交大版应用数理统计答案
- 格式:doc
- 大小:1.31 MB
- 文档页数:37
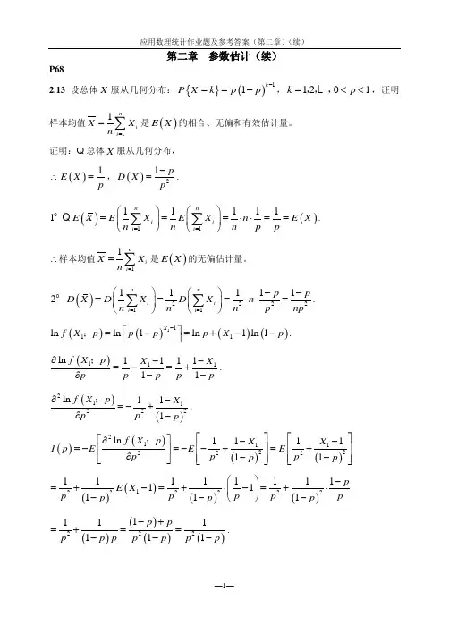
第二章 参数估计(续)P682.13 设总体X 服从几何分布:{}()11k P X k p p -==-,12k = ,,,01p <<,证明样本均值11ni i X X n==∑是()E X 的相合、无偏和有效估计量。
证明: 总体X 服从几何分布,∴()1=E Xp,()21-=p D X p.1 ()()1111111==⎛⎫⎛⎫===⋅⋅==⎪ ⎪⎝⎭⎝⎭∑∑ nn i i i i E XE X E X n E X nn n p p .∴样本均值11ni i X X n==∑是()E X 的无偏估计量。
2 ()22221111111==--⎛⎫⎛⎫===⋅⋅=⎪ ⎪⎝⎭⎝⎭∑∑nn i i i i p p D XD X D X n nn np np . ()()()()1111ln ln 1ln 1ln 1-⎡⎤=-=+--⎣⎦;X fX p p p p X p .()111ln 111111fX p X X pppp p∂--=-=+∂--;.()()211222ln 111fX p X ppp ∂-=-+∂-;.()()()()211122222ln 111111f X p X X I p E E E p p p p p ⎡⎤⎡⎤⎡⎤∂--=-=--+=+⎢⎥⎢⎥⎢⎥∂--⎢⎥⎢⎥⎣⎦⎣⎦⎣⎦; ()()()()12222221111111111111⎛⎫-=+-=+⋅-=+⋅ ⎪---⎝⎭pE X ppp p p p p p ()()()()2221111111-+=+==---p ppp pp p pp .()()()2422111111⎡⎤'⎛⎫⎢⎥ ⎪⎢⎥⎝⎭⎣⎦===-⋅⋅⋅⋅-n p pe p D X n I p n nppp .∴样本均值11ni i X X n==∑是()E X 的有效估计量。
3证法一:()21lim lim0→∞→∞-== n n p D X np,01p <<.∴样本均值11ni i X X n==∑是()E X 的相合估计量。
习题五1 某钢厂检查一月上旬内的五天中生产的钢锭重量,结果如下:(单位:k g)日期重旦量1 5500 5800 5740 57102 5440 5680 5240 56004 5400 5410 5430 54009 5640 5700 5660 570010 5610 5700 5610 5400试检验不同日期生产的钢锭的平均重量有无显著差异? ( =0.05)解根据问题,因素A表示日期,试验指标为钢锭重量,水平为 5.2假设样本观测值y j(j 123,4)来源于正态总体Y~N(i, ),i 1,2,...,5检验的问题:H。
:i 2 L 5, H i : i不全相等.计算结果:注释当=0.001表示非常显著,标记为*** '类似地,=0.01,0.05,分别标记为查表F0.95(4,15) 3.06,因为F 3.9496 F0.95(4,15),或p = 0.02199<0.05 ,所以拒绝H。
,认为不同日期生产的钢锭的平均重量有显著差异2 考察四种不同催化剂对某一化工产品的得率的影响,在四种不同催化剂下分别做试验解根据问题,设因素A表示催化剂,试验指标为化工产品的得率,水平为 4 .2假设样本观测值y j(j 1,2,..., nJ来源于正态总体Y~N(i, ), i 1,2,...,5 .其中样本容量不等,n分别取值为6,5,3,4 .日产量操作工查表 F O .95(3,14) 3.34,因为 F 2.4264 F °.95(3,14),或 p = 0.1089 > 0.05, 所以接受H 。
,认为在四种不同催化剂下平均得率无显著差异3试验某种钢的冲击值(kg Xm/cm2 ),影响该指标的因素有两个,一是含铜量 A ,另一个是温度试检验含铜量和试验温度是否会对钢的冲击值产生显著差异? ( =0.05 )解 根据问题,这是一个双因素无重复试验的问题,不考虑交互作用设因素A,B 分别表示为含铜量和温度,试验指标为钢的冲击力,水平为 12.2假设样本观测值y j (i 1,2,3, j 1,2,3,4)来源于正态总体 Y j ~N (j ,),i 1,2,3,j 1,2,3,4 .记i 为对应于A 的主效应;记 j 为对应于B j 的主效应;检验的问题:(1) H i 。
应用数理统计答案学号:姓名:班级:目录第一章数理统计的基本概念 (2)第二章参数估计 (14)第三章假设检验 (24)第四章方差分析与正交试验设计 (29)第五章回归分析 (32)第六章统计决策与贝叶斯推断 (35)对应书目:《应用数理统计》施雨著西安交通大学出版社第一章 数理统计的基本概念1.1 解:∵2(,)X N μσ∼ ∴ 2(,)n X N σμ∼∴)(0,1)X N μσ−∼分布∴(1)0.95P X P μ−<=<=又∵ 查表可得0.025 1.96u = ∴ 221.96n σ=1.2 解:(1) ∵ (0.0015)X Exp ∼∴ 每个元件至800个小时没有失效的概率为:8000.001501.2(800)1(800)10.0015x P X P X e dxe −−>==−<=−=∫∴ 6个元件都没失效的概率为: 1.267.2()P e e −−==(2) ∵ (0.0015)X Exp ∼∴ 每个元件至3000个小时失效的概率为:30000.001504.5(3000)0.00151x P X e dxe−−<===−∫∴ 6个元件没失效的概率为: 4.56(1)P e −=−1.4 解:ini n x n x ex x x P ni i 122)(ln 2121)2(),.....,(122=−−Π∑==πσμσ1.5证:∵21122)(na a x n x a x ni ni ii+−=−∑∑==∑∑∑===−+−=+−+−=ni i ni i ni i a x n x x naa x n x x x x 1222211)()(222a) 证:)(11111+=+++=∑n ni i n x x n x )(11)(1111n n n n n x x n x x x n n −++=++=++])()1(1 ))((12)[(11)](11[11)(11212111121211212112n n n i n n n i n i n i ni n n n i n i n in x x n n x x x x n x x n x x n x x n x x n S −+++−−+−−+=−+−−+=−+=++=+=+=+=++∑∑∑∑] )(11))1()((12)([112111212n n n n n n n n n x x n x n x x n x x n x x nS n −++−+−+−−++=++++])(11S [1 ])(1[nS 11212n 212n n n n n x x n n n x x n n n −+++=−+++=++ 1.6证明 (1) ∵22112211221()()()2()()()()()nni ii i nni i i i ni i X X X X X X X X X n X X X n X μμμμμ=====−=−+−=−+−−+−=−+−∑∑∑∑∑(2) ∵2221112221221()22ii i nn ni i i i i ni ni XX X X X nX X nX nX X nX =====−=−+=−+=−∑∑∑∑∑1.10 解: (1).∑∑====ni i n i i x E n x n E X E 11)(1)1()(p np n=⋅=1np mp x D n x n D X D ni in i i )1()(1)1()(121−===∑∑==))(1()(122∑=−=n i i x x n E S E)1(1)])1(1())1(([1)])()(())()(([1])()([1])([12222212212212p mp nn p m p mp n n p m p mp n n x E x D n x E x D n x nE x E n x x E n ni i i n i i n i i −−=+−−+−=+−+=−=−=∑∑∑=== 同理,(2). λ===∑∑==ni i n i i x E n x n E X E 11)(1)1()(λnx D n x n D X D ni in i i 1)(1)1()(121===∑∑==λnn x E x D n x E x D n x nE x E n S E ni i i n i i 1)])()(())()(([1])()([1)(2122122−=+−+=−=∑∑==(3). 2)(1)1()(11b a x E n x n E X E ni i n i i +===∑∑==na b x D nx n D X D ni ini i 12)()(1)1()(2121−===∑∑==12)(1)])()(())()(([1])()([1)(22122122a b nn x E x D n x E x D n x nE x E n S E ni i i n i i −⋅−=+−+=−=∑∑==(4). λ===∑∑==ni i n i i x E n x n E X E 11)(1)1()(nx D nx nD X D ni ini i 2121)(1)1()(λ===∑∑==221221221)])()(())()(([1])()([1)(λnn x E x D n x E x D n x nE x E n S E ni i i n i i −=+−+=−=∑∑==(5). μ===∑∑==ni ini i x E nx nE X E 11)(1)1()(nx D nx nD X D ni i ni i 2121)(1)1()(σ===∑∑==221221221)])()(())()(([1])()([1)(σ⋅−=+−+=−=∑∑==nn x E x D n x E x D n x nE x E n S E ni i i n i i1.11 解:由统计量的定义知,1,3,4,5,6,7为统计量,5为顺序统计量 1.17 证:),(~ λαΓX ∵xe x xf λαααλ−−Γ=∴1)()( 令kXY =ke ky k k e ky yf kyky ⋅Γ=⋅Γ=∴−−−−λαααλαααλαλ11)()( )()()(即 ),(~ky Y αΓ1.18 证:),(~ b a X β∵),()1()( 11b a B x xx f b a −−−=∴),(),( ),()1()( 11b a B b k a B b a B x x x X E b a k k +=−=∴∫∞+∞−−−),(),1()( b a B b a B X E +=∴ba a ab a b a b a a a a b a b a a a b b a b a b a +=Γ+Γ++ΓΓ=Γ++Γ+Γ+Γ=ΓΓ+Γ⋅++ΓΓ+Γ=)()()()()()()1()()1()()()()1()()1(),(),2()(2b a B b a B X E +=))(1()1()()()()2()()2(b a b a a a a b b a b a b a ++++=ΓΓ+Γ⋅++ΓΓ+Γ= 22)]([)()( X E X E X D −=∴2))(1())(1()1(b a b a ab ba ab a b a a a +++=+−++++= 1.19 解:∵ (,)X F n m ∼分布2212(1)022()((1))((1)()()()(1)()()n n m n mn m yn m y n mn nP Y y P X X y m myP X y n n n x x dx m mm ++−−+≤=+≤=<−Γ=+ΓΓ∫2222122221122()()()1((1()()11(1)(1)(,)n n m n m n m n m n m f y P Y y y y yy y yy B ++−−−−′=≤Γ=+ΓΓ−−−−=∴ 22(1)(,)n mn n Y X X m mβ=+∼分布1.20 解:∵ ()X t n ∼分布122212()()((2(1n n P Y y P X y P X xdxn ++−≤=≤=≤≤=+112211221212122()()()(1)()1()(1(()()n n n n n f y P Y y y y n y y nn n +++−−+−−′=≤Γ=+Γ=+ΓΓ∴ 2(1,)2nY X F =∼分布1.21 解: (1) ∵ (8,4)X N ∼分布∴ 4(8,)25X N ∼ 分布,即5(8)(0,1)2X N −∼ ∴ 样本均值落在7.88.2∼分钟之间的概率为:5(7.88)5(8)5(8.28)(7.88.2)()2220.383X P X P −−−≤≤=≤≤=(2) 样本均值落在7.58∼分钟之间的概率为:5(7.58)5(8)5(88)(7.58)(2225(8)(0 1.25)20.3944X P X P X P −−−≤≤=≤≤−=≤≤= 若取100个样品,样本均值落在7.58∼分钟之间的概率为:10(7.88)10(8)10(8.28)(7.88.2)(2222*(0.84130.5)0.6826X P X P −−−≤≤=≤≤=−= 单个样品大于11分钟的概率为:110.77340.2266P =−= 25个样品的均值大于9分钟的概率为210.97980.0202P =−= 100个样品的均值大于8.6分钟的概率为310.99870.0013P =−= 所以第一种情况更有可能发生1.23 解:(1) ∵ 2(0,)X N σ∼分布 ∴ 2(0,X N nσ∼分布∴ 22)(1)nXχσ∼∵ 222221()(ni i nXa X an X an σσ===∑∴ 21a n σ=同理 21b m σ=(2) ∵2(0,)X N σ∼分布 ∴222(1)X χσ∼分布由2χ分布是可加性得:2221()ni i X n χσ=∑∼()ninX c X t m ==∑∼ ∴c =(3) 由(2)可知2221()ni i X n χσ=∑∼2221122211(,)nni ii i n mn mi ii n i n X d Xnn dF n m XmXmσσ==++=+=+=∑∑∑∑∼∴ md n=1.25 证明:∵ 211(,)X N μσ∼分布 ∴ 2211((1)i X μχσ−∼∴ 1221111(()n i i X n μχσ=−∑∼同理 2222212(()n i i Y n μχσ=−∑∼ 1122222112211111222221122112()()(,)()()n n i i i i n n i i i i X n n X F n n Y n Y n μσμσμσμσ====−−=−−∑∑∑∑∼ 第二章 参数估计2.1 (1) ∵ ()X Exp λ∼分布∴ ()1E X λ=令 ˆ1X λ= 解得λ的矩估计为: ˆ1X λ= (2) ∵ (,)X U a b ∼分布∴ ()2a bE X +=2()()12b a D X −=令 1ˆˆ2ab A X +==22221ˆˆˆˆ()()1124n i i b a a b A X n =−++==∑ (22211n i i X X S n =−=∑)解得a 和b 的矩估计为:ˆˆaX bX =−=(3) 110()1E X x x dx θθθθ−=∗=+∫令 1ˆˆ1A X θθ==+∴ˆ1XXθ=− (4) 110()(1)!kk x kE X x x e dx k βββ−−=∗=−∫令ˆkX β= ∴ ˆkXβ=(5) 根据密度函数有2221()22()E X a aE X a λλλ=+=++根据矩估计有1222221ˆˆˆ22ˆˆˆa A X a a A S X λλλ+==++==+解得λ和a 的矩估计为:ˆˆaX λ==(6) ∵ (,)X B m p ∼ ∴ ()E X mp =令 1ˆmpA X == 解得p 的矩估计为:ˆXpm= 2.3解:∵ X 服从几何分布,其概率分布为:1()(1)k P X k p p −==−故p 的似然函数为: 1()(1)ni i x nnL p p p =−∑=−对数似然函数为:1ln ()ln ()ln(1)ni i L p n p x n p ==+−−∑令 1ln ()1()01nii L p n x n p p p =∂=−−=∂−∑ ∴ 1ˆpX= 2.4 解:由题知X 应服从离散均匀分布,⎪⎩⎪⎨⎧≤≤==其它01 1)(Nk N k x p2)(NX E =矩估计: 令 7102=∧N1420=∴∧N 极大似然估计:⎪⎩⎪⎨⎧≤≤=其它07101 1)(NN N L ∵要使)(N L 最大,则710=N710=∴∧N 2.5 解:由题中等式知:2196.196.196.1)025.01(025.0)(1S X +=+=∴+=+−Φ=∴=−Φ−∧∧∧−σμθσμμσθσμθ2.6 解:(1) 05.009.214.2=−=R ∵0215.005.04299.05=×==∴∧d Rσ(2)将所有数据分为三组如下所示:1x 2x 3x 4x5x 6x i R1 2.14 2.10 2.15 2.13 2.12 2.13 0.05 2 2.10 2.15 2.12 2.14 2.10 2.13 0.05 32.11 2.14 2.10 2.11 2.15 2.10 0.050197.005.03946.005.0)05.005.005.0(316=×==∴=++=∴∧d R R σ 2.7 解:(1)⎩⎨⎧+<<=其它 01x 1)(θθx f ∵ θθθθθθ≠+==+=++=∴∧21)()(2121)(X E E X E ∴ X =∧θ不是θ的无偏估计,偏差为21=−∧θθ(2) θ=−21(X E ∵ 21−=∴∧X θ是θ的无偏估计(3)22))(()())(()(θθθθ−+=−+=∧∧X E X D E D MSE41121+=n 2.8 证:由例2.24,令2211x a x a +=∧μ,则∧μ 为μ无偏估计应 满足121=+a a因此1μ,2μ,3μ都是μ的无偏估计)()()()(21)()(2513)()(95)9491)(()())(()()(1233212221212∧∧∧∧∧∧=∧<<===+=∴+==∑μμμμμμμD D D X D D X D D X D X D D a a X D X D a D i i i ∵∵2132121X X +=∴∧μ最有效2.9证: )(~λp X ∵ λλ==∴)( )(X D XEX ∵是λ=)(X E 的无偏估计,2*S 是λ=)( X D 的无偏估计)()1()())1((2*2*S E X E S X E αααα−+=−+∴λλααλ=−+=)1(∴2*)1(SX αα−+是λ的无偏估计2.10 解:因为2222((1))()(1)()(1)()1(1)()11(1)1E X S E X E S na E S n n a E S n n n a n nααααλαλαλαλλ∗∗+−=+−=+−−=+−−−=+−=− 所以 2(1)X S αα∗+−是λ的无偏估计量2.15 解:因为ˆθ是θ的有效估计量ˆˆˆ()()()E uE a b aE b a b u θθθ=+=+=+= 221ˆˆˆˆ()()()()D u D a b a D a D θθθ=+=≤ (其中,1ˆθ是θ的任意无偏估计量中的一个)所以 ˆu是u 的有效估计量 2.26 解: 因为总体服从正态分布,所以)01X U N μσ−=∼(,)对于给定的1α−,查标准正态分布表可得2u α,使得2()1P U u αα<=−即:22()1P X p X ααα−<<=−区间的长度2d L α=<,所以 22224u n L ασ>2.28 解:因为总体服从正态分布,所以)01X U N μσ−=∼(,), 222(1)nS V n χσ=−∼由因为U 和V 是相互独立的,所以(1)X T t n =−∼对于给定的1α−,查标t 分布表可得t α,使得 2()1P U t αα<=−,即:22()1P X X ααμα<<+=− 当30n =,35X =,15S =时,第一家航空公司平均晚点时间μ的95%的置信区间为:(29.3032,40.6968)对于给定的1α−,查标t 分布表可得t α,使得 ()1P U t αα>=−, 即:()1P X αμα<+=− 故μ的具有单侧置信上限的单侧置信区间为(,)X α−∞+ 所以经计算可得:第一家航空公司的单侧上限置信区间为(,39.7327)−∞第二种航空公司的单侧上限置信区间为(,36.3103)−∞所以选择第二家航空公司。
习题22 解:X 的取值为8,11,21,23,27,对应的概率为23232367574737,27,C C C C == 2337635,C C = 分布函数为()3781157112131212334352327127x x F x x x x ⎧⎪≤<⎪⎪≤<=⎨≤<⎪⎪≤<⎪≥⎩。
4解:X 的分布律为(){}113,1,2,,13P X k k === 。
(1){}15513P X ≤≤=。
(2)()616{}613k F P X k ====∑。
5 解:(1){}2111412,4,6,21143kk P X +∞=====-∑ 。
(2) {}31181321124k k P X +∞=≥===-∑。
8 解:(1) 设X 表示4人中血型为A 的人数,则()~4,0.4X B ,所求为{}222420.40.60.3456P X C ==⋅=。
(2) 设X 表示4人中血型为B 的人数,则()~4,0.2X B ,所求为{}400.80.4096P X ===。
9 解:设X 为击中次数,则(1) ()~3,0.3X B ,{}22320.30.70.3^30.216P X C ≥=+=。
(2) ()~5,0.3X B ,{}22333255230.30.70.30.70.441P X C C ≤≤=+=。
10 解:设,X Y 为甲、乙投中次数,则()()~2,0.6,~2,0.5X B Y B 。
(1) {}{}{}{}0,01,12,2P X Y P X Y P X Y P X Y ====+==+==221122220.40.5C 0.60.4C 0.50.50.60.50.37=+⨯⨯⨯+⨯=。
(2) {}{}{}{}1,02,02,1P X Y P X Y P X Y P X Y >===+==+==12212222C 0.60.40.50.6C 0.50.50.60.50.39=⨯⨯+⨯⨯+⨯=。
