有理数的混合运算专题复习
- 格式:pptx
- 大小:396.18 KB
- 文档页数:17
有理数的混合运算知识概览图新课导引1.思考:我们到现在已经学习了哪些运算?哪些运算是同一级?右图中的算式该如何计算?教材精华知识点1 有理数混合运算的顺序先算乘方(特殊的乘法),再算乘除,最后算加减,如果有括号,先算括号里面的.归纳总结:有理数运算分三级,加减是第一级运算,乘除是第二级运算,乘方是第三级运算.运算顺序是先算高级运算,再算低级运算;同级运算在一起时,按从左到右的顺序计算,对于含有多重括号的运算,一般先算小括号内的,再算中括号内的,最后算大括号内的. 例1、计算1101250322-⎪⎭⎫ ⎝⎛⨯÷- ()31110.54⎡⎤----⨯⎣⎦知识点2 有理数的混合运算有理数的混合运算是指一个算式里含有加、减、乘、除、乘方运算中的两种以上的运算.提示:有理数的五种基本运算分别有自己的运算技巧和规律,在计算时,除了按运算顺序外,还要灵活使用运算定律,使运算准确、快捷.例2、计算77778()()()481283--÷-+- 235(4)0.25(5)(4)8-⨯--⨯-⨯-课堂检测基本概念题1、计算:{-421-[-(-5)2×(51)2-0.8]}÷552.2、计算:(-32+65)×24-3.95×6-1.45×6.基础知识应用题3、有理数a 等于它的倒数,有理数b 等于它的相反数,求a2 010+b 2011的值.综合应用题4、计算(-1)(-1)2(-1)3(-1)4…(-1)100.探索创新题5、中央电视台每一期的“开心辞典”栏目,都有一个“二十四点”的趣味题,现在给出1~13之间的自然数,你可以从中任取四个,将这四个数(四个数都用且只能用一次)进行“+”“-”“×”“÷”运算,可加括号,运算符号可重复使用,使其结果等于24,例如,对1、2、3、4可作运算(1+2+3)×4=24,也可以写成4×(2+3+1),但视作相同的运算.(1)、现有四个有理数3、4、-6、10,你能运用上述规则写出三种不同的算式,使其结果等于24吗?(2)、以下四个数:3、-5、7、-13,如何计算?6、已知322111124==⨯⨯;33221129234+==⨯⨯; 33322112336344++==⨯⨯;33332211234100454+++==⨯⨯... (1) 猜想填空:333331123...(1)4n n ++++-+=⨯( )2( )2 (2) 计算①33333123...99100+++++②33333246...98100+++++体验中考1. (2011江苏连云港,17,6分)计算312(5)232⨯-+-÷.2. (2011湖南常德,17,5分)计算:()317223-÷-⨯3. (2011广东省,8,4分)按下面程序计算:输入x =3,则输出的答案是__ _ .4. (2011湖南常德,8,3分)先找规律,再填数:1111111111111111111,,,,+____.1223421256330784562011201220112012+-=+-=+-=+-=-=⨯……则5、计算)200411)(120031()151)(411)(131)(211(--⋯---- 已知321(2)0x y -+-=,求111(1)(1)(2008)(2008)xy x y x y +++++++……的值. 已知a=25,b= -3,确定100102a b +的末位数字。
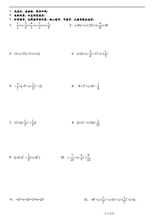
1.先乘方,再乘除,最后加减;之青柳念文创作2.同级运算,从左到右停止;3.如有括号,先做括号内的运算,按小括号、中括号、大括号依次停止.1357911、—22—(—2)2—23+(—2)3 12、13、15、-10 + 8÷(-2 )2-(-4 )×(-3 ) 16、-49 + 2×(-3 )2 + (-6 )÷(17、-14 + ( 1-0.5 )[2×(-3)2] 18、(-2)2-2×[(-2-319212325、6-(-12、(-48)÷ 8 -(-527、420.25 2829、(-5)×6+(-125) ÷(-5)3311、【基础题】计算:(1(2(3(4(1(2(3(4(1(34(5(6(7(8;(9)10(1)11+(-22)-3×(-11); (2(34;(5(6(7)-+2×+(-6)÷;(8)(1(2(34(5(6)-10+84×3;(7(81-0.5(1)(-8)×5-40;(2)()÷(-(-2);(3)-20÷5×(-3)÷15;(4)-3[-5+-2)];(5)-23÷2÷(2;(6×(-2.4)参考答案1、-1/52、-13、224、95、96、 07、-48 8、-1 9、-15 10、-15/34311、-24 12、-89 13、3 14、2 15、-2016、23 17、2 18、24 19、-28 20、9/1621、1 22、10 23、-1/12 24、104/3 25、9 26、1427、-3128、-81又1/81 29、-9 30、-2931、-1/5 32、91、【答案】(1)17;(2(3)31;(4)-112、【答案】(1)-10;(2)22;(3)-16;(43、【答案】(1)1;(2)0;(3)42;(4(5)18;(6)0;(7)-4.64;(8(9)8;(104、【答案】(1)22;(2)0;(3)-17;(4(5)(6)-95;(7)-85;(8)6 .5、【答案】(1)3;(2)1;(3)-54;(4)0;(5(6)-20;(7)-2;(86、【答案】(1)-80;(2)5.6;(3)-2;(4)16;(5)-复习有理数的乘除、乘方运算测试题一、填空题(每小题3分,共30分)1.3×(-2)=________,(-6=________.2.(-3)2的底数是________,成果是;-32的底数是________,成果是________.3=________=________;(+8)÷(-=________.4.233=________2=________.5________=1________=-162.4=________.7.-32×(-5)23=________.83600________.9.________;________10①23________222________3③32________22)3________)2二、断定题(每小题1分,共5分)11.零除以任何数都得零()12.互为相反数的两个数的积为负数()13.如果ab>0,则a>0且b>0()14.1除以一个非零数的商叫做这个数的倒数()15.(-3)5暗示5个-3相乘()三、选择题(每小题3分,共21分)16.下列说法,其中错误的有①一个数与1相乘得原数;②一个数乘以-1得原数的相反数;③0乘以任何数得0;④同号两数相乘,符号不变.A.1个B.2个C.3个D.4个17.下列各对数:①1与1;②-1与1;③a-b与b-a;④-1与-1;⑤-5与|6|,其中互为倒数的是A.①②③B.①③⑤C.①③④D.①④18.下列各题中两个式子的值相等的是A.-23与(-2)3 B.32与23C.(-2)2与-22 D.|-2|与-|-2|19.下列结论中,其中正确的个数为①0的倒数是0;②一个不等于0的数的倒数的相反数与这个数的相反数的倒数相等;③其倒数等于自身的数是±1;④若a,b互为倒数,则-ab=-1.A.4 B.3C.2 D.120.下列各式中成果大于0的是A.1-910×3 B.(1-910)×3C.1-(9×3)10 D.(1-9)10×3 21.下列说法中正确的是A.一个数的平方必为正数B.一个数的平方必小于这个数的相对值C.一个数的平方必大于这个数D.一个数的平方不成能为负数22.用迷信记数法暗示的数2.89×104,原来是A.2890 B.2890000 C.28900 D.289000四、计算题(共35分)23.(3分)(-3)×(-5)×(+1224.(3分)-6÷(+3)÷(-4)×(+2)25.(3分)-5-626.(3分)(-81)÷16)27.(3分)-22×(-328.(3分)(-1)2000200120021)200329.(3分)(-2)×(-20011-200230.(331.(332.(3分)(-2.53)33.(5分)30五、解答题(934.已知A=a+a2+a3+……+a2000(1)若a=1,求A的值.(2)若a=-1,求A的值.一、1.-6 2 2.-3 9 3 -9 3-3245103平方公里9.>>><13.×14.√15.√三、16.A 17.D 18.A 19.B 21.D 22.C四、23.-90 24.1 25.-3 2627.15 28.1 29.-200230.1 31.30 3233.-4五、34.(1)2000 (2)0。
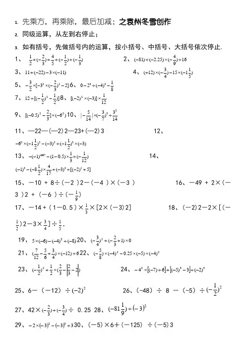
