悟空识字3字整理的可打印0011200
- 格式:doc
- 大小:279.50 KB
- 文档页数:25
云日月山水田虫牛鸟鱼马鸭一二三四五十上大小少中人耳牙口手女六七八九不个红灯妈白车门画听飞种打好江花叶沙草木牙头只朵棵条火天空世界土地你我他她们气候风春雨雪蓝黄绿色青美光亮明太星阳爷奶爸姐家母树果瓜枝米生松竹柳桃森林春秋冬年岁像同学老师习园又和也再就才河海流清池满欢乐高兴哥金跑跳行走立坐东西南北前后为什么知道会来去回别从向许多几千有没毛角兔禾苗面方圆点正台位用做住变把处这那边里总是着了的节成在讲出过到开入促找放玩活动说话叫声吹问最很每片分苦孩子衣干力事送还给让要得眼足皮发巴心新快真全对长吃笑看见想奇书写笔写字数夜晚早乌时间朋友伴自己答请原完可起带觉跟步石都国热爱城市乡村工厂校商场医作业课本题目教改及格办级拉推拔排拍投男哥弟夫儿童身体脚嘴脸乡张夏虹秀亲情岛湖岸桥漂游伙丁所现今午床钟桌杯瓶镜针线伞裙服布群众泪汗直化语文加认等结实根李贝公共近远短深广古两样百万代精汽船司机路列视望闻净忘赶饭猪羊鹅鸡蛋重量速度左右积往专各王主被包座席意外平整齐忙响物洗扫读唱练选猫象蛇虾蚁洞报名比赛争取记收议闭合关战保刀将军队首先常已并些骑领查引划提吓惊怕苦冷疼京华窗户房屋安装建造楼施电影网球照相运举转采管治消值半无肚哪静故弯闪野晨谁黑狗尾猴鼠扁杏苹颗堆巾尺菜豆萝卜迷藏越鲜尘尖灭休诉升旗彩飘落搭景次燕仔细旁艳言梅蛙参熊班拿礼烧砍舍束丽谷尽层壮区巨块站甲娃戏棋琴钢养伸甜院减迟室牵民族妹庆曲优阴图洋抱接错哭狐铅龙1- 600穿暖低更能呢吧您吗呀啦睡怎啊复苏舞冰泉鸣醒雷澡软梳稍耍论趣底颜淋洒滴油邓植龄经息扶载诗眠居醉烟散评访挤邮局轿钱懂貌愿碗筷夸妙却掉换员音蹈胖喜刚贴墙替拖鞋帮棉晒盖脱躺晴摆帘背另顾病累悄离票元旦篇遍雾霜朝霞夕蝶蜂碧紫杨凉定捧连仿佛抬聪泼忽然眨如以鹿慢鼻脑袋怪辆久失观围准备双舌叶弓秒妙蜻蜓展蝴蚯蚓蝌蚪蜘蛛牧捕蝉惜柔露荷珠摇篮晶停坪透翅膀蹲嘻莲睁趴腰爬非感激急坡割闷喊潮湿搬阵哗壁虎借蚊逃难擦抄拾摔拔拦摸团遇攻互尊令纯挂街熟尝温冻该因季鸭喝渴法渐假缸慌使劲砸破救称官腿柱杆秤倒艘沉止微瘦暗丑闲旧鸥滩舰帆秧稻塘溪竿铜号挖井导革命士解刻念助哨敌荡顺突枪杀害英雄冲部宽捡壳奔密匹祝贺希祖由羽丰勇敢理敬申句兄虚骄傲萄葡菊菇雀梨笛第舶盒鸽脖够猎猜麻粒剪兽渔寄弹超棍箭鲨操鹦鹉鲸棒厨港富裤粥磁酸蜡蕉醋箱糖瞧蟋蟀繁鳄鞭警察螃蟹瀑器蔬横竖钩撇淡诚赢赞招翻浇肥饿挑狮滚扑咬懒吞靠应餐丢矿糟糕粗概夹盆宣芽规盛丝表煮饼饮饺狼初眉辨斗即雁归寒姑娘蚜盼啄斑俩摘伯而且踢兰梁程波架特砖薄巧稳郊弄断修创梦灰迎姨追顶披鼓甘埋闯掰跌轻蚂谢矮阿勺叉艺内币爪反丹忆计订孔玉功扔仙印册汁汉宁必永寺考死当吸吐肉则乒乓讲农孙戒坏严识词努驴茄卧枣卖轮叔齿味典败钓乖侄斧饱闹炉宝肩衬姓组挡指茶荣药枯柿咸厘省胃贵思骂哈峡骨钥匙科便须剑独奖类爆炸炮洁派洲客神诵骆驼蚕盐壶恐桔唇套柴党晓晃峰乘秘臭射舱航豹胸脏鸵桨留瓷旅阅萄葡菊菇雀梨笛第舶盒脖够猎猜粒剪兽渔寄弹超棍棒厨港富裤粥磁酸蜡箱箭鲨操鹦鹉鲸糖蟋蟀繁鳄鞭警察螃蟹瀑器蔬横竖钩撇说是叶圆夏秋雪肚排中游流唱两岸树江南哪座房漂亮青香屋要们爷棵到给暖冷开伞热静夜床光头望低故乡船弯坐只见闪星蓝阳像金野更长早晨拉进谁影前后着黑狗它朋友比尾把猴松鼠扁最公鸡杏桃苹红边多少群堆商场包奶牙毛巾笔业本东西菜园豆角心又捉迷藏嘴越风尘尖灭力男休手林众想告诉路能走北安广升旗点数清彩落空问回答方平搭间些都住呢啊没很自己您带吗深学会那景美瓜燕什么样得再可仔现找生旁种许格外每言语啦梅用几成为参加洞睡放布熊快饭班拿正礼物今孩让玩往觉烧知道化砍造舍结年直动束丽。
