广州市花都区公交线路
- 格式:xls
- 大小:147.00 KB
- 文档页数:8
广州公车路线图路线途经站点1路黄沙总站-六二三路-南方大厦-爱群大厦-海珠广场-南关站-北京路-财厅-农讲所-大东门-烈士陵园-中山医院-东山总站2路泮塘-逢源路-宝华路-带河路-东升医院-西门口站-人民北-中山纪念堂-广东大厦-正骨医院-越秀桥-肿瘤医院-羊城晚报-东峻广场-锦城花园3路如意坊总站-多宝路-恩宁路-杨巷-上九路-大德路-省中医院-起义路-大南路-文明路-省博物馆-东华西路-东华东路-东山总站4路西村总站-西华路-西门口-东升医院-上九东-一德西-爱群大厦-靖海路-文德南路-东堤-大沙头-白云路总站5路黄沙总站-六二三路-南方大厦-爱群大厦-靖海路-海珠广场-解放南站-解放中站-迎宾馆站-体育馆-流花路-站前路总站6路动物园总站-黄花岗-白云宾馆电视台-小北-小北花圈-越华路-公园前-惠福西-东升医院-带河路-长寿路-宝华路-蓬莱路-黄沙后道-黄沙总站7路广州火车站-解放北-盘福路-吉祥路-公园前-北京路-万福路-越秀南路-白云路-大沙头总站8路泮塘总站-龙津中-龙津东-上九东-大新西路-海珠广场-南华东-草芳围-石涌口-滨江东路-珠江泳场总站9路中山八路-西郊车站-如意坊-黄沙大道-珠玑路口-人民桥-洪德路-革新路-梅园西-凤凰新村-沙园-珠江医院-纸厂-石溪总站10路恒福路总站-永福路-黄花岗-花园酒店-电视台-小北-小北花圈-仓边路-文德路-大南路-海珠广场-江南大道北-市二宫-市红会医院-洪德路-革新路口-梅园西-沙园-凤凰新村-橡胶新村-昌岗路总站11路天平架总站-沙河大街-沙河顶-动物园-黄花岗-先烈南路-东风大酒店-大东门-越秀中总站12路罗冲围总站-糖厂路口-西环广客隆-东风西路-广医站-府前路-公园前-文德路-省博物馆-越秀南-白云路-大沙头码头-大沙头-二沙岛总站13路文德路总站-万福西-海珠广场-江南大道北-江南大道-南村-华海大厦-礼岗-江燕花园-燕子岗-红棉花园-石溪村-金碧花园-嘉鸿花园-洛溪汽配城总站14路赤岗总站-赤岗东-珠影厂-客村-鹭江-康乐村-中山大学-荣校-怡乐村-云桂村-基立村-江南大道-海珠广场-北京南路-北京路-广卫路总站15路汾水小区总站-茶窖北路-花地湾-芳村隧道-黄沙后道-多宝路-蓬源路-荔湾路口-彩虹桥-西华路尾总站16路动物园站-黄花岗站-犀牛路口-东山口站-东山医院-中山路-东川路-白云路-越秀南路-万福东-北京南-海珠广场-南华东-堑口-福场路总站17路槎头-上步-同德乡-鹅掌坦-广排-铸管厂-黑山-西村总站18路二沙岛西总站-大沙头-大沙头码头-白云路-东川路-中山医院-农林下路-羊城晚报社-东峻广场-锦城花园-天河城-体育东-石牌桥-岗顶-师大暨大-华景新城19路中山八路总站-珠江大桥-桥中-广佛路口-桥东小区-花地-芳村-大冲口-广中码头-白鹤洞总站20路赤岗站-新村-台涌-石榴岗-加工厂-赤沙-北山村-仓头西-仓头总站21路应元路总站-越秀公园站-桂花岗站-三元里-北站-沙涌-棠下-棠溪-新市22路广卫路-中山五路-农讲所-大东门-烈士陵园-中山医院-东山口-农林下路-羊城晚报-东峻广场-锦城花园-华穗路-华厦路北-天河北-天河南路-体育东路-石牌桥-岗桥-华南工大总站23路梅花路-农林下路-东风东-天河-冼村-石牌村-国防大厦-暨南大学-潭村-员村山顶-员村-程介村-化工厂-纸江纸厂-车陂24路白云索道总站-必安汽修厂-景泰坑-羊城汽车厂-广园新村-交电新村-中医学院-越秀公园-盘福路-吉祥路-公园前-文德路-万福路-珠光路25路泮塘总站-龙津西-恩宁路-黄沙后道-珠玑路口-六二三路-同福西-市红会医院-市二宫-江南大道中-南村-华海大厦-广医二院-怡乐村-荣校-中山大学总站26路珠江泳场总站-滨江东-石涌口-草芳围-海珠桥脚-江南大道北-市二宫-市红会医院-同福西-梅园西-沙园-凤凰新村-珠江医院-纸厂路-纸厂-南石头总站27路广卫路站-广东大厦-正骨医院-越秀桥东风大酒店-先烈南路-黄花岗-动物园-沙河顶-沙河大街-军体院-陶瓷厂-华侨补校-东莞庄路口-农垦局-竹丝岗-东莞庄28路龙洞总站-植物园-三宝圩-科学院-东升厂-射击场-上元岗-天河客运站-银河公墓-武警医院-燕塘-天平架总站29路站前路总站-西站-站前路-广医-府前路站-起义路站-海珠广场-江南大道-南村-江南西-江南新-宝岗大道30路广州火车站-草暖公园-电视塔-童心路-广东电视台-白云宾馆-区庄-执信路-农林下路-农林东-梅花村-锦城花园31路凤凰岗总站-洪德路-南方大厦-大新西路-上九东-人民中站-西门口-人民北路-流花公园-广州火车站总站32路天平架总站-五仙桥-鸡颈坑-红旗-梅花园33路广州火车站总站-电视塔-小北花圈-法政路-东风大酒店-先烈南路-广东工大-动物园南门-体育中心-体育东-石牌桥-岗顶-师大暨大总站34路广州火车站-克山-西村-西场电器城-工业品市场-中山八路-石基路-荔湾路口-华贵路-龙津西路总站35路文德路总站-文明路-越秀南-白云路-星光电器城大沙头-海印桥南九十七中学-瑞宝乡晓港湾-三窖村-沥窖-耐火材料厂-少教所-大沙-救捞局-瀛州公园总站36路东方乐园总站-白云苗圃-柯子岭-景泰坑-市交控中心-下塘西路-童心路-小北花圈-仓边路-文德路-万福路-越秀南-白云路大沙头码头-大沙头-滨江东路-珠江泳场站37路赤沙总站-石榴岗-台涌新村-赤岗-赤岗东-珠影厂-客村立交-五羊新村南方报社-杨箕村-梅花村-东山总站38路景泰坑总站-广园新村-交电新村-中医学院-桂花岗-草暖公园-火车站-友谊剧院-人民北-西门口-上九东大新路十三行-六二三路-黄沙总站39路豪贤路总站-越秀桥-肿瘤医院-农林下路-梅花村-杨箕村-冼村-石牌村国防大厦-员村山顶-员村-员村生活区总站40路五羊新城总站-珠江宾馆-长城大厦-达道路-东山口-中山医院-烈士陵园-大东门越秀中万福东-万福西海珠广场-广医一院总站41路广州火车东站-林和西路-天河北路-天河南路-华厦路-华穗路-锦城花园东峻广场-羊城晚报社-执信路-越秀桥-东风大酒店-东风中路-中山纪念堂-广卫路总站42路天河公交场-体育中心-锦城花园-东峻广场-羊城晚报社-执信路-东风大酒店-越秀桥-东风中路-中山纪念馆-市总工会-广医-少年宫-东风西-西华路总站43路广州火车东站-林和西路-天河北-天河东-天河路口-岗顶-师大暨大-省邮校-员村-程介村-化工厂-珠江纸厂-车陂-东圃-广大公司-石溪村44路五羊新城总站-珠江宾馆-长城大厦-达道路-农林东路-东山口-中山医院-东川路-白云路-大沙头码头-大沙头-海印桥南-云桂-基立村-江南大道中-南村-海珠购物中心-华海大厦-昌岗路总站45路广州东站-林和西路-杨箕村-梅花村-农林东路-东山口-中山医院-东川路-白云路-大沙头码头-大沙头-海印桥南-怡乐村-荣校-中山大学总站46路天平架总站-省军区-沙河-濂泉路口-云泉新村-金贵村白云索道必安汽修厂-景泰坑-第四电器厂-羊城汽车厂-广园新村-交电新村-瑶台-王圣堂-省妇幼保健院-克山-西村-西场电器城-罗冲围总站50路东圃-棠东-民族学校-邮电学校-石牌桥-体育中心-东峻广场-农林东路-东山口站-省人民医院-越秀中51路天平架总站-军体院站-白云区医院站-广州体院站-广州大道北站-南方报社站-五羊新村站-客村立交站-敦和-园艺场-上冲-上冲南-洛溪桥-池窖-窖总站510路52路广州火车站-站前路-西华路尾-彩虹桥-荔湾路-石路基-中山八路-珠江大桥-桥中广佛路口-芳村大道西-桥东小区-山村-花-芳村-大冲口-广船码头53路宝岗大道总站-江南新村-江南西路-华海大厦-海珠购物中心-广医二院-怡乐村-荣校-中山大学-康乐村-鹭江-客村立交-五羊新村-南方日报社-华夏路北-华夏路-花城大道西-花城大道-花城大道东-马场路-员村山顶-员村-员村生活区站54路燕塘生活区总站-燕岭大厦-农垦总局-天河北路-时代广场-锦城花园-东峻广场-羊城晚报-执信路-先烈南路-东风大酒店-大东门-越秀中-越秀南55路桥东小区总站-芳村区政府-山村-芳村-黄沙大道-多宝路-泮塘-荔湾路-彩虹桥-西环广客隆-糖厂路口-罗冲围总站56路天平架总站-省军区-军体院-白云区医院-广州体院-广州大道北-锦城花园-东峻广场-羊城晚报-执信路-东风大酒店-越秀桥-东风中-中山纪念堂-市总工会-市一医院-六榕路-朝天路-光塔路总站57路芳村合兴苑总站-花地湾-芳村隧道口-黄沙码头-六二三路-南方大厦-爱群大厦-靖海路-文德南-东堤-大沙头码头总站58路广医一院-爱群大厦-天成路-光塔路-市一医院-越秀公园-桂花岗-中医药大学-边检站-机场生活区-新市59路南石头总站-纸厂-珠江医院-基建新村-沙园-凤凰新村-梅园西-革新路-洪德路-海幢公园-南华中-海珠广场-江南大道北-南关-北京路-德政路-越秀中路-东华西路-东川路-白云路总站60路中大码头站-珠江泳场-滨江东-大沙头-白云路-东川路-中山医院-东山口-农林下路-羊城晚报-东峻广场-广州大道北-时代广场-林和中路-广州东站61路中山八路-石路基-荔湾路口-华贵路-宝华路-和平东-一德西-一德中-一德东-海珠广场-万福西-万福东-越秀南-白云路-大沙头码头-大沙头-海印桥62路西村-西场电器城-东风西-少年宫-广医-市总工会-纪念堂-东风中-传染病院-执信路-羊城晚报-福今路-东峻广场-东风东-天河-天河邮局-天河名坊-林和东路-火车东站63路恒福路-省银行医院-铁路疗养院-永福路-动物园-黄花岗-犀牛路口-执信中学-农林下路-农林东-梅花村-东风东-天河-冼村-石牌西64路广卫路-公园前站-北京路-南关-海珠广场-爱群大厦-南方大厦-六二三路-黄沙-芳村-下芳村-大冲口-鹤洞新村-广中码头-广船-东塱65路天河客运站-水暖厂-银河公墓-武警医院-燕塘企业-瘦狗岭-省军区-军体院-沙河大街-沙河顶-动物园-黄花岗-先烈南路-传染病院-东风大酒店-越秀北-越秀中-德政中-北京路-教育南66路童心北路-市交控中心-下塘西路-儿童活动中心-小北花圈-仓边路-文德路-北京路-大南路-省医门诊部-龙津东-龙津中-华贵路口-泮溪-蓬莱路-黄沙69路大塘-赤岗-赤岗东-珠影厂-客村-鹭江-康乐村-中山大学-荣校-怡乐村-广医二院-昌岗中-橡胶新村-白鹤洞-西朗-坑口-汾水小区70路中山八路-如意坊-黄沙后道-花地湾-花地大酒店-芳村客运站-坑口-芳村西朗71路西朗-坑口-东漖路口-花地大道北-花地湾-芳村-黄沙大道-如意坊-西郊车站-工业品市场-西场电器城-西村72路动物园-永福路站-西坑-濂泉路口站-沙河-省军区-天平架-马蹄岗-南华工商学院-天虹宾馆-白云配件公司-新百佳商贸城-南方医院74路米市路-省医院-龙津东路站-带河路-华贵路口-荔湾路口-中山八路站-西郊车站-如意坊站-黄沙大道站-芳村-下芳村-大冲口-鹤洞新村-广中码头-永红会场-广州钢铁厂-西朗75路76路童心南-下塘西路站-市交控中心站-广园新村-保得药厂-白云食品公司-柯子岭-东方乐园76A 童心北路-广元路-柯子岭-东方公园78路东山广场-动物园站-沙河顶站-广州大道北站-水荫路站-车管所-体育中心站-天河路口-天河东路-龙口西路-龙口东路-五山路口-华工大-五山镇-华农大-教练场79路文化公园-洪德路站-革新路口-梅园西-凤凰新村-沙园站-珠江医院-纸厂站-南石头-石溪-石溪村-金碧花园-南洲名苑-西滘村-洛溪新城80路同德苑-同德乡-鹅掌坦-广排-铸管厂-克山-西村-西场-东风西-少年宫-广医-市总工会-中山纪念堂-东风中-正骨医院-越秀桥-越秀中-越秀南-白云路-大沙头-石涌口-滨江路-中大码头801路81路文化公园-六二三路站-珠玑路口站-黄沙码头站-花地湾-山村-桥东小区-广佛路口-滘口车站82路中山八路-西郊车站-如意坊站-多宝路-恩宁路-和平中-和平东-一德西-一德中-一德东-海珠广场-江南大道北-江南大道中-南村-海珠购物中心-广医二院-小港新村-九十七中-储蓄所-五凤乡83路珠江广场-客村-五羊新村站-长城大厦-达道路-农林下路-执信路-东风中路-中山纪念堂-广医-流花公园站-交易会站-广州火车站-机务段84路动物园站-沙河顶站-沙河大街站-军体院站-禺东西-银河公墓-水暖厂-上元岗-三保墟-龙洞-林校84路辅动物园-沙河顶-沙河大街-军体院-禺东西-广汕公路-水暖厂-上元岗-科学院-植物园-龙洞-林校85路中山八路-石路基站-荔湾路口-陈家祠站-西门口站-中山六路-解放北-中山纪念堂-东风中-越秀桥-东风大酒店-执信路-羊城晚报社-东峻广场-东风东-广州大道北站-水荫横路-水荫路站-沙河顶站-沙河大街站-沙河86路一德西-一德路-海珠广场-江南大道北-江南大道中-南村-华海大厦-坭岗-燕子岗-金碧花园-瑞宝花园-救捞局-瀛洲公园87路机场路-中医学院-桂花岗站-越秀公园站-迎宾馆站-解放中路站-解放南站-海珠广场站-江南大道北-江南大道中-南村-华海大厦-坭岗-南石头-石溪村-金碧花园-南洲名苑-西滘村-洛溪桥脚-南洲花园88路西华路尾彩虹桥站-荔湾路站-陈家祠站-中山七路-西门口站-中山六路-解放中路站-解放南路站-海珠广场-江南大道北-江南大道中-基立村-云桂村-怡乐村-荣校-中山大学-康乐村-鹭江-客村-敦和-园艺场-天雄布市89路大沙头总站-二沙西-星海音乐厅-二沙东-五羊新城-南方日报社-中山一立交-天河城-石牌桥-天河东路-天秀路-戎华楼-农垦总局-粤垦路-金燕生活区-燕岭大厦-燕塘企业-武警医院-银河公墓-水暖厂-天河客运站101路机场路-三元里-桂花岗-越秀公园-迎宾馆-解放中-大南路-文明路-越秀南-白云路-星光电器城-海印桥102路人民南站-大新路口-东升医院-人民中站-西门口-人民北路-流花公园-越秀公园-桂花岗-三元里-机场路103路人民南站-大新路口-东升医院-人民中站-西门口-人民北路-流花公园-越秀公园-桂花岗-三元里-机场路104路中山八路-石路基-荔湾路口-陈家祠-中山七路-西门口-中山六路-解放中-大德路-大南路-文明路-省博物馆-越秀南-白云路-大沙头-海印桥105路机场路-中医学院-桂花岗-越秀公园-流花公园-东风西-彩虹桥-荔湾路-石路基-中山八路-西郊车站-如意坊-黄沙大道-黄沙码头-六二三路-文化公园106路人民南站-大新路口-人民中-惠福西-大南路-文明路-省博物馆-越秀南-白云路-东川路-省医院-中山医-东山口-农林东-梅花村-锦城花园107路中山八路-石路基-荔湾路口-陈家祠-中山七路-西门口-中山六路-公园前-北京路-农讲所-大东门-烈士陵园-中山医学院-东山108路机场路-中医学院-桂花岗-越秀公园-迎宾馆-公园前-财厅前-农讲所-大东门-烈士陵园-中山医学院-东山121路东朗-广船码头-橡胶新村-江南新村-海珠区妇幼保健院-宝岗大道-海珠区委122路广州火车站东站-林和西路站-时代广场站-广州大道北站-中山一立交-南方报社站-五羊新村站-客村立交站-墩和-园艺场-上冲-上冲南-洛溪桥-洛溪新城123路文化公园-六二三路站-黄沙码头站-黄沙大道站-如意坊站-西郊车站-桥中-广佛路口124路芳村滘口客运站-桥中-中山八路站-石路基站-荔湾路口-带河路-龙津东路站-上九东站-大德路-省中医院-解放中路站-迎宾馆站-越秀公园站-桂花岗站-中医学院-交电新村-广园新村-云苑新村125路广卫路-北京路站-万福路-万福东-越秀南-白云路-大沙头码头-大沙头-海印桥南-怡乐村-荣校-中山大学-康乐村-鹭江-客村-墩和-园艺场-上冲-上冲南-洛溪桥脚-海滨花园-洛溪新城-丽江花园127路应元路-越秀公园站-桂花岗站-中医学院-边检站-机场生活区-新市128路海印桥-大沙头-东堤-文德南-海珠广场-爱群大厦-人民南-大新路站-上九东-东升医院-人民中站-西门口-中山七路-陈家祠站-荔湾路口-石路基站-中山八路站-南岸-桥中-珠岛花园129路动物园南门-亚洲汽水厂站-南方报社站-五羊新村站-客村立交站-乐村-中山大学-荣校-怡乐村-广医二院-信和广场-昌岗路130路广州火车站东站-林和西路站-天河北路站-天河东-石牌桥-体育中心站-天河-南方报社站-五羊新村站-客村立交站-珠影厂-赤岗东-大塘132路中山八路-珠江大桥-桥中-南海大厦133路中山八路-石路基站-荔湾路站-彩虹桥站-东风西-广医-市总工会-中山纪念堂-正骨医院-越秀桥-东风大酒店-先烈南路站-执信路-广东工大站-动物园南门站-广州大道北站-时代广场站-天河北路站-龙口西路口-龙口西134路人民南站-大新路口站-上九东-人民中站-西门口站-西华路-彩虹戏院-东风西路-西村-铸管厂-广排-鹅掌坦-同德乡-同德花园136路天河公交场-天河北路-时代广场-广州体院-白云区医院-军体院-省军区-天平架-华南工商学校-天虹宾馆-白云配件厂-华南计算机厂-京溪村-云景花园137路动物园南门-亚洲汽水厂站-环市东路-天河路口-石牌桥-国防大厦-畔江花园-华穗路-花城大道西-花城大道中-猎德村-花城大道东-海风路口-赤沙-大家庭花园-琶洲塔-琶洲村-新洲公司-杨青-黄埔村-金属厂-新洲前-新洲138路珠江新城-海心沙-冼村路-猎德村-猎德路-天河南-天河路口-天河东路-天寿路-农垦局-竹丝岗-东莞庄139路海珠客运站-西窑村-洛溪桥-上冲南-上冲-园艺场-墩和-珠影厂-赤岗东-赤岗-磨碟沙-园艺西-邮电科研所-省邮校-上社-民族学院-棠下-棠东-车陂-东圃路口-羊城花园-东圃客运站175路广州火车东站-林和西路-时代广场-广州体院-白云区医院-沙河路-濂泉路口-金贵村-白云索道-必安汽修厂-景泰坑-第四电器厂-羊城汽车厂-广园新村-交电新村-瑶台-王圣堂-省妇幼保健医院-克山-广排-鹅掌坦-同德乡-上步-横滘村-同德围176路黄沙-黄沙大道-如意坊-西郊车站-南岸路-西场-西村-西湾路-铸管厂-广排-鹅掌坦-同德乡-上步-横滘-同德围177路广州东站-林和西路站-天河北路站-天河东路-岗顶-石牌东-谭村-山顶-员村-员村生活区178路华景新城-科研所-岗顶-体育中心-中山一路立交-南方报社-五羊新村-新港路-客村-康乐村-中山大学-荣校-怡乐村-广医二院-江燕路179路南方医院-梅花园-五仙桥-沙河路-沙河-濂泉路口-云泉新村-白云索道-必安汽修厂-景泰坑站-第四电器厂-广园新村-瑶台-王圣堂-省妇幼-克山-西村180路广州火车站-交易会站-迎宾馆站-解放中站-一德站-海珠广场-江南大道北-江南大道中-南村-海珠购物中心-坭岗-江燕花园-燕子岗-南石头-石溪村-金碧花园-瑞宝花园-南州花苑-洛溪桥脚-沥滘181路广州火车站-交易会-流花公园-人民北路-西门口-人民中-东升医院-上九东-大新路口-南方大厦-六二三路-黄沙码头-上芳村-下芳村-大冲口-鹤洞新村-鹤洞-西朗182路广园新村-景泰直街-交电新村-中医学院-桂花岗站-越秀公园站-盘福路-市总工会-吉祥路-广卫路-公园前站-北京路站-北京路南-万福西-万福路-越秀南-白云路-大沙头码头-大沙头-石涌口-滨江东路-珠江泳场-中大码头183路广州东站-林和西路站-时代广场站-广州大道北站-南方报社站-五羊新村-珠江宾馆-长城大厦-达道路-东山口站-中山医学院-省人民医院-越秀路-德政路-北京路口-北京南-南关站-海珠广场-南华东-堑口-海幢公园-洪德路站-同福西-洲头咀客运站184路恒福路-横枝岗-小北站-小北花圈站-越秀北路-越秀中路-越秀南路-白云路-大沙头码头-大沙头--荣校-中山大学-康乐村-鹭江-客村-珠影厂-赤岗东-卷烟一厂-大塘185路机场路-中医学院-桂花岗站-越秀公园-盘福路-市总工会-纪念堂-东风中路-正骨医院-越秀桥-东风大酒店-执信路-羊城晚报社-东峻广场-锦城花园-华夏路北-天河路口-天河东路-天河北路-林和西路-广州火车东站186路广园新村-中医学院-桂花岗站-越秀公园站-流花公园站-人民北路-西门口站-人民中站-东升医院-上九东-大新路口站-江南大道北-江南大道中-南村-华海大厦-坭岗-南泰路-珠江医院187路新市-棠溪-棠下-沙涌-三元里-桂花岗-越秀公园188路海珠广场-万福路-越秀路-白云路-大沙头-海印桥南-怡乐村-荣校-中山大学-康乐村-鹭江-客村-园艺场-上冲-洛溪桥脚-沥滘190路麓景路-小北站-小北花圈站-仓边路-文德路-北京路站-大南路-海珠广场-江南大道北-江南大道中-南村-海珠购物中心-广医二院-怡乐村-荣校-中山大学-康乐村-鹭江-客村-珠影厂-赤岗东-卷烟一厂-大塘191路广州火车站东站-林和西路站-天河北路站-体育中心站-亚洲汽水厂站-动物园南门站-广东工大站-花园酒店站-广东电视台站小北站-小北花圈站-仓边站-北京路站-大南路-海珠广场-江南大道北-市二宫-市红会医院-福场路水荫路-广州大道北站-沙河顶站-动物园站-黄花岗站-农林下路-东山口站-中山医站-省人民医院东川路-白云路-大沙头码头-大沙头-海印桥南-云桂村-基立村-江南大道中-南村-华海大厦-坭岗-南泰路-珠江医院193路广卫路-公园前-吉祥路-市总工会-广医-少年宫-东风西路-彩虹桥-荔湾路站-石路基-中山八路-桥中-广佛路口-桥东小区-山村-汾水小区站194路华景新城-华南师大-岗顶-体育东-体育中心站-中山一路立交-南方报社站-五羊新村站-二沙东-星海音乐厅-二冲西-大沙头-大沙头码头-东堤-文德南-南关站-解放南路-广医一院195路广州东站-林和西路站-天河北路站-天河东-体育东-体育中心站-中山一路立交-南方报社站-五羊新村站-客村立交站-墩和-园艺场-上冲-上冲南--洛溪桥脚-沥滘196路中山八路-石路基站-荔湾路站-彩虹桥站-西场电器城-克山-水泥厂-广排-鹅掌坦-同德乡-上步-同德围197路宝岗大道南-江南西-海珠购物中心-广医二院-怡乐村-荣校-中山大学-康乐村-鹭江-客村-客村立交站-五羊新村站-南方报社站-华夏路-岗顶-华南师大后门-华南理工大学-华南农大198路新市-棠溪-沙涌-瑶台-王圣堂-省妇幼-克山-西村-西环广客隆糖厂路口-罗冲围199路水荫路站-广州大道北站-沙河顶站-动物园站-永福路站-西坑站-索道站-必安汽修厂站-景泰坑站-第四电器厂站-广园新村站-松柏大街-云苑新村201路广州火车站-越秀公园北门-电视塔-小北站-白云宾馆-花园酒店-黄花岗-动物园-沙河顶-沙河大街-军体院-沙河路-天平架-南华工商学院-天虹宾馆-白云配件公司-华南计算公司-南方医院202路站南路站-流花公园站-市少年宫-人民北路-西门口站-东升医院-上九东-大新路口站-人民南路-文化公园-洪德路站-革新路口站-梅园西站-凤凰新村-沙园站-基建新村-珠江医院-纸厂站-石溪203路赤岗-赤岗东-珠影厂-客村-鹭江-康乐村-中山大学-荣校-怡乐村-广医二院-海珠购物中心-南村-江南大道中-江南大道北-海珠广场-起义路站-府前路站-交易会站-广州火车站204路二沙东-五羊新村站-南方报社站-锦城花园-东峻广场-羊城晚报社-执信路-先烈南路站-东风大酒店-越秀桥-东风中-中山纪念堂-市总工会-迎宾馆站-解放中路-省人民医院-东升医院-带河路口-长寿西-宝华路-黄沙205路广佛路口-桥中-中山八路站-南岸路-荔湾路站-彩虹桥站-西华路尾-站前路-西站-站南路站-广州火车站206路东岗东站-赤岗东-珠影厂-客村-鹭江-康乐村-中山大学-荣校-怡乐村-广医二院信和广场-橡胶新村-鹤洞新村-大冲口-芳村-花地-山村-桥东小区-广佛路口-窑口总站。
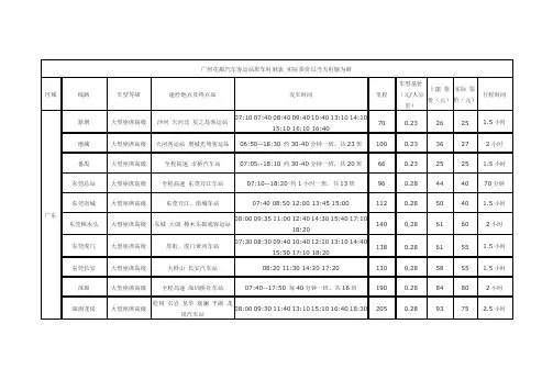