1. 先乘方,再乘除,最后加减;之袁州冬雪创作2. 同级运算,从左到右停止;3.如有括号,先做括号内的运算,按小括号、中括号、大括号依次停止.1、12411 ()()()23523+-++-+- 2、4(81)( 2.25)()169-÷-⨯-÷ 3、11(22)3(11)+--⨯- 4、31(12)()15(1)45+⨯--⨯-5、2232[3()2]23-⨯-⨯--6、33102(4)8-÷--7、)]21)21[(122--÷8、121)]3()2[(2⨯-⨯-9、)6(]32)5.0[(22-⨯--10、23533||()14714-⨯-÷11、—22—(—2)2—23+(—2)3 12、2223116(1)(3)(1)(3)22-⨯---÷-⨯-13、199711(1)(10.5)()312----⨯÷- 14、33514(1)(8)(3)[(2)5]217---⨯+-÷-+15、-10 + 8÷(-2 )2-(-4 )×(-3 ) 16、-49 + 2×(-3 )2 + (-6 )÷(-91)17、-14 + ( 1-0.5 )×31×[2×(-3)2] 18、(-2)2-2×[(-21)2-3×43]÷51.19、)8()4()6(52-÷---⨯20、0)132()43(2⨯+-+-21、6)12()4365127(÷-⨯+-22、22)4()5(25.0)4()85(-⨯-⨯--⨯- 23、)23232(21)21(2--⨯+- 24、[][]332)2(3)5(6)7(4-÷--+÷-⨯- 25、6-(-12)÷2)2(- 26、(-48)÷ 8 -(-5)÷2)21(- 27、42×)43()32(-+-÷ 0.25 28、()23)9181(-÷-29、()()333232÷---⨯-30、(-5)×6+(-125) ÷(-5)331、)251(4)5(25.0-⨯⨯-⨯-- 32、22)3(61)2132(1-+÷-+- 1、【基础题】计算:(1)618-÷)(-)(-312⨯; (2))(-+51232⨯;(3))(-)(-49⨯+)(-60÷12; (4)23)(-×[ )+(--9532 ]. (1))(-)+(-2382⨯; (2)100÷22)(--)(-2÷)(-32; (3))(-4÷)(-)(-343⨯; (4))(-31÷231)(--3214)(-⨯.(1)36×23121)-(; (2)12.7÷)(-1980⨯; (3)6342+)(-⨯;(4))(-43×)-+(-31328;(5)1323-)(-÷)(-21; (6)320-÷34)(-81-; (7)236.15.02)-(-)(-⨯÷22)(-; (8))(-23×[2322-)(- ]; (9)[ 2253)-(-)(- ]÷)(-2;(10)16÷)(-)-(-)(-48123⨯.(1)11+(-22)-3×(-11); (2)0313243⨯⨯)-(-)(-; (3)2332-)(-;(4)23÷[ )-(-)(-423];(5))-(8743÷)(-87; (6))+()(-654360⨯;(7)-27+2×()23-+(-6)÷()231-; (8))(-)-+-(-4151275420361⨯⨯. (1))-(-258÷)(-5; (2)-33121)(--⨯;(3)223232)-(-)(-⨯⨯;(4)0132432⨯⨯)+(-)(-; (5))(-+51262⨯; (6)-10+8÷()22--4×3;(7)-51-()()[]55.24.0-⨯-; (8)()251--(1-0.5)×31;(1)(-8)×5-40; (2)(-1.2)÷(-13)-(-2);(3)-20÷5×14+5×(-3)÷15; (4)-3[-5+(1-0.2÷35)÷(-2)];(5)-23÷153×(-131)2÷(132)2; (6)-52+(1276185+-)×(-2.4) 参考答案1、-1/52、-13、224、95、96、 07、-488、-19、-15 10、-15/34311、-24 12、-89 13、3 14、2 15、-2016、23 17、2 18、24 19、-28 20、9/1621、1 22、10 23、-1/12 24、104/3 25、9 26、1427、-3128、-81又1/81 29、-9 30、-29 31、-1/5 32、91、【答案】 (1)17; (2)511; (3)31; (4)-112、【答案】 (1)-10; (2)22; (3)-16; (4)-253、【答案】 (1)1; (2)0; (3)42; (4)423; (5)18; (6)0; (7)-4.64;(8)37; (9)8; (10)-25.4、【答案】 (1)22; (2)0; (3)-17; (4)-423; (5)71;(6)-95; (7)-85;(8)6 .5、【答案】 (1)3; (2)1; (3)-54; (4)0; (5)526; (6)-20; (7)-2; (8)-67.6、【答案】(1)-80; (2)5.6; (3)-2; (4)16; (5)-516复习 有理数的乘除、乘方运算测试题一、填空题(每小题3分,共30分) 1.3×(-2)=________,(-6)×(-31)=________. 2.(-3)2的底数是________,成果是________;-32的底数是________,成果是________.3.(-61)÷(+23)=________;-493÷(-176)=________;(+8)÷(-41)=________. 4.23×(-41)3=________;(-91)÷(+34)2=________.5.(-32)×________=1;(-32)×________=-16.-65×(-2.4)×(-53)=________.7.-32×(-5)2÷(-21)3=________.8.我国台湾省的面积约为3600平方公里,用迷信记数法暗示为________. 9.+121的倒数是________;________的倒数是-54. 10.用“>”“<”填空: ①23________22②(21)2________(21)3 ③32________22④(-2)3________(-2)2二、断定题(每小题1分,共5分) 11.零除以任何数都得零( )12.互为相反数的两个数的积为负数( ) 13.如果ab >0,则a >0且b >0( )14.1除以一个非零数的商叫做这个数的倒数( ) 15.(-3)5暗示5个-3相乘( ) 三、选择题(每小题3分,共21分) 16.下列说法,其中错误的有①一个数与1相乘得原数;②一个数乘以-1得原数的相反数;③0乘以任何数得0;④同号两数相乘,符号不变.A .1个B .2个C .3个D .4个17.下列各对数:①1与1;②-1与1;③a -b 与b -a ;④-1与-1;⑤-5与|6|,其中互为倒数的是A .①②③B .①③⑤C .①③④D .①④ 18.下列各题中两个式子的值相等的是A .-23与(-2)3B .32与23C .(-2)2与 -22D .|-2|与-|-2| 19.下列结论中,其中正确的个数为①0的倒数是0;②一个不等于0的数的倒数的相反数与这个数的相反数的倒数相等;③其倒数等于自身的数是±1;④若a ,b 互为倒数,则-ab=-1.A .4B .3C .2D .1 20.下列各式中成果大于0的是 A .1-910×3 B .(1-910)×3 C .1-(9×3)10 D .(1-9)10×3 21.下列说法中正确的是 A .一个数的平方必为正数B .一个数的平方必小于这个数的相对值C .一个数的平方必大于这个数D .一个数的平方不成能为负数22.用迷信记数法暗示的数2.89×104,原来是 A .2890 B .2890000 C .28900 D .289000 四、计算题(共35分)23.(3分)(-3)×(-5)×(+12)×(-21) 24.(3分)-6÷(+3)÷(-4)×(+2) 25.(3分)-5-6÷(-3)26.(3分)(-81)÷241×91÷(-16) 27.(3分)-22×(-3)÷5428.(3分)(-1)2000×(-1)2001×(-1)2002÷(-1)200329.(3分)(-2)×(-2001)×[-21-(-21)]×1-2002 30.(3分)-)45()45(5222-÷-⨯⨯ 31.(3分)(-5)2÷5×632.(3分)(-2.5)÷(-310)×(-3) 33.(5分)30×(21-31+53-109)五、解答题(9分)34.已知A=a+a2+a3+……+a2000 (1)若a=1,求A 的值. (2)若a=-1,求A 的值.参考答案一、1.-6 2 2.-3 9 3 -9 3.-91913-32 4.-81 -161 5.-2323 6.-1.2 7.1800 8.3.6×103平方公里 9.32 -14110.> > > <二、11.× 12.× 13.× 14.√ 15.√三、16.A 17.D 18.A 19.B 20.D 21.D 22.C 四、23.-90 24.1 25.-3 26.4127.15 28.1 29.-2002 30.1 31.30 32.-4933.-4 五、34.(1)2000 (2)0。
有理数的混合运算知识点
1. 先算乘除后算加减呀!就好像你手里有一堆糖果,要先分好类再计算数量一样。
比如5+3×2,那就要先算3×2 等于 6,再加上 5 就是 11 啦!
2. 有括号要先算括号里面的哦!这就好比你收拾房间,要先整理衣柜里的东西一样重要。
像(5+3)×2,就要先算括号里的 5+3 等于 8,然后8×2 等于16 呀!
3. 负数可别小瞧呀!它就像一阵小凉风,会给计算带来不一样的感觉呢。
比如 5-(-3),就相当于 5 加上 3 等于 8 哟!
4. 乘方也很关键呀!这不就像是放烟花,一下子威力就变大啦。
例如 2 的 3 次方就是 8 呢!
5. 混合运算别慌张,一步一步慢慢来,就像走楼梯一样稳稳当当的。
3+2×(-4)的平方,就要先算平方,再算乘法,最后算加法。
6. 运算顺序要记牢,不然可就全乱套啦!这就像出门要先穿好衣服再穿鞋一样理所当然嘛。
试试计算 4-(2+3)×(-1),是不是得先算括号里的呀!
7. 约分能让计算变简单哦,好比给计算瘦身一样。
像计算12÷3×4 时,就可以先把12÷3 约分掉呀!
8. 相同的数相乘可以用乘方表示呀,这不就是偷懒的小妙招嘛。
比如说 3 个 2 相乘,就可以写成 2 的 3 次方嘛!
9. 有理数的混合运算就像是一场奇妙的冒险,有惊喜也有挑战呢!所以呀,要勇敢面对呀!
