天津大学计算机学院2014年研究生招生夏令营录取名单
- 格式:pdf
- 大小:192.57 KB
- 文档页数:4
天津大学2014年硕士学位研究生招生简章来源:商都网教育频道 2013-8-23 10:23:16 天津大学是教育部直属国家重点大学,其前身为北洋大学,始建于1895年10月2日,是中国第一所现代大学,素以“实事求是”的校训和“严谨治学,严格教学要求”的治学方针享誉海内外。
1951年经国家院系调整定名为天津大学,是1959年中共中央首批确定的16所国家重点大学之一,是“211工程”、“985工程”首批重点建设的大学。
天津大学目前已成为一所师资力量雄厚、学科特色鲜明、教育质量和科研水平居于国内一流、在国际上有较大影响的高水平研究型大学。
在学科建设上,形成了以工为主、理工结合,经、管、文、法、教育等多学科协调发展的学科布局。
我校现有一级国家重点学科7个,分别是:光学工程、仪器科学与技术、材料科学与工程、建筑学、水利工程、化学工程与技术、管理科学与工程;二级国家重点学科8个,分别是:流体力学、机械设计及理论、动力机械及工程、电力系统及其自动化、微电子学与固体电子学、通信与信息系统、检测技术与自动化装臵、结构工程;二级学科国家重点(培育)学科2个,分别是:一般力学与力学基础、技术经济及管理。
目前,工学门类一级学科中,1/3为国家重点学科,工科优势地位非常明显。
一、招生计划天津大学2014年硕士研究生招生计划约为3630名,其中学术型硕士研究生约占2200名,全日制专业学位硕士研究生约占1430名。
我校接收推荐免试生数可不低于硕士研究生招生总规模数的30%,各专业比例有所不同。
我校按照学院下拨招生计划,各专业的招生人数由各学院在复试前根据生源情况、导师人数等综合确定(招生专业目录上公布的各学院招生人数是我校按照2012年招生计划制定的,2014年实际招生人数以国家当年下达给我校的招生计划为准)。
二、考试方式、报考条件我校2014年考试方式:全国统一考试,管理类联考,应届本科毕业生推荐免试。
(一)全国统一考试报考条件:1.中华人民共和国公民。
天津大学计算机科学与技术考研复习辅导资料及导师分数线信息 天津大学计算机学院计算机科学与技术考研考试科目为思想政治理论、英语一与数学一,还有数据结构与程序设计,复试科目为数据库与编译原理。
本专业学生主要学习计算机科学与技术方面的基本理论和基本知识,接受从事研究与应用计算机的基本训练,具有研究和开发计算机系统的基本能力。
专业名称 科目名称 备注081200计算机科学与技术0116081200 ①101思想政治理论②201英语一③301数学一④901数据结构与程序设计复试科目:数据库与编译原理天津大学计算机科学与技术近几年考研报名情况报考人数 录取人数 推免生 录取分数学院 专业名称 2012年 2013年2012年2013年2012年2013年2012年2013年计算机学院计算机科学与技术 46131478652231 311 311天津大学计算机科学与技术2012年考研报考人数为461人,2013年报考人数为314人,2015年报考人数为306人,2012年录取人数为78人,2013年录取人数为65人,2015年录取人数为63人,2012年推免生人数为22人,2013年推免生人数为31人,2015年推免生人数为33人。
考研大纲作为唯一官方的考研指导性文件在专业课的备考中作用重大,但是卷面实际重点和大纲往往有所差别,甚至部分科目有超纲情况。
针对这种情况天津考研网协同本专业资深硕博团队为广大研友倾力打造独家权威考试大纲解读视频,旨在透视大纲要点,洞悉考试重点,对比历年变化,从而更好指引研友正确的复习方向。
主要内容包括考试科目综述(考试总体要求、科目特点、大纲作用、近年变动情况等)、大纲考点解析(对大纲中要求的考点展开解析及应对策略)、试卷结构分析(题型、分值及注意情况)、答题技巧(针对题型宏观指导,以便于在复习过程中关注)天津大学计算机科学与技术考研导师信息李晓红个人简介李晓红,女,1965年9月出生,工学博士学位,天津大学计算机及信息技术系、教授,博士生导师。
学院首页 | 学院概况 | 研究生招生 | 教学与培养 | 学位授予 | 非学历教育 | 学科建设首页-公告通知天津医科大学2014年硕士研究生录取结果查询各位考生: 我校2014年硕士研究生一志愿及第一批调剂复试录取工作已经结束,现将拟录取结果进行公示,公示名单如下,公示期10天,4月14日上午9:00-4月23日上午9:00,公示期间如有异议请实名举报,投诉电话:83336880(纪检监察)或83336930(研招办)。
4月16日以后可以登录我校查询系统查询本人复试各项分数。
附:天津医科大学2014年硕士研究生第一批复试及拟录取结果公式名单 注:该名单按姓氏拼音排序,并非各专业拟录取排序。
复试成绩为复试笔试成绩与复试面试成绩按比例计算结果,最终成绩为初试成绩与复试成绩按比例计算结果,详细计算公式请参照我校复试工作细则中相关规定考生编号姓名考试方式专项计划复试成绩最终成绩录取结果103584210001395侯永强统考9383.8录取100624000100759郑文松统考93.6382.92录取100624000103525宋菲统考84.1582.58录取100624000100125周平统考8882.5录取100554333312754毕文静统考9582.4录取100624000102610徐会统考8982.3录取103584210001398张沛涛统考95.682录取100014014910210王莉洁统考9082录取100624000103144荀晓冬统考9781.7录取100624000102407郑希希统考87.6981.64录取100624000102554蔡欢欢统考92.8781.53录取100624000101859宋华林统考9180.8录取100624000100304刁晴晴统考93.5580.58录取100624000103623郑莉统考88.680.5录取100624000104308孙文敬统考88.780.35录取100014014893157苗静统考92.980.15录取100624000100117曹璐统考8780.1录取105044210432110王冠男统考91.680录取100624000104648顾叶青统考85.480录取100624000104037马燕燕统考85.280录取100624000102646丰立娟统考87.7679.88录取104594412020028孙凯丽统考9179.8录取100624000101223张经纬统考87.1579.78录取100624000100148曹自统考88.479.6录取100624000102543李花娟统考8579.6录取100624000102508袁丛丛统考90.279.5录取100624000100114刘琛统考8779.5录取100624000105023孔银龙统考86.4479.42录取106984410505186王月统考9279.4录取100554333313613邵莹统考88.679.4录取100624000101247崔庭凯统考8879.4录取100624000105954龙安安统考88.5779.38录取100624000100545陈星统考86.1479.37录取100554000003239黄珊统考9379.3录取100624000100924李宝柱统考85.9679.28录取100624000103645危平辉统考87.9379.27录取100624000104639李苗苗统考86.579.25录取100624000105459谈小莉统考88.6479.22录取100624000104304陈贺涛统考85.978.85录取100624000103504王大权统考8778.8录取100624000102023张焕婷统考85.178.55录取100624000104036管叙文统考83.578.55录取100624000100157周冷潇统考87.9878.49录取100624000105125张素倍统考85.378.45录取100624000104813董晓艳统考83.278.2录取100624000100843张成宝统考82.278.2录取100624000101343李杉杉统考86.7878.19录取103354000911221张华统考9078.1录取100234112303004吕雪统考89.578.05录取100624000103505吕欣统考89.378.05录取100624000103028武玉晶统考88.2978.05录取100624000101856阚顺利统考8977.9录取102004133905510高红叶统考88.477.8录取100564016515038郭利明统考8577.7录取100624000101518刘海逸统考86.1577.68录取100624000102536李阳统考85.1577.68录取100624000104830康庚统考89.377.65录取100624000104646张斌统考82.377.65录取100624000101509孔令喆统考81.2277.61录取100624000103101陈爽统考8877.6录取100624000103707张坤统考88.5277.56录取100624000101606吴雨征统考83.9877.49录取100624000102219张倩瑜统考88.8477.32录取100554333306404于子涵统考87.877.3录取100624000105524边映雪统考8777.3录取100624000104101陈浩统考86.677.3录取100564001607416郑云梅统考8277.3录取100624000102754卫园园统考85.4577.23录取100194013061469王天怡统考91.277.2录取100624000103711靳燕统考83.2177.2录取100624000104023杨丽艳统考84.8877.14录取100624000100540李增勋统考83.7877.09录取102844213013100陈文博统考89.877录取100624000101644原志芳统考81.576.95录取100624000103738刘晓鸽统考90.0776.93录取100624000104707陈琳统考87.0676.93录取100194012041115孙康康统考8876.9录取100624000103141张旭统考8876.9录取100624000101743吴楠统考85.676.9录取100624000105622赵安东统考87.276.8录取100624000103029孙东东统考8776.8录取100624000104429陈振统考85.3776.78录取100624000105946靳育静统考83.2276.71录取100624000100129韩轩统考83.576.65录取100624000100802杨楠统考86.4276.61录取100624000103204郭玉婷统考90.1576.58录取100554333315902贾亚南统考79.576.55录取100624000103151杨红彩统考87.276.5录取100554000004117曹怡然统考8476.5录取100624000104302韩倩统考84.2576.43录取105334430401753陈晓宇统考9276.4录取100624000103205道龙统考9076.4录取800014085000037范艳玲统考88.276.4录取100624000105144王伟统考83.7576.38录取103844212600111苏冬雪统考9076.3录取100624000105101高闯统考82.676.3录取100624000105804张瑞珊统考90.6976.25录取100624000101224李婧统考83.8576.23录取102484121415199赵瑞统考8076.2录取100624000101209李婵统考77.3576.17录取100624000104650杨慧君统考86.576.15录取106984511805284海蕾统考92.676.1录取800014112000129吴潇然统考86.876.1录取100624000102527朱凯凯统考84.876.1录取100624000105258朱萍统考84.1576.08录取100624000103758孙婷婷统考87.9376.07录取100624000100504金瑛瑛统考76.4976.05录取100624000102720马亚楠统考84.8276.01录取100624000103446刘诗群统考80.2376.01录取100624000100320赵飞翔统考88.375.95录取100624000100705朱晓彤统考81.575.85录取100624000103658游超英统考8375.8录取100014014940135秦尉统考80.9975.79录取100624000103845孔海芳统考86.9475.77录取100624000105923王淑玲统考88.7275.76录取100554333312130林真真统考85.675.7录取100554333312110王长莹统考84.675.7录取100624000104342刘毅统考76.575.65录取100624000102516沈梦统考83.6575.63录取100624000104221李井平统考84.2275.61录取100554333314241李瑞英统考9175.6不录取100624000102349赵志虎统考83.275.6录取100624000102603彭琛统考88.9775.49录取100624000100817冯全志统考84.5475.47录取800014113000110王珊统考86.575.45录取100624000100732李佳红统考86.8875.44录取100014014910148吕慧珍统考92.275.4录取100564004009617胡雅琦统考8175.4录取100624000103710陈海珠统考86.7175.36录取100624000103944王延臣统考86.8275.31录取100554333309510高菲统考89.475.3录取100624000102903李芳统考86.7875.29录取100624000105128徐冲统考83.175.25录取100624000105116徐淑娟统考81.0275.21录取100624000105442褚小琴统考89.275.2录取100554333315636刘畅统考88.875.2录取100624000101649胡瑞霞统考85.675.2录取100624000103902李书苹统考86.0575.12录取100014014920120陈书仪统考9075.1录取100624000101602侯玉薇统考86.5975.1录取102844213512933陈皓统考82.875.1录取100624000101013邱鸣寒统考84.5375.06录取102484121410435肖英男统考86.575.05录取100624000105120祖彩华统考84.8875.04录取100624000104259郭乐乐统考77.5874.99录取102464210008675李杰统考88.274.9录取104234037094734刘长政统考8774.9录取100624000101255曾宪杰统考83.774.85录取100624000104957阮先辉统考84.2874.84录取100624000103034李燕妮统考9074.8录取100624000102725苏乾统考86.5674.78录取100624000100332李江统考84.7274.76录取100624000101242孙宇统考86.174.75录取100624000105343张然统考89.4874.74录取100624000104542华明辉统考87.0474.72录取100624000100804刘梁生统考84.2574.72录取100624000104953刘豫统考82.2274.71录取104864204020716张艳艳统考8874.7录取102844213509885许乔统考85.874.7录取100554333313621周蒙统考84.674.7录取100564008911233郭振昌统考8274.7录取102844213012492张学娇统考84.974.65录取100624000104016王永娟统考89.0674.63录取100624000104759刘文香统考88.4674.63录取100014014891047张雁统考8974.6录取103844211110179闫琛统考8774.6录取100554333306109刘俊荣统考84.874.6录取100624000105834张冰统考86.8274.51录取100624000100142郭雅秀统