2214243.(1)[||]0.140(2)[||]0.144(,4),(,),(0,)[||]20.1800255(3){||0.1}2(10.9521.9615372tnE a D nnE aN a N a t a NnnE t t dtnP t Pnξξξξξξπ-+∞-==≤⇒=-≤=-==≤==≤=≤=Φ-≥=⇒≥⎰《应用数理统计》参考答案习题一0.51.(,0.5)(,){||0.1}0.9972.97442N a N anP a Pnξξξξ⇒-<=<==⇒=2242.(,4)(,)100||(1)(||)()0.90,0.330.20.2(2):P(||)N a N aa UP a U P Uaξξξξσξεε⇒--<=<==-≥≤挈比学夫不等式(5)(5)125515(3){15}1{15}1{15,15,,15}1215121[{}]221[1(1.5)]0.292P P P P ξξξξξξ>=-≤=-≤≤≤--=->=--Φ=1121212111()(1){}{,,,}{1,1,,1}()()(1)(1)k n n nn m nm n m n m ni i P k pq P M m P m m m P m m m pqpq q q ξξξξξξξ----======≤≤≤-≤-≤-≤-=-=---∑∑4.5. 6. 13.0)25(1}8.012138.012{}13{)54,12(~)1()4,12(~=Φ-=->-=>ξξξξP P N N (1)(1)1255511515(2){10}1{10}1{10,10,,10}1[{10}]1[1{10}]1210121[1{}]221[11(1)]0.579P P P P P P ξξξξξξξξ<=-≥=->>>=->=--≤--=--≤=--+Φ=6(1)0.001567.2800~(0.0015)(1){800}[{800}][0.0015]x E P P e dx e ξξξ∞-->=>==⎰6(6)30000.00156 4.56(2){3000}[{3000}][0.0015](1)x P P e dx e ξξ--<=<==-⎰1212(2){}{,,,}{1,1,,1}n n nn P K k P k k k P k k k ξξξξξξ==≥≥≥-≥+≥+≥+7.8.均值的和(差)等于和的均值,方差的和差都等于方差的和9.由中心极限定理:10.11.22222(1)(1)(1)()222~()()()[()](,)it itit n e n n e n e it i t t tn it it n n nn p t e t t ee n e e e N n λξλλξξλλλλλξλϕϕϕλξλ---+--∴=∴======∴12121233~(20,3),~(20,),~(20,)10151~(0,)2{||0.3}1220.67N N N N P P ξξξξξξξξξ-∴->=->=-Φ=2(),(),E a D ξξσ==121(0,1)(0,1)~(,)n n i i i ni i na a n N N N a n nξξσξσξ==--∴∴=∑∑∑22222222,(),()()(),(),(),(,)k k k k k k k k k k k k k kk k E a E a D E E a a a a E A a D A n a a A N a nξξξξξ===-=--∴==-∴22121212222(),()(),()0,()()()2,()()()2,i i E E a D D E D D D E E D ξξξξσξξξξξξσξξξξξξσ====∴-=-=+=∴-=-+-=13.14.15.16.2212221221,(),(),()()0,()()()(1),11[()](1)1niii ii i iniiniiE a E a D DnE D D DnDn D nDES n Dn nE ES Dn n nσξξξσξξξξξξξσξξξξξξξ=======∴-=-=+--===--==--∑∑∑222222222424222(1),11()(1)()2(1)21 ()2(1)() nsnns nE n Es On nns nD n Ds On n n χσσσσσσσ--=-⇒==+-=-⇒==+112323''' '2(121)(1)()()()()5231()(121)23023021AD E E E EA E E A AVar Aξξξξξξηξηηηηηξξξξξ⎛⎫⎪-+=-==⎪⎪⎝⎭=--=--⎛⎫⎛⎫⎪⎪==--=⎪⎪⎪⎪⎝⎭⎝⎭11223''''110(2)(,)111()()()()5231()(121)23023021BE E E EB E E B BVar Bξηηηξξξηηηηξξξξξ⎛⎫⎛⎫ ⎪===⎪ ⎪⎝⎭ ⎪⎝⎭∑=--=--⎛⎫⎛⎫⎪⎪==--=⎪⎪⎪⎪⎝⎭⎝⎭11222211()2822121(2)||2241128116xx xxe dx dxπ⎛⎫⎛⎫- ⎪⎪∞∞⎝⎭⎝⎭-∞-∞-=∑-⎛⎫⎛⎫∑==⎪ ⎪-⎝⎭⎝⎭⎰⎰17.18.21.22.()11223'122'111110(,),211151,1101221111111100130111100310110N A A AAA Aξηξηξηηθθ⎛⎫⎛⎫⎛⎫ ⎪⎪ ⎪ ⎪⎝⎭⎝⎭ ⎪⎝⎭∑⎛⎫⎛⎫⎛⎫⎪==⎪ ⎪⎪⎝⎭⎝⎭⎪⎝⎭⎛⎫⎛⎫⎛⎫⎛⎫⎪⎪∑=-=⎪ ⎪⎪⎪⎝⎭⎝⎭⎪⎪⎝⎭⎝⎭‘=,由引理1.2.3,则-的联合分布为--11223''12111111~(,),1011111432111111121301111210.2N A A AA Aξηξξηξηθρρρρρρρρρηη⎛⎫⎛⎫⎛⎫ ⎪⎪ ⎪ ⎪-⎝⎭⎝⎭ ⎪⎝⎭∴∑⎛⎫⎛⎫+--⎛⎫⎛⎫⎪⎪∑=-=⎪ ⎪⎪⎪---⎝⎭⎝⎭⎪⎪-⎝⎭⎝⎭∴--=⇒=-==A,--时与独立2''44''22'''''' 44224(0,)(,)()()2()()()()()cov(,)(,)()() ()()2()()()2()nN IE A B tr A tr B tr ABE A E B tr A tr BA B E A B E A E Btr A tr B tr AB tr A tr B tr AB ζσζζζζσσζζζζσσζζζζζζζζζζζζσσσσσ=+=∴=-=+-=()11112222121122,1,1,0822177,122477yay y Qyba babθθθθθθθ--⎛⎫⎛⎫--=⎪⎪-⎝⎭⎝⎭⇒===-=⎛⎫⎪⎛⎫⎛⎫∴=∑== ⎪⎪ ⎪⎪⎝⎭⎝⎭⎪⎝⎭23.24.又 则令 则与 独立,则 与独立,且26.则2212221~(,),~(0,),~(1),(0,1)/(1)n n N a N n n ns n N T t n σξξξσξξχσξξ++----=-'11111(,,),(,,)111(,,),()11n n n ij n n n n i i i ia a B D nn n ξξθξσσσσδσσ⨯======-∑∑'2,0,D D D BD ===221(,)(,)1()n ni i nnB N a N I ηξθσσ===∑,i i i aξγσ-=2'11,()()()ni i i a D n ηγζγγξθξθσ=-==-=--∑∑B nηξ=ξηζ)1(~2-n χζ11(,)22U ξθθ-+(1)()121111221111()2201()121()()[1()]1[]21()()[()][]2(,)(1)()()[()()](1)[]n x n n n n n n n x f x other F x dx x f x nf x F x n x f x nf x F x n x f x y n n f x f y F y F x n n y x ξξθξξθθθθθ-------⎧-<<+⎪=⎨⎪⎩==-+∴=-=⋅⋅-+==⋅+-=--=⋅-⋅-⎰27.33.2222122222212222(0,),1()||2 ()()()()22(1)iyniniiY a NE d Y dynaD dE d E d Ennn nσξσσξσσσπσσσππ-∞-∞===-==-=-=-=⋅-=-∑⎰∑2222122122210.3(0,0.3),(0,)1010()(9)0.310()100.18{}0.30.3{(2}0.01iniiniiniN NPPξξξξχξξξ===--⨯<=<=∑∑∑222(2)(0,1),(1)0.3(9){0.9}0.9932nsN ntP Psnξχσξξξ--<=<=12121222221221212(3)(0,0.18),(0,0.18)(0,1),(0,1)0.18(1),()(1)0.18{()40}0.9N NN NPξξξξχχξξξξ+-+-+<=-224132244(4)~(1),~(0,0.12),10.73 {10.73}{}0.95NP Pξχξξξξ-<=<=34.《应用数理统计》参考答案2211222212222211(1)(0,),(0,)(1),()(1)11,()()(2)nn miii i n nniii nn mi i i i n N n N m n m m a b n m a b n m ξσξσξξχχσσσξξχ+==+=+==+--==++-∑∑∑∑∑∑222211112(2)(),(0,)(0,1),/(),n mni ii n i nniii i i m N n N t m c m n ξχξσσξξσσ+=+===∴=∑∑∑∑∑2222221121221(3)(),()()/(1,1),/nn mi i i i n ni i n mi i n n m n mF n m d nm ξξχχσσξσξσ+==+=+=+--∴=∑∑∑∑1. 由矩估计法2. (1) 由矩估计法(2)(3)(4)(5)818226212266174.00281610(74.002)88610 6.85710181ii i i a X x S x n S S n σ=-=--⎧===⎪⎪⎨⎪==⨯=-⎪⎩∴==⨯⨯=⨯--∑∑11'1202()33A x EX x dx θαξθθαξθθξ==-====∴=⎰111'101(1)2211A EX x x dx θαξθαθξθξθξ==+==+==+-∴=-⎰1211211122222221212222222121112()2x x n i i e xdx e x dx A X n A S S S θθθθθθαθθξθαθθξθξθξθθξθξθ--+∞--+∞==⋅=+==⋅===+∴=+==-+⎧=-⎪∴⎨=⎪⎩⎰∑⎰111(1)122Ni N NA x N NN ξξ=+===⋅⇒=∑11102()1A dx ξξθξ===⇒=-⎰2∞3.4.2()2{0},(){0}{}()0.7,110.7,0.525x aA X AP A P dxa aP a pp aξξξ--=<=<=--=<=Φ-=≈∴≈=-⎰设表示出现的次数,(1)11111(1)()ln()[ln ln(1)ln]ln()1[ln ln]ln ln0 ln lnniiniin ni ii iniiL c xL c xLc x n c xnnx n cθθθθθθθθθθθθθ-+=======+-+∂=+-=+-=∂=-∏∑∑∑∑1111221(2)()ln()[ln1)ln]ln()]0(ln)niniiniiniiLL xLxnxθθθθθ======+∂=+=∂=∑∑∑11()()()()11(3)()ln()lnln()11,,,,()0,0,11,()()nnin nn nnn nnnLL nL nLother otherL Lθθθθθθθθξξθξθθθθθξθξθξ====-∂=-=∂⎧⎧≤≤⎪⎪==⎨⎨⎪⎪⎩⎩≤≤=∏11()()()()11(3)()ln()lnln()11,,,,()0,0,11,()()nnin nn nnn nnnLL nL nLother otherL Lθθθθθθθθξξθξθθθθθξθξθξ====-∂=-=∂⎧⎧≤≤⎪⎪==⎨⎨⎪⎪⎩⎩≤≤=∏5.221()212212241(5)()()ln()[ln]22()2()ln()[022in xiniini iiLxLx xLθθθθθθθθθθθθθξθ--====-=-----∂==∂=∑∑(1)11(1)11(1)(1)(6)()ln()[ln ln(1)ln]ln()(),,,()()nc ciiniinc ci niL c xL c c c xL ncL c xL Lθθθθθθθθθθθξξθξθξ-+==-+===--+∂=-=∂=≤≤⇒=∏∑∏不能解出,所以由22111(7)()1)(1)ln()[2ln(2)ln(1)ln(1)]2ln()22]01inxiini iiniiL xL x xx nL nθθθθθθθθθθθξ-====--=+--+--∂=-=⇒=∂-∏∑∑(~(,0)11nUξθ∏6.7.所以不唯一。