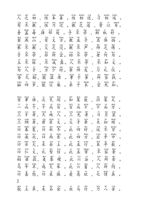
人rén 之zhī 初chū ,性xìnɡ 本běn 善shàn 。
性xìnɡ 相xiānɡ 近jìn ,习xí 相xiānɡ 远yuǎn 。
苟ɡǒu 不bú 教jiào ,性xìnɡ 乃nǎi 迁qiān 。
教jiào 之zhī 道dào ,贵ɡuì 以yǐ 专zhuān 。
昔xī 孟mènɡ 母mǔ ,择zé 邻lín 处chǔ 。
子zǐ 不bù 学xué ,断duàn 机jī 杼zhù 。
窦dòu 燕yān 山shān ,有yǒu 义yì 方fānɡ。
教jiào 五wǔ 子zǐ ,名mínɡ 俱jù 扬yánɡ 。
养yǎnɡ 不bú 教jiào ,父fù 之zhī 过ɡuò。
教jiào 不bù 严yán ,师shī 之zhī 惰duò 。
子zǐ 不bù学xué ,非fēi 所suǒ 宜yí。
幼yòu 不bù 学xué ,老lǎo 何hé 为wéi 。
玉yù 不bù琢zhuó ,不bù 成chénɡ 器qì。
人rén 不bù 学xué ,不bù 知zhī 义yì 。
为wéi 人rén子zǐ ,方fānɡ 少shào 时shí。
亲qīn 师shī 友yǒu ,习xí 礼lǐ 仪yí 。
香xiānɡ 九jiǔ龄línɡ,能nénɡ 温wēn 席xí 。
云云云云云云日日日日日日月月月月月月山山山山山山水水水水水水田田田田田田虫虫虫虫虫虫牛牛牛牛牛牛鸟鸟鸟鸟鸟鸟鱼鱼鱼鱼鱼鱼马马马马马马鸭鸭鸭鸭鸭鸭一一一一一一二二二二二二三三三三三三四四四四四四五五五五五五十十十十十十上上上上上上下下下下下下大大大大大大小小小小小小少少少少少少中中中中中中人人人人人人耳耳耳耳耳耳牙牙牙牙牙牙口口口口口口手手手手手手女女女女女女六六六六六六七七七七七七八八八八八八九九九九九九不不不不不不个个个个个个红红红红红红灯灯灯灯灯灯妈妈妈妈妈妈白白白白白白车车车车车车门门门门门门画画画画画画听听听听听听飞飞飞飞飞飞种种种种种种打打打打打打好好好好好好江江江江江江花花花花花花叶叶叶叶叶叶沙沙沙沙沙沙草草草草草草木木木木木木头头头头头头只只只只只只朵朵朵朵朵朵棵棵棵棵棵棵条条条条条条火火火火火火天天天天天天空空空空空空世世世世世世界界界界界界土土土土土土地地地地地地你你你你你你我我我我我我他他他他他他她她她她她她它它它它它它们们们们们们气气气气气气候候候候候候风风风风风风晴晴晴晴晴晴雨雨雨雨雨雨雪雪雪雪雪雪蓝蓝蓝蓝蓝蓝黄黄黄黄黄黄绿绿绿绿绿绿色色色色色色青青青青青青美美美美美美光光光光光光亮亮亮亮亮亮明明明明明明太太太太太太星星星星星星阳阳阳阳阳阳爷爷爷爷爷爷奶奶奶奶奶奶爸爸爸爸爸爸姐姐姐姐姐姐家家家家家家母母母母母母树树树树树树果果果果果果瓜瓜瓜瓜瓜瓜枝枝枝枝枝枝米米米米米米生生生生生生松松松松松松竹竹竹竹