考86.4274.51录取100554333311215杨辉统考8874.5录取102464210006446杨静统考87.874.5录取100624000103135杜智勇统考86.0974.45录取100624000100155刘欣培统考84.1674.38录取100624000104339解斌统考87.4374.32录取100624000101252郑昌杰统考85.2474.32录取100014014891029朱改只统考88.874.3录取100624000103340董杰统考82.274.3录取100624000102038孙丹阳统考86.1174.26录取100624000101914郭小凡统考79.8874.24录取100624000103759孙方圆统考81.4474.22录取100624000103852贾彦春统考79.4574.22录取100624000104315陈娟统考82.374.15录取100624000103113朱琳统考83.4274.11录取100564006510447赵一贺统考82.474.1录取100624000101228张丽丽统考84.3574.08录取100624000105718方立云统考78.7574.08录取100624000101237赵亚倩统考84.574.05录取100624000101858秦川统考79.0574.03录取100624000100938潘明霞统考81.6673.93录取100554000003246叶政统考9073.9录取104864204020715魏梅统考82.873.9录取100624000100327温成龙统考83.9473.87录取100624000102408赵宁统考81.9373.86录取801004000000384张晓宁统考87.173.85录取100624000102133杨亚娟统考86.2373.82录取100624000103455肖捷统考9073.8录取100624000101233单安琪统考85.273.8录取100624000101646许洪梅统考79.673.8录取100624000103834刘辉强统考85.7673.78录取100624000100347刘志礼统考87.5173.76录取103844211110201王滋豪统考84.573.75复试组不同意录取100624000102024李娟统考78.0573.72录取100624000103529王首骏统考84.7373.66录取100624000102535王利利统考78.1173.65录取100624000102524王卓群统考77.8273.61录取100624000103828王冬博统考85.1673.58录取100624000101558孙海珍统考83.7273.56录取100624000101620王冬冬统考82.3173.56录取101834130404979熊显佳统考84.373.55录取100624000103919杨同统考西部计划90.2873.54录取100624000101938杨丽潇统考86.4273.51录取100624000105113杨柳统考83.0273.51录取100624000101502申忠华统考83.273.5录取100624000103844陈玉凤统考85.3773.49录取100624000102559孙红红统考84.1773.49录取100624000104959袁晓晗统考84.5573.48录取100624000104203王绕绕统考83.5473.47录取100624000101222王晶统考81.973.45录取100624000104647李庆奎统考80.573.45录取100624000101016孙昌裕统考85.2673.43录取100624000105543刘伟色统考78.8573.43录取100624000105001常利利统考83.2473.42录取100624000103857秦振邦统考80.0473.42录取100624000105832王伟统考86.673.4录取100554333314823杨丽敏统考86.273.4录取100624000103937常旭统考80.4973.35录取100624000101808王晓晓统考84.8873.34录取100624000102303徐良统考84.4573.33录取100624000101438韩聪统考8573.3录取104224510095571杨永旭统考8573.3录取100624000104601张高超统考84.2373.22录取100624000104417张爱巧统考85.0273.21录取100624000101911岳玖玲统考77.8273.21录取100624000102104申学杰统考81.5973.19录取100624000105902张艳统考81.573.15不录取106104105200072轩宾统考79.173.15录取100624000100231向莹莹统考84.4573.13录取100624000103938徐磊统考82.0773.13录取100624000103822项杰统考80.0273.11录取100624000105201郭跃楠统考80.3773.09录取100624000102506刘洪泽统考79.7873.09录取100624000105140张梦统考81.3773.08录取100624000100849戴健行统考81.5273.06录取100624000103146张玉娇统考80.173.05录取100624000105153刘凯统考78.2873.04录取100624000104703丁亚南统考82.273录取100624000101308魏晓鹏统考86.1472.97录取100624000103441王新天统考85.1472.97录取100624000104553李婷统考78.7372.97录取100624000103528王超盟统考79.5272.96录取100624000101908崔芒芒统考76.7272.96录取100624000105053孟珂统考82.772.95录取100624000101330纪宁统考81.772.95录取100624000102643徐文艳统考79.0772.93录取100624000103117路长红统考78.2372.92录取100624000104832罗婧统考83.0272.91录取100624000104335刘琳琳统考85.4172.9录取104224510095464徐苗苗统考8272.9录取100624000105940张培统考77.1772.89录取100624000101534王丽统考85.972.85录取103844211110219张巧歌统考84.572.85录取100624000105016潘盼统考84.0772.83录取100624000103129胡绍兰统考78.2572.83录取100624000104617张一然统考85.6472.82录取100624000105937常鹏程统考83.6372.82录取100624000104357曹芳统考79.672.8录取100624000104817薛丹统考83.5672.78录取100624000105717王佳鑫统考84.9572.77录取100624000103718聂江平统考78.9272.76录取100624000104828杨明建统考74.7272.76录取100624000102143张瑜统考80.972.75录取100624000104120刘保文统考81.4672.73录取100624000100336霍茜瑜统考83.2472.72录取100554000003238韩泽统考85.472.7录取100624000102050李明彪统考80.7972.7录取100624000103520黄勇统考80.672.7录取100624000103202杨冬雪统考83.772.65不录取100624000103709房坤统考80.8872.64录取100624000102348李巍统考75.8572.63录取100624000101319姚鸿飞统考7972.6录取100624000103352王妍妍统考77.872.6录取100624000102027李倩统考81.972.55录取100624000101831陈妍妍统考79.8672.53录取100624000100408李欣统考77.2372.52录取100624000102734王丽丽统考82.6272.51录取102484121416778王嘉南统考86.872.5录取100624000105808刘子豪统考少民骨干人才计划82.1972.5录取100234130605038杨慧鹏统考81.672.5录取100624000104633赵伟统考79.6972.45录取100254120200740杨爽统考84.872.4录取100624000100758付蔷统考84.1972.4录取100624000104517刘媛统考83.472.4录取100624000103152鲍哲恒统考8172.4录取102464210006331郭军亮统考8072.4录取100624000101616钟帅统考81.1872.39录取100624000105814栗勇涛统考80.1572.38录取100624000103250王慧统考79.7672.38录取100624000103310范旭男统考77.5672.38录取100624000102111王菲统考82.9172.36录取100624000102353董一楠统考81.6172.31录取100624000100941苏莉军统考75.2272.31录取103194320802495汤虹统考8372.3录取100624000105452徐元媛统考81.672.3不录取100624000102216张迎迎统考72.672.3录取100624000103503文松统考78.7772.29录取100624000104208郭婷婷统考78.3872.29录取100624000103655顾程统考84.1572.28录取100624000105536扶周统考80.1772.28不录取100624000101014魏嘉阳统考82.5372.27录取100624000103809刘红茹统考78.3272.26录取100624000102040刘晓彬统考84.2972.25录取100624000104138李飞统考74.372.25录取100624000104209王建龙统考80.6872.24录取100624000100241张彦彦统考84.8772.23录取100624000104634林瑞统考82.0472.22录取100624000101048冯小龙统考82.6172.21录取100624000104726孟凡兰统考79.9772.19录取100624000105160卓姗姗统考82.5172.16录取100624000105133王雪琳统考84.772.15录取100624000103540郝晓东统考80.972.15录取100624000103356刘志佳统考71.572.15录取100624000104637李涵统考76.2972.14录取100624000103157王路统考77.2472.12录取100624000105434吴占波统考76.0572.12录取100624000101504李浏洋统考79.2272.11录取100194013141575梁聚友统考82.472.1录取100624000105607邓晓敬统考少民骨干人才计划83.3772.08录取100624000104960郭文宇统考76.5672.08录取100624000102446李欢统考84.9172.06录取100624000105015吴周亮统考84.0872.04录取102484121413728杨晓月统考75.2872.04录取100624000103618王赜煜统考8372录取100624000105114李昀统考77.371.95录取100624000102028王艳统考79.8871.94录取100624000100752高超统考77.0571.93录取100624000103122朱瑞敏统考73.6571.93录取100624000104735张裕泽统考86.671.9录取106104100205020徐成爱统考82.871.9录取100624000100812谈文娟统考82.3871.89放弃,不录取100624000104416朱晓晴统考79.5771.89录取100624000104349邢培培统考77.9671.88录取100624000100159孙博统考82.3371.87录取100624000102121王佳统考80.7471.87录取100624000104524穆婷婷统考72.2671.83录取100014014930001贾龙统考85.471.8录取100624000102260张云盛统考75.7871.79录取100624000103317刘欣统考79.3571.77不录取100624000102145王姗姗统考79.771.75录取100624000105910岳晓丹统考79.8571.73录取102484121414752孟凡博统考8471.7录取100624000100102秦莉莉统考7971.7录取100624000102435王开毫统考73.7971.7录取100624000104015曹璐统考80.5871.69录取100624000103706孟开开统考78.5571.67录取100624000104536郑霞统考80.5271.66录取100624000104312刘凯统考83.371.65录取100624000100536毛宇统考79.371.65录取100624000100905杨亦寒统考80.0571.63录取100624000104841郭如如统考79.2571.62不录取100624000102428辛军彩统考7971.6录取100624000101520杨洁统考77.7971.6录取102464210006192郭宏飞统考79.771.55不录取100624000101552曹贝贝统考76.371.55录取100624000104438张博统考77.6871.54录取100624000106036马振华统考81.4671.53录取100624000103534曹学佳统考81.4571.53不录取100624000104247陈倩倩统考77.4571.53录取100624000102859温鑫统考82.271.5录取100624000102255李晓营统考80.7871.49录取100624000102635黄丹丹统考76.9571.47录取100624000101917于飞统考81.771.45录取100624000103652郝欣阳统考80.571.45录取100624000103230白杨统考77.0971.45录取100624000103829何勇统考82.2871.44不录取100624000101905董羊羊统考76.8571.43录取100624000103715张云龙统考83.271.4录取100624000100430张自立统考81.3971.4录取100624000101012史博文统考80.9971.4录取100624000104540隽换换统考80.2171.4不录取100624000101523邓海月统考80.271.4不录取100624000101619薄志强统考84.3771.39录取100624000103903徐文婷统考79.9771.38录取100624000103833史资统考84.171.35不录取100624000104022路晓晓统考81.0871.34不录取100624000104459赵明慧统考76.6871.34录取100624000104156张丽杰统考83.2671.33录取100624000104554赵盼统考77.9671.28录取100624000105433潘娜统考74.9371.27录取100624000102357贾德召统考79.7371.26不录取100624000100204尹伟利统考81.571.25录取100624000103838赵庆丽统考85.2771.24录取100624000102542陈慧丰统考77.2571.23录取100624000104021吴玉鹏统考81.6471.22录取100624000103827许士琪统考83.271.2录取100624000104836孟晓菲统考80.871.2录取100624000100844刘俊统考80.671.2录取100624000102915李洋统考79.3871.19录取100624000103438常志敏统考80.1571.18不录取100624000104457王晓丽统考76.1471.17不录取100624000105513张舰琼统考81.971.15录取100624000103