数字信号处理课后答案第6章
- 格式:ppt
- 大小:1.23 MB
- 文档页数:95
第六章练习题答案%%%%%%%%%%%%%%%%%%%%%%%%%%%%%%%%%%%%%%%%%%%%% 设计一个满足下列指标要求的模拟低通巴特沃斯滤波器,并求出其系统函数的极点。
通带截止频率 2.1p f kHZ =,阻带截止频率8s f kHZ =,通带最大衰减0.5p dB α=,阻带最小衰减30s dB α=。
解:巴特沃斯模拟低通滤波器的设计步骤为:(1)根据模拟滤波器的设计指标p α,p Ω和s α,s Ω,由(6.3.16)式确定滤波器的阶数N 。
(2)由(6.3.17)式确定滤波器的3dB 截止频率c Ω。
(3)按照(6.3.13)式,求出N 个极点(1,2,,)k p k N =L ,将极点k p 代入式得滤波器的系统函数()a H s 。
****************2p p f πΩ= 2s s f πΩ= 取4N =3dB 截止频率: 去归一化()()a n csH s H =Ω %%%%%%%%%%%%%%%%%%%%%%%%%%%%%%%%%%%%%%%%%%%%%%% 利用二阶模拟低通巴特沃斯滤波器,设计一个中心频率为020/rad s Ω=,通带3dB 带宽为4/B rad s =的模拟带通滤波器。
解: 根据滤波器的阶数N ,直接查表 6.3.1,得到归一化(1c Ω=)的极点(1,2,,)k p k N =L 和归一化的系统函数然后利用式,得到3dB 截止频率为c Ω的巴特沃斯模拟低通滤波器的系统函数()a H s 。
()()a n c H s H s =Ω (6.3.9)*********************%%%%%%%%%%%%%%%%%%%%%%%%%%%%%%%%%%%%%%%%%%%%%%% 设模拟滤波器的系统函数为:用脉冲响应不变法将()a H s 转换成数字滤波器的系统函数()H z ,并确定数字滤波器在ωπ=处的频谱混叠失真幅度与采样间隔T 的关系。
数字信号处理知到章节测试答案智慧树2023年最新西安工程大学绪论单元测试1.请判断下面说法是否正确:为了有效地传播和利用信息,常常需要将信息转换成信号,因此信号是信息的载体,通过信号传递信息。
()参考答案:对2.请判断下面说法是否正确:模拟信号预处理的主要作用是滤除输入模拟信号中的无用频率成分和噪声,避免采样后发生频谱混叠失真。
()参考答案:对3.下列关于信号分类方式的选项正确的是()。
参考答案:按信号幅度的统计特性分类;按信号的维数分类;按信号自变量与参量的连续性分类4.下列不属于数字信号处理软件处理方法特点的选项是()。
参考答案:处理速度快5.下列关于数字系统处理精度描述正确的选项是()。
参考答案:精度由系统字长与算法决定第一章测试1.请判断下面说法是否正确:时域离散信号通过量化编码转换为数字信号,是一种无损变换。
( )参考答案:错2.下列信号是周期信号的有()。
参考答案:;;3.信号的最小周期是()。
参考答案:24.请判断下面说法是否正确:线性时不变时域离散系统具有线性性质和时不变特性。
()参考答案:对5.以下序列是系统的单位脉冲响应h(n),则是稳定系统的有()。
参考答案:;第二章测试1.请判断下面说法是否正确:时域离散信号和系统分析可以通过傅里叶变换和Z变换两种数学工具()。
参考答案:对2.请判断下面说法是否正确:周期序列的傅里叶变换以为周期,而且一个周期内只有N个冲激函数表示的谱线()。
参考答案:错3.实序列的傅里叶变换具有()。
参考答案:共轭对称性质4.已知序列,其Z变换和收敛域为()。
参考答案:;5.序列,其傅里叶变换为()。
参考答案:第三章测试1.在变换区间0≤n≤N-1内,序列的N点DFT在k=0的值为()。
参考答案:N2.在变换区间0≤n≤N-1内,序列的N点DFT的值为()参考答案:13.已知,求=()参考答案:1/N4.已知,求=()参考答案:5.已知,求=()参考答案:第四章测试1.请判断下面说法是否正确:模拟信号数字处理中,模拟信号与数字信号之间的相互转换中要求不能丢失有用信息()。
数字信号处理(Digital Signal Processing)智慧树知到课后章节答案2023年下聊城大学聊城大学绪论单元测试1.声音、图像信号都是()。
