浙江中医药大学2016年基础医学院导师名单
- 格式:pdf
- 大小:67.59 KB
- 文档页数:2
姓名考生编号拟录取学院拟录取专业博导初试成绩钱钧103445100000005基础医学院中医基础理论包素珍229曾耀明103445100000013基础医学院中医基础理论郑红斌217刘磊103445100000003基础医学院中医基础理论张光霁201黄琳103445110344001基础医学院中医临床基础温成平王建103445100000038基础医学院中医临床基础姜泉254李秀月103445100000035基础医学院中医临床基础柴可夫241杨辉103445100000042基础医学院中医临床基础温成平240钟智强103445100000021基础医学院中医临床基础李卓玉237邓金钗103445100000029基础医学院中医临床基础郑小伟230余凯103445100000050基础医学院中医医史文献钱俊华248王延武103445100000059基础医学院方剂学叶新苗225王伟杰103445100000096第一临床医学院中医内科学范永升225张恺103445100000112第一临床医学院中医内科学沈敏鹤212赵婷103445100000115第一临床医学院中医内科学范永升206潘俊杰103445100000088第一临床医学院中医内科学宋康204张宇103445100000114第一临床医学院中医内科学范永升203缪昊均103445100000087第一临床医学院中医内科学沈敏鹤198庞艳阳103445100000123第一临床医学院中医外科学曹毅220徐涛涛103445110344002第一临床医学院中医骨伤科学童培建夏炳江103445100000161第一临床医学院中医骨伤科学童培建235张磊103445100000165第一临床医学院中医骨伤科学童培建216孙奇103445100000155第一临床医学院中医骨伤科学童培建212陈姗103445100000170第一临床医学院针灸推拿学宣丽华189谷建钟103445100000206第一临床医学院中西医结合临床郭勇233金平103445100000291第一临床医学院中西医结合临床许茂盛220徐玲珑103445100000261第一临床医学院中西医结合临床周郁鸿207周淑娟103445100000284第一临床医学院中西医结合临床周郁鸿203吕玲春103445100000231第一临床医学院中西医结合临床毛威199陆如凤103445100000230第一临床医学院中西医结合临床郭勇195俞蕾敏103445100000267第一临床医学院中西医结合临床吕宾189丁伟森103445100000068第二临床医学院中医内科学鲁盈219徐峥103445100000103第二临床医学院中医内科学鲁盈218金永翔103445100000144第二临床医学院中医骨伤科学史晓林219王佳峰103445100000249第二临床医学院中西医结合临床葛明华209周玲燕103445100000283第二临床医学院中西医结合临床葛明华207何神地103445100000210第二临床医学院中西医结合临床严静204陶婷婷103445100000296第二临床医学院中西医结合临床吕伯东204田国燕103445100000246第二临床医学院中西医结合临床娄国强198刘俊平103445100000223第二临床医学院中西医结合临床毛伟敏196杜宝昕103445100000120第三临床医学院中医外科学崔云225石焱103445100000179第三临床医学院针灸推拿学方剑乔208刘盈君103445100000177第三临床医学院针灸推拿学方剑乔195张荣博103445100000330药学院中药学袁强242徐恒武103445100000326药学院中药学李范珠229方晴霞103445100000301药学院中药学赵华军225李俊峰103445100000349药学院中