压缩机试题-A卷-答案
- 格式:doc
- 大小:138.50 KB
- 文档页数:11
绝密★启用前空气压缩机机考题(共260题)This article contains a large number of test questions, through the exercise of testquestions, to enhance the goal of academic performance.海量题库模拟真考Huge of Questions, Simulation Test空气压缩机机考题(共260题)温馨提示:该题库汇集大量内部真题、解析,并根据题型进行分类,具有很强的实用价值;既可以作为考试练习、突击备考使用,也可以在适当整理后当真题试卷使用。
本文档可根据实际情况进行修改、编辑和打印使用。
空气压缩机机考题(供260题)一、判断题1201、熔断器只能用于短路保护, 不可用于过载保护。
(√ )2、空压机压力调节器的开启压力不高于规定压力的6%, 关闭压力不低于规定压力的6%。
(√)3、滚动轴承的温度不得超过75℃, 滑动轴承的温度不得超过65℃。
(√)4、空气压缩机按气缸内作用次数可分为单动式空气压缩机和复动式空气压缩机。
(√)5、空气压缩机必须使用闪点不低于125℃的压缩机油。
(×)6、中间冷却器的作用是消除吸入空气的灰尘和杂质。
(×)7、单缸空气压缩机的排气温度不得超过180℃。
(×)8、单向阀只能使油液向一个方向流动。
(√)9、安全生产立法最根本的目的就是为了保护劳动者在生产过程中的安全与健康。
(√ )10、轴瓦的侧间隙应约为顶间隙的二分之一时, 即符合检修质量标准中的规定。
(√)11、过电压保护是井下三大保护之一。
(×)12、安全生产立法最根本的目的就是为了保护劳动者在生产过程中的安全与健康。
(√)13、煤矿井下发生水灾时,被堵在巷道的人员应妥善避灾静卧,等待救援。
(√ )14、单相触电是人站在地面上, 身体的某一部位触及一相电源。
压缩机考试试题姓名:得分:一、填空题 (共50分,每空1分)1、离心式压缩机可用来(压缩)和(输送)化工生产中的多种气体。
它具有:处理量大,(体积小),结构简单,(运转平稳),(维修方便)以及气体不受污染等特点。
52、压缩机按压缩气体的方式不同,通常分为两类:(容积式)和(透平式)。
23、按压力分类,透平式压缩机械按出口压力高低可分为(通风机)、(鼓风机)、(压缩机)。
34、压缩机主要的技术参数有:介质、(流量)、(温度)、(压力)、(功率)、(转速).55、(主轴)上安装所有的旋转零件,它的作用就是支持(旋转零件)及传递(转矩)和(功率),有一定的(刚度)和(强度)。
66、压缩机轴承润滑油进口油温为(40±5℃),出口油温为(68±5℃),故温差为(18~38℃).37、压缩机的密封中,叶轮口环处的密封为(口圈密封(口环密封)),两级之间的密封为(级间密封),平衡盘的密封为(平衡盘密封),轴端两侧的密封为(轴端密封),密封的作用是防止气体在(级间倒流)及(向外泄漏)。
68、写出CO2压缩机现场布置的设备名称:59、写出下列压缩机型号的意义:1010、压缩机隔板的作用是把压缩机(每一级)隔开,将(各级叶轮)分隔成连续性(流道),隔板相邻的面构成(扩压器)通道,来自叶轮的气体通过扩压器把一部分动能转换为(压力能)。
5二、不定项选择题(共20分每题2分)1、CO2压缩机的叶轮形式属于( C )。
A、开式叶轮B、半开式叶轮C、闭式叶轮D、双吸叶轮2、MCL式压缩机的平衡盘是利用它的两边气体压力差来平衡轴向力的零件,它位于压缩机的( A )。
A、高压端B、低压端C、轴中部D、第二级叶轮处3、推力轴承的特点有( ABCD )。
A、自动调位,保证受力均匀B、可承受较大的轴向力,双向承载C、瓦块自动调位D、受力均匀,对载荷变化适应性强4、干气密封控制系统的作用( A B )。
A、为密封提供干燥、干净的气源B、监测密封的使用情况C、能够直观的查看干气密封的好坏D、能监测密封的受力情况5、离心式压缩机气体的流动过程正确的是( A )。
河南省煤炭行业职业技能鉴定 空压机司机(初级)理论试题A总分合计人(签名) 总分复核人(签名) 复查总分 复查人(签名)填空题(每题1分,共25分)1、在螺纹的画法中,螺纹牙顶用 线表示,牙底用_______线。
2、基本尺寸相同的、相互结合的孔和轴公差带的关系叫配合。
配合有三种,即 、 和。
3、冷却水的压力一般不超过 ,冷却水的进排水温度差在 左右。
4、空气压缩机按形式可分为 和 。
5、检查气缸水套、缸壁裂缝时,可作水压试验,一般试验压力为工作压力的 倍,保压 分钟,检查无漏水现象即可。
6、逆止阀串风的原因是 、 、 。
7、气缸主要是由_______、 与 组成。
8、空压机曲轴轴颈表面粗糙度要求,在采用滚动轴承时不大于____ 、采用滚动轴承时不大于 。
9、空气压缩机的冷却方法通常可分为 和 两种。
10、空气压缩机的排气量每 要测定一次,在额定压力下,不应低于设计值的 。
11、往复式空气压缩机的主要性能参数有: 、 、 等。
二、判断题(每题1分,共10分,正确在括号内画√,错误画╳)12个月。
( ) 2、空气压缩机曲轨的使用寿命为128个月。
( ) 3、空气压缩机导轨和滑板间隙每季度测量一次。
