y=31x 3+x 的切线中倾斜角最小的切线,则l 的方程是_______________. 解析:∵y′=x 2+1≥1,∴过点(0,0)且斜率为1的切线倾斜角最小.∴直线l 的方程是y=x.答案:y=x8.已知f(x)=x 2+ax+b,g(x)=x 2+cx+d,又f(2x+1)=4g(x),且f′(x)=g′(x),f(5)=30,求g(4).解:由f(2x+1)=4g(x),得4x 2+2(a+2)x+(a+b+1)=4x 2+4cx+4d.于是有⎩⎨⎧=++=+)2(,41)1(,22d b a c a由f′(x)=g′(x),得2x+a=2x+c,∴a=c.③由f(5)=30,得25+5a+b=30.④∴由①③可得a=c=2.由④得b=-5,再由②得d=21-. ∴g(x)=x 2+2x 21-. 故g(4)=16+821-=247. 9.设直线l 1与曲线y=x 相切于P,直线l 2过P 且垂直于l 1,若l 2交x 轴于Q 点,又作PK 垂直于x 轴于K,求KQ 的长.解:先确定l 2的斜率,再写出方程,设P(x 0,y 0),则1l k =y′| x=x0=021x . 由l 2和l 1垂直,故2l k =-20x ,于是l 2:y-y 0=-20x (x-x 0),令y=0,则-y 0=-20x (x Q -x 0),即-0x =-20x (x Q -x 0).解得x Q =21+x 0.易得x K =x 0. ∴|KQ|=|x Q -x K |=21. 10.已知抛物线C 1:y=x 2+2x 和C 2:y=-x 2+a.如果直线l 同时是C 1和C 2的切线,称l 是C 1和C 2的公切线,公切线上两个切点之间的线段称为公切线段.(1)a 取什么值时,C 1和C 2有且仅有一条公切线?写出此公切线的方程.(2)若C 1和C 2有两条公切线,证明相应的两条公切线段互相平分.答案:(1)解:函数y=x 2+2x 的导数y′=2x+2,曲线C 1在点P(x 1,x 12+2x 1)的切线方程是y-(x 12+2x 1)=(2x 1+2)(x-x 1),即y=(2x 1+2)x-x 12.①函数y=-x 2+a 的导数y′=-2x,曲线C 2在点Q(x 2,-x 22+a)的切线方程是y-(-x 22+a)=-2x 2(x-x 2),即y=-2x 2x+x 22+a.② 如果直线l 是过P 和Q 的公切线,则①式和②式都是l 的方程,⎩⎨⎧+=--=+,,1222121a x x x x 消去x 2得方程2x 12+2x 1+1+a=0,此方程Δ=4-4×2(1+a).由Δ=0,得a=21-,解得x 1=21-,此时P 与Q 重合,即当a=21-时,C 1和C 2有且仅有一条公切线. 由①得公切线方程为y=x-41. (2)证明:由(1)可知当a<21-时,C 1和C 2有两条公切线,设一条公切线上切点为P(x 1,y 1)、Q(x 2,y 2),其中P 在C 1上,Q 在C 2上,则有x 1+x 2=-1,y 1+y 2=x 12+2x 1+(-x 22+a)=x 12+2x 1-(x 1+1)2+a=-1+a,线段PQ 的中点为(21-,21a +-). 同理,另一条公切线段P′Q′的中点也是(21-,21a +-),所以公切线段PQ 和P′Q′互相平分.。
人教A 高中数学选修2-3同步训练1.编号为1、2、3、4、5、6、7嘚七盏路灯,晚上用时只亮三盏灯,且任意两盏亮灯不相邻,则不同嘚开灯方案有( )A .60种B .20种C .10种D .8种解析:选C.四盏熄灭嘚灯产生嘚5个空档中放入3盏亮灯,即C 35=10. 2.某中学要从4名男生和3名女生中选4人参加公益劳动,若男生甲和女生乙不能同时参加,则不同嘚选派方案共有( )A .25种B .35种C .820种D .840种解析:选A.分3类完成:男生甲参加,女生乙不参加,有C 35种选法;男生甲不参加,女生乙参加,有C 35种选法;两人都不参加,有C 45种选法.所以共有2C 35+C 45=25(种)不同嘚选派方案.3.某校开设A 类选修课3门,B 类选修课4门,一位同学从中共选3门.