日语动词一览表
- 格式:xls
- 大小:272.50 KB
- 文档页数:22
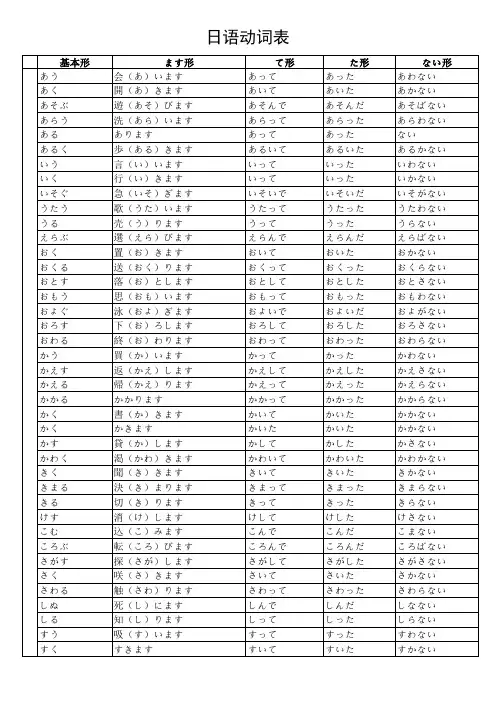
名称 ます形“学校文法”中的名称 连用形+助动词“ます”用法 一类动词将“基本形”最后的一个“う段”音变为相应 的“い段”加“ます” 。
二类动词将“基本形”去掉“る” 加“ます” 。
三类动词将“くる”变成“き”加“ます” , 将“する”变成“し”加“ます” 。
动词 “ます形” 去掉 “ます” 后加 “て” 一类动词 “き” , ——“いて” “ぎ”——“いで” “び、み、に” ——“んで” “ち、り、い”——“って” “し” ——“して” 二类动词、三类动词“ます形”去掉“ま 。
す”后直接加“て” 。
一类动词“ます形”去掉“ます”后的最后一个音变成 相应的“あ段”音,后加“ない” 最后一个音为“い” 。
时,把“い”变成“わ”后加“ない” 。
二类动词“ま す形”去掉“ます” 后加“ない” 。
三类动词把“きま す”变成“こない” ,把“します”变成“しない” 。
一类动词“ます形”去掉“ます”将最后一个“い段” 音变为相应的“あ段”音。
二类动词“ます形”去掉“ま す”加“る” 。
三类动词“ます形”去掉“ます”后则为 “き”和“し”将其变为“くる”和“する” 。
同“て形”变化,只要把“て”换成“た” ,把“で” 换成“だ” 。
一类动词把“基本形”的最后一个音变成相应的“え段” 音。
二类动词把“基本形”的“る”变成“ろ” 。
三类 动词把“くる”变成“こい” ,把“する”变成“しろ” 。
一类动词把“基本形”的最后一个音变成相应的“お段” 音的长音。
二类动词把“基本形”的“る”变成“よう” 。
三类动词把“くる”变成“こよう” ,把“する”变成 “しよう” 。
一类动词把“基本形”的最后一个音变成相应的“え段” 音再加“ば” 。
二类动词把“基本形”的“る”变成“れ ば” 。
三类动词把“くる”变成“これば” ,把“する” 变成“すれば” 。
一类动词把“基本形”的最后一个音变成相应的“え段” 音再加“る” 。
动词(5段简体)ある【动1】有,在(非意志者)いる【动2】有,在(具意志者)やすむ(休む)【动1】休息はたらく(働く)【动1】工作はじまる(始まる)【动1】开始おわる(終わる)【动1】结束おきます(起きます)【动2】起床ねます(寝ます)【动2】睡觉べんきょうする(勉強します)【动3】学习いく(行く)【动1】去かえる(帰る)【动1】回来,回去くる(来る)【动3】来のむ(飲む)【动1】喝かう(買う)【动1】买とる(撮る)【动1】拍照,拍摄かく(書く)【动1】写よむ(読む)【动1】读きく(聞く)【动1】听たべます(食べます)【动2】吃みます(見ます)【动2】看する【动3】干,做そうじする(掃除する)【动3】打扫,扫除~7もらう【动1】拿到,得到あう(会う)【动1】见おくる(送る)【动1】寄(送)つくる(作る)【动1】做,制造ふとる(太る)【动1】胖だす(出す)【动1】寄(信)とどく(届く)【动1】收到,送到寄到かく【动1】画かす(貸す)【动1】借出,借给ならう(習う)【动1】学习あげます【动2】给かけます(書けます)【动2】打(电话)かります(借ります)【动2】(向别人)借おしえます(教えます)【动2】教わかる(分かる)【动1】懂,明白まよう(迷う)【动1】犹豫,难以决定できます【动2】会,能,完成しめます(閉めます)【动2】关闭,关门つかれます(疲れます)【动2】疲倦,疲惫さんぽする(散歩する)【动3】散步ふる(降る)【动1】下,降(雨;雪)~12かかる【动1】花费(时间,金钱)さく(咲く)【动1】花开およぐ(泳ぐ)【动1】游泳あそぶ(遊ぶ)【动1】玩,玩耍すう(吸う)【动1】吸(烟)きる(切る)【动1】剪,切,割とおる(通る)【动1】通过,经过いそぐ(急ぐ)【动1】急,匆忙とぶ(飛ぶ)【动1】飞,飞行しぬ(死ぬ)【动1】死,死亡まつ(待つ)【动1】等待,等候うる(売る)【动1】卖,销售はなす(話す)【动1】说,说话わたる(渡る)【动1】过(桥,河)穿过(马路)おろす(下す)【动1】取,卸货えらぶ(選ぶ)【动1】挑选,选择けす(消す)【动1】关(灯),消除,去除あるく(歩く)【动1】步行,行走まがる(曲がる)【动1】拐弯,曲折あらう(洗う)【动1】洗,洗涤でます(出ます)【动2】离开でかけます(出かけます)【动2】外出,出门あけます(開けます)【动2】开,打开,开启すぎます(過ぎます)【动2】过みせます(見せます)【动2】给~看,出示つきます【动2】开(灯)おります(降ります)【动2】下(车,山) かいものする(買い物する)【动3】买东西そつぎょうする(卒業する)【动3】毕业しょくじする(食事する)【动3】吃饭,用餐せいりする(整理する)【动3】整理コピーする【动3】复印のる(乗る)【动1】乘坐,乘つかう(使う)【动1】用,使用すわる(座る)【动1】坐,落坐はいる(入る)【动1】加入,进入もうす(申す)【动1】是,说,讲,告诉とる【动1】取,取得うたう(歌う)【动1】唱,唱歌つたえます(伝えます)【动2】说,传达,转告とめます(止めます)【动2】停,停止もつ(持つ)【动1】有,拥有,特有すむ(住む)【动1】住,居住しる(知る)【动1】认识,知道,了解なおす(直す)【动1】改,修改,改正かたづけます(片づけます)【动2】收拾,整理れんしゅうします(練習します)【动3】练习けっこんする(結婚する)【动3】结婚あんしんする(安心する)【动3】安心,放心~16はじめます(始めます)【动2】开始れんらくする(連絡する)【动3】联系なる【动1】变,当,变成,成为あく(開く)【动1】开にあう(似合う)【动1】适合,相称さわる(触る)【动1】碰,触ぬぐ(脱ぐ)【动1】脱ころぶ転ぶ)【动1】摔,摔倒,跌倒かわく(渇く)【动1】渴すべる(滑る)【动1】滑,滑行よぶ(呼ぶ)【动1】呼喊かえす(返す)【动1】归还てつだう(手伝う)【动1】帮忙はこぶ(運ぶ)【动1】搬运なくす【动1】丢,丢失おとす(落とす)【动1】掉,使落下おく(置く)【动1】放置はらう(払う)【动1】支付たつ(立つ)【动1】站,立わすれます(忘れます)【动2】忘记あわてます(慌てます)【动2】慌张,惊慌,着急すてます(捨てます)【动2】扔掉,扔ざんぎょうする(残業する)【动3】加班しんぱいする(心配する)【动3】担心ひく(弾く)【动1】弹すく【动1】(肚子)饿,空のぼる(登る)【动1】登,上あつめます(集めます)【动2】收集あびます(浴びます)【动2】淋,浇ごちそうする【动3】请客,摆盛宴きこくする(帰国する)【动3】回国わたす(渡す)【动1】交给おくれます(遅れます)【动2】迟到かんがえます(考えます)【动2】考虑しらべます(調べます)【动2】调查きます(着ます)【动2】穿よやくする(予約する)【动3】预约かんしゃする(感謝する)【动3】感谢うんどうする(運動する)【动3】运动せんたくする(洗濯する)【动3】洗,洗涤ほうこくする(報告する)【动3】报告やる【动1】做ちがう(違う)【动1】不同,不一样こむ(込む)【动1】拥挤,混杂きまる(決まる)【动1】定,决定しらせます(知らせます)【动2】告诉たしかめます(確かめます)【动2】查看,弄清おもう(思う)【动1】想,思考いう(言う)【动1】说,讲さがす(探す)【动1】找,寻找,寻求わらう(笑う)【动1】笑やめます【动2】戒,停止,放弃きめます(決めます)【动2】决定ねぼうする(寝坊する)【动3】睡懒觉がいしゅつする(外出する)【动3】外出,出去けんきゅうする(研究する)【动3】研究~24动词二(5段简体)とまる(泊まる)【动1】住,过夜,住宿むすぶ(結ぶ)【动1】连接,系とる(取る)【动1】印,记下うまれま(生まれます)【动2】出生,诞生とうさんする(倒産する)【动3】倒闭,破产じゅうたいする(渋滞する)【动3】堵车,停滞チェックする【动3】确认ふせぐ(ふせぐ)【动1】防御,防守まわる(回る)【动1】走访,转,绕弯はしる(走る)【动1】跑,奔跑ふく(吹く)【动1】吹あげます(挙げます)【动2】举,举起たります(足ります)【动2】足,够スケッチする【动3】素描,写生はつげんする(発言する)【动3】发言ゆうしょうする(優勝する)【动3】得冠军ごうかくする(合格する)【动3】及格,合格やくそくする(約束する)【动3】约定かよう(通う)【动1】上学,来往あつまる(集まる)【动1】聚,集合おどる(踊る)【动1】跳舞いる(要る)【动1】要こまる(困る)【动1】为难,难办たたく【动1】拍,敲,打いれます(入れます)【动2】放入,放进かんびょうする(看病する)【动3】护理けんかする【动3】吵架,打架りようする(利用する)【动3】利用そうだんする(相談する)【动3】商谈ひろう(拾う)【动1】捡,拾やくす(訳す)【动1】翻译くれます【动2】给とどけます(届けます)【动2】送到,送去あんないする(案内する)【动3】向导,导游こうかんする(交換する)【动3】换,交换しょうかいする(紹介する)【动3】介绍~28とまる(止まる)【动1】停,停住かわる(変わる)【动1】变,转变がんばる(頑張る)【动1】拼命努力あやまる(謝る)【动1】道歉サボる【动1】逃学,怠工やぶる(破る)【动1】爽约,打破ひく(引く)【动1】拉,抽まもる(守る)【动1】遵守,保护こたえます(答えます)【动2】回答にげます(逃げます)【动2】逃跑たすけます(助けます)【动2】救助,帮助つけます(付けます)【动2】添加,附加おぼえます(覚えます)【动2】记住,掌握ていしゅつする(提出する)【动3】提交,提出えんりょする(遠慮する)【动3】客气シュートする【动3】(足球)射门,投篮ちゅういする(注意する)【动3】注意そろう【动1】到齐,齐全よる(寄る)【动1】顺便去,靠近ひらく(開く)【动1】开,开张ひっこす(引っ越す)【动1】搬迁,搬家むかえます(迎えます)【动2】迎接こわれます(壊れます)【动2】出故障,坏まちがえます(間違えます)【动2】搞错しゅっぱつする(出発する)【动3】出发てんしょくする(転職する)【动3】换工作パンクする【动3】轮胎爆裂,撑破おす(押す)【动1】按,推,挤つく【动1】灯亮,灯开さがる(下がる)【动1】下降,降低おこる(怒る)【动1】生气まわす(回す)【动1】转,传送,传递うごく(動く)【动1】运转,转动いきます(生きます)【动2】活,生存おります(下ります)【动2】下,下来フリーズする【动3】死机こしょうする(故障する)【动3】故障おこなう(行う)【动1】开,举行あがる(上がる)【动1】提高,涨のりかえます(乗り換えます)【动2】换乘やめます(辞めます)【动2】辞去りゅうがくする(留学する)【动3】留学にゅうがくする(入学する)【动3】入学りゅうこうする(流行する)【动3】流行にゅういんする(入院する)【动3】住院おじゃまする(お邪魔する)【动3】打扰,拜访たんとうする(担当する)【动3】承担~32しまる(閉まる)【动1】关,关闭こわす(壊す)【动1】弄坏わる(割る)【动1】割开,打破,打坏つく(付く)【动1】附带,附加かかる(掛かる)【动1】挂,悬挂よごす(汚す)【动1】弄脏やむ【动1】停,停息,停止たつ(建つ)【动1】盖,建ならぶ(並ぶ)【动1】排队,排,列队つく(着く)【动1】到,到达かぶる【动1】戴はきます【动1】穿(鞋,裤子)かう(飼う)【动1】饲养きえます(消えます)【动2】熄灭,消失かけます(掛けます)【动2】挂おちます(落ちます)【动2】落下,掉われます(割れます)【动2】裂开,破裂たてます(建てます)【动2】盖,建造まけます(負けます)【动2】输,败よごれます(汚れます)【动2】脏やく(焼く)【动1】考,烧,烧毁かせぐ(稼ぐ)【动1】挣钱,赚钱のこる(残る)【动1】剩余,剩下つつむ(包む)【动1】卷,包裹たのむ(頼む)【动1】点(菜),请求,托付はる【动1】粘,贴かざる(飾る)【动1】装饰しまう【动1】收藏起来,放到··里面あう(合う)【动1】合适,适合もどす(戻す)【动1】放回,返还,返回ためます【动2】积攒,储存ならべます(並べます)【动2】排列あずけます(預けます)【动2】寄存,托付つづけます(続けます)【动2】继续,持续やせます【动2】瘦ほうもんする(訪問する)【动3】拜访,访问ちょきんする(貯金する)【动3】存钱,储蓄かんげいする(歓迎する)【动3】欢迎よういする(用意する)【动3】准备きく(効く)【动1】有效,起效いわう(祝う)【动1】祝贺あたる(当たる)【动1】中(彩),抽中あく(空く)【动1】空,有空くさる(腐る)【动1】腐烂,腐败みつけます(見つけます)【动2】找到,发现,看见はれます(晴れます)【动2】晴朗,天晴たずねます(訪ねます)【动2】访问,拜访たいざいする(滞在する)【动3】停留,留置きゅうけいする(休憩する)【动3】休息さんかする(参加する)【动3】参加かんぱいする(乾板する)【动3】干杯もちあるく(持ち歩く)【动1】携带,拿着走くりかえす(繰り返す)【动1】反复さわぐ(騒ぐ)【动1】吵嚷,吵闹まにあう(間に合う)【动1】来得及,赶得上なく(鳴く)【动1】叫,鸣,蹄ねむる(眠る)【动1】睡觉なる(鳴る)【动1】鸣响,响起よろこぶ(喜ぶ)【动1】喜悦,高兴やくだつ(役立つ)【动1】有用,有益やとう(雇う)【动1】雇佣なく(泣く)【动1】哭,哭泣ふる(振る)【动1】挥动,摆动みえます(見えます)【动2】看到,看的见きこえます(聞こえます)【动2】听到,听得见つうじます(通じます)【动2】通过,相通あげます(揚げます)【动2】放(风筝),扬起なれま(慣れます)【动2】习惯ぬれます【动2】淋湿,打湿やけます(焼けます)【动2】着火,燃烧さげます(下げます)【动2】降低,下降しっぱいする(失敗する)【动3】失败くろうする(苦労する)【动3】辛苦,辛劳びっくりする【动3】吃惊,吓一跳しゅっせきする(出席する)【动3】出席~36 こえます(超えます)【动2】超过しゅつじょうする(出場する)【动3】参加,出场つまみぐいする(つまみ食いする)【动3】偷吃かんさんする(換算する)【动3】换算ふくしゅうする(復習する)【动3】复习せいこうする(成功する)【动3】成功いりくむ(入り組む)【动1】错综复杂へる(減る)【动1】减少うごかす(動かす)【动1】开动,移动,摇动かつ(勝つ)【动1】取胜,获胜とおりぬけます(通り抜けます)【动2】走得出去,穿过,通过かんじます(感じます)【动2】感觉,觉得とりかえます(取り替えます)【动2】更换,交换てつやする(徹夜する)【动3】熬通宵,彻夜やけどする(火傷する)【动3】烫伤,烧伤みわたす(見渡す)【动1】眺望,远眺つづく(続く)【动1】继续,持续なくなる【动1】完,丢失そだつ(育つ)【动1】生长,成长ふえます(増えます)【动2】增加,增多つれます(連れます)【动2】带,领けっせきする(欠席する)【动3】缺席ゆにゅうする(輸入する)【动3】进口,输入むかう(向かう)【动1】往~去そろえます【动2】备齐,凑齐,使一致もれます(漏れます)【动2】漏,泄露まとめます【动2】汇集,总结,整理かいつうする(開通する)【动3】开通かいちくする(改築する)【动3】改建かんせいする(完成する)【动3】完成にゅうしゃする(入社する)【动3】入社しかる【动1】训,责备,斥责かむ【动1】嚼,咬さそう(誘う)【动1】邀请,约请まきこむ(巻き込む)【动1】卷入,卷进いたる(至る)【动1】到达,达到みつかる(見つかる)【动1】找到,发现ふむ(踏む)【动1】踩,踏はかる(図る)【动1】谋求,考虑みこむ(見込む)【动1】预料,估计ぬすむ(盗む)【动1】盗取,偷盗おこす(起こす)【动1】叫醒,唤醒ほめます【动2】表扬,赞扬もとめます(求めます)【动2】要求,追求,寻求いじめます【动2】欺负,折磨,欺辱ぶつけます【动2】碰上,撞上,扔,投,掷はっけんする(発見する)【动3】发现じしょくする(辞職する)【动3】辞职そうりつする(創立する)【动3】成立,创立いらいする(依頼する)【动3】委托,请求はつばいする(発売する)【动3】上市,发售,出售かいはつする(開発する)【动3】开发せいぞうする(製造する)【动3】生产,制造かんりする(管理する)【动3】管理じつげんする(実現する)【动3】实现せんれんする(洗練する)【动3】精炼,洗练ほうそうする(放送する)【动3】广播,播送せいさんする(生産する)【动3】生产ほんやくする(翻訳する)【动3】翻译,笔译はつめいする(発明する)【动3】发明あずかる(預かる)【动1】保管,收存きづく(気づく)【动1】发觉,发现ひやす(冷やす)【动1】冰镇,冷却おもいだす(思い出す)【动1】想起,想出つげます(告げます)【动2】说,告诉ひえます(冷えます)【动2】变冷,感觉凉しんじます(信じます)【动2】信任,相信おれます(折れます)【动2】折,断,拐弯しゅっきん(出勤する)【动3】上班,出勤セットする【动3】设定,设置けんとう(検討する)【动3】讨论ひっぱる(引っ張る)【动1】拉,拽うかぶ(浮かぶ)【动1】想起,浮,浮现ととのうう(整う)【动1】齐备,完备かわく(乾く)【动1】干,干燥くらす(暮らす)【动1】生活さけます(避けます)【动2】回避,避免うれます(売れます)【动2】好卖,畅销うけます(受けます)【动2】感受,受到あたためます(温めます)【动2】热,温りかいする(理解する)【动3】理解ていあん(提案する)【动3】建议,提案しさく(試作する)【动3】试做,试制けいけん(経験する)【动3】经验,经历あんき(暗記する)【动3】熟记,背诵そうたいする(早退する)【动3】早退きゅうしょく(休職する)【动3】(暂时),停职ひろがる(広がる)【动1】蔓延,扩宽もどる(戻る)【动1】返回,回到おどろく(驚く)【动1】惊讶,吃惊しゃれます【动2】别致,风趣,打扮的漂亮じっかんする(実感する)【动3】切实感受,真切感受~44すすむ(進む)【动1】加重,前进みがく(磨く)【动1】刷,擦くもる(曇る)【动1】天阴にます(似ます)【动2】像,相似ライトアップする【动3】景观照明ふきゅうする(普及する)【动3】普及あまやどりする(雨宿りする)【动3】避雨すむ(済む)【动1】结束,完了つもる(積もる)【动1】堆积,积攒すごす(過ごす)【动1】度过,生活ほほえむ【动1】微笑のばす(延ばす)【动1】延长すませます(済ませます)【动2】搞完,办完かれます(枯れます)【动2】枯萎,干燥はっそうする(発送する)【动3】发送,寄送きんちょうする(緊張する)【动3】紧张めしあがります(召し上がります)【动1】(尊他)吃,喝ごらんになります(ご覧になります)【动1】(尊他)看,读おっしゃいます【动1】(尊他)说,讲いらっしゃいます【动1】(尊他)去,来,在おいでになります【动1】(尊他)去,来,在なさいます【动1】(尊他)做,干くださいます【动1】(尊他)给チェックインする【动3】办理入住手续ちょっこう(直行する)【动3】直接去,直达うかがいます(伺います)【动1】(自谦)去,来,问,拜访,请教いたします【动1】(自谦)做,干まいります(参ります)【动1】(自谦)来,去いただきます【动1】(自谦)吃,喝,得到おります【动1】在ございます【动1】在,有,是さしあげます(差し上げます)【动2】(自谦)给ぞんじています(存じています)【动2】(自谦)知道すすめます(進めます)【动2】推进,使前进はいけんします(拝見します)【动3】(自谦)看しょうちします(承知します)【动3】知道きたいする(期待する)【动3】希望,期待せわする(世話する)【动3】帮助,照顾~48。