(优化版)广州—从化各广从线路详细表附从化市内公交车详细路线表新浪微博:从城身边事了解从化,关心从化,敬请关注@从城身边事广州广从1快线从化线路广州汽车站06:45--20:30 从化汽车站06:00--19:30 票价24元广州二汽从化分公司去程:广州汽车站- 从化汽车站(2站)回程:从化汽车站- 广州汽车站(2站)广州广从1快线备注信息:直达快线,中途不停站,每15分钟一班,走机场高速、街北高速广州广从2线从化线路芳村客运站07:10--21:00 从化汽车站06:00--20:00 分段收费,全程24元广州二汽从化分公司去程:芳村客运站- 黄沙大道- 黄石东路口- 东平路口(白云心理医院) - 龙归路口- 太和路口- 竹料路口- 钟落潭路口- 长腰岭- 新和- 上水(广州市老人院) - 太平镇政府- 太平开发区- 夏湾拿花园- 神岗镇政府- 逸泉山庄- 白田岗- 从化汽车站(18站)回程:从化汽车站(总站) - 白田岗- 逸泉山庄- 神岗镇政府- 夏湾拿花园- 太平开发区- 太平镇政府- 上水(广州市老人院) - 新和- 长腰岭- 钟落潭路口- 竹料路口- 太和路口- 龙归路口- 东平路口(白云心理医院) - 黄石东路口- 黄沙大道- 芳村客运站(18站)广州广从2线备注信息:每15-20分钟一班广州广从3线从化线路罗冲围客运站07:20--20:45 从化汽车站05:30--18:30 分段收费,全程24元广州二汽从化分公司去程:罗冲围客运站- 小坪南- 黄石路- 黄石东路口- 东平路口(白云心理医院) - 龙归路口- 太和路口- 竹料路口- 钟落潭路口- 长腰岭- 新和- 上水(广州市老人院) - 太平镇政府- 太平开发区- 夏湾拿花园- 神岗镇政府- 逸泉山庄- 白田岗- 从化汽车站(19站)回程:从化汽车站- 白田岗- 逸泉山庄- 神岗镇政府- 夏湾拿花园- 太平开发区- 太平镇政府- 上水(广州市老人院) - 新和- 长腰岭- 钟落潭路口- 竹料路口- 太和路口- 龙归路口- 东平路口(白云心理医院) - 黄石东路口- 黄石路- 石井- 罗冲围客运站(19站)广州广从3线备注信息:每30-45分钟一班广州广从4快线从化线路天河客运站07:00--18:40 从化汽车站06:00--17:40 分段收费,全程24元广州二汽从化分公司&顺途公汽去程:天河客运站- 天平架- 长腰岭- 新和- 上水(广州市老人院) - 太平镇政府- 太平开发区- 夏湾拿花园- 神岗镇政府- 逸泉山庄- 白田岗- 从化汽车站(12站)回程:从化汽车站- 白田岗- 逸泉山庄- 神岗镇政府- 夏湾拿花园- 太平开发区- 太平镇政府- 上水(广州市老人院) - 新和- 长腰岭- 天平架- 天河客运站(12站)广州广从4快线备注信息:每20分钟一班,走京珠高速广州广从4线从化线路天河客运站06:15--21:00 从化汽车站05:30--20:00 分段收费,全程24元广州二汽从化分公司&顺途公汽去程:天河客运站- 天平架- 南方医科大学- 大源- 太和中路- 竹料路口- 钟落潭路口- 长腰岭- 新和- 上水(广州市老人院) - 太平镇政府- 太平开发区- 夏湾拿花园- 神岗镇政府- 逸泉山庄- 白田岗- 从化汽车站(17站)回程:从化汽车站- 白田岗- 逸泉山庄- 神岗镇政府- 夏湾拿花园- 太平开发区- 太平镇政府- 上水(广州市老人院) - 新和- 长腰岭- 钟落潭路口- 竹料路口- 太和中路- 大源- 南方医科大学- 天平架- 天河客运站(17站)广州广从4线备注信息:每10-15分钟一班广州广从5线从化线路广州东站汽车客运站07:00--21:00 从化汽车站05:30--19:30 分段收费,全程24元广州二汽从化分公司去程:广州东站汽车客运站- 天平架- 长腰岭- 新和- 上水(广州市老人院) - 太平镇政府- 太平开发区- 夏湾拿花园- 神岗镇政府- 逸泉山庄- 白田岗- 从化汽车站(12站)回程:从化汽车站- 白田岗- 逸泉山庄- 神岗镇政府- 夏湾拿花园- 太平开发区- 太平镇政府- 上水(广州市老人院) - 新和- 长腰岭- 天平架- 广州东站汽车客运站(12站)广州广从5线备注信息:每15-20分钟一班广州广从6线从化线路东圃客运站06:40--19:30 从化汽车站06:00--19:00 分段收费,全程24元广州二汽从化分公司去程:东圃客运站- 棠德小区北- 长腰岭- 新和- 上水(广州市老人院) - 太平镇政府- 太平开发区- 夏湾拿花园- 神岗镇政府- 逸泉山庄- 白田岗- 从化汽车站(12站)回程:从化汽车站- 白田岗- 逸泉山庄- 神岗镇政府- 夏湾拿花园- 太平开发区- 太平镇政府- 上水(广州市老人院) - 新和- 长腰岭- 棠德小区北- 东圃客运站(12站)广州广从6线备注信息:每15-20分钟一班广州广从7线从化线路黄埔客运站发车时间:07:20 08:50 12:40 15:50 17:10 从化汽车站发车时间:05:30 09:42 12:44 14:30 18:00 分段收费,全程25元广州二汽从化分公司去程:黄埔客运站- 棠德小区北- 长腰岭- 新和- 上水(广州市老人院) - 太平镇政府- 太平开发区- 夏湾拿花园- 神岗镇政府- 逸泉山庄- 白田岗- 从化汽车站(12站)回程:从化汽车站- 白田岗- 逸泉山庄- 神岗镇政府- 夏湾拿花园- 太平开发区- 太平镇政府- 上水(广州市老人院) - 新和- 长腰岭- 棠德小区北- 黄埔客运站(12站)广州广从7线备注信息:无广州广从8快线从化线路广园客运站06:15--21:30 从化汽车站05:50--20:20 分段收费,全程22元顺途公汽去程:广园客运站- 黄石东路口- 陈田村- 元下田- 钟落潭路口- 长腰岭- 湴湖(广州科技学院) - 新和- 上水(广州市老人院) - 太平镇政府- 太平开发区- 夏湾拿花园- 神岗镇政府- 逸泉山庄- 白田岗- 从化汽车站(16站)回程:从化汽车站- 白田岗- 逸泉山庄- 神岗镇政府- 夏湾拿花园- 太平开发区- 太平镇政府- 上水(广州市老人院) - 新和- 湴湖(广州科技学院) - 长腰岭- 钟落潭路口- 元下田- 陈田村- 黄石东路口- 广园客运站(16站)广州广从8快线备注信息:每13分钟一班广州广从8线从化线路广园客运站06:20--21:30 从化汽车站05:40--20:00 分段收费,全程21元顺途公汽去程:广园客运站- 黄石东路口- 东平路口(白云心理医院) - 龙归路口- 太和路口- 竹料路口- 钟落潭路口- 长腰岭- 新和- 上水(广州市老人院) - 太平镇政府- 太平开发区- 夏湾拿花园- 神岗镇政府- 逸泉山庄- 白田岗- 从化汽车站(17站)回程:从化汽车站- 白田岗- 逸泉山庄- 神岗镇政府- 夏湾拿花园- 太平开发区- 太平镇政府- 上水(广州市老人院) - 新和- 长腰岭- 钟落潭路口- 竹料路口- 太和路口- 龙归路口- 东平路口(白云心理医院) - 黄石东路口- 广园客运站(17站)广州广从8线备注信息:每14分钟一班广州广从9线从化线路滘口客运站06:25--20:30 从化汽车站05:30--18:30 分段收费,全程24元顺途公汽去程:滘口客运站- 桥中(双桥路) - 黄石东路口- 东平路口(白云心理医院) - 龙归路口- 太和路口- 竹料路口- 钟落潭路口- 长腰岭- 新和- 上水(广州市老人院) - 太平镇政府- 太平开发区- 夏湾拿花园- 神岗镇政府- 逸泉山庄- 白田岗- 从化汽车站(18站)回程:从化汽车站- 白田岗- 逸泉山庄- 神岗镇政府- 夏湾拿花园- 太平开发区- 太平镇政府- 上水(广州市老人院) - 新和- 长腰岭- 钟落潭路口- 竹料路口- 太和路口- 龙归路口- 东平路口(白云心理医院) - 黄石东路口- 桥中(双桥路) - 滘口客运站(18站)广州广从9线备注信息:每15-20分钟一班广州广从10线从化线路越秀南客运站06:30--20:15 从化汽车站05:30--19:40 分段收费,全程24元顺途公汽去程:越秀南客运站- 白云索道- 黄石东路口- 东平路口(白云心理医院) - 龙归路口-太和路口- 竹料路口- 钟落潭路口- 长腰岭- 新和- 上水(广州市老人院) - 太平镇政府- 太平开发区- 夏湾拿花园- 神岗镇政府- 逸泉山庄- 白田岗- 从化汽车站(18站)回程:从化汽车站- 白田岗- 逸泉山庄- 神岗镇政府- 夏湾拿花园- 太平开发区- 太平镇政府- 上水(广州市老人院) - 新和- 长腰岭- 钟落潭路口- 竹料路口- 太和路口- 龙归路口- 东平路口(白云心理医院) - 黄石东路口- 白云索道- 越秀南客运站(18站)广州广从10线备注信息:每10-15分钟一班广州广从11线从化线路海珠客运站06:20--20:15 从化汽车站05:30--18:30 分段收费,全程24元顺途公汽去程:海珠客运站- 白云索道- 黄石东路口- 东平路口(白云心理医院) - 龙归路口- 太和路口- 竹料路口- 钟落潭路口- 长腰岭- 新和- 上水(广州市老人院) - 太平镇政府- 太平开发区- 夏湾拿花园- 神岗镇政府- 逸泉山庄- 白田岗- 从化汽车站(18站)回程:从化汽车站- 白田岗- 逸泉山庄- 神岗镇政府- 夏湾拿花园- 太平开发区- 太平镇政府- 上水(广州市老人院) - 新和- 长腰岭- 钟落潭路口- 竹料路口- 太和路口- 龙归路口- 东平路口(白云心理医院) - 黄石东路口- 白云索道- 海珠客运站(18站)广州广从11线备注信息:每15-20分钟一班广州从化汽车站-番禺汽车客运站从化线路从化汽车站06:30--16:45 番禺汽车客运站06:10--19:00 分段收费,全程36元广州二汽从化分公司&广州二汽番禺分公司去程:从化汽车站- 白田岗- 逸泉山庄- 神岗镇政府- 夏湾拿花园- 太平开发区- 太平镇政府- 上水(广州市老人院) - 新和- 长腰岭- 塘步西- 里仁洞- 广州南汽车客运站- 钟村- 祈福新村- 市桥汽车站- 番禺汽车客运站(17站)回程:番禺汽车客运站- 市桥汽车站- 祈福新村- 钟村- 广州南汽车客运站- 里仁洞- 塘步西- 长腰岭- 新和- 上水(广州市老人院) - 太平镇政府- 太平开发区- 夏湾拿花园- 神岗镇政府- 逸泉山庄- 白田岗- 从化汽车站(17站)广州从化汽车站-番禺汽车客运站备注信息:每50-60分钟一班广州从化汽车站-番禺市桥汽车站从化线路从化汽车站06:10--19:20 番禺市桥汽车站06:50--18:30 分段收费,全程35元广州二汽从化分公司&广州二汽番禺分公司去程:从化汽车站- 白田岗- 逸泉山庄- 神岗镇政府- 夏湾拿花园- 太平开发区- 太平镇政府- 上水(广州市老人院) - 新和- 长腰岭- 塘步西- 里仁洞- 市桥汽车站(13站)回程:市桥汽车站- 里仁洞- 塘步西- 长腰岭- 新和- 上水(广州市老人院) - 太平镇政府- 太平开发区- 夏湾拿花园- 神岗镇政府- 逸泉山庄- 白田岗- 从化汽车站(13站)广州从化汽车站-番禺市桥汽车站备注信息:每20-30分钟一班广州花都客运站-从化汽车站花都线路花都客运站06:00--20:30 从化汽车站06:00--20:30 分段收费,全程13元花都恒通&广州二汽从化分公司去程:花都客运站- 新世纪广场[花都] - 丽美酒店- 横潭路口- 横潭牌坊- 红珠路口- 培新中学- 城东停车场- 三鸟市场- 宝田加油站- 田美新村- 润龙里- 莲塘市场(花都商业大道) - 莲塘- 花山第二工业区- 龙口- 东湖安置区- 小布- 花山花侨中学- 南门- 坪山- 花山镇政府- 祈福物流中心- 洛场村- 花山中队- 天和- 九湖村- 三凤村- 迳口中学- 花东市场- 花东汽车站- 花东派出所- 七星路口[花东] - 永光村- 金田工业区- 大塘中学- 富力金港城路口- 保良村- 花侨农场- 花侨市场- 龙岗路口- 吉星村- 港头- 水口营- 四联路口- 榴花中学- 北兴- 北兴供电所- 京珠路口- 镇东- 杨三村(西) - 杨三村(东) - 杨二村- 杨一村(西) - 杨一村(东) - 太平镇政府- 太平开发区- 夏湾拿花园- 神岗镇政府- 逸泉山庄- 白田岗- 从化汽车站(62站)回程:从化汽车站- 白田岗- 逸泉山庄- 神岗镇政府- 夏湾拿花园- 太平开发区- 太平镇政府- 杨一村(东) - 杨一村(西) - 杨二村- 杨三村(东) - 杨三村(西) - 镇东- 京珠路口- 北兴供电所- 北兴- 榴花中学- 四联路口- 水口营- 港头- 吉星村- 龙岗路口- 花侨市场- 花侨农场- 保良村- 富力金港城路口- 大塘中学- 金田工业区- 永光村- 七星路口[花东] - 花东派出所- 花东汽车站- 花东市场- 迳口中学- 三凤村- 九湖村- 天和- 花山中队- 洛场村- 祈福物流中心- 花山镇政府- 坪山- 南门- 花山花侨中学- 小布- 东湖安置区- 龙口- 花山第二工业区- 莲塘- 莲塘市场(花都商业大道) - 润龙里- 田美新村- 宝田加油站- 商业大道东- 金联市场- 红珠路- 新华中学- 横潭市场- 丽美酒店- 新世纪广场[花都] - 花都客运站(61站)广州花都客运站-从化汽车站备注信息:每15-25分钟一班广州从化汽车站-鳌头从化线路从化汽车站06:30--19:30 鳌头06:30--19:30 分段收费,全程5元广州二汽从化分公司去程:从化汽车站- 青云路口- 从化中心医院- 从化五中- 万盛广场- 石合路口- 镇泰工业城- 岭南村- 华夏学院- 旗杆- 万宝工业园- 鳌头水泥厂- 人和[鳌头] - 白兔村- 鳌头(15站)回程:鳌头- 白兔村- 人和[鳌头] - 鳌头水泥厂- 万宝工业园- 旗杆- 华夏学院- 岭南村- 镇泰工业城- 石合路口- 从化五中- 从化职校- 旺城市场- 西街口- 新村路口- 青云路- 从化汽车站(17站)广州从化汽车站-鳌头备注信息:每10-15分钟一班广州从化汽车站-鳌头高平从化线路从化汽车站05:30--19:40 鳌头高平06:20--20:40 分段收费,全程7元顺途公汽去程:从化汽车站- 青云路口- 从化中心医院- 从化五中- 万盛广场- 石合路口- 镇泰工业城- 岭南村- 华夏学院- 旗杆- 万宝工业园- 鳌头水泥厂- 人和[鳌头] - 白兔村- 鳌头路口- 龙潭收费站- 龙聚- 龙潭[鳌头] - 官庄- 月荣- 高平(21站)回程:高平- 月荣- 官庄- 龙潭[鳌头] - 龙聚- 龙潭收费站- 鳌头路口- 白兔村- 人和[鳌头] - 鳌头水泥厂- 万宝工业园- 旗杆- 华夏学院- 岭南村- 镇泰工业城- 石合路口- 从化五中- 从化职校- 旺城市场- 西街口- 新村路口- 青云路- 从化汽车站(23站)广州从化汽车站-鳌头高平备注信息:每5-10分钟一班广州从化汽车站-山心从化线路从化汽车站06:10--16:55 山心07:30--18:15 分段收费,全程8元顺途公汽去程:从化汽车站- 河东市场- 新世纪广场[从化] - 新村路口- 西街口- 旺城市场- 从化职校- 从化五中- 万盛广场- 石合路口- 镇泰工业城- 岭南村- 华夏学院- 旗杆- 万宝工业园- 鳌头水泥厂- 人和[鳌头] - 白兔村- 鳌头- 五禾- 石咀- 洲洞- 山心(23站)回程:山心- 洲洞- 石咀- 五禾- 鳌头- 白兔村- 人和[鳌头] - 鳌头水泥厂- 万宝工业园- 旗杆- 华夏学院- 岭南村- 镇泰工业城- 石合路口- 从化五中- 从化职校- 旺城市场- 西街口- 新村路口- 青云路- 从化汽车站(21站)广州从化汽车站-山心备注信息:从化汽车站发车时间:06:10 07:05 08:00 08:50 09:45 10:40 11:35 12:30 13:25 14:15 15:10 16:05 16:55山心发车时间:07:30 08:25 09:20 10:10 11:05 12:00 12:55 13:50 14:45 15:35 16:30 17:25 18:15广州从化汽车站-源湖桃莲从化线路从化汽车站06:30--18:00 桃莲07:15--18:45 分段收费,全程6元广州二汽从化分公司去程:从化汽车站- 城建学院- 江浦村委- 凤院路口- 沙塱村- 江村- 九里步工业区- 宣星路口- 云台山- 温泉镇政府- 牛步迳- 源湖村- 鸡笼岗- 平地岗- 中田- 桃莲(16站)回程:桃莲- 中田- 平地岗- 鸡笼岗- 源湖村- 牛步迳- 温泉镇政府- 云台山- 宣星路口- 九里步工业区- 江村- 沙塱村- 凤院路口- 光导纤维厂- 大江路口- 河东综合市场- 河东广场- 河东市场- 七星路口[从化] - 从化汽车站(20站)广州从化汽车站-源湖桃莲备注信息:从化汽车站发车时间:06:30 07:30 08:30 09:50 10:30 11:50 12:30 13:50 14:30 15:50 16:30 18:00桃莲发车时间:07:15 08:15 09:10 10:30 11:10 12:30 13:10 14:30 15:10 16:30 17:15 18:45广州从化汽车站-宣星桃莲从化线路从化汽车站发班时间:09:10 11:10 15:10 17:15 桃莲发班时间:09:50 11:50 15:50 18:00 分段收费,全程6元广州二汽从化分公司去程:从化汽车站- 城建学院- 江浦村委- 凤院路口- 沙塱村- 江村- 九里步工业区- 宣星村- 鸡笼岗- 平地岗- 中田- 桃莲(12站)回程:桃莲- 中田- 平地岗- 鸡笼岗- 宣星村- 九里步工业区- 江村- 沙塱村- 凤院路口- 光导纤维厂- 大江路口- 河东综合市场- 河东广场- 河东市场- 七星路口[从化] - 从化汽车站(16站)广州从化汽车站-宣星桃莲备注信息:广州从化汽车站-白水寨从化线路从化汽车站06:30--18:20 白水寨07:16--19:00 分段收费,全程6元广州二汽从化分公司去程:从化汽车站- 城建学院- 江浦村委- 凤院路口- 沙塱村- 石海- 大桥迳- 石南- 黄泥田- 灌村- 石坑[温南公路] - 大尖山- 飞碟场- 榕树吓- 白水寨(15站)回程:白水寨- 榕树吓- 飞碟场- 大尖山- 石坑[温南公路] - 灌村- 黄泥田- 石南- 大桥迳- 石海- 沙塱村- 凤院路口- 光导纤维厂- 大江路口- 河东综合市场- 河东广场- 河东市场- 七星路口[从化] - 从化汽车站(19站)广州从化汽车站-白水寨备注信息:每23-30分钟一班广州从化汽车站-民乐从化线路从化汽车站06:00--19:10 民乐07:00--20:10 分段收费,全程3元顺途公汽去程:从化汽车站- 河东市场- 新世纪广场[从化] - 新村路口- 西街口- 旺城市场- 从化职校- 从化五中- 万盛广场- 石合路口- 镇泰工业城- 岭南村- 华夏学院- 旗杆- 万宝工业园- 鳌头水泥厂- 人和[鳌头] - 万力轮胎厂- 白石[民乐] - 龙星- 玲洲- 民乐(22站)回程:民乐- 玲洲- 龙星- 白石[民乐] - 万力轮胎厂- 人和[鳌头] - 鳌头水泥厂- 万宝工业园- 旗杆- 华夏学院- 岭南村- 镇泰工业城- 石合路口- 从化五中- 从化职校-旺城市场- 西街口- 新村路口- 青云路- 从化汽车站(20站)广州从化汽车站-民乐备注信息:每30-45分钟一班广州从化汽车站-良口车站从化线路从化汽车站06:30--19:40 良口车站06:30--19:40 分段收费,全程6.5元顺途公汽去程:从化汽车站- 城建学院- 江浦村委- 凤院路口- 沙塱村- 江村- 九里步工业区- 宣星路口- 云台山- 温泉镇政府- 牛步迳- 温泉中队- 中山大学南方学院- 桥栏- 卫东- 黄围[良口] - 米埔- 高沙- 热水- 文轩苑- 碧水湾- 六三市- 良口车站(23站)回程:良口车站- 六三市- 碧水湾- 文轩苑- 热水- 高沙- 米埔- 黄围[良口] - 卫东- 桥栏- 中山大学南方学院- 温泉中队- 牛步迳- 温泉镇政府- 云台山- 宣星路口- 九里步工业区- 江村- 沙塱村- 凤院路口- 光导纤维厂- 大江路口- 河东综合市场- 河东广场- 河东市场- 七星路口[从化] - 从化汽车站(27站)广州从化汽车站-良口车站备注信息:每10-20分钟一班广州从化汽车站-吕田车站从化线路从化汽车站06:40--18:30 吕田车站06:30--18:15 分段收费,全程13元顺途公汽去程:从化汽车站- 城建学院- 江浦村委- 凤院路口- 沙塱村- 江村- 九里步工业区-宣星路口- 云台山- 温泉镇政府- 牛步迳- 温泉中队- 中山大学南方学院- 桥栏- 卫东- 黄围[良口] - 米埔- 高沙- 热水- 文轩苑- 碧水湾- 六三市- 良口车站- 黄竹塱- 森林公园- 新群- 温塘肚- 古田- 耕富岭- 塘田- 响水峡- 马鞍山- 镇安- 草埔- 蓄能电站路口- 吕田车站(36站)回程:吕田车站- 蓄能电站路口- 草埔- 镇安- 马鞍山- 响水峡- 塘田- 耕富岭- 古田- 温塘肚- 新群- 森林公园- 黄竹塱- 良口车站- 六三市- 碧水湾- 文轩苑- 热水- 高沙- 米埔- 黄围[良口] - 卫东- 桥栏- 中山大学南方学院- 温泉中队- 牛步迳- 温泉镇政府- 云台山- 宣星路口- 九里步工业区- 江村- 沙塱村- 凤院路口- 光导纤维厂- 大江路口- 河东综合市场- 河东广场- 河东市场- 七星路口[从化] - 从化汽车站(40站)广州从化汽车站-吕田车站备注信息:每10-15分钟一班广州从化汽车站-长流东明从化线路从化汽车站发班时间:06:10 10:00 13:00 15:30 东明发班时间:08:20 12:00 15:30 17:20 分段收费,全程17元顺途公汽去程:从化汽车站- 城建学院- 江浦村委- 凤院路口- 沙塱村- 江村- 九里步工业区- 宣星路口- 云台山- 温泉镇政府- 牛步迳- 温泉中队- 中山大学南方学院- 桥栏- 卫东- 黄围[良口] - 米埔- 高沙- 热水- 文轩苑- 碧水湾- 六三市- 良口车站- 黄龙带- 风木塱- 梅树- 长流- 乐明- 石明- 坪地- 东明(31站)回程:东明- 坪地- 石明- 乐明- 长流- 梅树- 风木塱- 黄龙带- 良口车站- 六三市- 碧水湾- 文轩苑- 热水- 高沙- 米埔- 黄围[良口] - 卫东- 桥栏- 中山大学南方学院- 温泉中队- 牛步迳- 温泉镇政府- 云台山- 宣星路口- 九里步工业区- 江村-沙塱村- 凤院路口- 光导纤维厂- 大江路口- 河东综合市场- 河东广场- 河东市场- 七星路口[从化] - 从化汽车站(35站)广州从化汽车站-吕田东明从化线路从化汽车站06:55--15:00 东明08:45--16:40 分段收费,全程18元顺途公汽去程:从化汽车站- 城建学院- 江浦村委- 凤院路口- 沙塱村- 江村- 九里步工业区- 宣星路口- 云台山- 温泉镇政府- 牛步迳- 温泉中队- 中山大学南方学院- 桥栏- 卫东- 黄围[良口] - 米埔- 高沙- 热水- 文轩苑- 碧水湾- 六三市- 良口车站- 黄竹塱- 森林公园- 新群- 温塘肚- 古田- 耕富岭- 塘田- 响水峡- 马鞍山- 镇安- 草埔- 蓄能电站路口- 吕田车站- 竹坑[吕田] - 汾水[吕田] - 东坑[吕田] - 东明(40站)回程:东明- 东坑[吕田] - 汾水[吕田] - 竹坑[吕田] - 吕田车站- 蓄能电站路口- 草埔- 镇安- 马鞍山- 响水峡- 塘田- 耕富岭- 古田- 温塘肚- 新群- 森林公园- 黄竹塱- 良口车站- 六三市- 碧水湾- 文轩苑- 热水- 高沙- 米埔- 黄围[良口] - 卫东- 桥栏- 中山大学南方学院- 温泉中队- 牛步迳- 温泉镇政府- 云台山- 宣星路口- 九里步工业区- 江村- 沙塱村- 凤院路口- 光导纤维厂- 大江路口- 河东综合市场- 河东广场- 河东市场- 七星路口[从化] - 从化汽车站(44站)广州从化汽车站-吕田东明备注信息:从化汽车站发车时间:06:55 08:25 10:40 13:40 14:20 15:00东明发车时间:08:45 10:30 12:30 15:40 16:00 16:40广州增城光明汽车站-从化汽车站增城线路增城光明汽车站06:00--18:40 从化汽车站06:30--19:00 