我的观点结论就是:有理数的混合运算虽然有一些规则,但只要掌握好了,就能在数学的海洋里畅游啦!。
有理数的加减乘除乘方混合运算专题训练(带答案)1.先进行乘方运算,然后进行乘除运算,最后进行加减运算。
2.同级运算从左到右进行。
3.如果有括号,先进行括号内的运算,按照小括号、中括号、大括号的顺序进行。
1.18 - 6 ÷ 352.-81 ÷ (-2.25) × (-) ÷ 163.11 + (-22) - 3 × (-11)4.(+12) × (-) - 15 × (-1)5.- × [-32 × (-)2 - 2]6.-23 ÷ (-4)3 -7.12 ÷ [(-)2 - ]8.[(-2)2 × (-3)] ×9.[(-0.5) - ] × (-6)10.| - | × (-) ÷11.-22 - (-2)2 - 23 + (-2)312.-62 × (-1)2 - (-3)2 ÷ (-1)3 × (-3)13.-(-1)1997 - (1 - 0.5) × ÷ (-)14.(-1)3 - (-8) × + (-3)3 ÷ [(-2)5 + 5]15.-10 + 8 ÷ (-2)2 - (-4) × (-3)16.-49 + 2 × (-3)2 + (-6) ÷ (-)17.-14 + (1 - 0.5) × × [2 × (-3)2]18.(-2)2 - 2 × [(-)2 - 3 × ] ÷19.5 × (-6) - (-4)2 ÷ (-8)20.(-)2 + (- + 1) ×21.(- + ) × (-12) ÷ 622.(-) × (-4)2 - 0.25 × (-5) × (-4)223.(-)2 + × (- -2)24.-42 × [(-7) ÷ 6] + (-5)3 - 3 ÷ (-2)325.6 - (-12) ÷ (-2)26.(-48) ÷ 8 - (-5) ÷ (-)227.42 × (-) + (-) ÷ 0.2528.-81 ÷ (-3)229.-2 × (-3) - (-3) ÷ 330.(-5) × 6 + (-125) ÷ (-5)31.-(-0.25) × (-5) × 4 × (-1)1、-2×(-2)×1×8 + (-2)/(-2)/3 = 33/42、-12 + (-3)²/2 = -9.53、3/3 = 14、36/2 - 4×(-4)×(-3) = 1045、(3×4)×(-3) + 6 = -66、(-23)/(-2) - 13/(-4) = 5.57、23/2 × [(-2)×0.5 - (-1.6)] - 2 = -9.58、[(-2) - (-4)]/3 = 2/39、无法计算,方括号内为010、16/(-3) - (-5)×(-2)×(-2) - (-4) = -31/311、1、-44、-12、-112、无法计算,分母为013、-15 - [(-0.4)×(-2.5)] = -1414、(-8)×5 - 40 = -8015、(-1.2)/(-2) - (-2) = 1.416、-20/5×(5-3×(-3))/15 = 2/317、-3[-5+(1-0.2)/(-2)] = 1218、-23/1×(-1)²/(1)² - (2-(-4))×(-2.4) = -15/71.答案:(1) 17.(2) 删除。
有理数的加减乘除乘方混合运算专题训练带答案1.先进行乘方,再进行乘除,最后进行加减运算。
2.同级运算从左到右进行。
3.如果有括号,先进行括号内的运算,按照小括号、中括号、大括号的顺序进行。
1.2+(-1)+3-(-1)2.(-81)/(-2.25)*(-1)/163.11+(-22)-3*(-11)4.(12)*(-1)-15*(-1)5.-3/2*(-32*(-2/3)^2-2)6.-23/(-4)^3-1/87.12/((-11/2)^2-2)8.(-2)^2*(-3)/129.(-0.5)^2-2/3*(-62)10.-22-(-2)^2-23+(-2)^311.|-14|*(-3/7)/1412.-62*(-1/2)^2-(-3)^2/(-1/2)^3*(-3)13.(-1)^(1997)-(1-0.5)/(-1/4)14.(-1)^3-(-8)+(-3)^3/((-2)^5+5)15.-10+8/(-2)^2-(-4)*(-3)16.-49+2*(-3)^2-(-6)/(-1/9)17.-14+(1-0.5)*1/3*(2*(-3)^2)18.(-2)^2-2*((-2)^2-3*4)/519.5*(-6)-(-4)^2/(-8)20.(-3/4)^2+(-2/3+1)*821.(7/12-5/6+3/4)*(-12)/622.(-5)*(-4)^2-0.25*(-5)*(-4)^2/823.(-1)^2*(-2)24.-42*((-7)/6)+(-5)^3-3/(-2)^325.6-(-12)/(-2)^226.(-48)/8-(-5)/(-12)^227.42*(-2/3)+(-3/4)/0.2528.(-81/9)/(-3)^229.-2*((-3)^2)-((-3)^3)/330.(-5)*6+(-125)/(-5)^331.-0.25*(-5)*4*(-1/25)32.-12+((21-2)/6)+(-3)^21.18 - 6 ÷ 3Simplify: 18 - 2 = 162.3 + 22 × (-2) × (-3)Simplify: 3 + 132 = 1353.(-9) × (-4) + (-60) ÷ 12Simplify: 36 + (-5) = 314.8 + (-3) × 2 × (-2)Simplify: 8 + 12 = 205.(-4) ÷ (-3/4) × (-3)Simplify: 4 × (-3) = -126.36 × (11/22 - 3/5)Simplify: 36 × (1/2 - 3/5) = 36 × (-1/10) = -3.67.(-3)2 × [-2/3 + (-5/9)]Simplify: 9 × (-1/3) = -38.100 ÷ (-2)2 - (-2) ÷ (-2/3)Simplify: 100 ÷ 4 - 3 = 229.(-1/3) ÷ (-1/2/3) - 4 × (-1/3)2Simplify: (-1/3) ÷ (-2/3) - 4 × 1/9 = 3/2 - 4/9 = 17/1810.12.7 ÷ (-8/19) × 3Simplify: 12.7 ÷ (-24/19) = -9.962511.321/2 × 3 + 6Simplify: 160.5 × 3 + 6 = 481.512.(-) (-8 + (-5))Simplify: -(-13) = 1313.-2 - 3/2Simplify: -4.514.23 ÷ [-2 - (-4) × (5/8)] ÷ (-7/8)Simplify: 23 ÷ [-2 + 10/8] ÷ (-7/8) = 23 ÷ [-1/4] ÷ (-7/8) = -6415.-72 + 2 × (-3)2 + (-6) ÷ (-1/3)2Simplify: -72 + 18 + (-6) ÷ (1/9) = -72 + 18 - 54 = -10816.8 - (-25) ÷ (-5)Simplify: 8 - 5 = 317.(-2) × 32 - (-2 × 3)2Simplify: -64 - 36 = -10018.(-60) × (35/4 + 6)Simplify: -60 × 47/4 = -70519.(-1347/6 - 20 + 5 - 12) × (-15 × 4)Simplify: (-1347/6 - 27) × (-60) =20.-13 - 2 × (-1)3Simplify: -13 + 2 = -1121.(-3/4)2 × (-2/3 + 1) Simplify: 9/16 × 1/3 = 3/1622.6 + 22 × (-3)Simplify: 6 - 66 = -6023.-10 + 8 ÷ (-2) - 4 × 3 Simplify: -10 + 4 - 12 = -1824.-15 - [(-0.4) × (-2.5)]5 Simplify: -15 - 1 = -1625.(-8) × 5 - 40Simplify: -4026.-20 ÷ 5 × 1/4 + 5 × (-3) ÷ 15 Simplify: -4 + (-1) = -527.-23 ÷ 13 × (-11)2 ÷ (12)2 Simplify: -23/156 × 121/144 = -121/4828.(-1)25 - (1 - 0.5) × 1/3Simplify: -1 + 1/6 = -5/629.(-1.2) ÷ (-1/3) - (-2)Simplify: 3.6 + 2 = 5.630.-3[-5 + (1 - 0.2 ÷ 3/5) ÷ (-2)] Simplify: -3[-5 + (1 - 2/3)] = -3[-3/3] = 331.-2/5 + (517/8 - 6 + 12) × (-2.4) Simplify: -2/5 - 31.5 = -157/10复有理数的乘除、乘方运算测试题一、填空题(每小题3分,共30分)1.3×(-2)= -6,(-6)×(-1)= 6.2.(-3)^2的底数是3,结果是9;-3^2的底数是-3,结果是-9.3.(-)÷(+14)= -955.07,-(+8)÷(-1)= 8,(+)÷(-22)= -.4.(-1)÷(+3/14)= -22/3,(-49/3)÷(+22)= -49/66,(-2)÷(+5/3)^2= -18/25.5.(-1)×(-33)= 33,(-1)×(-53)= 53.6.-1×(-2.4)×(-6/5)= 2.88.7.-32×(-5)^2÷(-2)^3= -100.8.我国省的面积约为3.6×10^5平方公里.9.+1/14的倒数是14,-2的倒数是-1/2.10.用">" "<" 填空:① 23.22② (-2) < 3③ 32.22④ (-2)3.(-2)2二、判断题(每小题1分,共5分)11.错误,任何数除以0都是未定义。