A:二维信号 B:一维信号 C:确定信号 D:随机信号答案:随机信号第一章测试1.序列的周期为()。
A:7 B:7 C:14 D:14答案:142.序列的周期为()。
A:10 B:10 C:8 D:8答案:103.对于一个系统而言,如果对于任意时刻n0,系统在该时刻的响应仅取决于此时刻及此时刻以前时刻的输入系统,则称该系统为____系统。
()A:线性 B:因果 C:稳定 D:非线性答案:因果4.线性移不变系统是因果系统的充分必要条件是______。
()A:n<0,h(n)=0 B:n>0,h(n)=0 C:n>0,h(n)>0 D:n<0,h(n)>0答案:n<0,h(n)=05.要想抽样后能够不失真的还原出原信号,则抽样频率必须,这就是奈奎斯特抽样定理。
()A:等于2倍fm B:小于等于2倍fm C:大于2倍fm D:大于等于2倍fm答案:大于等于2倍fm6.已知x(n)=δ(n),其N点的DFT[x(n)]=X(k),则X(N-1)= 1。
()A:对 B:错答案:对7.相同的Z变换表达式一定对应相同的时间序列。
()A:对 B:错答案:错8.滤波器设计本质上是用一个关于z的有理函数在单位圆上的特性来逼近所有要求的系统频率特性。
()A:错 B:对答案:对9.下面描述中最适合离散傅立叶变换DFT的是()A:时域为离散周期序列,频域也为离散周期序列 B:时域为离散有限长序列,频域也为离散有限长序列 C:时域为离散序列,频域也为离散序列 D:时域为离散无限长序列,频域为连续周期信号答案:时域为离散有限长序列,频域也为离散有限长序列10.巴特沃思滤波器的幅度特性必在一个频带中(通带或阻带)具有等波纹特性。
()A:错 B:对答案:错第二章测试1.N=1024点的DFT,需要复数相乘次数约()。
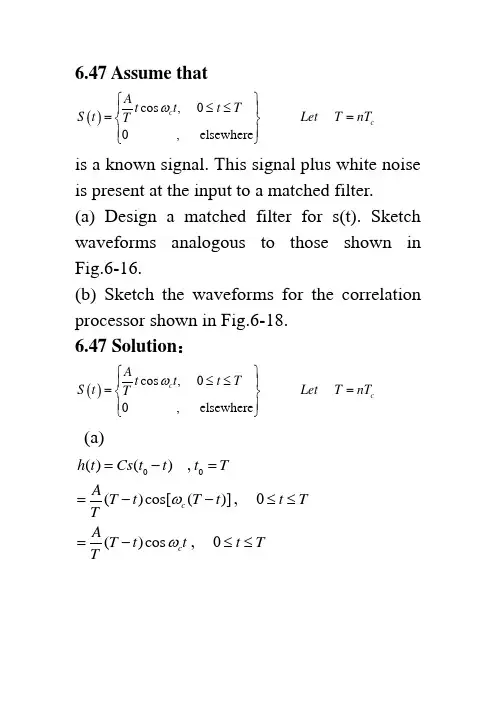
6.47 Assume that()cos , 00 , elsewhere cc A t t t T S t LetT nT T ω⎧⎫≤≤⎪⎪==⎨⎬⎪⎪⎩⎭is a known signal. This signal plus white noise is present at the input to a matched filter.(a) Design a matched filter for s(t). Sketch waveforms analogous to those shown in Fig.6-16.(b) Sketch the waveforms for the correlation processor shown in Fig.6-18. 6.47 Solution :()cos , 00 , elsewhere cc A t t t T S t LetT nT T ω⎧⎫≤≤⎪⎪==⎨⎬⎪⎪⎩⎭(a)00()(),()cos[()], 0()cos , 0c c h t Cs t t t TAT t T t t T TAT t t t T Tωω=-==--≤≤=-≤≤()()()o s t s t h t =*To simplify the mathematics use complex envelope techniques as given by (4-22) and (4-23)2()Re[()]c j to s t g t eω=where 21111()()()222g t g t k t =*and 1(), 0Ag t t t T T=≤< ()(), 0Ak t T t t T T=-≤<)(2t gis evaluated as follows:211()()()2g t g k t d τττ∞-∞=-⎰20220, 01()(), 02()1()(), 220, 2t T t T t A T t d t T T g t A T t d T t T T t T ττττττ-<⎧⎫⎪⎪⎛⎫⎪⎪-+<< ⎪⎪⎪⎪⎝⎭⎪=⎨⎬⎛⎫⎪⎪-+<< ⎪⎪⎪⎝⎭⎪⎪>⎪⎪⎩⎭⎰⎰Thus,()⎪⎪⎪⎪⎭⎪⎪⎪⎪⎬⎫⎪⎪⎪⎪⎩⎪⎪⎪⎪⎨⎧><<+-⎪⎭⎫ ⎝⎛<<⎪⎭⎫ ⎝⎛-⎪⎭⎫ ⎝⎛<=T t T t T t T t T T A T t t T t T A t t g 2 ,02 ,)2(1210 ,3410 ,0)(22222 since )(2t g is real, the output is 22()()cos c s t g t t ω=where)(2t gis given above.