分段收费,全程14元广州粤运去程:增城光明汽车站- 保健院[增城] - 电力局[增城] - 交警中队[荔城] - 富国路口- 富和路口- 华农批- 计生局[增城] - 棠村- 桥头村- 庆东村(临江公园) - 棠厦村- 小楼镇政府- 何仙姑家庙- 迪亚春天- 仙桂村- 江坳绿道综合服务区- 金谷园- 小楼人家- 腊布- 腊布村路口- 约场村- 利迳村- 大埔村[派潭] - 派潭交管所- 派潭汽车站- 从化路口- 梁屋- 潮山村- 墩头- 玉枕村- 凤凰村委- 钓锂- 黄围- 和睦村- 谭村[从化] - 广州天马集团- 从化汽车站(38站)回程:从化汽车站- 广州天马集团- 谭村[从化] - 和睦村- 黄围- 钓锂- 凤凰村委- 玉枕村- 墩头- 潮山村- 梁屋- 从化路口- 派潭交管所- 大埔村[派潭] - 利迳村- 约场村- 腊布村路口- 腊布- 小楼人家- 金谷园- 江坳绿道综合服务区- 仙桂村- 迪亚春天- 何仙姑家庙- 小楼镇政府- 棠厦村- 庆东村(临江公园) - 桥头村- 棠村- 计生局[增城] - 华农批- 富和路口- 富国路口- 交警中队[荔城] - 电力局[增城] - 保健院[增城] - 增城光明汽车站(37站)广州增城光明汽车站-从化汽车站备注信息:每15-20分钟一班广州从化汽车站-上罗沙从化线路从化汽车站发班时间:08:00 10:00 14:00 16:00 上罗沙发班时间:08:30 10:30 14:30 16:30 票价2元广州二汽从化分公司去程:从化汽车站- 下罗沙- 上罗沙(3站)回程:上罗沙- 下罗沙- 从化汽车站(3站)广州从化汽车站-锦一从化线路从化汽车站发班时间:09:00 11:00 15:00 17:00 锦一发班时间:09:30 11:30 15:30 17:30 票价2元广州二汽从化分公司去程:从化汽车站- 白田岗- 锦三- 锦二- 锦一(5站)回程:锦一- 锦二- 锦三- 白田岗- 从化汽车站(5站)广州从化汽车站-森林公园从化线路从化汽车站06:20--18:10 森林公园07:20--19:10 分段收费,全程8元顺途公汽去程:从化汽车站- 城建学院- 江浦村委- 凤院路口- 沙塱村- 江村- 九里步工业区- 宣星路口- 云台山- 温泉镇政府- 牛步迳- 温泉中队- 中山大学南方学院- 桥栏- 卫东- 黄围[良口] - 米埔- 高沙- 热水- 文轩苑- 碧水湾- 六三市- 良口车站- 黄竹塱- 森林公园(25站)回程:森林公园- 黄竹塱- 良口车站- 六三市- 碧水湾- 文轩苑- 热水- 高沙- 米埔- 黄围[良口] - 卫东- 桥栏- 中山大学南方学院- 温泉中队- 牛步迳- 温泉镇政府- 云台山- 宣星路口- 九里步工业区- 江村- 沙塱村- 凤院路口- 光导纤维厂- 大江路口- 河东综合市场- 河东广场- 河东市场- 七星路口[从化] - 从化汽车站(29站)广州从化汽车站-森林公园备注信息:每20-30分钟一班1号线6:30-19:30中心医院总站从化中学城西市场新村路口电力局府前中路华强大厦新城广场中国电信流溪河大桥雅居乐路口雅居乐夏日港湾七星路口河东市场河东广场河东交通局大江路口锦绣花园广州医学院从化学院江埔村委天马动力广州天马集团河东中学潭村肉联厂和睦小学和睦村精通天马技工学校黄围钓里凤凰古围凤凰村委总站2号线6:45-22:00从化汽车站总站城建学院和仓村七星市场七星路口河东市场河东广场河东交通局大江路口光导纤维厂凤院路口沙塱村水利学院迎宾大桥殷家庄新图书馆自来水公司广播电视中心投资服务中心儿童乐园河提广场旅游局新世纪广场富逸华庭蓝田东路新城市场新城小学交通局荔景园流溪河大桥雅居乐小学从化六中广州工程学院3号线6:10-20:30星河绿洲总站大江路口河东交通局河东广场七星路口大津电器商贸城从化汽车站姓钟围雅居乐路口劳动社保局新城派出所建设路电力局新城市场青云公园新村路口西宁中路西街口西宁小学旺城市场从化职校从化五中万盛广场石合路口三将军路口镇泰工业城大夫田村路口丽峰路明珠管委会明珠市场明珠工业园总站4号线6:00-20:30温泉明月山溪总站望谷酒店侨宏花园清音酒店万丰酒店荔圃宾馆温泉宾馆幸福楼温泉农贸市场温泉中队冲口牛步迳华辉度假村温泉镇政府云星村宣星村宣星村路口劲隆摩托天湖玩具厂九里步工业区南洋学院江村水利学院殷家庄新图书馆自来水公司广播电视中心投资服务中心儿童乐园河提广场旅游局新世纪广场电力局府前中路华强大厦新城广场中国电信雅居乐路口姓钟围从化汽车站总站5号线5:50-20:30新图书馆总站自来水公司广播电视中心投资服务中心儿童乐园河提广场旅游局新世纪广场电力局府前中路华强大厦新城广场中国电信雅居乐路口姓钟围从化汽车站联发市场白田岗村珠江学院沙贝村赤草村逸泉大酒店逸泉山庄邓村路口元洲岗环亚工业园南洋学院神岗村神岗墟神岗中学珠江国际城共星村夏湾拿大塘边站水南村广州大学华软学院开发区管委会开发区紫泉站太平小学太平镇政府太平公交总站6号线6:30-19:30城康村总站田心村陂下大围村大丘园宝趣玫瑰世界喜乐登活动中心周屋村红旗村嘉禾制药厂横江墟城郊中学从化市救助站新庄村高步村港湾中英文学校北星。
广州市物价局关于公布我市公交线路票价标准的通知文章属性
•【制定机关】广州市物价局
•【公布日期】2004.05.28
•【字号】穗价[2004]119号
•【施行日期】2004.05.28
•【效力等级】地方规范性文件
•【时效性】现行有效
•【主题分类】价格
正文
广州市物价局关于公布我市公交线路票价标准的通知
(穗价〔2004〕119号)
市各公交公司:
为规范公共汽车线路票价,提高票价管理透明度,经审核,现对全市(不含番禺区、花都区、从化市、增城市)338条公共汽车线路票价标准予以公布(详见附表)。
附表:广州市公共汽车线路票价一览表
二○○四年五月二十八日联系电话:86196809
附表:。
班次时间: (中山八路-穗园小区(龙口西))134路城市:广州上行:同德花园 - 同德乡 - 鹅掌坦 - 广排 - 铸管厂 - 黑山 - 西湾路 - 富力环市西苑(西村) - 和平新村 - 彩虹戏院 - 西华路 - 西门口 - 人民中路 - 上九东 - 大新路口 - 人民南路 - 一德西(共17站)下行:一德西 - 爱群大厦 - 人民南路 - 大新路口 - 上九东 - 东升医院 - 人民中路 - 西门口- 西华路 - 彩虹戏院 - 东风西路 - 富力环市西苑(西村) - 西湾路 - 黑山 - 铸管厂 - 广排 - 鹅掌坦 - 同德乡 - 同德花园(共19站)班次时间: (一德西-同德花园)135路城市:广州上行:火炉山森林公园 - 教练场口 - 岑村 - 苗圃 - 建丽花园 - 伟伦体校 - 长湴市场 - 天鹅花园 - 上元岗 - 天河客运站 - 银河园 - 武警医院 - 燕塘企业 - 燕岭大厦 - 金燕生活区 - 粤垦路瑞心苑 - 农垦总局 - 春晖苑 - 天寿路 - 龙口西 - 龙口东 - 五山路口 - 天河科技街 - 师大暨大 - 省邮校 - 上社 - 学院 - 科韵路 - 琶洲大桥北 - 员村美林花园(共30站)下行:员村美林花园 - 员村四横路 - 科韵路 - 学院 - 上社 - 省邮校 - 邮电科研所 - 师大暨大 - 天河科技街 - 龙口东 - 龙口西 - 天寿路 - 春晖苑 - 农垦总局 - 粤垦路瑞心苑 -金燕生活区 - 燕岭大厦 - 武警医院 - 银河园 - 天河客运站 - 长福路 - 轻工中专 - 成人教育出版社 - 长湴市场 - 伟伦体校 - 建丽花园 - 苗圃 - 岑村 - 教练场口 - 火炉山森林公园(共30站)班次时间: (火炉山森林公园-员村美林花园)136路城市:广州上行:天河公交场 - 体育中心东门 - 时代广场 - 广州体院 - 白云区医院 - 军体院 - 省军区- 天平架 - 南华工商学院 - 天虹宾馆 - 白云配件公司 - 三九脑科医院 - 云景花园 - 京溪路 - 云景花园(共15站)下行:云景花园 - 京溪路 - 云景花园 - 东坑 - 南方医院 - 三九脑科医院 - 白云配件公司 - 天虹宾馆 - 南华工商学院 - 天平架 - 沙和路 - 白云区医院 - 广州体院 - 时代广场 - 天河北路 - 天河东路 - 天河路口 - 天河公交场(共18站)班次时间: (天河公交场-云景花园 6:30-22:30)137路城市:广州上行:动物园南门 - 天河立交 - 天河 - 人民日报华南分社 - 冼村 - 石牌村 - 国防大厦 - 华侨医院(谭村) - 员村山顶 - 员村 - 程介村 - 员村四横路口 - 琶洲大桥北 - 琶洲 - 琶洲塔 - 琶洲村 - 黄埔技工学校 - 扬青村 - 黄埔村 - 新洲科技园 - 新洲前 - 新洲码头- 新洲(共23站)下行:新洲 - 新洲码头 - 新洲前 - 新洲科技园 - 黄埔村 - 扬青村 - 黄埔技工学校 - 琶洲村- 琶洲塔 - 琶洲大桥北 - 员村四横路口 - 程介村 - 员村山顶 - 华侨医院(谭村) - 国防大厦 - 石牌村 - 冼村 - 人民日报华南分社 - 天河 - 锦城花园 - 动物园南门(共21站)班次时间: (动物园南门-新洲)138路城市:广州上行:五羊新城 - 花城大道 - 华穗路 - 海心沙 - 临江大道中 - 猎德码头 - 临江大道东 - 马场路南(南国花园) - 马场路中 - 红线女中心 - 石牌西 - 海欣街 - 天河路口 - 天河东路 - 天寿路 - 九洲文化家园 - 竹丝岗 - 东莞庄(共18站)下行:东莞庄 - 竹丝岗 - 九洲文化家园 - 天寿路 - 天河东路 - 天河路口 - 岗顶 - 石牌东路- 石牌东 - 石牌村 - 红线女中心 - 马场路中 - 马场路南(南国花园) - 临江大道东 - 猎德码头 - 临江大道中 - 海心沙 - 华穗路 - 花城大道 - 五羊新城(共20站)班次时间: (五羊新城-东莞庄)139路城市:广州上行:东圃客运站 - 羊城花园(黄村) - 东圃镇 - 车陂路口 - 棠东 - 棠下村 - 学院 - 上社 - 省邮校 - 邮电科研所 - 园艺 - 磨碟沙 - 赤岗 - 赤岗东 - 珠影 - 墩和 - 园艺场 - 上冲 - 上冲南 - 洛溪桥脚 - 海珠客运站(共21站)下行:海珠客运站 - 洛溪桥脚 - 上冲南 - 上冲 - 园艺场 - 墩和 - 珠影 - 赤岗东 - 赤岗 - 磨碟沙 - 园艺 - 省邮校 - 上社 - 学院 - 棠下村 - 棠东 - 车陂路口 - 东圃镇 - 羊城花园(黄村) - 东圃客运站(共20站)班次时间: (东圃客运站-海珠客运站)139路快车城市:广州上行:海珠客运站总站 - 洛溪桥脚 - 上冲南 - 上冲 - 园艺场 - 墩和 - 珠影 - 赤岗东 - 赤岗 - 磨碟沙 - 园艺 - 国际会展中心 - 琶洲 - 琶洲大桥北 - 上社 - 学院 - 棠下村 - 棠东 - 车陂路口 - 东圃镇 - 羊城花园(黄村) - 东圃客运站总站(共22站)下行:东圃客运站总站 - 羊城花园(黄村) - 东圃镇 - 车陂路口 - 棠东 - 棠下村 - 学院 - 上社 - 琶洲大桥北 - 琶洲 - 国际会展中心 - 园艺 - 磨碟沙 - 赤岗 - 赤岗东 - 珠影 - 墩和 - 园艺场 - 上冲 - 上冲南 - 洛溪桥脚 - 海珠客运站 - 海珠客运站总站(共23站)班次时间:140路城市:广州上行:员村 - 程介村 - 员村 - 员村山顶 - 华侨医院(谭村) - 国防大厦 - 石牌村 - 冼村 - 人民日报华南分社 - 天河 - 广州大道中 - 广州体院 - 白云区医院 - 沙和路 - 天平架- 侨乐新村 - 南华工商学院 - 天虹宾馆 - 白云配件公司 - 三九脑科医院 - 南兴花园(共21站)下行:南兴花园 - 军医大学 - 三九脑科医院 - 白云配件公司 - 天虹宾馆 - 南华工商学院 - 侨乐新村 - 天平架 - 沙和路 - 白云区医院 - 广州体院 - 广州大道中 - 天河 - 人民日报华南分社 - 冼村 - 石牌村 - 国防大厦 - 华侨医院(谭村) - 员村山顶 - 员村二横路- 员村 - 员村(共22站)班次时间: (员村-南兴花园(元岗路))175路城市:广州上行:同德围阳光花园 - 聚龙工业区 - 棠溪村 - 横滘 - 上步村 - 同德乡 - 鹅掌坦 - 广排 - 铸管厂 - 黑山 - 西湾路 - 克山 - 省妇幼 - 王圣堂 - 瑶台 - 三元里古庙 - 广园新村- 广园购物中心 - 广园中路 - 景泰坑 - 白云山管理局 - 白云索道 - 金贵村 - 濂泉路口 - 白云区医院 - 林和西横路 - 林和西路口 - 林和中路 - 广州火车东站(共29站)下行:广州火车东站 - 林和西路口 - 林和西横路 - 白云区医院 - 军体院 - 沙河 - 濂泉路口- 金贵村 - 白云索道 - 白云山管理局 - 景泰坑 - 广园客运站 - 广园新村 - 交电新村- 三元里古庙 - 瑶台 - 王圣堂 - 省妇幼 - 克山 - 西湾路 - 黑山 - 铸管厂 - 广排 - 鹅掌坦 - 同德乡 - 上步村 - 横滘 - 棠溪村 - 聚龙工业区 - 同德围阳光花园(共30站)班次时间: (广州火车东站-同德围阳光花园)176路城市:广州上行:黄沙 - 黄沙大道 - 如意坊 - 西郊车站 - 珠江桥脚 - 南岸路 - 西场立交 - 富力环市西苑(西村) - 西湾路 - 黑山 - 铸管厂 - 广排 - 鹅掌坦 - 同德乡 - 上步村 - 横滘 - 棠溪村 - 聚龙工业区 - 同德围阳光花园(共19站)下行:同德围阳光花园 - 聚龙工业区 - 棠溪村 - 横滘 - 上步村 - 同德乡 - 鹅掌坦 - 广排 - 铸管厂 - 黑山 - 西湾路 - 富力环市西苑(西村) - 西场立交 - 南岸路 - 珠江桥脚 - 西郊车站 - 如意坊 - 黄沙大道 - 和平西路 - 市中医院 - 黄沙(共21站)班次时间: (黄沙-同德围阳光花园)177路城市:广州上行:广州火车东站 - 林和西路 - 天河北路 - 天河东路 - 天河路口 - 岗顶 - 师大暨大 - 东方一路 - 东方二路 - 天府路 - 员村二横路 - 员村生活区(共12站)下行:员村生活区 - 程介村 - 天府路 - 天河公园 - 邮电科研所 - 师大暨大 - 岗顶 - 天河路口 - 天河东路 - 天河北路 - 林和中路 - 广州火车东站(共12站)班次时间: (广州火车东站-员村生活区)178路城市:广州上行:珠江南景园 - 江燕花园 - 礼岗(省口腔医院) - 广医二院 - 怡乐村 - 省荣军医院(荣校) - 中山大学 - 康乐村 - 客村 - 客村立交 - 五羊新村 - 南方报社 - 体育中心 - 岗顶 - 师大暨大 - 东方一路 - 东方二路 - 华景路口 - 华景新村 - 翰景路 - 华景新城(共21站)下行:华景新城 - 翰景路 - 华景新村 - 华景路口 - 师大暨大 - 岗顶 - 体育中心 - 南方报社- 五羊新村 - 客村立交 - 客村 - 康乐村 - 中山大学 - 省荣军医院(荣校) - 怡乐村 - 广医二院 - 礼岗(省口腔医院) - 江燕花园 - 珠江南景园(共19站)班次时间: (华景新城-珠江南景园)179路城市:广州上行:省旅游学校 - 白云山制药厂 - 同和 - 东坑 - 南方医院 - 一五七医院 - 梅花园 - 梅园新村 - 鸡颈坑 - 伍仙桥 - 同和路 - 沙和路 - 沙河 - 濂泉路口 - 金贵村 - 白云索道- 白云山管理局 - 景泰坑 - 广园客运站 - 广园新村 - 交电新村 - 三元里古庙 - 瑶台- 王圣堂 - 省妇幼 - 克山 - 西湾路 - 黑山 - 铸管厂 - 广排 - 鹅掌坦 - 同德乡 - 同德上步(共33站)下行:同德上步 - 同德乡 - 鹅掌坦 - 广排 - 铸管厂 - 黑山 - 西湾路 - 克山 - 省妇幼 - 王圣堂 - 瑶台 - 三元里古庙 - 广园新村 - 广园购物中心 - 广园中路 - 景泰坑 - 白云山管理局 - 白云索道 - 金贵村 - 濂泉路口 - 沙和路 - 同和路 - 伍仙桥 - 鸡颈坑 - 梅园新村 - 梅花园 - 一五七医院 - 南方医院 - 东坑 - 同和 - 白云山制药厂 - 省旅游学校(共32站)班次时间: (省旅游学校-同德围上步村)180路城市:广州上行:广州火车站 - 草暖公园 - 越秀公园 - 解放北路 - 迎宾馆 - 解放中路 - 解放南路 - 海珠广场(一德东) - 江南大道北 - 江南大道中 - 南村 - 华海大厦 - 礼岗(省口腔医院) -江燕花园 - 燕子岗 - 保利花园(南石头) - 石溪 - 泰沙路口 - 金碧花园 - 嘉鸿花园 - 南洲名苑(瑞宝花园) - 海珠客运站 - 三滘村 - 少教所 - 轮修厂 - 大沙村 - 大沙村东- 沥滘(珠江御景湾)(共28站)下行:沥滘(珠江御景湾) - 大沙村东 - 大沙村 - 轮修厂 - 少教所 - 耐火材料厂 - 三滘村 - 海珠客运站 - 南洲名苑(瑞宝花园) - 金碧花园 - 泰沙路口 - 石溪 - 保利花园(南石头) - 燕子岗 - 江燕花园 - 礼岗(省口腔医院) - 海珠购物中心 - 南村 - 江南大道中 - 江南大道北 - 海珠广场 - 解放南路 - 解放中路 - 迎宾馆 - 解放北路口 - 交易会 - 广州火车站(共27站)班次时间: (广州火车站-沥滘(珠江御景湾))181路城市:广州上行:广园客运站 - 广园新村 - 交电新村 - 中医学院 - 桂花岗 - 站前横路 - 流花公园 - 康王北路 - 康王中路 - 华林寺 - 康王南路 - 六二三路 - 市中医院 - 芳村隧道口 - 芳村- 下芳村 - 大冲口 - 鹤洞新村 - 广中码头 - 永红会场 - 白鹤洞 - 广中路口 - 坑口 - 芳村客运站(共24站)下行:芳村客运站 - 坑口 - 西塱 - 广中路口 - 白鹤洞 - 永红会场 - 广中码头 - 鹤洞新村 - 大冲口 - 下芳村 - 芳村 - 芳村隧道口 - 黄沙码头 - 六二三路 - 康王南路 - 华林寺 - 康王中路 - 康王北路 - 市少年宫 - 广医 - 流花公园 - 交易会 - 草暖公园 - 中医学院- 广园新村 - 广园购物中心 - 广园客运站(共27站)班次时间: (广园客运站-芳村客运站 6:00-23:10)182路城市:广州上行:广园新村 - 景泰直街 - 交电新村 - 中医学院 - 桂花岗 - 越秀公园 - 迎宾馆 - 中山五路 - 文德路 - 万福路 - 万福东 - 越秀南路 - 滨江路 - 石涌口 - 滨江东路 - 珠江泳场 - 中大北门西 - 中大北门 - 中信乐涛苑 - 下渡路口 - 墩和 - 园艺场 - 逸景路 - 逸景翠园(共24站)下行:广园购物中心 - 景泰坑 - 松柏大街 - 逸景翠园 - 逸景路 - 园艺场 - 墩和 - 客村 - 下渡路口 - 中信乐涛苑 - 中大北门 - 中大北门西 - 珠江泳场 - 滨江东路 - 石涌口 - 江湾桥脚 - 越秀南路 - 万福东 - 万福路 - 文德路 - 中山五路 - 迎宾馆 - 越秀公园 - 中医学院 - 广园新村(共25站)班次时间: (广园新村-逸景翠园 6:15-23:00)183路城市:广州上行:广州火车东站 - 林和西路 - 时代广场 - 广州大道中 - 南方报社 - 五羊新城 - 珠江宾馆 - 长城大厦 - 达道路 - 农林东路 - 中山医 - 烈士陵园 - 较场西路 - 三角市 - 省博物馆 - 文明路 - 北京路口 - 南关 - 海珠广场(侨光东) - 南华中路 - 堑口 - 海幢公园 - 大基头(共23站)下行:大基头 - 洪德路 - 同福西路 - 市红会医院 - 市二宫 - 江南大道北 - 海珠广场 - 大南路 - 文明路 - 省博物馆 - 较场西路 - 烈士陵园 - 中山医 - 东山口 - 农林东路 - 达道路 - 珠江宾馆 - 五羊新城 - 南方报社 - 广州大道中 - 时代广场 - 林和中路 - 广州火车东站(共23站)班次时间: (广州火车东站5:30-22:30 大基头6:15-23:15)184路城市:广州上行:市肿瘤医院 - 省银行医院 - 省第二中医院 - 横枝岗 - 小北 - 小北花圈 - 越秀北路 - 大东门 - 越秀中路 - 越秀南路 - 白云路 - 大沙头 - 海印桥南 - 怡乐村 - 省荣军医院(荣校) - 中山大学 - 康乐村 - 客村 - 珠影 - 赤岗东 - 赤岗路 - 卷烟一厂 - 大塘路口 - 大塘(共24站)下行:大塘 - 大塘路口 - 卷烟一厂 - 赤岗路 - 赤岗东 - 珠影 - 客村 - 康乐村 - 中山大学- 省荣军医院(荣校) - 怡乐村 - 海印桥南 - 大沙头 - 大沙头码头 - 白云路 - 越秀南路 - 越秀中路 - 越秀北路 - 小北 - 横枝岗 - 横枝岗二街 - 市肿瘤医院(共22站)班次时间: (市肿瘤医院-大塘)185路城市:广州上行:广州火车东站 - 林和西路 - 天河北路 - 天河东路 - 天河路口 - 天河南 - 冼村 - 人民日报华南分社 - 锦城花园 - 东峻广场 - 羊城晚报社 - 肿瘤医院 - 越秀桥 - 正骨医院- 东风中路 - 中山纪念堂 - 市总工会 - 越秀公园 - 桂花岗 - 三元里 - 机场路(共21站)下行:机场路 - 中医学院 - 桂花岗 - 越秀公园 - 盘福路 - 市总工会 - 中山纪念堂 - 正骨医院 - 东风大酒店 - 执信路 - 羊城晚报社 - 东峻广场 - 锦城花园 - 人民日报华南分社- 冼村 - 天河南 - 天河路口 - 天河东路 - 天河北路 - 林和中路 - 广州火车东站(共21站)班次时间: (广州火车东站-机场路)186路城市:广州上行:广园新村 - 景泰直街 - 交电新村 - 桂花岗 - 越秀公园 - 流花公园 - 市少年宫 - 人民北路 - 西门口 - 人民中路 - 东升医院 - 上九东 - 大新路口 - 人民南路 - 南方大厦 - 爱群大厦 - 靖海路口 - 海珠广场(侨光西) - 江南大道北 - 江南大道中 - 南村 - 华海大厦 - 礼岗(省口腔医院) - 南泰路 - 珠江医院(共25站)下行:珠江医院 - 南泰路 - 礼岗(省口腔医院) - 信和广场(昌岗中路) - 宝岗大道南 - 西基东- 江南新村(骨伤科医院) - 江南西路 - 南村 - 江南大道中 - 江南大道北 - 海珠广场(侨光东) - 长堤 - 爱群大厦 - 人民南路 - 大新路口 - 上九东 - 东升医院 - 人民中路- 西门口 - 人民北路 - 广医 - 越秀公园 - 中医学院 - 兴泰路 - 广园新村(共26站)班次时间: (广园新村-珠江医院 6:20-22:40)187路城市:广州上行:嘉禾长红村 - 长湴 - 科甲水 - 新科工业区 - 七星岗路口 - 望岗 - 市交校 - 嘉禾 - 黄边 - 省戒毒基地 - 镇泰玩具厂 - 联和 - 修理三厂 - 新市墟 - 广花四路 - 棠溪 - 广花三路 - 棠下 - 沙涌 - 北站 - 机场路(共21站)下行:机场路 - 中医学院 - 三元里 - 北站 - 沙涌 - 棠下 - 广花三路 - 棠溪 - 广花四路 - 新市墟 - 黄石路口 - 联和 - 镇泰玩具厂 - 省戒毒基地 - 黄边 - 嘉禾 - 市交校 - 望岗 - 七星岗路口 - 新科工业区 - 科甲水 - 长湴 - 嘉禾长红村(共23站)班次时间: (机场路-七星岗长红村)188路城市:广州上行:海珠广场 - 泰康路 - 万福西 - 万福路 - 万福东 - 越秀南路 - 白云路 - 大沙头 - 海印桥南 - 怡乐村 - 省荣军医院(荣校) - 中山大学 - 康乐村 - 客村 - 墩和 - 园艺场 - 上冲 - 上冲南 - 洛溪桥脚 - 三滘村 - 迎祥路 - 沥滘村 - 长江市场 - 南天商贸城(共24站)下行:南天商贸城 - 长江市场 - 沥滘村 - 迎祥路 - 三滘村 - 洛溪桥脚 - 上冲南 - 上冲 - 园艺场 - 墩和 - 客村 - 康乐村 - 中山大学 - 省荣军医院(荣校) - 怡乐村 - 海印桥南- 大沙头 - 大沙头码头 - 白云路 - 越秀南路 - 万福东 - 万福路 - 万福西 - 海珠广场(共24站)班次时间: (海珠广场-南天商贸城(广轩大厦))188路短线城市:广州上行:大沙头总站 - 大沙头 - 海印桥南 - 怡乐村 - 省荣军医院(荣校) - 中山大学 - 康乐村- 客村 - 墩和 - 园艺场 - 逸景路 - 逸景翠园(共12站)下行:逸景翠园 - 逸景路 - 园艺场 - 墩和 - 客村 - 康乐村 - 中山大学 - 省荣军医院(荣校) - 怡乐村 - 海印桥南 - 大沙头 - 大沙头总站(共12站)班次时间:189路城市:广州上行:瑶台美博城 - 瑶台 - 三元里古庙 - 广园新村 - 童心北 - 市交控中心 - 老干大学 - 童心南 - 小北 - 花园酒店 - 犀牛路口 - 羊城晚报社 - 东峻广场 - 锦城花园 - 南方报社- 五羊新村 - 客村立交 - 珠影 - 赤岗东 - 赤岗 - 江海大道中 - 华保花园(共22站)下行:华保花园 - 江海大道中 - 赤岗 - 赤岗东 - 珠影 - 客村立交 - 五羊新村 - 南方报社 - 锦城花园 - 东峻广场 - 羊城晚报社 - 执信路 - 区庄 - 白云宾馆 - 广东电视台 - 小北- 童心南 - 老干大学 - 市交控中心 - 童心北 - 景泰坑 - 广园客运站 - 广园新村 - 交电新村 - 三元里古庙 - 瑶台 - 瑶台美博城(共27站)班次时间: (华保花园军医学校-瑶台美博城)190路城市:广州上行:麓景路 - 麓景路 - 环市中路口 - 小北花圈 - 仓边路 - 文德路 - 北京路口 - 泰康路 - 海珠广场(侨光西) - 江南大道北 - 江南大道中 - 南村 - 华海大厦 - 广医二院 - 怡乐村 - 省荣军医院(荣校) - 中山大学 - 康乐村 - 客村 - 珠影 - 赤岗东 - 赤岗路 - 卷烟一厂 - 大塘路口 - 大塘(共25站)下行:大塘 - 大塘路口 - 卷烟一厂 - 赤岗路 - 赤岗东 - 珠影 - 客村 - 康乐村 - 中山大学- 省荣军医院(荣校) - 怡乐村 - 广医二院 - 海珠购物中心 - 南村 - 江南大道中 - 江南大道北 - 泰康路 - 北京南 - 文德路 - 仓边路 - 小北花圈 - 小北 - 环市中路口 - 麓景路 - 麓景路(共25站)班次时间: (麓景路-大塘)191路城市:广州上行:华景新城 - 翰景路 - 华景新城西 - 科技东街北门 - 五山路口 - 龙口东 - 龙口西 - 天河北路 - 时代广场 - 广州大道中 - 天河立交 - 动物园南门 - 广东工大 - 白云宾馆 - 广东电视台 - 小北 - 小北花圈 - 仓边路 - 财厅 - 中山五路 - 解放中路 - 解放南路 - 堑口 - 福场路(共24站)下行:福场路 - 市红会医院 - 解放南路 - 解放中路 - 中山五路 - 仓边路 - 小北花圈 - 小北- 花园酒店 - 广东工大 - 动物园南门 - 天河立交 - 广州大道中 - 时代广场 - 天河北路 - 龙口西 - 龙口东 - 五山路口 - 师大后门 - 科技东街北门 - 华景新城西 - 翰景路- 华景新城(共23站)班次时间: (福场路-华景新城)192路城市:广州上行:水荫路 - 水荫二横路口 - 水荫路 - 十九路军陵园 - 动物园 - 黄花岗 - 犀牛路口 - 农林下路 - 中山医 - 东川路 - 白云路 - 大沙头码头 - 大沙头 - 海印桥南 - 云桂村 -基立村 - 江南大道中 - 南村 - 华海大厦 - 礼岗(省口腔医院) - 南泰路 - 珠江医院(共22站)下行:珠江医院 - 南泰路 - 礼岗(省口腔医院) - 海珠购物中心 - 南村 - 江南大道中 - 基立村 - 云桂村 - 海印桥南 - 大沙头 - 大沙头码头 - 白云路 - 东川路 - 中山医 - 东山口 - 农林下路 - 执信路 - 黄花岗 - 动物园 - 十九路军陵园 - 水荫路 - 广州大道中路口 - 水荫路(共23站)班次时间: (水荫路-珠江医院)193路城市:广州上行:广卫路 - 中山五路 - 中山六路 - 西门口 - 中山七路 - 陈家祠 - 荔湾路口 - 石路基 - 中山八路 - 桥中 - 芳村大道西 - 桥东小区(芳村区政府) - 石围塘 - 山村 - 联桂北 - 市慈善医院 - 百花路 - 茶漖北路 - 汾水 - 汾水小区(共20站)下行:汾水小区 - 汾水 - 茶漖北路 - 大策 - 联桂北 - 山村 - 石围塘 - 桥东小区(芳村区政府) - 芳村大道西 - 桥中 - 中山八路 - 石路基 - 荔湾路口 - 陈家祠 - 中山七路 - 西门口 - 中山六路 - 中山五路 - 越华路 - 广卫路(共20站)班次时间: (广卫路-汾水小区)194路城市:广州上行:华景新城 - 翰景路 - 华景新村 - 华景路口 - 师大暨大 - 岗顶 - 天河南 - 猎德路 - 金穗路 - 星汇园 - 南方报社 - 五羊新村 - 二沙东 - 省中医二沙分院 - 二沙西 - 大沙头 - 大沙头码头 - 白云路 - 越秀南路 - 万福东 - 万福路 - 万福西 - 南关 - 海珠广场(侨光东) - 广医一院(共25站)下行:广医一院 - 泰康路 - 万福西 - 万福路 - 万福东 - 越秀南路 - 白云路 - 大沙头码头 - 沿江东路 - 省中医二沙分院 - 星海音乐厅 - 二沙东 - 五羊新村 - 南方报社 - 星汇园- 金穗路 - 猎德路 - 天河南 - 岗顶 - 师大暨大 - 东方一路 - 东方二路 - 华景路口 - 华景新村 - 翰景路 - 华景新城(共26站)班次时间: (华景新城-广医一院(靖海路))195路城市:广州上行:广州火车东站 - 林和西路 - 体育西路 - 天河城广场 - 南方报社 - 五羊新村 - 客村立交 - 墩和 - 园艺场 - 上冲 - 上冲南 - 洛溪桥脚 - 三滘村 - 耐火材料厂 - 少教所 - 轮修厂 - 大沙村 - 大沙村东 - 沥滘(珠江御景湾)(共19站)下行:沥滘(珠江御景湾) - 大沙村东 - 大沙村 - 轮修厂 - 少教所 - 耐火材料厂 - 三滘村 - 洛溪桥脚 - 上冲南 - 上冲 - 园艺场 - 墩和 - 客村立交 - 五羊新村 - 南方报社 - 星汇园 - 冼村路北 - 天河邮局 - 体育东路 - 体育中心东门 - 林和中路 - 广州火车东站(共22站)班次时间: (广州火车东站-沥滘(珠江御景湾))196路城市:广州上行:中山八路 - 石路基 - 荔湾路 - 彩虹桥 - 东风西路 - 富力环市西苑(西村) - 西湾路 - 黑山 - 铸管厂 - 广排 - 鹅掌坦 - 同德乡 - 上步村 - 横滘 - 同德围横滘村(共15站)下行:同德围横滘村 - 横滘 - 上步村 - 同德乡 - 鹅掌坦 - 广排 - 铸管厂 - 黑山 - 西湾路- 富力环市西苑(西村) - 和平新村 - 彩虹桥 - 荔湾路 - 石路基 - 中山八路(共15站)班次时间: (中山八路-同德围横滘村)197路城市:广州上行:昌岗路 - 信和广场(昌岗中路) - 广医二院 - 怡乐村 - 省荣军医院(荣校) - 中山大学 - 康乐村 - 客村 - 客村立交 - 五羊新村 - 南方报社 - 星汇园 - 人民日报华南分社 - 冼村 - 天河南 - 岗顶 - 华师大南门 - 天河科技街 - 师大后门 - 华工大 - 华农大正门 - 五山镇 - 长岗山 - 华农大(共24站)下行:华农大 - 长岗山 - 五山镇 - 华农大正门 - 华工大 - 五山路口 - 师大后门 - 天河科技街 - 岗顶 - 天河南 - 冼村 - 天河 - 南方报社 - 五羊新村 - 客村立交 - 客村 - 康乐村 - 中山大学 - 省荣军医院(荣校) - 怡乐村 - 广医二院 - 信和广场(昌岗中路) - 昌岗路(共23站)班次时间: (昌岗路-华南农业大学)198路城市:广州上行:嘉禾 - 鹤边 - 镇泰玩具厂 - 联和 - 修理三厂 - 三元里大道口 - 广花四路 - 棠溪 - 广花三路 - 棠下 - 沙涌 - 北站 - 瑶台 - 王圣堂 - 省妇幼 - 克山 - 富力环市西苑(西村) - 富力半岛花园 - 糖厂路口 - 松南街口 - 松北 - 西槎电器城 - 东旺市场(共23站)下行:东旺市场 - 松北 - 松南街口 - 糖厂路口 - 罗冲围客运站 - 富力半岛花园 - 西场电器城 - 富力环市西苑(西村) - 克山 - 省妇幼 - 王圣堂 - 瑶台 - 北站 - 沙涌 - 棠下 - 广花三路 - 棠溪 - 广花四路 - 新市墟 - 黄石路口 - 联和 - 镇泰玩具厂 - 鹤边 - 嘉禾(共24站)班次时间: (嘉禾冶金研究所-东旺批发市场)199路城市:广州上行:水荫路 - 水荫横路口 - 水荫路 - 十九路军陵园 - 动物园 - 永福路 - 西坑 - 金贵村 - 白云索道 - 白云山管理局 - 景泰坑 - 广园客运站 - 广园新村 - 松柏大街 - 松柏路 - 云苑新村(共16站)下行:云苑新村 - 松柏路 - 松柏大街 - 交电新村 - 广园新村 - 广园购物中心 - 广园中路 - 景泰坑 - 白云山管理局 - 白云索道 - 金贵村 - 西坑 - 永福路 - 动物园 - 十九路军陵园 - 水荫路 - 广州大道中路口 - 水荫路(共18站)班次时间: (水荫路-云苑新村)201路城市:广州上行:广州火车站 - 电视塔 - 花园酒店 - 黄花岗 - 动物园 - 沙河顶 - 沙河大街 - 沙和路 - 天平架 - 侨乐新村 - 南华工商学院 - 天虹宾馆 - 白云配件公司 - 三九脑科医院 - 军医大学 - 白云农批市场 - 犀牛角村(共17站)下行:犀牛角村 - 白云农批市场 - 军医大学 - 三九脑科医院 - 白云配件公司 - 天虹宾馆 - 南华工商学院 - 侨乐新村 - 天平架 - 沙和路 - 沙河大街 - 沙河顶 - 动物园 - 黄花岗- 白云宾馆 - 电视塔 - 越秀公园北门 - 广州火车站(共18站)班次时间: (广州火车站-犀牛角村)202路城市:广州上行:窖口客运站 - 芳村大道西 - 桥东小区(芳村区政府) - 石围塘 - 山村 - 联桂北 - 大策- 茶漖北路 - 花蕾路 - 接龙里 - 下芳村 - 大冲口 - 鹤洞新村 - 珠江医院 - 纸厂 - 保利花园(南石头) - 石溪 - 泰沙路口 - 金碧花园 - 嘉鸿花园 - 南洲名苑(瑞宝花园) - 海珠客运站 - 洛溪新城 - 上漖 - 大石桥北 - 五洲装饰材料城 - 沙溪村 - 星河湾 - 河村 - 河村牌坊 - 植村 - 礼村牌坊 - 香江动物世界(共33站)下行:香江动物世界 - 礼村牌坊 - 植村 - 河村牌坊 - 塘步西 - 星河湾 - 沙溪村 - 五洲装饰材料城 - 上漖 - 洛溪新城 - 海珠客运站 - 南洲名苑(瑞宝花园) - 嘉鸿花园 - 金碧花园 - 泰沙路口 - 石溪 - 保利花园(南石头) - 纸厂 - 珠江医院 - 鹤洞新村 - 大冲口 - 下芳村 - 接龙里 - 花蕾路 - 茶漖北路 - 大策 - 联桂北 - 山村 - 石围塘 - 桥东小区(芳村区政府) - 桥西路口 - 窖口客运站(共32站)班次时间: (窖口客运站-香江野生动物世界)203路。
广州公交车路线一览表路线途经站点首班车末班车1路东山总站─中山医科大学─烈士陵园─大东门─农讲所─文德路─北京路口─南关─海珠广场─爱群大厦─六二三路─芳村隧道口─花地湾─芳村合兴苑─茶漖北─汾水─汾水口─芳村客运站─芳村花园小区总站05:40 00:452路锦城花园─锦城花园─东峻广场─羊城晚报社─肿瘤医院─越秀桥─正骨医院─东风中路─中山纪念堂─广医─人民北路─西门口─东升医院─带河路─宝华路─逢源路─泮塘总站05:40 22:0022:253路东山总站─东华东路─东华西路─三角市─文明路─北京路口─大南路─惠福路─惠福西路─东升医院─带河路─长寿西路─宝华路─多宝路─如意坊总站05:40 22:004路白云路总站─东堤─文德南路─海珠广场─长堤─爱群大厦─人民南路─上九东─人民中路─西门口─西华路─彩虹戏院─和平新村─西村总站05:30 22:2221:455路站前路总站─站前路─站南路─友谊剧院─解放北路─盘福路─迎宾馆─解放中路─解放南路─市二宫─基立村─云桂村─晓港新村─五凤村─瑞南新村─晓港湾─海珠客运站06:00 22:306路动物园总站─黄花岗─白云宾馆─广东电视台─小北路─小北花圈─越华路─公园前─惠福路─惠福西路─东升医院─带河路─长寿西路─宝华路─和平西路─市中医院─黄沙总站06:00 01:007路大沙头总站─白云路─越秀南路─万福东─万福路─文德路─公园前─府前路─解放北路口─交易会─省妇幼保健院─王圣堂─瑶台─走马岗总站05:3006:00 21:2522:008路珠江泳场总站─滨江东路─石涌口─滨江路─草芳围─海珠桥脚─海珠广场─惠福路─海珠中路─大新西─上九东─龙津东路─带河路─华贵路─荔湾路口─石路基─中山八路总站05:40 01:009路石溪总站─保利花园─纸厂路─珠江医院─沙园─凤凰新村─梅园西─革新路口─洪德路─六二三路─市中医院─黄沙后道─黄沙大道─如意坊─西郊车站─中山八路总站05:4005:50 22:0022:4010路昌岗路总站─橡胶新村─昌岗西路─沙·园─凤凰新村─梅园西─革新路口─洪德路─同福西路─市红会医院─市二宫─江南大道北─海珠广场─大南路─文德路─仓边路─小北花圈─小北路─华乐大厦─淘金北路─恒福路总站05:4006:00 22:30路线途经站点首班车末班车11路珠江泳场总站─滨江东路─石涌口─江湾桥脚─东川路─白云路─越秀南路─越秀中路─东风大酒店─先烈南路─黄花岗─动物园─沙河顶─沙河大街─沙和路─天平架总站05:3005:50 22:0012路罗冲围总站─罗冲围客运站─富力半岛花园─和平新村─东风西路─市少年宫─广医─吉祥路─公园前─文德路─文明路─省博物馆─越秀南路─白云路─大沙头码头─大沙头─沿江东路─二沙岛西总站05:30 22:0022:3513路文德路总站─万福西─海珠广场─江南大道北─江南大道中─南·村─华海大厦─礼·岗─江燕花园─燕子岗─保利红棉花园─保利花园─石·溪─泰沙路口─金碧花园─嘉鸿花园─南洲名苑─海珠客运站05:40 22:2021:4014路广卫路总站─解放中路─解放南路─海珠广场─江南大道北─基立村─云桂村─怡乐村─荣校─中山大学─康乐村─客村─珠影厂─赤岗东─赤岗总站05:30 22:3021:5015路西华路尾总站─彩虹桥─荔湾路─华贵路─宝华路─黄沙后道─芳村─花地湾─茶漖北─汾水─汾水小区总站05:30 22:0016路动物园总站─黄花岗─犀牛路口─东山口─中山医科大学─东川路─白云路─越秀南路─万福东─万福西─海珠广场─南华中路─堑口─海幢公园─大基头─洪德路─革新路─凤凰岗总站06:00 22:0017路中山八路总站─南岸路─西场立交─富力环市西苑─西湾路─黑山─铸管厂─广排─鹅掌坦─同德乡─上步村口─横滘─棠溪─聚龙村─槎头─看守所─谭村─凰岗总站05:3006:05 21:0021:3018路华景新城总站─华景新村─师大暨大─岗顶─石牌桥─天河体育中心─锦城花园─东峻广场─羊城晚报社─农林下路─东山口─中山医科大学─东川路─白云路─大沙头码头─大沙头─沿江东路─二沙岛西总站06:0006:15 21:2522:0519路中山八路总站─珠江大桥─珠江大桥中─广佛路口─芳村大道西─桥东小区─山村─花地─芳村─下芳村─大冲口─鹤洞新村─广中码头─永红会场─白鹤洞总站05:20 06:00 21:0021:4020路赤岗总站─军医学校─台涌─石榴岗─加工场─赤沙村─北山村─仑头西─仑头总站06:0006:25 20:4521:00路线途经站点首班车末班车21路解放北─越秀公园─桂花岗─三元里─北站─沙涌─棠下─广花三路─棠溪─广花四路─新市─新市圩─修理三厂─黄石路口─马务─兵房─冶金技校─夏茅─大塱─外语外贸大学─平沙村口─平沙村总站05:4506:00 21:0021:3022路广卫路总站─公园前─仓边路─大东门─烈士陵园─中山医科大学─东山口─农林东─梅花村─杨箕村─天河─天河邮局─体育东─石牌桥─岗顶─师大后门─华工大总站05:40 22:3022:0023路锦城花园─锦城花园─天河─冼村─石牌村─国防大厦─华侨医院─员村山顶─员村─程介村─化工厂─珠江纸厂─车陂─东圃镇─世界大观路口─羊城花园─株村─珠吉路口─株村小学─珠吉公路─吉山幼儿园─吉山村总站05:4020:3024路珠光路总站─文德路─公园前─公园前─府前路─越秀公园─中医学院─交电新村─广园新村─广园中路─景泰坑─白云山管理局─白云索道总站06:00 21:4522:1025路泮塘总站─多宝路─恩宁路─和平西路─市中医院─六二三路─同福西路─市红会医院─市二宫─江南大道中─南村─华海大厦─广医二院─怡乐村─荣校─中山大学总站05:40 01:0026路珠江泳场总站─滨江东─石涌口─草芳围─海珠桥脚─江南大道北─市二宫─市红会医院─同福西─梅园西─沙园─凤凰新村─珠江医院─纸厂路─纸厂─南石头总站27路广卫路总站─中山纪念堂─正骨医院─东风大酒店─执信路─羊城晚报社─东峻广场─锦城花园─天河立交─水荫横路口─水荫路─十九路军陵园─沙河顶─沙河大街─军体院─干休所─瘦狗岭─九州文化家园─竹丝岗─东莞庄总站06:0006:15 22:0028路天平架总站─燕塘企业─武警医院─银河园─天河客运站─上元岗─射击场─东升厂─科学院─三保墟─华南植物园─世纪绿洲─龙·洞─龙洞总站06:0006:22 21:1521:3529路站南路总站─广州军区总医院─流花公园─广医─迎宾馆─解放中路─解放南路─江南大道北─江南大道中─南村─江南西路─宝岗大道总站06:0005:30 22:0030路锦城花园─梅花村─农林东─农林下路─执信中学─区庄─白云宾馆─广东电视台─小北路─电视塔─越秀公园北门─市客运站总站05:40 22:00路线途经站点首班车末班车31路凤凰岗总站─金沙路─梅园西─革新路口─洪德路─沿江西路─人民南路─大新路口─上九东─东升医院─西门口─人民北路─流花公园─交易会─广州火车站总站05:30 06:05 21:5022:3032路天平架总站─同和路─伍仙桥─鸡颈坑─梅花园─一五七医院─南方医院─东坑─同和─白云山制药厂─省旅游学校─大河马乐园─颐和山庄─永泰新村─永泰路口─白云畜牧公司─永泰新村─永泰客运站─集贤苑教师新村总站06:0006:22 21:3022:0033路师大暨大总站─岗顶─石牌桥─天河体育中心─天河立交─动物园南门─广东工大─先烈南路─东风大酒店─越秀桥─越秀北路─应元路─三元宫─解放北路口─交易会─广州火车站总站05:3006:00 21:3022:1034路窖口客运站总站─珠江大桥中─珠江桥脚─南岸路─西场立交─富力环市西苑─克山─市客运站─广州火车站总站05:45 22:0035路文德路总站─文明路─省博物馆─越秀南路─白云路─东湖新村─海印桥南─九十七中学─瑞宝乡─瑞南新村─瑞南市场─晓港湾─南洲名苑─西滘村─三滘村─沥滘─耐火材料厂─少教所─轮修厂─大沙村─救捞局─瀛洲路口─瀛洲路─瀛洲生态公园总站05:4019:0036路黄石路总站─黄石路─祥景花园─江夏─安华装饰城─外语学院─白云山西门─东方乐园─广州体育馆─盈翠华庭─柯子岭─市交控中心─下塘西路─童心南─小北花圈─仓边路─文德路─万福路─万福东─越秀南路─白云路─大沙头─石涌口─滨江东路─珠江泳场总站06:0006:15 20:4522:0037路赤沙─石榴岗─台涌─军医学校─赤岗─赤岗东─珠影厂─客村立交─五羊新村─南方日报社─杨箕村─梅花村─农林东─东山口总站05:4506:15 21:3022:0038路景泰新村总站─广园新村─交电新村─中医学院─桂花岗─流花公园─人民北路─西门口─人民中路─上九东─大新路口─人民南路─文化公园─黄沙总站05:4506:15 21:4522:3039路天河公交场总站─体育中心东门─天寿路─干休所─燕塘企业─武警医院─银河园─天河客运站─上元岗─射击场─东升厂─科学院─三保墟─华南植物园─世纪绿洲─龙洞路口─迎龙路─龙眼洞森林公园─龙洞北─广东外贸学校─广东医药学校─龙洞06:20 22:0040路五羊新城总站─珠江宾馆─长城大厦─达道路─东山口─中山医科大学─烈士陵园─越秀中路─万福东─万福路─万福西─海珠广场─广医一院06:0006:30 22:00路线途经站点首班车末班车41路五山花园总站─五山镇─长岗山─华南农业大学─畜牧研究所─学生公寓总站06:10 06:00 22:0041A 广州火车东站总站─林和西路─天河北路─天寿路─广工五山校区─农科院─省科技学院─华南干线路口─棠德小区北─家家乐医院─车陂路口─东圃镇─羊城花园─珠村─黄村─环场路─奥林匹克体育中心总站06:3006:00 22:0021:3042路西华路尾总站─东风西路─市少年宫─市总工会─东风中路─越秀桥─东风大酒店─执信路─羊城晚报社─东峻广场─锦城花园─天河─人民日报华南分社─天河邮局─天河公交场总站06:0005:30 22:4021:2043路黄埔港总站─中码头─蟹山─木材厂─石溪村─广大公司─东圃─车陂─珠江纸厂─化工厂─员村四横路─程介村─员村─员村山顶─华侨医院─国防大厦─石牌村─天河南─天河路口─天河东路─天河北路─林和中路─广州火车东站总站06:5006:00 22:1021:2044路白鹤洞总站─永红会场─橡胶新村─信和广场─海珠购物中心─南村─江南大道中─基立村─云桂村─海印桥南─东湖路─东山口─农林东─达道路─珠江宾馆─五羊新城总站05:3022:2045路中山大学总站─荣校─怡乐村─海印桥南─大沙头─星之光电器城─东川路─中山医科大学─东山口─农林东─梅花村─杨箕村─天河体育中心─天河路口─天河东路─天河北路─林和中路─广州火车东站总站06:0006:40 21:0021:5046路罗冲围总站─罗冲围客运站─富力半岛花园─西场电器城─富力环市西苑─克山─省妇幼保健院─王圣堂─瑶台─广园新村─广园购物中心─景泰坑─白云山管理局─白云索道─金贵村─濂泉路口─沙和路─天平架总站05:3006:20 20:3021:2050路越秀中路总站─东风大酒店─执信路─东峻广场─锦城花园─天河体育中心─石牌桥─师大暨大─邮电学校─上社─学院─棠下─棠东─车陂路口─东圃镇─世界大观路口─羊城花园─株村─莲溪─塘口─茅岗─蟹山─中码头─黄埔港总站05:3006:00 21:3022:30路线途经站点首班车末班车51路天平架总站─沙和路─军体院─白云区医院─广州体院─广州大道中─南方日报社─五羊新村─客村立交─墩和─园艺场─上冲─上冲南─洛溪桥─广轩大厦05:4006:50 21:1521:3052路广州火车站总站─站前路─西站─西华路尾─彩虹桥─荔湾路口─中山八路─珠江大桥─珠江大桥中─芳村大道西─桥东小区─山村─花地─芳村─下芳村─大冲口─鹤洞新村─广中码头─广州造船厂─东塱─芳村东朗06:00 22:0053路宝岗大道总站─江南新村─江南西路─华海大厦─广医二院─怡乐村─荣校─中山大学─康乐村─客村立交─五羊新村─南方日报社─天河─冼村─石牌村─国防大厦─华侨医院─员村山顶─员村二横路─员村生活区06:0005:50 22:3022:0054路挹翠路总站─越秀南路─越秀中路─东风大酒店─执信路─羊城晚报社─东峻广场─锦城花园─天河─天河邮局─体育东─体育中心东门─天河北路─天寿路─春晖苑─农垦总局─粤垦瑞心苑─金燕生活区─燕岭大厦─燕塘企业─武警医院─银河园─天河客运站─天鹅花苑─长湴市场─伟伦学校─长湴村06:30 