1. 先乘方,再乘除,最后加减;2. 同级运算,从左到右进行;3. 如有括号,先做括号的运算,按小括号、中括号、大括号依次进行。
1、12411 ()()()23523+-++-+-2、4(81)( 2.25)()169-÷-⨯-÷3、11(22)3(11)+--⨯-4、31(12)()15(1)45+⨯--⨯-5、2232[3()2]23-⨯-⨯--6、 33102(4)8-÷--7、)]21)21[(122--÷ 8、121)]3()2[(2⨯-⨯-9、)6(]32)5.0[(22-⨯-- 10、23533||()14714-⨯-÷22231113、199711(1)(10.5)()312----⨯÷- 14、33514(1)(8)(3)[(2)5]217---⨯+-÷-+15、-10 + 8÷(-2 )2 -(-4 )×(-3 ) 16、-49 + 2×(-3 )2 + (-6 )÷(-91)17、-14 + ( 1-0.5 )×31×[2×(-3)2] 18、(-2)2-2×[(-21)2-3×43]÷51.19、)8()4()6(52-÷---⨯ 20、0)132()43(2⨯+-+-35722523、)23232(21)21(2--⨯+- 24、[][]332)2(3)5(6)7(4-÷--+÷-⨯-25、6-(-12)÷2)2(- 26、(-48)÷ 8 -(-5)÷2)21(-27、42×)43()32(-+-÷ 0.25 28、()23)9181(-÷-29、()()333232÷---⨯- 30、(-5)×6+(-125) ÷(-5)331、)251(4)5(25.0-⨯⨯-⨯-- 32、22)3(61)2132(1-+÷-+-1、【基础题】计算:(1)618-÷)(-)(-312⨯; (2))(-+51232⨯;(3))(-)(-49⨯+)(-60÷12; (4)23)(-×[ )+(--9532 ].(1))(-)+(-2382⨯; (2)100÷22)(--)(-2÷)(-32;(3))(-4÷)(-)(-343⨯; (4))(-31÷231)(--3214)(-⨯.(1)36×23121)-(; (2)12.7÷)(-1980⨯;(3)6342+)(-⨯; (4))(-43×)-+(-31328;(5)1323-)(-÷)(-21; (6)320-÷34)(-81-;(7)236.15.02)-(-)(-⨯÷22)(-; (8))(-23×[ 2322-)(- ];(9)[ 2253)-(-)(- ]÷)(-2; (10)16÷)(-)-(-)(-48123⨯.(1)11+(-22)-3×(-11); (2)0313243⨯⨯)-(-)(-;(3)2332-)(-; (4)23÷[ )-(-)(-423];(5))-(8743÷)(-87; (6))+()(-654360⨯;(7)-27+2×()23-+(-6)÷()231-; (8))(-)-+-(-4151275420361⨯⨯.(1))-(-258÷)(-5; (2)-33121)(--⨯;(3)223232)-(-)(-⨯⨯; (4)0132432⨯⨯)+(-)(-;(5))(-+51262⨯; (6)-10+8÷()22--4×3;(7)-51-()()[]55.24.0-⨯-; (8)()251--(1-0.5)×31;(1)(-8)×5-40; (2)(-1.2)÷(-13)-(-2);(3)-20÷5×14+5×(-3)÷15; (4)-3[-5+(1-0.2÷35)÷(-2)];(5)-23÷153×(-131)2÷(132)2; (6)-52+(1276185+-)×(-2.4)参考答案1、-1/52、-13、224、95、96、 07、-488、-19、-15 10、-15/34311、-24 12、-89 13、3 14、2 15、-20 16、23 17、2 18、24 19、-28 20、9/16 21、1 22、10 23、-1/12 24、104/3 25、9 26、14 27、-31 28、-81又1/81 29、-9 30、-29 31、-1/5 32、91、【答案】 (1)17; (2)511; (3)31; (4)-11 2、【答案】 (1)-10; (2)22; (3)-16; (4)-25 3、【答案】 (1)1; (2)0; (3)42; (4)423; (5)18; (6)0; (7)-4.64; (8)37; (9)8; (10)-25. 4、【答案】 (1)22; (2)0; (3)-17; (4)-423; (5)71; (6)-95; (7)-85;(8)6 .5、【答案】 (1)3; (2)1; (3)-54; (4)0; (5)526; (6)-20; (7)-2; (8)-67. 6、【答案】(1)-80; (2)5.6; (3)-2; (4)16; (5)-516; (6)-2.9复习 有理数的乘除、乘方运算测试题一、填空题(每小题3分,共30分) 1.3×(-2)=________,(-6)×(-31)=________. 2.(-3)2的底数是________,结果是________;-32的底数是________,结果是________.3.(-61)÷(+23)=________;-493÷(-176)=________;(+8)÷(-41)=________.4.23×(-41)3=________;(-91)÷(+34)2=________. 5.(-32)×________=1;(-32)×________=-16.-65×(-2.4)×(-53)=________.7.-32×(-5)2÷(-21)3=________.8.我国省的面积约为3600平方公里,用科学记数法表示为________. 9.+121的倒数是________;________的倒数是-54. 10.用“>”“<”填空: ①23________22 ②(21)2________(21)3 ③32________22 ④(-2)3________(-2)2二、判断题(每小题1分,共5分) 11.零除以任何数都得零( )12.互为相反数的两个数的积为负数( ) 13.如果ab >0,则a >0且b >0( )14.1除以一个非零数的商叫做这个数的倒数( ) 15.(-3)5表示5个-3相乘( )三、选择题(每小题3分,共21分) 16.下列说法,其中错误的有①一个数与1相乘得原数;②一个数乘以-1得原数的相反数;③0乘以任何数得0;④同号两数相乘,符号不变.A .1个B .2个C .3个D .4个17.下列各对数:①1与1;②-1与1;③a -b 与b -a ;④-1与-1;⑤-5与|6|,其中互为倒数的是A .①②③B .①③⑤C .①③④D .①④18.下列各题中两个式子的值相等的是A .-23与(-2)3B .32与23C .(-2)2与 -22D .|-2|与-|-2| 19.下列结论中,其中正确的个数为①0的倒数是0;②一个不等于0的数的倒数的相反数与这个数的相反数的倒数相等;③其倒数等于自身的数是±1;④若a ,b 互为倒数,则-ab=-1.A .4B .3C .2D .1 20.下列各式中结果大于0的是 A .1-910×3 B .(1-910)×3C .1-(9×3)10D .(1-9)10×3 21.下列说法中正确的是 A .一个数的平方必为正数B .一个数的平方必小于这个数的绝对值C .一个数的平方必大于这个数D .一个数的平方不可能为负数22.用科学记数法表示的数2.89×104,原来是 A .2890 B .2890000 C .28900 D .289000四、计算题(共35分)23.(3分)(-3)×(-5)×(+12)×(-21) 24.(3分)-6÷(+3)÷(-4)×(+2) 25.(3分)-5-6÷(-3)26.(3分)(-81)÷241×91÷(-16)27.(3分)-22×(-3)÷5428.(3分)(-1)2000×(-1)2001×(-1)2002÷(-1)200329.(3分)(-2)×(-2001)×[-21-(-21)]×1-200230.(3分)-)45()45(5222-÷-⨯⨯31.(3分)(-5)2÷5×632.(3分)(-2.5)÷(-310)×(-3)33.(5分)30×(21-31+53-109)五、解答题(9分)34.已知A=a+a 2+a 3+……+a 2000(1)若a =1,求A 的值.(2)若a =-1,求A 的值.参考答案一、1.-6 2 2.-3 9 3 -9 3.-91 913 -32 4.-81 -161 5.-23 23 6.-1.2 7.1800 8.3.6×103平方公里 9.32 -141 10.> > > < 二、11.× 12.× 13.× 14.√ 15.√三、16.A 17.D 18.A 19.B 20.D 21.D 22.C四、23.-90 24.1 25.-3 26.41 27.15 28.1 29.-2002 30.1 31.30 32.-49 33.-4 五、34.(1)2000 (2)0。