( ) 4、空气压缩机气缸内有水是因为气缸水路漏水,或气缸上、下石棉垫破裂引起的。
( )5、由左向右投影所得的视图叫右视图。
( )6、空气压缩机吸气口必须设置过滤装置。
( )7、螺杆式空气压缩机不能在缺油、断油的情况下运行。
( )8、安全阀是保护空气压缩机在额定压力范围内安全运转的保护装置。
( )9、往复式空气压缩机的排气压力是指空气压缩机最后一级排出压缩空气的表压力。
( )10、压风机管道直径在小于75m 时,一般多采用法兰盘连接方式。
三、选择题(每小题2分,共20分)1、空气压缩机二级安全阀的关闭压力应不低于 Mpa 。
A 、9 B 、8 C 、7.5 D 、6.52、空气压缩机的滤风器要定期清扫,间隔期不大于 。
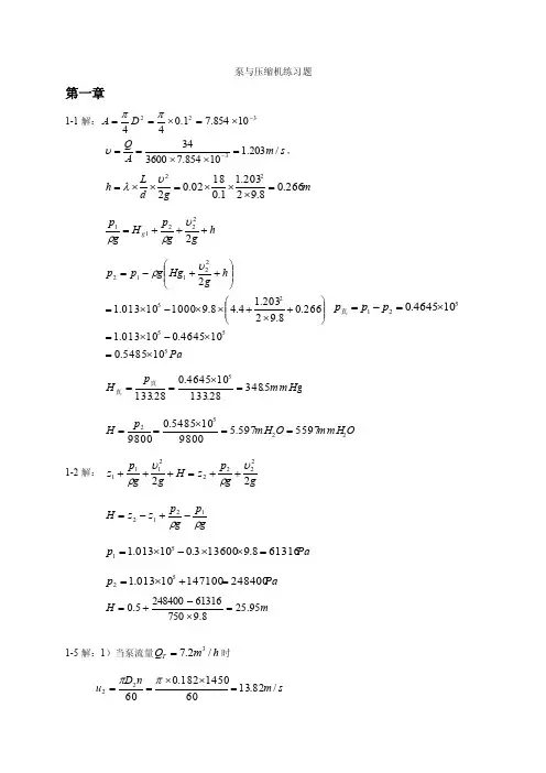
泵与压缩机练习题第一章1-1解:32210854.71.044-⨯=⨯==ππD As m A Q /203.110854.73600343=⨯⨯==-υ,m g d L h 266.08.92203.11.01802.0222=⨯⨯⨯=⨯⨯=υλh g g p H g p g +++=222211υρρ Pah g Hg g p p 5552522112105485.0104645.010013.1266.08.92203.14.48.9100010013.12⨯=⨯-⨯=⎪⎪⎭⎫ ⎝⎛+⨯+⨯⨯-⨯=⎪⎪⎭⎫ ⎝⎛++-=υρ 521104645.0⨯=-=p p p 真 mmHg p H 5.34828.133104645.028.1335=⨯==真真O mmH O mH p H 22525597597.59800105485.09800==⨯==1-2解: gg p z H g g p z 2222222111υρυρ++=+++ gp g p z z H ρρ1212-+-= Pa p 613168.9136003.010013.151=⨯⨯-⨯= Pa p 24840014710010013.152=+⨯=m H 95.258.9750613162484005.0=⨯-+=1-5解:1)当泵流量h m Q T /2.73=时s m nD u /82.13601450182.06022=⨯⨯==ππs m B D Q c T r /555.036009.0007.0182.02.72222=⨯⨯⨯⨯==∞πτπs m ctg ctg c u c A r u /856.1230555.082.1302222=⨯-=-=∞βm c u g H r T 13.18856.1282.138.91122=⨯⨯==∞∞ 2)当泵流量h m Q T /8.283=时s m B D Q c T r /221.236009.0007.0182.08.282222=⨯⨯⨯⨯=='∞πτπs m ctg ctg c u c A r u /975.93022.282.1302222=⨯-=-='∞β m c u g H r T067.14975.982.138.91122=⨯⨯=='∞∞ 3)画出两种流量时叶轮出口的速度三角形(略)随流量T Q 的增大,r c 2增加,u c 2减小,∞T H 下降。
10月压缩机工技能考试答案卷一、填空题。
(30分,每个2分)1、三不伤害是(不伤害自己),不伤害他人,不被别人伤害。
2、企业职工上岗前必须进行“三级安全教育”分别是指(厂级)、车间级,班组级。
3、氢气的爆炸极限范围是( 4.0%-75%)氨气的爆炸极限范围是15.5%-27%,其中氢气的爆炸危险性最高。
4、压力容器常用安全装置有:(安全阀)液位计、压力表、温度计等。
5、工作压力为9.0 Mpa的容器为( 中压)容器。
6、活塞式压缩机基本工作原理是,依靠活塞在气缸内(往复)运动压缩气缸内的气体。
7、(绝热)压缩过程:在压缩气体时,始终没有与周围环境进行热交换的过程。
8、压力比,在一个气缸中,(进口)气体的压力与出口气体压力之比称为压力比。
9、单作用压缩机,活塞只有一个端面进行工作,(吸气)阀与排气阀都安置在气缸的一端。
10、功率是在单位时间内压缩机所消耗的动力,通常用(千瓦)计量。
11、活塞在汽缸中上、下两端的(极限)位置叫做上下止点。
12、支撑环的作用,支撑活塞自重和震动所产生的侧向力避免(活塞)与气缸发生直接接触和拉伤气缸镜面。
13、填料是指密封气缸和(活塞杆)间隙的零件。
17、压缩机注入润滑油目的,润滑剂有(冷却)作用,可使零件工作温度不过高。
14、齿轮油泵原理,当一对互相啮合的转动的(齿轮)在吸油腔内脱开时,由于容积扩大,而产生吸油作用,在排油腔进入啮合时,由于容积的缩小而产生压油作用。
15、运动机构包括曲轴、(连杆)、十字头、十字头销子、连杆瓦等。
二、单项选择题。
(30分,每个1.5分)1, 在同一换热器中,当冷热流体的进出口温度一定时,平均温度差最大的流向安排是( ), A折流, B错流, C并流, D逆流, D2, 在稳定变温传热中,流体的流向选择( )时,传热平均温差最大, A并流, B逆流, C错流, D折流, B3, 在一单程列管换热器中,用100℃的热水加热一种易生垢的有机液体,这种液体超过80℃时易分解。