21:3055路横沙─金沙洲路─金沙洲大桥西─罗冲围客运站─富力半岛花园─和平新村─彩虹桥─荔湾路─泮塘─多宝路─省水利厅─黄沙大道─芳村隧道口─花地─山村─石围塘─桥东小区─桥东小区总站05:4006:20 21:0021:4056路光塔路总站─朝天路─迎宾馆─市总工会─中山纪念堂─越秀桥─东风大酒店─执信路─羊城晚报社─东峻广场─锦城花园─广州大道中─广州体院─白云区医院─军体院─沙和路─天平架总站06:3006:00 22:0021:2057路二沙东总站─星海音乐厅─二沙西─大沙头─大沙头码头─东堤─海珠广场─长堤─爱群大厦─文化公园─六二三路─市中医院─芳村隧道口─花地─山村─石围塘─桥东小区─窖口客运站总站05:40 22:0058路广医一院─长堤─天成路─诗书路─光塔路─朝天路─迎宾馆─越秀公园─中医学院─边检站─景安街─远景路─棠溪─广花四路─新市─修理三厂─黄石路口─联和─鹤南─冶金技校─夏茅客运站总站06:3005:50 22:0021:1559路白云路总站─东川路─东华南─东华西路─三角市─文明路─北京路口─南关─海珠广场─南华中路─堑口─海幢公园─大基头─洪德路─革新路口─梅园西─凤凰新村─沙园─珠江医院─纸厂路─保利花园─石溪─石溪总站06:10 22:0060路机场路总站─广园新村─广园购物中心─广园中路─景泰坑─白云山管理局─白云索道─金贵村─西坑─永福路─动物园─沙河顶─沙河大街─军体院─省军区─干休所─广工五山校区─农科院─省科技学院─华南干线路口─棠德小区北─车陂高架桥侧─黄村立交─奥林匹克体育中心总站06:0006:30 21:3022:00路线途经站点首班车末班车61路海印桥总站─大沙头─大沙头码头─白云路─越秀南路─万福东─万福路─万福西─海珠广场─长堤─爱群大厦─人民南路─大新路口─东升医院─带河路─长寿西路─多宝路─市三宫─华贵路口─荔湾路口─石路基─中山八路─珠江大桥中─窖口客运站总站06:0006:10 23:0062路广州火车东站总站─林和西路─体育中心东门─体育东─天河邮局─人民日报华南分社─锦城花园─东峻广场─羊城晚报社─执信路─东风大酒店─东风中路─中山纪念堂─广医─东风西路─西村总站06:0006:30 20:4521:3063路白云索道总站─麓湖─横枝岗─省银行医院─铁路疗养院─恒福路─永福路─黄花岗─犀牛路口─农林下路─农林东─梅花村─杨箕村─天河─冼村─石牌村─红线女中心─马场路中─马场路南─临江大道东─珠江新城06:0006:30 20:3021:0064路广卫路总站─解放中路─解放南路─长堤─爱群大厦─六二三路─市中医院─芳村─下芳村─大冲口─鹤洞新村─广中码头─广州造船厂─东沙开发区总站06:1006:00 23:0065路天河客运站总站─银河园─武警医院─燕塘企业─瘦狗岭─军体院─沙河大街─沙河顶─动物园─黄花岗─先烈南路─东风大酒店─越秀桥─省博物馆─东川路─江湾桥脚─江湾桥南─江南大道口─广东药学院─海珠区妇幼─江南新村─西基东─宝岗大道南─橡胶新村─永红会场─白鹤洞─广中路口─坑口─芳村客运站─汾水口─汾水─茶漖北─大策─联桂北─山村─芳村茶叶市场总站06:30 21:0066路云山锦绣家园总站─广州体育馆─盈翠华庭─柯子岭─市交控中心─下塘西路─童心南─小北花圈─仓边路─文德路─北京路口─大南路─惠福路─惠福西路─龙津东路─带河路─华贵路─泮塘─多宝路─恩宁路─市中医院─黄沙总站06:00 22:3069路大塘总站─大塘口─卷烟一厂─赤岗路─赤岗东─珠影厂─客村─康乐村─中山大学─怡乐村─广医二院─信和广场─橡胶新村─永红会场─白鹤洞─广中路口─坑口─芳村客运站─翠竹苑─花地大道─花地湾─花地─联桂北─大策─茶漖北─汾水─汾水小区总站05:5006:00 22:3070路沥滘总站─耐火材料厂─沥滘─三滘村─西滘村─南洲路口─晓港湾─瑞南新村─五凤村─东晓南─晓港新村─广医二院─信和广场─橡胶新村─永红会场─白鹤洞─广中路口─坑口─芳村客运站─汾水口─康乃馨花园─坑口地铁站─东漖镇─芳村花园小区总站06:1505:50 22:3022:00路线途经站点首班车末班车71路西村总站─西场立交─南岸路─西郊车站─如意坊─黄沙大道─芳村隧道口─花地湾─花地大道─翠竹苑─芳村客运站─坑口─芳村西朗总站05:4506:15 22:0022:3072路动物园总站─西坑─濂泉路口─沙和路─天平架─侨乐新村─南华工商学院─天虹宾馆─白云配件公司─三九脑科医院─第一军医大学─天健广场06:0006:35 21:0021:4574路动物园总站─黄花岗─先烈南路─东风大酒店─越秀桥─正骨医院─东风中路─中山纪念堂─盘福路─迎宾馆─西门口─华贵路─泮塘─多宝路─黄沙大道─芳村隧道口─花地─联桂北─大策─茶漖北─汾水─汾水口─芳村花园小区总站06:2006:15 22:0075路侨城花园总站─金碧花园─泰沙路口─保利花园─纸厂路─珠江医院─沙·园─凤凰新村─梅园西─革新路口─洪德路─六二三路─市中医院─芳村隧道口─花地湾─大策─联桂北─山村─桥东小区─桥东小区总站05:5006:00 21:4022:0076路大学城─童心南─市交控中心─童心北─大金钟路─柯子岭牌坊─盈翠华庭─广州体育馆─东方乐园─外语学院─黄石东路口─陈田村─元下田─永泰路口─白云畜牧公司─永泰新村─永泰广场─红路─黄草埔─省警校─马市岭─省武警学校─东平总站76A 农讲所─童心南─市交控中心─柯子岭─盈翠华庭─广州体育馆─东方乐园─外语学院─黄石东路口─陈田村─元下田─永泰路口─白云畜牧公司─永泰新村─永泰广场─红路─东平派出所─东平村口─五金厂─商业广场─龙归路口─龙归永兴村总站06:45 06:00 21:4521:0078路岑村教练场总站─教练场口─岑村─长湴市场─天鹅花苑─天河客运站─银河园─武警医院─燕塘企业─燕岭大厦─金燕生活区─粤垦瑞心苑─农垦总局─春晖苑─天寿路─天河东路─天河路口─天河体育中心─天河立交─水荫横路口─水荫路─十九路军陵园─动物园─东山广场总站06:30 20:0022:0079路洛溪新城总站─西滘村─南洲名苑─嘉鸿花园─金碧花园─泰沙路口─石溪─保利花园─纸厂路─珠江医院─沙园─凤凰新村─梅园西─革新路口─洪德路─文化公园总站06:0006:30 21:3022:0080路金德苑─同德乡─鹅掌坦─广排─铸管厂─黑山─西湾路─富力环市西苑─和平新村─东风西路─市少年宫─广医─中山纪念堂─东风中路─德政北路─越秀南路─白云路─大沙头码头─大沙头─海印桥南─晓港新村─五凤村─瑞南新村─晓港湾─海珠客运站06:0006:30 22:00路线途经站点首班车末班车81路半岛花园总站─北村─嘉洲花园─福盛花园─镇政府─敬修堂药厂─宏威路─明珠广场─黄岐市场─南海大厦─广佛路口─桥东小区─山村─联桂北─大策─花地湾─芳村隧道口─黄沙码头─六二三路─文化公园总站06:0006:30 21:3022:0082路中山八路总站─西郊车站─如意坊─市二医院─恩宁路─和平西路─和平东路─一德西─一德中─一德东─海珠广场─江南大道北─江南大道中─南村─华海大厦─广医二院─晓港新村─九十七中学─江泰路─五凤乡总站06:10 23:0083路珠江广场总站─大江苑─客村立交─五羊新村─南方日报社─杨箕村─梅花村─农林东─农林下路─执信路─越秀桥─正骨医院─东风中路─中山纪念堂─广医─流花公园─交易会─省妇幼保健院─王圣堂─瑶台─沙涌南总站06:00 22:0084路动物园总站─沙河顶─沙河大街─军体院─省军区─燕塘企业─武警医院─银河园─天河客运站─上元岗─射击场─科学院─三保墟─华南植物园─龙洞总站06:15 21:30 22:0084A 动物园总站─沙河顶─沙河大街─军体院─省军区─燕塘企业─武警医院─银河园─天河客运站─上元岗─射击场─科学院─三保墟─华南植物园─龙洞─树木公园─龙洞林场─打石坳─华美英语学校─凤凰联合公司─楼阁村─筲箕窝─渔沙坦06:40 18:5019:1084辅动物园总站─沙河顶─沙河大街─军体院─省军区─燕塘企业─武警医院─银河园─天河客运站─上元岗─射击场─科学院─三保墟─华南植物园─龙洞─树木公园─龙洞林场─打石坳─榄元村─柯木朗─龙发厂─省电校─高塘工业区─高塘石总站06:15 06:30 20:2021:2085路中山八路总站─石路基─荔湾路口─陈家祠─中山七路─西门口─中山六路─迎宾馆─市总工会─中山纪念堂─正骨医院─东风大酒店─执信路─羊城晚报社─东峻广场─锦城花园─天河立交─水荫横路口─水荫路─十九路军陵园─沙河顶─沙河大街─沙和路─天平架总站06:00 22:0086路一德西总站─一德中─一德东─江南大道北─江南大道中─南村─华海大厦─礼岗─江燕花园─燕子岗─保利花园─石溪─金碧花园─嘉鸿花园─南洲名苑─西滘村─三滘村─沥滘─耐火材料厂─少教所─轮修厂─大沙村─救捞局─瀛洲路口─瀛洲路─瀛洲生态公园总站06:00 22:0021:3087路机场路总站─中医学院─桂花岗─越秀公园─迎宾馆─解放中路─解放南路─江南大道北─江南大道中─南村─华海大厦─礼岗─江燕花园─燕子岗─保利花园─石溪─泰沙路口─金碧花园─嘉鸿花园─南洲名苑─西滘村─洛溪桥脚─上冲南─南洲花园总站06:00 23:0088路南天商业城总站─南天商业城路口─洛溪桥脚─上冲南─上冲─园艺场─墩和─客村─康乐村─中山大学─怡乐村─云桂村─基立村─江南大道北─海珠广场─解放南路─解放中路─中山六路─西门口─中山七路─陈家祠─荔湾路─彩虹桥─东风西路─和平新村─西场总站06:00 22:3089路大沙头总站─沿江东路─二沙西─星海音乐厅─二沙东─五羊新村─南方日报社─天河体育中心─天河路口─天河东路─天寿路─春晖苑─农垦总局─粤垦瑞心苑─金燕生活区─燕岭大厦─燕塘企业─武警医院─银河园─上元岗─天河客运站总站06:30 22:00路线途经站点首班车末班车101路海印桥总站─星之光电器城─白云路─越秀南路─省博物馆─文明路─大南路─解放中路─迎宾馆─越秀公园─桂花岗─矿泉─机场路总站06:00 22:3022:00102路东山总站─中山医科大学─烈士陵园─大东门─农讲所─财政厅─公园前─中山六路─西门口─东升医院─大新路口─人民南路─文化公园总站06:00 22:30103路机场路总站─中医学院─桂花岗─越秀公园─流花公园─市少年宫─人民北路─西门口─东升医院─大新路─人民南路─文化公园总站06:00 22:30104路海印桥总站─星之光电器城─白云路─越秀南路─省博物馆─文明路─大南路─起义路─中山六路─西门口─中山七路─陈家祠─荔湾路口─石路基─中山八路总站05:45 22:30105路机场路总站─中医学院─桂花岗─越秀公园─流花公园─东风西路─彩虹桥─荔湾路─石路基─中山八路─西郊车站─如意坊─黄沙大道─黄沙码头─六二三路─文化公园总站06:0006:10 22:3021:30106路锦城花园─梅花村─农林东─东山口─中山医科大学─东川路─白云路─越秀南路─省博物馆─文明路─大南路─米市路─惠福西路─大新路─人民南路─文化公园总站06:00 22:30107路东山总站─中山医科大学─烈士陵园─大东门─农讲所─财政厅─公园前─中山六路─西门口─中山七路─陈家祠─荔湾路口─石路基─中山八路总站06:00 00:00108路东山总站─中山医科大学─烈士陵园─大东门─农讲所─财政厅─公园前─迎宾馆─越秀公园─桂花岗─三元里─北站─沙涌─棠下─广花三路─棠溪─广花四路─新市─新市圩─修理三厂─黄石路总站06:00 23:0022:30109路中山八路总站─石路基─荔湾路口─陈家祠─中山七路─西门口─人民北路─广医─越秀公园─电视塔─小北路─广视宾馆─横枝岗─省第二中医院─省银行医院─铁路疗养院─恒福路─西坑─濂泉路口─沙河总站06:30 22:00110路解放南路总站─解放中路─迎宾馆─越秀公园─电视塔─小北路─广视宾馆─横枝岗─省第二中医院─省银行医院─铁路疗养院─恒福路─西坑─濂泉路口─沙河总站06:30 22:00路线途经站点首班车末班车111路黄石路总站─修理三厂─三元里大道口─新市─广花四路─棠溪─广花三路─棠下─沙涌─北站─瑶台─王圣堂─省妇幼保健院─草暖公园─电视塔─小北路─广视宾馆─横枝岗─省第二中医院─省银行疗养院─铁路疗养院─恒福路─西坑─濂泉路口─沙河总站06:00 22:00。
广州市公交线路查询大全城市:广州上行:广州火车东站体育西路东山口农讲所西门口长寿路芳村坑口坑口芳村长寿路西门口农讲所东山口体育西路广州火车东站(共16站)班次时间: (广州火车东站6:18-23:50 西塱6:00-22:55)1路城市:广州上行:东山(署前路)烈士陵园农讲所北京路口海珠广场(侨光东)六二三路芳村隧道口芳村合兴苑汾水芳村客运站芳村花园(共21站)下行:芳村花园芳村客运站汾水芳村合兴苑芳村隧道口六二三路爱群大厦南关文德路大东门中山医广东药学院从化分院大江路口从化客运站儿童公园人民医院门诊部留医部妇幼保健院旺城总站(共16站)下行:旺城总站妇幼保健院留医部人民医院门诊部儿童公园从化客运站大江路口江埔村总站(共15站)班次时间: (从化客运站6:30-20:00 旺城6:30-20:00)1路[H] 城市:广州上行:广州火车北站总站秀全大道西人民医院新湖大厦新华中学金联市场商业大道东润龙里莲塘龙口团结村广岭白鳝塘总站(共25站)下行:白鳝塘总站广岭团结村龙口莲塘润龙里商业大道东金联市场新华中学新湖大厦人民医院秀全大道西广州火车北站总站(共25站)班次时间: (广州火车北站6:30--21:30 白鳝塘6:30--21:30)1路[P] 城市:广州上行:番禺汽车客运站总站清河市场区政府邮电大厦美丽华酒店新广场光明中路光明北路丹山桥大罗村富豪山庄番发商贸城祈福新村路口祈福食街易兴工业区左边村丹山村百越广场友谊大厦青少宫大桥北何贤医院东秀园东怡新村金海岸花园23:00 祈福新村6:15-23:00) 1路[Z] 城市:广州上行:百花山庄迳吓村实验小学林场电力局挂绿广场荔城一小东区市场西山村陆村陆村西山村东区市场荔城一小挂绿广场电力局林场实验小学迳吓村百花山庄(共20站)班次时间: (19:00-21:30) 1线城市:广州上行:民航售票处旧机场北门白云机场(共5站)下行:白云机场边检站民航售票处(共5站)班次时间: (民航售票处-白云机场7:00-最后一班飞机时间每10分钟一班)2号线城市:广州上行:万胜围新港东赤岗鹭江晓港市二宫公园前越秀公园三元里(共17站)下行:三元里越秀公园公园前市二宫晓港鹭江赤岗新港东万胜围(共17站)班次时间: (万胜围6:00-22:53 三元里6:16-23:30) 2路城市:广州上行:锦城花园东峻广场市肿瘤医院正骨医院中山纪念堂人民北路东升医院宝华路口泮塘(共17站)下行:泮塘恩宁路上九路东升医院人民北路中山纪念堂东风大酒店羊城晚报社锦城花园禾仓村七星路口从化客运站建设路新城小学荔景园从化六中从化六中荔景园新城小学建设路从化客运站七星路口禾仓村19:00 职工技术学校6:30-19:00)2路[H] 城市:广州上行:花都客运站总站站前路富华市场胡忠医院布心毕村风神厂殡仪馆将军潭赤坭影都礼拜堂礼拜堂赤坭影都将军潭殡仪馆风神厂毕村布心胡忠医院富华市场站前路花都客运站总站(共22站)班次时间:(花都客运站6:00--22:00 赤坭6:00--22:00)2路[P] 城市:广州上行:蔡边村总站蔡二新村番艺花园市桥街办番禺宾馆桥东小学仲元中学西丽路南米粉厂三桥北龙岐乡政府福涌冠田村总站(共25站)下行:冠田村总站福涌龙岐乡政府三桥南汇景酒家米粉厂西丽路南仲元中学桥东小学番禺宾馆市桥客运站交通学校红门村富鹏市场交警中队中海广场增城广场荔景中学卫校基础部石山田南岗村南岗村石山田卫校基础部荔景中学增城广场中海广场交警中队富鹏市场-21:16 朱村镇政府6:30--21:16) 2路B线[P] 城市:广州上行:北城公交站总站市桥街办番艺花园蔡二新村蔡边村樟边路口为民中路(樟边工业区) 为民中路(樟边工业区)樟边路口蔡边村蔡二新村番艺花园市桥街办北城公交站总站(共14站)班次时间: (北城公交站--樟边)2线A线城市:广州上行:花园酒店广东国际大酒店广东国际大酒店花园酒店(共4站)班次时间: (花园酒店--白云机场7:00-22:30(每20分钟一班))2线B线城市:广州上行:天河广运楼广东国际大酒店广东国际大酒店天河广运楼(共4站)班次时间: (天河广运楼-白云机场7:00-22:30(每30分钟一班)[5:30~19:30之间中途不停站])3号线城市:广州上行:广州火车东站体育西路赤岗塔赤岗塔体育西路广州火车东站(共6站)班次时间: (广州火车东站6:18-21:00 客村6:10-21:04)3路城市:广州上行:东山东华西路文明路大南路惠福西带河路宝华路口如意坊(共15站)下行:如意坊恩宁路上九路省中医院起义路口文明路东华西路东山(共15站)班次时间: (东山-如意坊)3路[H] 城市:广州上行:花都客运站总站胡忠医院海关瑞华商场幸福花园建材市场公安办证大厅杨屋路口横坑径合成太子广场民容路口永兴市场富民路狮岭总站(共29站)下行:狮岭总站水泥厂路口司法所太子广场合成横坑径杨屋路口公安办证大厅建材市场幸福花园瑞华商场海关信华商场广州火车北站-22:00 狮岭6:00--22:00)3路[P] 城市:广州上行:华侨城总站禺山大道西新世界大厦交通大厦沙墟市场罗家村石岗东城市花园傍东村新桥车站沙涌亭汉基工业区石基牌坊石基牌坊汉基工业区沙涌亭新桥车站傍东村城市花园石岗东罗家村沙墟市场交通大厦新世界大厦禺山大道西华侨城总站(共26站)班次时间: (华侨城-石基村)3路[Z] 城市:广州上行:蕉石岭东湖邮局增江街置业花园市政府艺都影院莲花市场光明车站中海广场太平洋保险公安局公安局太平洋保险中海广场光明车站莲花市场艺都影院市政府置业花园增江街东湖邮局蕉石岭(共22站)班次时间: (蕉石岭-碧桂园6:20-22:00)3线城市:广州上行:芳村客运站白云机场(共3站)下行:白云机场芳村客运站(共3站)班次时间: (保华广场-白云机场7:00-22:30 每30分钟一班)4号线城市:广州上行:万胜围大学城北新造(共5站)下行:新造大学城北万胜围(共5站)班次时间: (万胜围6:26-21:16 新造6:10-21:00)4路城市:广州上行:白云路海珠广场(侨光东)爱群大厦大新路口东升医院西门口彩虹戏院富力环市西苑(西村)富力桃园(共17站)下行:富力桃园富力环市西苑(西村) 彩虹戏院西门口东升医院大新路口一德中(交运医院)文德南白云路(共17站)班次时间: (白云路6:00-22:30 富力桃园5:40-21:45)4路[H] 城市:广州上行:花都汽车站总站花都客运站站前路富华市场富豪山庄商业步行街茶园市场中医院雅居乐三东市场新和村南门花都一中江滨皮革厂江滨皮革厂花都一中南门新和村三东市场雅居乐中医院茶园市场商业步行街富豪山庄富华市场站前路花都客运站花都汽车站总站(共28站)班次时间: (花山两龙6:30--21:30 花都汽车站6:30--21:30)4路[P] 城市:广州上行:好又多总站东方花园邮电大厦东城市场大北路友谊大厦番禺中学西环路康裕北苑总站(共17站)下行:康裕北苑总站沙头市场康裕园中心小学新世界大厦人民医院何贤医院中保人寿东兴园敬老院蕉石岭东湖邮局增江市场置业花园汤屋村光明车站广远小学滨海路口府前路口罗岗开发区郑田村石滩车站(共26站)下行:石滩车站郑田村罗岗开发区府前路口滨海路口广远小学光明车站汤屋村置业花园增江市场东湖邮局蕉石岭敬老院-18:00 石滩6:30--18:00)4路B线[P] 城市:广州上行:船站总站东风小学市桥大桥桥东小学番禺宾馆富都城星海中学丹山市桥医院沙头中学小平工业区总站(共21站)下行:小平工业区总站沙头中学市桥医院丹山星海中学富都城番禺宾馆桥东小学市桥大桥东风中学船站总站(共21站)班次时间: (船站-小平工业区)4线城市:广州上行:黄埔明珠大酒店东圃客运站广园新村广园客运站东圃客运站黄埔明珠大酒店(共6站)班次时间: (黄埔明珠大酒店-白云机场8:00-21:00 每60分钟一班) 5路城市:广州上行:站前路越秀公园盘福路解放中路市二宫云桂村东晓南路瑞南新村海珠客运站(共17站)下行:海珠客运站晓港湾五凤乡晓港新村基立村广东药学院海珠区委解放南路迎宾馆交易会22:30 海珠客运站6:00-22:30)5路[H] 城市:广州上行:花都客运站站前路富华市场胡忠医院布心毕村风神厂殡仪馆民主村炭步大桥炭步大桥民主村殡仪馆风神厂毕村布心胡忠医院富华市场站前路花都客运站(共20站)班次时间: (花都客运站6:00--22:00 炭步6:00--22:00)5路[P] 城市:广州上行:江南新村总站百越广场番禺宾馆中医院南区市场绿庭雅苑陈涌塘涌蚬涌市场工业学校大同村太石工业区二(临时站)太石工业区二(临时站)大同村草河村面粉厂蚬涌象圣中学金业别墅花园华景新城工业路大北路侨联中学路口市桥街办星海中学华侨中学兴发市场镇二小交警大队新汤村华农批市场廖村桥头村吭口村何仙姑家庙何仙姑家庙吭口村桥头村廖村华农批市场新汤村交警大队镇二小兴发市场华侨中学缤缤广场广东大厦白云机场缤缤广场22:00 每15分钟一班)6路城市:广州上行:动物园白云宾馆小北越华路惠福路(省医门诊部)东升医院长寿西和平西路黄沙(共17站)下行:黄沙上九路省中医院起义路中山纪念堂豪贤路小北黄花岗胡忠医院富华市场站前路花都客运站新世纪广场新华中学体育场东门田美西村花都广场东花都广场东田美西村体育场东门新华中学新世纪广场花都客运站站前路富华市场胡忠医院-21:30 花都广场东6:30--21:30)6路[P] 城市:广州上行:番艺花园富都城市桥街派出所沙墟村人民医院新世界大厦禺山大道西三桥北岐头食街东园新村荷景花园沙湾南村沙湾沙湾涌口村(共27站)下行:沙湾涌口村沙湾沙湾南村荷景花园东园新村岐头食街三桥南汇景酒家规划局大北路交通大厦颐养院食品集团交通学校富鹏市场公路局荔城二小交通局检察院荔新路口仙村路口白石路口汇美酒家天和百货广虎客运站港口大道中海关大道海关大道港口大道中广虎客运站天和百货汇美酒家白石路口仙村路口荔新路口检察院交通局荔城二小公路局富鹏市场20:30)6路B线[P] 城市:广州上行:番艺花园总站富都城市桥街派出所沙墟村人民医院新世界大厦禺山大道西华侨城龙岐路口沙园村恒盛花园东区市场文化中心沙湾水厂沙湾水厂文化中心东区市场恒盛花园沙园村龙岐路口华侨城禺山大道西新世界大厦人民医院沙墟村市桥街派出所富都城番艺花园总站(共28站)班次时间: (番艺花园-沙湾涌口村) 6线城市:广州上行:珠江新城白云机场(共3站)下行:白云机场珠江新城(共3站)班次时间: (珠江新城-白云机场5:30-22:00 每15分钟一班)7路城市:广州上行:大沙头越秀南路万福路财厅迎宾馆交易会王圣堂北站棠下同德围石槎路石槎路(金碧新城)(共23站)下行:石槎路(金碧新城)石槎路同德围棠下北站王圣堂市客运站(广州火车站)越秀公园盘福路吉祥路中山五路万福路越秀南路大沙头(共27站)班次时间: (大沙头6:00-22:00 石槎路6:00-21:45)7路[H] 城市:广州上行:花都汽车站总站新街水果市场钟村新民南路新华百货秀全公园丽美酒店东华庄水利局防疫站中医院东人民公园总站(共23站)下行:人民公园总站花都广场镇五小富豪山庄新世纪广场东新湖大厦人民医院粮食局交通技术学院新街小学布心-22:00 人民公园6:30--22:00)7路[P] 城市:广州上行:桥福园总站东环路富都城百越广场友谊大厦环城西路解放路中汇景酒家龙岐路口龙岐珠宝产业园涌边村番安教考场北村工业区(留耕堂) 西村新桥路口文化中心沙湾医院北斗星沙湾文化中心西村北山象贤中学公安基地威乐工业区福田村龙岐乡政府三桥南解放路西西园光明中路光明北路市桥街办番艺花园交警大队交警大队国税局广发行电信大厦兴发市场华侨中学培正学校鹤洲村华立学院(共18站)下行:华立学院鹤洲村培正学校华侨中学兴发市场电信大厦广发行国税局交警大队22:10)7线城市:广州上行:番禺市桥丽江明珠大酒店华威达大酒店华威达大酒店丽江明珠大酒店番禺市桥(共6站)班次时间: (番禺市桥-白云机场5:30-21:00 每30分钟一班) 8路城市:广州上行:中山八路泮塘带河路口上九东一德中(交运医院)南华中路草芳围石涌口珠江泳场(共17站)下行:珠江泳场石涌口草芳围海珠广场海珠中路上九东带河路口泮塘中山八路(共17站)班次时间: (中山八路-珠江泳场) 8路[H] 城市:广州上行:东镜总站石塘华兴工业区东莞庄东雅图酒店雅瑶市场卫生局中医福宁分院花都客运站新世纪广场南华广场镇五小钻石花园雅居乐三东市场水世界三东总站(共33站)下行:三东总站水世界三东市场雅居乐 - 云山中第 11 页共 11 页。