专题1.4 有理数的混合运算【典例1】计算:(1)(14+38―712)÷124;(2)﹣23÷8―14×(﹣2)2;(3)﹣24+(3﹣7)2﹣2×(﹣1)2;(4)[(﹣2)3+43]÷4+(―23).(1)运用乘法对加法的分配律,简化计算.(2)先算乘方,再算乘除,最后算加减.(3)先算乘方,再算乘除,最后算加减.(4)先算乘方,再算中括号里的,再算除法,再算加法.解:(1)原式=(14+38―712)×24=14×24+38×24―712×24=6+9﹣14=1.(2)原式=―8÷8―14×4=﹣1﹣1=﹣2.(3)原式=﹣16+(﹣4)2﹣2×1=﹣16+16﹣2=﹣2.(4)原式=(―8+43)÷4+(―23)=―203÷4+(―23) =―53+(―23) =―73.1.(2022•黄冈开学)计算:(1)(―514)+(―3.5);(2)23+(―15)+(―1)+13;(3)―22÷(―12)―(138+213―334)×48;(4)(﹣2)2×3+(﹣3)3÷9.2.(2022•南关区校级开学)计算下列各题:(1)﹣4﹣(12―13―56)×24;(2)﹣5×(﹣347)+(﹣9)×(+347)+17×(﹣347).(1)(79+56―34)÷(―136);(2)﹣22+(﹣3)2×(―23)﹣42÷|﹣4|.4.(2021秋•龙泉驿区校级期末)计算:(1)―32÷[―22×(―32)2―(―2)3];(2)100÷52―14―(12―23+14)×12.5.(2021秋•焦作期末)计算:(1)(﹣1)2÷12+(7﹣3)×34―|﹣2|;(2)﹣14﹣0.5÷14×[1+(﹣2)2].(1)6×(1―13)﹣32÷(﹣9).(2)﹣22+|5﹣8|+24÷(﹣3)×1 3.7.(2021秋•公安县期末)计算:(1)12.3―52+11.5―25.3;(2)(―2)3÷75+|4―13|×57―57×15.8.(2021秋•垦利区期末)计算:(1)(﹣5)+(﹣4)﹣(+101)﹣(﹣9);(2)―12021×[4―(―3)2]+3÷(―34 );(3)(512―79+23)÷136;(4)―316×7―316×(―9)+(―196)×(―8).9.(2021秋•怀安县期末)计算:(1)(14+16―12)×36÷(﹣0.6)﹣12;(2)(﹣4)×3+(﹣6)÷(―32)+(﹣6.5)÷0.13.10.(2021秋•镇平县校级期末)计算:(1)|﹣2|÷(―12)+(﹣5)×(﹣2);(2)(23―12+56)×(﹣24);(3)15÷(―32+56);(4)(﹣2)2﹣|﹣7|﹣3÷(―14)+(﹣3)3×(―13)2.(1)(+12)﹣(﹣7)+(﹣5)﹣(+30);(2)﹣2+(﹣115)×(―23)―65÷317;(3)﹣24÷[1﹣(﹣3)2]+(23―35)×(﹣15).12.(2021秋•浚县期末)计算:(1)(―34+712―58)×(﹣24);(2)﹣12+|1+(﹣2)×3|﹣(﹣2)2÷45.13.(2021秋•淮阳区期末)计算:(1)(﹣1)―14×[2﹣(﹣3)2];(2)﹣2+|5﹣8|+24÷(﹣3)×13.(1)(﹣478)﹣(﹣312)+(﹣612)﹣318;(2)﹣14﹣(1﹣0.5)×13×[2﹣(﹣3)2].15.(2021秋•随县期末)计算:①﹣2×3﹣|﹣4|;②﹣32+(―12)×(﹣8)+(﹣6)2;③(134―78―712)×(﹣117);④8÷(﹣6)﹣[﹣3+116×(―27)].16.(2021秋•零陵区期末)计算:(1)﹣12022―15×[2﹣(﹣3)]2;(2)(13―3+16―712)÷(―112).17.(2021秋•碑林区校级期末)计算:(1)(115―710)×30+20;(2)﹣42÷85―0.25×[5﹣(﹣3)2].18.(2021秋•信都区期末)计算:(1)(―25)×2÷(15―1);(2)﹣12×(﹣5)÷[(﹣3)2+2×(﹣5)].19.(2021秋•莱西市期末)计算:(1)﹣7.2﹣0.9﹣5.6+1.7;(2)(―613)+(―713)﹣5;(3)25×34―(﹣25)×12+25×0.25;(4)5×(﹣6)﹣(﹣4)2÷(﹣8).20.(2021秋•孝南区期末)计算:(1)(13+16―712)÷(―112);(2)(﹣1)2021+|2﹣(﹣3)|+3÷(―32).21.(2021秋•肥城市期末)计算:(1)134+(﹣6.5)+338+(﹣1.75)﹣(﹣258);(2)(29―14―118)÷(―136);(3)﹣14﹣(1﹣0.5)×(﹣113)×[2﹣(﹣3)2].22.(2021秋•新泰市期末)计算:(1)﹣127÷(﹣156)×138×(﹣7);(2)(―58)×(﹣4)2﹣0.25×(﹣5)×(﹣4)3.23.(2021秋•泌阳县期末)计算:(1)﹣24﹣(﹣1)2022×[2﹣(―23)]﹣|―49|;(2)﹣8×(―12)2+(34+16―58)÷(―124).24.(2021秋•博兴县期末)计算:(1)|―3|―(―5)+21÷(―3)―12×(―10);(2)(―1)2022+|(―2)3+(―3)2|―(―14+16)×(―24).25.(2021秋•樊城区期末)计算:(1)(1―56+14)÷(―148);(2)112×[3×(―23)2―1]―12÷(―2)2.26.(2021秋•西平县期末)计算:(1)25―|―125|―(+214)―(―2.25);(2)―12021―223×|(―12)2―1|+3÷2×12.27.(2021秋•泰山区期末)计算:(1)1+2×(﹣4)﹣(﹣3)÷(―34);(2)﹣32+(﹣4)2×2﹣(﹣5)÷(―15);(3)|34―23×(﹣12)÷6﹣(﹣1)2|+|16+(﹣3)2|÷(﹣5).28.(2022春•商城县校级月考)计算:(1)(﹣3)2×[―23+(―59)];(2)﹣14+(﹣3)×[(﹣4)2+2]﹣(﹣2)3÷4;(3)(﹣10)3+[(﹣4)2+(1﹣32)×2]﹣(﹣0.28)÷0.04×(﹣1)2020.。
有理数的加减乘除混合运算复习一、加减法法则、运算律的复习。
A 、△同号两数相加,取 的符号,并把 1、(–3)+(–9) 2、85+(+15)3、(–361)+(–332) 4、(–3.5)+(–532)△绝对值不相等的异号两数相加,取 符号,并用 互为 的两个数相加得0。
1、(–45) +(+23) 2、(–1.35)+6.353、412+(–2.25) 4、(–9)+7△一个数同0相加,仍得 1、(–9)+ 0= 2、0 +(+15)=B .加法交换律:a + b = 加法结合律:(a + b) + c =1、(–1.76)+(–19.15)+ (–8.24)2、23+(–17)+(+7)+(–13)3、(+ 341)+(–253)+ 543+(–852) 4、52+112+(–52)C .有理数的减法可以转化为_______来进行,转化的“桥梁”是有理数减法法则。
△减法法则:减去一个数,等于 即a –b = a + ( -b ) 1、(–3)–(–5) 2、341–(–143) 3、0–(–7)D .加减混合运算可以统一为 运算。
即a + b –c = 。
1.(–3)–(+5)+(–4)–(–10)2、341–(+5)–(–143)+(–5)3、 1–4 + 3–54、–2.4 + 3.5–4.6 + 3.55、 381–253+ 587–852二、乘除法法则、运算律的复习。
A.有理数的乘法法则:两数相乘,同号得 ,异号得 , 并把 。
任何数同0相乘,都得 。
1、(–4)×(–9) 2、(–52)×813、(–6)×04、(–253)×135B.多个 的数相乘,负因数的个数是 时,积是正数;负因数的个数是 时,积是负数。
几个数相乘,如果其中有因数为0,积等于 。
1.(–5)×8×(–7)2.(–6)×(–5)×(–7)3.(–12)×2.45×0×9×100C 、乘积为1的两个数互为倒数1、–4的倒数是____, 相反数是____,绝对值是____。