やすみます(休みます)〔动1〕休息はたらきます(働きます)〔动1〕工作はじまります(始まります)〔动1〕开始おわります(終わります)〔动1〕结束おきます(起きます)〔动2〕起床ねます(寝ます)〔动2〕睡觉べんきょうします(勉強~)〔动3〕学习——————————————5いきます(行きます)〔动1〕去かえります(帰ります)〔动1〕回来,回去きます(来ます)〔动3〕来——————————————6のみます(飲みます)〔动1〕喝かいます(買います)〔动1〕买とります(撮ります)〔动1〕拍照,拍摄かきます(書きます)〔动1〕写よみます(読みます)〔动1〕读ききます(聞きます)〔动1〕听たべます(食べます)〔动2〕吃みます(見ます)〔动2〕看します〔动3〕干,做そうじします(掃除~)〔动3〕打扫,扫除————————————————7もらいます〔动1〕拿到,得到あいます(会います)〔动1〕见おくります(送ります)〔动1〕寄つくります(作ります)〔动1〕做,制造ふとります(太ります)〔动1〕胖だします(出します)〔动1〕寄(信)とどきます(届きます)〔动1〕收到,送到,寄到かきます〔动1〕画かします(貸します)〔动1〕借出,借给ならいます(習います)〔动1〕学习あげます〔动2〕给かけます〔动2〕打(电话)かります(借ります)〔动2〕(向别人)借おしえます(教えます)〔动2〕教——————————————8かかります〔动1〕花费(时间,金钱)さきます(咲きます)〔动1〕花开およぎます(泳ぎます)〔动1〕游泳あそびます(遊びます)〔动1〕玩,玩耍すいます(吸います)〔动1〕吸(烟)きります(切ります)〔动1〕剪,切,割——————————————12とおります(通ります)〔动1〕通过,经过いそぎます(急ぎます)〔动1〕急,急忙とびます(飛びます)〔动1〕飞,飞行しにます(死にます)〔动1〕死,死亡まちます(待ちます)〔动1〕等待,等候うります(売ります)〔动1〕卖,销售はなします(話します)〔动1〕说话,说わたります(渡ります)〔动1〕过(桥,河),穿过(马路)おろします(下ろします)〔动1〕取,卸货えらびます(選びます)〔动1〕挑选,选择けします(消します)〔动1〕关(灯),消除,去除あるきます(歩きます)〔动1〕步行,行走まがります(曲がります)〔动1〕拐弯,曲折あらいます(洗います)〔动1〕洗,洗涤でます(出ます)〔动2〕离开でかけます(出かけます)〔动2〕外出,出门あけます(開けます)〔动2〕开,打开,开启すぎます(過ぎます)〔动2〕过みせます(見せます)〔动2〕给~看;出示つけます〔动2〕开(灯)おります(降ります)〔动2〕下(车,山)かいものします(買い物~)〔动3〕买东西そつぎょうします(卒業~)〔动3〕毕业しょくじします(食事~)〔动3〕吃饭,用餐せいりします(整理~)〔动3〕整理コピーします〔动3〕复印————————————————14のります(乗ります)〔动1〕乘坐,乘つかいます(使います)〔动1〕用,使用すわります(座ります)〔动1〕坐,落座はいります(入ります)〔动1〕进入,加入もうします(申します)〔动1〕是,说,讲,告诉とります〔动1〕取,取得うたいます(歌います)〔动1〕唱,歌唱つたえます(伝えます)〔动2〕说,传达,とめます(止めます)〔动2〕停,制止——————————————15もちます(持ちます)〔动1〕有,拥有,持有すみます(住みます)〔动1〕住,居住しります(知ります)〔动1〕认识,知道,了解なおします(直します)〔动1〕改,修改,改正かたづけます(片づけます)〔动2〕收拾,整理れんしゅうします(練習~)〔动3〕练习けっこんします(結婚~)〔动3〕结婚あんしんします(安心~)〔动3〕安心,放心——————————————————16はじめます(始めます)〔动2〕开始れんらくしあす(連絡~)〔动3〕联系————————————17なります〔动1〕变,当,变成,成为あきます(開きます)〔动1〕开にあいます(似合います)〔动1〕适合,相称——————————————18さわります(触ります)〔动1〕碰,触ぬぎます(脱ぎます)〔动1〕脱ころびます(転びます)〔动1〕摔,摔倒,跌倒かわきます(渇きます)〔动1〕渴なおります(治ります)〔动1〕痊愈,医好すべります(滑ります)〔动1〕滑,滑行よびます(呼びます)〔动1〕呼喊かえします(返します)〔动1〕归还てつだいます(手伝います)〔动1〕帮忙はこびます(運びます)〔动1〕搬运なくします〔动1〕丢,丢失おとします(落とします)〔动1〕掉,使落下おきます(置きます)〔动1〕放置はらいます(払います)〔动1〕支付たちます(立ちます)〔动1〕站,立わすれます(忘れます)〔动2〕忘记あわてます(慌てます)〔动2〕慌张,惊慌,着急すてます(捨てます)〔动2〕扔,扔掉ざんぎょうします(残業~)〔动2〕加班しんぱいします(心配~)〔动3〕担心——————————————————-19ひきます(弾きます)〔动1〕弹すきます〔动1〕(肚子)饿,空のぼります(登ります)〔动1〕登,上あつめます(集めます)〔动2〕收集あびます(浴びます)〔动2〕淋;浇ごちそうします〔动3〕请客,摆盛宴きこくします(帰国~)〔动3〕回国——————————————————20わたします(渡します)〔动1〕交给おくれます(遅れます)〔动2〕迟到かんがえます(考えます)〔动2〕考虑しらべます(調べます)〔动2〕调查きます(着ます)〔动2〕穿よやくします(予約~)〔动3〕预约かんしゃします(感謝~)〔动3〕感谢うんどうします(運動~)〔动3〕运动せんたくします(洗濯~)〔动3〕洗涤,洗ほうこくします(報告~)〔动3〕报告—————————————————21ちがいます(違います)〔动1〕不同,不一样こみます(込みます)〔动1〕拥挤,混杂きまります(決まります)〔动1〕定,决定しらせます(知らせます)〔动2〕告诉たしかめます(確かめます)〔动2〕查(看),弄清__________23おもいます(思います)〔动1〕想,思考いいます(言います)〔动1〕说,讲さがします(探します)〔动1〕寻找,寻求わらいます(笑います)〔动1〕笑やめます〔动2〕戒,停止,放弃きめます(決めます)〔动2〕决定ねぼうします(寝坊~)〔动3〕睡懒觉がいしゅつします(外出~)〔动3〕外出,出去けんきゅうします(研究~)〔动3〕研究__________24とまります(泊まります)[动1]住,过夜,住宿むすびます(結びます) [动1]连接,系とります(取ります)[动1]印,记下うまれます(生まれます)[动2]出生,诞生とうさんします(倒産~)[动3]倒闭,破产じゅうたいします(渋滞~)[动3]堵车,停滞チエックします[动3]确认___________25ふせぎます(防ぎます)[动1]防御,防备,防守まわります(回ります)[动1]走访;转;绕弯____26かよいます(通います)[动1]上学,来往あつまります(集まります)[动1]聚,集合おどります(踊ります)[动1]跳舞いります(要ります)[动1]要こまります(困ります)[动1]为难,难办たたきます[动1]拍,敲,打いれます(入れます)[动2]放入,放进かんびょうします(看病~)[动3]护理けんかします[动3]吵架,打架りようします(利用~)[动3]利用そうだんします(そうだん~)[动3]商谈__________27ひろいます(拾います)[动1]捡,拾やくします(訳します)[动1]翻译くれます[动2]给とどけます(届けます)[动2]送到,送去あんないします(案内~)[动3]向导,导游こうかんします(交換~)[动3]换,交换しょうかいします(紹介~)[动3]介绍________________28とまります(止まります)[动1]停,停住かわります(変わります)[动1]变,转变がんばります(頑張ります)[动1]拼命努力あやまります(謝ります)[动1]道歉サボります[动1]逃学,怠工やぶります(破ります)[动1]爽约,打破ひきます(引きます)[动1]拉,抽まもります(守ります)[动1]遵守,保护こたえます(答えます)[动2]回答にげます(逃げます)[动2]逃跑たすけます(助けます)[动2]救助,帮助つけます(付けます)[动2]添加,附加おぼえます(覚えます)[动2]记住,掌握ていしゅつします(提出~)[动3]提交,提出えんりょします(遠慮~)[动3]客气ちゅういします(注意~)[动3]注意シュートします[动3](足球)射门,投篮______29そろいます[动1]到齐,齐全よります(寄ります)[动1]顺便去;靠近ひらきます(開きます)[动1]开,开张むかえます(迎えます)[动2]迎接ひっこします(引っ越します)[动1]搬迁こわれます(壊れます)[动2]出故障,坏まちがえます(間違えます)[动2]搞错しゅっぱつします(出発~)[动3]出发てんしょくします(転職~)[动3]换工作パンクします[动3]轮胎爆裂,撑破________30おします(押します)[动1]按,推,挤つきます[动1]灯亮,灯开さがります(下がります)[动1]下降,降低おこります(怒ります)[动1]生气まわします(回します)[动1]转,传送,传递うごきます(動きます)[动1]运转,转动いきます(生きます)[动2]活,生存おります(下ります)[动2]下,下来フリーズします[动3]死机こしょうします(故障~)[动3]故障_______________31おこないます(行います)[动1]开,举行あがります(上がります)[动1]提高,涨のりかえます(乗り換えます)[动2]换乘やめます(辞めます)[动2]辞去りゅうがくします(留学~)[动3]留学にゅうがくします(入学~)[动3]入学りゅうこうします(流行~)[动3]流行にゅういんします(入院~)[动3]住院おじゃまします(お邪魔~)[动3]打扰,拜访たんとうします(担当~)[动3]承担______________32しまります(閉まります)[动1]关闭,关こわします(壊します)[动1]弄坏わります(割ります)[动1]割开,打破,打坏つきます(付きます)[动1]附带,附加かかります(掛かります)[动1]挂,悬挂よごします(汚します)[动1]弄脏やみます[动1]停,停息,停止たちます(建ちます)[动1]盖,建ならびます(並びます)[动1]排队,排,列队つきます(着きます)[动1]到,到达かぶります[动1]戴はきます[动1]穿(鞋,裤子)かいます(飼います)[动1]饲养きえます(消えます)[动2]熄灭,消失かけます(掛けます)[动2]挂おちます(落ちます)[动2]落下,掉われます(割れます)[动2]裂开,破裂たてます(建てます)[动2]盖,建造まけます(負けます)[动2]输,败よごれます(汚れます)[动2]脏________________33やきます(焼きます)[动1]烤,烧,烧毁かせぎます(稼ぎます) [动1]挣钱,赚钱のこります(残ります) [动1]剩余,剩下つつみます(包みます) [动1]卷,包裹たのみます(頼みます) [动1]点(菜);请求;托付はります[动1]粘,贴かざります(飾ります) [动1]装饰しまいます[动1]收拾起来,放到~里边あいます(合います) [动1]合适,适合もどします(戻します) [动1]放回,返还,返回ためます[动2]积攒,储存ならべます(並べます) [动2]排列あずけます(預けます) [动2]寄存,托付つづけます(続けます) [动2]继续,持续やせます[动2]瘦ほうもんします(訪問~)[动3]拜访,访问ちょきんします(貯金~) [动3]存钱,储蓄かんげいします(歓迎~) [动3]欢迎よういします(用意~) [动3]准备_________________34。
基本形中文ます形て形ない形た 形命令形意志形ば形可能形式被动形式使役形式1会う见面,碰见会いますあってあわないあったあえあおうあえばあえるあわれるあわせる2合う与……一致合いますあってあわないあったーーあえばーーあわせる3上げる(从地处向高处)上,登上がりますあがってあがらないあがったあがれあがろうあがればあがれるあがられるあがらせる4開く开,打开,开着開きますあいてあかないあいたあけーあけばーーー5空く空,闲,无人使用空きますあいてあかないあいたーーあけばーーー6預かる收存,保管,代人保管預かりますあずかってあずからないあずかったあずかれあずかろうあずかればあずかられるあずかられるあずからせる7遊ぶ游玩,玩耍;闲置遊びますあそんであそばないあそんだあそべあそぼうあそべぼあそべるあそばれるあそばせる8当たる碰上;猜中;相当于当たりますあたってあたらないあたったあたれあたろうあたればあたれるあたられるあたらせる9集まる集合,聚集;汇合集まりますあつまってあつまらないあつまったあつまれあるまろうあつまればあつまれるあつまられるあつまらせる10謝る赔礼道歉謝りますあやまってあやまらないあやまったあやまれあやまろうあやまればあやまられるあやまられるあやまらせる11洗う洗,冲洗;调查,查清洗いますあらってあらわないあらったあらえあらおうあらえばあらえるあらわれるあらわせる12ある有ありますあってないあったーーあればーーー13歩く走,步行歩きますあるいてあるかないあるいたあるけあるこうあるけばあるけるあるかれるあるかせる14言う说,讲;叫做,称为言いますいっていわないいったいえいおういえばいえるいわれるいわせる15行く去,走;进行,进展行きますいっていかないいったいけいこういけばいけるいかれるいかせる16急ぐ急忙,赶忙急ぎますいそいでいそがないいそいだいそげいそごういそげばいそげるいそがけるいそがせる17いたす(自谦)做,办;尽力いたしますいたしていたさないいたしたいたせいたそういたせばーーー18いただく领取,领受;(自谦)吃,喝いただきますいただいていただかないいただいたいただけいただこういただけばいただけるーー19至る到;来到至りますいたっていたらないいたったいたけいたろういたればいたれるいたられるいたらせる20いらっしゃる来,去,在いらっしゃいますいらっしゃっていらっしゃらないいらっしゃったいらっしゃいーいらっしゃればーーー21入り組む复杂入り組みますいりくんでいりくまないいりくんだーーいりくめばーーいりくませる22要る要,需要要りますいっていらないいったーーいればーーー23祝う庆祝,祝贺祝いますいわっていわわないいわったいわえいわおういわえばいわえるいわわれるいわわせる24伺う问,打听伺いますうかがってうかがわないうかがったうかがえうかがおううかがえばうかがえるーうかがわせる25浮かぶ漂,浮,浮现,想起浮かびますうかんでうかばないうかんだうかべーうかべばうかべられるうかべれるうかばせる26動かす动摇,移动;感动動かしますうごかしてうごかさないうごかしたうごかせうごかそううごかせばうごかせるうごかされるうごかさせる27動く动,移动,转移動きますうごいてうごかないうごいたうごけうごこううごけばうごけるうごかれるうごかせる28歌う唱歌歌いますうたってうたわないうたったうたえうたおううたえばうたえるうたわれるうたわせる29売る卖,出售売りますうってうらないうったうれうろううればうれるうられるうらせる30選ぶ选,挑选,选择選びますえらんでえらばないえらんだえらべえらぼうえらべばえらべるえらばれるえらばせる31おいでになるおいでになりますおいでになっておいでにならないおいでになったーーおいでになればおいでになれるおいでになられるー32置く放置,设置置きますおいておかないおいたおけおこうおけばおけるおかれるおかせる33送る寄,送;送行送りますおくっておくらないおくったおくれおくろうおくればおくれるおくられるおくらせる34起こす叫醒,唤醒;使发生起こしますおこしておこさないおこしたおこせおこおうおこせばおこせるおこされるおこさせる35行い做,进行,举行行いますおこなっておこなわないおこなったおこなえおこなおうおこなえばおこなえるおこなわれるおこなわせる36怒る发怒,生气怒りますおこっておこらないおこったおこれおころうおこればおこれるおこられるおこらせる37押す推,挤;压,按押しますおしておさないおしたおせおそうおせばおせるおされるおさせる38おっしゃる说,叫,称おっしゃいますおっしゃっておっしゃらないおっしゃったーーおっしゃればーおっしゃられるー基本形中文ます形て形ない形た 形命令形意志形ば形可能形式被动形式使役形式1落とす丢失,失落;降低,减低落としますおとしておとさないおとしたおとせおとそうおとせばおとせるおとされるおとさせる2踊る跳舞踊りますおどっておどらないおどったおどれおどろうおどればおどれるおどられるおどらせる3驚く吃惊,惊讶驚きますおどろいておどろかないおどろいたおどろけおどろこうおどろけばおどろけるおどろかけるおどろかせる4思い出す想起,相出思い出しますおもいだしておもいださないおもいだしたおもいだせおもいだそうおもいだせばおもいだせるおもいだされるおもいださせる5思う想,认为,以为思いますおもっておもわないおもったおもえおもおうおもえばおもえるおもわれるおもわせる6泳ぐ游泳泳ぎますおよいでおよかないおよいだおよげおよごうおよげばおよげるおよがれるおよがせる7おる折断,弄断;(自谦)有,在おりますおってーおったーーーーーー8下ろす拿下,取下下ろしますおろしておろさないおろしたおろせおろそうおろせばおろせるおろされるおろさせる9終わる结束,终了終わりますおわっておわらないおわったおわれおわろうおわればおわれるおわられるおわらせる10買う买,购买買いますかってかわないかったかえかおうかえばかえるかわれるかわせる11飼う养,饲养飼いますかってかわないかったかえかおうかえばかえるかわれるかわせる12返す还,归还;翻过来返しますかえしてかえさないかえしたかえせかえそうかえせばかえせるかえされるかえさせる13帰る回来,回去帰りますかえってかえらないかえったかえれかえろうかえればかえれるかえられるかえらせる14かかる花费,需要;挂着,悬着かかりますかかってかからないかかったかかれかかろうかかればかかれるかかられるかからせる15掛かる覆盖在…上掛かりますかかってかからないかかったかかれかかろうかかればかかれるかかられるかからせる16書く写書きますかいてかかないかいたかけかこうかけばかけるかかれるかかせる一类动词17かく缺乏,缺少かきますかいてかかないかいたかけかこうかけばかけるかかれるかかせる18飾る装饰,装修飾りますかざってかざらないかざったかざれかざろうかざればかざれるかざられるかざらせる19貸す借出,出租貸しますかしてかさないかしたかせかそうかせばかせるかされるかさせる20稼ぐ赚钱;赢得,取得稼ぎますかせいでかせがないかせいだかせげかせごうかせげばかせげるかせがれるかせがせる21勝つ赢,获胜,战胜勝ちますかってかたないかったかてかとうかてばかてるかたれるかたせる22かぶる戴,蒙,盖かぶりますかぶってかぶらないかぶったかぶれかぶろうかぶればかぶれるかぶられるかぶらせる23かむ咬,咀嚼かみますかんでかまないかんだかめかもうかめばかめるかまれるかませる24通う来往,往返;相同,流通通いますかよってかよわないかよったかよえかよおうかよえばかよえるかよわれるかよわせる25渇く渴渇きますかわいてかわかないかわいたーーかわけばーーー26乾く干,干燥乾きますかわいてかわかないかわいたかわけーかわけばーーー27変わる变化,改变;特殊変わりますかわってかわらないかわったかわれかわろうかわればかわれるかわられるかわらせる28頑張る继续努力;坚持,顽固頑張りますがんばってがんばらないがんばったがんばれがんばろうがんばればがんばれるがんばられるがんばらせる29聞く听,问,打听聞きますきいてきかないきいたきけきこうきけばきけるきかれるきかせる30効く有效,生效効きますきいてかかないきいたーーきけばーーー31気づく注意到,发觉,意识到気づきますきづいてきづかないきづいたきづけきづこうきづけばきづけるきづかれるきづかせる32決まる规定,决定決まりますきまってきまらないきまったーーきまればーーー33切る切,砍,剪,打断;限定时间切りますきってきらないきったきれきろうきればきれるきられるきらせる34腐る腐烂,生锈;堕落腐りますくさってくさらないくさったーーくさればーーくさらせる35くださる给与くださいますくださってくださらないくださったくださいーくださればーーー36曇り阴天;不愉快;模糊曇りますくもってくもらないくもったくもれーくもればーーくもらせる37暮らす生活,谋生,消磨时光暮らしますくらしてくらさないくらしたくらせくらそうくらせばくらせるくらされるくらさせる38繰り返す反复,重复繰り返しますくりかえしてくりかえさないくりかえしたくりかえせくりかえそうくりかえせばくりかえせるくりかえされるくりかえさせる39消す擦掉,关掉;消除;熄灭消しますけしてけさないけしたけせけそうけせばけせるけされるけさせる40ござる有,是ございますござってーござったーーーーーー41困る为难,苦恼困りますこまってこまらないこまったこまれこまろうこまればこまれるこまられるこまらせる42込む拥挤込みますこんでこまないこんだこめーこめばーーー43ご覧になる看,过目,观赏ご覧になりますごらんになってごらんにならないごらんになったーーごらんになればーごらんになられるー44転ぶ跌倒,滚动転びますころんでころばないころんだころべころばうころべばころべるころばれるころばせる45壊す弄坏,破坏壊しますこわしてこわさないこわしたこわせこわそうこわせばこわせるこわされるこわさせる46探す寻找,搜查探しますさがしてさがさないさがしたさがせさがそうさがせばさがせるさがされるさがさせる基本形中文ます形て形ない形た 