花都公共汽车有限公司营运线路明细表(更新至2011年7月28日)1号车花都火车站总站(广州北站) 06:30--21:30 人和地铁站总站06:30--22:30 票价3元去程:花都火车站总站(广州北站) - 花都客运站- 新华市场- 人民医院[花都] - 秀全公园- 新湖大厦- 横潭市场- 新华中学- 红珠路- 金联市场- 商业大道东- 宝田加油站- 田美新村- 润龙里- 莲塘市场- 莲塘- 花山第二工业区- 龙口- 东湖村- 南洋庄- 团结村- 清布墟- 广岭- 广塘村- 白鳝塘- 人和地铁站总站(26站) [注:每8-12分钟一班]2号车新华总站(云山桥底) 06:00--22:00 赤坭总站06:00--22:00 票价4元新华总站(云山桥底) - 站前路[花都] - 富华市场- <去市政园林局[花都]> - 胡忠医院- 花都汽车总站- 布心村- 天马河俱乐部- 毕村- 朱村[新华] - 风神厂- 风神花园- 体育公园[花都风神大道] - 四角围- 将军潭- 轮胎厂- 赤坭墟小学- 赤坭影都- 杨屋村委[赤坭] -(回赤坭一幼- 礼拜堂-赤坭政府路口)- 赤坭总站(20站) [注:每10分钟一班]3号车花都客运站总站06:00--22:00 狮岭汽车站总站06:00--22:00 票价4元花都客运站总站- 金城大厦- 胡忠医院- 市政园林局[花都] - 星光汇摩登百货- 三华村- 松园里- 人爱医院- 邝维煜中学- 大华市场- 公安办证大厅- 车辆厂技校- 杨屋路口- 杨屋- 溢盈广场- 海布- 横坑径- 南航路口- 合成村[雄狮路] - 团结路口[雄狮路] - 狮岭皮革城- 太子广场- 阳光路- 民容路口- 振兴村- 永兴市场- 盘古中路- 龙泉路- 狮岭汽车站总站(29站) 每10分钟一班]4号车花都汽车总站06:30--21:30 花山两龙总站06:30--21:30 分段收费,全程4元花都汽车总站- 金城大厦- 花都客运站- 花都火车站(广州北站) - 站前路[花都] - 富华市场- 五华直街- 富豪山庄[花都] - 水利局[花都] - 居雅装饰城- 东城花园- 茶园市场- 中医院[花都] - 交通局[花都] - 雅居乐[花都迎宾大道] - 大运家园- 三东市场- 三东东布-山下村安置区- 凤凰村[新华] - 新和村- 小布- 南门- 坪山- 花都一中- 两龙墟- 江滨皮革厂- 市政大学- 花山医院- 花山两龙总站(30站) 每10分钟一班]5号车新华总站(云山桥底) 06:00--22:00 炭步汽车站总站06:00--22:00 票价4元新华总站(云山桥底) - 站前路[花都] - 富华市场- 市政园林局[花都] - 胡忠医院- 花都汽车总站- 布心村- 天马河俱乐部- 毕村- 朱村[新华] - 风神厂- 风神花园- 体育公园[花都风神大道] - 四角围- 民主村- 飞达音响厂- 炭步大桥– (回没南街口) - 炭步交管所- 炭步汽车站(20站) 每10分钟一班6号车花都汽车总站06:30--21:30 石岗村总站06:30--21:30 票价2元花都汽车总站- 胡忠医院- 富华市场- 站前路[花都] - 花都火车站(广州北站) - 花都客运站- 新世纪广场[花都] - 秀全中学- 新华中学- 红珠路- 体育场东门- 公路局[花都] - 田美西村- 花都广场东- 田美村[新华] - 云山中学(曙光路) - 曙光路- 国税局[花都] - 人民公园东- 天贵北路- 石岗村总站(21站) 每10分钟一班7号车新街水果市场总站06:30--21:30 人民公园总站06:30--21:30 票价2元新街水果市场总站- 新街小学- 花都钟村- 交通技术学院- 新民南路- 粮食局[花都] - 新华百货- 人民医院[花都] - 秀全公园- 新湖大厦- 丽美酒店- 新世纪广场东[花都] - 东华庄- 富豪山庄[花都] - 水利局[花都] - 镇五小[花都] - 防疫站[花都] - 花都广场- 花都区政府– (回中医院东[花都]) - 人民公园总站(20站) 每10分钟一班8号车东镜总站06:30--21:30 三东总站06:30--21:30 票价2元东镜总站- 东镜市场- 石塘路口- 华兴工业区- 东莞庄[花都夏花六路] - 旧国光厂- 东雅图酒店- 雅瑶镇政府- 雅瑶医院- 雅瑶市场- 新华街道办- 卫生局[花都] - 新华百货- 中医福宁分院- 花都火车站(广州北站) - 花都客运站- 新世纪广场[花都] - 新世纪广场东[花都] - 南华广场- 购书中心[花都] - 镇五小[花都] - 防疫站[花都] - 钻石花园- 田美村[新华] - 云山中学- 龙珠市场- 雅居乐[花都凤凰北路] - 大运家园- 三东市场- 三东小学- 三东水世界- 三东总站(32站) 每10分钟一班9号车新华总站(云山桥底) 07:00--21:30 九塘总站07:00--21:30 票价2元新华总站(云山桥底) - 花都客运站- 新世纪广场[花都] - 新世纪广场东[花都] - 地税局[花都] - 高架桥东- 花都汽车总站- 嘉逸华庭- 农机汽车城- 资政大夫祠- 华海工业区- 广东行政学院- 圆玄道观- 迎宾大道西- 新华工业区- 龙海东路- 科技园- 瑞香路- 珠宝城- 九塘社- 九塘总站(21站) 每10分钟一班10号车城东停车场总站06:30--21:30 雅宝新城总站06:30--21:30 票价2元城东停车场总站- 培新中学- 红珠路口- 横潭牌坊- 横潭路口- 秀全公园- 三幼[花都] - 新世纪广场[花都] - 花都客运站- 花都火车站(广州北站) - 站前路[花都] - 马房三街- 星光汇摩登百货- 三华村- 松园里- 人爱医院- 邝维煜中学- 大华市场- 公安办证大厅- 车辆厂技校- 三东大道西- 大运公寓- 大运公司- 花卉市场- 花卉市场西门- 杨屋新村- 雅宝新城总站(27站)每10分钟一班10号B城东停车场总站07:00--20:00 华工汽车学院总站07:00--20:00 票价2元城东停车场总站- 培新中学- 红珠路口- 横潭牌坊- 横潭路口- 秀全公园- 三幼[花都] - 新世纪广场[花都] - 花都客运站- 花都火车站(广州北站) - 站前路[花都] - 马房三街- 星光汇摩登百货- 三华村- 松园里- 人爱医院- 邝维煜中学- 大华市场- 公安办证大厅- 车辆厂技校- 三东大道西- 大运公寓- 大运公司- 花卉市场- 花卉市场西门- 杨屋新村- 雅宝新城- 乐同村- 华工汽车学院总站(29站)城东停车场总站07:00-12:00 每60分钟一班12:00-20:00 每30分钟一班](去程) 华工汽车学院总站07:00-12:00 每60分一班12:00-20:00 每30分一班](回程)11号车花都汽车总站07:00--20:00 团结村总站07:00--20:00 票价2元花都汽车总站- 金城大厦- 新世纪广场[花都] - 秀全中学- 体育路- 体育场东门- 公路局[花都] - 田美西村- 花都广场东- 田美村[新华] - 云山中学- 龙珠市场- 马鞍山公园[花都凤凰北路] - 田美新村- 润龙里- 莲塘南- 清布中学- 中恒商业广场- 合和新城- 清布安置区- 清布墟- 团结路口- 塘口[新华] - 团结村总站(24站) 每30分钟一班12号车雅瑶新村总站07:00--20:00 长岗村总站07:00--20:00 票价2元雅瑶新村总站- 雅瑶幼儿园- 雅瑶镇政府- 雅瑶医院- 雅瑶市场- 新华街道办- 卫生局[花都] - 新华市场- 花都客运站- 花都火车站(广州北站) - 站前路[花都] - 马房三街-星光汇摩登百货- 检疫局[花都] - 花城北路- 龙珠中路- 茶园市场- 公益市场- 圆玄中学- 石岗村- 皮革皮具人才市场- 万信达- 南菱汽车城- 长岗中学- 农校- 东边-长岗村总站(27站) 每18分钟一班12号B雅瑶新村总站一至五07:00 07:15 17:00 17:30 17:45 大运公司总站一至五07:45 08:00 17:45 18:15 18:30 票2元雅瑶新村总站- 雅瑶幼儿园- 雅瑶镇政府- 雅瑶医院- 雅瑶市场- 新华街道办- 卫生局[花都] - 新华市场- 花都客运站- 花都火车站(广州北站) - 站前路[花都] - 马房三街- 星光汇摩登百货- 检疫局[花都] - 花城北路- 龙珠中路- 茶园市场- 公益市场- 圆玄中学- 石岗村- 皮革皮具人才市场- 万信达- 南菱汽车城- 长岗中学- 农校- 东边-大龙庄- 祥凤- 大运公司总站雅瑶六日08:00 09:00 10:00 11:00 12:00 13:00 14:00 15:00 16:00 17:00 18:00大运六日08:45 09:45 10:45 11:45 12:45 13:45 14:45 15:45 16:45 17:45 18:45](回程)13号车狮岭总站逢周六09:00发一班两龙墟总站逢周六09:45发一班票价3元狮岭总站–( 去教育西路- 利达路- 狮岭旧站) –(回龙泉西路)- 龙泉路- 盘古路- 永兴市场- 振兴村- 民容路口- 阳光路- 太子广场- 狮岭皮革城- 团结路口[雄狮路] - 合成村[雄狮路] - 南航路口- 益群- 合境- 新田- 新杨- 旗新- 旗岭市场- 旗岭- 和郁村- 五星村- 铁山村- 江滨皮革厂- 两龙墟总站(27站)14号车赤坭总站06:30--19:00 狮岭汽车站总站06:30--19:00 票价3元赤坭总站- 礼拜堂- 赤坭一幼- 杨屋村委[赤坭] - 赤坭影都- 赤坭墟小学- 培正大道- 剑岭小学- 培正商学院- 洪熙官武术院- 皇母村- 乌石村[狮岭] - 冯村[狮岭] - 冯村中学[狮岭] - 军田村- 狮岭汽车站总站(16站)每15分钟一班15赤坭影都总站07:30--17:30 西莲塘村总站08:00--18:00 票价2元赤坭影都总站- 赤坭医院- 广州纺织学院- 蓝田村- 中洞村- 鲤塘村- 西莲塘村总站(7站)赤坭影都总站发车时间07:30 09:30 11:30 14:30 16:30 17:30西莲塘村总站发车时间08:00 10:00 12:00 15:00 17:00 18:0016号车胡忠儿童医院总站06:30--21:30 推广总站06:30--21:30 分段收费,全程4元胡忠儿童医院总站- 松园里- 三华村- 星光汇摩登百货- 富华市场- 站前路[花都] - 花都火车站(广州北站) - 花都客运站- 新世纪广场[花都] - 新世纪广场东[花都] - 地税局[花都] - 南华广场- 花果山公园- 田美市场- 云山中学- 龙珠市场- 马鞍山公园[花都凤凰北路] - 田美新村- 润龙里- 莲塘市场- 莲塘- 花山第二工业区- 龙口- 东湖安置区- 小布- 龙口检测站- 南门- 坪山- 坪东村- 洛场村- 花山中队- 联群新村- 九湖村- 三凤村- 花东市场- 花东镇政府- 花东汽车站- 推广总站(38站)每13分钟一班16号B胡忠儿童医院总站发车时间07:00 12:00 14:00 17:00 阳升总站发车时间06:30 08:30 15:00 18:00 分段收费,全程6元胡忠儿童医院总站- 松园里- 三华村- 星光汇摩登百货- 富华市场- 站前路[花都] - 花都火车站(广州北站) - 花都客运站- 新世纪广场[花都] - 新世纪广场东[花都] - 地税局[花都] - 南华广场- 花果山公园- 田美市场- 云山中学- 龙珠市场- 马鞍山公园[花都凤凰北路] - 田美新村- 润龙里- 莲塘市场- 莲塘- 花山第二工业区- 龙口- 东湖安置区- 小布- 龙口检测站- 南门- 坪山- 坪东村- 洛场村- 花山中队- 联群新村- 九湖村- 三凤村- 花东市场- 联安村[花东] - 珠湖村- 阳升总站(38站)17号花都火车站总站(广州北站) 06:30--20:00 花城村总站06:30--20:00 分段收费,全程4元花都火车站总站(广州北站) - 花都客运站- 新世纪广场[花都] - 丽美酒店-(回新湖大厦)- 横潭路口- 横潭牌坊- 红珠路口- 金联市场- 商业大道东- 宝田加油站- 田美新村- 润龙里- 莲塘市场- 莲塘- 花山第二工业区- 小布- 南门- 坪山- 花都一中- 两龙墟- 江滨皮革厂- 两龙卫生站- 花山医院- 华侨工业园- 南村[花山] - 永乐水渭路口- 永乐村- 花城村总站(28站)每15分钟一班17号车东湖村班花都火车站总站(广州北站) 逢周三发班时间09:00 12:00 东湖村总站逢周三发班时间09:40 12:40 票价2元花都火车站总站(广州北站) - 花都客运站- 新世纪广场[花都] - 丽美酒店- 新湖大厦- 横潭路口- 横潭牌坊- 红珠路口- 培新中学- 城东停车场- 三鸟市场- 宝田加油站- 田美新村- 润龙里- 莲塘市场- 莲塘- 花山第二工业区- (回龙口)-东湖村口- 岭水工业园- 东湖卫生站- 东湖村总站(21站)18号车大陵新村总站06:30--21:30 人民公园总站06:30--21:30 票价2元大陵新村总站- 大陵村- 中陵社- 胡忠产科医院- 花都钟村- 交通技术学院- 镇一小[花都] - 卫生局[花都] - 新华市场- 金城大厦- 胡忠医院- 市政园林局[花都] - 星光汇摩登百货- 三华村- 松园里- 人爱医院- 邝维煜中学- 圆玄小学- 中医院[花都] - 花都区政府- 人民公园总站(21站)每10分钟一班19号车饮食风情街总站06:30--21:30 马溪村总站06:30--21:30 票价2元饮食风情街总站- 紫薇路口- 百寿南路- 雅居乐[花都凤凰北路] - 龙珠市场- 曙光南路- 田美市场- 公路局[花都] - 花果山公园- 购书中心[花都] - 水利局[花都] - 富豪山庄[花都] - 五华直街- 站前路[花都] - 花都火车站(广州北站) - 花都客运站- 金城大厦- 花都汽车总站- 布心村- 天马河俱乐部- 毕村- 朱村[新华] - 风神厂- 保利城- 阳光公寓- 广州优尼冲压- 岐山村[新华] - 省岭南工商一高技- 马溪大道- 马溪村总站(30站)每10分钟一班19路永高班饮食风情街总站发班时间06:50 越堡水泥厂总站发班时间17:50 票价2元饮食风情街总站- 紫薇路口- 百寿南路- 雅居乐[花都凤凰北路] - 龙珠市场- 曙光南路- 田美市场- 公路局[花都] - 花果山公园- 购书中心[花都] - 水利局[花都] - 富豪山庄[花都] - 五华直街- 站前路[花都] - 花都火车站(广州北站) - 花都客运站- 金城大厦- 花都汽车总站- 布心村- 天马河俱乐部- 毕村- 朱村[新华] - 风神厂- 保利城- 阳光公寓- 广州优尼冲压- 岐山村[新华] - 省岭南工商一高技- 马溪大道- 花港大道南- 花都港- 东秀路口- 永高公司- 越堡水泥厂总站(34站)20号车新华工业区总站发班时间07:00 07:30 17:40 镜湖工业区总站发班时间08:30 18:30 票价2元新华工业区总站- 爱民路口- 大布北路- 拥军路- 官禄布村- 美国工业园- 云峰路口- 龙海路口- 迎宾大道西- 圆玄道观- 广东行政学院- 邝维煜中学- 圆玄小学- 花都广场- 钻石花园- 田美村[新华] - 云山中学- 龙珠市场- 马鞍山公园- 邝村- 东莞庄[新华] - 东升路- 东升路口- 曙光路- 中心社- 石塘水泥厂- 石塘卫生站- 邦一工业园- 镜湖工业区总站(29站)22号车豪利花园总站06:30--20:00 花都汽车城总站06:30--20:00 票2元豪利花园总站- 东莞庄[花都镜湖大道] - 国光厂宿舍- 国光厂- 云峰花园- 清布中学- 莲塘南- 莲塘西- 马鞍山公园[花都迎宾大道] - 雅居乐[花都迎宾大道] - 交通局[花都] - 花都广场- 防疫站[花都] - 水利局[花都] - 富豪山庄[花都] - 东华庄- 新世纪广场东[花都] - 新世纪广场[花都] - 金城大厦- 花都汽车总站- 布心村- 天马河俱乐部- 毕村- 朱村[新华] - 风神厂- 风神花园- 体育公园[花都风神大道] - 东风北路[花都] - 车城路口- 花都宝井- 东风中路[花都] - 东风南路[花都] - 花都汽车城总站(33站)每18分钟一班23号车花都汽车总站07:00--20:00 狮岭总站07:00--20:00 分段收费,全程4元花都汽车总站- 金城大厦- 新世纪广场[花都] - 新世纪广场东[花都] –(去地税局[花都]) - 南华广场- 购书中心[花都] - 防疫站[花都] - 花都广场- 中医院[花都] - 园玄小学- 大华市场- 公安办证大厅- 车辆厂技校- 皮革皮具人才市场- 万信达- 南菱汽车城- 长岗- 南昌里- 交通驾培中心- 华严寺- 旗岭- 旗岭市场- 旗新- 新杨- 新田- 合境- 益群- 合成[金狮大道] - 团结路口[金狮大道] - 宝峰路口- 阳光路口- 振兴村- 永兴市场- 盘古中路- 龙泉路-(回狮岭旧站- 利达路- 教育西路)- (去龙泉西路) - 狮岭总站(38站)每15分钟一班24号车炭步市场总站逢周四发班时间09:00 10:30 陆仕水产公司总站逢周四发班时间09:50 11:10 票价2元炭步市场总站- 炭步汽车站- 炭步经济发展总公司- 社岗村- 大坳村- 陆仕水产公司总站(6站)701天平架总站07:00--22:00 花都杨屋汽车站总站06:00--20:30 分段收费,全程6元天平架(总站) - 兴华路口- 伍仙桥- 梅园新村- 梅花园- 南方医院- 同和- 白云山制药厂- 颐和山庄- 永泰路口- 永泰新村口- 永泰广场- 永泰客运站(友谊路口) - 东平村口- 东平路口(白云心理医院) - 龙归路口- 石湖村口- 白云货运站2 - 民营科技园- 夏良- 北村路口[龙归] - 鹤龙五路口- 北村[龙归] - 秀水- 南风庄- 人和墟3 - 人和华侨医院- 凤和庄- 太成村- 白鳝塘- 清布- 合和新城- 迎宾大道东- 清布中学- 莲塘南- 润龙里- 田美新村- 马鞍山公园[花都凤凰北路] - 大润发[花都] - 云山中学- 田美村[新华] - 钻石花园- 金菊花园- 茶园市场- 园玄小学- 大华市场- 公安办证大厅- 车辆厂技校- 花都杨屋汽车站总站(49站)701A人和总站07:20--22:30 花都杨屋汽车站总站06:30--20:20 分段收费,全程3元人和总站- 人和墟- 人和华侨医院- 凤和庄- 太成村- 白鳝塘- 清布- 合和新城-迎宾大道东- 清布中学- 莲塘南- 润龙里- 田美新村- 马鞍山公园- 大润发[花都] -云山中学- 田美村[新华] - 钻石花园- 金菊花园- 茶园市场- 园玄小学- 大华市场-公安办证大厅- 车辆厂技校- 花都杨屋汽车站总站(25站)分段收费标准:往花都杨屋汽车站总站方向:起步2元;过白鳝塘3元往人和总站方向:花都杨屋汽车站总站起3元;白鳝塘起2元702机场路总站06:45--22:40 花都丽雅总站06:00--22:00 票价12元机场路(总站) - 白云区政务中心- 东镜路口- 岑境村- 花城南路- 新湖大厦- 丽美酒店- 新世纪广场[花都] - 花都丽雅总站(9站)走机场高速,每10分钟一班703机场路总站06:40--21:00 万科天景花园总站06:00--20:30 分段收费,全程5元机场路(总站) - 北站- 棠下[三元里大道] - 棠溪[三元里大道] - 三元里大道北- 新市墟-联和[广花一路] - 冶金技校- 夏茅客运站- 外语外贸大学(公开学院) - 大朗路口- 平沙路口- 石马- 省建筑技工学校- 江村大桥北- 江人路- 大松岗- 江村墟- 江高- 江高路口- 江都医院- 夏花三路- 泉溪- 塘贝- 水沥- 双岗村- 东镜路口- 岑境村- 旧国光厂- 东雅图酒店- 雅瑶镇政府- 雅瑶医院- 雅瑶市场- 新华街道办- 镇一小[花都] - 交运技术学院- 花都钟村- 新街水果市场- 布心市场- 毕村- 万科天景花园总站(41站)往万科,机场路起5元塘贝起4双岗村起3东镜路口起2机场路总站往石马2往夏花三路4元往机场:万科天景花园总站起5元;双岗村起4元;省建筑技工学校起3元;石马起2元704机场路总站06:40--20:30 花都两龙总站06:00--20:00 分段收费,全程6元机场路(总站) - 白云区政务中心- 机场路岗贝路口- 新市墟- 联和[广花一路] - 夏茅客运站- 平沙- 石马南- 省建筑技工学校- 江人路口- 白象岭- 庙仔庄- 蚌湖市场- 蚌湖- 新联村西- 新联村东- 黄榜岭- 大巷工业区- 方石村- 人和华侨医院- 凤和庄- 太成村- 白鳝塘- 广塘- 清布墟- 团结村- 南洋庄- 龙口- 东湖安置区- 小布- 南门- 坪山- 花都一中- 花都音像厂- 两龙市场- 花都两龙总站(36站)往两龙:机场路总站起6人和华侨医院起5白鳝塘起4清布墟起3机场路总站往联和2元;往江人路口4元;往人和华侨医院5元往机场:花都两龙总站起6元;人和华侨医院起5元;江人路口起4元;石马南3元;联和起2元;花都两龙总站往清布墟3元;往人和华侨医院5元705中山八路总站06:00--21:00 新华总站(云山桥底) 06:00--21:00 分段收费,全程8元中山八路(总站) - 石路基- 荔湾路- 彩虹桥- 和平新村- 西场电器城- 富力半岛花园–(回罗冲围客运站)- 糖厂路口- 松南街口- 松北- 东旺市场- 西槎电器城- 槎头-湖天货运站- 凰岗路口(庆槎路) - 石丰路口- 石井镇政府- 庆丰- 红星桥- 朝阳路口- 滘心工业区- 滘心村口- 朝阳开发区– (回鸦岗路口)-布心市场- 花都汽车总站- 胡忠医院- 富华市场– (回市政园林局[花都])-站前路[花都] - 新华总站(云山桥底) (29站)往新华总站(云山桥底) 方向:起步2元;过广清高速8元往中山八路总站方向:新华总站(云山桥底) 起8元;鸦岗路口起2元706动物园总站07:00--21:30 城东停车场总站06:00--20:30 分段收费,全程4元动物园(总站) - 永福路- 恒福路- 铁路疗养院- 省银行医院- 省第二中医院- 麓景西路- 广州电大麓湖校区- 下塘西路- 雕塑公园- 柯子岭- 盈翠华庭- 安华装饰城- 江夏(安华灯饰城) - 黄石路- 联和[广花一路] - 鹤南- 冶金技校- 夏茅- 夏茅客运站- 大塱- 白沙湖- 广外附设外语学校- 平沙- 石马南- 桃源- 省建筑技工学校- 江村大桥北- 江人路口- 新镇庄- 塘贝村- 水沥村- 双岗村口- 东镜路口- 岑境村- 旧国光厂- 东雅图酒店- 雅瑶镇政府- 雅瑶镇医院- 新华街道办- 金湖大酒店- 人民医院[花都] - 秀全公园- 横潭路口- 横潭牌坊- 红珠路口- 培新中学- 