509葛鑫统考71.571.15录取100624000104528关彬彬统考70.2871.14录取100554333314828李贵喜统考80.671.1录取100624000100107崔鹏云统考8071.1录取100624000103656徐新统考76.271.1录取100624000105135郭会月统考74.871.1录取100624000102112吕欢欢统考82.1871.09录取100624000101015郑雅方统考75.5971.09录取100624000103657刘苗统考82.5671.08录取100624000105827贾育蓉统考81.5371.07录取100624000105146李昂统考74.571.05录取100624000101605高华君统考84.0671.03录取100624000102154张耀文统考75.8571.03录取100624000100738王雪娜统考8371录取100624000105641张薇统考74.7670.98录取105584500110037田园统考83.170.95录取100624000104043徐萍统考80.770.95录取100624000103536蒋侃凌统考78.570.95录取100624000104844陈书丽统考73.6570.93录取100624000105342张莉萍统考84.8270.91录取100624000101515窦燕统考77.270.9录取102464210006262文明明统考7770.9录取100624000101946王利敏统考83.3770.89录取100624000102541蔡雪芹统考79.1570.88录取100624000101559张月倩统考81.8570.83录取100624000102518杨杰统考77.3970.8录取100624000105260袁秋明统考7770.8录取100624000102033段利琼统考80.5870.79不录取100624000102625郑强强统考74.1670.78不录取100624000104053周梦统考75.1170.76不录取100624000102139李涛统考75.6870.74录取100624000104057张婷婷统考82.0270.71录取100624000101736丁承统考80.4370.71不录取100624000100158李京统考81.670.7录取100624000101703吴竞统考7870.7录取100624000102338杨玄统考72.5370.66录取100624000105148刘豫新统考79.370.65录取100624000104756侯晓艳统考70.6670.63录取100624000103755唐玉琴统考79.0570.62录取100624000105040孙晓丽统考8070.6录取100624000105110王英芳统考78.670.6录取100624000104039时珊珊统考78.9570.58录取100624000105410汪小君统考75.3770.58录取100624000101542王欢统考76.5370.57不录取100624000106025佟丽娜统考79.9270.56录取100624000105011杨菊菊统考76.370.55录取100624000102340张志伟统考78.8370.52录取100624000105050单燕莉统考80.6370.51不录取100624000105842陈武超统考75.4770.43不录取104974210331539张桂华统考7970.4录取100624000101850姚红梅统考78.2170.4不录取100624000105949韩聪聪统考7370.4录取100624000100558康丽统考83.7870.39录取100624000100234樊星统考81.1270.36录取100624000105141刘玉玺统考78.2870.34不录取100624000103130李井统考75.4870.34录取100624000101910雷玉莹统考82.4570.33不录取100624000105348高婷统考81.2370.32录取100624000100549张皓然统考77.2270.31录取100624000100160张建双统考77.0270.31录取100624000102436孙家硕统考75.0170.31录取100624000104119姜凤娟统考83.1870.29录取100624000104433胡一淼统考78.9570.28不录取100624000101541董昭杰统考75.7270.26录取100624000104056庞红统考79.8870.24不录取100624000101215宋云嘉统考69.2870.24录取100624000100111曹瀚坤统考7570.2录取100624000105538范海洋统考73.3870.19录取100624000101760田朋飞统考71.9970.19不录取100624000104144丁浩统考81.1470.17录取100624000102817任果果统考74.9570.17不录取100624000103038刘洋统考80.4570.13录取100624000104904肖丹丹统考78.2570.13录取100624000102212刘肖华统考78.6170.11不录取100624000100711张珊统考8370.1录取100624000104050王多伟统考74.3670.08录取100624000102148牛晓伟统考77.7370.07录取100624000102803路迎龙统考78.5270.06不录取100624000103808司海山统考76.2870.04录取100624000104758庄布军统考79.4470.02不录取100624000101251张宏健统考80.8170.01不录取100624000103826李茜统考80.870录取100624000101309杨旭统考81.3669.98录取100624000104722卜亚丽统考75.3569.98录取100624000101344张琨玮统考77.7369.97录取100624000101836苏万强统考75.169.95录取100564000104460李燕统考67.369.95录取100624000101019何晓丹统考77.869.9不录取100624000103602范中强统考77.1369.87录取100624000101638唐亚婷统考75.9469.87不录取100624000104141樊保佑统考78.769.85录取100624000105037郭小草统考76.969.85不录取100254450902827石文卉81.869.8录取100624000103133张东正统考7869.8不录取100624000105912黄磊统考7569.8录取100624000103308孟海妹统考78.5469.77录取100624000100317焦妍统考82.2969.75录取100624000102532赵凯统考74.369.65不录取100624000102756张天丽统考74.169.65录取100624000101310段丽杰统考80.0469.62录取100624000101842郭娣统考76.869.6录取100624000105221余亚鸣统考75.469.6录取100624000105633占步祥统考73.469.6录取100624000102134康宁琳统考78.9869.59复试组不同意录取100624000104002龙广凤统考80.8869.54录取100624000105960靳芳统考80.8769.54录取100624000103109闫晓杰统考75.0569.53录取100624000105154赵一帆统考80.4369.52不录取100624000103342郑佞波统考80.0469.52录取100624000104810刘霄霄统考72.6269.51不录取100624000104323李一统考81.669.5录取100624000104941金瑞芳统考81.469.5录取100624000102012王欣同统考7569.5录取100624000102742贾俊蒙统考78.3269.46录取100624000100607赵亓统考77.5269.46录取100624000104137董信龙统考72.369.45录取100624000100431张骜统考76.4869.44录取100624000103721卢娜统考74.0569.43录取100624000104343马成泉统考75.2369.42录取100624000105043燕鑫鑫统考77.469.4录取100624000100501陈欣媛统考76.869.4录取100624000101610高森阳统考78.1769.39录取100624000103541夏玉洁统考78.3569.38录取100624000104559孙文文统考79.169.35录取100624000100958刘圆媛统考70.6569.33录取100624000103149黄庚娣统考76.1569.28录取100624000101903程铖统考78.369.25录取100624000103355贾昆统考70.769.25录取100624000103850孙林统考79.4669.23录取100624000105926郭骏辉统考77.4769.23不录取100624000101827张会红统考76.8569.23录取100624000101844张丽沙统考76.469.2录取100624000105046朱文莉统考74.869.2录取100624000102410王欣悦统考72.469.2录取100624000104236宋娟统考75.5569.18录取100624000100404李波统考80.969.15录取100624000101633马鹏钗统考78.569.15录取100624000102556任一鸣统考77.769.15录取100624000102736任莹慧统考81.2469.12录取100624000102605侯惠玉统考76.0369.12不录取100624000104916陈亚芳统考76.2269.11录取100624000102957高扬统考74.9869.09录取100624000105812张文雅统考76.9369.07录取100624000105008张钰玲统考76.5469.07录取100624000102147陈程统考78.3269.06录取100624000105930宋敏统考76.9269.06录取100624000104122刘芬统考74.769.05不录取100624000104034高恒恒统考80.4869.04录取100624000101413孟凡凡统考80.0469.02录取100624000100526王凯统考79.6169.01录取100564000101930王鹏统考8069录取100624000100648周胜男统考中医照顾专业77.669录取100624000100245李瀚栋统考79.7568.98录取100624000104129魏世娟统考78.5568.98录取100624000104117盖克克统考75.9368.97录取100624000101404胡天鹏统考78.968.95录取100624000103415任静统考74.3768.88录取100624000102645王蕊统考76.3468.87录取100624000102203王振统考72.7468.87录取100624000105911薛璐统考79.5268.86录取100624000104143董世才统考67.7368.86录取100624000102546蒋文娜统考78.2668.83录取100624000104233迟明友统考76.2268.81录取100624000102422孔德朋统考77.268.8不录取100624000104505王婷婷统考73.868.8录取100624000102553朱婧统考72.268.8录取100624000105045杨柳统考77.3568.78录取100624000100611董艾莉统考75.5368.77录取100624000104608王文志统考78.2568.73录取100624000101742王红燕统考77.8568.73录取100624000105556卢善政统考72.6368.72录取100624000102003房宏伟统考74.5868.69录取100624000100746柳瑾统考70.3568.68录取100624000105603周艳洁统考74.968.65不录取100624000103041杨波统考73.368.65录取100624000101505蔡斌翠统考74.0868.64录取100624000102642李志玲统考78.8568.63录取100624000101647白相宇统考73.8668.63录取100624000102621侯慧婕统考7868.6录取100624000101828杨丹丹统考77.268.6录取100624000103402韩雪统考77.1968.6录取100564000101933柏豪豪统考7768.6录取100624000104354周颖统考71.1868.59录取100624000102724秦丽军统考77.1668.58不录取100624000101848王翠花统考71.5668.58不录取100624000103725刘海兵统考75.9468.57录取100624000103213王艳欣统考78.7168.56不录取100624000104351王超雨统考76.9268.56录取100624000104327王艳丽统考76.8568.53录取100624000100547田向东统考74.0468.52录取100564000101931窦萌萌统考7568.5录取100624000100510王博统考78.568.45录取100624000101543魏威统考77.4968.45录取100624000101607吴文统考77.368.45录取100624000101722计国旗统考74.168.45录取100624000104934王月红统考75.2868.44录取100624000105723罗干统考77.868.4录取100624000102060邓冉冉统考75.1368.37录取100624000104753王聪统考75.8768.33不录取100624000102533赵立明统考76.868.3录取100624000104705宋华林统考69.7768.29录取100624000102750刘晓霞统考77.7268.26录取100624000100712张营统考77.368.25录取100624000101713徐嵩统考75.168.25录取106104105105003刘思琦统考74.768.25录取100624000102626程鹏统考73.768.25录取100624000105026何金丹统考72.768.25录取100624000101342刘力玮统考75.268.2录取100624000101150王颖铖谣统考76.1868.19录取100624000104026田亚宾统考71.5868.19录取100624000102254贾晓辉统考76.1268.16录取100624000102008康元元统考74.3168.16录取100624000104049于福超统考72.6568.13录取100624000101909师丽晓统考74.4368.12不录取100624000103743张挺统考7468.1录取100624000102114刘海荣统考中医照顾专业68.668.1录取100624000101740王亮统考78.568.05录取100624000102006常方圆统考76.768.05录取100624000103640李芳统考74.868不录取100624000103958李阳统考73.668录取100624000104628王承亚统考77.3467.97录取100624000104917宋宁宁统考75.0867.94录取100624000104603陈岭岭统考76.0667.93录取100624000104837张灏统考74.0767.93录取100624000102343石瑜统考74.867.9录取100624000102019刘丹统考72.1867.89录取100624000104452韩霜统考77.8867.84录取100624000101639路利平统考76.6767.83录取100624000103136郭婧统考73.1667.78录取100624000103731杜雅琴统考76.5267.76录取106104105200063武洲统考68.2867.74录取102484121414983靳秀统考7867.7录取100624000105430冯