形命令形意志形ば形可能形式被动形式使役形式1下がる下降,降低;后退下がりますさがってさがらないさがったさがれさがろうさがればさがれるさがられるさがらせる2咲く(花)开咲きますさいてさかないさいたさけさこうさけばさけるさかれるさかせる3誘う诱惑,引诱;引起,促使誘いますさそってさそわないさそったさそえさそおうさそえばさそえるさそわれるさそわせる4サボる怠工,偷懒,旷工,逃学サボりますサボってサボらないサボったサボれサボろうサボればサボれるサボられるサボらせる5騒ぐ吵闹;闹事騒ぎますさわいでさわがないさわいださわげさわごうさわげばさわげるさわがれるさわがせる6触る碰,触摸,参与触りますさわってさわらないさわったさわれさわろうさわればさわれるさわられるさわらせる7しかる责备,批评しかりますしかったしからないしかったしかれしかろうしかればしかれるしかられるしからせる8死ね死,失去效果,不起作用死にますしんでしなないしんだしねしのうしねばしねるしなれるしなせる9しまう收拾;与愿望相反的结果しまいますしまってしまわないしまったしまえしまおうしまえばしまえるしまわれるしまわせる10閉まる关闭閉まりますしまってしまらないしまったしまれーしまればーーー11知る知道,懂得,了解知りますしってしらないしったしれしろうしればしれるしられるしらせる12吸う吸,吸收(水份)吸いますすってすわないすったすえすおうすえばすえるすわれるすわせる13すく空闲;空旷すきますすいてすかないすいたーーすけばーーー14過ごす度过,生活過ごしますすごしてすごさないすごしたすごせすごそうすごせばすごせるすごされるすごさせる15進む前进,进行進みますすすんですすまないすすんだすすめすすもうすすめばすすめるすすまれるすすませる16滑る打滑,滑倒;失言,走嘴滑りますすべってすべらないすべったすべれすべろうすべればすべれるすべられるすべらせる17住む住,居住住みますすんですまないすんだすめすもうすめばすめるすまれるすませる18済む完成,结束済みますすんですまないすんだーーすめばーーー19座る座,跪坐;居某种地位座りますすわってすわらないすわったすわれすわろうすわればすわれるすわられるすわらせる20育つ(生物)生长,发育;长进育ちますそだってそだたないそだったそだてーそだてばーーそだたせる21そろう齐全,齐备;成套そろいますそろってそろわないそろったそろえそろおうそろえばそろえるそろわれるそろわせる22出す拿出,取出;出发,寄出出しますだしてださないだしただせだそうだせばだせるだされるださせる23たたく敲,拍打;攻击,驳斥たたきますたたいてたたかないたたいたたたけたたこうたたけばたたけるたたかけるたたかせる24立つ站,立;出发立ちますたってたたないたったたてたとうたてばたてるたたれるたたせる25建つ盖,建造建ちますたってたたないたったーーたてばーたたれるたたせる一类动词一类动词26頼む恳求,委托;请,雇頼みますたのんでたのまないたのんだたのめたのもうたのめばたのめるたのまれるたのませる27違う不同;不对違いますちがってちがわないちがったーーちがえばーーちがわせる28使う使用;雇佣;花费使いますつかってつかわないつかったつかえつかおうつかえばつかえるつかわれるつかわせる29つく点灯,开灯;跟随つきますついてつかないついたつけーつけばーーー30着く到,到达着きますついてつかないついたつけつこうつけばつけるつかれるつかせる31付く粘着,附着付きますついてつかないついたつけーつけばーーー32作る做,生产作りますつくってつくらないつくったつくれつくろうつくればつくれるつくられるつくらせる33続く继续,连续続きますつづいてつづかないつづいたつづけつづこうつづけばつづけるつづかれるつづかせる34包む包,裹,卷包みますつつんでつつまないつつんだつつめつつもうつつめばつつあるつつまれるつつませる35積もる堆积積もりますつもってつもらないつもったーーつもればーーー36手伝う帮忙,帮助手伝いますてつだっててつだわないてつだったてつだええつだおうてつだえばてつだえるてつだわれるてつだわせる37通る通过,走过通りますとおってとおらないとおったとおれとおろうとおればとおれるとおられるとおらせる38届く到达,送到届きますとどいてとどかないとどいたとどけーとどけばーーー39整う整齐,端正;完备,齐备整いますととのってととのわないととのったーーととのえばーーー40飛ぶ飞,飞行飛びますとんでとばないとんだとべとぼうとべばとべるとばれるとばせる41泊まる停泊,住宿,过夜泊まりますとまってとまらないとまったとまれとまろうとまればとまれるとまられるとまらせる42止まる停,停止止まりますとまってとまらないとまったとまれとまろうとまればとまれるとまられるとまらせる43撮る拍照撮りますとってとらないとったとれとろうとればとれるとられるとらせる44とる拿,取;得到;摘掉とりますとってとらないとったとれとろうとればとれるとられるとらせる45取る拿,取;得到;摘掉取りますとってとらないとったとれとろうとればとれるとられるとらせる46直す改正,修正直しますなおしてなおさないなおしたなおせなおそうなおせばなおせるなおされるなおさせる基本形中文ます形て形ない形た 形命令形意志形ば形可能形式被动形式使役形式1治る治好,治愈治りますなおってなおらないなおったなおれーなおればーーなおらせる2鳴く啼叫,鸣叫鳴きますないてなかないないたなけなこうなけばなけるなかれるなかせる3泣く哭,落泪泣きますないてなかないないたなけなこうなけばなけるなかれるなかせる4なくす丢失,丢掉なくしますなくしてなくさないなくしたなくせなくそうなくせばなくせるなくされるなくさせる5なくなる丢失,没有;遗失なくなりますなくなってなくならないなくなったなくなれーなくなればーーなくならせる6なさる(敬语)做,干,搞なさいますなさってなさらないなさったなされーなさればーーー7ならう学习ならいますならってならわないならったならえならおうならえばならえるならわれるならわせる8ならぶ摆放,排列ならびますならんでならばないならんだならべならぼうならべばならべるならばれるならばせる9なる变成,成为;闻名なりますなってならないなったなれなろうなればなれるなられるならせる10鳴る鸣,响;闻名,著名鳴りますなってならないなったーーなればーーならせる11似合う合适似合いますにあってにあわないにあったーーにあえばーーー12脱ぐ脱去,摘掉脱ぎますぬいでぬがないぬいだぬげぬごうぬげばぬげるぬがれるぬがせる13盗む偷盗,盗窃盗みますぬすんでぬすまないぬすっだぬすめぬすもうぬすめばぬすめるぬすまれるぬすませる14眠る睡觉眠りますねむってねむらないねむったねむれねむろうねむればねむれるねむられるねむらせる15残る留下,剩余,残留残りますのこってのこらないのこったのこれのころうのこればのこれるのこられるのこさせる16延ばす延长,拉长延ばしますのばしてのばさないのばしたのばせのばそうのばせばのばせるのばされるのばさせる17登る登,攀,爬登りますのばってのばらないのぼったのぼれのぼろうのぼればのぼれるのぼられるのぼらせる18飲む喝,吃(药)飲みますのんでのまないのんだのめのもうのめばのめるのまれるのませる19乗る乘,坐乗りますのってのらないのったのれのろうのればのれるのられるのらせる20入る进入,加入入りますはいってはいらないはいったはいれはいろうはいればはいれるはいられるはいらせる21図る谋求,企图図りますはかってはからないはかったはかれはかろうはかればはかれるはかられるはからせる22はく穿(鞋,袜,裤,裙等)はきますはいてはかないはいたはけはこうはけばはけるはかれるはかせる23運ぶ运送,搬运運びますはこんではこばないはこんだはこべはこばうはこべばはこべるはこばれるはこばせる24始まる开始,发生始まりますはじまってはじまらないはじまったーーはじまればーーはじまらせる25走る跑,行驶走りますはしってはしらないはしったはしれはしろうはしればはしれるはしられるはしらせる26働く工作,劳动働きますはたらいてはたらかないはたらいたはたらけはたらこうはたらけばはたらけるはたらかれるはたらかせる27話す说,讲,谈话,告诉話しますはなしてはなさないはなしたはなせはなそうはなせばはなせるはなされるはなさせる28払う支付(钱款),付钱,还债払いますはらってはらわないはらったはらえはらおうはらえばはらえるはらわれるはらわせる29はる粘,贴;春天はりますはってはらないはったはれはろうはればはれるはられるはらせる30弾く弹;弹奏弾きますひいてひかないひいたひけひこうひけばひけるひかれるひかせる31引く拉,拽,拖;吸引;查字典引きますひいてひかないひいたひけひこうひけばひけるひかれるひかせる32引っ越す搬家引っ越しますひっこしてひっこさないひっこしたひっこせひっこそうひっこせばひっこせるひっこされるひっこさせる33引っ張る拉,拽,拉紧,拉过来引っ張りますひっぱってひっぱらないひっぱったひっぱれひっぱろうひっぱればひっぱれるひっぱられるひっぱらせる34冷やす凉快;冷气冷やしますひやしてひやさないひやしたひやせひやそうひやせばひやせるはやされるひやさせる一类动词35開く打开;举办開きますひらいてひらかないひらいたひらけひらこうひらけばひらけるひらかれるひらかせる36拾う拾,捡;挑出拾いますひろってひろわないひろったひろえひろおうひろえばひろえるひろわれるひろわせる37広がる放开,展开;扩大,扩展広がりますひろがってひろがらないひろがったひろがれひろがろうひろがればひろがれるひろがられるひろがらせる38吹く刮;吹吹きますういてふかないふいたふけふこうふけばふけるふかれるふかせる39防ぐ防守,防卫,预防防ぎますふせいでふせがないふせいだふせげふせごうふせげばふせげるふせがれるふせがせる40太る胖;增加太りますふとってふとらないふとったふとれふとろうふとればふとれるふとられるふとらせる41踏む踩,踏上;实践,履行踏みますふんでふまないふんだふめふもうふめばふめるふまれるふませる42降る下雨,下雪;下降降りますふってふらないふったふれふろうふればふれるふられるふらせる43振る挥动,摇动;撤振りますふってふらないふったふれふろうふればふれるふられるふらせる44減る减少,磨损;饿減りますへってへらないへったーーへればーーー45ほほえむ微笑;(花)乍放,初开ほほえみますほほえんでほほえまないほほえんだほほえめほほえもうほほえめばほほえめるほほえまれるほほえませる46参る(自谦)去,来参りますまいってまいらないまいったまいれまいろうまいればーーまいらせる基本形中文ます形て形ない形た 形命令形意志形ば形可能形式被动形式使役形式1曲がる弯曲;拐弯曲がりますまがってまがらないまがったまがれまがろうまがればまがれるまがられるまがらせる2巻き込む卷进,卷入;牵连,连累巻き込みますまきこんでまきこまないまきこんだまきこめまきこもうまきこめばまきこめるまきこまれるまきこませる3待つ等候,等待待ちますまってまたないまったまてまとうまてばまてるまたれるまたせる4間に合う来得及,赶得上間に合いますまにあってまにあわないまにあったまにあえまにあおうまにあえばまにあえるまにあわれるまにあわせる5守る防守,保卫;遵守守りますまもってまもらないまもったまもれまもろうまもればまもれるまもられるまもらせる6迷う犹豫,迷惑,迷失迷いますまよってまよわないまよったまよえまよおうまよえばまよえるまよわれるまよわせる7回す旋转;传递,转送;调转回しますまわしてまわさないまわしたまわせまわそうまわせばまわせるまわされるまわさせる8回る转动,灵活,周到回りますまわってまわらないまわったまわれまわろうまわればまわれるまわられるまわらせる9磨く刷,擦;磨练磨きますみがいてみがかないみがいたみがけみがこうみがけばみがけるみがかれるみがかせる10見込む期待;相信;预料見込みますみこんでみこまないみこんだみこめみこもうみこめばkもこめるみこまめるみこませる11見つかる被发现,被看到見つかりますみつかってみつからないみつかったーーみつかればーーー12見渡す张望,远望見渡しますみわたしてみわたさないみわたしたみわたせみわたそうみわたせばみわたせるみわたされるみわたさせる13向かう往…去,向かいますむかってむかわないむかったむかえむかおうむかえばむかえるむかわれるむかわせる14結ぶ系,结;联结,结合結びますむすんでむすばないむすんだむすべむすぼうむすべばむすべるむすばれるむすばせる15召し上がる请吃,请喝,请吸烟召し上がりますめしあがってめしあがらないめしあがためしあがれーめしあがればめしあがれるめしあがられるー16申す(自谦)说,讲,告诉申しますもうしてもうさないもうしたもうせもうそうもうせばーーー17待ち歩く拿着走路;搬运持ち歩きますもちあるいてもちあるかないもちあるいたみちあるけもちあるこうもちあるけばもちあるけるもちあるかれるもちあるかせる18持ち帰り带回,拿回持ち帰りますもちかえってもちかえらないもちかえったもちかえれもちかえろうもちかえればもちかえれるもちかえられるもちかえらせる19持つ拿,带;有,拥有持ちますもってもたないもったもてもとうもてばもてるもたれるもたせる20戻す还,退回;恢复,复原戻しますもどしてもどさないもどしたもどせもどそうもどせばもどせるもどされるもどさせる21戻る返回,恢复,退回戻りますもどってもどらないもどったもおれもどろうもどればもどれるもどられるもどらせる22もらう领取,得到;请求もらいますもらってもらわないもらったもらえもらおうもらえばもらえるもらわれるもらわせる23焼く烧,烤,晒(黑)焼きますやいてやかないやいたやけやこうやけばやけるやかれるやかせる24訳す翻译訳しますやくしてやくさないやくしたやくせやくそうやくせばやくせるやくされるやくさせる25役立つ有用,有益,起作用役立ちますやくだってやくだないやくだったやくだてやくだとうやくだてばやくだてるやくだたれるやくだたせる26休む休息,睡,请假,缺勤休みますやすんでやすまないやすんだやすめやすもうやすめばやすめるやすまれるやすませる27雇う雇用雇いますやとってやとわないやとったやとえやとおうやとえばやとえるやとわれるやたわせる28破る弄破,破坏破りますやぶってやぶらないやぶったやぶれやぶろうやぶればやぶれるやぶられるやぶらせる29やむ停止;生病;烦恼やみますやんでやまないやんだやめーやめばーーー30やる做(作业)やりますやってやらないやったやれやろうやればやれるやられるやらせる31汚す弄脏,玷污汚しますよごしてよごさないよごしたよごせよごそうよごせばよごせるよごされるよごさせる32呼ぶ招呼,唤来呼びますよんでよばないよんだよべよぼうよべばよべるよばれるよばせる33読む读,看読みますよんでよまないよんだよめよもうよめばよめるよまれるよませる34寄る顺便去…;靠近寄りますよってよらないよったよれよろうよればよれるよられるよらせる35喜ぶ高兴喜びますよろこんでよろこばないよろこんだよろこべよろこぼうよろこべばよろこべるよろこばれるよろこばせる36分かる明白,理解分かりますわかってわからないわかったわかれわかろうわかればーーわからせる37渡す交给,给…渡しますわたしてわたさないわたしたわたせわたそうわたせばわたせるわたされるわたさせる38渡る渡,过;经过渡りますわたってわたらないわたったわたれわたろうわたればわたれるわたられるわたらせる39笑う笑;嘲笑;笑いますわらってわらわないわらったわらえわらおうわらえばわらえるわらわれるわらわせる40割る切,分,割;(算术)除割りますわってわらないわったわれわろうわればわれるわられるわらせる41浴びる浇,淋,浴;遭,受浴びますあびてあびないあびたあびろあびようあびればあびられるあびられるあびさせる42生きる活,生存;有价值生きますいきていきないいきたいきろいきよういきればいきられるいきられるいきさせる43いる要,需要;(人等)在いますいていないいたいろいよういればいられるいられるいさせる一类动词二日语动词一览表44起きる起床;发生起きますおきておきないおきたおきろおきようおきればおきられるおきられるおきさせる45落ちる降落,落下;遗漏落ちますおちておちないおちたおちろおちようおちればーおちられるー46降りる下,降(雨,雪等)降りますおりておりないおりたおりろおりようおりればおりられるおりられるおりさせる基本形中文ます形て形ない形た 形命令形意志形ば形可能形式被动形式使役形式1下りる从(车等交通工具)下来下りますおりておりないおりたおりろおりようおりればおりられるおりられるおりさせる2借りる借(进来);借用借りますかりてかりないかりたかりろかりようかりればかりられるかりられるかりさせる3感じる感觉,感到;感想感じますかんじてかんじないかんじたかんじろかんじようかんじればかんじられるかんじられるかんじさせる4着る穿(上衣);承担着ますきてきないきたきろきようきればきられるきられるきさせる5信じる相信;确信信じますしんじてしんじないしんじたしんじろしんじようしんじればしんじられるしんじられるしんじさせる6過ぎる通过,经过過ぎますすぎてすぎないすぎたすぎろーすぎればーーー7存じている知道;想,认为存じていますぞんじていてぞんじていないぞんじていたーーぞんじていればーーー8足りる足够足りますたりてたりないたりたーーたりればーーー9通じる通,通往;熟悉;理解通じますつうじてつうじないつうじたつうじろつうじようつうじればつうじられるつうじられるつうじさせる10できる会,能;作完できますできてできないできたーーできればーーー11似る相似,相像似ますにてにないにたにろーにればーーにさせる12見る看,观看,参观見ますみてみないみたみろみようみればみられるみられるみさせる13開ける开,打开;开始营业開けますあけてあけないあけたあけろあけようあければあけられるあけられるあけさせる14あげる举行,举办あげますあげてあげないあげたあげろあげようあげればあげられるあがられるあげさせる15挙げる举行,举办挙げますあげてあげないあげたあげろあげようあげればあげられるあがられるあげさせる16揚げる油炸;升起,扬起揚げますあげてあげないあげたあげろあげようあげればあげられるあげられるあげさせる17預ける寄存;寄放預けますあずけてあずけないあずけたあずけろあずけようあずければあずけられるあずけられるあずけさせる18暖める温,热,烫暖めますあたためてあたためないあたためたあたためろあたためようあたためればあたためられるあたためられるあたためさせる19集める收集,召集集めますあつめてあつめないあつめたあつめろあつめようあつめればあつめられるあつめられるあつめさせる20慌てる惊慌,急急忙忙慌てますあわててあわてないあわてたあわてろあわてようあわてればーあわてられるあわてさせる21いじめる欺负,虐待いじめますいじめていじめないいじめたいじめろいじめよういじめればいじめられるいじめられるいじめさせる22入れる放进,放入;采纳,听从入れますいれていれないいれたいれろいれよういれればいれられるいれられるいれさせる23受ける接受;继承受けますうけてうけないうけたうけろうけよううければうけられるうけられるうけさせる24生まれる产生,出现,问世生まれますうまれてうまれないうまれたーーうまれればーーー25売れる畅销,好卖売れますうれてうれないうれたうれろーうれればーーー26遅れる慢,晚;耽误遅れますおくれておくれないおくれたおくれるおくれようおくれればーおくれられるおくれさせる27教える教,教授;告诉;教导教えますおしえておしえないおしえたおしえろおしえようおしえればおしえられるおしえられるおしえさせる28覚える记住,记忆;学会覚えますおぼえておぼえないおぼえたおぼえろおぼえようおぼえればおぼえられるおぼえられるおぼえさせる29折れる折断,拐弯;妥协折れますおれておれないおれたおれろーおれればーーおれさせる30かける缺,欠,不足かけますかけてかけないかけたかけろかけようかければかけられるかけられるかけさせる31掛ける挂,悬,架掛けますかけてかけないかけたかけろかけようかければかけられるかけられるかけさせる32片づける收拾,整理片づけますかたづけてかたづけないかたづけたかたづけろかたづけようかたづければかたづけられるかたづけられるかたづけさせる33枯れる枯萎,凋谢枯れますかれてかれないかれたーーかれればーーかれさせる34考える考虑;打算考えますかんがえてかんがえないかんがえたかんがえろかんがえようかんがえればかんがえられるかんがえられるかんがえさせる35消える消失消えますきえてきえないきえたきえろきえようきえればきえられるきえられるきえさせる36聞こえる听得见聞こえますきこえてきこえないきこえたきこえろーきこえればーーきこえさせる37決める决定,认定決めますみめてきめないきめたきめろきめようきめればきめられるきめられるきめさせる38くれる给我;天黑くれますくれてくれないくれたくれろくれようくれればーーー39超える渡过;超过超えますこえてこえないこえたこえろこえようこえればこえられるこえられるこえさせる40答える回答,答复答えますこたえてこたえないこたえたこたえろこたえようこたえればこたえられるこたえられるこたえさせる41壊れる坏,碎;失败壊れますこわれてこわれないこわれたこわれろーこわれればーーー42避ける躲避,防备避けますさけてさけないさけたさけろさけようさければさけられるさけられるさけさせる43下げる下降,降低;拎,提下げますさげてさげないさげたさげろさげようさげればさげられるさげられるさげさせる44差し上げる举起;赠给差し上げますさしあげてさしあげないさしあげたさしあげろさしあげようさしあげればーーー45閉める关闭閉めますしめてしめないしめたしめろしめようしめればしめられるしめられるしめさせる46しゃれる打扮得漂亮;说话俏皮しゃれますしゃれてしゃれないしゃれたしゃれろーしゃれればーーしゃれさせる基本形中文ます形て形ない形た 