其他系统西安交通大学应用统计分析所有答案指数的实质是相对数,它能反映现象的变动和差异程度答案是:√在其他条件不变的情况下,提高抽样估计的可靠程度,可以提高抽样估计的精确度。
答案是:×在进行相关和回归分析时,必须以定性分析为前提,判定现象之间有无关系及其作用范围。
答案是:√在假设检验中,当接受原假设时,可以认为原假设绝对正确答案是:×在保证概率度和总体方差一定的条件下允许误差大小与抽样数目多少成正比。
答案是:×有时由于资料的限制,使综合指数的计算产生困难,就需要采用综合指数的变形公式平均数指数。
答案是:√由于时点序列和时期序列都是绝对数时间序列,所以,它们的特点是相同的答案是:×用移动平均法测定长期趋势时,移动平均项数越多,所得的结果越好答案是:×用两个不同时期不同经济内容的平均指标值对比形成的指数就是平均指标指数。
答案是:√用几何平均法计算的平均发展速度只取决于最初发展水平和最末发展水平,与中间各期发展水平无关。
答案是:√因为统计指标都是用数值表示的,所以数量标志就是统计指标。
答案是:×一览表是指一份表格上只体现一个调查单位的情况表答案是:×样本容量是指一个总体一共可以组成多少不同的样本,而样本个数则是一样本中的单位数答案是:×相关系数数值越大,说明相关程度越高;相关系数数值越小,说明相关程度越低。
答案是:×相关的两个变量,只能算出一个相关系数。
答案是:√相对数时间数列中的数值相加没有实际意义。
答案是:√系统性误差和登记误差是可加以避免的,而偶然性误差是不可避免的。
答案是:√我国的人口普查每10年进行一次,因此它是一种连续性调查方法答案是:×推断统计学是描述统计学的基础。
答案是:B错算术平均指数是反映平均指标变动程度的相对数。
答案是:×如果数列既有季节变动,又有明显的长期趋势时,应先剔除长期趋势,再测定季节指数。
习题11.1 解:由题意95.01=⎭⎬⎫⎩⎨⎧<--u x p 可得:95.0=⎪⎪⎭⎪⎪⎬⎫⎪⎪⎩⎪⎪⎨⎧<-σσn n u x p而()1,0~N u x n σ⎪⎭⎫ ⎝⎛-- 这可通过查N(0,1)分布表,975.0)95.01(2195.0=-+=⎪⎪⎭⎪⎪⎬⎫⎪⎪⎩⎪⎪⎨⎧<--σn n u x p 那么96.1=σn∴2296.1σ=n1.2 解:(1)至800小时,没有一个元件失效,则说明所有元件的寿命>800小时。
{}2.10015.08000015.00800|e 0015.0800--∞+-=∞+-==>⎰e e dx x p x x那么有6个元件,则所求的概率()2.762.1--==e ep(2)至300小时,所有元件失效,则说明所有元件的寿命<3000小时{}5.4300000015.030000015.001|e 0015.03000----=-==<⎰e e dx x p x 那么有6个元件,则所求的概率()65.41--=ep1.3解: (1) 123{(,,)|0,1,2,,1,2,3}k x x x x k χ===因为~()i X P λ,所以 112233{,,}P X x X x X x ≤≤≤112233{}{}{}P X x P X x P X x =≤≤≤1233123!!!x x x e x x x ++-λλ=其中,0,1,2,,1,2,3k x k == (2) 123{(,,)|0;1,2,3}k x x x x k χ=≥=因为~()i X Exp λ,其概率密度为,0()0,0x e x f x x -λ⎧λ≥=⎨ <⎩所以, 123(,,)3123(,,)x x x f x x x e-λ=λ,其中0;1,2,3k x k ≥=(3) 123{(,,)|;1,2,3}k x x x a x b k χ=≤≤=因为~(,)i X U a b ,其概率密度为1,()0,|a x b f x b a x a x b⎧≤≤⎪=-⎨⎪ <>⎩所以,12331(,,)()f x x x b a =-,其中;1,2,3k a x b k ≤≤= (4) 123{(,,)|;1,2,3}k x x x x k χ=-∞<<+∞= 因为~(,1)i X N μ,其概率密度为(2(),()x f x x 2-μ)-=-∞<<+∞所以,311(2123321(,,)(2)k k x f x x x e π2=--μ)∑=,其中;1,2,3k x k -∞<<+∞=1.4解:由题意可得:()⎪⎩⎪⎨⎧∞<<=--,其它00,21)(i 2ln i i 2i x e x x f u x σσπ则∏==ni x f x x f 1i n i )(),...(=⎪⎪⎩⎪⎪⎨⎧=∞<<∏=∑--=,其它0,...1,0,1n )2()(ln 212n 12i 2i x x e i n i i u x ni σπσ1.5证: 令21()()nii F a Xa ==-∑则'1()2()nii F a Xa ==--∑,''()20F a n => 令'1()2()0ni i F a X a ==--=∑,则可解得11ni i a X X n ===∑由于这是唯一解,又因为''()20F a n =>,因此,当11ni i a X X n ===∑时,()F a 取得最小值1.6证: (1)等式左边11((nnii i i XX X X 22==-μ)=-+-μ)∑∑111(2()()(n n n i i i i i X X X X X X 22====-)+-μ-+-μ)∑∑∑21(()ni i X X n X 2==-)+-μ∑左边=右边,所以得证. (2) 等式左边22111(2nn ni iii i i XX X X X nX 2===-)=-+∑∑∑ 22212nii Xn X n X ==-+∑221ni i X nX ==-∑左边=右边,所以得证.1.7证:(1)∑=-=ni i n x n x 11∑+=-++=11111n i i n x n x 那么)(11_1_n n n x x n x -+++=∑∑=+=∙+-++ni i n n i i x n n x n x n 111111111 =111111+=+++∑n n i i x n x n =∑=+ni i x n 111=_1+n x ∴原命题得证(2)21221-=-=∑n n i i nx x n s211122111-++=+-+=∑n n i i n x x n s那么⎥⎦⎤⎢⎣⎡-+++-+212)(111n n n x x n s n n =∑=+n i i x n 1211--+21n x n n +212)1(++n x n n --++nn x x n n 12)1(2+22)1(-+n x n n=∑=+n i i x n 1211--+222)1(n x n n +2111++n x n -212)1(1++n x n --++n n x x n n 12)1(2=∑+=+11211n i i x n -(111++n x n +-+n x n n 1)2由(1)可得:111++n x n +-+n x n n 1=-+1n x则上式=∑=+n i i x n 1211-21-+n x =21+n s∴原命题得证1.10解: 因为2222111111,()n n n i i i i i i X X S X X X X n n n =====-=-∑∑∑所以 (1) 二项分布(,)B m p11()()()ni i i E X E X E X mp n ====∑21111(1)()()()n ni i i i mp p D X D X D X n n n ==-===∑∑222211111()(())()()(1)n n i i i i n E S E X X E X E X mp p n n n==-=-=-=-∑∑(2) 泊松分布()P λ()E X =λ, ()D X n λ=, 21()n E S n-=λ(3) 均匀分布(,)U a b()2b a E X +=, 2)()12b a D X n (-=, 221()()12n E S b a n-=-(4) 指数分布()Exp λ 1()E X =λ, 1()D X n 2=λ, 21()n E S n 2-=λ (5) 正态分布2(,)N σμ ()E X =μ, 21()D X n σ=, 221()n E S nσ-=1.11解:(1)是统计量(2)不是统计量,因为u未知 (3)统计量 (4)统计量(5)统计量,顺序统计量 (6)统计量 (7)统计量(8)不是统计量,因为u未知 1.14.解: 因为i X 独立同分布,并且~(,i X a Γλ),11ni i X X n ==∑所以1~(,nii Xna =Γλ)∑;令1nii Y X ==∑,则1X Y n =,由求解随机变量函数的概率密度公式可得 1()(),0)nana nx X f x nx e n x na --λλ=>Γ(1.15 解:(1))(m x 的概率密度为: [][])()(1)()!()!1(!)(1)(x f x F x F m n m n x f m n m m ------=又F(x)=2x 且f(x)=2x ,0<x<1则有x x x m n m n x f m n m m 2)1()!()!1(!)(2)1(2)(------=,0<x<1(2) )(1x 与)(n x 的联合概率密度为: [][])()()(1)()()11(!),(011))(1(y f x f y F x F y F n n y x f n n ----=--=y x x y n n n 22))(1(222⋅⋅---=222)()1(4---n x y xy n n 0<x<y<1对于其他x,y ,有0),())(1(=y x f n1.19证:现在要求Y=)X 1/(X m nm n +的概率密度。