第1章《有理数》:混合运算专题训练考试范围:有理数混合运算;练习时间:每天15分钟;命题人:黄小芬学校:___________姓名:___________班级:___________考号:___________【第1天】1.计算:(1)1﹣43×(﹣)(2)7×2.6+7×1.5﹣4.1×8.2.计算(1)﹣×3+6×(﹣)(2)(﹣1)2÷×[6﹣(﹣2)3].3.(﹣1)2018÷.4.计算:(﹣+﹣)×(﹣24).5.计算:(1)(2).6.计算:(1)﹣20+(﹣14)﹣(﹣18)﹣13(2)4﹣8×(﹣)3(3)(4)7.计算:(1)(2)﹣110﹣8÷(﹣2)+4×|﹣5|8.计算:(1)(﹣)×(﹣24).(2)﹣.9.计算:(1)(﹣28)÷(﹣6+4)+(﹣1)×5;(2)÷.10.计算:(1)()×(﹣60)(2)×(﹣2)3÷(﹣2)2﹣2×|(﹣1)2017×+1|.【第2天】11.计算:(1)﹣12×2+(﹣2)2÷4﹣(﹣3)(2)12+(﹣7)﹣(﹣18)﹣32.5.12.计算:(1)(﹣1)3﹣×[2﹣(﹣3)2](2)﹣22+|5﹣8|+24÷(﹣3)×.13.计算:(1)26﹣17+(﹣6)﹣33(2)﹣14×[3﹣(﹣3)2].14.计算:﹣32+(﹣12)×||﹣6÷(﹣1).15.计算:﹣14﹣(1﹣0.5)÷×[2﹣(﹣3)2]16.计算:(1)﹣27×(﹣5)+16÷(﹣8)﹣|﹣4×5| (2)﹣16+42﹣(﹣1)×(﹣)÷﹣.17.计算:(1)25×﹣(﹣25)×+25÷(﹣);(2)2﹣23÷[()2﹣(﹣3+0.75)]×5.18.计算(1)40÷(﹣8)+(﹣3)×(﹣2)2+17 (2)﹣42×+|﹣2|3×(﹣)3.【第3天】19.计算:(1)8+(﹣10)﹣(﹣5)+(﹣2)(2).20.计算下列各题:(1)(﹣+﹣)×(﹣48)(2)(﹣1)4﹣(﹣)2+5÷(﹣3)×21.计算:(1)(﹣0.5)+|0﹣6|﹣(+7)﹣(﹣4.75)(2)[(﹣5)2×(﹣)+8]×(﹣2)3÷7.22.计算:(1)(﹣7)+(+5)﹣(﹣13)﹣(+10)(2)1.5÷×(﹣)﹣(﹣8)23.计算:(1)﹣1+5÷(﹣)×2;(2)(﹣+﹣)×(﹣36).24.计算:(1)(2)25.计算:(1)(1﹣+)×(﹣24);(2).26.计算:(1)4﹣|﹣6|﹣3×(﹣);(2)﹣12018×[2﹣(﹣3)2].【第4天】27.计算:(1)(﹣2)2﹣6×÷(﹣3);(2)36×(﹣)2﹣(﹣7).28.计算:(1)﹣20+14﹣18﹣13(2)3×(﹣)÷(﹣)29.计算:(1)22+(﹣33)﹣4×(﹣11)(2)|﹣36|×(﹣)+(﹣8)÷(﹣2)230.计算:(1)﹣22﹣9×(﹣)2+4÷|﹣|;(2)(﹣24)×(﹣+﹣).31.计算:(1)2+(﹣7)﹣(﹣13)(2)5+(﹣7)×(+3)﹣(﹣4÷)(3)(﹣)×(﹣24)﹣4(4)(﹣)×(﹣4)2﹣(﹣1)201832.计算下列各式:(1)12×(2)﹣12﹣×[2﹣(﹣3)2].33.计算(1)(﹣)+|0﹣5|﹣(﹣4)(2)×(﹣5)+(﹣)×9﹣×8 (3)(﹣1)3﹣×[2﹣(﹣3)2].【第5天】34.计算:(1)(﹣3)2×5﹣(﹣2)3÷4(2)(﹣12)×(﹣+﹣)35.计算:(1)(﹣3)+7+8+(﹣9).(2)(﹣1)10×2+(﹣2)3÷4.36.计算:(1)(1﹣1﹣+)÷(﹣)(2)﹣25÷(﹣4)×()2﹣12×(﹣15+24)337.计算:(1)(﹣)×(﹣24)﹣(﹣49÷7)(2)﹣19﹣5×(﹣2)+(﹣4)2÷(﹣8)38.计算:(1)(﹣)×(﹣8)+(﹣6)2;(2)﹣14+(﹣2).39.计算题:(1)22+2×[(﹣3)2﹣3+](2)﹣0.25÷×(﹣1)3+(﹣3.75)×24.40.计算题:(1)30×()(2)10+8×.【第6天】41.计算:(1)(﹣2)×(﹣2.5)+(﹣2)×3÷1.5;(2)(﹣)×(﹣2)2﹣(﹣3)3÷(﹣﹣)2÷(﹣0.25).42.计算:.43.计算:﹣12018÷(﹣5)2×(﹣)﹣|0.8﹣1|.44.计算:(1)(﹣+﹣)×(﹣24);(2)﹣14+2×(﹣3)2﹣5÷×245.计算:(﹣2)3﹣×(3﹣7)×﹣(﹣7﹣8)+(﹣5)46.﹣32+(﹣﹣)×(﹣12).【第7天】47.计算(1)(﹣2)3×0.5﹣(﹣1.6)2÷(﹣2)2(2)23÷[(﹣2)3﹣(﹣4)]48.计算:(1)1+(﹣2)﹣|﹣2﹣3|﹣5;(2)﹣22×7﹣(﹣3)×6+5.49.计算(1)﹣20+(+3)﹣(﹣5)﹣(+7)(2)()×12+(﹣2)3÷(﹣4)50.计算①﹣22×(﹣)+54÷(﹣3)3②(﹣2)2+[18﹣(﹣3)×2]÷4.第1章《有理数》:混合运算专题训练参考答案与试题解析一.解答题(共50小题)1.计算:(1)1﹣43×(﹣)(2)7×2.6+7×1.5﹣4.1×8.【分析】(1)根据有理数混合运算的运算顺序进行计算即可得出结论;(2)利用乘法的分配律进行计算即可得出结论.【解答】解:原式=1﹣64×(﹣),=1﹣64×(﹣),=1+8,=9;(2)原式=7×(2.6+1.5)﹣4.1×8,=7×4.1﹣8×4.1,=(7﹣8)×4.1,=﹣4.1.2.计算(1)﹣×3+6×(﹣)(2)(﹣1)2÷×[6﹣(﹣2)3].【分析】(1)根据有理数的乘法和加法可以解答本题;(2)根据幂的乘方、有理数的乘除法和减法可以解答本题.【解答】解:(1)﹣×3+6×(﹣)=﹣1+(﹣2)=﹣3;(2)(﹣1)2÷×[6﹣(﹣2)3]=1×2×[6﹣(﹣8)]=1×2×14=28.3.(﹣1)2018÷.【分析】直接利用有理数的混合运算法则计算得出答案.【解答】解:原式=1××(﹣8)=﹣3.4.计算:(﹣+﹣)×(﹣24).【分析】利用乘法对加法的分配律,能使运算简便.【解答】解:原式=﹣×(﹣24)+×(﹣24)﹣×(﹣24)=8﹣20+9=﹣35.计算:(1)(2).【分析】(1)根据有理数运算的运算法则求值即可得出结论;(2)利用乘法分配律及有理数运算的运算法则,即可求出结论.【解答】解:(1)原式=﹣1+2﹣16×(﹣)×,=﹣1+2+4,=5;(2)原式=6×﹣6×﹣9×(﹣),=2﹣3+,=﹣.6.计算:(1)﹣20+(﹣14)﹣(﹣18)﹣13(2)4﹣8×(﹣)3(3)(4)【分析】(1)减法转化为加法,计算可得;(2)先计算乘方,再计算乘法,最后计算加法即可得;(3)将除法转化为乘法,再利用乘方分配律计算可得;(4)根据有理数混合运算顺序和运算法则计算可得.【解答】解:(1)原式=﹣20﹣14+18﹣13=﹣47+18=﹣29;(2)原式=4﹣8×(﹣)=4+1=5;(3)原式=(﹣﹣+)×36=﹣×36﹣×36+×36=﹣27﹣20+21=﹣26;(4)原式=÷﹣×16=×﹣=﹣=﹣.7.计算:(1)(2)﹣110﹣8÷(﹣2)+4×|﹣5|【分析】(1)利用乘法分配律计算可得;(2)根据有理数混合运算顺序和运算法则计算可得.【解答】解:(1)原式=×(﹣48)﹣×(﹣48)+×(﹣48)=﹣8+36﹣4=24;(2)原式=﹣1+4+4×5=3+20=23.8.计算:(1)(﹣)×(﹣24).(2)﹣.【分析】(1)运用乘法分配律计算可得;(2)根据有理数混合运算顺序和运算法则计算可得.【解答】解:(1)原式=18+15﹣18=15;(2)原式=﹣4+2×+×16=﹣4+3+1=0.9.计算:(1)(﹣28)÷(﹣6+4)+(﹣1)×5;(2)÷.【分析】(1)原式先计算乘除运算,再计算加减运算即可求出值;(2)原式先计算乘方运算,再计算除法运算即可求出值.【解答】解:(1)原式=(﹣28)÷(﹣2)+(﹣5)=14﹣5=9;(2)原式=(﹣++)×36=9﹣30+12+54=45.10.计算:(1)()×(﹣60)(2)×(﹣2)3÷(﹣2)2﹣2×|(﹣1)2017×+1|.【分析】(1)运用乘法分配律计算可得;(2)根据有理数的混合运算顺序和运算法则计算可得.【解答】解:(1)原式=﹣40+55﹣16=﹣1;(2)原式=﹣×(﹣8)÷4﹣2×|(﹣1)×+1|=1×﹣2×=﹣=﹣.11.计算:(1)﹣12×2+(﹣2)2÷4﹣(﹣3)(2)12+(﹣7)﹣(﹣18)﹣32.5.【分析】(1)根据幂的乘方、有理数的乘除法和加减法可以解答本题;(2)根据有理数的加减法可以解答本题.【解答】解:(1)﹣12×2+(﹣2)2÷4﹣(﹣3)=﹣1×2+4÷4+3=﹣2+1+3=2;(2)12+(﹣7)﹣(﹣18)﹣32.5=12+(﹣7.5)+18+(﹣32.5)=﹣10.12.计算:(1)(﹣1)3﹣×[2﹣(﹣3)2](2)﹣22+|5﹣8|+24÷(﹣3)×.【分析】(1)原式先计算乘方运算,再计算乘法运算,最后算加减运算即可求出值;(2)原式先计算乘方运算,再计算乘除运算,最后算加减运算即可求出值.【解答】解:(1)原式=﹣1﹣×(﹣7)=﹣1+=;(2)原式=﹣4+3﹣=﹣.13.计算:(1)26﹣17+(﹣6)﹣33(2)﹣14×[3﹣(﹣3)2].【分析】(1)原式结合后,相加即可求出值;(2)原式先计算乘方运算,再计算乘法运算,最后算加减运算即可求出值.【解答】解:(1)原式=26﹣17﹣6﹣33=26﹣56=﹣30;(2)原式=﹣1﹣×(﹣6)=﹣1+1=0.14.计算:﹣32+(﹣12)×||﹣6÷(﹣1).【分析】根据幂的乘方、有理数的乘除法和加减法可以解答本题.【解答】解:﹣32+(﹣12)×||﹣6÷(﹣1)=﹣9+(﹣12)×+6=﹣9+(﹣6)+6=﹣9.15.计算:﹣14﹣(1﹣0.5)÷×[2﹣(﹣3)2]【分析】先算乘方,再算乘除,最后算加减;同级运算,应按从左到右的顺序进行计算;如果有括号,要先做括号内的运算.