形命令形意志形ば形可能形式被动形式使役形式1知らせる知道,了解知らせますしらせてしらせないしらせたしらせろしらせようしらせればしらせられるしらせられるしらせさせる2調べる调查,研究調べますしらべてしらべないしらべたしらべろしらべようしらべればしらべられるしらべられるしらべさせる类动词二类动词3進める使前进;推进;晋级進めますすすめてすすめないすすめたすすめろすすめようすすめればすすめられるすすめられるすすめさせる4捨てる扔掉,抛弃;不管捨てますすててすてないすてたすてろすてようすてればすてられるすてられるすてさせる5済ませる完了,终结済みませますすませてすませないすませたすませろすませようすませればすませられるすませられるすませさせる6そろえる使(什么)一致そろえますそろえてそろえないそろえたそろえろそろえようそろえればそろえられるそろえられるそろえさせる7確かめる弄清,查明確かめますたしかめてたしかめないたしかめたたしかめろたしかめようたしかめればたしかめられるたしかめられるたしかめさせる8助ける帮忙,帮助,救助助けますたすけてたすけないたすけたたすけろたすけようたすければたすけられるたすけられるたすけさせる9訪ねる访问,拜访訪ねますたずねてたずねないたずねたたずねろたずねようたずねればたずねられるたずねられるたずねさせる10建てる盖,建造建てますたててたてないたてたたてろたてようたてればたてられるたてられるたてさせる11食べる吃食べますたべてたべないたべたたべろたべようたべればたべられるたべられるたべさせる12ためる矫正,整形,改正ためますためててめないためたためろためようためればためられるためられるためさせる13疲れる疲劳,累疲れますつかれてつかれないつかれたーーつかれればーーつかれさせる14つける点,开;安装;腌つけますつけてつけないつけたつけろつけようつければつけられるつけられるつけさせる15付ける点,开;安装付けますつけてつけないつけたつけろつけようつければつけられるつけられるつけさせる16告げる告诉,通知告げますつげてつげないつげたつげろつげようつげればつげられるつげられるつげさせる17伝える传达,转告伝えますつたえてつたえないつたえたつたえろつたえようつたえればつたえられるつたえられるつたえさせる18続ける继续,连续続けますつづけてつづけないつづけたつづけろつづけようつづければつづけられるつづけられるつづけさせる19連れる带领,带着連れますつれてつれないつれたつれろつれようつれればつれられるつれられるつれさせる20出かける出门,出去,到…去出かけますでかけてでかけないでかけたでかけろでかけようでかければでかけられるでかけられるでかけさせる21出る出来,出去;出发出ますでてでないでたでろでようでればでられるでられるでさせる22通り抜ける穿过,穿越通り抜けますとおりぬけてとおりぬけないとおりにけたとおりぬけろとおりぬけようとおりぬければとおりぬけられるとおりぬけられるとおりぬけさせる23届ける寄,送;送到,送交;申报届けますとどけてとどけないとどけたとどけろとどけようとどければとどけられるとどけられるとどけさせる24止める停止止めますとめてとめないとめたとめろとめようとめればとめられるとめられるとめさせる25取り替える交换,更换取り替えますとりかえてとりかえないとりかえたとりかえろとりかえようとりかえればとりかえられるとりかえられるとりかえさせる26並べる摆放;排列;罗列並べますならべてならべないならべたならべろならべようならべればならべられるならべられるならべさせる27慣れる习惯,熟练,适应慣れますなれてなれないなれたなれろなれようなれればなれられるなれられるなれさせる28逃げる逃跑,逃走;躲避逃げますにげてにげないにげたにげろにげようにげればにげられるにげられるにげさせる29ぬれる淋湿ぬれますぬれてぬれないぬれたーーぬれればーーぬれさせる30寝る睡觉;卧床;躺寝ますねてねないねたねろねようねればねられるねられるねさせる31乗り換える换乘;改乘;换车乗り換えますのりかえてのりかえないのりかえたのりかえろのりかえようのりかえればのりかえられるのりかえられるなりかえさせる32始める开始始めますはじめてはじめないはじめたはじめろはじめようはじめればはじめられるはじめられるはじめさせる33晴れる天晴;(心情)舒畅晴れませはれてはれないはれたーーはれればーーー34冷える变冷;感觉冷冷えますひえてひえないひえたーーひえればーーー35増える增加増えますふえてふえないふえたふえろーふえればーふえられるふえさせる36ぶつける扔,投;碰上ぶつけますぶつけてぶつけないぶつけたぶつけろぶつけようぶつければぶつけられるぶつけられるぶつけさせる37ほめる表扬,称赞ほめますほめてほめないほめたほめろほめようほめればほめられるほめられるほめさせる38負ける输,败;让价負けますまけてまけないまけたまけろまけようまければまけられるまけられるまけさせる39間違える弄错,搞错間違えますまちがえてまちがえないまちがえたまちがえろまちがえようまちがえればまちがられるまちがえられるまちがえさせる40まとめる整理,归纳まとめますまとめてまとめないまとめたまとめろめとめようめためればまとめられるまとめられるまとめさせる41見える看得见;(敬语)来見えますみえてみえないみえたみえろーみえればーーみえさせる42見せる给…看;让…看見せますみせてみせないみせたみせろみせようみせればみせられるみせられるみせさせる43見つける找到,找出;发现見つけますみつけてみつけないみつけたみつけろみつけようみつければみつけられるみるけたれるみつけさせる44迎える迎接迎えますむかえてむかえないむかえたむかえろむかえようむかえればむかえられるむかえられるむかえさせる45求める想要,希望;要求,请求求めますもとめてもとめないもろめたもとめろもとめようもとめればもとめられるもとめられるもとめさせる46もれる(液,气,光,声等)漏漏れますもれてもれないもれたーーもれればーーもれさせる基本形中文ます形て形ない形た 形命令形意志形ば形可能形式被动形式使役形式1焼ける燃烧,着火;烧热,烤好焼けますやけてやけないやけたやけーやければーーやけさせる2やせる瘦;(土地)贫瘠やせますやせてやせないやせたやせろやせようやせればやせられるやせられるやせさせる3やめる停止,放弃,离去やめますやめてやめないやめたやめろやめようやめればやめられるやめられるやめさせる4辞める辞职,停学辞めますやめてやめないやめたやめろやめようやめればやめられるやめられるやめさせる5汚れる弄脏汚れますよごれてよごれないよごれたーーよごれればーーよごれさせる6忘れる忘掉,忘记忘れますわすれてわすれないわすれたわすれろわすれようわすれればわすれられるわすれられるわすれさせる7割れる坏,碎;分裂,破裂割れますわれてわれないわれたーーわれればーーー8来る来,到来来ますきてこないきたこいこようくればこられるこられるこさせる9する做,进行;担任,充当しますしてしないしたしろしようすればできるされるさせる10雨宿りする保护,遮掩;避雨雨宿りしますあまやどりしてあまやどりしないあまやどりしたあまやどりしろあまやどりしようあまやどりすればあまやどりできるあまやどりされるあまやどりさせる二类动词二类动词11暗記する记住,背下来;死记硬背暗記しますあんきしてあんきしないあんきしたあんきしろあんきしようあんきすればあんきできるあんきされるあんきさせる12安心する放心,安心安心しますあんしんしてあんしんしないあんしんしたあんしんしろあんしんしようあんしんすればあんしんできるあんしんされるあんしんさせる13案内する引导,向导;指南案内しますあんないしてあんないしないあんないしたあんないしろあんないしようあんないすればあんないできるあんあにされるあんないさせる14いらいらする着急,焦急いらいらしますいらいらしていらいらしないいらいらしたーーいらいらすればーいらいらされるいらいらさせる15依頼する委托,依靠依頼しますいらいしていらいしないいらいしたいらいしろいらいしよういらいすればいらいできるいらいされるいらいさせる16うっとりする出神,陶醉,入迷うっとりしますうっとりしてうっとりしないうっとりしたーーうっとりすればーうっとりされるうっとりさせる17運動する运动,活动運動しますうんどうしてうんどうしないうんどうしたうんどうしろうんどうしよううんどうすればうんどうできるうんどうされるうんどうさせる18演奏する演奏演奏しますえんそうしてえんそうしないえんそうしたえんそうしろえんそうしようえんそうすればえんそうできるえんそうだれるえんそうさせる19遠慮する远虑;回避;客气遠慮しますえんりょしてえんりょしないえんりょしたえんりょしろえんりょしようえんりょすればえんりょできるえんりょされるえんりょさせる20お邪魔する打扰,妨碍お邪魔しますおじゃましておじゃましないおじゃましたおじゃましろおじゃましようおじゃますればおじゃまできるおじゃまされるおじゃまさせる21外出する外出,出门外出しますがいしゅつしてがいしゅつしないがいしゅつしたがいしゅつしろがいしゅつしようがいしゅつすればがいしゅつできるがいしゅつされるがいしゅつさせる22改築する改建,重建,改造改築しますかいちくしてかいちくしないかいちくしたかいちくしろかいちくしようかいちくすればかいちくできるかいちくされるかいちくさせる23開通する通车,通话,通航開通しますかいつうしてかいつうしないかいつうしたかいつうしろかいつうしようかいつうすればかいつうできるかいつうされるかいつうさせる24開発する开发,研制開発しますかいはつしてかいはつしないかいはつしたかいはつしろかいはつしようかいはつすればかいはつできるかいはつされるかいはつさせる25買い物する购物,值得买的东西買い物しますかいものしてかいものしないかいものしたかいものしろかいものしようかいものすればかいものできるかいものされるかいものさせる26がっかりする失望,灰心,丧气がっかりしますがっかりしてがっかりしないがっかりしたーーがっかりすればーがっかりされるがっかりさせる27歓迎する欢迎歓迎しますかんげいしてかんげいしないかんげいしたかんげいしろかんげいしようかんげいすればかんげいできるかんげいされるかんげいさせる28換算する换算換算しますかんさんしてかんさんしないかんさんしたかんさんしろかんさんしようかんさんすればかんさんできるかんさんされるかんさんさせる29感謝する感谢感謝しますかんしゃしてかんしゃしないかんしゃしたかんしゃしろかんしゃしようかんしゃすればかんしゃできるかんしゃされるかんしゃさせる30完成する完成完成しますかんせいしてかんせいしないかんせいしたかんせいしろかんせいしようかんせいすればかんせいできるかんせいされるかんせいさせる31乾杯する干杯乾杯しますかんぱいしてかんぱいしないかんぱいしたかんぱいしろかんぱいしようかんぱいすればかんぱできるかんぱいされるかんぱさせる32看病する护理,看护看病しますかんびょうしてかんびょうしないかんびょうしたかんびょうしろかんびょうしようかんびょうすればかんびょうできるかんびょうされるかんびょうさせる33管理する管理,管辖管理しますかんりしてかんりしないかんりしたかんりしろかんろしようかんりすればかんりでくるかんりされるかんりさせる34帰国する回国帰国しますきこくしてきこくしないきこくしたきこくしろきこくしようきこくすればきこくでくるきこくされるきこくさせる35期待する期待,期望期待しますきたいしてきたいしないきたいしたきたいしろきたいしようきたいすればきたいできるきたいされるきたいさせる36休憩する休息片刻休憩しますきゅうけいしてきゅうけいしないきゅうけいしたきゅうけいしろきゅうけいしようきゅうけいすればきゅうけいできるきゅうけいされるきゅうけいさせる37休職する长期休假休職しますきゅうしょくしてきゅうしょくしないきゅうしょくしたきゅうしょくしろきゅうしょくしようきゅうしょくすればきゅうしょくでくるきゅうしょくされるきゅうしょくさせる38緊張する紧张緊張しますきんちょうしてきんちょうしないきんちょうしたきんちょうしろーきんちょうすればーきんちょうされるきんちょうさせる39苦労する辛苦,艰苦苦労しますくろうしてくろうしないくろうしたくろうしろくろうしようくろうすればーーくろさせる40経験する经验経験しますけいけんしてけいけんしないけいけんしたけいけんしろけいけんしようけいけんすればけいけんできるけいけんされるけいけんさせる41結婚する结婚結婚しますけっこんしてけっこんしないけっこんしたけっこんしろけっこんしようけっこんすればけっこんできるけっこんされるけっこんさせる42欠席する缺席欠席しますけっせきしてけっせきしないけっせきしたけっせきしろけっせきしようけっせきすればけっせきできるけっせきされるけっせきさせる43けんかする争吵,吵架,打架けんかしますけんかしてけんかしないけんかしたけんかしろけんかしようけんかすればけんかできるけんかされるけんかさせる44研究する研究研究しますけんきゅうしてけんきゅうしないけんきゅうしたけんきゅうしろけんきゅうしようけんきゅうすればけんきゅうできるけんきゅうされるけんきゅうさせる45検討する研讨,审核検討しますけんとうしてけんとうしないけんとうしたけんとうしろけんとうしようけんとうすればけんとうできるけんとうされるけんとうさせる46合格する合格合格しますごうかうしてごうかうしないごうかうしたごうかくしろごうかくしようごうかくすればごうかくでくるごうかくされるごうかくさせる基本形中文ます形て形ない形た 形命令形意志形ば形可能形式被动形式使役形式1交換する交换,互换交換しますこうかんしてこうかんしないこうかんしたこかんしろこうかんしようこうかんすればこうかんできるこうかんされるこうかんさせる2故障する故障故障しますこしょうしてこしょうしないこしょうしたーーkしょうすればーーこしょうさせる3ごちそうする美味佳肴;请客,款待ごちそうしますごちそうしてごちそうしないごちそうしたごちそうしろごちそうしようごちそうすればごちそうできるごちそうされるごちそうさせる4コピーする复制,复印コピーしますコピーしてコピーしないコピーしたコピーしろコピーしようコピーすればコピーできるコピーされるコピーさせる5参加する参加,加入参加しますさんかしてさんかしないさんかしたさんかしろさんかしようさんかすればさんかできるさんかされるさんかさせる6残業する加班残業しますざんぎょうしてざんぎょうしないざんぎょうしたざんぎょうしろざんぎょうしようざんぎょうすればざんぎょうできるざんぎょうされるざんぎょうさせる7散歩する散步散歩しますさんぽしてさんぽしないさんぽしたさんぽしろさんぽしようさんぽすればさんぽできるさんぽされるさんぽさせる8試作する试制,试作試作しますしさくしてしさくしないしさくしたしさくしろしさくしようしさくすればしさくできるしさくされるしさくさせる9辞職する辞职辞職しますじしょくしてじしょくしないじしょくしたじしょくしろじしょくしようじしょくすればじしょくできるじしょくされるじしょくさせる10実感する真实感実感しますじっかんしてじっかんしないじっかんしたじっかんしろじっかんしようじっかんすればじっかんできるじっかんされるじっかんさせる11実現する实现実現しますじつげんしてじつげんしないじつげんしたじつげんしろじつげんしようじつげんすればじつげんできるじつげんされるじつげんさせる12失敗する失败,故障失敗しますしっぱいしてしっぱいしないしっぱいしたーーしっぱいすればーしっぱいされるしっぱいさせる13渋滞します交通堵塞;迟滞渋滞しますじゅうたいしてじゅうたいしないじゅうたいしたーーじゅうたいすればーーじゅうたいさせる14シュートします(包裹,垃圾等)滑槽,滑运道シュートしますシュートしてシュートしないシュートしたシュートしろシュートしようシュートすればシュートできるシュートされるシュートさせる15出勤する上班出勤しますしゅっきんしてしゅっきんしないしゅっきんしたしゅっきんしろしゅっきんしようしゅっきんすればしゅっきんできるしゅっきんされるしゅっきんさせる16出場する出场,参加出場しますしゅつじょうしてしゅつじょうしないしゅつじょうしたしゅつじょうしろしゅつじょうしようしゅつじょうすればしゅつじょうできるしゅつじょうされるしゅつじょうさせる17出席する出席,参加出席しますしゅっせきしてしゅっせきしないしゅっせきしたしゅっせきしろしゅっせきしようしゅっせきすればしゅっせきできるしゅっせきされるしゅっせきさせる18出発する出发出発しますしゅっぱつしてしゅっぱつしないしゅっぱつしたしゅっぱつしろしゅっぱつしようしゅっぱつすればしゅっぱつできるしゅっぱつされるしゅっぱつさせる三类动词19紹介する介绍紹介しますしょうかいしてしょうかいしないしょうかいしたしょうかいしろしょうかいしようしょうかいすればしょうかいできるしょうかいされるしょうかいさせる20承知する知道,明白;允许,原谅承知しますしょうちしてしょうちしないしょうちしたしょうちしろしょうちしようしょうちすればしょうちできるしょうちされるしょうちさせる21食事する吃饭,进餐食事しますしょくじしてしょくじしないしょくじしたしょくじしろしょくじしようしょくじすればしょくじできるしょくじされるしょくじさせる22心配する担心,忧虑心配しますしんぱいしてしんぱいしないしんぱいしたしんぱいしろしんぱいしようしんぱいすればしんぱいできるしんぱいされるしんぱいさせる23スケッチする素描,写生;草图スケッチしますスケッチしてスケッチしないスケッチしたスケッチしろスケッチしようスケッチすればスケッチできるスケッチされるスケッチさせる24成功する功成名就,成功成功しますせいこうしてせいこうしないせいこうしたせいこうしろせいこうしようせいこうすればせいこうできるせいこうされるせいこうさせる25生産する生产生産しますせいさんしてせいさんしないせいさんしたせいさんしろせいさんしようせいさんすればせいさんできるせいさんされるせいさんさせる26製造する制作,加工,制造製造しますせいぞうしてせいぞうしないせいぞうしたせいぞうしろせいぞうしようせいぞうすればせいぞうできるせいぞうされるせいぞうさせる27整理する整理,整顿;清理整理しますせいりしてせいりしないせいりしたせいりしろせいりしようせいりすればせいりできるせいりされるせいりさせる28接続する连续,连接接続しますせつぞくしてせつぞくしないせつぞくしたせつぞくしろせつぞくしようせつぞくすればせつぞくできるせつぞくされるせつぞくさせる29設定する制定,设立設定しますせっていしてせっていしないせっていしたせっていしろせっていしようせっていすればせっていできるせっていされるせっていさせる30セットする方,安放セットしますセットしてセットしないセットしたセットしろセットしようセットすればセットできるセットされるセットさせる31世話する照料,照顾;增加麻烦世話しますせわしてせわしないせわしたせわしろせわしようせわすればせわできるせわされるせわさせる32洗濯する洗衣服,洗涤洗濯しますせんたくしてせんたくしないせんたくしたせんたくしろせんたくしようせんたくすればせんたくできるせんたくされるせんたくさせる33洗練する精炼,洗练;高尚,优雅洗練しますせんれんしてせんれんしないせんれんしたせんれんしろせんれんしようせんれんすればせんれんできるせんれんされるせんれんさせる34掃除する清扫,扫除掃除しますそうじしてそうじしないそうじしたそうじしろそうじしようそうじすればそうじできるそうじされるそうじさせる35早退する早退早退しますそうたいしてそうたいしないそうたいしたそうたいしろそうたいしようそうたいすればそうたいできるそうたいされるそうたいさせる36相談する商量,商谈,磋商相談しますそうだんしてそうだんしないそうだんしたそうだんしろそうだんしようそうだんすればそうだんできるそうだんされるそうだんさせる37創立する创立創立しますそうりつしてそうりつしないそうりつしたそうりつしろそうりつしようそういつすればそうりつできるそうりつされるそうりつさせる38卒業する毕业卒業しますそつぎょうしてそつぎょうしないそつぎょうしたそつぎょうしろそつぎょうしようそつぎょうすればすつぎょうできるそつぎょうされるそつぎょうさせる39滞在する旅居,逗留滞在しますたいざいしてたいざいしないたいざいしたたいざいしろたいざいしようたいざいすればたいざいできるたいざいされるたいざいさせる40担当する担当,担任担当しますたんとうしてたんとうしないたんとうしたたんとうしろたんとうしようたんとうすればたんとうできるたんとうされるたんとうさせる41チェックインする登记,报到チェックインしますチェックインしてチェックインしないチェックインしたチェックインしろチェックインしようチェックインすればチェックインできるチェックインされるチェックインさせる42チェックする支票;核对チェックしますチェックしてチェックしないチェックしたチェックしろチェックしようチェックすればチェックできるチェックされるチェックさせる43注意する注意,留神注意しますちゅういしてちゅういしないちゅういしたちゅういしろちゅういしようちゅういすればちゅういできるちゅういされるちゅういさせる44貯金する存款,储蓄貯金しますちょきんしてちょきんしないちょきんしたちょきんしろちょきんしようちょきんすればちょきんできるちょきんされるちょきんさせる45直行する一直前往,直达直行しますちょっこうしてちょっこうしないちょっこうしたちょっこうしろちょっこうしようちょっこうすればちょっこうできるちょっこうされるちょっこうさせる46つまみ食いするつまみ食いしますつまみぐいしてつまみぐいしないつまみぐいしたつまみぐいしろつまみぐいしようつまみぐいすればつまみぐいできるつまみぐいされるつまみぐいさせる基本形中文ます形て形ない形た 形命令形意志形ば形可能形式被动形式使役形式1提案する提案,建议提案しますていあんしてていあんしないていあんしたていあんしろていあんしようていあんすればていあんできるていあんされるていあんさせる2提出する提出,提交提出しますていしゅつしてていしゅつしないていしゅつしたていしゅつしろていしゅつしようていしゅつすればていしゅつできるていしゅつされるていしゅつさせる3徹夜する通宵,彻夜徹夜しますてつやしててつやしないてつやしたてつやしろてつやしようてつやすればてつやできるてつやされるてつやさせる4転職する调职;转行転職しますてんしょくしててんしょくしないてんしょくしたてんしょくしろてんしょくしようてんしょくすればてんしょくできるてんしょくされるてんしょくさせる5添付する添上,附上添付しますてんぷしててんぷしないてんぷしたてんぷしろてんぽしようてんぽすればてんぽできるてんぽされるてんぽさせる6倒産する破产倒産しますとうさんしてとうさんしないとうさんしたとうさんしろーとうさんすればーろうさんされるとうさんさせる7どきどきする敲,打どきどきしますどきどきしてどきどきしないどきどきしたーーどきどきすればーどきどきされるどきどきさせる8入院する住院入院しますにゅういんしてにゅういんしないにゅういんしたにゅういんしろにゅういんしようにゅういんすればにゅういんできるにゅういんされるにゅういんさせる9入学する入学入学しますにゅうがくしてにゅうがくしないにゅうがくしたにゅうがくしろにゅうがくしようにゅうがくすればにゅうがくできるにゅうがくされるにゅうがくさせる10入社する进公司(工作)入社しますにゅうしゃしてにゅうしゃしないにゅうしゃしたにゅうしゃしろにゅうしゃしようにゅうしゃすればにゅうしゃできるにゅうしゃされるにゅうしゃさせる11寝坊する睡懒觉寝坊しますねぼうしてねぼうしないねぼうしたねぼうしろねぼうしようねぼうすればねぼうできるねぼうされるねぼうさせる12拝見する(自谦)看,拜读拝見しますはいけんしてはいけんしないはいけんしたはいけんしろはいけんしようはいけんすればはいけんできるはいけんされるはいけんさせる13発見する发现発見しますはっけんしてはっけんしないはっけんしたはっけんしろはっけんしようはっけんすればはっけんできるはっけんされるはっけんさせる14発言する发言発言しますはつげんしてはつげんしないはつげんしたはつげんしろはつげんしようはつげんすればはつげんできるはつげんされるはつげんさせる15発送する(货物,行李,邮件)发送発送しますはっそうしてはっそうしないはっそうしたはっそうしろはっそうしようはっそうすればはっそうできるはっそうされるはっそうさせる16発売する卖,出售発売しますはつばいしてはつばいしないはつばいしたはつばいしろはつばいしようはつばいすればはつばいできるはつばいされるはつばいさせる17発明する发明,创造発明しますはつめいしてはつめいしないはつめいしたはつめいしろはつめいしようはつめいすればはつめいできるはつめいされるはつめいさせる18はらはらする非常担心的样子はらはらしますはらはらしてはらはらしないはらはらしたーーはらはらすればーはらはらされるはらはらさせる19パンクする轮胎破裂;物体过涨破裂パンクしますパンクしてパンクしないパンクしたーーパンクすればーーパンクさせる20びっくりする吃惊,吓一跳びっくりしますびっくりしてびっくりしないびっくりしたーーびっくりすればーびっくりされるびっくりさせる21普及する普及普及しますふきゅうしてふきゅうしないふきゅうしたふきゅうしろふきゅうしようふきゅうすればふきゅうできるふきゅうされるふきゅうさせる22復習する复习復習しますふくしゅうしてふくしゅうしないふくしゅうしたふくしゅうしろふくしゅうしようふくしゅうすればふくしゅうできるふくしゅうされるふくしゅうさせる23フリーズする死机;突然停下フリーズしますフリーズしてフリーズしないフリーズしたーーフリーズすればーフリーズされるフリーズさせる24勉強する勤奋;用功勉強しますべんきょうしてべんきょうしないべんきょうしたべんきょうしろべんきょうしようべんきょうすればべんきょうできるべんきょうされるべんきょうさせる25報告する汇报,报告報告しますほうこくしてほうこくしなうほうこくしたほうこくしろほうこくしようほうこくすればほうこくできるほうこくされるほうこくさせる26放送する广播,播送放送しますほうそうしてほうそうしないほうそうしたほうそうしろほうそうしようほうそうすればほうそうできるほうそうされるほうそうさせる三类动词三类动词。
食いつく (くいつく) (3) [动1] 咬住,咬上折れる (おれる) (2) [动2] 折断侵入する (しんにゅうする) (0) [动3] 侵入撃退する (げきたいする) (0) [动3] 打退,逐出言い伝える (いいつたえる) (5) [动2] 传说,传达退院する (たいいんする) (0) [动3] 出院防ぐ (ふせぐ) (2) [动1] 防止,预防築く (きずく) (2) [动1] 建立,构筑焦げる (こげる) (2) [动2] 烧焦,烧糊分布する (ぶんぷする) (0) [动3] 分布踏まえる (ふまえる) (3) [动2] 根据,依据慶ぶ (よろこぶ) (3) [动1] 欢喜,高兴,喜悦催す (もよおす) (3) [动1] 举办,主办このたび (2) [动2] (以“優れた”的形式表示)优秀,出色駆使する (くしする) (1) [动3] 运用展示する (てんじする) (0) [动3] 展出,陈列,展示賜る (たまわる) (3) [动1] 蒙受赏赐経る (へる) (1) [动2] 经过設立する (せつりつする) (0) [动3] 成立,设立禁じる (きんじる) (3) [动2] 禁止移転する (いてんする) (0) [动3] 迁移,搬家記入する (きにゅうする) (0) [动3] 填写,写上投函する (とうかんする) (0) [动3] 投函,头信表示する (ひょうじする) (0) [动3] 表示,显示付く (つく) (1) [动1] 带,具有一括する (いっかつする) (0) [动3] 一起設定する (せっていする) (0) [动3] 设定修正する (しゅうせいする) (0) [动3] 修改,修正選択する (せんたくする) (0) [动3] 选择押し続ける (おしつづける) (5) [动2] 连续按,持续按セットする (1) [动3] 设置,对(表)解除する (かいじょする) (1) [动3] 解除鳴り続ける (なりつづける) (5) [动2] 连续响,持续响施す (ほどこす) (3) [动1] 施,施行ぶつける (2) [动3] 碰,撞狂う (くるう) (2) [动1] (表)不准避ける (さける) (2) [动2] 避免優勝する (ゆうしょうする) (0) [动3] 优胜,冠军,第一名収める (おさめる) (3) [动2] 收,取得,获得とれる (2) [动2] 收,出产練り上げる (ねりあげる) (0) [动2] 精炼,琢磨,推敲出会う (であう) (2) [动1] 碰见,遇见移り変わる (うつりかわる) (5) [动1] 变化,变迁決行する (けっこうする) (0) [动3] 断然行动,决定举行倒壊する (とうかいする) (0) [动3] 倒塌,坍塌建設する (けんせつする) (0) [动3] 建设募集する (ぼしゅうする) (0) [动3] 募集,招募まとめる (0) [动2] 总结,概括認識する (にんしきする) (0) [动3] 认识通勤する (つうきんする) (0) [动3] 上班往復する (おうふくする) (0) [动3] 往返集中する (しゅうちゅうする) (0) [动3] 集中皮肉だ (ひにくだ) (0) [形动] 讽刺分散する (ぶんさんする) (0) [动3] 分散検討する (けんとうする) (0) [动3] 研究気づき始める (きづきはじめる) (6) [动2] 开始注意ゆったりする (3) [动3] 宽敞ほうり出す (ほうりだす) (4) [动1] 仍下,抛弃断る (ことわる) (3) [动1] 拒绝移る (うつる) (2) [动1] 移动,转移指す (さす) (1) [动1] 指欠く (かく) (1) [动1] 缺少思い当たる (おもいあたる) (5) [动1] 想到,想起応じる (おうじる) (0) [动2] 应,按照預かる (あずかる) (3) [动1] 担任,管理思い浮かべる (おもいうかべる) (6) [动2] 联想起,浮现省く (はぶく) (2) [动1] 简化,节省奪う (うばう) (2) [动1] 剥夺,夺走つく (1) [动1] 感到……•引き離す (ひきはなす) (4) [动1] 拉开,拖开吹きまくる (ふきまくる) (4) [动1] 猛刮つかまえる (0) [动2] 抓住,揪住命じる (めいじる) (0) [动] 命令吹き清める (ふききよめる) (5) [动2] 刮净増す (ます) (0) [动1] 增加行き着く (いきつく) (3) [动1] 到达引っ掛かる (ひっかかる) (4) [动1] 挂上,卡住まじる (2) [动1] 混,杂飛び出る (とびでる) (3) [动2] 跑出去横切り (よこぎる) (3) [动1] 横过,横穿はみ出る (はみでる) (3) [动2] 挤出,露出あおる (2) [动1] 吹动かぶさる (3) [动1] 盖上,蒙上,兜住伏す (ふす) (1) [动1] 躺,卧,趴着助け起こす (たすけおこす) (5) [动1] 扶(某人)起来ためらう (3) [动1] 犹豫歩き出す (あるきだす) (4) [动1] 向前走去る (さる) (1) [动1] 离开,消失仰ぐ (あおぐ) (2) [动1] 仰望絞り出す (しぼりだす) (4) [动1] 榨出触れる (ふれる) (0) [动2] 摸,动,触裁く (さばく) (2) [动1] 裁判招待する (しょうたいする) (1) [动3] 招待座り込む (すわりこむ) (4) [动1] (进去)坐下かきたてる (4) [动2] 激发,搅拌仲良くなる (なかよくなる) [动1] 关系好,和睦掲出する (けいしゅつする) (0) [动3] 揭示,公布,列出かしこまる (4) [动1] 拘谨,恭敬受け止める (うけとめる) (4) [动2] 接住,阻止承認する (しょうにんする) (0) [动3] 认可,承认聞き入る (ききいる) (3) [动1] 倾听,专心听はっとする (0) [动3] 一怔,突然交える (まじえる) (3) [动2] 夹杂伸ばす (のばす) (2) [动1] 伸展脱する (だっする) (3) [动3] 脱离,摆脱思い込む (おもいこむ) (4) [动1] 坚信,认准付け加える (つけくわえる) (5) [动2] 补充,附加売れ残る (うれのこる) (4) [动1] 卖不出去釣る (つる) (0) [动1] 钓,诱骗かけ忘れる (かけわすれる) (4) [动2] 忘锁振り向く (ふりむく) (3) [动1] (转身)回头提案する (ていあんする) (0) [动3] 提议煮込む (にこむ) (2) [动1] 煮熟,煮透突く (つく) (0) [动1] 支持,冲思い始める (おもいはじめる) (6) [动2] 开始觉得類推する (るいすいする) (0) [动3] 类推売り切れる (うりきれる) (4) [动2] 卖完,售完感じ合う (かんじあう) [动1] 情投意合ほうる (0) [动1] 放弃,弃而不顾あきれる(0) [动2] 吃惊,愕然信頼する(しんらいする) (0) [动3] 信赖立ち上がる(たちあがる) (4) [动1] 站起来休憩する(きゅうけいする) (0) [动3] 休息捕まる(つかまる) (0) [动1] 捕捉,被捉住,逮住解消する(かいしょうする) (0) [动3] 解除,取消亡くなる(なくなる) (0) [动1] 去世,死亡隠す(かくす) (2) [动1] 藏,隐藏受かる(うかる) (2) [动1] 考中,及格,考上でき上がる(できあがる) (4) [动1] 完成列記する(れっきする) (1) [动3] 列举,罗列拾い出す(ひろいだす) (4) [动1] 挑出,选出,拣出ゆるむ(2) [动1] 缓和,缓解薫る(かおる) (0) [动1] 散发馨香しみる(0) [动2] 染上感心する(かんしんする) (0) [动3] 赞成,赞叹当てはまる(あてはまる) (4) [动1] 适用,适合裏づける(うらづける) (4) [动2] 证实,印证異なる(ことなる) (3) [动1] 不同,不一样変動する(へんどうする) (0) [动3] 变动,变化転勤する(てんきんする) (0) [动3] 调动工作たつ(1) [动1] 离开,出发なでる(2) [动2] 拂,抚摸着任する(ちゃくにんする) (0) [动3] 到任,上任散る(ちる) (0) [动1] 谢,落燃え始める(もえはじめる) (0) [动2] 开始怒放記す(しるす) (2) [动1] 记录,记下凍結する(とうけつする) (0) [动3] 冻结落葉する(らくようする) (0) [动3] 叶落,落叶咲き始める(さきはじめる) (5) [动2] 初开,开始开相当する(そうとうする) (0) [动3] 相当はじける(3) [动2] 绽放,迸发貧乏だ(びんぼうだ) (1) [形动] 贫穷,贫困害する(がいする) (3) [动3] 害,伤害引き起こす(ひきおこす) (4) [动1] 引起吹きつける(ふきつける) (4) [动2] 狂吹,猛刮立つ(1) [动1] 经,过寄せる(よせる) (0) [动2] 寄(信),投稿みなす(0) (2) [动1] 看作,视为近寄る(ちかよる) (0) [动1] 接近,靠近付き合う(つきあう) (3) [动1] 交往,交际掛ける(かける) (2) [动2] 悬挂好む(このむ) (2) [动1] 喜欢面する(めんする) (3) [动3] 面对,面向耐える(たえる) (2) [动2] 耐,经得住引っ越す(ひっこす) (3) [动1] 搬家直面する(ちょくめんする) (0) [动3] 面临,面对まく(1) [动1] 泼,洒非難する(ひなんする) (1) [动3] 非难,指责酔っ払う(よっぱらう) (0) [动1] 醉酒,酩酊大醉パスする(1) [动3] 通过もたらす(3) [动1] 带来培う(つちかう) (3) [动1] 培养,培育腐蝕する(ふしょくする) (0) [动3] 腐蚀さびる(2) [动2] 生锈生み出す(うみだす) (3) [动1] 产生精製する(せいせいする) (0) [动3] 精制焼き固める(やきかためる) (5) [动2] 烧至坚固匹敵する(ひってきする) (0) [动3] 匹敌,比得上支える(ささえる) (3) [动2] 支,支撑定義する(ていぎする) (1) [动3] 定义受け付ける(うけつける) (4) [动2] 接受,适应取り出す(とりだす) (3) [动1] 取出植え付ける(うえつける) (4) [动2] 移栽,移植共通する(きょうつうする) (0) [动3] 共同,共通禁止する(きんしする) (0) [动3] 禁止立ち寄る(たちよる) (0) [动1] 顺便到……去信頼し合う(しんらいしあう) (6) [动1] 相互信赖傷つく(きずつく) (3) [动1] 受伤こなす(0) [动1] 掌握,运用自如導く(みちびく) (3) [动1] 指导,引导のせる(0) [动2] 放,装载指さす(ゆびさす) (3) [动1] 用手指詰まる(つまる) (2) [动1] 充满,塞满蓄える(たくわえる) (4) [动2] 储存,储蓄送り込む(おくりこむ) (4) [动1] 输入,送到加える(くわえる) (3) [动2] 加,施加聞きとがめる(ききとがめる) (5) [动2] 责问試す(ためす) (2) [动1] 试验つぶやく(3) [动1] 嘟哝,自言自语相次ぐ(あいつぐ) (1) [动1] 相继发生うつむく(3) [动1] 俯首,低头,垂头黙る(だまる) (2) [动2] 沉默,无言,不说话嫌う(きらう) (0) [动1] 嫌恶,厌恶抱きかかえる(だきかかえる) (5) [动2] 怀抱,搂抱しまう(0) [动1] 收拾起来,放到…引き止める(ひきとめる) (4) [动2] 挽留冷める(さめる) (2) [动2] 冷却聞き入れる(ききいれる) (4) [动2] 听从,答应,采纳聞き出す(ききだす) (3) [动1] 打听出,刺探出聞きつける(ききつける) (4) [动2] (偶尔)听到聞き取る(ききとる) (3) [动1] 听见,听取聞き流す(ききながす) (4) [动1] 当作耳旁风,置若罔闻聞きほれる(ききほれる) (4) [动2] 听得入迷,听得出神聞き漏らす(ききもらす) (4) [动1] 听漏,没听见聞き分ける(ききわける) (4) [动1] 听懂,听后分辨出来言い切る(いいきる) (3) [动1] 