秀婕统考77.267.7不录取100624000102759张丽玲统考69.167.65录取100624000102514张玲统考70.0867.64录取100624000102108张世田统考73.1767.59不录取100624000104347刘琦统考72.5767.59录取100624000103154刘彦士统考74.367.55录取100624000106026李珍统考71.567.55录取100624000101833郭巍统考70.567.55录取100624000104458季冉统考75.0667.53录取100624000104747杨伟健统考73.2567.53录取100624000101627王晴统考75.5867.49录取100624000102743任梦萌统考75.1667.48录取100624000101326曹蕾统考74.1667.48录取100624000102735王玉乾统考71.7667.48录取100624000102813杨钰统考71.9367.47录取100624000104316谭霄统考72.1267.46录取100624000103925王鑫朋统考73.4867.44录取100624000102439郎娟娟统考74.667.4录取100624000102202刘洁统考72.467.4录取100624000101801习鹏娇统考7167.4录取100624000104525张健统考67.267.4录取100624000105533刘雯宇统考75.967.35录取100624000104431张同星统考7567.3录取100624000102251高金英统考73.3867.29录取100624000101807郭素倩统考70.6867.24录取100624000103956高振武统考70.0567.23不录取100624000105106赵欣统考中医照顾专业75.467.2录取100624000102359严一杰统考74.267.2录取100624000101636杜倩统考72.5667.18不录取100624000104147王鑫统考71.5567.18录取100624000103807蒋蒙蒙统考70.3667.18录取100624000103849朱金芳统考76.9467.17不录取100624000103613孙凯统考68.167.15录取100624000100523尹玲统考74.4867.14录取100624000103104李俊强统考71.467.1录取100624000102604赵晓瑜统考71.8967.05不录取100624000105542彭菲统考少民骨干人才计划70.8667.03录取100624000100406黄飞统考73.8467.02录取100624000105207李媛媛统考73.8267.01不录取100254130600946赵灿统考7467录取100624000105233杨阳统考75.7666.98录取100624000103210孟雅楠统考72.566.95不录取100624000103825张凤玉统考70.566.95复试组不同意录取100624000104940徐曾丽统考76.2866.94录取100624000105516郑蕾统考73.8566.93录取100624000103153张宏毅统考72.6466.92录取100624000100359李梦琦统考7166.9录取100624000104858陈扬统考76.1466.87录取100624000102444范艳茹统考73.5466.87不录取100624000102659张长旺统考71.5166.86不录取100624000104319徐西子统考74.366.85录取100624000105049张豪杰统考74.0166.8不录取100624000105349肖沉统考71.866.8录取100624000104437刘龙统考73.7766.78录取100624000100507宋德胜统考75.566.75录取100014014891102刘欣欣统考74.566.75录取100624000103815孟海蕾统考67.6566.73录取100624000105839徐苗苗统考73.266.7录取100624000102258苗婕统考75.3866.69录取100624000100420张鸿博统考74.5866.69录取100624000100535陈曦统考75.9666.68录取100624000104724张新统考71.9766.68录取100624000104314刘鸿志统考70.1466.67不录取100624000105335周岩统考76.166.65录取100624000101521张彩云统考75.266.6录取100624000102124刘超统考66.9666.58录取100624000101345许高奇统考71.6566.53录取100624000104020刘翠统考7566.5录取100624000101608崔小鹏统考7266.5录取100624000102005季俊霞统考74.9866.49不录取100624000101527宋惠统考71.9766.48录取100624000105320黄天姿统考71.366.45复试组不同意录取100624000103518曹艺耀统考74.4666.43录取100624000102807王鹏统考70.4566.43录取100624000103633程菁菁统考74.9666.38录取100624000103603智琼杰统考73.1666.38不录取100624000101329李蒙蒙统考73.8866.34录取100624000104441刘朋然统考71.8566.33录取100624000105547信薇薇统考68.8266.31不录取100624000102004韩亚伟统考73.466.3不录取100624000103953宋沙沙统考70.7966.3录取100624000104718付涛统考75.3866.29录取100624000101447李菲统考72.366.25录取100624000105522姚丽统考62.5166.25面试中专业素质不及格,不录取100624000103810傅缤统考71.8766.24不录取100624000105109张飞统考70.0766.24不录取100624000104526吴德报统考67.8866.24录取100624000105249夏琳林统考72.6466.22不录取100624000105509刘春来统考70.466.2录取100624000102011孙艳荣统考68.9766.18录取100624000103927董小瑛统考67.9366.17录取100624000103118孙亚杰统考70.7266.16不录取100624000101221常文娟统考75.366.15复试组不同意录取100624000103226别鹏飞统考70.8866.14录取100624000105502李红莲统考69.0566.13不录取100624000102034李立婷统考69.3566.08录取100624000102020白光辉统考72.8866.04录取100624000103523周扬统考66.0166.01录取100624000104534孙延超统考6866录取100624000104004张亮亮统考74.1665.98不录取100624000104028吴艳丽统考71.7365.97不录取100624000103939胡芳宁统考68.8865.94录取100624000180003庞学明单独考试79.6565.93录取100624000101915齐颖统考74.6565.93录取100624000103948路超统考73.4765.84录取100624000102537聂晗统考73.0365.82不录取100624000102901李亚俊统考少民骨干人才计划7965.8录取100624000102026卢姿瑾统考69.665.8不录取100624000102827田妮统考中医照顾专业66.465.8录取100624000101148宋立婷统考68.1865.79录取100624000105028李芳统考60.1565.78不录取100624000103215赵新超统考71.7265.76录取100624000104139陈峰统考70.965.75录取100624000104211李婷统考71.4265.71录取100624000105302李文峰统考71.2165.71不录取100624000102802张慧林统考6965.6录取100624000101214方姝统考69.5665.58录取100624000105432余鹏统考72.565.55录取100624000104914李广统考71.165.55录取100624000100830刘娜统考72.6165.51录取100624000104937邢艺统考70.565.45录取100624000103060乌日乐统考70.865.4复试组不同意录取100624000104060吕婷婷统考7065.4复试组不同意录取100624000101615龚智标统考70.1865.39录取100624000101204纪魁统考61.5965.39面试中专业素质不及格,不录取100624000180005郝文玮单独考试74.9465.37录取100624000105510范夏婧统考70.1365.37不录取100624000102501曹鑫统考72.4565.33录取100624000102025邱贵娟统考6665.3不录取100624000105826孙振国统考70.1765.28不录取103354000907031王美飒统考70.365.25录取100624000105704李哲统考68.6565.23不录取100624000102432张冬梅统考中医照顾专业6865.2录取100624000103251郑鹏斌统考70.1365.16录取100624000101750刘杰统考66.8565.13录取100624000104649徐凌飞统考68.265.1复试组不同意录取100624000102052董志欢统考69.8965.05录取100624000102715孙宇飞统考66.965.05不录取100624000103952李翠萍统考71.4765.04录取100624000105314邵富强统考70.865录取100624000104238马南南统考72.9664.98录取100624000100647徐毓统考67.7364.97不录取100624000102215吕平统考69.3164.96录取100624000105411王娟娟统考69.564.95录取100624000101236曹洋统考68.564.95复试组不同意录取100624000103426崔蕾统考67.8564.93录取100624000100360付林统考6964.9录取100624000104947许诗超统考67.3664.88录取100624000104444郑立建统考69.5464.87录取100624000104744郭春霞统考68.9464.87录取100624000101449刘运龄统考71.8864.84录取100624000103920朱国栋统考70.264.8录取100624000102510李宏伟统考68.0964.75录取100624000103941刘勇统考67.3364.66录取100624000101512李宏蕾统考71.864.6不录取100554333314625李倩倩统考6964.6复试组不同意录取100624000103943李亚光统考67.4764.54录取100624000105021李少玲统考71.664.5录取100624000104725袁立芹统考65.9664.48录取100624000102304梁玉柱统考65.864.4录取100624000105323刘通统考70.1864.39录取100624000104448侯成祯统考61.6264.31录取100624000105936邱重阳统考69.464.3不录取100624000102002王蒙娜统考69.7864.29录取100624000105443白洁统考69.3164.26录取100624000103737丁敏统考69.2964.25录取100624000104749曹泰玮统考65.764.25录取100624000104423张海美统考66.4564.23不录取100624000104155徐钰统考69.664.2不录取100624000104954杨超统考6864.2录取100624000103405杨忠华统考中医照顾专业69.764.15录取100624000101149王小玉统考71.0864.14录取100624000104636李秀统考69.0764.13录取100624000103946耿梦龙统考68.464录取100624000105018汪笑冬统考70.7463.97录取100624000104632宫迎迎统考66.5363.97录取100624000104322王新统考70.163.95录取100624000102515郭东花统考67.563.95录取100624000104212王三涛统考66.363.95不录取100624000105205张亚辉统考67.2163.91不录取100624000105247韩林君统考66.6263.91不录取100624000104913白玲玲统考67.663.9录取100624000103801鞠明艳统考70.6963.85不录取100624000104424林淑萍统考65.4563.83不录取100624000101324刘静媛统考68.2163.81录取100624000103744张海霞统考6763.8录取100624000103732任林林统考64.463.8录取100624000105504黎少志统考67.7563.78录取100624000104046董娜统考67.5563.78不录取102484121410532王雪诗统考68.363.75录取100624000104407宋露露统考6663.7不录取100624000102654杨毅统考6563.7录取100624000104434史亚洲统考66.5663.68录取100624000104345孙震统考66.9363.66录取100624000101835曹顺琪统考66.2163.61录取100624000103803董云龙统考67.9763.59录取100624000104912夏倩倩统考65.7763.58录取100624000105813刘天天统考69.0663.53录取100624000102344张拓慧统考68.0663.53不录取100624000103746刘文卿统考64.2563.43不录取100624000104712宋淑玲统考68.463.4录取100624000104442唐慕尧统考65.263.4录取100624000104857付国勇统考66.6963.35不录取100624000100632张何为统考中医照顾专业6863.2录取100624000100637李鸿侠统考中医照顾专业70.163.15录取100624000102018张文静统考68.8663.13录取100624000104808耿晓飞统考63.4463.12不录取100624000104240薛彩虹统考68.5563.08录取100624000180001鲍杰单独考试61.9563.08录取100624000105127高宁统考66.563.05不录取100624000102954杨子微统考少民骨干人才计划75.8563.03录取100624000103605方海亚统考60.8563.03不录取103844211110572韩晓辉统考6863复试组不同意录取100624000100748任书娴统考68.562.95不录取100624000103209郝亚楠统考68.2362.92不录取100624000104358王美丽统考66.662.9不录取100624000104843罗燕薇统考63.762.85不录取100624000105305程家龙统考65.0762.74录取100624000104623刘朋统考66.2762.73录取104874000136223陈志统考67.662.7录取100624000104549王凯强统考65.3862.69录取100624000104838王姗统考68.1462.67录取100624000105060李文辉统考65.562.55录取100624000105822何欠欠统考63.6662.53录取105584330106827夏颖统考6662.5复试组不同意录取100624000105645赵婉君统考中医照顾专业66.562.45录取100624000103716张楠统考66.862.4复试组不同意录取100624000101756常建设统考59.962.35复试不合格不录取100624000101351王晓硕统考65.7962.3录取100624000105126杨晓静统考61.9362.27不录取100624000101816李俊利统考66.562.25录取100624000103760谷如雷统考65.0462.22不录取100624000100707孙阳统考65.162.15不录取100624000102016李飞统考63.962.15不录取100624000104938郭雯统考60.362.15录取100624000104955于妮仙统考65.0862.14录取100624000103228徐亚玲统考64.0362.12录取100624000105327赵鑫统考54.762.05复试不合格不录取100624000104134张迪统考64.6162.01录取100624000102105窦泽夏统考63.9361.96录取100624000101704景换利统考6661.9录取100624000102341薛震统考65.461.9录取100624000102430卫玉玲统考64.661.9不录取100624000104136高华斌统考64.7561.88录取100624000102624李志龙统考60.961.85不录取100624000102257李杰统考中医照顾专业67.661.8录取100624000101854高金玉统考66.3761.79不录取100624000105440楚莹莹统考66.4661.73录取100624000105238梁威统考6261.7录取100624000104160李成宝统考64.3261.66不录取。