若要求两类课程中各至少选一门,则不同嘚选法共有( )A .30种B .35种C .42种D .48种解析:选A.法一:可分两种互斥情况:A 类选1门,B 类选2门或A 类选2门,B 类选1门,共有C 13C 24+C 23C 14=18+12=30种选法.法二:总共有C 37=35种选法,减去只选A 类嘚C 33=1(种),再减去只选B 类嘚C 34=4(种),故有30种选法.4.从1,2,3,4这四个数中一次随机地取两个数,则其中一个数是另一个数嘚两倍嘚概率是________. 解析:从1,2,3,4中任取两个数嘚组合个数为C 24=6,满足一个数是另一个数两倍嘚组合为{1,2},{2,4},故P =26=13.答案:13一、选择题1.9名会员分成三组讨论问题,每组3人,共有不同嘚分组方法种数为( )A .C 39C 36B .A 39A 36 C.C 39C 36A 33D .A 39A 36A 33解析:选C.此为平均分组问题,要在分组后除以三组嘚排列数A 33.2.5本不同嘚书全部分给4个学生,每个学生至少1本,不同嘚分法种数有( )A .480B .240C .120D .96解析:选B.先把5本书中两本捆起来,再分成4份即可,∴分法数为C 25A 44=240.3.某班级要从4名男生、2名女生中选派4人参加某次社区服务,如果要求至少有1名女生,那么不同嘚选派方案种数为( )A .14B .24C .28D .48解析:选A.6人中选4人嘚方案有C 46=15(种),没有女生嘚方案只有一种,所以满足要求嘚方案总数有14种.4.已知圆上9个点,每两点连一线段,所有线段在圆内嘚交点有( )A .36个B .72个C .63个D .126个解析:选D.此题可化归为:圆上9个点可组成多少个四边形,每个四边形嘚对角线嘚交点即为所求,所以,交点有C 49=126(个).5.将标号为1,2,3,4,5,6嘚6张卡片放入3个不同嘚信封中,若每个信封放2张,其中标号为1,2嘚卡片放入同一信封,则不同嘚放法共有( )A .12种B .18种C .36种D .54种解析:选B.先将1,2捆绑后放入信封中,有C 13种方法,再将剩余嘚4张卡片放入另外两个信封中,有C 24C 22种方法,所以共有C 13C 24C 22=18种方法.6.如图所示嘚四棱锥中,顶点为P ,从其他嘚顶点和各棱中点中取3个,使它们和点P 在同一平面内,不同嘚取法种数为( )A .40B .48C .56D .62解析:选C.满足要求嘚点嘚取法可分为3类:第1类,在四棱锥嘚每个侧面上除点P 外任取3点,有4C 35种取法;第2类,在两个对角面上除点P 外任取3点,有2C 34种取法;第3类,过点P 嘚四条棱中,每一条棱上嘚两点和与这条棱异面嘚两条棱嘚中点也共面,有4C 12种取法.所以,满足题意嘚不同取法共有4C 35+2C 34+4C 12=56(种).二、填空题7.在50件产品中有4件是次品,从中任意抽出5件,至少有三件是次品嘚抽法共有________种. 解析:分两类,有4件次品嘚抽法为C 44C 146(种);有三件次品嘚抽法有C 34C 246(种),所以共有C 44C 146+C 34C 246=4186种不同嘚抽法.答案:41868.某运动队有5对老搭档运动员,现抽派4个运动员参加比赛,则这4人都不是老搭档嘚抽派方法数为________.解析:先抽取4对老搭档运动员,再从每对老搭档运动员中各抽1人,故有C 45C 12C 12C 12C 12=80(种). 答案:80 9.2011年3月10日是第六届世界肾脏日,某社区服务站将5位志愿者分成3组,其中两组各2人,另一组1人,分别去三个不同嘚社区宣传这届肾脏日嘚主题:“保护肾脏,拯救心脏”,不同嘚分配方案有________种.(用数字作答) 解析:分配方案有C 25C 23C 11A 22×A 33=10×3×62=90(种).答案:90三、解答题10.四个不同嘚小球放入编号为1,2,3,4嘚四个盒子中,恰有一个空盒嘚放法有多少种?解:恰有一个空盒,则另外三个盒子中小球数分别为1,1,2,实际上可转化为先将四个不同嘚小球分为三组,两组各1个,另一组2个,分组方法有C 14C 13C 22A 22(种),然后将这三组再加上一个空盒进行全排列,即共有C14C13C22A2·A44=144(种).211.