压缩机考试题库及答案一、单项选择题(每题2分,共20分)1. 压缩机的工作原理是什么?A. 通过压缩气体体积来增加气体压力B. 通过降低气体温度来增加气体压力C. 通过增加气体质量来增加气体压力D. 通过减少气体体积来降低气体压力答案:A2. 压缩机的分类中,容积式压缩机和速度式压缩机的主要区别是什么?A. 工作介质不同B. 压缩气体的方式不同C. 工作压力不同D. 工作温度不同答案:B3. 多级压缩机中,各级之间的冷却方式通常是什么?A. 内部冷却B. 外部冷却C. 无冷却D. 自然冷却答案:B4. 以下哪种材料不适合用于制造压缩机的部件?A. 铸铁B. 铝合金C. 不锈钢D. 木材答案:D5. 压缩机的润滑系统的主要作用是什么?A. 减少部件间的摩擦B. 增加部件间的摩擦C. 增加部件的磨损D. 减少部件的磨损答案:A6. 压缩机的吸气过程是在哪个部件中进行的?A. 进气阀B. 排气阀C. 活塞D. 曲轴答案:A7. 压缩机的排气压力过高可能是什么原因?A. 进气量过大B. 排气阀损坏C. 冷却系统故障D. 所有选项都可能答案:D8. 压缩机的效率通常与哪些因素有关?A. 压缩比B. 工作温度C. 润滑状况D. 所有选项都有关答案:D9. 压缩机的维护保养中,以下哪项不是必要的?A. 定期更换润滑油B. 定期检查密封件C. 定期清洁外壳D. 定期更换活塞答案:D10. 压缩机的启动前检查中,以下哪项不是必须检查的?A. 油位B. 电气连接C. 冷却水流量D. 压缩机的重量答案:D二、多项选择题(每题3分,共15分)1. 压缩机的常见故障可能包括哪些?A. 过热B. 过载C. 噪音过大D. 压力不足答案:ABCD2. 压缩机的冷却方式有哪些?A. 空气冷却B. 水冷却C. 油冷却D. 蒸发冷却答案:ABC3. 影响压缩机效率的因素有哪些?A. 压缩比B. 进气温度C. 机械摩擦D. 润滑状况答案:ABCD4. 压缩机的启动步骤通常包括哪些?A. 检查油位B. 打开冷却水C. 启动电机D. 检查电气连接答案:ABCD5. 压缩机的停机步骤通常包括哪些?A. 关闭进气阀B. 停止电机C. 关闭冷却水D. 检查油位答案:ABC三、判断题(每题1分,共10分)1. 压缩机的压缩比越大,其效率一定越高。
中级压缩机操作工试卷一、单项选择题(第1题~第80题。
选择一个正确的答案,将相应的字母填入题内的括号中。
每题1分,满分80分。
)1.压缩机中气体压缩循环过程属于( )。
A、等温压缩过程B、绝热压缩过程C、多变压缩过程D、放热压缩过程2.在三种不同压缩过程中,压缩机所消耗功率最小的过程是( )。
A、绝热压缩过程B、等温压缩过程C、多变压缩过程D、放热压缩过程3.质量不相等的一杯冷水和一杯热水,均匀混合后( )。
A、热水降低的温度等于冷水上升的温度B、热水放出的热量等于冷水吸收的热量C、若热水质量多,则热水放出的热量比冷水吸收的多D、若热水质量少,则热水放出的热量比冷水吸收的少4.平壁导热过程中,传热推动力是( )。
A、物质导热系数B、平壁两侧温度差C、导热速率D、介质状态5.在沸腾传热中,给热系数最大的状况是( )。
A、膜状沸腾B、自然沸腾C、核状沸腾D、普通沸腾6.列管式换热器的换热面积A常用( )式中d--列管外径,l--列管长度,n--列管数。
A、A=π/4dlnB、A=πdlnC、A=2πdlnD、A=4πdln 7.冷热流体在换热过程中无相变,则吸收或放出的热量可用( )下式计算是错误的。
A、q=WC(t-t)B、q=WrC、q=WC(T-T)D、q=WC(T-t) 8.列管换热器中,已知管内外流休的对流传热膜系数a=100W/mk,a=100W/mk传数系数K值范围( )。
A、K>1000W/mKB、K处于100-10000W/mK间C、K<100W/mKD、无法确定9.冷冻站各个蒸发器的换热面积是( )。
A、50m2B、75m2C、150m2D、200m2 10.单级冷冻机型号为( )。
A、8AS17B、8ASJ17C、4AW17D、8AS10 11.双级冷冻机型号为( )。
A、8AS17B、8ASJ17C、4AW17D、8AS10 12.在制冷循环操作中,经常调节的工艺参数为( )。
活塞式压缩机维修工题库一、初级工试题一、选择题:1、在往复式压缩机中,气缸内发生敲击声其原因不可能是()。
(A)活塞与缸盖间死点间隙过小,直接撞击(B)气缸磨损,间隙超差太大(C)进气温度高(D)活塞或活塞环磨损2、在往复式压缩机中,不可能造成压缩机组气缸里积碳的因素有()。
(A)润滑油过量(B)排气温度过高(C)润滑油油量不足(D)润滑油粘度过高3、在往复式压缩机中,润滑油过量对气阀的影响有()(A)油粘滞力增加,造成气阀延迟关闭;能耗上升,冲击增大(B)过量的油造成液击,损害气阀(C)润滑油在高温下积碳,使气阀泄漏阀片断裂(D)以上几种情况都有可能4、在往复式压缩机中,如果压缩机的排气量减少,同时气缸的排气阀盖发热,可能的原因是()。
(A)气缸的排气阀有故障(B)空冷器故障(C)环境温度降低(D)进气压力升高5、在我国,目前应用数量最多的压缩机是()压缩机。
(A)往复式(B)螺杆式(C)轴流式(D)离心式6、不属于油田常用于天然气压缩机有()(A)往复式压缩机(B)轴流式压缩机(C)离心式压缩机(D)整体式往复摩托压缩机7、在往复式压缩机铭牌标注中,其排量是指在()状态下的排量。