2018天津大学计算机科学与技术学院考研复试通知复试时间复试分数线复试经验启道考研网快讯:2018年考研复试即将开始,启道教育小编根据根据考生需要,整理2017年天津大学计算机科学与技术学院考研复试细则,仅供参考:一、复试科目(启道考研复试辅导班)二、复试通知(启道考研复试辅导班)一、资格审查所有通过学科、专业复试名单的考生,均须通过网上交费平台及时缴费(支付宝账号),复试费标准为90元。
完成缴费后,考生可适时在网上下载打印《复试资格审查合格单》,并持以下材料参加资格审查:1、《复试资格审查合格单》2、准考证;3、有效身份证件原件;4、毕业证书原件(应届本科生持学生证);另:需准备大学期间成绩单原件(应届生加盖所在学校教务部门公章,往届生加盖档案所在单位人事部门公章),综合面试环节收取或审验。
资格审查时间为2017年3月16、17日全天,地点:天津大学25教学楼A区一层大厅。
3 月20日下午为补漏时间,地点在天津大学卫津路校区第九教学楼104室。
资格审查合格者发《资格审查合格证明》,对资格审查不合格或没有参加资格审查的考生将取消复试资格。
考生凭《资格审查合格证明》参加复试。
二、计算机学院复试时间安排项目参加范围时间地点复试缴费复试名单中的全体考生3月13日开始研招网交费平台资格审查参加复试的考生3月17日上午8:30~12:00卫津路校区25教学楼一层大厅体检参加复试的本校考生,已到校的非本校考生3月15日7:30-11:3013:00-16:30卫津路校区校医院三、复试方案1.计算机学院2017年硕士研究生招生复试方案参照天津大学复试办法制定。
2.复试成绩总分200,其中专业能力考核80分,综合素质考核120分。
专业能力考核成绩包括外语听说能力测试15分、专业课笔试65分;综合素质考核成绩包括实践能力测试30分(上机方式考核)、综合面试90分。
考生复试成绩包括专业能力考核、综合素质考核两部分成绩之和,复试成绩低于120分视为复试成绩不合格。
2014年天津大学分省分专业录取分数线来源:天津大学年份省份专业最高分最低分平均分2014 北京市材料科学与工程 648.0 639.0 644.0 2014 北京市财务管理 658.0 639.0 649.0 2014 北京市测控技术与仪器 656.0 655.0 656.0 2014 北京市城乡规划 665.0 663.0 664.0 2014 北京市船舶与海洋工程 650.0 645.0 648.0 2014 北京市电气工程及其自动化 662.0 661.0 662.0 2014 北京市电子信息工程 650.0 642.0 646.0 2014 北京市分子科学与工程 697.0 648.0 673.0 2014 北京市港口航道与海岸工程 647.0 635.0 641.0 2014 北京市工程管理 654.0 645.0 650.0 2014 北京市光电信息科学与工程 651.0 649.0 650.0 2014 北京市光电信息科学与工程(天南大合办) 668.0 668.0 668.0 2014 北京市化学工程与工艺 678.0 660.0 669.0 2014 北京市环境工程 638.0 637.0 638.0 2014 北京市机械设计制造及其自动化 668.0 655.0 662.0 2014 北京市建筑环境与能源应用工程 659.0 641.0 650.0 2014 北京市建筑学 678.0 670.0 675.0 2014 北京市金融学 647.0 634.0 641.0 2014 北京市软件工程 634.0 634.0 634.0 2014 北京市生物科学 659.0 655.0 657.0 2014 北京市生物医学工程 641.0 634.0 638.0 2014 北京市数学与应用数学 638.0 637.0 638.0 2014 北京市通信工程 644.0 638.0 641.02014 北京市土木工程 670.0 657.0 662.0 2014 北京市物联网工程 646.0 637.0 642.0658.0 643.0 651.0 2014 北京市信息管理与信息系统(保密管理方向)2014 北京市自动化 653.0 641.0 647.0 2014 北京市全省分数线(理) 697.0 634.0 652.0 2014 北京市工商管理(文) 620.0 620.0 620.0 2014 北京市金融学(文) 635.0 621.0 628.0 2014 北京市全省分数线(文) 635.0 620.0 625.0 2014 天津市材料成型及控制工程 630.0 612.0 615.0 2014 天津市材料科学与工程 630.0 612.0 615.0 2014 天津市财务管理 645.0 637.0 641.0 2014 天津市测控技术与仪器 667.0 637.0 642.0 2014 天津市城乡规划 667.0 651.0 657.0 2014 天津市船舶与海洋工程 642.0 623.0 629.0 2014 天津市电气工程及其自动化 658.0 635.0 640.0 2014 天津市电子科学与技术(微电子) 619.0 612.0 614.0 2014 天津市电子科学与技术(光电子技术) 631.0 628.0 629.0 2014 天津市电子商务 620.0 616.0 618.0 2014 天津市电子信息工程 648.0 617.0 622.0 2014 天津市分子科学与工程 647.0 635.0 641.0 2014 天津市港口航道与海岸工程 643.0 632.0 639.0 2014 天津市工程管理 655.0 643.0 646.0 2014 天津市工程力学 620.0 613.0 616.0 2014 天津市工商管理 629.0 628.0 629.0 2014 天津市工业工程 630.0 627.0 629.0 2014 天津市工业设计 650.0 632.0 640.0 2014 天津市功能材料 617.0 615.0 616.02014 天津市光电信息科学与工程 647.0 633.0 639.0 2014 天津市光电信息科学与工程(天南大合办) 653.0 649.0 650.0 2014 天津市过程装备与控制工程 624.0 612.0 616.0 2014 天津市化学工程与工艺 642.0 618.0 626.0 2014 天津市环境工程 640.0 616.0 623.0 2014 天津市环境科学 618.0 612.0 614.0 2014 天津市机械设计制造及其自动化 645.0 620.0 627.0 2014 天津市集成电路设计与集成系统 616.0 612.0 615.0 2014 天津市计算机科学与技术 626.0 612.0 616.0 2014 天津市建筑环境与能源应用工程 632.0 618.0 623.0 2014 天津市建筑学 681.0 668.0 673.0 2014 天津市教育学 616.0 612.0 614.0 2014 天津市金融学 636.0 635.0 636.0 2014 天津市能源与动力工程 645.0 626.0 632.0 2014 天津市软件工程 623.0 612.0 614.0 2014 天津市生物工程 616.0 612.0 613.0 2014 天津市生物科学 618.0 612.0 614.0 2014 天津市生物医学工程 620.0 614.0 617.0 2014 天津市食品科学与工程 622.0 615.0 617.0 2014 天津市数学与应用数学 628.0 616.0 620.0 2014 天津市水利水电工程 642.0 637.0 639.0 2014 天津市通信工程 633.0 618.0 624.0 2014 天津市土木工程 653.0 647.0 649.0 2014 天津市物联网工程 622.0 615.0 619.0 2014 天津市物流工程 633.0 627.0 630.0 2014 天津市信息管理与信息系统 633.0 624.0 629.0 2014 天津市信息管理与信息系统(保密管理方628.0 613.0 619.0向)2014 天津市药学 634.0 617.0 620.0 2014 天津市应用化学 617.0 612.0 612.0 2014 天津市应用化学(工) 617.0 612.0 613.0 2014 天津市应用物理学 618.0 612.0 613.0 2014 天津市制药工程 618.0 612.0 614.0 2014 天津市自动化 633.0 622.0 626.0 2014 天津市全省分数线(理) 681.0 612.0 624.0 2014 天津市建筑学(文) 642.0 642.0 642.0 2014 天津市金融学(文) 640.0 640.0 640.0 2014 天津市全省分数线(文) 642.0 640.0 641.0 2014 河北省材料成型及控制工程 662.0 661.0 661.0 2014 河北省材料科学与工程 665.0 662.0 663.0 2014 河北省财务管理 670.0 670.0 670.0 2014 河北省测控技术与仪器 677.0 672.0 673.0 2014 河北省城乡规划 680.0 678.0 679.0 2014 河北省船舶与海洋工程 669.0 661.0 664.0 2014 河北省电气工程及其自动化 680.0 673.0 675.0 2014 河北省电子科学与技术(微电子) 672.0 667.0 669.0 2014 河北省电子科学与技术(光电子技术) 672.0 671.0 672.0 2014 河北省电子商务 664.0 663.0 664.0 2014 河北省电子信息工程 671.0 670.0 671.0 2014 河北省分子科学与工程 672.0 670.0 671.0 2014 河北省港口航道与海岸工程 670.0 665.0 668.0 2014 河北省工程管理 680.0 677.0 679.0 2014 河北省工程力学 665.0 662.0 663.0 2014 河北省工商管理 668.0 667.0 668.0 2014 河北省工业工程 666.0 661.0 664.0 2014 河北省工业设计 665.0 662.0 663.02014 河北省功能材料 661.0 661.0 661.0 2014 河北省光电信息科学与工程 675.0 673.0 674.0 2014 河北省光电信息科学与工程(天南大合办) 674.0 674.0 674.0 2014 河北省过程装备与控制工程 667.0 661.0 663.0 2014 河北省化学工程与工艺 670.0 663.0 666.0 2014 河北省环境工程 664.0 661.0 662.0 2014 河北省环境科学 662.0 661.0 662.0 2014 河北省机械设计制造及其自动化 672.0 666.0 668.0 2014 河北省集成电路设计与集成系统 671.0 665.0 668.0 2014 河北省计算机科学与技术 666.0 662.0 664.0 2014 河北省建筑环境与能源应用工程 667.0 661.0 664.0 2014 河北省建筑学 691.0 681.0 684.0 2014 河北省教育学 663.0 661.0 662.0 2014 河北省金融学 674.0 673.0 674.0 2014 河北省能源与动力工程 670.0 667.0 669.0 2014 河北省软件工程 665.0 661.0 662.0 2014 河北省生物工程 663.0 661.0 662.0 2014 河北省生物科学 664.0 661.0 662.0 2014 河北省生物医学工程 663.0 661.0 662.0 2014 河北省食品科学与工程 664.0 661.0 662.0 2014 河北省数学与应用数学 666.0 663.0 665.0 2014 河北省水利水电工程 669.0 667.0 668.0 2014 河北省通信工程 677.0 668.0 671.0 2014 河北省土木工程 680.0 673.0 675.0 2014 河北省物联网工程 666.0 666.0 666.0 2014 河北省物流工程 665.0 663.0 664.0 2014 河北省信息管理与信息系统 668.0 667.0 668.0 2014 河北省信息管理与信息系统(保密管理方 662.0 661.0 662.0向)2014 河北省药学 661.0 661.0 661.0 2014 河北省应用化学 666.0 661.0 663.0 2014 河北省应用化学(工) 667.0 661.0 663.0 2014 河北省应用物理学 663.0 661.0 662.0 2014 河北省制药工程 667.0 661.0 664.0 2014 河北省自动化 669.0 664.0 666.0 2014 河北省全省分数线(理) 691.0 661.0 667.0 2014 河北省财务管理(文) 630.0 630.0 630.0 2014 河北省法学(文) 624.0 623.0 624.0 2014 河北省工商管理(文) 626.0 626.0 626.0 2014 河北省汉语言文学(文) 625.0 622.0 624.0 2014 河北省金融学(文) 643.0 631.0 637.0 2014 河北省英语(文) 622.0 622.0 622.0 2014 河北省全省分数线(文) 643.0 622.0 628.0 2014 山西省材料成型及控制工程 627.0 627.0 627.0 2014 山西省材料科学与工程 629.0 627.0 628.0 2014 山西省财务管理 634.0 630.0 632.0 2014 山西省测控技术与仪器 641.0 634.0 637.0 2014 山西省城乡规划 638.0 636.0 637.0 2014 山西省船舶与海洋工程 629.0 627.0 628.0 2014 山西省电气工程及其自动化 638.0 636.0 637.0 2014 山西省电子科学与技术(微电子) 630.0 629.0 630.0 2014 山西省电子科学与技术(光电子技术) 632.0 631.0 632.0 2014 山西省电子信息工程 632.0 630.0 631.0 2014 山西省分子科学与工程 632.0 629.0 631.0 2014 山西省港口航道与海岸工程 632.0 632.0 632.0 2014 山西省工程管理 642.0 635.0 637.02014 山西省工程力学 629.0 627.0 628.0 2014 山西省工商管理 630.0 630.0 630.0 2014 山西省工业设计 632.0 630.0 631.0 2014 山西省功能材料 627.0 627.0 627.0 2014 山西省光电信息科学与工程 634.0 634.0 634.0 2014 山西省光电信息科学与工程(天南大合办) 643.0 634.0 639.0 2014 山西省过程装备与控制工程 628.0 627.0 627.0 2014 山西省化学工程与工艺 