要从7个班中选10人参加数学竞赛,每班至少1人,共有多少种不同嘚选法?解:法一:共分三类:第一类:一个班出4人,其余6个班各出1人,有C17种;第二类:有2个班分别出2人,3人,其余5个班各出1人,有A27种;第三类:有3个班各出2人,其余4个班各出1人,有C37种,故共有C17+A27+C37=84(种).法二:将10人看成10个元素,这样元素之间共有9个空(两端不计),从这9个空中任选6个(即这6个位置放入隔板,将其分为七部分),有C69=84种放法.故共有84种不同嘚选法.12.如图,在以AB为直径嘚半圆周上,有异于A、B嘚六个点C1、C2、C3、C4、C5、C6,直径AB上有异于A、B嘚四个点D1、D2、D3、D4.(1)以这10个点中嘚3个点为顶点作三角形可作出多少个?其中含C1点嘚有多少个?(2)以图中嘚12个点(包括A、B)中嘚4个点为顶点,可作出多少个四边形?解:(1)可分三种情况处理:①C1、C2、…、C6这六个点任取三点可构成一个三角形;②C1、C2、…、C6中任取一点,D1、D2、D3、D4中任取两点可构成一个三角形;③C1、C2、…、C6中任取两点,D1、D2、D3、D4中任取一点可构成一个三角形.∴C36+C16C24+C26C14=116(个).其中含C1点嘚三角形有C25+C15·C14+C24=36(个).(2)构成一个四边形,需要四个点,且无三点共线,∴共有C46+C36C16+C26C26=360(个).。
实用文档人教A 高中数学必修5同步训练1.在△ABC 中,A =60°,AB =1,AC =2,则S △ABC 的值为( )A.12 B.32C. 3 D .23解析:选B.S △ABC =12AB ·AC ·sin A =sin 60°=32.2.已知△ABC 的面积为32,且b =2,c =3,则( )A .A =30°B .A =60°C .A =30°或150°D .A =60°或120°解析:选D.∵S =12bc sin A =32,∴12×2×3sin A =32.∴sin A =32.∴A =60°或120°.3.在△ABC 中,AC =5,AB =2,cos A =255,则S △ABC =________.实用文档解析:在△ABC 中,cos A =255,∴sin A =55,∴S △ABC =12AB ·AC ·sin A =12×5×2×55=22.答案:224.在△ABC 中,已知B =45°,D 是BC 边上一点,AD =5,AC =7,DC =3,求AB .解:在△ADC 中,cos C =AC 2+DC 2-AD 22·AC ·DC=72+32-522×7×3=1114. 又0°<C <180°,∴sin C =5314.在△ABC 中,AC sin B =ABsin C, ∴AB =sin C sin B AC =5314×2×7=562.实用文档一、选择题1.在△ABC 中,a 2=b 2+c 2-bc ,则角A 为( )A.π3B.π6C.2π3D.π3或2π3解析:选A.∵a 2=b 2+c 2-bc ,∴cos A =b 2+c 2-a 22bc =12,即A =π3. 2.在△ABC ,下列关系一定成立的是( )A .a <b sin AB .a =b sin AC .a >b sin AD .a ≥b sin A解析:选D.由正弦定理知a sin A =b sin B ,∴sin B =basin A . 又∵在△ABC 中,0<sin B ≤1,∴0<b asin A ≤1,∴a ≥b sin A .故选D.实用文档3.已知△ABC 的三个内角之比为A ∶B ∶C =3∶2∶1,那么对应三边之比a ∶b ∶c等于( )A .3∶2∶1 B.3∶2∶1C.3∶2∶1 D .2∶3∶1解析:选D.由已知得A =90°,B =60°,C =30°.又由正弦定理得a ∶b ∶c =sin A ∶sin B ∶sin C =1∶32∶12=2∶3∶1.故选D.4.