【解答】解:﹣14﹣(1﹣0.5)÷×[2﹣(﹣3)2]=﹣1﹣÷×(2﹣9)=﹣1﹣×7×(2﹣9)=﹣1﹣×7×(﹣7)=﹣1+=.16.计算:(1)﹣27×(﹣5)+16÷(﹣8)﹣|﹣4×5|(2)﹣16+42﹣(﹣1)×(﹣)÷﹣.【分析】(1)根据有理数的乘除法和加减法可以解答本题;(2)根据有理数的乘除法和加减法可以解答本题.【解答】解:(1)﹣27×(﹣5)+16÷(﹣8)﹣|﹣4×5|=135+(﹣2)﹣20=113;(2)﹣16+42﹣(﹣1)×(﹣)÷﹣=﹣16+16+1×(﹣)×6﹣=﹣16+16+(﹣1)﹣=.17.计算:(1)25×﹣(﹣25)×+25÷(﹣);(2)2﹣23÷[()2﹣(﹣3+0.75)]×5.【分析】(1)根据有理数的乘除法和乘法分配律可以解答本题;(2)根据有理数的乘除法和加减法可以解答本题.【解答】解:(1)25×﹣(﹣25)×+25÷(﹣)=25×+25×+25×(﹣4)=25×()=﹣;(2)2﹣23÷[()2﹣(﹣3+0.75)]×5=====﹣13.18.计算(1)40÷(﹣8)+(﹣3)×(﹣2)2+17(2)﹣42×+|﹣2|3×(﹣)3.【分析】(1)原式先计算乘方运算,再计算乘除运算,最后算加减运算即可求出值;(2)原式先计算乘方运算,再计算乘法运算,最后算加减运算即可求出值.【解答】解:(1)原式=﹣5﹣12+17=0;(2)原式=﹣1﹣1=﹣2.19.计算:(1)8+(﹣10)﹣(﹣5)+(﹣2)(2).【分析】(1)原式利用减法法则变形,计算即可求出值;(2)原式先计算乘方运算,再计算乘法运算,最后算加减运算即可求出值.【解答】解:(1)原式=8﹣10+5﹣2=13﹣12=1;(2)原式=﹣8﹣(﹣2)=﹣8+2=﹣6.20.计算下列各题:(1)(﹣+﹣)×(﹣48)(2)(﹣1)4﹣(﹣)2+5÷(﹣3)×【分析】(1)根据乘法分配律可以解答本题;(2)根据幂的乘方、有理数的乘除法和加减法可以解答本题.【解答】解:(1)(﹣+﹣)×(﹣48)=﹣44+56+(﹣36)+26=2;(2)(﹣1)4﹣(﹣)2+5÷(﹣3)×=1﹣=1﹣=0.21.计算:(1)(﹣0.5)+|0﹣6|﹣(+7)﹣(﹣4.75)(2)[(﹣5)2×(﹣)+8]×(﹣2)3÷7.【分析】(1)根据有理数的混合运算顺序和运算法则计算可得;(2)根据有理数的混合运算顺序和运算法则计算可得.【解答】解:(1)原式=﹣0.5+6﹣7+4=(﹣0.5﹣7.5)+(6+4)=﹣8+11=3;(2)原式=[25×(﹣)+8]×(﹣8)÷7=[﹣15+8]×(﹣8)÷7=﹣7×(﹣8)÷7=56÷7=8.22.计算:(1)(﹣7)+(+5)﹣(﹣13)﹣(+10)(2)1.5÷×(﹣)﹣(﹣8)【分析】(1)根据有理数的加减法可以解答本题;(2)根据有理数的乘除法和减法可以解答本题.【解答】解:(1)(﹣7)+(+5)﹣(﹣13)﹣(+10)=(﹣7)+5+13+(﹣10)=1;(2)1.5÷×(﹣)﹣(﹣8)=1.5×+8=(﹣3)+8=5.23.计算:(1)﹣1+5÷(﹣)×2;(2)(﹣+﹣)×(﹣36).【分析】(1)原式先计算乘除运算,再计算加减运算即可求出值;(2)原式利用乘法分配律计算即可求出值.【解答】解:(1)原式=﹣1﹣20=﹣21;(2)原式=12﹣30+21=3.24.计算:(1)(2)【分析】(1)原式先计算乘方运算,再计算乘除运算即可求出值;【解答】解:(1)原式=﹣2××=﹣2;(2)原式=﹣9﹣6+1+8=﹣6.25.计算:(1)(1﹣+)×(﹣24);(2).【分析】(1)运用乘法分配律计算可得;(2)先计算乘方和括号内的减法,再计算乘法,最后计算加减可得.【解答】解:(1)原式=﹣24+9﹣14=﹣29;(2)原式=﹣8×﹣(﹣4)=﹣6+4=﹣2.26.计算:(1)4﹣|﹣6|﹣3×(﹣);(2)﹣12018×[2﹣(﹣3)2].【分析】(1)原式先计算乘法运算,再计算加减运算即可求出值;(2)原式先计算乘方运算,再计算乘法运算,最后算加减运算即可求出值.【解答】解:(1)原式=4﹣6+1=﹣1;(2)原式=﹣1+=.27.计算:(1)(﹣2)2﹣6×÷(﹣3);(2)36×(﹣)2﹣(﹣7).(2)原式先计算乘方运算,再计算乘法运算,最后算加减运算即可求出值.【解答】解:(1)原式=4+1=5;(2)原式=1+7=8.28.计算:(1)﹣20+14﹣18﹣13(2)3×(﹣)÷(﹣)【分析】(1)根据有理数的加减法可以解答本题;(2)根据有理数的乘除法可以解答本题.【解答】解:(1)﹣20+14﹣18﹣13=(﹣20)+14+(﹣18)+(﹣13)=﹣37;(2)3×(﹣)÷(﹣)=3×=29.计算:(1)22+(﹣33)﹣4×(﹣11)(2)|﹣36|×(﹣)+(﹣8)÷(﹣2)2【分析】(1)先计算乘法,再计算加法即可得;(2)根据有理数混合运算顺序和运算法则计算可得.【解答】解:(1)原式=﹣11+44=33;(2)原式=36×(﹣)+(﹣8)÷4=﹣3+(﹣2)=﹣5.30.计算:(1)﹣22﹣9×(﹣)2+4÷|﹣|;(2)(﹣24)×(﹣+﹣).【分析】(1)根据幂的乘方、有理数的乘除法和加减法可以解答本题;(2)根据乘法分配律可以解答本题.【解答】解:(1)﹣22﹣9×(﹣)2+4÷|﹣|=﹣4﹣9×+4×=﹣4﹣1+6=1;(2)(﹣24)×(﹣+﹣)=20+(﹣9)+2=13.31.计算:(1)2+(﹣7)﹣(﹣13)(2)5+(﹣7)×(+3)﹣(﹣4÷)(3)(﹣)×(﹣24)﹣4(4)(﹣)×(﹣4)2﹣(﹣1)2018【分析】(1)根据有理数的加减法可以解答本题;(2)根据有理数的乘法和加减法可以解答本题;(3)根据有理数的乘法和减法可以解答本题;(4)根据有理数的乘法和减法可以解答本题.【解答】解:(1)2+(﹣7)﹣(﹣13)=2+(﹣7)+13=8;(2)5+(﹣7)×(+3)﹣(﹣4÷)=5+(﹣21)+4×2=5+(﹣21)+8=﹣8;(3)(﹣)×(﹣24)﹣4=()×(﹣24)﹣4=3﹣4=﹣1;(4)(﹣)×(﹣4)2﹣(﹣1)2018=(﹣)×16﹣1=(﹣10)+(﹣1)=﹣11.32.计算下列各式:(1)12×(2)﹣12﹣×[2﹣(﹣3)2].【分析】(1)原式利用乘法分配律计算即可求出值;(2)原式先计算乘方运算,再计算乘法运算,最后算加减运算即可求出值.【解答】解:(1)原式=12﹣6﹣4=2;(2)原式=﹣1﹣×(﹣7)=﹣1+=.33.计算(1)(﹣)+|0﹣5|﹣(﹣4)(2)×(﹣5)+(﹣)×9﹣×8(3)(﹣1)3﹣×[2﹣(﹣3)2].【分析】(1)原式利用减法法则变形,计算即可求出值;(2)原式逆用乘法分配律计算即可求出值;(3)原式先计算乘方运算,再计算乘法运算,最后算加减运算即可求出值.【解答】解:(1)原式=﹣+5+4=﹣+10=9;(2)原式=﹣×(5+9+8)=﹣7;(3)原式=﹣1﹣×(﹣7)=﹣1+=.34.计算:(1)(﹣3)2×5﹣(﹣2)3÷4(2)(﹣12)×(﹣+﹣)【分析】(1)先计算乘方,再计算乘除,最后计算加减即可得;(2)运用乘法分配律计算可得.【解答】解:(1)原式=9×5+8÷4=45+2=47;(2)原式=9﹣7+10=12.35.计算:(1)(﹣3)+7+8+(﹣9).(2)(﹣1)10×2+(﹣2)3÷4.【分析】(1)原式结合后,相加即可求出值;(2)原式先计算乘方运算,再计算乘除运算,最后算加减运算即可求出值.【解答】解:(1)原式=﹣12+15=3;(2)原式=2﹣2=0.36.计算:(1)(1﹣1﹣+)÷(﹣)(2)﹣25÷(﹣4)×()2﹣12×(﹣15+24)3【分析】(1)除法转化为乘法,再运用乘法分配律计算可得;(2)根据有理数混合运算顺序和运算法则计算可得.【解答】解:(1)原式=(1﹣1﹣+)×(﹣24)=﹣24+36+9﹣14=7;(2)原式=﹣32×(﹣)×﹣12×(﹣15+16)3=2﹣12×1=2﹣12=﹣10.37.计算:(1)(﹣)×(﹣24)﹣(﹣49÷7)(2)﹣19﹣5×(﹣2)+(﹣4)2÷(﹣8)【分析】(1)原式先计算乘除运算,再计算加减运算即可求出值;(2)原式先计算乘方运算,再计算乘除运算,最后算加减运算即可求出值.【解答】解:(1)原式=﹣3+2+7=6;(2)原式=﹣1+10﹣2=7.38.计算:(1)(﹣)×(﹣8)+(﹣6)2;(2)﹣14+(﹣2).【分析】(1)根据有理数的乘法和加法可以解答本题;(2)根据幂的乘方、有理数的除法和减法可以解答本题.【解答】解:(1)(﹣)×(﹣8)+(﹣6)2=4+36=40;(2)﹣14+(﹣2)=﹣1+2×3﹣9=﹣4.39.计算题:(1)22+2×[(﹣3)2﹣3+](2)﹣0.25÷×(﹣1)3+(﹣3.75)×24.【分析】(1)根据幂的乘方、有理数的乘法和加减法可以解答本题;(2)根据幂的乘方、有理数的乘除法和加减法可以解答本题.【解答】解:(1)22+2×[(﹣3)2﹣3+]=4+2×[9﹣3+]=4+2×=4+13=17;(2)﹣0.25÷×(﹣1)3+(﹣3.75)×24=﹣×(﹣1)+33+56﹣90=1+33+56﹣90=0.40.计算题:(1)30×()(2)10+8×.【分析】(1)原式利用乘法分配律计算即可求出值;(2)原式先计算乘方运算,再计算乘除运算,最后算加减运算即可求出值.