药学尹华223苏洁103445100000341药学院中药学吕圭源220王可103445100000320药学院中药学李范珠219张冰冰103445100000327药学院中药学李范珠219施晓伟103445100000348药学院中药学李范珠211周飞103445100000333药学院中药学钟晓明208诸佳珍103445100000334药学院中药学李范珠207盛振华103445100000317药学院中药学熊耀康206复试成绩总成绩91829381897693硕博连读9388918590849284888190869181918190789278937893788875857888硕博连读908388788978977792839381917891779377927691747775837778757973807384747872746973687977777273688984878187808579体检待复查8076817684777974847584758274。
校内导师简介张如松,教授,男,中共党员(本院)研究方向:中药、天然药物的药效物质与创新药物的研究开发科研情况:目前主持教育部、卫生部、省自然科学基金等项目1977年毕业于浙江医科大学药学系,1992年毕业于日本大阪大学,获药学博士学位,大学毕业以后一直从事中药和天药物活性成分的研究,现任药学系副主任、“浙江省跨世纪学术和技术带头人”培养人员、《中国现代应用药学》杂志常务编委、浙江省药学会理事。
主要科研成果有:1、主持浙江省自然科学基金重点项目、浙江省自然科学基金一般项目、浙江省科技厅项目、浙江省中医药科技重点开发项目等十几项科研项目;参加国家自然科学基金、浙江省自然科学基金等项目。
2、从中药、天然药物中分离了20种新的化学成分,并确定了这些成分的化学结构。
3、在《Tetrahedron》、《Chemical & Pharmaceutical Bulletin》、《化学学报》《药学学报》等国外内杂志上发表学术论文20余篇,其中7篇文章被SCI收录。
4、负责2种中药新药的制备工艺、质量标准及稳定性试验等研究,其中1种已获新药证书,1种已完成临床试验。
目前主持的主要纵向课题有:1、浙江省自然科学基金重点项目:白首乌新C21甾体类成分的抗肿瘤作用及其作用机制的研究。
2、浙江省科技厅项目及浙江省中药现代化专项项目:抗纤维化中药二类新药“解毒抗纤胶囊”的研究开发。
3、浙江省中医药科技重点开发项目:抗肿瘤中药二类新药CGB的研究开发。
教育部科学技术研究重点项目:浙江产牛奶菜属植物抗类风湿性关节炎的有效成分及其作用机理的研究。
李范珠,教授,男,中共党员(本院)研究方向:中药复方现代化基础研究和中药新型输送系统与中药新剂型新技术的研究科研情况:主持国家自然科学基金重大研究计划(90409012)及面上项目(30371781)各1项、国家“九五”攻关课题(编号96-906-10-01)1项,以及教育部重点项目、浙江省自然科学基金项目等多项科研项目。
8311卷 辽宁中医药大学学报之邪排出有通路,而且通过利小便可抵抗致病菌黏附于尿道黏膜上,促进病原体排出。
在药物选择上,周主任多选用既有利水渗湿,又有清热作用的车前子、滑石、泽泻、萹蓄、猪苓等,尤其喜用猪苓、泽泻,因二者有“泻膀胱之邪气”的作用。
③解毒:在解毒药物选择上周主任喜欢将其组成药对,每次使用1~2对,交替使用;常用药对有紫花地丁、蒲公英、野菊花,穿心莲、半枝莲、生地榆,红藤、虎杖、凤尾草,金银花、连翘。
现代药理学研究表明紫花地丁、蒲公英、金银花、连翘有广谱抗菌作用,穿心莲、虎杖、生地榆抗葡球菌,凤尾草、野菊花抗大肠杆菌,半枝莲抗变形杆菌,虎杖抗绿脓杆菌。
通过这些清热解毒药对的交替组合运用,不仅可以抗炎、抗菌,而且可预防耐药菌的产生,使尿感发作容易得到控制。
3 强调疏肝理气“膀胱者,州都之官,津液藏焉,气化则水能出焉”;“三焦者,中渎之府也,水道出焉”;可见只有当全身气机通畅,膀胱气化功能正常,才能正常的储尿和排尿;而淋证为各种因素导致气机郁结下焦,膀胱气化失常所致。