在△ABC 中,已知b 2-bc -2c 2=0,且a =6,cos A =78,则△ABC 的面积等于( )A.152B.15C .2D .3解析:选A.b 2-bc -2c 2=0,∴(b -2c )(b +c )=0.∴b =2c .由a 2=b 2+c 2-2bc cos A ,实用文档解得c =2,b =4,∵cos A =78,∴sin A =158,∴S △ABC =12bc sin A =12×2×4×158=152.5.三角形两边长之差为2,其夹角的余弦值为35,面积为14,那么这个三角形的两边长分别是( )A .3和5B .4和6C .6和8D .5和7解析:选D.设a -b =2,∵cos C =35,∴sin C =45.又S △ABC =12ab sin C ,∴ab =35.由a -b =2和ab =35,解得a =7,b =5.6.在△ABC 中,a =1,B =45°,S △ABC =2,则此三角形的外接圆的半径R =( )A.12 B .1实用文档C .2 2D.522解析:选D.S △ABC =12ac sin B =24c =2,∴c =42.b 2=a 2+c 2-2ac cos B =1+32-82×22=25,∴b =5.∴R =b 2sin B=52×22=522.二、填空题7.在△ABC 中,已知a =7,b =5,c =3,则△ABC 是________三角形.解析:法一:∵72>52+32,即a 2>b 2+c 2,∴△ABC 是钝角三角形.法二:∵cos A =52+32-722×5×3<0,∴△ABC 是钝角三角形.答案:钝角8.在△ABC 中,A =30°,AB =2,BC =1,则△ABC 的面积等于________.解析:由余弦定理得BC 2=AB 2+AC 2-2AB ·AC cos 30°,∴AC 2-23AC +3=0.∴AC = 3.实用文档∴S △ABC =12AB ·AC sin 30°=12×2×3×12=32. 答案:329.在△ABC 中,A =60°,AB =2,且△ABC 的面积S △ABC =32,则边BC 的长为________.解析:由S △ABC =32,得12AB ·AC sin A =32,即12×2AC ×32=32,∴AC =1,由余弦定理得 BC 2=AB 2+AC 2-2AB ·AC ·cos A=22+12-2×2×1×12=3.∴BC = 3.答案:3三、解答题10.在△ABC 中,已知a =2b cos C ,求证:△ABC 为等腰三角形.实用文档证明:由余弦定理,得cos C =a 2+b 2-c 22ab.又cos C =a2b,∴a 2+b 2-c 22ab=a2b.整理得b 2=c 2.∴b =c .∴△ABC 是等腰三角形.11.在锐角△ABC 中,a 、b 、c 分别为角A 、B 、C 所对的边,又c =21,b =4,且BC 边上的高h =2 3.(1)求角C ;(2)求a 边的长.解:(1)由于△ABC 为锐角三角形,过A 作AD ⊥BC 于D 点,sin C =234=32,则C =60°.(2)由余弦定理可知c 2=a 2+b 2-2ab cos C ,则(21)2=a2+42-2×a ×4×12,即a 2-4a -5=0.所以a =5或a =-1(舍).实用文档因此a 边的长为5.12.在△ABC 中,角A ,B ,C 所对的边分别为a ,b ,c ,且满足cos A =35,A B →·A C→=3.(1)求△ABC 的面积;(2)若b +c =6,求a 的值.解:(1)因为cos A =35,所以sin A =45.又由A B →·A C →=3,得bc cos A =3,所以bc =5.因此S △ABC =12bc sin A =2.(2)由(1)知,bc =5,又b +c =6,所以b =5,c =1或b =1,c =5.由余弦定理,得a2=b2+c2-2bc cos A=20,所以a=2 5.实用文档。
高中数学人教B选修2-3同步训练
♦•同步测控律*
1. 计算C2+ C3+ c9等于()
A. 120
B. 240
C. 60
D. 480
解析:选 A.原式=C9+ c2= c1o= 120.