【解答】解:(1)原式=15﹣20﹣24=﹣29;(2)原式=10+2﹣10=2.(1)(﹣2)×(﹣2.5)+(﹣2)×3÷1.5;(2)(﹣)×(﹣2)2﹣(﹣3)3÷(﹣﹣)2÷(﹣0.25).【分析】(1)原式先计算乘除运算,再计算加减运算即可求出值;(2)原式先计算乘方运算,再计算乘除运算,最后算加减运算即可求出值.【解答】解:(1)原式=5﹣4=1;(2)原式=﹣10﹣27÷÷0.25=﹣10﹣27××4=﹣10﹣=﹣.42.计算:.【分析】原式先计算乘方运算,再计算乘法运算,最后算加减运算即可求出值.【解答】解:原式=﹣1+0+12﹣6+3=8.43.计算:﹣12018÷(﹣5)2×(﹣)﹣|0.8﹣1|.【分析】原式先计算乘方运算,再计算乘除运算,最后算加减运算即可求出值.【解答】解:原式=1÷25×﹣0.2=﹣=﹣.44.计算:(1)(﹣+﹣)×(﹣24);(2)﹣14+2×(﹣3)2﹣5÷×2【分析】(1)原式利用乘法分配律计算即可求出值;(2)原式先计算乘方运算,再计算乘除运算,最后算加减运算即可求出值.【解答】解:(1)原式=18﹣4+9=23;(2)原式=﹣1+18﹣20=﹣3.45.计算:(﹣2)3﹣×(3﹣7)×﹣(﹣7﹣8)+(﹣5)【分析】根据幂的乘方、有理数的乘法和减法可以解答本题.【解答】解:(﹣2)3﹣×(3﹣7)×﹣(﹣7﹣8)+(﹣5)=(﹣8)﹣=(﹣8)+4+15+(﹣5)=6.46.﹣32+(﹣﹣)×(﹣12).【分析】根据幂的乘方、乘法分配律可以解答本题.【解答】解:﹣32+(﹣﹣)×(﹣12)==﹣9+(﹣10+4+9)=﹣6.47.计算(1)(﹣2)3×0.5﹣(﹣1.6)2÷(﹣2)2(2)23÷[(﹣2)3﹣(﹣4)]【分析】(1)根据有理数混合运算顺序和运算法则计算可得;(2)根据有理数混合运算顺序和运算法则计算可得.【解答】解:(1)原式=﹣8×0.5﹣2.56÷4=﹣4﹣0.64=﹣4.64;(2)原式=23÷(﹣8+4)=23÷(﹣4)=﹣48.计算:(1)1+(﹣2)﹣|﹣2﹣3|﹣5;(2)﹣22×7﹣(﹣3)×6+5.【分析】(1)原式利用绝对值的代数意义化简,计算即可求出值;(2)原式先计算乘方运算,再计算乘法运算,最后算加减运算即可求出值.【解答】解:(1)原式=1﹣2﹣5﹣5=﹣11;(2)原式=﹣28+18+5=﹣5.49.计算(1)﹣20+(+3)﹣(﹣5)﹣(+7)(2)()×12+(﹣2)3÷(﹣4)【分析】(1)根据有理数的加减法可以解答本题;(2)根据乘法分配律、幂的乘方、有理数的除法和加法可以解答本题.【解答】解:(1)﹣20+(+3)﹣(﹣5)﹣(+7)=(﹣20)+3+5+(﹣7)=﹣19;(2)()×12+(﹣2)3÷(﹣4)=3+2﹣6+(﹣8)÷(﹣4)=3+2﹣6+2=1.50.计算①﹣22×(﹣)+54÷(﹣3)3②(﹣2)2+[18﹣(﹣3)×2]÷4.【分析】①原式先计算乘方运算,再计算乘除运算,最后算加减运算即可求出值;②原式先计算乘方运算,再计算乘除运算,最后算加减运算即可求出值.【解答】解:①原式=﹣4×(﹣)+54÷(﹣27)=2﹣2=0;②原式=4+[18﹣(﹣6)]÷4=4+24÷4=4+6=10.考点卡片1.有理数的乘法(1)有理数乘法法则:两数相乘,同号得正,异号得负,并把绝对值相乘.(2)任何数同零相乘,都得0.(3)多个有理数相乘的法则:①几个不等于0的数相乘,积的符号由负因数的个数决定,当负因数有奇数个时,积为负;当负因数有偶数个时,积为正.②几个数相乘,有一个因数为0,积就为0.(4)方法指引:①运用乘法法则,先确定符号,再把绝对值相乘.②多个因数相乘,看0因数和积的符号当先,这样做使运算既准确又简单.2.有理数的除法(1)有理数除法法则:除以一个不等于0的数,等于乘这个数的倒数,即:a÷b=a•(b ≠0)(2)方法指引:(1)两数相除,同号得正,异号得负,并把绝对值相除.0除以任何一个不等于0的数,都得0.(2)有理数的除法要分情况灵活选择法则,若是整数与整数相除一般采用“同号得正,异号得负,并把绝对值相除”.如果有了分数,则采用“除以一个不等于0的数,等于乘这个数的倒数”,再约分.乘除混合运算时一定注意两个原则:①变除为乘,②从左到右.3.有理数的乘方(1)有理数乘方的定义:求n个相同因数积的运算,叫做乘方.乘方的结果叫做幂,在a n中,a叫做底数,n叫做指数.a n读作a的n次方.(将a n看作是a 的n次方的结果时,也可以读作a的n次幂.)(2)乘方的法则:正数的任何次幂都是正数;负数的奇次幂是负数,负数的偶次幂是正数;0的任何正整数次幂都是0.(3)方法指引:①有理数的乘方运算与有理数的加减乘除运算一样,首先要确定幂的符号,然后再计算幂的绝对值;②由于乘方运算比乘除运算又高一级,所以有加减乘除和乘方运算,应先算乘方,再做乘除,最后做加减.4.有理数的混合运算(1)有理数混合运算顺序:先算乘方,再算乘除,最后算加减;同级运算,应按从左到右的顺序进行计算;如果有括号,要先做括号内的运算.(2)进行有理数的混合运算时,注意各个运算律的运用,使运算过程得到简化.【规律方法】有理数混合运算的四种运算技巧1.转化法:一是将除法转化为乘法,二是将乘方转化为乘法,三是在乘除混合运算中,通常将小数转化为分数进行约分计算.2.凑整法:在加减混合运算中,通常将和为零的两个数,分母相同的两个数,和为整数的两个数,乘积为整数的两个数分别结合为一组求解.3.分拆法:先将带分数分拆成一个整数与一个真分数的和的形式,然后进行计算.4.巧用运算律:在计算中巧妙运用加法运算律或乘法运算律往往使计算更简便.。
有理数混合运算复习理解乘方的意义,理解有理数的加、减、乘、除的运算法则,掌握有理数的加、减、乘、除、乘方及简单的混合运算。
知识点总结1.有理数混合运算法则(1)先算 ,再算 ,最后算 ; (2)同级运算,按照 的顺序进行;(3)如果有括号,就先算 里的,再算 里的,最后算 里的。
2.运算定律在有理数计算中要学会灵活运用运算律(包括加法 、加法 、乘法 、 乘法 、乘法 ),进行简便运算。
3.科学记数法把一个大于10的数记成a ×10n的形式;其中a 是整数数位只有____位的数,即a 的取 值范围为 。
例1:计算(1)()[]⎪⎭⎫ ⎝⎛-÷+-⨯-⨯--328533835232(2)222192411124⎛⎫-+-----÷ ⎪⎝⎭变式练习1:(1)4211(10.5)[2(3)]3---⨯⨯-- (2)23122(3)(1)6293--⨯-÷-例2:计算:()714139-⨯,看谁算得又对又快,一名同学给出的解法如下: ()21692139714139-=-=-⨯=另一名同学给出的解法如下: ()()()21697141379714139-=-⨯+-⨯=-⨯⎪⎭⎫ ⎝⎛+= 此题还有其它解法吗?如果有,用另外的方法把它解出来?变式练习2:计算: (1)9181719⨯-)(; (2) ()816159-⨯⎪⎭⎫ ⎝⎛-例题3:用科学记数法表示:(1)37820000= ,378.2= ,-37820000= ; (2)3.124×107的原数是 。
变式练习3:(1)科学记数法表示:-123.4= ,1020= ,-5678= 。
(2)6.3×103的原数是= ;用科学记数法表示60万 。
例4:若3a -+|2b+5|=0,计算2a-b 的值.变式练习4:已知0322=-++b a )(,则a+b= 。
课堂练习(一)选择题1. 某数的平方是41,则这个数的立方是( )A.81B. -81 C.81或-81D. +8或-8 2. 下列各对数值相等的是( )。
专题: 有理数的混合运算重难点易错点解析题面:计算:1 222320.83512004241222.758 33 7 5 1 4126604.037127.537 12 367 5 796 18有理数的混合运算: 1、乘方乘除加减2、有括号先计算括号里的金题精讲题一题面:下列说法正确的是( )A 、零除以任何数 都得 0B 、绝对值相等的两个数相等C 、几个有理数相乘,积的符号由负因数的个数决定D 、两个数互为倒数 ,则它们的相同次幂仍互为倒数题二题面:在 10.5 与它的倒数之间有 a 个整数,在 10.5 与它的相反数之间有 b 个整数.求( a+b )÷( a-b )+2 的值.题三题面:若 a 是有理数,则下列各式一定成立的有()(1)a2a2( 2)a 2a2(3)a3a3(4)a3a3A.1 个B.2 个C.3 个D.4 个题四题面:已知: a199919991999 ,199819981998200020002000b199919991999200120012001c200020002000则 abc 的值是多少?思维拓展题面:定义一种对正整数 n的“F 运算”:①当 n 为奇数时,结果为3n+5,②当 n 为偶数时,结果为nk(其中 k 是使nk为奇数的正整数),运算重复进行下去.例如,取n=26,运算如22图.F ② F ① F ②26134411 ⋯第 1次第 2次第 3次若 n=449,则第 449 次“F 运算”的结果是.2019-2020 年七年级数学上《有理数的混合运算》专题复习讲义重难点易错点解析答案:30-3030 4金题精讲题一答案: D题二答案:911题三答案: A题四答案: -1思维拓展答案:8。