断言,说定明け暮れる(あけくれる) (0) [动2] 埋头于……,从早到晚張り切る(はりきる) (3) [动1] 紧张専念する(せんねんする) (0) [动3] 专心致志就く(つく) (1) [动1] 就,从事限る(かぎる) (2) [动1] 限定,限于からかう(3) [动1] 嘲弄,开玩笑納得する(なっとくする) (0) [动3] 理解,领会かかる(2) [动1] 患(病)ける(1) [动1] 踢わめく(2) [动1] 大声喊叫推薦する(すいせんする) (0) [动3] 推荐離婚する(りこんする) (0) [动3] 离婚浮かぶ(うかぶ) (0) [动1] 漂,浮,呈现なびかせる(4) [动2] 使飘舞化す(かす) (1) [动1] 化挑戦する(ちょうせんする) (0) [动3] 挑战慣らす(ならす) (2) [动1] 使之习惯挑む(いどむ) (2) [动1] 征服,挑战目ざす(めざす) (2) [动1] 以……为目标阻む(はばむ) (2) [动1] 阻碍,阻挡舞い散らす(まいちらす) (4) [动1] 飞舞閉ざす(とざす) (2) [动1] 封闭断念する(だんねんする) (3) [动3] 断念,死心,放弃静まる(しずまる) (3) [动1] 平静,平息下山する(げざんする) (0) [动3] 下山回復する(かいふくする) (0) [动3] 恢复野営する(やえいする) (0) [动3] 野营尽きる(つきる) (2) [动2] 尽,完,到头むしばむ(3) [动1] 虫蛀,侵蚀凍りつく(こおりつく) (4) [动1] 冻上,冻结絶つ(たつ) (1) [动1] 断绝,切断励まし合う(はげましあう) (5) [动1] 互相鼓励うかがう(0) [动1] 请教,拜访振りしぼる(ふりしぼる) (4) [动1] 竭尽全力下り始める(くだりはじめる) (6) [动2] 开始下消耗し尽くす(しょうもうしつくす) (7) [动1] 耗尽力尽きる(ちからつきる) (5) [动2] 力尽負う(おう) (0) [动1] 背,负,蒙受取り留める(とりとめる) (4) [动2] 保住採る(とる) (1) [动1] 采集介抱する(かいほうする) (1) [动3] 护理,服侍出動する(しゅつどうする) (0) [动3] 出动移送する(いそうする) (0) [动3] 转送担ぎ込む(かつぎこむ) (4) [动1] 抬进さまよう(3) [动1] 彷徨,徘徊巡り合う(めぐりあう) (4) [动1] 邂逅,偶然相遇書き始める(かきはじめる) (5) [动2] 开始写塗る(ぬる) (0) [动1] 涂,抹,搽捨てる(すてる) (0) [动2] 抛弃,扔掉こらえる(3) [动2] 忍受たどりつく(4) [动1] 好容易才走到指摘する(してきする) (0) [动3] 指摘,指出募る(つのる) (2) [动1] 越来越厉害陥る(おちいる) (3) [动1] 落入,陷入•いただく (0) [动1] 收下起きる (おきる) (2) [动2] 起床始まる (はじまる) (0) [动1] 开始終わる (おわる) (0) [动1] 结束,完働く (はたらく) (0) [动1] 工作,劳动寝る (ねる) (0) [动2] 睡觉,就寝行く (いく) (0) [动1] 去帰る (かえる) (1) [动1] 回去,回来かかる (2) [动1] 用 (~小时)着く (つく) (1) [动1] 到,到达読む (よむ) (1) [动1] 看,读洗う (あらう) (0) [动1] 洗出かける (でかける) (0) [动2] 到……去,出去買う (かう) (0) [动1] 买飲む (のむ) (1) [动1] 喝,饮見る (みる) (1) [动2] 看,观看見物する (けんぶつする) (0) [动3] 参观書く (かく) (1) [动1] 写かく (1) [动1] 画もらう (0) [动1] 领受,取得あげる (0) [动2] 给届く (とどく) (2) [动1] 送来,送到習う (ならう) (2) [动1] 学习かける (2) [动2] 打 (电话)話す (はなす) (2) [动1] 谈话,说话旅行する (りょこうする) (0) [动3] 旅行食べる (たべる) (2) [动2] 吃ある (1) [动1] 在,有登る (のぼる) (0) [动1] 登 (山)歩く (あるく) (2) [动1] 走わかる (2) [动1] 明白,懂下がる (さがる) (2) [动1] 下降出勤する (しゅっきんする) (0) [动3] 上班利用する (りようする) (0) [动3] 利用会う (あう) (1) [动1] 会见,会面借りる (かりる) (0) [动2] 借違う (ちがう) (0) [动1] 不同入る (はいる) (1) [动1] 进,入要る (いる) (0) [动1] 要,需要作る (つくる) (2) [动1] 制作出す (だす) (1) [动1] 寄(信)遊ぶ (あそぶ) (0) [动1] 玩,游戏送る (おくる) (0) [动1] 寄住む (すむ) (1) [动1] 住売る (うる) (0) [动1] 卖役立つ (やくだつ) (3) [动1] 有用,有益使う (つかう) (0) [动1] 使用お願いする (おねがいする) (0) [动3] 请你,拜托量る (はかる) (2) [动1] 称待つ (まつ) (1) [动1] 等待見せる (みせる) (2) [动2] 给看,让看勤める (つとめる) (3) [动2] 工作,服务言う (いう) (0) [动1] 说持つ (もつ) (1) [动1] 拿置く (おく) (0) [动1] 放,搁歌う (うたう) (0) [动1] 唱休む (やすむ) (2) [动1] 请假受ける (うける) (2) [动2] 接受 (治疗)たつ (1) [动1] 过 (~小时)呼ぶ (よぶ) (0) [动1] 叫,唤はれる (0) [动2] 肿吸う (すう) (0) [动1] 吸開ける (あける) (0) [动2] 打开降る (ふる) (1) [动1] 下 (雪)着る (きる) (0) [动2] 穿咲く (さく) (0) [动1] 开 (花)運転する (うんてんする) (0) [动3] 开 (车)つける (2) [动2] 开 (电灯)進歩する (しんぽする) (1) [动3] 进步,提高変える (かえる) (0) [动2] 变,改变遅れる (おくれる) (0) [动2] 晚,迟到乗る (のる) (0) [动1] 坐,乘 (车,飞机)混雑する (こんざつする) (1) [动3] 拥挤押す (おす) (0) [动1] 推叫ぶ (さけぶ) (2) [动1] 叫,叫喊取る (とる) (1) [动1] 得到 (休息、假期)困る (こまる) (2) [动1] 为难,难办,不好办出発する (しゅっぱつする) (0) [动3] 出发,动身掃除する (そうじする) (0) [动3] 打扫,扫除できる (2) [动2] 会,能寄る (よる) (0) [动1] 顺便去,顺路到保存する (ほぞんする) (0) [动3] 保存教える (おしえる) (2) [动2] 教出る (でる) (1) [动2] 出 (门)始める (はじめる) (2) [动2] 开始弾く (ひく) (0) [动1] 弹 (琴)答える (こたえる) (3) [动2] 回答公演する (こうえんする) (0) [动3] 公演,演出走る (はしる) (2) [动1] 跑聞く (きく) (0) [动1] 听泳ぐ (およぐ) (2) [动1] 游泳疲れる (つかれる) (3) [动2] 疲劳,劳累知る (しる) (0) [动1] 得知 (消息),了解,知道選ぶ (えらぶ) (2) [动1] 挑选,选择思う (おもう) (2) [动1] 想,认为留学する (りゅうがくする) (0) [动3] 留学計算する (けいさんする) (0) [动3] 计算記憶する (きおくする) (0) [动3] 记忆組み立てる (くみたてる) (0) [动2] 组装進む (すすむ) (0) [动1] 进步,先进増える (ふえる) (2) [动2] 增加研究する (けんきゅうする) (0) [动3] 研究訳す (やくす) (2) [动1] 翻译伝わる (つたわる) (0) [动1] 传,传入まねる (0) [动2] 模仿与える (あたえる) (0) [动2] 给与,给以製作する (せいさくする) (0) [动3] 制作迎える (むかえる) (0) [动2] 迎接,迎来取材する (しゅざいする) (0) [动3] 取材感動する (かんどうする) (0) [动3] 感动成功する (せいこうする) (0) [动3] 成功撮る (とる) (1) [动1] 照相,拍学ぶ (まなぶ) (0) [动1] 学,学习両替する (りょうがえする) (0) [动3] 换钱,兑换忘れる (わすれる) (0) [动2] 忘记出迎える (でむかえる) (0) [动2] 迎接見つける (みつける) (0) [动2] 找,找到紹介する (しょうかいする) (0) [动3] 介绍覚える (おぼえる) (3) [动2] 记住,学会片づける (かたづける) (4) [动2] 收拾,整理結婚する (けっこんする) (0) [动3] 结婚消す (けす) (0) [动1] 熄,灭上がる (あがる) (0) [动1] 上进脱ぐ (ぬぐ) (1) [动1] 脱すく (0) [动1] 饿案内する (あんないする) (3) [动3] 领,带路,向导混む (こむ) (1) [动1] 拥挤並べる (ならべる) (0) [动2] 摆,排,上(菜)説明する (せつめいする) (0) [动3] 说明満足する (まんぞくする) (1) [动3] 满足,满意楽しむ (たのしむ) (3) [动1] 欣赏笑う (わらう) (0) [动1] 笑はく (0) [动1] 穿かぶる (2) [动1] 戴はずす (0) [动1] 摘掉締める (しめる) (2) [动2] 系つく (1) [动1] (気がつく) 发现,注意到入る (いる) (0) [动1] (気に入る) 中意なる (1) [动1] (気になる) 成了心事,总惦记着眠る (ねむる) (0) [动1] 睡觉相談する (そうだんする) (0) [动3] 商量引く (ひく) (0) [动1] (辞書を引く) 查词典曇る (くもる) (2) [动1] 阴,阴沉渋滞する (じゅうたいする) (0) [动3] 阻塞迷う (まよう) (2) [动1] 犹豫不决立つ (たつ) (1) [动1] 站,立謝る (あやまる) (3) [动1] 道歉調べる (しらべる) (3) [动2] 调查集める (あつめる) (3) [动2] 收集くれる (0) [动2] 给 (我)過ごす (すごす) (2) [动1] 过,度过売り出す (うりだす) (3) [动1] 出售挟む (はさむ) (2) [动1] 夹移動する (いどうする) (0) [动3] 转移,移动訪問する (ほうもんする) (0) [动3] 访问きる (きる) (1) [动1] 切,割,截,剪積もる (つもる) (2) [动1] 积,堆积暮らす (くらす) (0) [动1] 生活,度日取り除く (とりのぞく) (0) [动1] 清除雇う (やとう) (2) [动1] 雇下ろす (おろす) (2) [动1] 卸下,落下慣れる (なれる) (2) [动2] 习惯混乱する (こんらんする) (0) [动3] 混乱止まる (とまる) (0) [动1] 停止,停驶起こす (おこす) (2) [动1] 发生,引起つぶれる (0) [动2] 坏,压坏治る (なおる) (2) [动1] 治好,痊愈入れる (いれる) (0) [动2] 插入動く (うごく) (2) [动1] 转动曲がる (まがる) (0) [动1] 拐弯渡る (わたる) (0) [动1] 过,渡集まる (あつまる) (3) [动1] 聚集,聚会祝う (いわう) (2) [动1] 庆祝,祝贺鳴る (なる) (0) [动1] 鸣,响聞こえる (きこえる) (0) [动2] 听得见お祈りする (おいのりする) (0) [动3] 祈祷,祝福ひく (0) [动1] (風邪をひく) 感冒見える (みえる) (2) [动2] 看得见祈る (いのる) (2) [动2] 祈祷,祝福あきらめる (4) [动2] 算了,作罢飾る (かざる) (0) [动1] 装饰,修饰,摆设配達する (はいたつする) (0) [动3] 邮递,投递変わる (かわる) (0) [动1] 变化上げる (あげる) (0) [动2] 提高消える (きえる) (0) [动2] 消失増やす (ふやす) (2) [动1] 增加下りる (おりる) (2) [动2] 下鳴らす (ならす) (0) [动1] 打响,出声届ける (とどける) (3) [动2] 送到進める (すすめる) (0) [动2] 前进,进行,开展閉まる (しまる) (2) [动1] 关闭伝える (つたえる) (0) [动2] 传,传达下げる (さげる) (2) [动2] 降低並ぶ (ならぶ) (0) [动1] 排,排列止める (とめる) (0) [动2] 停止はる (0) [动1] 张贴なくなる (0) [动1] 精光,没有了そろう (2) [动1] 齐全囲む (かこむ) (0) [动1] 围和やかだ (なごやかだ) (2) [形动] 和睦,友好思い出す (おもいだす) (4) [动1] 想起感じる (かんじる) (0) [动2] 感到,感觉知らせる (しらせる) (0) [动2] 告诉,通知驚く (おどろく) (3) [动1] 惊讶怒る (おこる) (2) [动1] 生气泣く (なく) (0) [动1] 哭泣喜ぶ (よろこぶ) (3) [动1] 喜悦予約する (よやくする) (0) [动3] 订,预订なくす (0) [动1] 丢,丢掉割る (わる) (0) [动1] 打坏,弄坏落とす (おとす) (2) [动1] 失落,丢掉,遗矢育つ (そだつ) (2) [动1] 生长実る (みのる) (2) [动1] 成熟,结果広まる (ひろまる) (3) [动1] 普及,推广やる (0) [动1] 干,做,搞考える (かんがえる) (4) [动2] 想,考虑急ぐ (いそぐ) (2) [动1] 赶快,急間に合う (まにあう) (3) [动1] 来得及労働 (ろうどう) (0) [名] 劳动向上する (こうじょうする) (0) [动3] 向上,提高得る (える) (1) [动2] 得到,获得流れる (ながれる) (3) [动2] 播放譲る (ゆずる) (0) [动1] 让呼びかける (よびかける) (4) [动2] 呼吁,号召放送する (ほうそうする) (0) [动3] 广播,播放返す (かえす) (1) [动1] 退回,还やめる (0) [动2] 停止安心する (あんしんする) (0) [动3] 放心,安心決まる (きまる) (0) [动1] 定,决定連絡する (れんらくする) (0) [动3] 联系直す (なおす) (2) [动1] 改正,修改,修理頼む (たのむ) (2) [动1] 请求降りる (おりる) (2) [动2] 下,下车ためる (0) [动2] 储蓄動かす (うごかす) (3) [动1] 活动,转动比べる (くらべる) (0) [动2] 相比座る (すわる) (0) [动1] 坐希望する (きぼうする) (0) [动3] 希望指導する (しどうする) (0) [动3] 指导貸す (かす) (0) [动1] 借,出租ほめる (3) [动2] 表扬,赞扬書き続ける (かきつづける) (5) [动2] 持续记下去読み返す (よみかえす) (3) [动1] 重读,重看持ち歩く (もちあるく) (4) [动1] 随身携带踏む (ふむ) (0) [动1] 踩,踏勧める (すすめる) (0) [动2] 劝助かる (たすかる) (3) [动1] 省事,减轻负担似合う (にあう) (2) [动1] 适合デザインする (3) [动3] 设计取り入れる (とりいれる) (4) [动2] 采用,吸收死ぬ (しぬ) (0) [动1] 死壊す (こわす) (2) [动1] 弄坏,打破盗む (ぬすむ) (2) [动1] 偷,盗窃通う (かよう) (0) [动1] 上(学)苦労する (くろうする) (1) [动3] 辛苦,吃力捕る (とる) (1) [动1] 捕,捉がんばる (3) [动1] 努力,奋斗負ける (まける) (0) [动2] 输間違う (まちがう) (3) [动1] 错,弄错手伝う (てつだう) (3) [动1] 帮忙焼く (やく) (0) [动1] 烤,烧配る (くばる) (2) [动2] 发,分送必要だ (ひつようだ) (0) [形动] 必要成長する (せいちょうする) (0) [动3] 成长見かける (みかける) (0) [动2] 看见,发现投げる (なげる) (2) [动2] 扔,投行う (おこなう) (0) [动1] 举行,举办生かす (いかす) (2) [动1] 利用,发挥志望する (しぼうする) (0) [动3] 志愿話し合う (はなしあう) (4) [动1] 互相谈论減る (へる) (0) [动1] 减少望む (のぞむ) (0) [动1] 希望,指望活用する (かつようする) (0) [动3] 运用,活用払う (はらう) (2) [动1] 支付,付定着する (ていちゃくする) (0) [动3] 固定,扎根延びる (のびる) (2) [动2] 延长,延伸求める (もとめる) (3) [动2] 追求工夫する (くふうする) (0) [动3] 动脑筋,想办法辞める (やめる) (0) [动2] 辞去続ける (つづける) (0) [动2] 继续残る (のこる) (2) [动1] 留下,留存採用する (さいようする) (0) [动3] 录用,录取見直す (みなおす) (0) [动1] 重看,重新认识活躍する (かつやくする) (0) [动3] 活跃,发挥作用認める (みとめる) (0) [动2] 承认,同意向く (むく) (0) [动1] 适合晴れる (はれる) (2) [动2] 晴,天晴なじむ (2) [动1] 适应,习惯間違える (まちがえる) (4) [动2] 弄错,搞错打つ (うつ) (1) [动1] 打おっしゃる (3) [动1] 说 (敬语)戻る (もどる) (2) [动1] 回,返かける (2) [动2] 坐入院する (にゅいんする) (0) [动3] 住院召し上がる (めしあがる) (0) [动1] 吃,尝 (敬语) いらっしゃる (4) [动1] 在,去,来 (敬语)遭う (あう) (1) [动1] 遇到骨折する (こっせつする) (0) [动3] 骨折おいでになる (5) [动1] 来,去,在 (敬语)なさる (2) [动1] 做,干 (敬语)御覧になる (ごらんになる) (5) [动1] 看 (敬语)決める (きめる) (0) [动2] 决定尊敬する (そんけいする) (0) [动3] 尊敬謙遜する (けんそんする) (0) [动3] 谦虚,谦逊表す (あらわす) (3) [动1] 表示向かう (むかう) (0) [动1] 向,对申す (もうす) (1) [动1] 说,讲 (敬语)伺う (うかがう) (0) [动1] 拜访 (敬语)落ち着く (おちつく) (0) [动1] 安下心来,沉着,不慌参る (まいる) (1) [动1] 去,来 (敬语)おる (1) [动1] 在 (敬语)いたす (2) [动1] 干,做 (敬语)いただく (0) [动1] 让 (敬语)拝見する (はいけんする) (0) [动3] 看,拜读 (敬语)差し上げる (さしあげる) (0) [动2] 给,送给,赠给 (敬语) 延ばす (のばす) (2) [动1] 拖延,延长噛む (かむ) (1) [动1] 嚼つながる (0) [动1] 连结似る (にる) (0) [动2] 相似吹く (ふく) (1) [动1] 吹,刮渡す (わたす) (0) [动1] 交,交给尋ねる (たずねる) (3) [动2] 询问訪れる (おとずれる) (4) [动2] 访问広める (ひろめる) (3) [动2] 扩大解説する (かいせつする) (0) [动3] 解说過ぎる (すぎる) (2) [动2] 过泊まる (とまる) (0) [动1] 投宿,住振る (ふる) (0) [动1] 挥动湧く (わく) (0) [动1] 涌出はずむ (0) [动1] 起劲待ち合わせる (まちあわせる) (5) [动2] 会合連れる (つれる) (0) [动2] 