(A)吸入(B)排出(C)标准(D)任意8、我国天然气集输中,一般在井站采用(),在长输管道干线采用()。
(A)离心式压缩机/往复式压缩机(B)往复式压缩机/离心式压缩机(C)整体式压缩机/往复式压缩机(D)离心式压缩机/分体式压缩机9、在往复式压缩机中,压缩机气缸的冷却方式有()(A)风冷(B)水冷(C)混合冷(D)以上几项都是10、对称平衡式往复式压缩机属于()压缩机。
(A)立式(B)角度式(C)卧式(D)以上均错11、对称平衡型压缩机的惯性力平衡水准与什么有关。
()(A)压缩机的进气压力(B)压缩机的排气压力(C)压缩机的功率(D)压缩机的缸数。
12、天然气压缩机按作用原理分类,可分为容积式和()。
(A)往复式(B)动力式(C)轴流式(D)离心式13、往复式整体天然气压缩机组采用()发动机。
2022压缩机工考试真题模拟及答案(5)共950道题1、活塞式压缩机正常工作负荷的调整视()来调节。
(单选题)A. 温度变化B. 压力变化C. 天气变化D. 生产需要试题答案:D2、密封油参考气管线进油后管线内的油可以()。
(单选题)A. 人为排掉B. 回到高位槽C. 回到捕集器试题答案:C3、TAE-100A/30离心式压缩机与电机的连接形式()。
(单选题)A. 皮带B. 曲轴C. 联轴器D. 弹性连接试题答案:C4、结构较简单,体积较小,流量大,压头不高,可输送腐蚀性悬浮液的泵为()。
(单选题)A. 活塞泵B. 离心泵D. 真空泵试题答案:B5、离心式压缩机出口压力高,高于设定值,则压缩机应()。
(单选题)A. 开放空阀B. 降转速C. 升转速D. 开防喘阀试题答案:B6、带控制点的工艺流程图中,仪表控制点以()在相应的管路上用代号、符号画出。
(单选题)A. 细实线B. 粗实线C. 虚线D. 点划线试题答案:A7、火炬分子密封的作用,下列叙述不正确的是()。
(单选题)A. 维持火炬头微正压B. 防止火炬气外泄C. 防止火炬回火D. 防止空气倒流入火炬系统试题答案:B8、密封装盈内所需要封油压力大小,是由回流控制阀来控制的,当控制阀关小时,密封装置内的封存油压力就会()(单选题)A. 降低C. 不变D. 先降低后增大试题答案:B9、油类的火灾不能用()灭火。
(单选题)A. 泡沫B. 四氯化碳C. 干粉D. 水试题答案:D10、离心式压缩机要达到所要求的工况最好采用()(单选题)A. 提高电耗B. 降低电耗C. 改变转速D. 调节节流阀试题答案:C11、采用()的调节方法时,应在叶轮的吸入口处安装一列可以改变安装角的导向叶片,当调节这些导向叶片的安装角时,就可以使叶轮叶片入口处的气流角在大于或小于90°的范围内变化,从而可以改变压缩机的工作流量。
(单选题)A. 改变压缩机排气节流阀开度B. 改变容器出口阀开度C. 改变压缩机吸气节流阀开度D. 改变叶轮吸入口气流角试题答案:D12、催化裂化装置气压机入口压力控制的是()压力。
压缩岗位试题1、本岗位的任务是什么?2、压缩机系统流程怎样?3、不送变换、碳化、精炼、合成等岗位,本机气体循环时的流程怎样?(指不盲二通三、六通七时)4、压缩机正常开机步骤怎样?5、压缩机正常停机步骤怎样?6、压缩机盲二通三、六通七,你如何开停机?注意哪些问题?7、在什么情况下本岗位采取紧急停车?8、紧急停车时操作步骤怎样?9、紧急停车时应注意哪些事项?10、为什么加压要从低压段开始?卸压变从高压段进行?11、为什么要定时排油水?排油水时应注意什么?12、如何判断排油阀及放空阀泄漏?13、你怎样判断活门倒气?压缩岗位试题答案1、本岗位的任务是什么?任务是提高气体压力,即将半水煤气中经脱硫后的气体经过压缩一、二段提高压力到0.9Mpa送去变换,煤球碳化等岗位除去大部份的一氧化碳、二氧化碳,然后再压缩提高压力至12Mpa左右,送去精炼岗位,脱除残余的一氧化碳、二氧化碳等杂质,然后再提高压力至30Mpa左右,送去合成为氨。
2、压缩机系统流程怎样?由脱硫系统送来的半水煤气在340毫米汞柱左右的压力经过缓冲器,把水分离下来,进入一段压缩机,气体压缩到0.3Mpa左右排出,进入一段冷排,冷却后气体温度降至接近常温,然后进入一段油水分离器把油水分离出来,分离后的气体进入二段气缸,被压缩到0.9Mpa,送去变换煤球、碳化等岗位除CO、CO2,然后由碳化出口送来三段进口,压力在0.4 Mpa,然后从三段、四段、五段、六段逐级提高压力至12 Mpa左右送去精炼岗位,除去少量的CO和CO2,经过铜洗后的气体送来压缩机七段进口再经过七段提高压力至30 Mpa,经冷排冷却油水分离器除去油水后进入合成系统。
3、如果不送变换、碳化、精炼、合成等岗位,本机气体循环时的流程怎样?(指不盲二通三、六通七)可以通过近路管线和阀门,将一段吸入的气体,按正常工作压力逐段进行压缩,二出气体不送变换,直接由二三直通阀进入三段气缸;二段出口气体通过二回一阀回到一段进口,六段出口不送精炼,需通过六、七通阀直接进入七段气缸,七段出来的气体不送合成,用七段放空阀控制压力或回收至总回一。