竹竹柳柳柳柳柳柳桃桃桃桃桃桃森森森森森森林林林林林林春春春春春春秋秋秋秋秋秋冬冬冬冬冬冬年年年年年年岁岁岁岁岁岁像像像像像像同同同同同同学学学学学学老老老老老老师师师师师师习习习习习习园园园园园园又又又又又又和和和和和和也也也也也也再再再再再再就就就就就就才才才才才才河河河河河河海海海海海海流流流流流流清清清清清清池池池池池池满满满满满满欢欢欢欢欢欢乐乐乐乐乐乐高高高高高高兴兴兴兴兴兴歌歌歌歌歌歌金金金金金金跑跑跑跑跑跑跳跳跳跳跳跳行行行行行行走走走走走走立立立立立立坐坐坐坐坐坐东东东东东东西西西西西西南南南南南南北北北北北北前前前前前前后后后后后后为为为为为为什什什什什什么么么么么么知知知知知知道道道道道道会会会会会会来来来来来来去去去去去去回回回回回回别别别别别别从从从从从从向向向向向向许许许许许许多多多多多多几几几几几几千千千千千千有有有有有有没没没没没没毛毛毛毛毛毛角角角角角角兔兔兔兔兔兔禾禾禾禾禾禾苗苗苗苗苗苗面面面面面面方方方方方方圆圆圆圆圆圆点点点点点点正正正正正正台台台台台台位位位位位位用用用用用用做做做做做做住住住住住住变变变变变变把把把把把把处处处处处处这这这这这这那那那那那那边边边边边边里里里里里里总总总总总总是是是是是是着着着着着着了了了了了了的的的的的的节节节节节节成成成成成成在在在在在在进进进进进进出出出出出出过过过过过过到到到到到到开开开开开开入入入入入入捉捉捉捉捉捉找找找找找找放放放放放放玩玩玩玩玩玩活活活活活活动动动动动动说说说说说说话话话话话话叫叫叫叫叫叫声声声声声声吹吹吹吹吹吹问问问问问问最最最最最最很很很很很很每每每每每每片片片片片片分分分分分分告告告告告告孩孩孩孩孩孩子子子子子子衣衣衣衣衣衣干干干干干干力力力力力力事事事事事事送送送送送送还还还还还还给给给给给给让让让让让让要要要要要要得得得得得得眼眼眼眼眼眼足足足足足足皮皮皮皮皮皮发发发发发发巴巴巴巴巴巴心心心心心心新新新新新新快快快快快快真真真真真真全全全全全全对对对对对对长长长长长长吃吃吃吃吃吃笑笑笑笑笑笑看看看看看看见见见见见见想想想想想想奇奇奇奇奇奇书书书书书书纸纸纸纸纸纸笔笔笔笔笔笔写写写写写写字字字字字字数数数数数数夜夜夜夜夜夜晚晚晚晚晚晚早早早早早早乌乌乌乌乌乌时时时时时时间间间间间间朋朋朋朋朋朋友友友友友友伴伴伴伴伴伴自自自自自自己己己己己己答答答答答答请请请请请请原原原原原原完完完完完完可可可可可可起起起起起起带带带带带带觉觉觉觉觉觉跟跟跟跟跟跟步步步步步步石石石石石石都都都都都都国国国国国国热热热热热热爱爱爱爱爱爱城城城城城城市市市市市市乡乡乡乡乡乡村村村村村村工工工工工工厂厂厂厂厂厂校校校校校校商商商商商商场场场场场场医医医医医医作作作作作作业业业业业业课课课课课课本本本本本本题题题题题题目目目目目目。