639.0 627.0 632.0 2014 山西省环境工程 628.0 628.0 628.0 2014 山西省环境科学 629.0 627.0 628.0 2014 山西省机械设计制造及其自动化 633.0 630.0 632.0 2014 山西省集成电路设计与集成系统 628.0 628.0 628.0 2014 山西省计算机科学与技术 631.0 627.0 628.0 2014 山西省建筑环境与能源应用工程 632.0 630.0 631.0 2014 山西省建筑学 646.0 639.0 643.0 2014 山西省金融学 631.0 630.0 631.0 2014 山西省能源与动力工程 632.0 630.0 631.0 2014 山西省软件工程 628.0 627.0 628.0 2014 山西省生物工程 627.0 627.0 627.0 2014 山西省生物科学 629.0 627.0 628.0 2014 山西省生物医学工程 630.0 630.0 630.0 2014 山西省食品科学与工程 635.0 627.0 631.0 2014 山西省数学与应用数学 628.0 628.0 628.0 2014 山西省水利水电工程 634.0 631.0 633.0 2014 山西省通信工程 639.0 634.0 636.0 2014 山西省土木工程 634.0 631.0 632.0 2014 山西省物联网工程 627.0 627.0 627.0 2014 山西省物流工程 628.0 628.0 628.02014 山西省信息管理与信息系统 632.0 630.0 631.0 2014 山西省信息管理与信息系统(保密管理方630.0 629.0 630.0向)2014 山西省药学 627.0 627.0 627.0 2014 山西省应用化学 627.0 627.0 627.0 2014 山西省应用化学(工) 629.0 628.0 629.0 2014 山西省应用物理学 629.0 628.0 629.0 2014 山西省制药工程 628.0 627.0 628.0 2014 山西省自动化 630.0 630.0 630.0 2014 山西省全省分数线(理) 646.0 627.0 631.0 2014 山西省财务管理(文) 580.0 580.0 580.0 2014 山西省法学(文) 577.0 574.0 576.0 2014 山西省汉语言文学(文) 577.0 572.0 575.0 2014 山西省教育学(文) 574.0 571.0 573.0 2014 山西省金融学(文) 577.0 577.0 577.0 2014 山西省英语(文) 572.0 571.0 572.0 2014 山西省全省分数线(文) 580.0 571.0 575.0 2014 内蒙古材料成型及控制工程 631.0 619.0 625.0 2014 内蒙古材料科学与工程 642.0 634.0 637.0 2014 内蒙古财务管理 641.0 641.0 641.0 2014 内蒙古测控技术与仪器 641.0 638.0 640.0 2014 内蒙古城乡规划 649.0 640.0 645.0 2014 内蒙古船舶与海洋工程 649.0 620.0 635.0 2014 内蒙古电气工程及其自动化 661.0 647.0 654.0 2014 内蒙古电子科学与技术(微电子) 632.0 631.0 632.0 2014 内蒙古电子科学与技术(光电子技术) 646.0 635.0 641.0 2014 内蒙古电子信息工程 640.0 637.0 639.0 2014 内蒙古分子科学与工程 643.0 643.0 643.02014 内蒙古港口航道与海岸工程 633.0 632.0 633.0 2014 内蒙古工程管理 638.0 637.0 638.0 2014 内蒙古工业工程 628.0 626.0 627.0 2014 内蒙古光电信息科学与工程 640.0 639.0 640.0 2014 内蒙古光电信息科学与工程(天南大合办) 647.0 638.0 643.0 2014 内蒙古过程装备与控制工程 631.0 629.0 630.0 2014 内蒙古化学工程与工艺 636.0 631.0 634.0 2014 内蒙古环境工程 634.0 631.0 633.0 2014 内蒙古环境科学 619.0 619.0 619.0 2014 内蒙古机械设计制造及其自动化 640.0 633.0 637.0 2014 内蒙古集成电路设计与集成系统 630.0 630.0 630.0 2014 内蒙古建筑环境与能源应用工程 639.0 632.0 636.0 2014 内蒙古建筑学 659.0 650.0 655.0 2014 内蒙古金融学 641.0 641.0 641.0 2014 内蒙古能源与动力工程 647.0 642.0 645.0 2014 内蒙古生物科学 630.0 620.0 625.0 2014 内蒙古数学与应用数学 636.0 631.0 634.0 2014 内蒙古水利水电工程 635.0 635.0 635.0 2014 内蒙古通信工程 637.0 634.0 636.0 2014 内蒙古土木工程 645.0 620.0 635.0 2014 内蒙古物流工程 633.0 633.0 633.0 2014 内蒙古信息管理与信息系统 634.0 634.0 634.0 2014 内蒙古信息管理与信息系统(保密管理方642.0 628.0 635.0向)2014 内蒙古应用化学(工) 636.0 634.0 635.0 2014 内蒙古制药工程 631.0 625.0 628.0 2014 内蒙古自动化 636.0 635.0 636.0 2014 内蒙古全省分数线(理) 661.0 619.0 636.02014 内蒙古法学(文) 601.0 601.0 601.0 2014 内蒙古工商管理(文) 613.0 613.0 613.0 2014 内蒙古汉语言文学(文) 608.0 608.0 608.0 2014 内蒙古教育学(文) 600.0 600.0 600.0 2014 内蒙古金融学(文) 617.0 617.0 617.0 2014 内蒙古英语(文) 603.0 600.0 602.0 2014 内蒙古全省分数线(文) 617.0 600.0 605.0 2014 辽宁省材料成型及控制工程 648.0 647.0 648.0 2014 辽宁省材料科学与工程 651.0 650.0 651.0 2014 辽宁省财务管理 658.0 651.0 655.0 2014 辽宁省测控技术与仪器 654.0 652.0 653.0 2014 辽宁省城乡规划 660.0 657.0 659.0 2014 辽宁省船舶与海洋工程 656.0 650.0 653.0 2014 辽宁省电气工程及其自动化 657.0 654.0 656.0 2014 辽宁省电子科学与技术(微电子) 653.0 651.0 652.0 2014 辽宁省电子科学与技术(光电子技术) 655.0 648.0 651.0 2014 辽宁省电子商务 647.0 647.0 647.0 2014 辽宁省电子信息工程 653.0 652.0 653.0 2014 辽宁省分子科学与工程 653.0 652.0 653.0 2014 辽宁省港口航道与海岸工程 654.0 653.0 654.0 2014 辽宁省工程管理 662.0 655.0 659.0 2014 辽宁省工程力学 649.0 649.0 649.0 2014 辽宁省工商管理 651.0 647.0 649.0 2014 辽宁省工业工程 652.0 649.0 651.0 2014 辽宁省工业设计 648.0 647.0 648.0 2014 辽宁省功能材料 647.0 647.0 647.0 2014 辽宁省光电信息科学与工程 655.0 653.0 654.0 2014 辽宁省光电信息科学与工程(天南大合办) 652.0 652.0 652.02014 辽宁省过程装备与控制工程 650.0 649.0 650.0 2014 辽宁省化学工程与工艺 659.0 650.0 652.0 2014 辽宁省环境工程 649.0 648.0 649.0 2014 辽宁省环境科学 647.0 647.0 647.0 2014 辽宁省机械设计制造及其自动化 653.0 653.0 653.0 2014 辽宁省集成电路设计与集成系统 650.0 648.0 649.0 2014 辽宁省计算机科学与技术 649.0 648.0 649.0 2014 辽宁省建筑环境与能源应用工程 650.0 648.0 649.0 2014 辽宁省建筑学 666.0 660.0 663.0 2014 辽宁省教育学 649.0 648.0 649.0 2014 辽宁省金融学 658.0 658.0 658.0 2014 辽宁省能源与动力工程 654.0 652.0 653.0 2014 辽宁省软件工程 649.0 647.0 648.0 2014 辽宁省生物工程 649.0 649.0 649.0 2014 辽宁省生物科学 649.0 647.0 648.0 2014 辽宁省生物医学工程 649.0 648.0 649.0 2014 辽宁省食品科学与工程 649.0 649.0 649.0 2014 辽宁省数学与应用数学 651.0 651.0 651.0 2014 辽宁省水利水电工程 653.0 652.0 653.0 2014 辽宁省通信工程 654.0 652.0 653.0 2014 辽宁省土木工程 659.0 656.0 658.0 2014 辽宁省物联网工程 647.0 647.0 647.0 2014 辽宁省物流工程 651.0 649.0 650.0 2014 辽宁省信息管理与信息系统 648.0 647.0 648.0648.0 647.0 648.0 2014 辽宁省信息管理与信息系统(保密管理方向)2014 辽宁省药学 650.0 647.0 648.0 2014 辽宁省应用化学 651.0 648.0 649.02014 辽宁省应用化学(工) 649.0 648.0 648.0 2014 辽宁省应用物理学 650.0 649.0 649.0 2014 辽宁省制药工程 648.0 647.0 648.0 2014 辽宁省自动化 653.0 651.0 652.0 2014 辽宁省全省分数线(理) 666.0 647.0 651.0 2014 辽宁省财务管理(文) 621.0 621.0 621.0 2014 辽宁省法学(文) 620.0 618.0 619.0 2014 辽宁省汉语言文学(文) 620.0 618.0 619.0 2014 辽宁省金融学(文) 624.0 621.0 623.0 2014 辽宁省英语(文) 620.0 619.0 620.0 2014 辽宁省全省分数线(文) 624.0 618.0 620.0 2014 吉林省材料科学与工程 663.0 662.0 663.0 2014 吉林省财务管理 659.0 659.0 659.0 2014 吉林省测控技术与仪器 668.0 667.0 667.0 2014 吉林省城乡规划 678.0 678.0 678.0 2014 吉林省船舶与海洋工程 664.0 659.0 662.0 2014 吉林省电气工程及其自动化 673.0 669.0 671.0 2014 吉林省电子科学与技术(微电子) 661.0 656.0 658.0 2014 吉林省电子科学与技术(光电子技术) 671.0 666.0 669.0 2014 吉林省电子商务 662.0 658.0 660.0 2014 吉林省电子信息工程 668.0 667.0 668.0 2014 吉林省分子科学与工程 666.0 666.0 666.0 2014 吉林省港口航道与海岸工程 664.0 661.0 663.0 2014 吉林省工程管理 669.0 668.0 669.0 2014 吉林省工程力学 660.0 656.0 658.0 2014 吉林省工商管理 657.0 657.0 657.0 2014 吉林省工业设计 659.0 659.0 659.0 2014 吉林省功能材料 661.0 659.0 660.02014 吉林省光电信息科学与工程 667.0 666.0 667.0 2014 吉林省过程装备与控制工程 666.0 659.0 663.0 2014 吉林省化学工程与工艺 667.0 665.0 666.0 2014 吉林省环境工程 664.0 663.0 664.0 2014 吉林省环境科学 656.0 653.0 655.0 2014 吉林省机械设计制造及其自动化 670.0 667.0 669.0 2014 吉林省计算机科学与技术 653.0 653.0 653.0 2014 吉林省建筑环境与能源应用工程 659.0 658.0 659.0 2014 吉林省建筑学 686.0 679.0 682.0 2014 吉林省金融学 671.0 671.0 671.0 2014 吉林省能源与动力工程 666.0 666.0 666.0 2014 吉林省软件工程 660.0 654.0 657.0 2014 吉林省生物工程 664.0 659.0 662.0 2014 吉林省生物科学 655.0 653.0 654.0 2014 吉林省生物医学工程 657.0 653.0 655.0 2014 吉林省食品科学与工程 654.0 654.0 654.0 2014 吉林省数学与应用数学 662.0 662.0 662.0 2014 吉林省水利水电工程 666.0 659.0 663.0 2014 吉林省通信工程 667.0 665.0 666.0 2014 吉林省土木工程 677.0 675.0 676.0 2014 吉林省物联网工程 660.0 653.0 657.0 2014 吉林省物流工程 666.0 666.0 666.0 2014 吉林省信息管理与信息系统 661.0 658.0 660.0659.0 656.0 658.0 2014 吉林省信息管理与信息系统(保密管理方向)2014 吉林省药学 653.0 653.0 653.0 2014 吉林省应用化学 661.0 653.0 656.0 2014 吉林省应用化学(工) 662.0 660.0 661.02014 吉林省应用物理学 660.0 656.0 658.0 2014 吉林省制药工程 658.0 654.0 656.0 2014 吉林省自动化 666.0 664.0 665.0 2014 吉林省全省分数线(理) 686.0 653.0 663.0 2014 吉林省汉语言文学(文) 624.0 622.0 623.0 2014 吉林省教育学(文) 624.0 622.0 623.0 2014 吉林省金融学(文) 626.0 625.0 626.0 2014 吉林省英语(文) 626.0 624.0 625.0 2014 吉林省全省分数线(文) 626.0 622.0 624.0材料成型及控制工程 646.0 644.0 645.0 2014 黑龙江省材料科学与工程 651.0 649.0 650.0 2014 黑龙江省2014 黑龙江测控技术与仪器 655.0 651.0 653.0 省城乡规划 654.0 652.0 653.0 2014 黑龙江省2014 黑龙江船舶与海洋工程 648.0 646.0 647.0 省电气工程及其自动化 652.0 651.0 652.0 2014 黑龙江省2014 黑龙江电子科学与技术(微电子) 644.0 643.0 644.0 省2014 黑龙江电子科学与技术(光电子技术) 655.0 650.0 653.0 省2014 黑龙江电子信息工程 652.0 651.0 652.0 省分子科学与工程 652.0 652.0 652.0 2014 黑龙江省2014 黑龙江工程管理 658.0 651.0 655.0 省工程力学 642.0 641.0 642.0 2014 黑龙江省2014 黑龙江工商管理 643.0 643.0 643.0 省工业工程 653.0 644.0 649.0 2014 黑龙江省2014 黑龙江功能材料 650.0 645.0 648.0 省光电信息科学与工程 653.0 648.0 651.0 2014 黑龙江省过程装备与控制工程 648.0 645.0 646.0 2014 黑龙江省2014 黑龙江化学工程与工艺 652.0 650.0 651.0 省环境科学 647.0 642.0 645.0 2014 黑龙江省机械设计制造及其自动化 649.0 649.0 649.0 2014 黑龙江省计算机科学与技术 647.0 644.0 646.0 2014 黑龙江省建筑环境与能源应用工程 