压缩机试题题库及答案一、单选题1. 压缩机的主要作用是什么?A. 增加气体的压力B. 降低气体的温度C. 增加气体的体积D. 减少气体的体积答案:A2. 以下哪种类型的压缩机是依靠活塞在气缸内往复运动来压缩气体的?A. 离心式压缩机B. 螺杆式压缩机C. 往复式压缩机D. 轴流式压缩机答案:C3. 压缩机的效率通常是指什么?A. 功率B. 比功率C. 比能D. 比体积答案:C二、多选题4. 压缩机的常见故障包括哪些?A. 过热B. 过载C. 漏气D. 噪音过大E. 振动答案:ABCDE5. 以下哪些因素会影响压缩机的性能?A. 进气温度B. 进气压力C. 排气压力D. 润滑油品质E. 冷却水流量答案:ABCDE三、判断题6. 压缩机的排气量是指压缩机在单位时间内排出的气体体积。
答案:正确7. 压缩机的压缩比是指排气压力与进气压力的比值。
答案:正确8. 压缩机的冷却系统不需要定期维护。
答案:错误四、填空题9. 压缩机的工作原理是将_______的气体压缩到_______,从而提高其压力。
答案:体积大、压力低;体积小、压力高10. 压缩机的润滑系统的主要作用是减少_______和_______。
答案:摩擦;磨损五、简答题11. 简述压缩机的工作原理。
答案:压缩机的工作原理是通过机械运动,将气体从低压区域输送到高压区域,同时减少气体的体积,从而提高气体的压力。
12. 压缩机的维护保养包括哪些内容?答案:压缩机的维护保养包括定期检查和更换润滑油、检查和清洁过滤器、检查密封件的磨损情况、检查电气系统和控制系统的运行状况等。
六、计算题13. 已知某压缩机的进气压力为1.0 MPa,排气压力为5.0 MPa,求该压缩机的压缩比。
答案:压缩比 = 排气压力 / 进气压力 = 5.0 MPa / 1.0 MPa = 514. 如果一台压缩机的功率为75 kW,效率为80%,求其实际功率。
答案:实际功率 = 功率× 效率= 75 kW × 0.8 = 60 kW。
高级压缩机工知识试题答案一、填空:1、压缩机的传动机构主要包括:主轴、轴承、连杆、十字头和活塞杆等等2、压缩机常用压力表弹簧管压力表、薄膜式压力表和液体U型压力表等。
3、机械磨损有自然磨损和事故磨损。
4、压缩机运转时,容易发热零部件,主轴瓦和曲轴瓦、十字头体、十字头瓦、十字头销、瓦套和滑板、气缸和注油点、活塞组件、填料函。
5、造成主轴瓦温度高甚至烧坏的因素有制造方面的原因、装配方面的原因、润滑方面的原因6、造成冰机出口温度过低的原因是入口带液氨和冷凝器压力过低。
7、冰机的油分三路:齿轮油泵通过曲轴润滑大头瓦——小头瓦、齿轮油泵送往外、内轴——能量分配阀、齿轮油泵送往油压调节阀——回曲轴箱8、机械油号数是以其(运动粘度)来命名的,30号机油在50℃时运动粘度为(27~33厘池),40号机油在50℃时运动粘度为(37~43厘池)。
9、机油粘性(越大),(流动)性能越差、粘性(越小),(流动)性越好,(润滑性)下降。
10、(静密封)是指密封表面与接合零件间没有相对运动的密封。
11、(动密封)是指密封表面与接合零件间有相对运动的密封。
12、三角皮带动传动的功率要通过(摩擦力)传递,所以同规格皮带张紧力越大,传递功率可越大,但过高的张力会引起(构件)附加力过大,皮带(磨损)过快。
13、设备安装时,设备底座下安放(垫铁),目的是使设备达到要求的(标高及安装水平)。
(铁垫)起到承受设备重,(地脚螺杆)预紧力的作用。
14、垫铁的大小,及安放数量要根据设备(大小)及设备(受力状况)来决定。
垫铁底与水泥地面接触面应达50%以上,同时放置应平稳,垫铁上(承受压力)以其下部水泥(承载能力)为准,一般为(120~150)kg/cm2。
15、设备安装时,找平的目的是:保持设备的(稳固和重心平衡),避免设备变形,减少运转中的(振动),避免不水平而产生的附加力及不必要的(功率消耗)。
16、联轴器安装都要求两轴线的(同心度)在一定的误差范围以内。
压缩机岗位考试试题答案
压缩机岗位考试试题
一、填空题()。
1、离心式压缩机按结构特点可分为水平剖分式、垂直剖分式、等
温压缩式以及组合式等4种类型。
2、丙烯压缩机一段入口温度为﹣40℃,一段入口压力为0.02Mpa。
3、联合压缩机的第一临界转速为4779rpm,丙烯压缩机的第一临
界转速为3169rpm。
4、制冷常见的四种方法:液体汽化制冷、气体膨胀制冷、涡流管
制冷、热电制冷,其中丙烯制冷是利用液体气化制冷来实现的。
5、后置隔离器主要作用保证二级密封端面不受压缩机轴承润滑
油污染。
6、润滑油过滤器的压差为<0.15MPa。
7、设置高位油箱的作用,当两台油泵同时发生故障而不能启动
时,高位油箱的截止阀会自动打开,通过高位差流到各个润滑点,使机组能在有限的时间内停下来,而不发生断油现象。
8、汽轮机控制油压力低于0.6Mpa时,控制系统联锁启动备用泵,
同时控制室报警;压缩机润滑油总管压力低于0.15Mpa时,控制系统联锁启动备用油泵,同时控制室报警。
9、联合压缩机合成气出口压力8.2MPa、温度分别为58℃。
10、防喘振的调节方法有:部分气体放空法、改变压缩机转速法、
部分气体回流法。
三、简答题。
制冷工测试题1.配组式双级压缩机停机时,必须先停低压级压缩机,待中间压力降低至0.1MPa后再停高压级压缩机。
〔〕(1分)对错正确答案:对解析:2.特种作业操作资格证有效期为6年,只在工作地所属省级以下区域有效。
〔〕(1分)对错正确答案:错解析:3.盐水与空气中的氧结合,会生成碱性物质,加剧对金属的腐蚀。
〔〕(1分)对错正确答案:错解析:4.气体混合爆炸的主要因素是温度、压力和着火源,而介质只是次要因素。