城东停车场总站(48站)往城东:动物园起4元双岗村口起3元东镜路口起2元动物园往石马南2往动物:城东起4元省建起3元石马南起2元广州汽车客运站-炭步汽车站克山站、黑山站、铸管厂、广排站、鹅掌坦、同德围、棠溪村、聚龙工业区、槎头、湖天货运站、凰岗路口、神山、珠江水泥厂、石湖、炭步广州汽车站:头班7:10;尾班19:10炭步汽车站:头班6:30;尾班17:5090分钟,14元花都汽车客运站—滘口汽车客运站秀全大道西、金城广场、大桥局、长途客运站、布心市场、新华收费站、湖天客运站、槎头、东旺市场、松北、松南、滘口站头班:6:30尾班:19:4520分钟,14元花都汽车客运站—东圃汽车客运站秀全大道西、金城广场、新世纪广场、丽美酒店、新湖大厦、工商局、雅瑶路口、江村、夏茅、祥景花园、安华装饰城、黄石东、外语学院、广州体育馆、柯子岭牌坊、大金钟路口、白云索道站、干休所站、瘦狗岭、龙口西、龙口东、五山路口、天河科技街、师大暨大、省邮电学校、上社、民族学院、棠下、棠东、黄村头班:6:00尾班:21:0015分钟,14元花都汽车客运站—芳村汽车客运站秀全大道西、金城广场、大桥局、长途客运站、布心市场、新华收费站、湖天客运站、槎头、东旺市场、松北、松南、花地湾、珠江隧道、花地大道、翠竹苑站头班:6:30尾班:19:3030分钟,13元花都长途客运站-新塘汽车客运站新华、江村、石马、电车站、金贵村、沙河、省军区、天河北、农科院、车陂、本田厂、凤凰城花都长途客运站:头班6:50;尾班19:00新塘客运站:头班6:50;尾班19:1030分,19元推广汽车站-广园汽车客运站推广、平山、小布、三东、雅居乐花园站、大润发超市站、防疫站、水利局站、新世纪广场站、丽美酒店站、江村站、平沙站、夏茅站、黄石路站、新市墟站、棠溪站、机场生活区站、边检站推广汽车站:头班6:00;尾班19:30广园客运站:头班6:40;尾班20:0010分,14元推广汽车站-人和汽车站象山牌坊、耀锋家具厂、大塘中学、石角中学、李溪墟、拦河坝、罗汉塘、人和三中、南兴庄、新机场路口、东华村、机场安置村、华侨医院 15分,3元推广汽车站:头班6:20;尾班19:15人和汽车站:头班6:45;尾班20:00花都汽车客运站-火车东站汽车客运站雅瑶、东镜、双岗、水沥、塘贝、江村、石马、平沙、夏茅、兵房、黄石路、新市、机场北门、边检站、广园站、交委枢纽中心、白云管理所、白云索道、广园路口、白云区医院、林和西路口、林和中路花都客运站:头班5:00;尾班18:40火车东站客运站:头班6:40;尾班20:4030分,14元花都汽车客运站-神山秀全大道西、金城广场、新世纪广场、丽美酒店、新湖大厦、新雅大桥、鼎胜海鲜渔港、雅瑶幼儿园、雅瑶镇政府、国光厂、岑镜村、庆扬村、广州邮件中心、郭塘货场、大岭路口15分,3元花都客运站:头班6:00;尾班20:30神山:头班6:30;尾班21:00北兴汽车站-竹料荔苑酒店、中兴市场、新田开发区、新田村委、新田二村、长沙步村委、交管站(经委)、人人佳购物广场、人人佳购物广场、安平庄、竹料路口、红旗路口、税所、竹料墟、竹料镇(808总站)北兴汽车站:头班6:30;尾班19:00竹料:头班7:05;尾班19:3512分,2元花都长途客运站—佛山客运站长途客运站、布心市场、新华收费站、毕村、岐山、四角围、炭步、茶塘、环山、逢涌、官瑶、大沥、松岗花都长途客运站:头班7:00;尾班16:00佛山客运站:头班9:00;尾班18:0040分,15元花都汽车客运站—从化汽车客运站秀全大道西、金城广场、新世纪广场、丽美酒店、新湖大厦、横潭村、横潭牌坊、红珠路口、培新中学、东停车场、宝田加油站、莲塘市场、花山第二工业区、龙口、小布、南门、坪山、、推广、花侨、北兴、太平场、神岗头班6:00尾班20:3030分,13元广州汽车客运站-石角汽车站克山站、黑山站、铸管厂、广排站、鹅掌坦、同德围、棠溪村、聚龙工业区、槎头、湖天货运站、凰岗路口、高速路口、四角围、将军潭、风门坳、剑岭、赤坭、新桥头、巴江、白坭、缠岗、国泰、兴仁石角汽车站:头班6:00;尾班16:00广州客运站:头班7:20;尾班17:4050分,25元花都汽车客运站—芙蓉度假村秀全大道西、金城广场、大桥局、市政局、胡忠医院、海关、邝维煜中学、大华市场、办证大厅、杨屋路口、旗岭花都客运站:头班6:10;尾班19:15度假村:头班6:45;尾班20:4015分,4元花都汽车客运站—赤坭汽车站火车站、信华商场、富华市场、市政局、胡忠医院、长途客运站、布心市场、新华收费站、毕村、岐山、四角围、剑岭头班6:00;尾班22:007分,4元花都汽车客运站—炭步汽车站火车站、信华商场、富华市场、市政局、胡忠医院、长途客运站、布心市场、新华收费站、毕村、岐山、四角围、至公庄、飞达音响厂头班6:00;尾班22:007分,4元狮岭汽车站-赤坭汽车站军田、冯村、黎村、乌石、皇母、培正商学院、锦山村、赤坭宾馆、赤坭医院头班6:30;尾班19:0015分,3元花都汽车客运站—狮岭汽车站秀全大道西、金城广场、大桥局、市政局、胡忠医院、海关、邝维煜中学、大华市场、办证大厅、杨屋、海布、横坑迳、皮革城头班6:00;尾班22:006分,4元。
细10路2路3路487路5路61路7路8路9路11路20路31路489路51路62路70路80路973路12路21路34路4路52路64路72路81路974班车14路25路35路40路53路66路74路84路91路15路27路36路41路54路65路75路85路93路19路28路37路46路56路69路78路87路960路101路29路38路400路57路6路79路89路961路102路201路39路420路58路60路705路803路962路103路204路301路440路503路63路706路804路963路104路205路302路410路504路66石湖班车703路807A路964路109路207路305路401路506路651路704路807路922路110路208路383路421路509路653路76路810路923路111路210路304路422路511路657路76A路813路921路112路211路301A路470路516路654路712路827路925路113路214路302A路429路517路650路715路828路926路114路215路303A路403路518路667路709路829路929路121路217路309A路404路519路663路710路830路972路122路218路30路411路524路659路707路831路970路123路220路32路412路528路662路708路832路975路124路221路328路425路529路664路724路833路976路126路222路329路426路534路660路728路836路940路127路223路322路427路535路666路722路837路943路128路225路331路472路538路652路727路838路978路129路226路321路463路539路656路723路840路901路130路228路326路460路540路661路726路841路901A路132路229路323路451路541路665路725路842路980路133路230路327路450路542路668路742路862B路981路136路233路332路447路543路669路737路864路967路137路236路333路446路545路658B路733路882路968路138路239路337路444路550路658A路739路884路944路175路241路338路443路551路655路741路885路945路176路243路334路441路555路735路886路946路179路244路320路437路556路746路84A路948路181路244A路324路436路560路745路82路983路182路245路325路449路562路743路834路982路183路250路335路442路563路761路83路924路184路251路336路477路564路763路812路969路188路252路340路483路565路765路839路985路191路253路339路405路567路775路826路902路192路254路342路466路569路783路843路903路193路256路343路475路569支线782路808路986路194路257路345路476路571B路777路801路987路195路260路384路414路574路778路823路984路196路261路380A路481路575路769快线88路990路197路262路346路491路578路780路86路993路199路263路348路407路579路766路811路991路125路264路347路413路581路774路882快线989路131A路265路349路44路573快线747A路825路992路134路270路350路402路525路747B路974路16路273路351路452路58A路772路994路121A路274路352路448路51A路762路995路131B路275路353路431路552路768路996路18路276路305支线434路573路767路997路17短线277路311路406路548路779路90路17路280路380B路482路547路781路966路13路281路389路432路59路784路965路186路283路390路478路572路785路944A路190路285路394路43路583路771路942路180路286路392路415路546路776路941路185路288路393路461路523路764路920A路108路290路396路464路523A路751路920B路107路297路397路430路55路750路971路189路299路388路433路510路729B路977路106路264A路391路408路530路770路979路105路238路330路479路521路78A路988路198A路284路362路453路508路786路901A短线198B路219路363路455路527机电技师学院班车787路998路1路12A路24路365路417路521班车711路140路287路367路469路502沙田班车753路209路312路438路571A路754路206路356路456路523快线755路247路360路457路564A路759路266路357路458路571路757路271路358路42路582路756路298路355路45路544路788路246路364路492路522路752路259路361路474路582班车791路268路369路416路566A路792路288A路368路486路575A路796路293路345A路449路班车527路789路231路333A路461班车502路790路283班车354路495路511石龙班车714路212路370路459路795路260A路371路493路798路275A路371A路494路794路278路372路468路799路309路496路792A路344路419路740路366路488路772A路341路494A路736路343A路408A路702路327A路498路701路352A路497路732路365A路492路71路310路480路716路395路453A路713路361A路492A路758路387路485路773路396A路424路734路303路462路738路373路454路797路374路439路375路435路359路467路471路460A路499路473路423路490路B15路高峰快线2广夜58大学城1线番1花6路南68路增城1路B7路高峰快线8夜5大学城2线番4B花8路南11路增城3路B9路高峰快线16夜10大学城3线番8花16路南16路增城25路B4路高峰快线21夜15大学城4线番13花17路南9路增城38路B4B路高峰快线28夜20大学城环线番19花21路南10路增城22路B8路高峰快线34夜25大学城环线番22花22路南3路增城37路B10路高峰快线39夜30公交地铁接驳专线4番26花23路南6路增城7路B12路高峰快线46夜35公交地铁接驳专线5番51花70路花都炭步-市站线南4路增城8路B16路高峰快线52夜40公交地铁接驳专线8番56花63路南1路增城10路B21路高峰快线57夜45公交地铁接驳专线9番62花7路南2路增城5路B2路高峰快线66夜50公交地铁接驳专线7番69花10路南12路增城9路B3路高峰快线73夜55科学城3号交通专线番75花19路南14路增城26路B6路高峰快线78夜61科学城2号交通专线番79花18路南17路增城75路B20路高峰快线3夜66空港1路番85花16B路南8路增城20路B31路高峰快线9夜71旅游公交1线番111花1路南15路增城24路B18路高峰快线17夜76旅游公交2线番148B(短线)花5路南7路增城11路B4A路高峰快线22夜81旅游公交3线番182花4路南5路增城14路B25路高峰快线29夜86旅游观光1线番188花17路王子山班车南13路增城12路B2A路高峰快线35夜91商务专线1番202花85路南19路增城68路B17路高峰快线40夜96S8航线番2花84路南18路增城58路B30路高峰快线47夜101S6航线番5花62路南50路增城73路B18快线高峰快线53夜106S9航线番9花73路南67路增城15路B23路高峰快线61夜1S7航线番15花5B路南65路增城13路B5路高峰快线68夜6S5航线(新洲-深井)番20花15路南44路增城18路B19路高峰快线74夜11S5航线(鱼珠-新洲)番22B花19B路南41路增城17路B7快线高峰快线79夜16商务专线2番27花68路南43路增城71路B26路高峰快线4夜21狮岭-桂花岗番51B花68路白坭班车南45路增城70路B24路高峰快线10夜26S10航线番57花63路儒林村班车南49路增城16B1路高峰快线18夜31商务专线3番63花83路花80路南52路增城69路B6快线高峰快线24夜36商务专线4番70花89路花71路南51路增城67路B4快线高峰快线30夜41商务专线5番75B花68短线南37路增城72A 路B14路高峰快线36夜46S1航线番80花88路南66路增城72B 路B27路高峰快线43夜51S4航线番91花27路南39路增城2路B5快线高峰快线48夜56商务专线6番145花26路南48路增城36路B22路高峰快线54夜62S13航线番148花23路擎天公司班车南K2路增城从化线B28路高峰快线63夜67S2航线番183花30路南1B路增城51路B29路高峰快线69夜72南站夜1路番189花32路海珠有轨电车南20路增城27路B13路高峰快线75夜77南站夜2路番2B花81路南21路增城66路B1快线高峰快线80夜82南站夜3路番6花83B路南22路增城4路B11路高峰快线6夜87南站夜4路番10花2路南G1路增城6A路高峰快线14夜92番16花2B路南25路增城21路高峰快线19夜97番20B花25B路南G2路增城23路高峰快线25夜102番23B花75路南42路增城28路高峰快线31夜2番28花38路南47路增城29路高峰快线37夜7番52花76路南46路增城34路高峰快线44夜12番58花37路南27路增城35路高峰快线49夜17番66花17B路南28路增城40路高峰快线55夜22番71花39路南29路增城39路高峰快线64夜27番76花93路南30路增城31路高峰快线70夜32番81花9路南31A路增城6B路高峰快线76夜37番96花11路南31B路增城32路高峰快线81夜42番146花24路南32路增城33路高峰快线7夜47番160花25路南34路增城30路高峰快线15夜52番185花29路南35路增城42路高峰快线20夜57番189B花31路南36路增城41路高峰快线27夜63番3花36路南33路增城19路高峰快线32夜68番7花86路南40路增城55路高峰快线38夜73番11花92路南38路增城59路高峰快线45夜78番17花70A路南53路增城60路广高峰快线50夜83番21B花75A路南56路增城61路高峰快线56夜88番23花76A路南57路增城62路高峰快线65夜93番29花31B路南58A路增城63路高峰快线72夜98番53花19快线南59路增城54路高峰快线77夜103番59花76路夜班南58B路增城56路高峰快线82夜3番67南K1路增城57路夜8番72南55路增城50路夜13番77南60路增城49路夜18番82南61增城48路夜23番101南62路增城47路夜28番147南63路增城43路夜33番163南54路增城44路夜38番186南G3路增城45路夜43番190南G4路增城46路夜48番4南W1A路增城74路夜53番7B南W1B路增城52路夜59番12南K4路增城53路夜64番18南W2路增城76路夜69番21南64路增城9快线夜74番25南69路(中980路)增城26A路夜79番30南70路增城11A 路夜84番55南K5路增城广场地铁站-省轻工学院夜89番61南65快线(2020年1月10日开通)夜94番68南68快线(2020年1月10日开通)夜99番73夜104番78夜4番83夜9番110夜14番148B 夜19番181夜24番187夜29番201夜34夜39夜44夜49夜54夜60夜65夜70夜75夜80夜85夜90夜95夜100夜105快线佛K330路路从化2路佛K6路东莞617路从化3路佛K990路东莞618路从化4路佛里07路短线东莞615路从化5路佛250路东莞619路从化6路佛K349路东莞75路从化18路佛里07路支线东莞609路从化1路佛桂12路东莞76路从化10路佛K6快线从化13路佛200路从化12路佛263路从化301路佛236路从化302路佛沥18路从化汽车站-番禺市桥汽车站佛252路从化7路佛山城巴滘口-三水线从化8路佛山城巴滘口-高明线从化3路夜班佛263短线从化801路佛沥12高峰线从化汽车站—广州南汽车客运站佛252短线从化9路佛沥17B 路从化406路佛211路从化405路从化403路从化404路从化11路从化407路从化402路从化805路从化803路从化802路从化804路从化504路从化601路从化502路从化602路从化603路从化604路从化605路从化606路从化607路从化608路从化501路从化503路从化505路从化17路从化21路从化20路从化14路从化19路从化15路从化701路从化401路从化506路从化806路从化汽车站-龙新村委线从化汽车站-银林村委从化公交地铁循环线从化汽车站-横岭八队从化汽车站-楼星村委从化汽车站-光联村线从化19路密石班车从化16路从化702路从化夜1路从化夜2路从化夜3路。
广州公交车路线一览表路线途经站点首班车末班车1路东山总站─中山医科大学─烈士陵园─大东门─农讲所─文德路─北京路口─南关─海珠广场─爱群大厦─六二三路─芳村隧道口─花地湾─芳村合兴苑─茶漖北─汾水─汾水口─芳村客运站─芳村花园小区总站05:40 00:452路锦城花园─锦城花园─东峻广场─羊城晚报社─肿瘤医院─越秀桥─正骨医院─东风中路─中山纪念堂─广医─人民北路─西门口─东升医院─带河路─宝华路─逢源路─泮塘总站05:40 22:0022:253路东山总站─东华东路─东华西路─三角市─文明路─北京路口─大南路─惠福路─惠福西路─东升医院─带河路─长寿西路─宝华路─多宝路─如意坊总站05:40 22:004路白云路总站─东堤─文德南路─海珠广场─长堤─爱群大厦─人民南路─上九东─人民中路─西门口─西华路─彩虹戏院─和平新村─西村总站05:30 22:2221:455路站前路总站─站前路─站南路─友谊剧院─解放北路─盘福路─迎宾馆─解放中路─解放南路─市二宫─基立村─云桂村─晓港新村─五凤村─瑞南新村─晓港湾─海珠客运站06:00 22:306路动物园总站─黄花岗─白云宾馆─广东电视台─小北路─小北花圈─越华路─公园前─惠福路─惠福西路─东升医院─带河路─长寿西路─宝华路─和平西路─市中医院─黄沙总站06:00 01:007路大沙头总站─白云路─越秀南路─万福东─万福路─文德路─公园前─府前路─解放北路口─交易会─省妇幼保健院─王圣堂─瑶台─走马岗总站05:3006:00 21:2522:008路珠江泳场总站─滨江东路─石涌口─滨江路─草芳围─海珠桥脚─海珠广场─惠福路─海珠中路─大新西─上九东─龙津东路─带河路─华贵路─荔湾路口─石路基─中山八路总站05:40 01:009路石溪总站─保利花园─纸厂路─珠江医院─沙园─凤凰新村─梅园西─革新路口─洪德路─六二三路─市中医院─黄沙后道─黄沙大道─如意坊─西郊车站─中山八路总站05:4005:50 22:0022:4010路昌岗路总站─橡胶新村─昌岗西路─沙·园─凤凰新村─梅园西─革新路口─洪德路─同福西路─市红会医院─市二宫─江南大道北─海珠广场─大南路─文德路─仓边路─小北花圈─小北路─华乐大厦─淘金北路─恒福路总站05:4006:00 22:30路线途经站点首班车末班车11路珠江泳场总站─滨江东路─石涌口─江湾桥脚─东川路─白云路─越秀南路─越秀中路─东风大酒店─先烈南路─黄花岗─动物园─沙河顶─沙河大街─沙和路─天平架总站05:3005:50 22:0012路罗冲围总站─罗冲围客运站─富力半岛花园─和平新村─东风西路─市少年宫─广医─吉祥路─公园前─文德路─文明路─省博物馆─越秀南路─白云路─大沙头码头─大沙头─沿江东路─二沙岛西总站05:30 22:0022:3513路文德路总站─万福西─海珠广场─江南大道北─江南大道中─南·村─华海大厦─礼·岗─江燕花园─燕子岗─保利红棉花园─保利花园─石·溪─泰沙路口─金碧花园─嘉鸿花园─南洲名苑─海珠客运站05:40 22:2021:4014路广卫路总站─解放中路─解放南路─海珠广场─江南大道北─基立村─云桂村─怡乐村─荣校─中山大学─康乐村─客村─珠影厂─赤岗东─赤岗总站05:30 22:3021:5015路西华路尾总站─彩虹桥─荔湾路─华贵路─宝华路─黄沙后道─芳村─花地湾─茶漖北─汾水─汾水小区总站05:30 22:0016路动物园总站─黄花岗─犀牛路口─东山口─中山医科大学─东川路─白云路─越秀南路─万福东─万福西─海珠广场─南华中路─堑口─海幢公园─大基头─洪德路─革新路─凤凰岗总站06:00 22:0017路中山八路总站─南岸路─西场立交─富力环市西苑─西湾路─黑山─铸管厂─广排─鹅掌坦─同德乡─上步村口─横滘─棠溪─聚龙村─槎头─看守所─谭村─凰岗总站05:3006:05 21:0021:3018路华景新城总站─华景新村─师大暨大─岗顶─石牌桥─天河体育中心─锦城花园─东峻广场─羊城晚报社─农林下路─东山口─中山医科大学─东川路─白云路─大沙头码头─大沙头─沿江东路─二沙岛西总站06:0006:15 21:2522:0519路中山八路总站─珠江大桥─珠江大桥中─广佛路口─芳村大道西─桥东小区─山村─花地─芳村─下芳村─大冲口─鹤洞新村─广中码头─永红会场─白鹤洞总站05:20 06:00 21:0021:4020路赤岗总站─军医学校─台涌─石榴岗─加工场─赤沙村─北山村─仑头西─仑头总站06:0006:25 20:4521:00路线途经站点首班车末班车21路解放北─越秀公园─桂花岗─三元里─北站─沙涌─棠下─广花三路─棠溪─广花四路─新市─新市圩─修理三厂─黄石路口─马务─兵房─冶金技校─夏茅─大塱─外语外贸大学─平沙村口─平沙村总站05:4506:00 21:0021:3022路广卫路总站─公园前─仓边路─大东门─烈士陵园─中山医科大学─东山口─农林东─梅花村─杨箕村─天河─天河邮局─体育东─石牌桥─岗顶─师大后门─华工大总站05:40 22:3022:0023路锦城花园─锦城花园─天河─冼村─石牌村─国防大厦─华侨医院─员村山顶─员村─程介村─化工厂─珠江纸厂─车陂─东圃镇─世界大观路口─羊城花园─株村─珠吉路口─株村小学─珠吉公路─吉山幼儿园─吉山村总站05:4020:3024路珠光路总站─文德路─公园前─公园前─府前路─越秀公园─中医学院─交电新村─广园新村─广园中路─景泰坑─白云山管理局─白云索道总站06:00 