(b)22220()()cos ()t to c A S t s t dt t t dt T ω⎛⎫== ⎪⎝⎭⎰⎰[]22011cos(2)2tc A t t dt T ω⎛⎫=+ ⎪⎝⎭⎰232211sin 2[cos 21]2322c c c c A t t t t T ωωωω⎧⎫⎛⎫=++-⎨⎬ ⎪⎝⎭⎩⎭2311(), 0since:6o c A s t t t Tf T T⎛⎫≈<<>> ⎪⎝⎭Equivalent to (a) at t =T only.6.49 Refer to Fig.6-19 for the detection of a BPSK signal. Suppose that the BPSK signal at the input is:()()()()0,2where: cos ,0In ci tc r t s td p t nT T T p te t t Tω=-==-==≤<∑and the binary data d n is the 8-bit string{}1,1,1,1,1,1,1,1+--++-+-. Use MATLAB ORMathCAD to(a) Plot the input waveform r(t).(b) Plot the integrator output waveform r o (t).6.49参照图6.19的BPSK 检测()()()(){}0,2cos ,01,1,1,1,1,1,1,1In ci t c n r t s t d p t nT T T p t e t t T d ω=-==-==≤<=+--++-+-∑()()()()202cos cos ()11cos 222sin(2)cos(2)111228ttt o c c t tc t ttc c c c r t r t tdt e t dte t dt e t e t e ωωωωωωω-----===+⋅-+=-++⎰⎰⎰6.50 A matched filter is described in Fig.P6-50.(a) Find the impulse response of the matched filter.(b) Find the pulse shape to which this filter is matched(the white noise case)6.50 Solution :(a) ⎰∞---=tdt T t x t x t y 111)]()([)(For the impulse response let )()(t t x δ=.()()111()()[()()]ty t h t t t T dt u t u t T δδ-∞==--=--⎰t(b)()()Let ()()h t s T t T t h T s τττ=--=∴-=()()s t h t ∴=6.51 An FSK signal s(t) is applied to a correlation receiver circuit that is shown in Fig.P6-15. The FSK signal is()()()12cos ,when a binary 1 is sent cos ,when a binary 0 is sent A t s t A t ωω⎧⎪=⎨⎪⎩where 12and c c f f F f f F =+∆=-∆. Let F ∆ be chosen to satisfy the MSK condition, which is ()1/4F T ∆=. T is the time that its takes to send one bit, and the integrator is reset every T seconds. Assume that 1,1000,and .F=50Hz c A f Hz ==∆(a) If a binary one is sent , plot()()()12 , and o v t v t r t over a T-secondinterval.