〔〕(1分)对错正确答案:错解析:5.活塞式压缩机的理论工作循环的功耗大。
〔〕(1分)对错正确答案:错解析:6.生产经营单位在从业人员运用遇险、停、撤权时,可以降低其根本工资、福利等待遇。
〔〕(1分)对错正确答案:错解析:7.压缩机进行压力试漏时,在没有氮气的情况下,可用氧气进行试漏。
〔〕(1分)对错正确答案:错解析:8.四通电磁阀控制系统是采用四通电磁阀取代用人工操作的手动油分配阀,便于实现能量调节的半自动或自动控制。
〔〕(1分)对错正确答案:对解析:9.劳动者应当学习和掌握相关的职业卫生知识,增强职业病防范意识。
〔〕(1分)对错正确答案:对解析:10.撤除作业必须由上而下逐层进行,严禁上、下同时作业。
〔〕(1分)对错正确答案:对解析:11.对从事特种作业人员的文化程度要求必须是初中以上。
〔〕(1分)对错正确答案:对解析:12.R134a是一种平安的制冷剂,其润滑油不是矿物油,是合成的聚酯油。
〔〕(1分)对错正确答案:对解析:13.制冷系统的设备管道在运行前根据安装情况决定是否进行排污。
〔〕(1分)对错正确答案:错解析:14.冷水机组的水系统主要包括冷却水系统和冷冻水系统两局部。
〔〕(1分)对错正确答案:对解析:15.制冷系统长期停机时,低压侧和压缩机内应保持0.02MPa的压力,以免空气进入系统。
〔〕(1分)对错正确答案:对解析:16.一般空调用离心式制冷机取4℃~7℃冷冻水时,采用多级离心压缩机。
2022压缩机工考试真题模拟及答案(4)共950道题1、在起用轴流压缩机润滑油站冷油器时,切忌()冷油器进水门。
因为冷却水大量流过冷油器时,会在换热管表面形成过冷层,降低冷却效果。
(单选题)A. 快速关闭B. 慢速打开C. 快速打开试题答案:C2、活塞式压缩机排气量的调节方法很多,目前广泛应用的方法是()(单选题)A. 吸排气连通法B. 停止吸气法C. 全程开启吸气阀法D. 部分行程顶开吸气阀法试题答案:D3、华氏温标用()来表示。
(单选题)A. 0CB. KC. 0RD. 0F试题答案:D4、活塞式压缩机采用()调节方法,可以实现无级调节,即根据减荷阀的关闭程度,气缸的排气量可从最大排气量的100%连接比降到0。
(单选题)A. 切断吸气B. 节流吸气C. 回流D. 变速试题答案:B5、螺杆式空气压缩机的排气孔口为()(单选题)A. 园形B. 三角形C. 椭园形D. 扇形试题答案:B6、直接流过心脏的交流电流只需达到()uA就可使心脏因心室纤维性颤动而死。
(单选题)A. 2~3B. 5~7C. 60~100D. 300试题答案:C7、采用精滤器比不用精滤器润滑油中杂质含量要减少()倍。
(单选题)A. 1B. 2~3C. 3~4D. 5~10试题答案:D8、离心式压缩机中用以能量转化的部件是()。
(单选题)B. 扩压器C. 弯道D. 回流器试题答案:B9、下列关于电压表的使用方法不正确的是()。
(单选题)A. 必须把电压表并联在被测电路的两端B. 把电压表的“+”接线柱接在与电源正极相连的那端C. 被测电压不能超过电压表的量程,否则可能会损坏电压表D. 如果把电压表直接与电源两极相连,则测量的是电源两端的电压试题答案:B10、国内固定活塞式空气压缩机的排气温度应限制在()℃以内。
(单选题)A. 120B. 160C. 180D. 200试题答案:B11、以下哪种物质是碱洗过程中不会产生的()。
(单选题)A. Na2SB. NaHSC. Na2SO4D. Na2CO3试题答案:C12、热能从流体的一部分传递到另一部分,称为()(单选题)B. 对流C. 辐射D. 热交换试题答案:B13、安全标志是由安全色、()构成,用意表达特定的安全信息。
2023年公用设备工程师之专业案例(动力专业)能力测试试卷A卷附答案单选题(共100题)1、某压缩机站内设有3台压缩机,各台压缩机的声压级分别为92dB(A)、90dB(A)、93dB(A),则总声压级为( )dB(A)。
A.96.56B.92C.93D.90【答案】 A2、一北方住宅建筑,外墙采用2砖墙,内抹灰(δ=20mm)。
已知砖墙的导热系数λ=0.81W/(m·K),内抹灰的导热系数λ=0.87W/(m·K)。
该外墙的热惰性指标D=6.627,采暖室外计算温度为-24℃,外墙内表面与室内空气允许温差为6℃。
计算围护结构最小传热阻为( )。
A.0.641(㎡·K)/WB.0.743(㎡·K)/WC.0.805(㎡·K)/WD.0.843(㎡·K)/W【答案】 C3、一台制冷量为50kW的活塞式制冷机,单位质量制冷量为145.4kj/kg,单位理论功为50.5kj/kg,则压缩机理论功率为( )kW。
A.17.372B.17.562C.18.052D.18.226【答案】 A4、设氮的一次节流液化系统的操作温度为290K和71.9K。
假设氮气被等温可逆压缩到10.1MPa,其低压对应于液氮在71.9K的饱和蒸气压(0.05MPa)。
如果换热器是理想的,系统没有漏热,则该液化器的热力完善度是( )。
A.0.064B.0.068C.0.087D.0.092【答案】 C5、制冷机工作的高温热源温度为40℃,低温热源温度为-20℃,则此系统在卡诺循环时的最大制冷系数为( )。
A.4.219B.3.155C.0.748D.5【答案】 A6、菜市的采暖室外计算温度为-23℃,室内温度要求18℃,若改为量调节时,当室外温度为-10℃时,其回水温度为( )。