因此无论是本病急性期还是缓解期,均有气机不畅因素存在;急性期多因湿热蕴结阻碍气机,症状可见少腹胀痛,尿道涩痛不适等,缓解期多因脾肾气阴亏虚,导致肝气郁结不舒,症状可见少腹坠胀,小便淋漓不尽等。
正如《临证要诀・小便血》所说:“若用药不效便宜施以调气之剂,盖津道之遂顺,皆一气之通塞”。
周主任非常强调使用疏肝理气之品,每于临证时加入郁金、香附、柴胡、枳壳、乌药、青皮、延胡索等疏肝理气药的一种或几种,其认为:①疏肝理气药可以双重调节泌尿道平滑肌的舒缩,改善膀胱逼尿肌与后尿道括约肌作用失调状态,从而防止致病菌在泌尿道上的黏附;②疏肝理气药通过增强膀胱平滑肌的收缩而促进残余尿的排出;③由于病情反复,患者常常出现心情抑郁、焦虑、善悲等情致改变,其原因为因病致郁,通过加用疏肝、解郁药物,可改善上述症状,明显提高患者生活质量,易于本病康复。
4 辨证使用活血化瘀药周主任认为并非所有的病人都要用活血化瘀药,在以下情况下必须使用活血化瘀药,余则无需使用,以免药物过多、过杂影响疗效:①中医辨证有血瘀证表现,如腰部刺痛固定不移、面色黯、舌紫黯脉涩等,须加用活血化瘀药;②急性期清热利湿解毒治疗效果不佳者多为湿热已成毒成瘀,此时应加用活血化瘀药,多选用红藤、虎杖、丹参、马鞭草等有抗菌作用的活血药;③西医辨病为上尿路感染者应加用活血化瘀药,多选用丹参、赤芍、牛膝、桃仁、水蛭等有改善肾脏局部凝血状态,促进瘢痕组织修复作用的药物。
校内导师简介李范珠教授,男,中共党员(本院)研究方向:药物靶向给药系统研究,药物新剂型与新技术研究和中药复方药效物质基础与质量控制评价。
科研情况:主持国家自然科学基金3项:重大研究计划(90409012);面上项目(30371781;30772793)、参与5项;主持国家教育部博士点基金1项,浙江省自然科学基金杰出青年团队1项;国家“九五”攻关课题(编号96-906-10-01)1项、浙江省中医药管理局项目1项、省教学改革课题1项等多项科研项目;发表SCI论文8篇,在国内核心期刊发表论文60余篇;主编著作2部,参编著作8部;申报专利5项;获新药证书3项。
个人简介:李范珠,男,1964年出生,浙江中医药大学药学院院长,中共党员,博士,教授,博士生导师,现任国家中医药管理局中药制剂学科带头人,国家中管局三级重点实验室主任,浙江省首批卫生高层次创新人才培养对象,浙江省自然科学基金(杰出青年团队项目)资助对象。
浙江省精品课程——《中药药剂学》负责人,《药剂学》主编(普通高等教育国家级规划教材),《药物制粒技术》主编,《中药药剂学》副主编(高等中医药类规划教材),《中国药学杂志》、《中国中药杂志》等国内6种核心期刊编委,《Int J Pharm》、《Pharm Res》、《Acta Pharmacol Sin》、《Urology》、《Journal of Pharmaceutical and Biomedical Analysis》评审专家。
兼任国家SFDA 中药新药审评专家,国家教育部科技成果评审专家,国家自然科学基金委员会生命科学部项目同行评议专家,国家科技部评审专家,世界中医药学会联合会第一、二届中药药剂专业委员会常务理事等职务。
曾获浙江省优秀归国人员荣誉称号,浙江省科学技术进步二等奖和国家教学成果二等奖等奖项。
梁泽华副教授,女,中共党员(本院)研究方向:中药炮制工艺改良及质量标准研究科研情况:主持省中管局、省教育厅、省中药现代化等多项课题,在《中国现代应用药学》、《医药导报》、《中医药管理》等杂志发表论文。
作者: 刘玉良
作者机构: 浙江中医药大学基础医学院
出版物刊名: 成都中医药大学学报:教育科学版
页码: 8-10页
年卷期: 2016年 第3期
主题词:�中医基础理论》;《三国演义》;教学
摘要:中医学是一门具有独特思维方式的学科,而中医药大学部分大一的学生缺少对此问题的认识,以致难以入门。