云yún日rì月yuè山shān水shuǐ田tián请浏览后下载,资料供参考,期待您的好评与关注!虫chóng牛niú鸟niǎo 鱼yú马mǎ鸭yā请浏览后下载,资料供参考,期待您的好评与关注!一yī二èr三sān 四sì五wǔ十shí请浏览后下载,资料供参考,期待您的好评与关注!上shàng下xià大dà小xiǎo少shǎo中zhōng请浏览后下载,资料供参考,期待您的好评与关注!人rén耳ěr牙yá口kǒu手shǒu女nǚ请浏览后下载,资料供参考,期待您的好评与关注!六liù七qī八bā九jiǔ不bù各gè请浏览后下载,资料供参考,期待您的好评与关注!红hóng灯dēng妈mā白bái车chē门mén请浏览后下载,资料供参考,期待您的好评与关注!画huà听tīng飞fēi 种zhǒng打dǎ好hǎo请浏览后下载,资料供参考,期待您的好评与关注!江jiāng花huā叶yè沙shā草cǎo木mù请浏览后下载,资料供参考,期待您的好评与关注!头tóu只zhī朵duǒ棵kē条tiáo火huǒ请浏览后下载,资料供参考,期待您的好评与关注!天tiān空kōng世shì界jiè土tǔ地dì请浏览后下载,资料供参考,期待您的好评与关注!你nǐ我wǒ他tā她tā它tā们men请浏览后下载,资料供参考,期待您的好评与关注!气qì候hòu风fēng 晴qíng雨yǔ雪xuě请浏览后下载,资料供参考,期待您的好评与关注!蓝lán黄huáng绿lǜ色sè青qīng美měi请浏览后下载,资料供参考,期待您的好评与关注!光guāng亮liàng明míng 太tài星xīng阳yáng请浏览后下载,资料供参考,期待您的好评与关注!爷yé奶nǎi爸bà姐jiě家jiā母mǔ请浏览后下载,资料供参考,期待您的好评与关注!树shù果guǒ瓜guā枝zhī米mǐ生shēng请浏览后下载,资料供参考,期待您的好评与关注!松sōng竹zhú柳liǔ桃táo森sēn林lín请浏览后下载,资料供参考,期待您的好评与关注!春chūn秋qiū冬dōng 年nián岁suì像xiàng请浏览后下载,资料供参考,期待您的好评与关注!同tóng学xué老lǎo 师shī习xí园yuán请浏览后下载,资料供参考,期待您的好评与关注!又yòu和hé也yě再zài就jiù才cái请浏览后下载,资料供参考,期待您的好评与关注!河hé海hǎi流liú清qīng池chí满mǎn请浏览后下载,资料供参考,期待您的好评与关注!欢huān乐lè高gāo 兴xìng歌gē金jīn请浏览后下载,资料供参考,期待您的好评与关注!跑pǎo跳tiào行háng 走zǒu立lì坐zuò请浏览后下载,资料供参考,期待您的好评与关注!东dōng西xī南nán 北běi前qián后hòu请浏览后下载,资料供参考,期待您的好评与关注!为wéi什shén么me 知zhī道dào会huì请浏览后下载,资料供参考,期待您的好评与关注!来lái去qù回huí别bié从cóng向xiàng请浏览后下载,资料供参考,期待您的好评与关注!许xǔ多duō几jǐ千qiān有yǒu没méi请浏览后下载,资料供参考,期待您的好评与关注!毛máo角jiǎo兔tù禾hé苗miáo面miàn请浏览后下载,资料供参考,期待您的好评与关注!方fāng圆yuán点diǎn 正zhèng台tái位wèi请浏览后下载,资料供参考,期待您的好评与关注!用yòng做zuò住zhù变biàn把bǎ处chù请浏览后下载,资料供参考,期待您的好评与关注!这zhè那nà边biān 里lǐ总zǒng是shì请浏览后下载,资料供参考,期待您的好评与关注!