研究生教材《应用数理统计》——课后习题答案详解学号:3113312042姓名:齐以年班级:硕3079班目录第一章数理统计的基本概念 (1)第二章参数估计 (18)第三章假设检验 (36)第四章方差分析与正交试验设计 (46)第五章回归分析 (51)第六章统计决策与贝叶斯推断 (56)对应书目:《应用数理统计》施雨编著西安交通大学出版第一章 数理统计的基本概念1.1 解:∵ 2~(,)X N μσ∴ 2~(,)n X N σμ∴~(0,1)N 分布∴(1)0.95P X P μ-<=<=又∵ 查表可得0.025 1.96u = ∴ 221.96n σ=1.2 解:(1) ∵ ~(0.0015)X Exp∴ 每个元件至800个小时没有失效的概率为:8000.001501.2(800)1(800)10.0015x P X P X e dxe -->==-<=-=⎰∴ 6个元件都没失效的概率为: 1.267.2()P e e --==(2) ∵ ~(0.0015)X Exp∴ 每个元件至3000个小时失效的概率为:30000.001504.5(3000)0.00151x P X e dxe--<===-⎰∴ 6个元件没失效的概率为: 4.56(1)P e -=-1.3解:(1) X ={(x 1,x 2,x 3)|x k =0,1,2,…,k =1,2,3},p (x 1,x 2,x 3)=λx 1+x 2+x 3x 1!x 2!x 3!e −3λ,x k =0,1,2,…;k =1,2,3(2) X ={(x 1,x 2,x 3)|x k ≥0;k =1,2,3},f (x 1,x 2,x 3)=λ3e −λ(x 1+x 2+x 3), x k ≥0;k =1,2,3(3) X ={(x 1,x 2,x 3)|a ≤x k ≤b;k =1,2,3},f (x 1,x 2,x 3)=1(b−a)3, a ≤x k ≤b;k =1,2,3(4) X ={(x 1,x 2,x 3)|−∞<x k <+∞;k =1,2,3}=R 3,f (x 1,x 2,x 3)=1(2π)3/2e −12∑(x k −μ)23k=1,−∞<x k <+∞;k =1,2,31.4 解:ini n x n x ex x x P ni i 122)(ln 2121)2(),.....,(122=--∏∑==πσμσ1.5证:21122)(na a x n x a x n i ni i i +-=-∑∑==∑∑∑===-+-=+-+-=ni i ni i n i i a x n x x na a x n x x x x 1222211)()(2221.6证明 (1) ∵22112211221()()()2()()()()()nnii i i nni i i i ni i XX X X X X X X X n X X X n X μμμμμ=====-=-+-=-+--+-=-+-∑∑∑∑∑(2) ∵2221112221221()22ii i nn ni i i i i ni ni XX X X X nX X nX nX X nX =====-=-+=-+=-∑∑∑∑∑1.7证明:a) 证:)(11111+=+++=∑n n i i n x x n x)(11)(1111n n n n n x x n x x x n n -++=++=++b )证:221111()1nn n i i S x x n ++==-+∑ 221112211121111[()]11121[()()()()]11(1)n n n i n i nn n n n n i i n n i i x x x x n n n x x x x x x x x n n n +=++++===---+++=----+-+++∑∑∑221112112[()()((1))111() ]1n n n n n n n n n nS x x x x nx x n x n n x x n ++++=+---+-+++-+22n122n 11[nS ()] 111[S ()]11n n n n n x x n n n x x n n ++=+-++=+-++ 1.8证明:显然: Zm+n ̅̅̅̅̅̅̅=nX ̅+mY ̅m+nS Z2=1m +n[∑(X i −Z m+n ̅̅̅̅̅̅̅)2n i=1+∑(Y i −Z m+n ̅̅̅̅̅̅̅)2mi=1] =1m +n[∑X i 2ni=1−2Zm+n ̅̅̅̅̅̅̅∗nX ̅+∑Y i 2−2Z m+n ̅̅̅̅̅̅̅∗mY ̅+(m +n)mi=1Zm+n ̅̅̅̅̅̅̅2] 因为: nS X 2=∑X i 2n i=1−nX ̅2 nS Y 2=∑Y i 2n i=1−nY ̅2所以:S Z2=nS X2+nS Y2m+n+1m+n[nX̅2+nY̅2−(nX̅+mY̅)2m+n] =nS X2+nS Y2m+n+m∗n(n+m)2(X̅−Y̅)21.10解:(1).∑∑====niiniixEnxnEXE11)(1)1()(=1n∙n∙mp=mpnpmpxDnxnDXDniinii)1()(1)1()(121-===∑∑==))(1()(122∑=-=niixxnESE)1(1)])1(1())1(([1)])()(())()(([1])()([1])([12222212212212p mp nn p m p mp n n p m p mp n n x E x D n x E x D n x nE x E n x x E n n i i i n i i n i i --=+--+-=+-+=-=-=∑∑∑=== 同理,(2).λ===∑∑==ni i n i i x E n x n E X E 11)(1)1()(λnx D n x n D X D ni ini i 1)(1)1()(121===∑∑==λnn x E x D n x E x D n x nE x E n S E n i i i n i i 1)])()(())()(([1])()([1)(2122122-=+-+=-=∑∑==(3).2)(1)1()(11ba x E n x n E X E n i i n i i +===∑∑==na b x D nx n D X D ni in i i 12)()(1)1()(2121-===∑∑==12)(1)])()(())()(([1])()([1)(22122122a b n n x E x D n x E x D n x nE x E n S E ni i i n i i -⋅-=+-+=-=∑∑==(4).λ===∑∑==ni i n i i x E n x n E X E 11)(1)1()(nx D nx n D X D ni in i i 2121)(1)1()(λ===∑∑==221221221)])()(())()(([1])()([1)(λnn x E x D n x E x D n x nE x E n S E n i i i n i i -=+-+=-=∑∑==(5).μ===∑∑==ni i n i i x E n x n E X E 11)(1)1()(nx D nx n D X D ni in i i 2121)(1)1()(σ===∑∑==221221221)])()(())()(([1])()([1)(σ⋅-=+-+=-=∑∑==nn x E x D n x E x D n x nE x E n S E n i i i n i i1.11 解:由统计量的定义知,1,3,4,5,6,7为统计量,5为顺序统计量 1.12 解:顺序统计量:-4,-2.1,-2.1,-0.1,-0.1,0,0,1.2,1.2,2.01,2.22,3.2,3.21中位数Me=0 极差R=(3.21+4)=7.21 再抽一个样本2.7,则顺序统计量变为:-4,-2.1,-2.1,-0.1,-0.1,0,0,1.2,1.2,2.01,2.22,2.7,3.2,3.21 此时,样本中位数Me=(0+1.2)/2=0.61.13解: F 20x={ 0 , x <0620, 0≪x <11320, 1≪x <21620, 2≪x <31820, 3≪x <41 , x ≫41.14解:利用伽马分布的可加性 X~Γ(α,λ) 则Y =∑X i ~Γ(nα,λ)n i=1X ̅=Y nf Y (y )=λnαy nα−1Γ(nα)e −λy,y >0根据随机变量函数的概率密度公式得:f X ̅(x )=λnα(nx)nα−1Γ(nα)e −λnx∗n =λnαn nαx nα−1Γ(nα)e −λnx ,x >01.15解:运用顺序统计量的概率密度公式 (1) f (m)(x )=n!(m−1)!(n−m )![F (x )]m−1[1−F (x )]n−m f(x) 1≪m ≪n (2) f (k)(j)(x )=n!(k−1)!(j−k−1)!(n−j )![F (x )]k−1[F (y )−F (x )]j−k−1[1−F (y )]n−j f(x)f(y) 1≪k<j ≪n (3) 样本极差R =X (n)−X (1), 其中X (n)和X (1)的概率密度可由(1)得到,再根据函数关系可推出R 的概率密度函数 1.16解:X i −μσ~N(0,1)(X i −μσ)2~χ2(1)故:∑(X i −μσ)2~ni=1χ2(n )1.17 证:),(~ λαΓXx ex x f λαααλ--Γ=∴1)()( 令kXY =ke ky kke ky yf ky ky⋅Γ=⋅Γ=∴----λαααλαααλαλ11)()( )()()(即 ),(~ky Y αΓ1.18 证:),(~ b a X β),()1()( 11b a B x xx f b a ---=∴),(),( ),()1()( 11b a B b k a B b a B x x x X E b a k k +=-=∴⎰∞+∞---),(),1()( b a B b a B X E +=∴ba a ab a b a b a a a a b a b a a a b b a b a b a +=Γ+Γ++ΓΓ=Γ++Γ+Γ+Γ=ΓΓ+Γ⋅++ΓΓ+Γ=)()()()()()()1()()1()()()()1()()1(),(),2()(2b a B b a B X E +=))(1()1()()()()2()()2(b a b a a a a b b a b a b a ++++=ΓΓ+Γ⋅++ΓΓ+Γ= 22)]([)()( X E X E X D -=∴2))(1())(1()1(b a b a ab ba ab a b a a a +++=+-++++=1.19 解:∵ ~(,)X F n m 分布2212(1)022()((1))()(1)()()()(1)()()n n m n mn m yn m y n mn nP Y y P X X y m myP X y n n n x x dx m m m++--+≤=+≤=<-Γ=+ΓΓ⎰2222122221122()()()1()(1)()()11(1)(1)(,)n n m n m n mn m n mf y P Y y y y y y y yy B ++----'=≤Γ=+ΓΓ----=∴ 22(1)(,)n mn n Y X X m mβ=+分布1.20 解:∵ ~()X t n 分布122212()()(()2)n n P Y y P X y P X xdxn ++-≤=≤=≤≤Γ=+112211221212122()()()(1)()1()(1)()()()n n n n n f y P Y y y y n y y n n n+++--+--'=≤Γ=+Γ=+ΓΓ∴ 2~(1,)2nY X F =分布1.21 解: (1) ∵ ~(8,4)X N 分布∴ 4~(8,)25X N 分布,即5(8)~(0,1)2X N - ∴ 样本均值落在7.8~8.2分钟之间的概率为:5(7.88)5(8)5(8.28)(7.88.2)()2220.383X P X P ---≤≤=≤≤=(2) 