在《中医基础理论》课程中利用与医学相关的古典文学典故进行教学可在一定程度上解决此问题。
笔者试将《三国演义》中医学知识运用于《中医基础理论》教学中,起到了良好的引导和启发作用,具有极佳的教学效果。
浙江中医药大学硕士研究生培养手册学号:姓名:专业:导师:学院:浙江中医药大学2013年6月修订目录1.填表说明 2 2.硕士研究生基本情况表 3 3.硕士研究生学习计划 4 4.硕士研究生课程成绩登记表 5 5.免(改)修、免听课程申请表 6 6.参加学术活动记录表7 7.文献综述完成情况考核表15 8.硕士研究生开题申请报告16 9.硕士研究生学位论文开题报告17 10.硕士研究生中期考核表24 11.教学实践考核表27 12.临床实践计划表31 13.改(免)临床实践申请表32 14.临床实践考核表37 15.临床实践医院鉴定表43 16.在读期间发表文章登记表44填表说明1.本手册供攻读硕士学位研究生使用。
2.本手册是记录研究生完成培养环节的档案材料,是评奖、毕业和申请学位的重要依据之一。
填表时,请根据《浙江中医药大学研究生手册》及本专业的培养方案,认真填写,按期完成。
3.本手册由研究生本人保管。
研究生根据不同学习阶段的要求,完成相应的培养环节后,填写相应的内容,并及时请管理部门领导或导师签字。
如因特殊情况不能按期完成者,须呈交导师、教研室(科室)负责人签名的证明材料。
未完成规定的培养环节,不能毕业,不得申请学位。
4.临床专业科学学位研究生本专业科室实习时间原则上不得少于六个月,不超过9个月。
本专业相关科室不少于2个月,实习时间不得少于1个月,辅助科室不少于1个月,实习时间不超过1个月。
实践安排表第二学年允许修改,第三学年不得修改。
基础理论专业科学学位研究生临床实践时间不少于3个月,不超过6个月。
5.本手册一律使用钢笔填写(碳素墨水或蓝黑墨水)。
要求字迹清楚,语句通顺。
不得撕页,不得自行涂改(为防止填错涂改,建议填写本手册前先仔细斟酌)。
6.本手册于学位论文答辩前2周交学院研究生教学秘书审核,并在毕业离校前与其他档案材料一起归档。
硕士研究生基本情况表硕士研究生学习计划导师签名硕士研究生课程成绩登记表学院研究生教学秘书审核签名、(公章):年月日第二学期学院研究生教学秘书审核签名、(公章):年月日第三学期年月日其它成绩免(改)修、免听课程申请表参加学术活动记录表(1)参加学术活动记录表(2)参加学术活动记录表(3)参加学术活动记录表(4)参加学术活动记录表(5)参加学术活动记录表(6)参加学术活动记录表(7)参加学术活动记录表(8)文献综述完成情况考核表硕士研究生开题申请报告我已全部通过课程考试,成绩合格,完成了培养计划中的实验预试,准备进行开题,经指导教师及导师组研究同意,定于月日午时,举行开题报告会。
浙江中医药大学2017年第一临床医学院七年制招生导师名单姓名工作单位研究方向范永升浙江中医药大学中医药治疗风湿免疫病的研究宋欣伟附属第一医院中医药治疗风湿免疫病的研究龙惠珍附属第一医院中医药治疗脾胃病的研究马红珍附属第一医院中医药治疗肾病的研究王彬彬附属第一医院中医药治疗肿瘤的研究沈敏鹤附属第一医院中医药治疗肿瘤的研究金涛附属第一医院中医老年病,肿瘤康复研究王真附属第一医院中医药治疗呼吸系统疾病的研究杨珺超附属第一医院中医药治疗呼吸系统疾病的研究鲁科达附属第一医院中医药治疗肾病的研究高祥福附属第一医院中医药治疗肾病的研究曹毅附属第一医院中医药治疗病毒性皮肤病的研究楼丽华附属第一医院中医药治疗乳腺病的研究余土根附属第一医院中医药治疗皮肤疾病的研究朱金土附属第一医院中西医结合医学美容(整形、激光)研究欧春附属第一医院中医治疗外科、肛肠病、男性病研究马丽俐附属第一医院中医药治疗皮肤疾病的研究孙洁附属第一医院中医药治疗泌尿系统疾病陶茂灿附属第一医院中医药治疗皮肤疾病的研究吴承亮浙江中医药大学中医药防治骨关节疾病的基础研究肖鲁伟附属第一医院中医药治疗股骨头坏死的研究童培建附属第一医院中医药治疗