(b) Refer to Fig.6-16 , and find an expression that describes the output of a filter that is matched to the FSK signal when a binary 1 is sent. Plot the filter output.(c) Discuss how the plots obtained for parts(a) and (b) agree or disagree.Solution: (1)()()()11cos s t s t A t ω==()()()()()2111101101cos cos sin 21cos 2222ttt v t s t t dt A t dtt A A t dt t ωωωωω==⎡⎤=+=+⎢⎥⎣⎦⎰⎰⎰ ()()()()()()()()()()()212120121201212cos cos cos cos cos 2sin 2sin 22t ttv t s t t dt A t t dtA t t dt t t A ωωωωωωωωωωωωω===-++⎡⎤∆+=+⎢⎥∆+⎣⎦⎰⎰⎰()()()12o r t v t v t =-(b)()()()()()()()()11211021111*cos()cos sin sin cos 22o t r t s t s T t A T t d T t T t A t T t ωτωττωωωω=-⎡⎤=--⎣⎦+--⎡⎤=-+⎢⎥⎣⎦⎰(c) The plots obtained for parts (a) and (b) disagree.。
数字信号处理课后答案教材第一章习题解答1.用单位脉冲序列()nδ及其加权和表示题1图所示的序列。
解:2.给定信号:25,41 ()6,040,n nx n n+-≤≤-⎧⎪=≤≤⎨⎪⎩其它(1)画出()x n序列的波形,标上各序列的值;(2)试用延迟单位脉冲序列及其加权和表示()x n序列;(3)令1()2(2)x n x n=-,试画出1()x n波形;(4)令2()2(2)x n x n=+,试画出2()x n波形;(5)令3()2(2)x n x n=-,试画出3()x n波形。
解:(1)x(n)的波形如题2解图(一)所示。
(2)(3)1()x n的波形是x(n)的波形右移2位,在乘以2,画出图形如题2解图(二)所示。
(4)2()x n的波形是x(n)的波形左移2位,在乘以2,画出图形如题2解图(三)所示。
(5)画3()x n时,先画x(-n)的波形,然后再右移2位,3()x n波形如题2解图(四)所示。
3.判断下面的序列是否是周期的,若是周期的,确定其周期。
(1)3()cos()78x n A n ππ=-,A 是常数;(2)1()8()j n x n e π-=。
解:(1)3214,73w w ππ==,这是有理数,因此是周期序列,周期是T=14;(2)12,168w wππ==,这是无理数,因此是非周期序列。
5.设系统分别用下面的差分方程描述,()x n 与()y n 分别表示系统输入和输出,判断系统是否是线性非时变的。
(1)()()2(1)3(2)y n x n x n x n =+-+-; (3)0()()y n x n n =-,0n 为整常数; (5)2()()y n x n =; (7)0()()nm y n x m ==∑。
解:(1)令:输入为0()x n n -,输出为'000'0000()()2(1)3(2)()()2(1)3(2)()y n x n n x n n x n n y n n x n n x n n x n n y n =-+--+---=-+--+--=故该系统是时不变系统。
数字信号处理知到章节测试答案智慧树2023年最新上海健康医学院第一章测试1.如果连续时间信号是最高截止频率为的带限信号,采样频率为_______可不失真地恢复原连续时间信号。
参考答案:2.由模拟信号采样得到的序列,模拟角频率Ω与序列的数字域频率参考答案:线性3.在连续系统中,正弦信号是周期信号,其周期与频率呈_______关系。
参考答案:2π/w4.在离散时间系统中,最常用的是_______。
参考答案:线性非移变系统5.线性非移变系统的性质不包括_______。
参考答案:0-1 率6.由于序列是离散的,故在序列运算中不存在微积分运算。