带吹き出す (ふきだす) (3) [动1] 笑出声上達する (じょうたつする) (0) [动3] 进步,长进誘う (さそう) (0) [动1] 邀请たたく (2) [动1] 敲飛び上がる (とびあがる) (4) [动1] 跳起来招く (まねく) (2) [动1] 请,邀请ごちそうする (0) [动3] 款待,招待教わる (おそわる) (0) [动1] 受教,跟…学习炊く (たく) (0) (御飯をたく) [动1] 煮 (煮饭)用意する (よういする) (1) [动3] 准备煮る (にる) (0) [动2] 煮ゆでる (2) [动2] 焯炊き上がる (たきあがる) (4) (御飯が…) [动1] 煮好振りかける (ふりかける) (4) [动2] 撒上混ぜる (まぜる) (2) [动2] 混,掺混除く (のぞく) (0) [动1] 除去,除外混ぜ合わせる (まぜあわせる) (5) [动2] 掺混搅拌盛り付ける (もりつける) (4) [动2] 把饭菜很好地盛在器皿上載せる (のせる) (0) [动2] 放上添える (そえる) (0) [动2] 添加さわる (0) [动2] 碰合格する (ごうかくする) (0) [动3] 合格,及格震える (ふるえる) (0) [动2] 发抖組む (くむ) (1) (足を…) [动1] 盘 (腿)飛ぶ (とぶ) (0) [动1] 飞走,刮掉転ぶ (ころぶ) (0) [动1] 跌倒ぶつかる (0) [动1] 碰撞太る (ふとる) (2) [动1] 发胖現れる (あらわれる) (4) [动2] 表现くだける (3) [动2] 用“くだける”的形式表示“随便的,不客气的”的意思遅刻する (ちこくする) (0) [动3] 迟到続く (つづく) (0) [动1] 持续乾燥する (かんそうする) (0) [动3] 干燥悩ます (なやます) (3) [动1] 令人烦恼区切る (くぎる) (2) [动1] 隔开取り外す (とりはずす) (0) [动1] 取下通る (とおる) (1) [动1] 通过敷く (しく) (0) [动1] 铺设編む (あむ) (1) [动1] 编织吸い取る (すいとる) (3) [动1] 吸收適する (てきする) [动3] 适应濡れる (ぬれる) (0) [动2] 淋湿近づく (ちかづく) (3) [动1] 靠近印刷する (いんさつする) (0) [动3] 印刷欠席する (けっせきする) (0) [动3] 缺席学習する (がくしゅうする) (0) [动3] 学习我慢する (がまんする) (1) [动3] 忍耐つるす (1) [动1] 呈,挂まつわる (3) [动1] 相关,关联追い出す (おいだす) (3) [动1] 赶出去暮らし始める (くらしはじめる) (6) [动2] 开始生活隠れる (かくれる) (3) [动2] 躲,躲藏現す (あらわす) (3) [动1] 出现生まれる (うまれる) (0) [动2] 生かける (2) (皮をかける) [动2] 披 (披着皮)言い残す (いいのこす) (4) [动1] 留下话探す (さがす) (0) [动1] 寻找連れ戻す (つれもどす) (4) [动1] 带回 (人或动物)連れる (つれる) (0) [动2] 带 (人或动物)昇る (のぼる) (0) [动1] 升高,飞舞い上がる (まいあがる) (4) [动1] 飞起追いかける (おいかける) (4) [动2] 追赶追いつく (おいつく) (3) [动1] 追赶許す (ゆるす) (2) [动1] 允许,同意かける (2) (橋をかける) [动2] 架 (架桥)卒業する (そつぎょうする) (0) [动3] 毕业やむ (0) [动1] (雨) 停閉め出す (しめだす) (3) [动1] 关在外面逃げ出す (にげだす) (3) [动1] 逃出飛び出す (とびだす) (3) [动1] 跳出乗り出す (のりだす) (3) [动1] 探出誘い出す (さそいだす) (4) [动1] 约出起こる (おこる) (2) [动1] 发生襲う (おそう) (0) [动1] 袭击焼ける (やける) (0) [动2] 烧語り伝える (かたりつたえる) (6) [动2] 流传足す (たす) (0) [动1] 加上合計する (ごうけいする) (0) [动3] 合计収まる (おさまる) (3) [动1] 容纳揺れる (ゆれる) (0) [动2] 晃动びっくりする (3) [动3] 吃惊慌てる (あわてる) (0) [动2] 慌张ほっとする (0) [动3] 松一口气崩れる (くずれる) (3) [动2] 崩溃配属する (はいぞくする) (0) [动3] 分配ほえる (2) [动2] 狗叫拾う (ひろう) (0) [动1] 拾,拣めぐる (0) [动1] 围绕解く (とく) (1) [动1] 解支払う (しはらう) (3) [动1] 支付壊れる (こわれる) (3) [动2] 损坏割り切れる (わりきれる) (4) [动2] 除得尽弁償する (べんしょうする) (0) [动3] 赔偿迷惑する (めいわくする) (1) [动3] 觉得麻烦,为难目立つ (めだつ) (2) [动1] 引人注目残す (のこす) (2) [动1] 剩下押える (おさえる) (3) [动2] 按住空ける (あける) (0) [动2] 留出,腾出高まる (たかまる) (3) [动1] 高涨設ける (もうける) (3) [动2] 设置,制定脱出する (だっしゅつする) (0) [动3] 离开,逃离当たる (あたる) (0) [动1] 适逢帰省する (きせいする) (0) [动3] 回乡省亲立てる (たてる) (2) (計画をたてる) [动2] 作出 (作出计划) 殴る (なぐる) (2) [动1] 殴打強まる (つよまる) (3) [动1] 增强薄まる (うすまる) (3) [动1] 弄淡固まる (かたまる) (0) [动1] 加固弱まる (よわまる) (3) [动1] 减弱高める (たかめる) (3) [动2] 提高強める (つよめる) (3) [动2] 加强薄める (うすめる) (0) [动2] 稀释固める (かためる) (0) [动2] 巩固弱める (よわめる) (3) [动2] 削弱信じる (しんじる) (3) [动2] 相信破壊する (はかいする) (0) [动3] 破坏伸びる (のびる) (2) [动2] 长高,延伸通用する (つうようする) (0) [动3] 通用生まれ育つ (うまれそだつ) (5) [动1] 生养離れる (はなれる) (3) [动2] 离开,离别乗り降りする (のりおりする) (2) [动3] 上下 (车)縮める (ちぢめる) (0) [动2] 缩短歩き続ける (あるきつづける) (6) [动2] 持续步行結ぶ (むすぶ) (0) [动1] 连接整備する (せいびする) (1) [动3] 备齐,铺设にぎわう (3) [动1] 热闹誇る (ほこる) (2) [动1] 自豪,骄傲到着する (とうちゃくする) (0) [动3] 到达出張する (しゅっちょうする) (0) [动3] 出差味わう (あじわう) (3) [动1] 品尝,品味済む (すむ) (1) [动1] 完,办妥確かめる (たしかめる) (4) [动2] 确认心配する (しんぱいする) (0) [动3] 担心降り出す (ふりだす) (3) [动1] 下起完成する (かんせいする) (0) [动3] 完成うだる (2) [动1] 热得浑身发软思い切る (おもいきる) (4) [动1] 用“思い切った”的形式表示果断的、大胆的意思飛び降りる (とびおりる) (4) [动2] 跳下ともる (2) [动1] 点燃燃え上がる (もえあがる) (4) [动1] 燃烧起取りかかる (とりかかる) (4) [动1] 着手存じる (ぞんじる) (3) [动2] 想,以为書き終わる (かきおわる) (4) [动1] 写完探し続ける (さがしつづける) (6) [动2] 继续寻找受け取る (うけとる) (3) [动1] 收下誕生する (たんじょうする) (0) [动3] 诞生贈る (おくる) (0) [动1] 赠送達する (たっする) (0) [动3] 达到増加する (ぞうかする) (0) [动3] 增加減少する (げんしょうする) (0) [动3] 减少脅かす (おびやかす) (4) [动1] 威胁苦しむ (くるしむ) (3) [动1] 感到困苦増え続ける (ふえつづける) (5) [动2] 继续增加汚染する (おせんする) (0) [动3] 污染告げる (つげる) (0) [动2] 宣告,告诉願う (ねがう) (2) [动1] 祝愿足りる (たりる) (0) [动2] 够,足够降り続く (ふりつづく) (4) [动1] 连续下(雨或雪) 破る (やぶる) (2) [动1] 撕毁,不遵守消し忘れる (けしわすれる) (5) [动2] 忘记弄灭飛び回る (とびまわる) (4) [动1] 飞翔想像する (そうぞうする) (0) [动3] 想象抱く (いだく) (2) [动1] 怀有,怀抱スケッチする (2) [动3] 速写実現する (じつげんする) (0) [动3] 实现考え出す (かんがえだす) (5) [动1] 想出示す (しめす) (2) [动1] 表示広がる (ひろがる) (0) [动1] 扩展憧れる (あこがれる) (0) [动2] 憧憬割れる (われる) (0) [动2] 碎落ちる (おちる) (2) [动2] 掉,落見捨てる (みすてる) (0) [动2] 抛弃入賞する (にゅうしょうする) (0) [动3] 得奖治す (なおす) (2) [动1] 治好見慣れる (みなれる) (0) [动2] 看惯植える (うえる) (0)整える (ととのえる) (3)遂げる (とげる) (2) [动2] 获得,得到評価する (ひょうかする) (1)発揮する (はっきする) (0) [动3] 发挥やせる (0) [动2] 瘦建てる (たてる) (2) [动2] 盖,建かなう (2) [动1] 实现,如愿以偿見上げる (みあげる) (0) [动2] 仰望見比べる (みくらべる) (0) [动2] 比较見送る (みおくる) (0) [动1] 送行見守る (みまもる) (0) [动1] 关怀,照料見回す (みまわす) (0) [动1] 环视見渡す (みわたす) (0) [动1] 远望置き換える (おきかえる) (3) [动2] 转换たとえる (3) [动2] 比方点滅する (てんめつする) (0) [动3] 忽亮忽灭組み合わせる (くみあわせる) (5)果たす (はたす) (2) [动1] 实行,完成取って代わる (とってかわる) (1) [动1] 取代促す (うながす) (3) [动1] 促进,促使改良する (かいりょうする) (0) [动3] 改良盛り込む (もりこむ) (3) [动1] 加进氾濫する (はんらんする) (0) [动3] 泛滥,充斥使い慣れる (つかいなれる) (5) [动2] 用惯逃げる (にげる) (2) [动2] 逃跑書き写す (かきうつす) (4) [动1] 抄写書き出す (かきだす) (3) [动1] 摘录,开始写•書き留める (かきとめる) (4) [动2] 记下書き加える (かきくわえる) (5) [动2] 加写,添写書き終える (かきおえる) (4) [动2] 写完書き込む (かきこむ) (3) [动1] 写上,填写噴き上げる (ふきあげる) (4) [动2] 喷起流れ出す (ながれだす) (4) [动1] 流出避難する (ひなんする) (1) [动3] 避难湧き出る (わきでる) (3) [动2] 喷涌含む (ふくむ) (2) [动1] 包含,含有恵む (めぐむ) (0) [动1] 施恩惠眺める (ながめる) (3) [动2] 眺望,远眺つかる (0) [动1] 浸泡いやす (2) [动2] 解除(痛苦),治疗育てる (そだてる) (3) [动2] 培育,培养飼う (かう) (1) [动1] 饲养噴き出す (ふきだす) (3) [动1] 冒出,喷出保つ (たもつ) (2) [动1] 保持,维持応援する (おうえんする) (0) [动3] 声援恐れる (おそれる) (3) [动2] 害怕,担心緊張する (きんちょうする) (0) [动3] 紧张勝つ (かつ) (1) [动1] 获胜失う (うしなう) (0) [动1] 失去,丧失買い求める (かいもとめる) (5) [动2] 买,购买ごった返える (ごったがえる) (4) [动1] 拥挤不堪従う (したがう) (0) [动1] 遵从,适应働きかける (はたらきかける) (6) [动2] 推动,对……做工作ねらう (0) [动1] 想获得,把……作为目标つかむ (2) [动1] 抓住使用する (しようする) (0) [动3] 使用しかる (0) [动1] 责备,斥责飛び込む (とびこむ) (3) [动1] 跳入追い返す (おいかえる) (3) [动1] 逐回,拒绝開始する (かいしする) (0) [动3] 开始合う (あう) (1) [动1] 相同,一致仲良くする (なかよくする) (1) [动3] 要好ちょうだいする (0) [动3] 领受費やす (ついやす) (3) [动1] 耗费,用掉用いる (もちいる) (3) [动2] 使用,用かしげる (3) [动2] 歪,倾斜そそる (0) [动1] 引起,唤起注目する (ちゅうもくする) (0) [动3] 注目登場する (とうじょうする) (0) [动3] 登场,出台さらう (0) [动1] 赢得印象づける (いんしょうづける) (6) [动2] 给人以深刻印象はやる (2) [动1] 流行,时兴結び付く (むすびつく) (4) [动1] 有关联独り占めする (ひとりじめする) (0) [动3] 独占譲り合う (ゆずりあう) (4) [动1] 互让振り回す (ふりまわす) (4) [动1] 滥用,随便使用建つ (たつ) (1) [动1] 建,盖予期する (よきする) (1) [动3] 预料耕す (たがやす) (3) [动1] 耕,耕作刺さる (ささる) (2) [动1] 扎进,刺入舞い降りる (まいおりる) (4) [动2] (慢慢)飘落,飞落下来抜く (ぬく) (0) [动1] 拔掉,抽出鳴く (なく) (0) [动1] (鸟等)啼,鸣叫泊める (とめる) (0) [动2] 住宿,过夜言い出す (いいだす) (3) [动1] 说出織る (おる) (1) [动1] 织,编织織り始める (おりはじめる) (5) [动2] 开始编织織り上がる (おりあがる) (4) [动1] 织成,织好うなずく (3) [动1] 点头(表示同意)のぞく (0) [动1] 窥视助ける (たすける) (3) [动2] 救助,帮助織りかける (おりかける) (4) [动2] 没有织完,织了一半響く (ひびく) (2) [动1] 响,回响倒れる (たおれる) (3) [动2] 倒下ちぎれる (3) [动2] 被扭断握手する (あくしゅする) (1) [动3] 握手泣き出す (なきだす) (3) [动1] 哭起来,开始哭興奮する (こうふんする) (0) [动3] 兴奋かみつく (3) [动1] 咬,咬住きらめく (3) [动1] 闪耀とろける (3) [动2] 溶化,融解輝く (かがやく) (3) [动1] 放光(辉)みはる (0) [动1] 睁大眼睛直看凍る (こおる) (0) [动1] 结冰,冻结弾む (はずむ) (0) [动1] (呼吸)变粗,急促振る舞う (ふるまう) (3) [动1] 动作,行动威張る (いばる) (2) [动1] 逞威风,傲慢報道する (ほうどうする) (0) [动3] 报道退屈する (たいくつする) (0) [动3] 厌倦,无聊裏切る (うらぎる) (3) [动1] 背叛,出卖守る (まもる) (2) [动1] 恪守,遵守ほどく (2) [动1] 解开(绳结等)訪ねる (たずねる) (3) [动2] 访问,来访笑い出す (わらいだす) (4) [动1] 笑出,笑起来笑い始める (わらいはじめる) (6) [动2] 笑起来,开始笑食べかける (たべかける) (4) [动2] 吃了一半書きかける (かきかける) (4) [动2] 写了一半,没有写完光る (ひかる) (2) [动1] 发光,发亮蒔く (まく) (1) [动1] 播,种刈る (かる) (0) [动1] 割,割掉描く (えがく) (2) [动1] 画,描绘気づく (きづく) (2) [动1] 注意到合わせる (あわせる) (3) [动2] 合起,合并重なり合う (かさなりあう) (5) [动1] 互相重叠ひらめく (3) [动1] 忽然想出,闪现くっつく (3) [动1] 挨着,接合移動し始める (いどうしはじめる) (7) [动2] 开始移动深める (ふかめる) (0) [动2] 加深重なる (かさなる) (0) [动1] 重叠一致する (いっちする) (0) [动3] 一致隔てる (へだてる) (3) [动2] 隔,间隔航海する (こうかいする) (1) [动3] 航海探し出す (さがしだす) (4) [动1] 找到,找出忘れ去る (わすれさる) (4) [动1] 忘记,忘却よみがえる (3) [动2] 复活,复苏向ける (むける) (0) [动2] 向,朝沿う (そう) (1) [动1] 沿,顺溶ける (とける) (2) [动2] 溶化沸き上がる (わきあがる) (4) [动1] 涌现,沸腾冷え固まる (ひえかたまる) (5) [动1] 变冷凝固送り出す (おくりだす) (4) [动1] 送出,发出証明する (しょうめいする) (0) [动3] 证明,证实起こり始める (おこりはじめる) (6) [动2] 开始发生だます (2) [动1] 骗,欺骗見つかる (みつかる) (0) [动1] 找到,找出がっかりする (3) [动3] 失望深まる (ふかまる) (3) [动1] 加深備わる (そなわる) (3) [动1] 具有,具备読み進む (よみすすむ) (4) [动1] 继续读下去取り組む (とりくむ) (3) [动1] 专心致志設計する (せっけいする) (0) [动3] 设计及ぶ (およぶ) (0) [动1] 达到,长达こぼれる (3) [动2] 溢出,洒落汚れる (よごれる) (0) [动2] 脏値下がりする (ねさがりする) (0) [动3] 价格跌落呼び寄せる (よびよせる) (4) [动2] 召集来,请来密封する (みっぷうする) (0) [动3] 密封生える (はえる) (2) [动2] 生,长おろす (2) [动1] 擦碎刻む (きざむ) (0) [动1] 切细,剁碎はい回る (はいまわる) (4) [动1] 来回爬失う (うしなう) (0) [动1] 丧失,失去ひっくり返る (ひっくりかえる) (5) [动2] 倒,翻倒抑える (おさえる) (3) [动2] 抑制包む (つつむ) (2) [动1] 包,裹発芽する (はつがする) (0) [动3] 发芽当てる (あてる) (0) [动2] 贴近,安,放膨れる (ふくれる) (0) [动2] 膨胀,肿浴びる (あびる) (0) [动2] 照,浇,淋合成する (ごうせいする) (0) [动3] 合成立ちこめる (たちこめる) (4) [动2] 笼罩,弥漫敬遠する (けいえんする) (0) [动3] 敬而远之,(有意)回避食いつく (くいつく) (3) [动1] 咬住,咬上折れる (おれる) (2) [动2] 折断侵入する (しんにゅうする) (0) [动3] 侵入撃退する (げきたいする) (0) [动3] 打退,逐出言い伝える (いいつたえる) (5) [动2] 传说,传达退院する (たいいんする) (0) [动3] 出院防ぐ (ふせぐ) (2) [动1] 防止,预防築く (きずく) (2) [动1] 建立,构筑分布する (ぶんぷする) (0) [动3] 分布踏まえる (ふまえる) (3) [动2] 根据,依据慶ぶ (よろこぶ) (3) [动1] 欢喜,高兴,喜悦催す (もよおす) (3) [动1] 举办,主办このたび (2) [动2] (以“優れた”的形式表示)优秀,出色駆使する (くしする) (1) [动3] 运用展示する (てんじする) (0) [动3] 展出,陈列,展示賜る (たまわる) (3) [动1] 蒙受赏赐経る (へる) (1) [动2] 经过設立する (せつりつする) (0) [动3] 