着zhe了le的de 节jié成chéng在zài请浏览后下载,资料供参考,期待您的好评与关注!进jìn出chū过guò到dào开kāi入rù请浏览后下载,资料供参考,期待您的好评与关注!捉zhuō找zhǎo放fàng 玩wán活huó动dòng请浏览后下载,资料供参考,期待您的好评与关注!说shuō话huà叫jiào 声shēng吹chuī问wèn请浏览后下载,资料供参考,期待您的好评与关注!最zuì很hěn每měi 片piàn分fēn告gào请浏览后下载,资料供参考,期待您的好评与关注!孩hái子zǐ衣yī干gàn力lì事shì请浏览后下载,资料供参考,期待您的好评与关注!送sòng还hái给gěi 让ràng要yào得dé请浏览后下载,资料供参考,期待您的好评与关注!眼yǎn足zú皮pí发fā巴bā心xīn请浏览后下载,资料供参考,期待您的好评与关注!新xīn快kuài真zhēn 全对duì长cháng请浏览后下载,资料供参考,期待您的好评与关注!吃chī笑xiào看kàn 见jiàn想xiǎng奇qí请浏览后下载,资料供参考,期待您的好评与关注!书shū纸zhǐ笔bǐ写xiě字zì数shù请浏览后下载,资料供参考,期待您的好评与关注!夜yè晚wǎn早zǎo 乌wū时shí间jiān请浏览后下载,资料供参考,期待您的好评与关注!朋péng友yǒu伴bàn 自zì已yǐ答dá请浏览后下载,资料供参考,期待您的好评与关注!请qǐng原yuán完wán 可kě起qǐ带dài请浏览后下载,资料供参考,期待您的好评与关注!觉jiào跟gēn步bù石shí都dōu国guó请浏览后下载,资料供参考,期待您的好评与关注!热rè爱ài城chéng 市shì乡xiāng村cūn请浏览后下载,资料供参考,期待您的好评与关注!工gōng厂chǎng校xiào 商shāng场chǎng医yī请浏览后下载,资料供参考,期待您的好评与关注!作zuò业yè课kè本běn题tí目mù请浏览后下载,资料供参考,期待您的好评与关注!。
1-300字云日月山水田虫牛鸟鱼马鸭一二三四五十大小少女火木人耳上下口中六七八九不个红灯妈白车门画听飞种打好江花叶沙草手头只朵棵条牙天空世界土地你我他她它们气候风晴雨雪蓝黄绿色青美光亮明太星阳爷奶爸姐家母树果瓜枝米生松竹柳桃森林春秋冬年岁像同学老师习园又和也再就才河海流清池满欢乐高兴歌金跑跳行走立坐东西南北前后为什么知道会来去回别从向许多几千有没毛角兔禾苗面方圆点正台位用做住变把处这那边里总是着了的节成在进出过到开入捉找放玩活动说话叫声吹问最很每片分告孩子衣干力事送还给让要得眼足皮发巴心新快真全对长吃笑看见想奇书纸笔写字数夜晚早乌时间朋友伴自己答请原完可起带觉跟步石都国热爱城市乡村工厂校商场医作业课本题目301-600字教改及格办级拉推拔排拍投男哥弟父儿童身体脚嘴脸香张夏虹秀亲情岛湖岸桥漂游伙丁所现今午床钟桌杯瓶镜针线伞裙服布群众泪汗直化语文加认等结实根李贝公共近远短深广古两样百万代精汽船司机路列视望闻净忘赶饭猪羊鹅鸡蛋重量速度左右积往专各王主被包座席意外平整齐忙响物洗扫读唱练选猫象蛇虾蚁洞报名比赛争取记收议闭合关战保刀将军队首先常已并些骑领查引划提吓惊怕苦冷疼京华窗户房屋安装建造楼施电影网球照相运举转采管治消值半无肚哪静故弯闪野晨