655.0 650.0 653.0 2014 黑龙江省建筑学 676.0 655.0 666.0 2014 黑龙江省金融学 653.0 653.0 653.0 2014 黑龙江省能源与动力工程 647.0 647.0 647.0 2014 黑龙江省软件工程 645.0 645.0 645.0 2014 黑龙江省生物工程 647.0 644.0 646.0 2014 黑龙江省生物医学工程 645.0 645.0 645.0 2014 黑龙江省2014 黑龙江食品科学与工程 642.0 642.0 642.0 省数学与应用数学 645.0 645.0 645.0 2014 黑龙江省2014 黑龙江水利水电工程 642.0 641.0 642.0 省通信工程 652.0 651.0 652.0 2014 黑龙江省土木工程 652.0 644.0 649.0 2014 黑龙江省2014 黑龙江物联网工程 647.0 647.0 647.0 省2014 黑龙江信息管理与信息系统 650.0 649.0 650.0省2014 黑龙江省信息管理与信息系统(保密管理方向)649.0 646.0 648.02014 黑龙江省药学 644.0 642.0 643.02014 黑龙江省应用化学(工) 650.0 647.0 649.02014 黑龙江省应用物理学 645.0 644.0 645.02014 黑龙江省制药工程 644.0 644.0 644.02014 黑龙江省自动化 648.0 646.0 647.02014 黑龙江省全省分数线(理) 676.0 641.0 648.02014 黑龙江省法学(文) 620.0 617.0 619.02014 黑龙江省教育学(文) 617.0 616.0 617.02014 黑龙江省金融学(文) 624.0 621.0 623.02014 黑龙江省全省分数线(文) 624.0 616.0 619.0 2014 上海市船舶与海洋工程 481.0 467.0 474.0 2014 上海市分子科学与工程 468.0 468.0 468.0 2014 上海市建筑学 487.0 483.0 485.0 2014 上海市金融学 465.0 464.0 465.0 2014 上海市全省分数线(理) 487.0 464.0 474.0 2014 江苏省材料成型及控制工程 380.0 378.0 379.0 2014 江苏省材料科学与工程 382.0 378.0 380.0 2014 江苏省测控技术与仪器 384.0 377.0 379.0 2014 江苏省城乡规划 387.0 387.0 387.0 2014 江苏省船舶与海洋工程 380.0 380.0 380.0 2014 江苏省电气工程及其自动化 386.0 383.0 384.0 2014 江苏省电子科学与技术(微电子) 378.0 377.0 378.02014 江苏省电子科学与技术(光电子技术) 379.0 377.0 378.0 2014 江苏省电子商务 376.0 376.0 376.0 2014 江苏省电子信息工程 378.0 378.0 378.0 2014 江苏省分子科学与工程 379.0 379.0 379.0 2014 江苏省港口航道与海岸工程 383.0 381.0 382.0 2014 江苏省工程管理 386.0 382.0 384.0 2014 江苏省工程力学 376.0 376.0 376.0 2014 江苏省工业工程 378.0 378.0 378.0 2014 江苏省工业设计 376.0 376.0 376.0 2014 江苏省光电信息科学与工程 382.0 378.0 380.0 2014 江苏省过程装备与控制工程 378.0 376.0 377.0 2014 江苏省化学工程与工艺 382.0 380.0 381.0 2014 江苏省环境工程 378.0 377.0 378.0 2014 江苏省机械设计制造及其自动化 379.0 378.0 379.0 2014 江苏省集成电路设计与集成系统 377.0 377.0 377.0 2014 江苏省计算机科学与技术 381.0 378.0 380.0 2014 江苏省建筑学 396.0 393.0 395.0 2014 江苏省金融学 382.0 382.0 382.0 2014 江苏省能源与动力工程 382.0 380.0 381.0 2014 江苏省软件工程 379.0 378.0 379.0 2014 江苏省生物工程 376.0 376.0 376.0 2014 江苏省生物科学 378.0 377.0 378.0 2014 江苏省生物医学工程 376.0 376.0 376.0 2014 江苏省数学与应用数学 379.0 377.0 378.0 2014 江苏省通信工程 382.0 378.0 379.0 2014 江苏省土木工程 385.0 384.0 385.0 2014 江苏省物联网工程 376.0 376.0 376.0 2014 江苏省信息管理与信息系统 377.0 377.0 377.02014 江苏省药学 376.0 376.0 376.0 2014 江苏省应用化学 376.0 376.0 376.0 2014 江苏省应用化学(工) 377.0 376.0 377.0 2014 江苏省应用物理学 376.0 376.0 376.0 2014 江苏省制药工程 377.0 377.0 377.0 2014 江苏省自动化 379.0 377.0 378.0 2014 江苏省全省分数线(理) 396.0 376.0 379.0 2014 江苏省法学(文) 365.0 363.0 364.0 2014 江苏省工商管理(文) 366.0 366.0 366.0 2014 江苏省教育学(文) 363.0 362.0 363.0 2014 江苏省金融学(文) 369.0 369.0 369.0 2014 江苏省英语(文) 365.0 362.0 364.0 2014 江苏省全省分数线(文) 369.0 362.0 364.0 2014 浙江省材料成型及控制工程 677.0 676.0 677.0 2014 浙江省材料科学与工程 679.0 679.0 679.0 2014 浙江省测控技术与仪器 679.0 679.0 679.0 2014 浙江省城乡规划 686.0 685.0 686.0 2014 浙江省船舶与海洋工程 679.0 677.0 678.0 2014 浙江省电气工程及其自动化 687.0 686.0 687.0 2014 浙江省电子科学与技术(光电子技术) 680.0 678.0 679.0 2014 浙江省电子商务 677.0 676.0 677.0 2014 浙江省电子信息工程 677.0 676.0 677.0 2014 浙江省分子科学与工程 681.0 681.0 681.0 2014 浙江省港口航道与海岸工程 677.0 676.0 677.0 2014 浙江省工程管理 681.0 678.0 680.0 2014 浙江省工程力学 676.0 676.0 676.0 2014 浙江省工业工程 677.0 677.0 677.0 2014 浙江省工业设计 684.0 684.0 684.02014 浙江省光电信息科学与工程 682.0 680.0 681.0 2014 浙江省化学工程与工艺 683.0 683.0 683.0 2014 浙江省机械设计制造及其自动化 681.0 679.0 680.0 2014 浙江省集成电路设计与集成系统 676.0 676.0 676.0 2014 浙江省计算机科学与技术 677.0 677.0 677.0 2014 浙江省建筑学 713.0 687.0 700.0 2014 浙江省金融学 682.0 682.0 682.0 2014 浙江省能源与动力工程 682.0 680.0 681.0 2014 浙江省软件工程 677.0 677.0 677.0 2014 浙江省生物工程 676.0 676.0 676.0 2014 浙江省生物科学 678.0 676.0 677.0 2014 浙江省生物医学工程 676.0 676.0 676.0 2014 浙江省食品科学与工程 676.0 676.0 676.0 2014 浙江省数学与应用数学 679.0 679.0 679.0 2014 浙江省水利水电工程 683.0 676.0 680.0 2014 浙江省通信工程 681.0 678.0 680.0 2014 浙江省土木工程 685.0 684.0 685.0 2014 浙江省物联网工程 680.0 677.0 679.0 2014 浙江省信息管理与信息系统 678.0 677.0 678.0 2014 浙江省药学 677.0 676.0 677.0 2014 浙江省应用化学 677.0 677.0 677.0 2014 浙江省应用化学(工) 680.0 679.0 680.0 2014 浙江省应用物理学 678.0 678.0 678.0 2014 浙江省自动化 682.0 679.0 681.0 2014 浙江省全省分数线(理) 713.0 676.0 680.0 2014 浙江省财务管理(文) 676.0 676.0 676.0 2014 浙江省法学(文) 675.0 674.0 675.0 2014 浙江省汉语言文学(文) 675.0 674.0 675.02014 浙江省教育学(文) 673.0 673.0 673.0 2014 浙江省金融学(文) 677.0 677.0 677.0 2014 浙江省英语(文) 673.0 673.0 673.0 2014 浙江省全省分数线(文) 677.0 673.0 674.0 2014 安徽省材料成型及控制工程 601.0 598.0 600.0 2014 安徽省材料科学与工程 607.0 600.0 603.0 2014 安徽省测控技术与仪器 605.0 603.0 604.0 2014 安徽省城乡规划 609.0 609.0 609.0 2014 安徽省船舶与海洋工程 602.0 595.0 598.0 2014 安徽省电气工程及其自动化 608.0 606.0 607.0 2014 安徽省电子科学与技术(微电子) 601.0 599.0 600.0 2014 安徽省电子科学与技术(光电子技术) 599.0 599.0 599.0 2014 安徽省电子商务 596.0 595.0 596.0 2014 安徽省电子信息工程 602.0 600.0 601.0 2014 安徽省港口航道与海岸工程 603.0 598.0 601.0 2014 安徽省工业工程 598.0 598.0 598.0 2014 安徽省工业设计 598.0 596.0 597.0 2014 安徽省功能材料 599.0 599.0 599.0 2014 安徽省光电信息科学与工程 602.0 602.0 602.0 2014 安徽省光电信息科学与工程(天南大合办) 609.0 604.0 607.0 2014 安徽省过程装备与控制工程 598.0 597.0 598.0 2014 安徽省化学工程与工艺 602.0 599.0 601.0 2014 安徽省环境工程 596.0 595.0 596.0 2014 安徽省环境科学 597.0 597.0 597.0 2014 安徽省机械设计制造及其自动化 607.0 600.0 602.0 2014 安徽省计算机科学与技术 599.0 598.0 598.0 2014 安徽省建筑环境与能源应用工程 600.0 598.0 599.0 2014 安徽省建筑学 628.0 628.0 628.02014 安徽省能源与动力工程 603.0 599.0 601.0 2014 安徽省软件工程 608.0 598.0 601.0 2014 安徽省生物工程 598.0 598.0 598.0 2014 安徽省生物科学 596.0 595.0 596.0 2014 安徽省生物医学工程 595.0 595.0 595.0 2014 安徽省食品科学与工程 597.0 596.0 597.0 2014 安徽省数学与应用数学 598.0 598.0 598.0 2014 安徽省水利水电工程 598.0 597.0 598.0 2014 安徽省通信工程 604.0 602.0 603.0 2014 安徽省土木工程 618.0 608.0 613.0 2014 安徽省物联网工程 596.0 596.0 596.0 2014 安徽省信息管理与信息系统 597.0 595.0 596.0 2014 安徽省药学 596.0 596.0 596.0 2014 安徽省应用化学 596.0 595.0 595.0 2014 安徽省应用化学(工) 598.0 597.0 598.0 2014 安徽省应用物理学 597.0 595.0 596.0 2014 安徽省制药工程 598.0 596.0 597.0 2014 安徽省自动化 602.0 601.0 602.0 2014 安徽省全省分数线(理) 628.0 595.0 600.0 2014 安徽省法学(文) 600.0 600.0 600.0 2014 安徽省汉语言文学(文) 601.0 599.0 600.0 2014 安徽省教育学(文) 602.0 600.0 601.0 2014 安徽省金融学(文) 601.0 601.0 601.0 2014 安徽省全省分数线(文) 602.0 599.0 600.0 2014 福建省材料科学与工程 632.0 622.0 627.0 2014 福建省测控技术与仪器 633.0 630.0 631.0 2014 福建省船舶与海洋工程 650.0 626.0 634.0 2014 福建省电气工程及其自动化 640.0 639.0 639.02014 福建省电子科学与技术(光电子技术) 628.0 627.0 628.0 2014 福建省电子商务 625.0 622.0 624.0 2014 福建省电子信息工程 636.0 628.0 632.0 2014 福建省港口航道与海岸工程 624.0 621.0 623.0 2014 福建省工程管理 639.0 636.0 638.0 2014 福建省工程力学 626.0 622.0 624.0 2014 福建省工业工程 628.0 624.0 626.0 2014 福建省工业设计 628.0 628.0 628.0 2014 福建省功能材料 622.0 621.0 622.0 2014 福建省光电信息科学与工程 630.0 628.0 629.0 2014 福建省光电信息科学与工程(天南大合办) 638.0 633.0 636.0 2014 福建省过程装备与控制工程 624.0 624.0 624.0 2014 福建省化学工程与工艺 634.0 626.0 631.0 2014 福建省环境工程 621.0 621.0 621.0 2014 福建省环境科学 621.0 621.0 621.0 2014 福建省机械设计制造及其自动化 636.0 632.0 633.0 2014 福建省集成电路设计与集成系统 623.0 622.0 623.0 2014 福建省计算机科学与技术 623.0 621.0 622.0 2014 福建省建筑环境与能源应用工程 627.0 624.0 626.0 2014 福建省建筑学 651.0 647.0 649.0 2014 福建省金融学 627.0 627.0 627.0 2014 福建省能源与动力工程 629.0 626.0 628.0 2014 福建省软件工程 625.0 625.0 625.0 2014 福建省生物工程 621.0 621.0 621.0 2014 福建省生物科学 623.0 621.0 622.0 2014 福建省生物医学工程 623.0 622.0 623.0 2014 福建省数学与应用数学 621.0 621.0 621.0 2014 福建省水利水电工程 626.0 624.0 625.02014 福建省通信工程 630.0 629.0 630.0 2014 福建省土木工程 646.0 634.0 640.0 2014 福建省物联网工程 624.0 624.0 624.0 2014 福建省信息管理与信息系统 622.0 621.0 622.0 2014 福建省药学 621.0 621.0 621.0 2014 福建省应用化学 621.0 621.0 621.0 2014 福建省应用化学(工) 621.0 621.0 621.0 2014 福建省应用物理学 622.0 621.0 622.0 2014 福建省制药工程 646.0 623.0 635.0 2014 福建省自动化 630.0 628.0 629.0 2014 福建省全省分数线(理) 651.0 621.0 628.0 2014 福建省法学(文) 621.0 621.0 621.0 