()参考答案:对7.采样频率太高会产生太大的数据量,使运算时间延长,设备成本增加。
()参考答案:对8.系统满足可加性或齐次性,即为线性系统。
()参考答案:错9.任何序列都可以表示成单位脉冲序列移位加权和的形式。
()参考答案:对10.两个线性非移变系统级联后构成一个线性移变系统。
()参考答案:错第二章测试1.Z 变换是从_______直接引申出来的一种变换方法。
参考答案:拉普拉斯2.当序列是一个()序列时,双边Z变换和单边Z变换是相等的。
参考答案:因果3.Z 变换是关于 Z 的无穷多项的幂级数的_______。
参考答案:和4.的Z变换是_______。
参考答案:5.的 Z 变换收敛域是_______。
参考答案:|z|>|a|6.Z 变换等价于序列的傅里叶变换。
()参考答案:错7.收敛域包含∞是因果序列的Z变换得特征。
参考答案:对8.根据序列的 Z 变换求对应序列的运算称之为逆 Z 变换。
()参考答案:错9.的Z变换等于1。
参考答案:对10.对于求解同样的逆 Z 变换,因选择的方法不同,得到结果序列的分段点不同,实际数值上二者是等价的。
()参考答案:对第三章测试1.时域的连续周期对应于频域的()。
参考答案:非周期离散2.序列x1(n)的长度为4,序列x2(n)的长度为3,则它们线性卷积的长度是(),5点圆周卷积的长度是()。
第一章 离散时间信号与系统2.任意序列x(n)与δ(n)线性卷积都等于序列本身x(n),与δ(n-n 0)卷积x(n- n 0),所以(1)结果为h(n) (3)结果h(n-2) (2(4)3 .已知 10,)1()(<<--=-a n u a n h n,通过直接计算卷积和的办法,试确定单位抽样响应为 )(n h 的线性移不变系统的阶跃响应。
4. 判断下列每个序列是否是周期性的,若是周期性的,试确定其周期:)6()( )( )n 313si n()( )()873cos()( )(ππππ-==-=n j e n x c A n x b n A n x a分析:序列为)cos()(0ψω+=n A n x 或)sin()(0ψω+=n A n x 时,不一定是周期序列,nmm m n n y n - - -∞ = - ⋅ = = ≥ ∑ 2 31 2 5 . 0 ) ( 01当 3 4n m nm m n n y n 2 2 5 . 0 ) ( 1⋅ = = - ≤ ∑ -∞ = - 当 aa a n y n a a an y n n h n x n y a n u a n h n u n x m m nnm mn -==->-==-≤=<<--==∑∑--∞=---∞=--1)(11)(1)(*)()(10,)1()()()(:1时当时当解①当=0/2ωπ整数,则周期为0/2ωπ;②;为为互素的整数)则周期、(有理数当 , 2 0Q Q P QP =ωπ ③当=0/2ωπ无理数 ,则)(n x 不是周期序列。
解:(1)0142/3πω=,周期为14 (2)062/13πω=,周期为6 (2)02/12πωπ=,不是周期的 7.(1)[][]12121212()()()()()()[()()]()()()()[()][()]T x n g n x n T ax n bx n g n ax n bx n g n ax n g n bx n aT x n bT x n =+=+=⨯+⨯=+所以是线性的T[x(n-m)]=g(n)x(n-m) y(n-m)=g(n-m)x(n-m) 两者不相等,所以是移变的y(n)=g(n)x(n) y 和x 括号内相等,所以是因果的。
数字信号处理课后答案1.2 教材第一章习题解答1. 用单位脉冲序列()n δ及其加权和表示题1图所示的序列。
解:()(4)2(2)(1)2()(1)2(2)4(3) 0.5(4)2(6)x n n n n n n n n n n δδδδδδδδδ=+++-+++-+-+-+-+-2. 给定信号:25,41()6,040,n n x n n +-≤≤-⎧⎪=≤≤⎨⎪⎩其它(1)画出()x n 序列的波形,标上各序列的值;(2)试用延迟单位脉冲序列及其加权和表示()x n 序列; (3)令1()2(2)x n x n =-,试画出1()x n 波形; (4)令2()2(2)x n x n =+,试画出2()x n 波形; (5)令3()2(2)x n x n =-,试画出3()x n 波形。