样本均值落在7.5~8分钟之间的概率为:5(7.58)5(8)5(88)(7.58)()2225(8)(0 1.25)20.3944X P X P X P ---≤≤=≤≤-=≤≤=若取100个样品,样本均值落在7.5~8分钟之间的概率为:10(7.88)10(8)10(8.28)(7.88.2)()2222*(0.84130.5)0.6826X P X P ---≤≤=≤≤=-= 单个样品大于11分钟的概率为:P 1=1−0.9333=0.0667 25个样品的均值大于9分钟的概率为: P 2=1−0.9938=0.0062 100个样品的均值大于8.6分钟的概率为P 3=1−0.9987=0.0013 所以第一种情况更有可能发生1.22 解:μ=2.5 2σ=36 n=5 (1)44302<<s ⇔)955,625(22∈σns 而)1(~222-n ns χσ即 )4(36522χ∈s通过查表可得 P =0.1929(2)样本方差落在30~40的概率为0.1929 样品均值-x 落在1.3~3.5的概率即:P{1.3<-x <3.5} ⇔P{-0.4472<σμ)(--x n <0.3727}又σμ)(--x n ~N(0,1)查标准正态分布表可得:P{1.3<-x <3.5}=0.3179 由于样本均值与样本方差相互独立,故:这样两者同时成立的概率为P =0.1929⨯0.3179=0.06131.23 解:(1) ∵2~(0,)X N σ分布 ∴ 2~(0,)X N nσ分布∴ 22()~(1)nXχσ∵ 22221()()ni i a X an X an σσ===∑∴ 21a n σ=同理 21b m σ= (2) ∵ 2~(0,)X N σ分布 ∴222~(1)X χσ分布由2χ分布是可加性得:2221~()ni i X n χσ=∑()nic X t m ==∑ ∴c =(3) 由(2)可知2221~()ni i X n χσ=∑ 2221122211~(,)nni ii i n mn mi ii n i n X d Xnn dF n m XmXmσσ==++=+=+=∑∑∑∑∴ m d n =1.24证明:X n+1~N(μ,σ2) X̅~N(μ,σ2/n) X n+1−X ̅~N(0,n +1n σ2)X n+1−X̅√n +1nσ2~N(0,1)(n −1)S n∗2σ2~χ2(n −1) 所以:Y =X n+1−X ̅S n ∗√n n +1~t(n −1) 1.25 证明:∵ 211~(,)X N μσ分布∴2211()~(1)i X μχσ-∴ 1221111()~()n i i X n μχσ=-∑同理 2222212()~()n i i Y n μχσ=-∑ 1122222112211111222221122112()()~(,)()()n n i i i i n n i i i i X n n X F n n Y n Y n μσμσμσμσ====--=--∑∑∑∑第二章 参数估计2.1 (1) ∵ ~()X Exp λ分布∴ ()1E X λ=令 ˆ1X λ= 解得λ的矩估计为:ˆ1X λ= (2) ∵ (,)X U a b 分布∴ ()2a bE X +=2()()12b a D X -=令 1ˆˆ2ab A X +==22221ˆˆˆˆ()()1124n i i b a a b A X n =-++==∑ (22211n i i X X S n =-=∑)解得a 和b 的矩估计为:ˆˆaX bX =-=(3) 110()1E X x x dx θθθθ-=*=+⎰令 1ˆˆ1A X θθ==+ ∴ˆ1XXθ=- (4) 110()(1)!kk x kE X x x e dx k βββ--=*=-⎰令 ˆkX β=∴ ˆkXβ=(5) 根据密度函数有2221()22()E X a aE X a λλλ=+=++根据矩估计有1222221ˆˆˆ22ˆˆˆa A X aa A S X λλλ+==++==+解得λ和a 的矩估计为:ˆˆaX λ==(6) ∵ (,)X B m p∴ ()E X mp =令 1ˆmpA X == 解得p 的矩估计为:ˆX pm= 2.2解:(1)X 服从指数分布,λ的似然函数为:L (λ)=λn e −λ∑x i n i=1, x i>0,i =1,2,⋯,nlnL (λ)=nlnλ−λ∑x i ni=1∂lnL (λ)∂λ=nλ−∑x i ni=1解得:λ̂=1x̅(2)f (x )=1b−a,a <x <b似然函数为:L (a,b )=1(b −a)n,a <x i <b显然:a ̂=X (1) b ̂=X (n) (3)f (x )={θ x θ−1 ,0<x <10, 其他似然函数为:L (θ)=θn ∗∏x i θ−1ni=1,0<x i <1lnL (θ)=nlnθ+(θ−1)∑lnx i ni=1∂lnL (θ)∂θ=nθ+∑lnx i ni=1=0 解得:θ̂=−n ∑lnx in i=1(4) f (x )={βk(k−1)!x k−1e −βx ,x >00, x ≤0似然函数为:L (β)=(βk(k −1)!)n ∗∏x i k−1ni=1∗e −β∑x i n i=1 ,x i >0 i =1,2,⋯,n lnL (β)=nk ∗lnβ−n ∗ln (k −1)!+(k −1)∑lnx i ni=1−β∑x i ni=1∂lnL (β)∂β=nkβ−∑x i ni=1=0解得:θ̂=−kx̅(5) f (x )={λ x −λ(x−a),x >a 0, x ≤a似然函数为:L (a,λ)=λn x −λ∑(x i ni=1−a) ,x i >a,i =1,2,⋯,nlnL (a,λ)=n ∗lnλ−λ∑x i ni=1+nλa ∂lnL (a,λ)∂λ=nλ−∑(x i ni=1−a)=0 解得:a ̂=X (1) , λ̂=−1X ̅−X (1)(6) X~B(m , P)P {X =k }=(m k)P k(1−P)m−k ,k =0,1,⋯,m似然函数为:L (p )=(m k)n P ∑xi n i=1(1−P)∑(m−x i )n i=1,x i =0,1,2,⋯,nlnL (p )=n ∗ln (mk)+∑x i n i=1∗lnp +∑(m −x i )ni=1∗ln (1−p)∂lnL (p )∂p=∑x in i=1p−∑(m −x i )n i=11−p=0解得:p ̂=−X̅m2.3解:∵ X 服从几何分布,其概率分布为:1()(1)k P X k p p -==-故p 的似然函数为: 1()(1)ni i x nnL p p p =-∑=-对数似然函数为:1ln ()ln ()ln(1)ni i L p n p x n p ==+--∑令 1ln ()1()01nii L p n x n p p p=∂=--=∂-∑ ∴ 1ˆpX= 2.4 解:由题知X 应服从离散均匀分布,⎪⎩⎪⎨⎧≤≤==其它01 1)(Nk N k x pE (X )=N+12矩估计: 令N ̂+12=710 ∴N̂=1419 极大似然估计:⎪⎩⎪⎨⎧≤≤=其它07101 1)(NN N L要使)(N L 最大,则710=N710=∴∧N2.5 解:由题中等式知:2196.196.196.1)025.01(025.0)(1S X +=+=∴+=+-Φ=∴=-Φ-∧∧∧-σμθσμμσθσμθ2.6 解:(1) 05.009.214.2=-=R0215.005.04299.05=⨯==∴∧d Rσ(2)将所有数据分为三组如下所示:0197.005.03946.005.0)05.005.005.0(316=⨯==∴=++=∴∧d R R σ 2.7 解:(1)⎩⎨⎧+<<=其它 01x 1)(θθx f θθθθθθ≠+==+=++=∴∧21)()(2121)(X E E X E ∴ X =∧θ不是θ的无偏估计,偏差为21=-∧θθ(2) θ=-)21(X E 21-=∴∧X θ是θ的无偏估计(3) 22))(()())(()(θθθθ-+=-+=∧∧X E X D E D M S E41121+=n 2.8 证:由例2.24,令2211x a x a +=∧μ,则∧μ 为μ无偏估计应 满足121=+a a因此1μ,2μ,3μ都是μ的无偏估计)()()()(21)()(2513)()(95)9491)(()())(()()(1233212221212∧∧∧∧∧∧=∧<<===+=∴+==∑μμμμμμμD D D X D D X D D X D X D D a a X D X D a D i i i2132121X X +=∴∧μ最有效2.9 证: )(~λp X λλ==∴)( )(X D X EX 是λ=)(X E 的无偏估计,2*S 是λ=)( X D 的无偏估计 )()1()())1((2*2*S E X E S X E αααα-+=-+∴λλααλ=-+=)1(∴ 2*)1(SX αα-+是λ的无偏估计2.10 解:因为2222((1))()(1)()(1)()1(1)()11(1)1E X S E X E S na E S n n a E S n n n a n nααααλαλαλαλλ**+-=+-=+--=+---=+-=- 所以 2(1)X S αα*+-是λ的无偏估计量2.11证明:X~P (λ)假设T(X 1)为θ=e −2λ的无偏估计,即: E[T(X 1)]= θ, E [T (X1)]=∑T (X )∞x=0∗λx x!e−λ=e −2λ=∑T (X )∞x=0∗λx x!=e−λ=∑(−λ)xx!∞x=0=∑(−1)x λx x!∞x=0(泰勒展开)所以T (X 1)=(−1)X 1是θ=e −2λ的唯一无偏估计。
应用数理统计课后习题参考答案1. 描述性统计问题1描述性统计是一种对数据进行整理、呈现和分析的方法。
它可以提供数据的基本特征,包括数据的中心趋势、离散程度和分布形状。
常见的描述性统计方法有:•平均数:用于衡量数据的中心趋势,是所有数据值的总和除以数据的个数。
•中位数:将数据按大小顺序排列,中间位置的数值即为中位数。
•众数:数据中出现次数最多的数值。
•范围:数据的最大值减去最小值。
•方差:用于衡量数据的离散程度,是每个数据与平均数之差的平方的平均值。
•标准差:方差的正平方根。
问题2对于给定数据集,以下是计算描述性统计的步骤:1.求出数据的个数。
2.计算数据的总和。
3.求出数据的平均数。
4.将数据按大小顺序排列。
5.求出数据的中位数。
6.找出数据中出现次数最多的数值,即众数。
7.计算数据的范围。
8.计算数据的方差。
9.计算数据的标准差。
2. 概率分布问题1概率分布是用来描述随机变量的分布规律的函数。
常见的概率分布包括:•二项分布:适用于具有两个可能结果的离散型随机变量,如投硬币的结果。
•泊松分布:适用于描述单位时间或单位空间内随机事件发生次数的离散型随机变量。
•正态分布:也称为高斯分布,是一种连续型概率分布,常用于描述自然界中许多现象的分布情况,如身高、体重等。
问题2对于给定的概率分布,以下是计算概率的步骤:1.对于离散型概率分布,计算每个可能结果的概率,并将其加总为1。
2.对于连续型概率分布,计算指定区间内的概率,可以使用积分来进行计算。
3.根据需要计算特定事件的概率,可以使用概率密度函数(PDF)或累积分布函数(CDF)来计算。
3. 统计推断问题1统计推断是一种利用样本数据对总体特征进行估计和推断的方法。
常见的统计推断方法有:•置信区间估计:对总体参数进行估计时,构造一个区间,使得真实值以一定概率包含在该区间内。