谁黑狗尾猴鼠扁杏苹颗堆巾尺菜豆萝卜迷藏越鲜尘尖灭休诉升旗彩飘落搭景次燕仔细旁艳言梅蛙参熊班拿礼烧砍舍束丽谷尽层壮区巨块站甲娃戏棋琴钢养伸甜院减迟室牵民族妹庆曲优阴图洋抱接错哭狐铅龙601-900字穿暖低更能呢吧您吗呀啦睡怎啊复苏舞冰泉鸣醒雷澡软梳梢耍论趣底颜淋洒滴油邓植龄经息扶栽诗眠居醉烟散评访挤邮局轿钱懂貌愿碗筷夸妙却掉换员音蹈胖喜刚贴墙替拖鞋帮棉晒盖脱躺睛摆帘背另顾病累悄离票朝霞夕蝶蜂碧紫杨凉定棒连仿佛抬聪泼忽然眨如以鹿慢鼻脑袋怪辆久失观围准备双舌页弓秒炒蜻蜓展蝴蚯蚓蝌蚪蜘蛛牧捕蝉惜柔露荷珠摇篮晶停坪透翅膀蹲嘻莲睁趴腰爬非感激急坡割闷喊潮湿搬阵哗壁虎借蚊逃难擦抄拾摔拨拦摸团遇攻互尊令纯挂街熟尝温冻该因季鸦喝渴法渐假缸慌使劲砸破救称官腿柱杆秤倒艘沉止微瘦暗丑闲旧鸥滩舰帆秧稻塘溪竿铜号挖井导革命士解刻念助哨敌荡顺突枪杀害英雄冲部宽捡壳奔密匹祝贺希祖由羽丰勇敢理敬申句兄虚骄傲901-1200字淡诚赢赞招翻浇肥饿挑担狮滚扑咬懒吞靠应餐丢矿糟糕粗概夹盆宣芽规盛丝表煮饼饮饺狼初眉辨斗即雁归寒姑娘蚜盼啄斑俩摘伯而且踢兰梁程波架特砖薄巧稳郊弄断修创梦灰迎姨追顶披鼓甘埋闯掰跌轻蚂谢矮阿勺叉艺内币爪反丹忆计订孔玉功扔仙印册汁汉宁必永寺考死当吸吐肉则乒乓讲农孙戒坏严劳县呆困吵兵乱邻龟良识词努驴茄卧枣卖轮叔齿味典败钓乖侄斧饱闹炉宝肩衬姓组挡指茶荣药枯柿咸厘省胃贵思骂哈峡骨钥匙科便须剑独奖类爆炸炮洁派洲客神诵骆驼蚕盐壶恐桔唇套柴党晓晃峰豹胸脏鸵桨留瓷旅阅粉拳烛酒浮浪朗扇菌葡萄菊菇雀梨笛第舶盒鸽脖够猎猜麻粒剪兽渔寄弹超棍棒厨港富裤粥磁酸蜡蕉醋箱箭鲨操鹦鹉鲸糖瞧蟋蟀繁鳄鞭警察螃蟹瀑器蔬横竖钩撇沪教版一年级上册小学生我高校老师语文们上玩读书写字问会儿说你来答快乐唱歌游戏日月水火明答尖有看天白个不回三四五六七采草地伯出衣一打电正东方下雨桃花山石田土面在哭哥口手茶杯吐奇真飞机数毛的少气马狗做是几只子吃皮鸟树林为条鱼中羊果娃心青娃木禾米竹南要好又开把样站起球画拍早令排公队春夏秋冬雪笑叫当后亮晶丁听河清才家乡吹没重谁了去千万别刀弓车舟海用浪云纸铅笔乌鸦爱妈虫可忘记星沙他怎么晚画黄江架什夜前进课松红圆这也西都年时分秒船弯两头见闪蓝阳节风古人景色太平姑娘送信落叶给女宝国庆安门广场如美父母兄弟姐妹比尾巴长短伞鸭鸡荷绿躺台放声朋友还到很名想本领知识永北路过对办法让欢迎钓带边捉空着急意坐立走跑沪教版一年级下册哪枝柳脸醒换新豆香灯流潮金光情自禁片像丽图岸座坡种农民植觉得和就点喝服轻世界拳愿已经于每被眼目倒处找淡发所静交织今鸣士孩抱朵彩团层霜背冰兴聪井观沿累那弄错无相然言以仔细察现道泳秒习矮园伸举步低牛各己悄泼竿夸奖劳凉阴寄住热极希望块收退扫象造谷往网勺川向浇烧晓丰足食富变张双午耳陈李孙关表顶包干盒颗棵句反词坏薄闲闹暗脑部首旁喜鸽鹅晴映近瓜甜芽穿紫熊猫响请讲束争再次完她兔灰拿翻运饿些挑担怪底洞肉候直亲作羽刚晨身丝庄它散睡害教摇全理爬跟招鼓原池袋腿摆连忙追晴披碧跳练刻苦另晒功慢王将应该镜使冲扑吓伙伴告诉先钟盆牵床呼号升舞饭哈黑房桌椅冒求力拉动弹群男接化漂成帮柔窗户牙从岁死密布亭玉滴莹滚能卖而沉救命失珍贵够兵击敌深挡备军久渔夫根结间许入治行严紧因事劲更。