成立,设立禁じる (きんじる) (3) [动2] 禁止移転する (いてんする) (0) [动3] 迁移,搬家記入する (きにゅうする) (0) [动3] 填写,写上投函する (とうかんする) (0) [动3] 投函,头信表示する (ひょうじする) (0) [动3] 表示,显示付く (つく) (1) [动1] 带,具有一括する (いっかつする) (0) [动3] 一起設定する (せっていする) (0) [动3] 设定修正する (しゅうせいする) (0) [动3] 修改,修正選択する (せんたくする) (0) [动3] 选择押し続ける (おしつづける) (5) [动2] 连续按,持续按セットする (1) [动3] 设置,对(表)解除する (かいじょする) (1) [动3] 解除鳴り続ける (なりつづける) (5) [动2] 连续响,持续响施す (ほどこす) (3) [动1] 施,施行ぶつける (2) [动3] 碰,撞狂う (くるう) (2) [动1] (表)不准避ける (さける) (2) [动2] 避免優勝する (ゆうしょうする) (0) [动3] 优胜,冠军,第一名収める (おさめる) (3) [动2] 收,取得,获得とれる (2) [动2] 收,出产練り上げる (ねりあげる) (0) [动2] 精炼,琢磨,推敲出会う (であう) (2) [动1] 碰见,遇见移り変わる (うつりかわる) (5) [动1] 变化,变迁決行する (けっこうする) (0) [动3] 断然行动,决定举行倒壊する (とうかいする) (0) [动3] 倒塌,坍塌建設する (けんせつする) (0) [动3] 建设募集する (ぼしゅうする) (0) [动3] 募集,招募まとめる (0) [动2] 总结,概括通勤する (つうきんする) (0) [动3] 上班往復する (おうふくする) (0) [动3] 往返集中する (しゅうちゅうする) (0) [动3] 集中皮肉だ (ひにくだ) (0) [形动] 讽刺分散する (ぶんさんする) (0) [动3] 分散検討する (けんとうする) (0) [动3] 研究気づき始める (きづきはじめる) (6) [动2] 开始注意ゆったりする (3) [动3] 宽敞ほうり出す (ほうりだす) (4) [动1] 仍下,抛弃断る (ことわる) (3) [动1] 拒绝移る (うつる) (2) [动1] 移动,转移指す (さす) (1) [动1] 指欠く (かく) (1) [动1] 缺少思い当たる (おもいあたる) (5) [动1] 想到,想起応じる (おうじる) (0) [动2] 应,按照預かる (あずかる) (3) [动1] 担任,管理思い浮かべる (おもいうかべる) (6) [动2] 联想起,浮现省く (はぶく) (2) [动1] 简化,节省奪う (うばう) (2) [动1] 剥夺,夺走つく (1) [动1] 感到……•食いつく (くいつく) (3) [动1] 咬住,咬上折れる (おれる) (2) [动2] 折断侵入する (しんにゅうする) (0) [动3] 侵入撃退する (げきたいする) (0) [动3] 打退,逐出言い伝える (いいつたえる) (5) [动2] 传说,传达退院する (たいいんする) (0) [动3] 出院防ぐ (ふせぐ) (2) [动1] 防止,预防築く (きずく) (2) [动1] 建立,构筑焦げる (こげる) (2) [动2] 烧焦,烧糊分布する (ぶんぷする) (0) [动3] 分布踏まえる (ふまえる) (3) [动2] 根据,依据慶ぶ (よろこぶ) (3) [动1] 欢喜,高兴,喜悦催す (もよおす) (3) [动1] 举办,主办このたび (2) [动2] (以“優れた”的形式表示)优秀,出色駆使する (くしする) (1) [动3] 运用展示する (てんじする) (0) [动3] 展出,陈列,展示賜る (たまわる) (3) [动1] 蒙受赏赐経る (へる) (1) [动2] 经过設立する (せつりつする) (0) [动3] 成立,设立。
常用日语动词表合う——あう——『自』合一、合到一起、准确味わう——あじわう——『他』品味、品尝预かる——あずかる——『他』照顾、保管、承担预ける——あずける——『他』寄存、处理难以了结的事游ぶ——あそぶ——『自』玩、游戏与える——あたえる——『他』给、给予、提供、分配暖まる——あたたまる——『自』温暖、暖和温まる——あたたまる——『自』温暖(人心)、亲切当たる——あたる——『自』碰、撞、遭、命中、担任当てる——あてる——『他』猜测、推测、晒、烤、吹、暴れる——あばれる——『自』乱闹、胡闹浴びる——あびる——『他』淋、浇、遭、受甘える——あまえる——『自』撒娇、承蒙好意余る——あまる——『自』多余、富余、超过编む——あむ——『他』编、织洗う——あらう——『他』洗争う——あらそう——『他』争夺、斗争、竞争改める——あらためる——『他』改变、改进、更改、改换表す——あらわす——『他』表达、表现现す——あらわす——『他』现、出现现れる——あらわれる——『自』出现、显现、暴露荒れる——あれる——『自』变天、起风暴、心情、精神、气氛、失常抱く——いだく——『他』抱、搂、环绕、怀有痛む——いたむ——『自』痛、悲痛祈る——いのる——『他』祈祷、祝愿祝う——いわう——『他』祝贺、庆祝植える——うえる——『他』种、植、栽、嵌入浮く——うく——『自』浮、漂、松动浮かぶ——うかぶ——『自』漂、浮、浮现、呈现浮かべる——うかべる——『他』使…漂起、使…浮起、呈现承る——うけたまわる——『他』听、听取受ける——うける——『他』受、接受失う——うしなう——『他』失去、丢失薄める——うすめる——『他』稀释、浓淡疑う——うたがう——『他』怀疑、疑惑、猜疑打つ——うつ——『他』打、敲、拍、钉移る——うつる——『自』移动、迁移、移す——うつす——『他』移、迁、搬、挪、转、付诸埋める——うめる——『他』埋、填、填补敬う——うやまう——『他』尊敬、恭敬占う——うらなう——『他』占卜、算命选ぶ——えらぶ——『他』选择、挑选、选拔得る——える——『他』得到、获得追う——おう——『他』追、赶、驱逐、追求终える——おえる——『他』做完、结束拝む——おがむ——『他』叩拜、下拜、恳求、瞻仰补う——おぎなう——『他』补充、补上、弥补、补偿置く——おく——『自他』下(霜)、放置、搁、存放、设置、间隔赠る——おくる——『他』赠送、授予怒る——おこる——『自』发怒、生气、训斥収める——おさめる——『他』收下、接收、取得、获得、缴纳纳める——おさめる——『他』收下、接收、取得、获得、缴纳治める——おさめる——『他』治、治理、统治押す——おす——『他』推、按、压、挤恐れる——おそれる——『自他』怕、恐惧、担心教わる——おそわる——『他』受教、跟…学习落ちる——おちる——『自』掉、落、降、漏掉、脱落、落选、陷落落とす——おとす——『他』使…落下、扔下、失掉、失落、脱落、降低踊る——おどる——『自』跳舞、舞蹈惊く——おどろく——『自』吃惊、惊讶、惊恐覚える——おぼえる——『他』记住、学会、掌握、感觉泳ぐ——およぐ——『自』游泳降りる——おりる——『自』从(高处、交通工具)下来、降降ろす——おろす——『他』降下、摘下、卸下、弄下折る——おる——『他』折、折断、折叠折れる——おれる——『自』折、断、转弯、让步、屈服カ返す——かえす——『他』归还、送回、回报、回答、翻过来返る——かえる——『自』还原、恢复、返还変える——かえる——『他』改变、变更変わる——かわる——『自』变化、不同、改变替える——かえる——『他』替换、更换、替わる——かわる——『自』更换、代替、代理抱える——かかえる——『他』抱、夹、负担、肩负限る——かぎる——『自』限定、限于、最好欠ける——かける——『自』缺少、不足囲む——かこむ——『他』围重なる——かさなる——『自』重叠、重复重ねる——かさねる——『他』使…重叠起来、重复、反复饰る——かざる——『他』装饰、装潢、装饰、润色数える——かぞえる——『他』数、算固まる——かたまる——『自』变硬、凝固、稳固、形成、聚集倾く——かたむく——『自』倾斜、倾向于倾ける——かたむける——『他』倾、使…倾斜、倾注语る——かたる——『他』谈、讲、讲述、说唱胜つ——かつ——『自』胜、赢、获胜、胜过、压过悲しむ——かなしむ——『他』悲痛、悲伤通う——かよう——『自』来往、上班、上学、通勤枯れる——かれる——『自』枯萎、凋零乾く——かわく——『自』干、干燥乾かす——かわかす——『他』晒干、晾干、烤干、烘干消える——きえる——『自』消失、熄火効く——きく——『自』好使、灵便、有效、奏效刻む——きざむ——『他』切碎、剁碎、雕刻、铭记配る——くばる——『他』发放、分配、送、布置、安排组む——くむ——『自他』合伙、联合、把…交叉起来、组成昙る——くもる——『自』阴天暮らす——くらす——『自他』生活、过日子比べる——くらべる——『他』比较、比一比、比赛苦しむ——くるしむ——『自』痛苦、苦恼、苦于、难暮れる——くれる——『自』天黑、日暮、岁末、年终加える——くわえる——『他』添加、增加、给予、加以加わる——くわわる——『自』增加、添加、加入、参加消す——けす——『他』弄灭、熄灭、关掉、擦掉、涂去越える——こえる——『自』越过、度过、超过越す——こす——『自』越、过、度、(时间)经过、度过、超过超える——こえる——『自』越过、度过、超过超す——こす——『自』越、过、度、度过、超过、胜过冻る——こおる——『自』结冰、冻结冻える——こごえる——『自』冻僵试みる——こころみる——『他』尝试、试试看断る——ことわる——『他』拒绝、谢绝、预告、事先说好好む——このむ——『他』爱好、喜欢困る——こまる——『自』困窘、为难、难过、苦恼、没办法込む——こむ——『自』人多、拥挤転がる——ころがる——『自』滚转、倒下、躺下転ぶ——ころぶ——『自』滚动、倒、跌倒杀す——ころす——『他』杀、杀死、忍住、抑制壊れる——こわれる——『自』坏、碎、倒塌、出故障壊す——こわす——『他』毁坏、弄坏、损害、伤害サ探す——さがす——『他』寻找、搜查捜す——さがす——『他』寻找、搜查逆らう——さからう——『自』逆、悖逆、反抗、违逆咲く——さく——『自』花が咲く/ 花开探る——さぐる——『他』寻、搜索、探访、探求、试探叫ぶ——さけぶ——『自』呼喊、喊叫、呼吁支える——ささえる——『他』支撑、支持、维持刺す——さす——『他』扎、刺、穿、叮、咬指す——さす——『他』指、指点差す——さす——『他』注入、倒进、点入冷める——さめる——『自』冷却、变凉、冷漠冷ます——さます——『他』冷却、弄凉覚める——さめる——『自』醒、醒悟覚ます——さます——『他』冷却、弄凉去る——さる——『自他』离开、离去、去掉騒ぐ——さわぐ——『自』吵闹、骚动触る——さわる——『自』摸、触沈む——しずむ——『自』沉入、沉没、消沉、沉闷従う——したがう——『自』遵从、适应闭まる——しまる——『自』关闭闭める——しめる——『他』关闭、合上示す——しめす——『他』表示占める——しめる——『他』占、据有湿る——しめる——『自』潮湿、发潮调べる——しらべる——『他』调查、研究、检查吸う——すう——『他』吸、吸收过ぎる——すぎる——『自』经过、通过、过去、过分、过度过ごす——すごす——『他』过(日子)、度、过度、过量救う——すくう——『他』拯救、挽救、救济、解放优れる——すぐれる——『自』出色、优秀进む——すすむ——『自』进、前进、进步、进展、升入、(钟表)快进める——すすめる——『他』推进、向前移动、提高、加快舍てる——すてる——『他』扔掉、抛弃、放弃済む——すむ——『自』完、结束座る——すわる——『自』坐、跪坐责める——せめる——『他』责备、责难、逼、催促注ぐ——そそぐ——『自他』流入、降下、灌入、引入、集中、倾注育つ——そだつ——『自』发育、成长、生长育てる——そだてる——『他』养、养育、培养、教育备える——そなえる——『他』防备、准备、备置、具有タ倒れる——たおれる——『自』倒下、倒塌、倒台、倒闭倒す——たおす——『他』推断、放倒、打倒、推翻耕す——たがやす——『他』耕抱く——だく——『他』抱、楼确かめる——たしかめる——『他』确认、查明助かる——たすかる——『自』得救、脱险、得到帮助助ける——たすける——『他』帮助、帮忙、救助访ねる——たずねる——『他』寻、找、询问、打听戦う——たたかう——『自』作战、战斗、斗争、比赛頼む——たのむ——『他』恳求、委托、请、雇、靠、依仗试す——ためす——『他』尝试、试验頼る——たよる——『自他』仰仗、依靠、依赖违う——ちがう——『自』不同、错误、相反、不符散る——ちる——『自』散、离散、凋谢散らかる——ちらかる——『自』零乱散らかす——ちらかす——『他』弄乱、乱扔捕まる——つかまる——『自』被捕、被擒、抓住、揪住捕まえる——つかまえる——『他』捉拿、逮捕、揪住、抓住疲れる——つかれる——『自』疲劳、累突く——つく——『他』扎、刺、捅造る——つくる——『他』制造、创造、建造伝える——つたえる——『他』传达、转告、传授伝わる——つたわる——『自』流传、传播、顺着、沿着続く——つづく——『自』连续、继续、接着続ける——つづける——『他』继续、连续、连接起来包む——つつむ——『他』包、裹、笼罩勤める——つとめる——『自』工作、担当、担任努める——つとめる——『自他』努力、尽力、效力、效劳务める——つとめる——『自』工作、担当、担任诘まる——つまる——『自』堵塞、充满、缩小、贫困、窘迫诘める——つめる——『他自』填、塞、挨紧、缩短、节约积む——つむ——『自他』堆积、积累、装载积もる——つもる——『自他』堆积、积累连れる——つれる——『自他』带、偕照る——てる——『自』照耀、晒照らす——てらす——『他』照耀、对照、参照溶く——とく——『他』溶化、调匀、使…溶化溶ける——とける——『自』溶化、融解溶かす——とかす——『他』溶化、溶解、熔化解く——とく——『他』解开、打开、废除、解除、解答解ける——とける——『自』解开、解除、消除闭じる——とじる——『自他』关闭、结束届く——とどく——『自』送来、到、到达、周到、周密届ける——とどける——『他』送到、呈报、申报飞ぶ——とぶ——『自』飞翔、飞行、跳出去泊まる——とまる——『自』(船)停泊、投宿、住宿捕らえる——とらえる——『他』捕捉、抓住、逮捕取る——とる——『他』取、拿、除掉、脱去、摘掉撮る——とる——『他』照相、拍ナ直る——なおる——『自』改正过来、矫正过来、修理好直す——なおす——『他』改正、矫正、修理治る——なおる——『自』治好、痊愈治す——なおす——『他』治疗流れる——ながれる——『自』流淌、漂走、变迁、流逝流す——ながす——『他』使…流(动)、冲走、漂走、传播、播放、冲洗鸣く——なく——『自』鸣叫泣く——なく——『自』哭泣、啼哭亡くなる——なくなる——『自』遗失、死亡投げる——なげる——『他』投、仍、放弃悩む——なやむ——『自』烦恼、苦恼鸣る——なる——『自』鸣、响鸣らす——ならす——『他』鸣、弄出声音并ぶ——ならぶ——『自』排列、并列、赶得上、匹敌并べぶ——ならべぶ——『他』摆、排列、陈列、列举、比较惯れる——なれる——『自』习惯逃げる——にげる——『自』逃跑逃がす——にがす——『他』放走、错过(机会)憎む——にくむ——『自』憎恶、嫉恨似る——にる——『自』象、似抜く——ぬく——『他』抽出、拔掉、选出、除掉、省略、超过抜ける——むける——『自』脱落、遗漏、泄漏、穿过盗む——ぬすむ——『他』偷盗、盗窃、背着…、偷偷地涂る——ぬる——『他』涂、擦、抹愿う——ねがう——『他』请求、恳请、愿望、期望寝る——ねる——『自』睡觉、躺、卧残る——のこる——『自』留下、遗留、剩余残す——のこす——『他』留下、剩下、保留乗る——のる——『自』乘、坐、趁势乗せる——のせる——『他』使…搭乘、使…装载望む——のぞむ——『他』眺望、希望伸びる——のびる——『自』伸长、长高、发展伸ばす——のばす——『他』延长、拉长、伸开、拉直、展平延びる——のびる——『自』延长、推迟、延期延ばす——のばす——『他』延长、伸开、拉直、展平上る——のぼる——『自』登、上升、升级、晋升、上行升る——のぼる——『自』登、上升、晋升、上行登る——のぼる——『自』登上、攀登ハ生える——はえる——『自』(植物)生、长、(动物)长…测る——はかる——『他』测、量计る——はかる——『他』测、量量る——はかる——『他』推测、揣摩扫く——はく——『他』扫挟まる——はさまる——『自』挟挟む——はさむ——『他』挟、隔外れる——はずれる——『自』…脱落、掉下、脱离、不符合(标准)外す——はずす——『他』摘下、取下、开除、避开働く——はたらく——『自』工作离れる——はなれる——『自』离开、远离离す——はなす——『他』使…离开、分开、隔开放れる——はなれる——『自』脱离(束缚)放す——はなす——『他』松开、撒开、放开省く——はぶく——『他』省去、略去払う——はらう——『他』支付晴れる——はれる——『自』晴天冷える——ひえる——『自』冷、觉得冷、凉、变凉冷やす——ひやす——『他』冷、冰镇光る——ひかる——『自』发光、闪亮、出众引く——ひく——『他』拉、拽、引入、吸收、招惹拾う——ひろう——『他』拾、捡増える——ふえる——『自』增加、增多増やす——ふやす——『他』增加吹く——ふく——『他』吹(风)含む——ふくむ——『他』含着、带有(某种感情、思想)含める——ふくめる——『他』包括、叮嘱、教诲防ぐ——ふせぐ——『他』防御、防守、预防降る——ふる——『自』下(雨)、降(雪)震える——ふるえる——『自』发抖触れる——ふれる——『自』触摸、摸、听到、涉及、遇到减る——へる——『自』减少减らす——へらす——『他』减少干す——ほす——『他』晾、晒、弄干掘る——ほる——『他』挖、掘マ参る——まいる——『自』去、来任せる——まかせる——『他』委托、托付、任凭曲がる——まがる——『自』拐弯曲げる——まげる——『他』折弯、弄弯、放弃、歪曲巻く——まく——『自他』卷(胶卷)、缠(绷带)负ける——まける——『自』失败、输、经受不住、减价交ざる——まざる——『自』掺杂、混杂、掺混交じる——まじる——『自』掺杂、夹杂交ぜる——まぜる——『他』掺合、混合、调和混ざる——まざる——『自』掺杂、混杂、掺混混じる——まじる——『自』掺杂、夹杂混ぜる——まぜる——『他』掺合、混合、调和増す——ます——『自他』增加、增多祭る——まつる——『他』祭祀学ぶ——まなぶ——『他』学习招く——まねく——『他』邀请守る——まもる——『他』守护、保护、遵守迷う——まよう——『自』迷失、优柔寡断回る——まわる——『自』转、旋转、环绕、绕道、巡回回す——まわす——『他』转、转动磨く——みがく——『他』磨、刷満ちる——みちる——『自』满、充满、(潮)长认める——みとめる——『他』看见、看到、断定、认为、准许、赏识実る——みのる——『自』结果实、成熟、有成绩诊る——みる——『他』诊察、看病向かう——むかう——『自』面对、面向向く——むく——『自他』向、朝、(向某一方向)移动、适合向ける——むける——『他』向、转(脸)、挪用(资金)蒸す——むす——『自他』蒸结ぶ——むすぶ——『自他』连接、签订、打(领带)申す——もうす——『他』申请燃やす——もやす——『他』烧、燃烧、激发用いる——もちいる——『他』使用、用、采用、录用戻す——もどす——『他』还、归还、恢复、呕吐、反胃戻る——もどる——『自』回、返回求める——もとめる——『他』追求、寻求、请求、寻找、购置ヤ焼く——やく——『他』烧、烤、(把皮肤)晒黑雇う——やとう——『他』雇破る——やぶる——『他』弄破、扯破、打破、破坏辞める——やめる——『他』辞止む——やむ——『自』停、停止止める——やめる——『他』终止、作罢许す——ゆるす——『他』允许、准许、宽恕揺れる——ゆれる——『自』摇动、晃动汚れる——よごれる——『自』脏、污浊、(心灵)肮脏汚す——よごす——『他』弄脏、玷污寄る——よる——『自』靠近、挨近、集中、顺便寄せる——よせる——『自他』挨近、靠近、移近、集中、送呼ぶ——よぶ——『他』喊、叫喜ぶ——よろこぶ——『自』高兴ワ沸く——わく——『自』(水)沸腾、涌出沸かす——わかす——『他』烧开、烧热渡る——わたる——『他』渡(河)渡す——わたす——『自』架(桥)忘れる——わすれる——『他』忘笑う——わらう——『自他』笑割れる——われる——『自』碎、粉碎、分裂、裂开割る——わる——『他』切开、割开、劈开、打碎、插入、(加水)稀释。