•假设检验:用于判断一个总体参数是否等于某个特定值。
•方差分析:用于比较两个或多个总体的均值是否有显著差异。
西安交通大学本科生课程考试试题标准答案与评分标准
(3)由表3的数据可知,在0.05的显著性水平下,产品多元化这一因素的主效应检验的P值小于0.05,说明对公司绩效(利润与总销量的百分比)有显著的影响,而国际化因素的主效应检验的P值为0.635,没有足够证据表明对公司绩效有显著影响,但是这两个因素交互作用对绩效有显著影响(P 值=.003)。
所以,可以认为多元化程度不同的公司在绩效上有显著的差异,而国际化的程度的影响不明显,但与多元化因素的交互作用有显著的影响。
2(每小题5分)
(1)经验回归方程为:Salary=-5835+2119EDUCATIO+4099EXPERIEN+1851GENDER
模型的拟合效果相当不错。
判定系数是0.693,这说明薪水中69.32%的差异可以由模型中自变量的差异来解释。
F统计量的值72.29,p值为0,因此,有足够的证据可以推断,模型是有效的。
(2)决定是否有证据表明薪水与受教育年限、工作年限和性别之间存在线性关系的t检验的p值分别为0.040、0和0.618,这说明受教育年限、工作年限都对薪水有显著的影响。
但是,性别的系数的t检验则表明,没有证据可以推断男性与女性管理者的薪水之间存在差别。
此外,由标准化的回归系数大小可以发现,对薪水影响作用较大是工作年限,其次是受教育年限。
(3)由上述分析可以认为总裁的观点是有根据的,薪水的不同应归咎于工作年数。
一般而言,女性管理者的工作年数较少,因而薪水相对较低。
2-7. 设 )1,0(~N ξ,),,,,,(654321ξξξξξξ为其一样本,而26542321)()(ξξξξξξη+++++=, 试求常数c ,使得随机变量ηc 服从2χ分布。
2-7解:设3211ξξξη++=,所以 )3,0(~1N η 6542ξξξη++=,所以 )3,0(~2N η所以 )1,0(~31N η , )1,0(~32N η)2(~)(3133222212221χηηηη+=⎪⎭⎫ ⎝⎛+⎪⎭⎫ ⎝⎛ 由于 2221ηηη+=因此 当 31=c 时,)2(~2χηc 。
2-8. 设 ),,,(1021ξξξ 为)3.0,0(2N 的一个样本,求 ⎭⎬⎫⎩⎨⎧>∑=101244.1i i P ξ 。
(参考数据:) 2-8解:因为 )3.0,0(~),,,(21021N ξξξξ =, 所以 )1,0(~3.0N ξ, 即有)10(~3.021012χξ∑=⎪⎭⎫ ⎝⎛i i所以 ⎭⎬⎫⎩⎨⎧>∑=101244.1i i P ξ⎭⎬⎫⎩⎨⎧>=∑=1012223.044.13.0i i P ξ⎭⎬⎫⎩⎨⎧>=∑=10122163.0i i P ξ ⎭⎬⎫⎩⎨⎧≤-=∑=10122163.01i i P ξ1.09.01=-= 2-17. 在总体)20,80(2N 中随机抽取一容量为100的样本,问样本平均值与总体均值的差的绝对值大于3的概率是多少?(参考数据:)2-17解:因为 )20,80(~2N ξ, 所以 )1,0(~2801002080N -=-ξξ所以 {}380>-ξP {}3801≤--=ξP ⎪⎭⎪⎬⎫⎪⎩⎪⎨⎧≤--=232801ξP ⎭⎬⎫⎩⎨⎧≤-≤--=23280231ξP )]5.1()5.1([1-Φ-Φ-= ]1)5.1(2[1-Φ-=1336.0)93319.01(2)5.1(22=-=Φ-=3-3. 1已知总体ξ的分布密度为: )0(000);(>⎩⎨⎧≤>=-λλλλx x e x p x设),,,(21n ξξξ 是容量为n 的样本,试分别求总体未知参数的矩估计量与MIE .3-31解:矩法 由于 x x de x dx e x dx x xp E λλλλξ-+∞+∞-+∞∞-⎰⎰⎰-===00);([]λλλλλ11000=⎥⎦⎤⎢⎣⎡-=+-=+∞-∞+-∞+-⎰x x x e dx e xe 令 ξξ=E 所以 ξλ1ˆ= MIE 当0>x 时,构造似然函数∑===-=-∏n i i i x n ni x e e L 11)(λλλλλ所以 ∑=-=n i i x n L 1ln )(ln λλλ 令0)(ln 1=-=∑=ni i xn d L d λλλ得 ∑∑====n i i n i i x n xn1111ˆλ 即 λ的极大似然估计量为ξλ1ˆ=3-10没有3-26. 随机地取某种炮弹9发做试验,得炮口速度的样本标准差s m S 11*=。
(0,)N σ21215X X ++++量X 服从共 4 页 第 1 页共4 页第2 页求(1)θ的矩估计;共4 页第3 页共4 页第4 页西安交通大学本科生课程考试试题标准答案与评分标准课程名称:概率论与数理统计(A ) 课时:48 考试时间:2007 年7 月9 日180200169P -⎧⎨⎩1.54)=0.93941()x dx =⎰页1(1,F n -(24,19)=0.429,21.507≈∈12(t n n +0.05(43)t =-2.647 1.681-<-)B=)1Y≥=个人在第一层进入十八层楼的电梯,假如每个人以相同的概率从任分布,若将它们串联成整机,求整机寿命的分布密度。
西安交通大学本科生课程考试试题标准答案与评分标准课程名称:概率论与数理统计(A)课时:48 考试时间:2008 年7 月9 日三、exp(),5X2(5,)B e-,∴四、设1iX⎧=⎨⎩第 1页5,x e λ--exp(5)λ(365N ⨯3652)3652⨯=⨯1X θθ=+ 第 2 页(0,1)N的样本是来自正态总体N的置信区间为转中同时需要调整的部件数,求(E Xˆμ,它是否是西安交通大学本科生课程考试试题标准答案与评分标准(A)=i n1,2,E X=()的极大似然估计量为,X XX( Z xf zμ>X-()Pλ,且已知{(,)=G x y,共2 页第1 页Y=共 2 页第 2 页西安交通大学本科生课程考试试题标准答案与评分标准(A)个地区,i9,0< x x(500N ⨯的把握满足客户的兑换)exp(),exp(),(2),2ii i i X Y X Y χθθ∴=即 222(2)n n i i nX X Y n χθθ∴==∑∑ )(2)n χθ2nX λ∴<<2112(2), n αλχ-∴=。
应用数理统计答案学号:姓名:班级:目录第一章数理统计的基本概念 (2)第二章参数估计 (14)第三章假设检验 (24)第四章方差分析与正交试验设计 (29)第五章回归分析 (32)第六章统计决策与贝叶斯推断 (35)对应书目:《应用数理统计》施雨著西安交通大学出版社第一章 数理统计的基本概念1.1 解:∵ 2(,)X N μσ∴ 2(,)n X N σμ∴()(0,1)n X N μσ- 分布∴()(1)()0.95n X n P X P μσσμ--<=<=又∵ 查表可得0.025 1.96u = ∴ 221.96n σ=1.2 解:(1) ∵ (0.0015)X Exp∴ 每个元件至800个小时没有失效的概率为:8000.001501.2(800)1(800)10.0015x P X P X e dxe -->==-<=-=⎰∴ 6个元件都没失效的概率为: 1.267.2()P e e --==(2) ∵ (0.0015)X Exp∴ 每个元件至3000个小时失效的概率为:30000.001504.5(3000)0.00151x P X e dxe--<===-⎰∴ 6个元件没失效的概率为: 4.56(1)P e -=-1.4 解:ini n x n x ex x x P ni i 122)(ln 2121)2(),.....,(122=--∏∑==πσμσ1.5证:21122)(na a x n x a x ni ni ii+-=-∑∑==∑∑∑===-+-=+-+-=ni i ni i ni i a x n x x na a x n x x x x 1222211)()(222a) 证:)(11111+=+++=∑n ni i n x x n x )(11)(1111n n n n n x x n x x x n n -++=++=++])()1(1 ))((12)[(11)](11[11)(11212111121211212112n n n i n n n i n i n i ni n n n i n i n in x x n n x x x x n x x n x x n x x n x x n S -+++--+--+=-+--+=-+=++=+=+=+=++∑∑∑∑] )(11))1()((12)([112111212n n n n n n n n n x x n x n x x n x x n x x nS n -++-+-+--++=++++])(11S [1 ])(1[nS 11212n 212n n n n n x x n n n x x n n n -+++=-+++=++ 1.6证明 (1) ∵22112211221()()()2()()()()()nni ii i nni i i i ni i X X X X X X X X X n X X X n X μμμμμ=====-=-+-=-+--+-=-+-∑∑∑∑∑(2) ∵2221112221221()22ii i nn ni i i i i ni ni XX X X X nX X nX nX X nX =====-=-+=-+=-∑∑∑∑∑1.10 解: (1).∑∑====ni i n i i x E n x n E X E 11)(1)1()(p np n=⋅=1np m p x D n x n D X D ni in i i )1()(1)1()(121-===∑∑==))(1()(122∑=-=n i i x x n E S E)1(1)])1(1())1(([1)])()(())()(([1])()([1])([12222212212212p mp nn p m p mp n n p m p mp n n x E x D n x E x D n x nE x E n x x E n ni i i n i i n i i --=+--+-=+-+=-=-=∑∑∑=== 同理,(2).λ===∑∑==ni i n i i x E n x n E X E 11)(1)1()(λnx D n x n D X D ni in i i 1)(1)1()(121===∑∑==λnn x E x D n x E x D n x nE x E n S E ni i i n i i 1)])()(())()(([1])()([1)(2122122-=+-+=-=∑∑==(3).2)(1)1()(11ba x E n x n E X E ni i n i i +===∑∑==na b x D nx n D X D ni ini i 12)()(1)1()(2121-===∑∑==12)(1)])()(())()(([1])()([1)(22122122a b n n x E x D n x E x D n x nE x E n S E ni i i n i i -⋅-=+-+=-=∑∑==(4).λ===∑∑==ni i n i i x E n x n E X E 11)(1)1()(nx D nx n D X D ni in i i 2121)(1)1()(λ===∑∑==221221221)])()(())()(([1])()([1)(λnn x E x D n x E x D n x nE x E n S E ni i i n i i -=+-+=-=∑∑==(5).