解:(1)x(n)的波形如题2解图(一)所示。
(2)()3(4)(3)(2)3(1)6() 6(1)6(2)6(3)6(4)x n n n n n n n n n n δδδδδδδδδ=-+-+++++++-+-+-+-(3)1()x n 的波形是x(n)的波形右移2位,在乘以2,画出图形如题2解图(二)所示。
(4)2()x n 的波形是x(n)的波形左移2位,在乘以2,画出图形如题2解图(三)所示。
(5)画3()x n 时,先画x(-n)的波形,然后再右移2位,3()x n 波形如题2解图(四)所示。
3. 判断下面的序列是否是周期的,若是周期的,确定其周期。
(1)3()cos()78x n A n ππ=-,A 是常数;(2)1()8()j n x n e π-=。
解:(1)3214,73w w ππ==,这是有理数,因此是周期序列,周期是T=14; (2)12,168w wππ==,这是无理数,因此是非周期序列。
5. 设系统分别用下面的差分方程描述,()x n 与()y n 分别表示系统输入和输出,判断系统是否是线性非时变的。
1.、2. 用冲激响应不变法将以下 )(s H a变换为变换为 )(z H ,抽样周期为T 。
为任意正整数 ,)()( )2()()()1(022n s s As H b a s as s H na a -=+++=分析:①冲激响应不变法满足)()()(nT h t h n h a nTt a===,T 为抽样间隔。
这种变换法必须)(s H a 先用部分分式展开。
②第(②第(22)小题要复习拉普拉斯变换公式1!][+=n n S n t L ,na n t s a S S As H t u n t Ae t h )()()()!1()(010-=⇔-=-,可求出可求出 )()()(kT Th t Th k h a kTt a===,|又 dz z dX z k kx )()(-⇔,则可递推求解。
解: (1)22111()()2a s a H s s a b s a jb s a jb ⎡⎤+==+⎢⎥+++++-⎣⎦[])( 21)()()(t u e e t h tjb a t jb a a --+-+= 由冲激响应不变法可得:由冲激响应不变法可得:由冲激响应不变法可得:[]()()()() ()2a jb nT a jb nT a T h n Th nT e e u n -+--==+ 11011() () 211naT jbT aT jbT n T H z h n z e e z e e z ∞------=⎡⎤==+⎢⎥--⎣⎦∑ 2211cos 21cos 1 ------+--⋅=z e bT z e bT z e T aT aT aT(2) 先引用拉氏变换的结论[]1!+=n n s n t L 可得:可得: n a s s As H )()(0-=))()!1()(10t u n t Ae t h n t s a -=-则 )()!1()()()(10k u n kT Ae T Tk Th k h n kT s a -⋅==- dzz dX zk kx az k u a ZZk )()( , 11)( 1-−→←-−→←-且按)11()()!1( )()!1( )()(111111000--∞=---∞=----=-==∑∑ze dz d z n AT e z k n T TA z k h z H T s n n kkT s n n k k可得⎪⎪⎩⎪⎪⎨⎧=-=-=•••---,3,2)1(1,1)(111000n z e z e AT n z e ATz H n T s T S n T s ,可以递推求得:2. 已知模拟二阶巴特沃思低通滤波器的归一化系统函数为:2'4142136.111)(s s s H a ++=而而3dB 截止频率为50Hz 的模拟滤波器,需将归一化的)('s H a 中的s 变量用502⨯πs 来代替424'108696044.928830.444108696044.9)100()(⨯++⨯==s s s H s H a a π:设系统抽样频率为设系统抽样频率为Hz f s 500=,要求从这一低通模拟滤波器设计一个低通数字滤波器,采用阶跃响应不变法。