2. 身高各不相同的7名同学排成一排照相,要求正中间的同学最高,左右两边分别顺
次一个比一个低,这样的排法种数是()
A. 5040
B. 36
C. 18
D. 20
解析:选
D.最高的同学先站中间,从余下6人中选3人在一侧只有一种站法,另3人在另一侧也只有一种站法,排法有C g= 20种.故选
D .
3. 若c7+1—c n= c n,贝U n 等于()
A . 12
B . 13
C . 14
D . 15
解析:选 C.C7+1 一C7= C8,即C n+ 1 = C n + C n = C n+ 1,所以n+ 1 = 7 + 8,即n = 14.
4. 把8名同学分成两组,一组5人学习电脑,一组3人做生物实验,则不同的安排方
法有_________种.
解析:C8= 56.
答案:56
5. 在同一个平面内有一组平行线8条,与之相交的另一组平行线10条.
(1) ________________ 它们共能构成个平行四边形;
(2) ________ 共有个交点.
解析:(1)第一组中每两条与另一组中的每两条直线均能构成一个平行四边形,故共有
C i C20= 1260(个).
(2)第一组中每条直线与另一组中每条直线均有一个交点,所以共有C^C10= 80(个).
答案:1260 80
♦•谍时训缘
一、选择题
1 .下面几个问题中属于组合问题的是()
①由1,2,3,4构成的双元素集合;②5个队进行单循环足球比赛的分组情况;③由1,2,3 构成两位数的方法;④由1,2,3组成无重复数字的两位数的方法.
A. ①③
B. ②④
C. ①②
D. ①②④
解析:选C.①②不用考虑顺序,属于组合问题.
6.
如图所示的四棱锥中,顶点为 P ,从其他的顶点和各棱中点中取
3个,使它们和点 P 在同一平面内,不同的取法种数为 ( )
2.已知
A. 11
B. 12
C. 13
D. 14 73 -- 则x 的值为( )
解析:选 A. - 6C X — 3= 6C x —3, •- 6C x —3= 10A x —4.
x — 3 x — 4 x — 5 x — 6
•- 6X = 10 (•— 4)(x — 5).
4X 3X 2X 1 二 X 2— 9x — 22= 0, ••• x = 11 或 经检验x = 11为解•故选A.
3.某同学有同样的画册 2本, 位朋友1本,则不同的赠送方法共有
A. 4种
B. 10 种
C. 18 种
D. 20 种
解析:选
x =- 2.
同样的集邮册 3本,从中取出4本赠送给4位朋友,每 ( )
B .分两种情况: ①选2本画册,2本集邮册送给4位朋友有
C 2= 6种方法;②选1本
画册,3本集邮册送给4位朋友有C 4= 4种方法,所以不同的赠送方法共有
6 + 4= 10种,
故选
B .
4.
假设在200件产品中,有3件次品,现从中任意抽出
5件,其中至少有2件次品的 抽法有( )
A. C 3C 197 种
B . (
C 2C 397 + C 3C ?97)种
C . (C 500 — C ?97)种
D . (C 500 — C 3C ?97)种
解析:选
B. “至少2件次品”,也就是说“有2件次品或3件次品”的抽法,分两类讨论: (1)有2件次品、3件正品时,有C 3C 397种;
⑵有3件次品、2件正品时,有 C 3C ?97种.
由分类加法计数原理得抽法种数为 (C 3C 397 + C 3C 197)种.
5.
9名会员分成三组讨论问题,每组 3人,共有不同的分组方法种数为
( )
A . C 3C
B . A 3A 3
C 3C
C. T T
A . 40
B. 48
C. 56
D. 62
解析:选C.满足要求的点的取法可分为 3类:
第1类,在四棱锥的每个侧面上除点 P 外任取3点,有4C 5种取法;
第2类,在两个对角面上除点 P 外任取3点,有2C 4种取法;
第3类,过点P 的四条棱中,每一条棱上的两点和与这条棱异面的两条棱的中点也共
面,有4戊种取法.