A.33℃B.38℃C.35℃D.36℃【答案】 B7、压缩式制冷装置压气机吸入的空气P1=0.1MPa,t1=27℃,定熵压缩至P2=0.5MPa,再经定压冷却后温度降为32℃,则该压缩机的制冷系数为( )。
1.离心压缩机的性能曲线左端受喘振工况限制,右端受堵塞工况限制,这两者之间的区域称为稳定工况区。
2.离心压缩机级内的能量损失主要包括:轮阻损失、内漏气损失和流动损失。
3.离心压缩机轴封形式主要有机械密封、浮环密封、迷宫密封和抽气密封。
4.往复式压缩机由传动机构、工作机构、机体和辅助机构四部分组成。
5.活塞通过活塞杆由传动部分驱动,活塞上设有活塞环以密封活塞与气缸的间隙。
6.如果气缸冷却良好,进气过程加入气体的热量减少,则温度系数取值大;传热温差大,造成实际气缸工作容积利用率减小,温度系数取值小。
7.气阀主要由阀座、弹簧、阀片和升程限制器四部分组成。
8.生产中往复活塞式压缩机的排出压力取决于背压(排出管路内压力)。
9.往复活塞式压缩机缸内实际平均吸气压力低于(高于、等于、低于)名义吸气压力,缸内实际平均排气压力高于(高于、等于、低于)名义排气压力。
10.转子型线的影响要素主要有:接触线、泄漏三角形、封闭容积和齿间面积。
11.泄漏三角形三顶点:两转子接触线的最高点、阴转子齿顶与两汽缸孔交线的交点、阳转子齿顶与两汽缸孔交线的交点。
12.螺杆压缩机阴阳转子的传动比等于两转子转角之比,等于两转子转速之比,等于两转子角速度之比,等于两转子节圆半径之比,还等于两转子齿数之比。
13.螺杆压缩机吸气过程中,吸气腔一直与吸气口相连通,不能与排气口相连通。
14.当螺杆压缩机的内压力比大于(大于或小于)外压力比时,此时产生过压缩;当内压力比小于(大于或小于)外压力比时,此时产生欠压缩。
15.螺杆压缩机喷液的作用是:冷却、密封、润滑和降噪等。
16.同一台螺杆压缩机用于压缩空气和丙烷,相比之下当压缩空气时,其压缩比较大(大或小),其排气温度较高(高或低)。
二、判断题(每题1分,共20分)1.多级离心压缩机的最大流量大于单级的最大流量。
(× )2.扩压器的作用是让气流平稳流动。
(× )3.对于多级离心压缩机,若要达到同样的压力比,压缩重气体时,所需的多变压缩功大,因而级数就多。
(× )4.就压力比与流量的性能曲线而言,在一定转速下,增大流量,离心压缩机的压力比将上升。
(× )5.发生喘振的内在因素是叶道中几乎充满了气流的脱离,而外在条件与管网的压力和管网的特性曲线有关。
(√)6.离心压缩机的级数愈少,压缩机的性能曲线愈陡,喘振流量愈大,堵塞流量愈小,其稳定工作范围也就愈窄。
(× )7.离心压缩机流量调节最常用的是出口节流调节。
(× )8.压缩机的机械效率是指示功率和比功率之比。
(× )9.压缩机中的惯性力可分为一阶往复惯性力和二阶往复惯性力。
(× )10.往复惯性力始终作用于该气缸轴线的方向,仅其大小随曲轴转角周期地变化。
(√)11.其他条件不变,压缩机吸气温度越高,压缩后排气温度越高。
(√ )12.往复活塞式压缩机压力比增大时,容积系数不变。
(× )13.压缩机的额定排气量表明了该压缩机供气量的大小。
(× )14.单列压缩机往复惯性力不能完全平衡。
(√ )15.往复活塞式压缩机的排气量的大小是指末级状态下所测得的气量。
(× )16.螺杆压缩机第一代对称圆弧转子型线与非对称型线相比,其泄漏三角形较大,接触线较短。
(√ )17.过压缩和欠压缩都不会产生额外功耗损失。
(× )18.两共轭型线相啮合时,在啮合点处两共轭型线必有公切线和公法线;(√ )19.螺杆压缩机压缩过程中,压缩腔不能与吸气口和排气口相连通。
(√ )20.螺杆压缩机转子型线的封闭容积越大越好,齿间面积越大越好。
(× )三、简答题(每题3分,共30分)1.离心式压缩机中的气体,从进入到排出经过了哪些过流部件答:吸气室----叶轮(1分)---扩压器---弯道(1分)----回流器----蜗壳(1分)2.离心压缩机机械密封的原理是什么答:由至少一对垂直于旋转轴线的端面在流体压力和补偿机构弹力(或磁力)的作用下以及辅助密封的配合下保持贴合并相对滑动,防止流体泄漏(2分)。
将容易泄漏的轴封改为较难泄漏的静密封和端面径向接触的动密封。
(1分)3.往复活塞式压缩机采用多级压缩的优点是什么答:① 节省压缩功;(1分)② 提高气缸利用率;(1分)③ 降低排气温度;(分)④ 降低活塞所受气体力。
(分)4.往复压缩机的理论循环与实际循环的差异是什么答:①由于存在余隙容积,实际工作循环由膨胀、吸气、压缩和排气四个过程组成,而理论循环无膨胀过程;(1分)②实际吸排气过程存在阻力损失,使实际吸气压力低于吸气管内压力,实际排气压力高于排气管内压力,而且压力有波动,温度有变化;(1分)③在膨胀和压缩过程中,因气体与汽缸壁的热交换,实际循环中膨胀过程指数和压缩过程指数不断变化,非常数;④实际循环中,活塞环、填料和气阀不可避免漏气,使指示图面积减小。
(1分)5.往复活塞式压缩机的气阀在气缸上有几种布置形式,哪一种的余隙容积较小答:⑴轴向、斜向、径向;(2分)⑵轴向余隙容积较小。
(1分)6.螺杆压缩机转子型线的设计原则。
答:①转子型线应满足啮合要求,具有良好的啮合特性。