21:4522:1025路泮塘总站─多宝路─恩宁路─和平西路─市中医院─六二三路─同福西路─市红会医院─市二宫─江南大道中─南村─华海大厦─广医二院─怡乐村─荣校─中山大学总站05:40 01:0026路珠江泳场总站─滨江东─石涌口─草芳围─海珠桥脚─江南大道北─市二宫─市红会医院─同福西─梅园西─沙园─凤凰新村─珠江医院─纸厂路─纸厂─南石头总站27路广卫路总站─中山纪念堂─正骨医院─东风大酒店─执信路─羊城晚报社─东峻广场─锦城花园─天河立交─水荫横路口─水荫路─十九路军陵园─沙河顶─沙河大街─军体院─干休所─瘦狗岭─九州文化家园─竹丝岗─东莞庄总站06:0006:15 22:0028路天平架总站─燕塘企业─武警医院─银河园─天河客运站─上元岗─射击场─东升厂─科学院─三保墟─华南植物园─世纪绿洲─龙·洞─龙洞总站06:0006:22 21:1521:3529路站南路总站─广州军区总医院─流花公园─广医─迎宾馆─解放中路─解放南路─江南大道北─江南大道中─南村─江南西路─宝岗大道总站06:0005:30 22:0030路锦城花园─梅花村─农林东─农林下路─执信中学─区庄─白云宾馆─广东电视台─小北路─电视塔─越秀公园北门─市客运站总站05:40 22:00路线途经站点首班车末班车31路凤凰岗总站─金沙路─梅园西─革新路口─洪德路─沿江西路─人民南路─大新路口─上九东─东升医院─西门口─人民北路─流花公园─交易会─广州火车站总站05:30 06:05 21:5022:3032路天平架总站─同和路─伍仙桥─鸡颈坑─梅花园─一五七医院─南方医院─东坑─同和─白云山制药厂─省旅游学校─大河马乐园─颐和山庄─永泰新村─永泰路口─白云畜牧公司─永泰新村─永泰客运站─集贤苑教师新村总站06:0006:22 21:3022:0033路师大暨大总站─岗顶─石牌桥─天河体育中心─天河立交─动物园南门─广东工大─先烈南路─东风大酒店─越秀桥─越秀北路─应元路─三元宫─解放北路口─交易会─广州火车站总站05:3006:00 21:3022:1034路窖口客运站总站─珠江大桥中─珠江桥脚─南岸路─西场立交─富力环市西苑─克山─市客运站─广州火车站总站05:45 22:0035路文德路总站─文明路─省博物馆─越秀南路─白云路─东湖新村─海印桥南─九十七中学─瑞宝乡─瑞南新村─瑞南市场─晓港湾─南洲名苑─西滘村─三滘村─沥滘─耐火材料厂─少教所─轮修厂─大沙村─救捞局─瀛洲路口─瀛洲路─瀛洲生态公园总站05:4019:0036路黄石路总站─黄石路─祥景花园─江夏─安华装饰城─外语学院─白云山西门─东方乐园─广州体育馆─盈翠华庭─柯子岭─市交控中心─下塘西路─童心南─小北花圈─仓边路─文德路─万福路─万福东─越秀南路─白云路─大沙头─石涌口─滨江东路─珠江泳场总站06:0006:15 20:4522:0037路赤沙─石榴岗─台涌─军医学校─赤岗─赤岗东─珠影厂─客村立交─五羊新村─南方日报社─杨箕村─梅花村─农林东─东山口总站05:4506:15 21:3022:0038路景泰新村总站─广园新村─交电新村─中医学院─桂花岗─流花公园─人民北路─西门口─人民中路─上九东─大新路口─人民南路─文化公园─黄沙总站05:4506:15 21:4522:3039路天河公交场总站─体育中心东门─天寿路─干休所─燕塘企业─武警医院─银河园─天河客运站─上元岗─射击场─东升厂─科学院─三保墟─华南植物园─世纪绿洲─龙洞路口─迎龙路─龙眼洞森林公园─龙洞北─广东外贸学校─广东医药学校─龙洞06:20 22:0040路五羊新城总站─珠江宾馆─长城大厦─达道路─东山口─中山医科大学─烈士陵园─越秀中路─万福东─万福路─万福西─海珠广场─广医一院06:0006:30 22:00路线途经站点首班车末班车41路五山花园总站─五山镇─长岗山─华南农业大学─畜牧研究所─学生公寓总站06:10 06:00 22:0041A 广州火车东站总站─林和西路─天河北路─天寿路─广工五山校区─农科院─省科技学院─华南干线路口─棠德小区北─家家乐医院─车陂路口─东圃镇─羊城花园─珠村─黄村─环场路─奥林匹克体育中心总站06:3006:00 22:0021:3042路西华路尾总站─东风西路─市少年宫─市总工会─东风中路─越秀桥─东风大酒店─执信路─羊城晚报社─东峻广场─锦城花园─天河─人民日报华南分社─天河邮局─天河公交场总站06:0005:30 22:4021:2043路黄埔港总站─中码头─蟹山─木材厂─石溪村─广大公司─东圃─车陂─珠江纸厂─化工厂─员村四横路─程介村─员村─员村山顶─华侨医院─国防大厦─石牌村─天河南─天河路口─天河东路─天河北路─林和中路─广州火车东站总站06:5006:00 22:1021:2044路白鹤洞总站─永红会场─橡胶新村─信和广场─海珠购物中心─南村─江南大道中─基立村─云桂村─海印桥南─东湖路─东山口─农林东─达道路─珠江宾馆─五羊新城总站05:3022:2045路中山大学总站─荣校─怡乐村─海印桥南─大沙头─星之光电器城─东川路─中山医科大学─东山口─农林东─梅花村─杨箕村─天河体育中心─天河路口─天河东路─天河北路─林和中路─广州火车东站总站06:0006:40 21:0021:5046路罗冲围总站─罗冲围客运站─富力半岛花园─西场电器城─富力环市西苑─克山─省妇幼保健院─王圣堂─瑶台─广园新村─广园购物中心─景泰坑─白云山管理局─白云索道─金贵村─濂泉路口─沙和路─天平架总站05:3006:20 20:3021:2050路越秀中路总站─东风大酒店─执信路─东峻广场─锦城花园─天河体育中心─石牌桥─师大暨大─邮电学校─上社─学院─棠下─棠东─车陂路口─东圃镇─世界大观路口─羊城花园─株村─莲溪─塘口─茅岗─蟹山─中码头─黄埔港总站05:3006:00 21:3022:30路线途经站点首班车末班车51路天平架总站─沙和路─军体院─白云区医院─广州体院─广州大道中─南方日报社─五羊新村─客村立交─墩和─园艺场─上冲─上冲南─洛溪桥─广轩大厦05:4006:50 21:1521:3052路广州火车站总站─站前路─西站─西华路尾─彩虹桥─荔湾路口─中山八路─珠江大桥─珠江大桥中─芳村大道西─桥东小区─山村─花地─芳村─下芳村─大冲口─鹤洞新村─广中码头─广州造船厂─东塱─芳村东朗06:00 22:0053路宝岗大道总站─江南新村─江南西路─华海大厦─广医二院─怡乐村─荣校─中山大学─康乐村─客村立交─五羊新村─南方日报社─天河─冼村─石牌村─国防大厦─华侨医院─员村山顶─员村二横路─员村生活区06:0005:50 22:3022:0054路挹翠路总站─越秀南路─越秀中路─东风大酒店─执信路─羊城晚报社─东峻广场─锦城花园─天河─天河邮局─体育东─体育中心东门─天河北路─天寿路─春晖苑─农垦总局─粤垦瑞心苑─金燕生活区─燕岭大厦─燕塘企业─武警医院─银河园─天河客运站─天鹅花苑─长湴市场─伟伦学校─长湴村06:30 21:3055路横沙─金沙洲路─金沙洲大桥西─罗冲围客运站─富力半岛花园─和平新村─彩虹桥─荔湾路─泮塘─多宝路─省水利厅─黄沙大道─芳村隧道口─花地─山村─石围塘─桥东小区─桥东小区总站05:4006:20 21:0021:4056路光塔路总站─朝天路─迎宾馆─市总工会─中山纪念堂─越秀桥─东风大酒店─执信路─羊城晚报社─东峻广场─锦城花园─广州大道中─广州体院─白云区医院─军体院─沙和路─天平架总站06:3006:00 22:0021:2057路二沙东总站─星海音乐厅─二沙西─大沙头─大沙头码头─东堤─海珠广场─长堤─爱群大厦─文化公园─六二三路─市中医院─芳村隧道口─花地─山村─石围塘─桥东小区─窖口客运站总站05:40 22:0058路广医一院─长堤─天成路─诗书路─光塔路─朝天路─迎宾馆─越秀公园─中医学院─边检站─景安街─远景路─棠溪─广花四路─新市─修理三厂─黄石路口─联和─鹤南─冶金技校─夏茅客运站总站06:3005:50 22:0021:1559路白云路总站─东川路─东华南─东华西路─三角市─文明路─北京路口─南关─海珠广场─南华中路─堑口─海幢公园─大基头─洪德路─革新路口─梅园西─凤凰新村─沙园─珠江医院─纸厂路─保利花园─石溪─石溪总站06:10 22:0060路机场路总站─广园新村─广园购物中心─广园中路─景泰坑─白云山管理局─白云索道─金贵村─西坑─永福路─动物园─沙河顶─沙河大街─军体院─省军区─干休所─广工五山校区─农科院─省科技学院─华南干线路口─棠德小区北─车陂高架桥侧─黄村立交─奥林匹克体育中心总站06:0006:30 21:3022:00路线途经站点首班车末班车61路海印桥总站─大沙头─大沙头码头─白云路─越秀南路─万福东─万福路─万福西─海珠广场─长堤─爱群大厦─人民南路─大新路口─东升医院─带河路─长寿西路─多宝路─市三宫─华贵路口─荔湾路口─石路基─中山八路─珠江大桥中─窖口客运站总站06:0006:10 23:0062路广州火车东站总站─林和西路─体育中心东门─体育东─天河邮局─人民日报华南分社─锦城花园─东峻广场─羊城晚报社─执信路─东风大酒店─东风中路─中山纪念堂─广医─东风西路─西村总站06:0006:30 20:4521:3063路白云索道总站─麓湖─横枝岗─省银行医院─铁路疗养院─恒福路─永福路─黄花岗─犀牛路口─农林下路─农林东─梅花村─杨箕村─天河─冼村─石牌村─红线女中心─马场路中─马场路南─临江大道东─珠江新城06:0006:30 20:3021:0064路广卫路总站─解放中路─解放南路─长堤─爱群大厦─六二三路─市中医院─芳村─下芳村─大冲口─鹤洞新村─广中码头─广州造船厂─东沙开发区总站06:1006:00 23:0065路天河客运站总站─银河园─武警医院─燕塘企业─瘦狗岭─军体院─沙河大街─沙河顶─动物园─黄花岗─先烈南路─东风大酒店─越秀桥─省博物馆─东川路─江湾桥脚─江湾桥南─江南大道口─广东药学院─海珠区妇幼─江南新村─西基东─宝岗大道南─橡胶新村─永红会场─白鹤洞─广中路口─坑口─芳村客运站─汾水口─汾水─茶漖北─大策─联桂北─山村─芳村茶叶市场总站06:30 21:0066路云山锦绣家园总站─广州体育馆─盈翠华庭─柯子岭─市交控中心─下塘西路─童心南─小北花圈─仓边路─文德路─北京路口─大南路─惠福路─惠福西路─龙津东路─带河路─华贵路─泮塘─多宝路─恩宁路─市中医院─黄沙总站06:00 22:3069路大塘总站─大塘口─卷烟一厂─赤岗路─赤岗东─珠影厂─客村─康乐村─中山大学─怡乐村─广医二院─信和广场─橡胶新村─永红会场─白鹤洞─广中路口─坑口─芳村客运站─翠竹苑─花地大道─花地湾─花地─联桂北─大策─茶漖北─汾水─汾水小区总站05:5006:00 22:3070路沥滘总站─耐火材料厂─沥滘─三滘村─西滘村─南洲路口─晓港湾─瑞南新村─五凤村─东晓南─晓港新村─广医二院─信和广场─橡胶新村─永红会场─白鹤洞─广中路口─坑口─芳村客运站─汾水口─康乃馨花园─坑口地铁站─东漖镇─芳村花园小区总站06:1505:50 22:3022:00路线途经站点首班车末班车71路西村总站─西场立交─南岸路─西郊车站─如意坊─黄沙大道─芳村隧道口─花地湾─花地大道─翠竹苑─芳村客运站─坑口─芳村西朗总站05:4506:15 22:0022:3072路动物园总站─西坑─濂泉路口─沙和路─天平架─侨乐新村─南华工商学院─天虹宾馆─白云配件公司─三九脑科医院─第一军医大学─天健广场06:0006:35 21:0021:4574路动物园总站─黄花岗─先烈南路─东风大酒店─越秀桥─正骨医院─东风中路─中山纪念堂─盘福路─迎宾馆─西门口─华贵路─泮塘─多宝路─黄沙大道─芳村隧道口─花地─联桂北─大策─茶漖北─汾水─汾水口─芳村花园小区总站06:2006:15 22:0075路侨城花园总站─金碧花园─泰沙路口─保利花园─纸厂路─珠江医院─沙·园─凤凰新村─梅园西─革新路口─洪德路─六二三路─市中医院─芳村隧道口─花地湾─大策─联桂北─山村─桥东小区─桥东小区总站05:5006:00 21:4022:0076路大学城─童心南─市交控中心─童心北─大金钟路─柯子岭牌坊─盈翠华庭─广州体育馆─东方乐园─外语学院─黄石东路口─陈田村─元下田─永泰路口─白云畜牧公司─永泰新村─永泰广场─红路─黄草埔─省警校─马市岭─省武警学校─东平总站76A 农讲所─童心南─市交控中心─柯子岭─盈翠华庭─广州体育馆─东方乐园─外语学院─黄石东路口─陈田村─元下田─永泰路口─白云畜牧公司─永泰新村─永泰广场─红路─东平派出所─东平村口─五金厂─商业广场─龙归路口─龙归永兴村总站06:45 06:00 21:4521:0078路岑村教练场总站─教练场口─岑村─长湴市场─天鹅花苑─天河客运站─银河园─武警医院─燕塘企业─燕岭大厦─金燕生活区─粤垦瑞心苑─农垦总局─春晖苑─天寿路─天河东路─天河路口─天河体育中心─天河立交─水荫横路口─水荫路─十九路军陵园─动物园─东山广场总站06:30 20:0022:0079路洛溪新城总站─西滘村─南洲名苑─嘉鸿花园─金碧花园─泰沙路口─石溪─保利花园─纸厂路─珠江医院─沙园─凤凰新村─梅园西─革新路口─洪德路─文化公园总站06:0006:30 21:3022:0080路金德苑─同德乡─鹅掌坦─广排─铸管厂─黑山─西湾路─富力环市西苑─和平新村─东风西路─市少年宫─广医─中山纪念堂─东风中路─德政北路─越秀南路─白云路─大沙头码头─大沙头─海印桥南─晓港新村─五凤村─瑞南新村─晓港湾─海珠客运站06:0006:30 22:00路线途经站点首班车末班车81路半岛花园总站─北村─嘉洲花园─福盛花园─镇政府─敬修堂药厂─宏威路─明珠广场─黄岐市场─南海大厦─广佛路口─桥东小区─山村─联桂北─大策─花地湾─芳村隧道口─黄沙码头─六二三路─文化公园总站06:0006:30 21:3022:0082路中山八路总站─西郊车站─如意坊─市二医院─恩宁路─和平西路─和平东路─一德西─一德中─一德东─海珠广场─江南大道北─江南大道中─南村─华海大厦─广医二院─晓港新村─九十七中学─江泰路─五凤乡总站06:10 23:0083路珠江广场总站─大江苑─客村立交─五羊新村─南方日报社─杨箕村─梅花村─农林东─农林下路─执信路─越秀桥─正骨医院─东风中路─中山纪念堂─广医─流花公园─交易会─省妇幼保健院─王圣堂─瑶台─沙涌南总站06:00 22:0084路动物园总站─沙河顶─沙河大街─军体院─省军区─燕塘企业─武警医院─银河园─天河客运站─上元岗─射击场─科学院─三保墟─华南植物园─龙洞总站06:15 21:30 22:0084A 动物园总站─沙河顶─沙河大街─军体院─省军区─燕塘企业─武警医院─银河园─天河客运站─上元岗─射击场─科学院─三保墟─华南植物园─龙洞─树木公园─龙洞林场─打石坳─华美英语学校─凤凰联合公司─楼阁村─筲箕窝─渔沙坦06:40 18:5019:1084辅动物园总站─沙河顶─沙河大街─军体院─省军区─燕塘企业─武警医院─银河园─天河客运站─上元岗─射击场─科学院─三保墟─华南植物园─龙洞─树木公园─龙洞林场─打石坳─榄元村─柯木朗─龙发厂─省电校─高塘工业区─高塘石总站06:15 06:30 20:2021:2085路中山八路总站─石路基─荔湾路口─陈家祠─中山七路─西门口─中山六路─迎宾馆─市总工会─中山纪念堂─正骨医院─东风大酒店─执信路─羊城晚报社─东峻广场─锦城花园─天河立交─水荫横路口─水荫路─十九路军陵园─沙河顶─沙河大街─沙和路─天平架总站06:00 22:0086路一德西总站─一德中─一德东─江南大道北─江南大道中─南村─华海大厦─礼岗─江燕花园─燕子岗─保利花园─石溪─金碧花园─嘉鸿花园─南洲名苑─西滘村─三滘村─沥滘─耐火材料厂─少教所─轮修厂─大沙村─救捞局─瀛洲路口─瀛洲路─瀛洲生态公园总站06:00 22:0021:3087路机场路总站─中医学院─桂花岗─越秀公园─迎宾馆─解放中路─解放南路─江南大道北─江南大道中─南村─华海大厦─礼岗─江燕花园─燕子岗─保利花园─石溪─泰沙路口─金碧花园─嘉鸿花园─南洲名苑─西滘村─洛溪桥脚─上冲南─南洲花园总站06:00 23:0088路南天商业城总站─南天商业城路口─洛溪桥脚─上冲南─上冲─园艺场─墩和─客村─康乐村─中山大学─怡乐村─云桂村─基立村─江南大道北─海珠广场─解放南路─解放中路─中山六路─西门口─中山七路─陈家祠─荔湾路─彩虹桥─东风西路─和平新村─西场总站06:00 22:3089路大沙头总站─沿江东路─二沙西─星海音乐厅─二沙东─五羊新村─南方日报社─天河体育中心─天河路口─天河东路─天寿路─春晖苑─农垦总局─粤垦瑞心苑─金燕生活区─燕岭大厦─燕塘企业─武警医院─银河园─上元岗─天河客运站总站06:30 22:00路线途经站点首班车末班车101路海印桥总站─星之光电器城─白云路─越秀南路─省博物馆─文明路─大南路─解放中路─迎宾馆─越秀公园─桂花岗─矿泉─机场路总站06:00 22:3022:00102路东山总站─中山医科大学─烈士陵园─大东门─农讲所─财政厅─公园前─中山六路─西门口─东升医院─大新路口─人民南路─文化公园总站06:00 22:30103路机场路总站─中医学院─桂花岗─越秀公园─流花公园─市少年宫─人民北路─西门口─东升医院─大新路─人民南路─文化公园总站06:00 22:30104路海印桥总站─星之光电器城─白云路─越秀南路─省博物馆─文明路─大南路─起义路─中山六路─西门口─中山七路─陈家祠─荔湾路口─石路基─中山八路总站05:45 22:30105路机场路总站─中医学院─桂花岗─越秀公园─流花公园─东风西路─彩虹桥─荔湾路─石路基─中山八路─西郊车站─如意坊─黄沙大道─黄沙码头─六二三路─文化公园总站06:0006:10 22:3021:30106路锦城花园─梅花村─农林东─东山口─中山医科大学─东川路─白云路─越秀南路─省博物馆─文明路─大南路─米市路─惠福西路─大新路─人民南路─文化公园总站06:00 22:30107路东山总站─中山医科大学─烈士陵园─大东门─农讲所─财政厅─公园前─中山六路─西门口─中山七路─陈家祠─荔湾路口─石路基─中山八路总站06:00 00:00108路东山总站─中山医科大学─烈士陵园─大东门─农讲所─财政厅─公园前─迎宾馆─越秀公园─桂花岗─三元里─北站─沙涌─棠下─广花三路─棠溪─广花四路─新市─新市圩─修理三厂─黄石路总站06:00 23:0022:30109路中山八路总站─石路基─荔湾路口─陈家祠─中山七路─西门口─人民北路─广医─越秀公园─电视塔─小北路─广视宾馆─横枝岗─省第二中医院─省银行医院─铁路疗养院─恒福路─西坑─濂泉路口─沙河总站06:30 22:00110路解放南路总站─解放中路─迎宾馆─越秀公园─电视塔─小北路─广视宾馆─横枝岗─省第二中医院─省银行医院─铁路疗养院─恒福路─西坑─濂泉路口─沙河总站06:30 22:00路线途经站点首班车末班车111路黄石路总站─修理三厂─三元里大道口─新市─广花四路─棠溪─广花三路─棠下─沙涌─北站─瑶台─王圣堂─省妇幼保健院─草暖公园─电视塔─小北路─广视宾馆─横枝岗─省第二中医院─省银行疗养院─铁路疗养院─恒福路─西坑─濂泉路口─沙河总站06:00 22:00。
一,绿色植物、大树、资材类批发市场信息一、广州南方花卉交易中心市场(大型、批发)地址:广州市花都区三东大道西行车路线:广州火车站——花卉交易中心(花卉市场站)1,从广州火车站走约440米到市客运站总站(站内)乘坐市客运站-花都汽车站线(无站牌,扬手才停,下车先通知)(坐9站)到客运站(花都公交站)下,过马路往左走到金城广场站(花都)转乘花都63路(花都客运站-芙蓉度假村)(坐17站)到花卉市场站(花都)下2,从广州火车站走约440米到市客运站总站(站内)乘坐市客运站-花都汽车站线(无站牌,扬手才停,下车先通知)(坐9站)到客运站(花都公交站)下,走到建设路(花都)的金城大厦站(花都)转乘花都86路(花都客运站-金碧御水)(坐18站)到花卉市场站(花都)下一,广州花卉博览园(巨型、批发、工程)地址:广州市荔湾区龙溪大道简单介绍:广州花卉博览园是一个巨型的花卉交易中心,里面拥有大型园艺工程公司超过50家以上,包含兰花、盆栽、大树、中型绿色植物等品种,一级拥有数千家各种类型的植物批发商(档口),另外还有少量园艺资材批发。
需要在广州分包园林工程的,必须要来这里找!行车路线:中山八路——花卉博览园(迎宾路口站)1,从中山八路走到中山八路总站乘坐207路(坐19站)到迎宾路口站下三,广州花卉科技园(巨型、批发)地址:广州市荔湾区龙溪大道简单介绍:情况基本和花卉博览园差不多,多了一些奇石批发等。
另外还有地铁站经过,交通发达。
行车路线:广州火车站——花卉科技园1,从广州火车站走约10米到地铁广州火车站A出入口乘坐地铁二号线(坐3站)到地铁公园前站转乘地铁一号线(坐8站)到地铁西朗站转乘地铁广佛线(坐2站)到地铁龙溪站A出入口下。
往后走约630米到广州花卉科技园2,直接从花卉博览园走路到花卉科技园或者乘坐小巴412路过去(大约2000m)(园区介绍:整个花卉博览园和科技园连在一起,形成了一个巨大的花卉交易中心,里面的档口保守有2000家以上)四、波园路花卉种植基地(巨型、批发)简单介绍:在百度及谷歌搜索引擎上几乎搜索不到这一带种植基地的信息,因为这一带根本就没有官方名称!至于为什么我叫他做波园路花卉种植基地,是因为这一代的花卉种植和交易档口,是以波园路位中心,向四周的南丫寸、赤岗村、海中村、海南村等辐射,包括海南村陶瓷批发市场(特大型陶瓷批发市场)在内,形成了一个不下于花卉博览园和科技园的巨大园区,内含花卉交易、园艺资材交易、小型树苗交易、陶瓷花盆、塑料花盆交易,全部都是大型批中心。
123455路B6路公交花都客运站6:30--21:30 花都广场东6:30--21:30全程两元788路B线公交东镜总站--平西村(发车时间:6:30 14:00 18:00)全程两元910路公交怡雅花园6:30--21:30 雅宝新城6:30--21:30全程两元上行: 怡雅花园总站 -- 城东停车场 -- 培新中学 -- 红珠路 -- 横潭牌坊 --横潭路口 -- 秀全公园 -- 三幼 -- 新世纪广场 -- 金城广场 -- 花都客运站 -- 广州火车北站 -- 站前路 -- 信华商场 -- 海关 -- 三华村 -- 瑞华商场 -- 松园里 -- 幸福花园 -- 邝维煜中学 -- 建材市场 -- 大华市场 -- 公安办证大厅 -- 车辆厂技校 -- 杨屋路口 -- 杨屋村 -- 永发大道西 -- 花卉市场 -- 花卉市场西门 -- 雅宝新城 -- 乐同村 -- 华南理工大学广州汽车学院总站下行: 华南理工大学广州汽车学院总站 -- 乐同村 -- 雅宝新城 -- 花卉市场西门 -- 花卉市场 -- 永发大道西 -- 杨屋村 -- 杨屋路口 -- 车辆厂技校 -- 公安办证大厅 -- 大华市场 -- 建材市场 -- 邝维煜中学 -- 幸福花园 -- 松园里 -- 瑞华商场 -- 三华村 -- 海关 -- 信华商场 -- 站前路 -- 广州火车北站 -- 花都10路111314路公交赤坭6:30--19:00 狮岭6:30--19:00全程两元15路公交赤坭7:30--17:00 西莲塘7:30--17:00全程两元16路公交松园里6:30--21:30 推广汽车站6:30--21:30全程四元16路B线公交松园里--阳升(发车时间:6:30 7:00 12:00 17:00)全程四元17路公交广州火车北站6:30--20:30 花城6:30--20:30全程四元18路公交大陵新村6:30--21:30 人民公园西6:30--21:30全程两元1920212223路公交花都7:00--20:30 狮岭7:00--20:30全程三元。