μ===∑∑==ni i n i i x E n x n E X E 11)(1)1()(nx D nx n D X D ni in i i 2121)(1)1()(σ===∑∑==221221221)])()(())()(([1])()([1)(σ⋅-=+-+=-=∑∑==nn x E x D n x E x D n x nE x E n S E ni i i n i i1.11 解:由统计量的定义知,1,3,4,5,6,7为统计量,5为顺序统计量 1.17 证:),(~ λαΓXxe x xf λαααλ--Γ=∴1)()( 令kXY =ke ky k ke ky yf kyky⋅Γ=⋅Γ=∴----λαααλαααλαλ11)()( )()()(即 ),(~ky Y αΓ1.18 证:),(~ b a X β),()1()( 11b a B x xx f b a ---=∴),(),( ),()1()( 11b a B b k a B b a B x x x X E b a k k +=-=∴⎰∞+∞---),(),1()( b a B b a B X E +=∴ba a ab a b a b a a a a b a b a a a b b a b a b a +=Γ+Γ++ΓΓ=Γ++Γ+Γ+Γ=ΓΓ+Γ⋅++ΓΓ+Γ=)()()()()()()1()()1()()()()1()()1(),(),2()(2b a B b a B X E +=))(1()1()()()()2()()2(b a b a a a a b b a b a b a ++++=ΓΓ+Γ⋅++ΓΓ+Γ= 22)]([)()( X E X E X D -=∴2))(1())(1()1(b a b a ab ba ab a b a a a +++=+-++++=1.19 解:∵ (,)X F n m 分布2212(1)022()((1))()(1)()()()(1)()()n n m n mn m yn m y n mn nP Y y P X X y m myP X y n n n x x dx m m m++--+≤=+≤=<-Γ=+ΓΓ⎰2222122221122()()()1()(1)()()11(1)(1)(,)n n m n m n mn mn mf y P Y y y y y y y yy B ++----'=≤Γ=+ΓΓ----=∴ 22(1)(,)n m n n Y X X m mβ=+ 分布 1.20 解:∵ ()X t n 分布1222122()()()()2(1)()n n yn P Y y P X y P y X y xdxn n π++-≤=≤=-≤≤Γ=+Γ⎰1122112212212122()()()(1)()()1()(1)()()()n n n n n nf y P Y y y yn n y y n n nπ+++--+--'=≤Γ=+ΓΓ=+ΓΓ∴ 2(1,)2nY X F = 分布 1.21 解: (1) ∵ (8,4)X N 分布∴ 4(8,)25X N 分布,即5(8)(0,1)2X N - ∴ 样本均值落在7.88.2 分钟之间的概率为:5(7.88)5(8)5(8.28)(7.88.2)()2220.383X P X P ---≤≤=≤≤=(2) 样本均值落在7.58 分钟之间的概率为:5(7.58)5(8)5(88)(7.58)()2225(8)(0 1.25)20.3944X P X P X P ---≤≤=≤≤-=≤≤=若取100个样品,样本均值落在7.58 分钟之间的概率为:10(7.88)10(8)10(8.28)(7.88.2)()2222*(0.84130.5)0.6826X P X P ---≤≤=≤≤=-= 单个样品大于11分钟的概率为:110.77340.2266P =-= 25个样品的均值大于9分钟的概率为210.97980.0202P =-= 100个样品的均值大于8.6分钟的概率为310.99870.0013P =-= 所以第一种情况更有可能发生1.23 解:(1) ∵ 2(0,)X N σ 分布 ∴ 2(0,)X N nσ 分布∴ 22()(1)nXχσ∵ 222221()()ni i nXa X an X an σσ===∑∴ 21a n σ=同理 21b m σ=(2) ∵2(0,)X N σ 分布 ∴222(1)X χσ 分布由2χ分布是可加性得:2221()ni i X n χσ=∑122222111()nii n m n mn m i i i i n i n i n nX nXc X c n nc t m mXXX m mmσσσσσσ=+++=+=+=+==∑∑∑∑∴ mc n=(3) 由(2)可知2221()ni i X n χσ=∑2221122211(,)nni ii i n mn mi ii n i n X d Xnn dF n m XmXmσσ==++=+=+=∑∑∑∑∴ md n=1.25 证明:∵ 211(,)X N μσ 分布∴ 2211()(1)i X μχσ-∴ 1221111()()n i i X n μχσ=-∑ 同理 2222212()()n i i Y n μχσ=-∑1122222112211111222221122112()()(,)()()n n i i i i n n i i i i X n n X F n n Y n Y n μσμσμσμσ====--=--∑∑∑∑ 第二章 参数估计2.1 (1) ∵ ()X Exp λ 分布∴ ()1E X λ=令 ˆ1X λ= 解得λ的矩估计为: ˆ1X λ= (2) ∵ (,)X U a b 分布∴ ()2a bE X +=2()()12b a D X -=令 1ˆˆ2ab A X +==22221ˆˆˆˆ()()1124n i i b a a b A X n =-++==∑ (22211n i i X X S n =-=∑)解得a 和b 的矩估计为:22ˆ3ˆ3aX S bX S =-=+(3) 110()1E X x x dx θθθθ-=*=+⎰令 1ˆˆ1A X θθ==+∴ˆ1XXθ=- (4) 110()(1)!kk x kE X x x e dx k βββ--=*=-⎰令ˆkX β= ∴ ˆkXβ=(5) 根据密度函数有2221()22()E X a aE X a λλλ=+=++根据矩估计有1222221ˆˆˆ22ˆˆˆa A X a a A S X λλλ+==++==+解得λ和a 的矩估计为:221ˆˆS aX S λ==-(6) ∵ (,)X B m p ∴ ()E X mp =令 1ˆmpA X == 解得p 的矩估计为:ˆXpm= 2.3解:∵ X 服从几何分布,其概率分布为:1()(1)k P X k p p -==-故p 的似然函数为: 1()(1)ni i x nnL p p p =-∑=-对数似然函数为:1ln ()ln ()ln(1)ni i L p n p x n p ==+--∑令 1ln ()1()01nii L p n x n p p p=∂=--=∂-∑ ∴ 1ˆpX= 2.4 解:由题知X 应服从离散均匀分布,⎪⎩⎪⎨⎧≤≤==其它011)(N k N k x p2)(NX E =矩估计: 令 7102=∧N1420=∴∧N 极大似然估计:⎪⎩⎪⎨⎧≤≤=其它071011)(N N N L要使)(N L 最大,则710=N710=∴∧N 2.5 解:由题中等式知:2196.196.196.1)025.01(025.0)(1S X +=+=∴+=+-Φ=∴=-Φ-∧∧∧-σμθσμμσθσμθ2.6 解:(1) 05.009.214.2=-=R0215.005.04299.05=⨯==∴∧d Rσ(2)将所有数据分为三组如下所示:1x 2x 3x 4x 5x 6x i R1 2.142.10 2.15 2.13 2.12 2.13 0.05 2 2.10 2.15 2.12 2.14 2.10 2.13 0.05 32.112.142.102.112.152.10 0.050197.005.03946.005.0)05.005.005.0(316=⨯==∴=++=∴∧d R R σ 2.7 解:(1)⎩⎨⎧+<<=其它 01x1)(θθx f θθθθθθ≠+==+=++=∴∧21)()(2121)(X E E X E ∴ X =∧θ不是θ的无偏估计,偏差为21=-∧θθ(2) θ=-)21(X E 21-=∴∧X θ是θ的无偏估计(3) 22))(()())(()(θθθθ-+=-+=∧∧X E X D E D M S E41121+=n 2.8 证:由例2.24,令2211x a x a +=∧μ,则∧μ 为μ无偏估计应 满足121=+a a因此1μ,2μ,3μ都是μ的无偏估计)()()()(21)()(2513)()(95)9491)(()())(()()(1233212221212∧∧∧∧∧∧=∧<<===+=∴+==∑μμμμμμμD D D X D D X D D X D X D D a a X D X D a D i i i2132121X X +=∴∧μ最有效2.9 证: )(~λp X λλ==∴)( )(X D X EX 是λ=)(X E 的无偏估计,2*S 是λ=)( X D 的无偏估计)()1()())1((2*2*S E X E S X E αααα-+=-+∴ λλααλ=-+=)1(∴2*)1(SX αα-+是λ的无偏估计2.10 解:因为2222((1))()(1)()(1)()1(1)()11(1)1E X S E X E S na E S n n a E S n n n a n nααααλαλαλαλλ**+-=+-=+--=+---=+-=- 所以 2(1)X S αα*+-是λ的无偏估计量2.15 解:因为ˆθ是θ的有效估计量ˆˆˆ()()()E uE a b aE b a b u θθθ=+=+=+= 221ˆˆˆˆ()()()()D u D a b a D a D θθθ=+=≤ (其中,1ˆθ是θ的任意无偏估计量中的一个)所以 ˆu是u 的有效估计量 2.26 解: 因为总体服从正态分布,所以()01n X U N μσ-=(,)对于给定的1α-,查标准正态分布表可得2u α,使得2()1P U u αα<=-即: 22()1S S P X u p X u n nααα-<<+=- 区间的长度2d 2u L nασ=<,所以 22224u n L ασ>2.28 解:因为总体服从正态分布,所以 ()01n X U N μσ-=(,), 222(1)nS V n χσ=-由因为U 和V 是相互独立的, 所以 2()(1)1n X T t n nS n μ-=--对于给定的1α-,查标t 分布表可得2t α,使得 2()1P U t αα<=-,即:22()111S S P X t X t n n ααμα-<<+=--- 当30n =,35X =,15S =时,第一家航空公司平均晚点时间μ的95%的置信区间为:(29.3032,40.6968)对于给定的1α-,查标t 分布表可得t α,使得 ()1P U t αα>=-, 即:()11SP X t n αμα<+=-- 故μ的具有单侧置信上限的单侧置信区间为(,)1SX t n α-∞+- 所以经计算可得:第一家航空公司的单侧上限置信区间为(,39.7327)-∞ 第二种航空公司的单侧上限置信区间为(,36.3103)-∞ 所以选择第二家航空公司。