股骨头坏死的研究章建华附属第一医院中西医治疗骨关节病研究马镇川附属第一医院中西医治疗关节疾病、脊柱疾病卢建华附属第一医院中西医治疗骨质疏松症、腰椎间盘突出症的研究沈进稳附属第一医院中西医治疗骨与关节损伤的基础和临床研究庄汝杰附属第一医院中西医治疗骨关节病研究刘晋闽附属第一医院中西医治疗骨关节病研究朱孟勇附属第一医院中西医治疗脊柱疾病的研究季卫峰附属第一医院中西医治疗脊柱疾病的研究吴燕平附属第一医院中西医结合治疗妇科常见病的研究宣丽华附属第一医院针灸镇痛研究徐福附属第一医院针灸作用原理与应用莫晓枫附属第一医院针灸镇痛研究张海峰附属第一医院针灸作用原理与应用宋鸿权附属第一医院推拿的临床治疗研究陈华附属第一医院中医药治疗儿科疾病的研究朱永琴附属第一医院中医药治疗儿科疾病的研究陈玉燕附属第一医院中西医结合治疗小儿神经系统疾病研究王远照附属第一医院中西医结合治疗小儿心肝系统疾病研究陈健附属第一医院中医药治疗儿科疾病的研究陈国孝附属第一医院中西医治疗眼内血症、眼屈光不正的研究唐旭霞附属第一医院中西医治疗耳鼻喉疾病研究宋康附属第一医院中西医结合治疗呼吸系统疾病的研究骆仙芳学校中西医结合治疗呼吸系统疾病的研究王新华附属第一医院中西医结合呼吸疾病研究周郁鸿附属第一医院中西医结合治疗血液病的研究高瑞兰附属第一医院中西医结合治疗血液病的研究胡致平附属第一医院中西医结合治疗血液病的研究沈一平附属第一医院中西医结合治疗血液病研究叶宝东附属第一医院中西医结合治疗血液病研究林筱洁附属第一医院中西医结合治疗血液病研究郭勇附属第一医院中西医结合治疗肿瘤的研究陈培丰附属第一医院中西医结合治疗肿瘤的研究舒琦瑾附属第一医院中西医结合治疗肿瘤的研究谢长生附属第一医院中西医结合治疗肿瘤的研究陈喆附属第一医院中西医结合治疗肿瘤的研究黄平附属第一医院中西医结合治疗内分泌疾病研究黄琦附属第一医院中西医结合治疗内分泌疾病的研究倪海祥附属第一医院中西医结合治疗内分泌疾病的研究陈芝芸附属第一医院中西医结合治疗消化系统疾病的研究钦丹萍附属第一医院中西医结合治疗消化系统疾病的研究范一宏附属第一医院中西医结合治疗消化系统疾病的研究张史昭附属第一医院中西医结合治疗免疫肾脏病研究何灵芝附属第一医院中西医结合治疗肾病的研究朱肖鸿附属第一医院中西医结合治疗肝病研究江荣林附属第一医院中西医结合临床危重病诊治研究刘强附属第一医院中西医结合心血管疾病研究裘涛附属第一医院中西医结合治疗神经疾病研究张丽萍附属第一医院中西医结合治疗神经疾病研究谢俊明附属第一医院中西医结合治疗泌尿系统疾病的研究傅永清附属第一医院中西医结合治疗肝胆外科疾病的研究江少波附属第一医院中西医结合治疗泌尿系统疾病的研究裘顺安附属第一医院中西医结合治疗泌尿系统疾病的研究黄李法附属第一医院中西医结合治疗神经外科疾病研究李宁附属第一医院中西医结合治疗肝胆外科疾病的研究张烁附属第一医院中西医结合治疗消化系统疾病的研究王慎鸿附属第一医院中西医结合治疗泌尿系统疾病的研究谢小红附属第一医院中西医结合乳腺疾病基础和临床研究文章来源:文彦考研。
浙江中医药大学2016年博士复试名单翁思颖基础医学院中医临床基础柴可夫英语陆飞龙基础医学院中医临床基础温成平英语邝浩丹基础医学院中医临床基础温成平英语唐宇俊基础医学院中医临床基础温成平英语杨美霞基础医学院中医临床基础温成平英语刘彪基础医学院方剂学叶新苗英语曹畅基础医学院方剂学叶新苗英语傅丹青第一临床医学院中医内科学黄平英语袁莉第一临床医学院中医内科学沈敏鹤英语严卿莹第一临床医学院中医内科学沈敏鹤英语余瑾第三临床医学院中医内科学朱彩凤英语邵琼琰第二临床医学院中医内科学张永华英语陈佳斌第一临床医学院中医内科学宋康英语郑兰芝第一临床医学院中医内科学宋康英语葛琼翔第一临床医学院中医外科学曹毅英语丁薇第一临床医学院中医外科学曹毅英语曾武第二临床医学院中医骨伤科学史晓林英语俞益火第一临床医学院中医骨伤科学童培建英语潘佳飞第一临床医学院中医骨伤科学童培建英语周化腾第三临床医学院中医骨伤科学全仁夫英语董睿第