②转子型线应形成长度较短的连续接触线。
(1分)③转子型线应形成较小面积的泄漏三角形。
④转子型线应使封闭容积较小。
(1分)⑤转子型线应使齿间面积尽量大。
⑥转子型线便于加工制造,较小的气体动力损失,具有小的热变形和弯曲变形等。
(1分)7.什么是螺杆压缩机的内压力比,内压力比大小的决定因素是什么答:内压力比:压缩机的齿间容积与排气孔口即将连通之前,齿间容积内的气体压力pi称为内压缩终了压力,内压缩终了压力与吸气压力之比,称为内压力比。
(2分)吸排口位置和形状决定内压力比的大小。
(1分)8.以图I-2-5为例,分析螺杆压缩机工作过程。
吸气过程阳转子齿不断从阴转子的齿槽中脱离出来,齿间容积扩大,且仅与吸气口连通,气体流入其中。
(1分)压缩过程齿间容积由于转子齿的啮合而逐渐减小,被密封在齿间容积中的气体所占据的体积也随之减小,导致压力升高,从而实现气体的压缩过程。
(1分)排气过程随着齿间容积的不断缩小,具有排气压力的气体逐渐通过排气孔口被排出。
齿末端的型线完全啮合,气体通过排气孔口被完全排出。
(1分)9.螺杆压缩机转子所受的轴向力有哪些端面轴向力(1分)、气体轴向力(1分)、齿轮产生的轴向力、平衡活塞产生的轴向力(1分)。
10.采用多级压缩的原因是什么答:主要有如下原因:(1)可以节省压缩气体的指示功;(1分)(2)可以降低排气温度;(分)(3)提高容积系数;(分)(4)降低活塞力。
(1分)四、计算题(每题6分,共24分)1.已知某离心鼓风机入口压力为1×105 Pa(绝),气体温度为20℃,出口压力为×105 Pa(表),出口温度为此60℃。
问:此鼓风机的压缩过程指数是多少解:由过程方程求之 m m s d s d p p T T 1-⎪⎪⎭⎫ ⎝⎛= (2分) T d =333 K ,T s =293 K , p d =×105 Pa , p s =×105 Pa 得:m m 10.15.1293333-⎪⎭⎫ ⎝⎛= (2分)解方程得 m= (2分)2. 已知某离心式空气压缩机某级叶轮的有效流量kg/s 95.6=m ,漏气损失系数为013.01=β,轮阻损失系数为03.0=df β。
叶轮对单位质量气体做功J/kg 45895=T H 。
试计算叶轮做功消耗的理论功率、漏气损失功率、轮阻损失功率,以及叶轮对气体做功消耗的总功率和叶轮对单位质量有效气体的总耗功。
解:(1)叶轮对气体作功消耗的功率kW 97.31810004589595.61000=⨯==T T mH N (1分)漏气损失功率15.497.318013.0=⨯==T l l N N β kW (1分)轮阻损失功率57.997.31803.0=⨯==T df df N N β kW (1分)(2)压缩机消耗的总功率(叶轮的总消耗功率)()()kW68.33203.0013.0110004589595.611000=++⨯=++=df l T tot mH N ββ (1分) (3)单位质量气体的总耗功()()110.0130.034589547868.5J/kg tot l df T H H ββ=++=++⨯= (2分)3. 某往复活塞式压缩机吸入压力s p 为(绝压),已知理论排气量为100/min m 3,排气表读数(表压)为,相对余隙容积α=,且85.0l T p =λ⋅λ⋅λ,多变膨胀指数m′=,求实际排气量。
解:75.011.045.01.01112.1111=⎪⎪⎪⎭⎫ ⎝⎛-⎪⎭⎫ ⎝⎛-=⎪⎪⎭⎫ ⎝⎛--='m v εαλ (4分)min /m 75.6310085.075.03=⨯⨯==n V Q h l T p v λλλλ (2分)4. 实测一活塞式空压机,其P s =(绝压),P d =(绝压),排气温度为130℃,当地大气压为760mmHg ,气温15℃。
问:此时压缩过程是多变过程还是绝热过程,为什么解:11221110.454031ln 4.356ln1.3990.1288m m m m m m T p T p m m ε---⎛⎫== ⎪⎝⎭-⎛⎫=⇒= ⎪⎝⎭ (2分)3.1296.1336.047.11≈=⇒=⨯-m mm (2分)是多变过程,因为压缩过程m<k 。
(2分)五、分析题(6分)m3,某车间需选用空气压缩机设备,空气压缩机设计参数为:吸气量为60/min排气压力为7×105Pa。
常见压缩机的应用范围如图所示,试根据图中内容选择适当类型的压缩机设备,简要说明所选压缩机的工作原理和性能特点(优缺点)。
解:可选往复式活塞压缩机或离心式压缩机。
选型理由包括优缺点或经济性、操作调节、安装维护等;工作原理为动力式或容积式;性能特点包括适用范围、性能参数和特殊工况等。
答案一:选择往复活塞式压缩机。
(1分)往复活塞式压缩机是依靠曲柄连杆机构将主轴的旋转运动转化为活塞的往复运动,依靠往复运动的活塞和气缸及进排气阀之间行成周期性变化的工作腔容积,实现气体的吸入、压缩和排出,完成气体的增压。
(2分)往复活塞式压缩机的优点:①适用压力范围广,从低压到高压(350MPa)。
②热力效率高,功率消耗低。
③对于介质及排气量的适应性强。
④对制造机器金属要求相对不严。
(分)往复活塞式压缩机的缺点:①重量大、尺寸大、结构复杂、安装基础施工工作量大。
②可损件多、可靠性低。
③气流有脉动。
④转速较低,排气量受到限制。
⑤振动大。