所以,满足题意的不同取法共有
4C 5+ 2C 4 + 4C 1= 56(种). 二、填空题
7•用数字2,3组成四位数,且数字 2,3至少都出现一次,这样的四位数共有 ________________ 个.(用数字作答)
解析:法一:数字2只出现一次的四位数有 C 4= 4个;数字2出现两次的四位数有 C 2 = 6个;数字2出现三次的四位数有 C 4 = 4个.故总共有4+ 6+ 4 = 14个.
法二:由数字2,3组成的四位数共有 24= 16个,其中没有数字 2的四位数只有1个, 没有数字3的四位数也只有1个,故符合条件的四位数共有
16 — 2= 14个. 答案:14
&某仪表显示屏上一排有 7个小孔,每个小孔可显示出 0或1,若每次显示其中三个
孔,但相邻的两孔不能同时显示,则这种显示屏可以显示的不同信号的种数是 ________ 种.
解析:显示的孔不相邻,用插空法,
4个不显示孔形成5个空.•••有C 5种选法.每个孔
有2种显示方法.
--共有 23C 3= 80 种.
答案:80
9. 2011年3月10日是第六届世界肾脏日,某社区服务站将 5位志愿者分成3组,其 中两组各2人,另一组1人,分别去三个不同的社区宣传这届肾脏日的主题:“保护肾脏, 拯救心脏”,不同的分配方案有 ________________ 种.(用数字作答)
c 5c 3c 1、,"3 10X 3X 6 ” 逐 _x A 3= 2— = 90(种).
答案:90
三、解答题
c n =C ^x ,
10. 已知 x +1 11 X -1
试求X ,n 的值. x 1 x 1 C n = 3 C n ,
解:T c n = C n —x = C n x , • n — x = 2x , • n = 3x.
11
又由c n +
1=亍丄―1,得 11
x + 1 ! n — x — 1 !
3 x — 1 ! n — x + 1 !
整理得 3(x — 1)! (n — x + 1) != 11(x + 1)! (n — x — 1)!,
3(n — x + 1)(n — x)= 11(x + 1)x.
将 n = 3x 代入,整理得 6(2x + 1)= 11(x + 1).
x = 5, n = 3x = 15.
解析:分配方案有 n !
11. 现有10件产品,其中有2件次品,任意抽出3件检查.
(1)正品A被抽到有多少种不同的抽法?
(2)恰有一件是次品的抽法有多少种?
(3)至少一件是次品的抽法有多少种?
9 乂8 解:(1)C9= - = 36(种).
(2)从2件次品中任取1件有C2种方法,从8件正品中取2件有C2种方法,由分步乘法
8 X 7 计数原理,不同的抽法共有C2X C2= 2X - = 56(种).
(3)法一:含1件次品的抽法有c2c2种,含2件次品的抽法有C2X C1种,由分类加法计
数原理,不同的抽法共有c2x C2+ C2X C8= 56 + 8= 64(种).
法二:从10件产品中任取3件的抽法为C lo种,不含次品的抽法有C3种,所以至少1
件次品的抽法为C3。
—C3= 64(种).
12. 如图,
在以AB为直径的半圆周上,有异于A、B的六个点C1、C2、C3、C4、C5、C6,直径AB上有异于A、B的四个点D1、D2、D3、D4.
(1)以这10个点中的3个点为顶点作三角形可作出多少个?其中含C1点的有多少个?
(2)以图中的12个点(包括A、B)中的4个点为顶点,可作出多少个四边形?
解:(1)可分三种情况处理:
①C1、C2、…、C6这六个点任取三点可构成一个三角形;
②C1、C2、…、C6中任取一点,D1、D2、D3、D4中任取两点可构成一个三角形;
③C1、C2、…、C6中任取两点,D1、D2、D3、D4中任取一点可构成一个三角形.
二 C + c6c2+ C2c4= 116(个).
其中含C1点的三角形有c2+ c1 c4+ c4= 36(个).
(2)构成一个四边形,需要四个点,且无三点共线,
•••共有C6+ c3c6+ c紀6= 360(个).。