悟空识字1-300(带拼音)-可打印云yún日rì月yuè山shān水shuǐ田tián收集于网络,如有侵权请联系管理员删除虫chóng牛niú鸟niǎo 鱼yú马mǎ鸭yā收集于网络,如有侵权请联系管理员删除一yī二èr三sān 四sì五wǔ十shí收集于网络,如有侵权请联系管理员删除上shàng下xià大dà小xiǎo少shǎo中zhōng收集于网络,如有侵权请联系管理员删除人rén耳ěr牙yá口kǒu手shǒu女nǚ收集于网络,如有侵权请联系管理员删除六liù七qī八bā九jiǔ不bù各gè收集于网络,如有侵权请联系管理员删除红hóng灯dēng妈mā白bái车chē门mén收集于网络,如有侵权请联系管理员删除画huà听tīng飞fēi 种zhǒng打dǎ好hǎo收集于网络,如有侵权请联系管理员删除江jiāng花huā叶yè沙shā草cǎo木mù收集于网络,如有侵权请联系管理员删除头tóu只zhī朵duǒ棵kē条tiáo火huǒ天tiān空kōng世shì界jiè土tǔ地dì你nǐ我wǒ他tā她tā它tā们men气qì候hòu风fēng 晴qíng雨yǔ雪xuě蓝lán黄huáng绿lǜ色sè青qīng美měi光guāng亮liàng明míng 太tài星xīng阳yáng爷yé奶nǎi爸bà姐jiě家jiā母mǔ树shù果guǒ瓜guā枝zhī米mǐ生shēng松sōng竹zhú柳liǔ桃táo森sēn林lín春chūn秋qiū冬dōng 年nián岁suì像xiàng同tóng学xué老lǎo 师shī习xí园yuán又yòu和hé也yě再zài就jiù才cái河hé海hǎi流liú清qīng池chí满mǎn欢huān乐lè高gāo 兴xìng歌gē金jīn跑pǎo跳tiào行háng 走zǒu立lì坐zuò东dōng西xī南nán 北běi前qián后hòu为wéi什shén么me 知zhī道dào会huì来lái去qù回huí别bié从cóng向xiàng许xǔ多duō几jǐ千q iān有yǒu没méi毛máo角jiǎo兔tù禾hé苗miáo面miàn方fāng圆yuán点diǎn 正zhèng台tái位wèi用yòng做zuò住zhù变biàn把bǎ处chù这zhè那nà边biān 里lǐ总zǒng是shì着zhe了le的de 节jié成chéng在zài进jìn出c hū过guò到dào开kāi入rù捉zhuō找zhǎo放fàng 玩wán活huó动dòng说shuō话huà叫jiào 声shēng吹chuī问wèn最zuì很hěn每měi 片piàn分fēn告gào孩hái子zǐ衣yī干gàn力lì事shì送sòng还hái给gěi 让ràng要yào得dé眼yǎn足zú皮pí发fā巴bā心xīn新xīn快kuài真zhēn 全对duì长cháng吃chī笑xiào看kàn 见jiàn想xiǎn g奇qí书shū纸zhǐ笔bǐ写xiě字zì数shù夜yè晚wǎn早zǎo 乌wū时shí间jiān朋péng友yǒu伴bàn 自zì已yǐ答dá请qǐng原yuán完wán 可kě起qǐ带dài觉jiào跟gēn步bù石shí都dōu国guó热rè爱ài城chéng 市shì乡xiāng村cūn工gōng厂chǎng校xiào 商shāng场chǎng医yī。