一临床医学院中医骨伤科学童培建英语曾宇晴第一临床医学院中医骨伤科学童培建英语毕晓晨第三临床医学院针灸推拿学刘喆英语张江松第三临床医学院针灸推拿学林咸明英语徐子童第三临床医学院针灸推拿学方剑乔英语马兰第一临床医学院中西医结合临床毛威英语洪秀芳第二临床医学院中西医结合临床严静英语吴侃第二临床医学院中西医结合临床马胜林英语赵凡第二临床医学院中西医结合临床吕伯东英语邢冲云第一临床医学院中西医结合临床周郁鸿英语吴迪炯第一临床医学院中西医结合临床周郁鸿英语李家英第一临床医学院中西医结合临床毛威英语吴仙军第一临床医学院中西医结合临床毛威英语陈进第二临床医学院中西医结合临床施军平英语陈晨第一临床医学院中西医结合临床毛威英语谢璐第二临床医学院中西医结合临床马胜林英语顾利强药学院中药学陈素红英语张欢欢药学院中药学李昌煜英语黄敏聪药学院中药学林能明英语罗燕药学院中药学李昌煜英语许雅思药学院中药学林能明英语王博林药学院中药学李昌煜英语姜建伟药学院中药学钟晓明英语马月药学院中药学宋振远英语朱国雪药学院中药学尹华英语林筱洁基础医学院中医临床基础万海同英语康林之基础医学院中医临床基础万海同英语杨莉莉护理学院中西医结合临床孙秋华英语金海峰第一临床医学院中西医结合临床吕宾英语沈雁第一临床医学院中西医结合临床吕宾英语刘冰第三临床医学院中医外科学崔云英语文章来源:文彦考研。
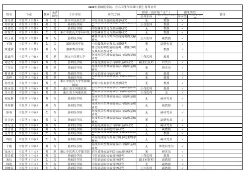
浙江中医药大学2016年基础医学院导师名单姓名专业研究方向
包素珍中医学
博:中医治则治法理论与实验研究硕:中医病证的诊治规律研究
曹灵勇中医学中医经典理论及传承研究
柴可夫中医学
博:内分泌疾病的中医临床基础治法与临床研究硕:内分泌难治病治法与临床基础研究
陈永灿中医学
博:今年不招,方向待定
硕:消化系统难治病治法与临床基础研究
丁兴红中医学方剂治法理论与临床应用研究
杜月光中医学内分泌难治病治法与临床基础研究高建莉中医学中医病证的诊治规律研究
韩贤林中医学
博:中医临床基础的系统生物学研究硕:免疫相关性难治病治法与临床基础研究
江凌圳中医学中医经典理论及传承研究
姜泉中医学
博:免疫风湿病的中医临床基础治法与临床研究硕:免疫相关性难治病治法与临床基础研究
李荣群中医学免疫相关性难治病治法与临床基础研究李如辉中医学中医藏象理论及其应用研究
刘文洪中医学免疫相关性难治病治法与临床基础研究潘挺睿中医学四诊客观化的研究
钱俊华中医学
博:中医火热病机的文献研究硕:中医经典理论及传承研究
秦樾中医学
博:中医临床基础的系统生物学研究硕:今年不招
宋红中医学中医病证的诊治规律研究王颖中医学中医藏象理论及其应用研究
温成平中医学
博:免疫风湿病的中医临床基础治法与临床研究硕:免疫相关性难治病治法与临床基础研究
吴人照中医学心脑血管难治病治法与临床基础研究谢志军中医学免疫相关性难治病治法与临床基础研究徐光星中医学中医经典理论及传承研究
徐莉中医学免疫相关性难治病治法与临床基础研究许国旺中医学博:中医临床基础的系统生物学研究
硕:免疫相关性难治病治法与临床基础研究许正浩中医学免疫相关性难治病治法与临床基础研究许志良中医学中医临床证治的系统生物学研究
严余明中医学中医经典理论及传承研究
杨洁红中医学
博:方剂的配伍规律与防治心脑血管病的临床与实验研究硕:方剂学配伍规律研究
叶新苗中医学
博:方剂与微创中医临床基础研究硕:方剂治法理论与临床应用研究
张光霁中医学
博:中医病因发生的体质学基础研究硕:中医体质及病因病机学研究
张俊杰中医学中医藏象理论及其应用研究
张翼宙中医学硕:今年不招,方向待定
张跃明中医学内分泌难治病治法与临床基础研究
郑红斌中医学
博:《内经》脾胃学说的临床与实验研究硕:消化系统难治病治法与临床基础研究
郑小伟中医学
博:消化疾病的中医临床基础治法与临床研究硕:消化系统难治病治法与临床基础研究
周岳君中医学中医病证的诊治规律研究
朱君华中医学硕:中医经典理论及传承研究文章来源:文彦考研。