2014 福建省汉语言文学(文) 625.0 625.0 625.0 2014 福建省全省分数线(文) 625.0 621.0 623.0 2014 江西省材料成型及控制工程 603.0 603.0 603.0 2014 江西省材料科学与工程 607.0 605.0 606.0 2014 江西省测控技术与仪器 629.0 623.0 626.0 2014 江西省船舶与海洋工程 620.0 612.0 616.0 2014 江西省电气工程及其自动化 622.0 616.0 619.0 2014 江西省电子科学与技术(微电子) 615.0 604.0 610.0 2014 江西省电子科学与技术(光电子技术) 611.0 606.0 609.0 2014 江西省电子商务 604.0 603.0 604.0 2014 江西省电子信息工程 606.0 606.0 606.0 2014 江西省港口航道与海岸工程 609.0 604.0 607.0 2014 江西省工程力学 605.0 605.0 605.0 2014 江西省工业设计 605.0 605.0 605.0 2014 江西省功能材料 603.0 603.0 603.0 2014 江西省光电信息科学与工程 612.0 612.0 612.02014 江西省光电信息科学与工程(天南大合办) 613.0 613.0 613.0 2014 江西省过程装备与控制工程 607.0 604.0 606.0 2014 江西省化学工程与工艺 626.0 617.0 621.0 2014 江西省环境工程 610.0 607.0 609.0 2014 江西省环境科学 612.0 603.0 608.0 2014 江西省机械设计制造及其自动化 610.0 607.0 608.0 2014 江西省集成电路设计与集成系统 607.0 605.0 606.0 2014 江西省计算机科学与技术 608.0 604.0 606.0 2014 江西省建筑环境与能源应用工程 610.0 608.0 609.0 2014 江西省建筑学 635.0 627.0 631.0 2014 江西省能源与动力工程 608.0 608.0 608.0 2014 江西省软件工程 607.0 605.0 606.0 2014 江西省生物工程 606.0 604.0 605.0 2014 江西省生物医学工程 605.0 604.0 605.0 2014 江西省数学与应用数学 604.0 604.0 604.0 2014 江西省水利水电工程 610.0 609.0 610.0 2014 江西省通信工程 608.0 606.0 607.0 2014 江西省土木工程 624.0 621.0 623.0 2014 江西省信息管理与信息系统 618.0 611.0 615.0 2014 江西省药学 604.0 603.0 604.0 2014 江西省应用化学 606.0 603.0 605.0 2014 江西省应用化学(工) 613.0 605.0 609.0 2014 江西省应用物理学 606.0 605.0 606.0 2014 江西省制药工程 604.0 603.0 603.0 2014 江西省自动化 613.0 607.0 610.0 2014 江西省全省分数线(理) 635.0 603.0 610.0 2014 江西省法学(文) 573.0 568.0 571.0 2014 江西省英语(文) 568.0 561.0 565.02014 江西省全省分数线(文) 573.0 561.0 568.0 2014 山东省材料成型及控制工程 672.0 670.0 671.0 2014 山东省材料科学与工程 675.0 670.0 673.0 2014 山东省财务管理 677.0 672.0 675.0 2014 山东省测控技术与仪器 681.0 675.0 678.0 2014 山东省城乡规划 676.0 675.0 676.0 2014 山东省船舶与海洋工程 674.0 671.0 673.0 2014 山东省电气工程及其自动化 680.0 675.0 678.0 2014 山东省电子科学与技术(微电子) 673.0 672.0 673.0 2014 山东省电子科学与技术(光电子技术) 673.0 671.0 672.0 2014 山东省电子商务 668.0 668.0 668.0 2014 山东省电子信息工程 675.0 675.0 675.0 2014 山东省分子科学与工程 680.0 680.0 680.0 2014 山东省港口航道与海岸工程 673.0 672.0 673.0 2014 山东省工程管理 688.0 679.0 684.0 2014 山东省工程力学 670.0 669.0 670.0 2014 山东省工业工程 668.0 668.0 668.0 2014 山东省工业设计 672.0 672.0 672.0 2014 山东省功能材料 677.0 670.0 674.0 2014 山东省光电信息科学与工程 674.0 674.0 674.0 2014 山东省光电信息科学与工程(天南大合办) 681.0 678.0 680.0 2014 山东省过程装备与控制工程 670.0 670.0 670.0 2014 山东省化学工程与工艺 676.0 675.0 676.0 2014 山东省环境工程 669.0 669.0 669.0 2014 山东省环境科学 669.0 668.0 669.0 2014 山东省机械设计制造及其自动化 675.0 674.0 675.0 2014 山东省计算机科学与技术 671.0 669.0 670.0 2014 山东省建筑环境与能源应用工程 671.0 670.0 671.02014 山东省建筑学 683.0 673.0 678.0 2014 山东省教育学 668.0 668.0 668.0 2014 山东省金融学 669.0 669.0 669.0 2014 山东省能源与动力工程 680.0 675.0 678.0 2014 山东省软件工程 671.0 671.0 671.0 2014 山东省生物工程 669.0 668.0 669.0 2014 山东省生物科学 671.0 668.0 669.0 2014 山东省生物医学工程 670.0 669.0 670.0 2014 山东省食品科学与工程 669.0 668.0 669.0 2014 山东省数学与应用数学 670.0 669.0 670.0 2014 山东省水利水电工程 674.0 673.0 674.0 2014 山东省通信工程 674.0 673.0 674.0 2014 山东省土木工程 679.0 675.0 677.0 2014 山东省物联网工程 669.0 669.0 669.0 2014 山东省物流工程 669.0 668.0 669.0 2014 山东省信息管理与信息系统 669.0 669.0 669.0 2014 山东省信息管理与信息系统(保密管理方670.0 668.0 669.0向)2014 山东省药学 669.0 668.0 669.0 2014 山东省应用化学 670.0 668.0 669.0 2014 山东省应用化学(工) 671.0 668.0 670.0 2014 山东省应用物理学 669.0 668.0 669.0 2014 山东省制药工程 671.0 671.0 671.0 2014 山东省自动化 673.0 672.0 673.0 2014 山东省全省分数线(理) 688.0 668.0 672.0 2014 山东省法学(文) 644.0 642.0 643.0 2014 山东省工商管理(文) 644.0 644.0 644.0 2014 山东省汉语言文学(文) 641.0 641.0 641.02014 山东省金融学(文) 646.0 646.0 646.0 2014 山东省英语(文) 640.0 640.0 640.0 2014 山东省全省分数线(文) 646.0 640.0 642.0 2014 河南省材料成型及控制工程 638.0 637.0 638.0 2014 河南省材料科学与工程 645.0 639.0 642.0 2014 河南省测控技术与仪器 654.0 649.0 651.0 2014 河南省城乡规划 655.0 655.0 655.0 2014 河南省船舶与海洋工程 645.0 641.0 643.0 2014 河南省电气工程及其自动化 649.0 646.0 647.0 2014 河南省电子科学与技术(微电子) 648.0 646.0 647.0 2014 河南省电子科学与技术(光电子技术) 651.0 648.0 650.0 2014 河南省电子信息工程 645.0 643.0 644.0 2014 河南省分子科学与工程 648.0 646.0 647.0 2014 河南省港口航道与海岸工程 644.0 644.0 644.0 2014 河南省工程管理 650.0 648.0 649.0 2014 河南省工程力学 642.0 641.0 642.0 2014 河南省工业工程 642.0 641.0 642.0 2014 河南省工业设计 644.0 643.0 644.0 2014 河南省功能材料 640.0 639.0 640.0 2014 河南省光电信息科学与工程 649.0 648.0 649.0 2014 河南省过程装备与控制工程 644.0 643.0 644.0 2014 河南省化学工程与工艺 652.0 645.0 648.0 2014 河南省环境工程 640.0 637.0 639.0 2014 河南省环境科学 641.0 637.0 639.0 2014 河南省机械设计制造及其自动化 648.0 643.0 645.0 2014 河南省集成电路设计与集成系统 639.0 638.0 638.0 2014 河南省计算机科学与技术 644.0 641.0 642.0 2014 河南省建筑环境与能源应用工程 655.0 641.0 646.02014 河南省建筑学 657.0 655.0 656.0 2014 河南省教育学 638.0 637.0 638.0 2014 河南省能源与动力工程 646.0 643.0 644.0 2014 河南省软件工程 647.0 639.0 642.0 2014 河南省生物工程 644.0 641.0 643.0 2014 河南省生物科学 641.0 639.0 640.0 2014 河南省生物医学工程 646.0 641.0 644.0 2014 河南省食品科学与工程 639.0 638.0 639.0 2014 河南省数学与应用数学 640.0 640.0 640.0 2014 河南省水利水电工程 646.0 643.0 645.0 2014 河南省通信工程 648.0 645.0 646.0 2014 河南省土木工程 652.0 650.0 651.0 2014 河南省物联网工程 647.0 641.0 644.0 2014 河南省物流工程 640.0 637.0 639.0 2014 河南省信息管理与信息系统 641.0 638.0 640.0 2014 河南省信息管理与信息系统(保密管理方639.0 638.0 639.0向)2014 河南省药学 639.0 639.0 639.0 2014 河南省应用化学 645.0 640.0 642.0 2014 河南省应用化学(工) 644.0 642.0 643.0 2014 河南省应用物理学 648.0 644.0 646.0 2014 河南省制药工程 641.0 638.0 640.0 2014 河南省自动化 647.0 642.0 644.0 2014 河南省全省分数线(理) 657.0 637.0 644.0 2014 河南省财务管理(文) 595.0 595.0 595.0 2014 河南省法学(文) 593.0 593.0 593.0 2014 河南省工商管理(文) 595.0 595.0 595.0 2014 河南省汉语言文学(文) 593.0 593.0 593.02014 河南省金融学(文) 595.0 594.0 595.0 2014 河南省英语(文) 593.0 593.0 593.0 2014 河南省全省分数线(文) 595.0 593.0 594.0 2014 湖北省材料成型及控制工程 610.0 610.0 610.0 2014 湖北省材料科学与工程 613.0 611.0 612.0 2014 湖北省财务管理 618.0 618.0 618.0 2014 湖北省测控技术与仪器 626.0 618.0 623.0 2014 湖北省城乡规划 637.0 637.0 637.0 2014 湖北省船舶与海洋工程 613.0 610.0 612.0 2014 湖北省电气工程及其自动化 627.0 620.0 623.0 2014 湖北省电子科学与技术(光电子技术) 614.0 611.0 613.0 2014 湖北省电子信息工程 615.0 612.0 614.0 2014 湖北省港口航道与海岸工程 627.0 614.0 621.0 2014 湖北省工程管理 646.0 637.0 642.0 2014 湖北省工程力学 611.0 610.0 611.0 2014 湖北省功能材料 611.0 610.0 611.0 2014 湖北省光电信息科学与工程 637.0 637.0 637.0 2014 湖北省光电信息科学与工程(天南大合办) 629.0 614.0 622.0 2014 湖北省过程装备与控制工程 610.0 610.0 610.0 2014 湖北省化学工程与工艺 613.0 610.0 611.0 2014 湖北省环境工程 619.0 612.0 616.0 2014 湖北省环境科学 611.0 610.0 611.0 2014 湖北省机械设计制造及其自动化 617.0 614.0 616.0 2014 湖北省集成电路设计与集成系统 615.0 610.0 613.0 2014 湖北省计算机科学与技术 613.0 611.0 612.0 2014 湖北省建筑环境与能源应用工程 612.0 611.0 612.0 2014 湖北省建筑学 648.0 644.0 646.0 2014 湖北省金融学 612.0 612.0 612.0。
姓名毕业院校申报专业姓名毕业院校申报专业唐梦兰大连理工大学企业管理李佳欣重庆大学会计学佘佩芝电子科技大学企业管理许崇炜重庆大学会计学张智鑫湖南大学企业管理徐雪飞东南大学会计学罗慧颖华南理工大学企业管理陆能湖南大学会计学任萌华中科技大学企业管理涂虹羽华南理工大学会计学刘健华中科技大学企业管理邹琦华中科技大学会计学王瑶雨吉林大学企业管理李文静华中科技大学会计学卜丹丹吉林大学企业管理张金峰吉林大学会计学吴冬兰州大学企业管理黄姝怡南京大学会计学黄庆南京大学企业管理董晓洁南京大学会计学王攀南开大学企业管理吴霜南京大学会计学赵万隆南开大学企业管理李茹山东大学会计学郑沛琪山东大学企业管理王燊四川大学会计学王子豪山东大学企业管理彭晓敏四川大学会计学冷冰洁四川大学企业管理王帅天津大学会计学黄惠武汉大学企业管理吴素云武汉大学会计学舒熳武汉大学企业管理李婵娟武汉大学会计学夏子乔西南财经大学企业管理高芊西安交通大学会计学赵勇中国海洋大学企业管理程贝贝中南大学会计学晋彦文中南大学企业管理朱素欢中山大学会计学林杰俊中山大学企业管理贾凯斯河海大学会计学龙良智重庆大学企业管理郑宇新辽宁大学会计学陈和康东北大学财务学姜雪上海财经大学会计学姓名毕业院校申报专业姓名毕业院校申报专业金浡华东师范大学财务学李鑫西南财经大学会计学熊鑫钰华南理工大学财务学张伶双西南财经大学会计学朱中言吉林大学财务学朱梦醒中南财经政法大学会计学吴经迪暨南大学财务学金玮华东北财经大学会计学薄心茹南京大学财务学张逸雪 东北财经大学会计学孙翔宇山东大学财务学曾萧寒东南大学管理科学与工程周奕纯上海财经大学财务学阮成奇华中师范大学管理科学与工程刘劲松四川大学财务学宋晓丹山东大学管理科学与工程郭韵武汉大学财务学张蕊西北工业大学管理科学与工程林畅杰中南财经政法大学财务学庞俊杰云南大学管理科学与工程卢康中南财经政法大学财务学徐向阳电子科技大学管理科学与工程张凯帝中南大学财务学林永昊北京交通大学管理科学与工程汪思岑重庆大学财务学夏冰吉林大学技术经济及管理张雯东南大学市场营销学余玲北京林业大学旅游管理李乐平湖南大学市场营销学彭小飞海南大学旅游管理孙琪吉林大学市场营销学邱佳敏华东理工大学旅游管理张灿西南财经大学市场营销学陈苗南开大学旅游管理张艳艳中南财经政法大学市场营销学潘卓南开大学旅游管理邹周中山大学市场营销学司楠楠中国海洋大学旅游管理。
项目参加范围时间地点工作要求资格审查各学院(部)参加复试的本校考生3月20日下午1:30~5:3025教学楼A区一层大厅1、3月15日起至复试工作结束前,登陆研招网交费平台缴纳复试费2、下载《资格审查合格单》3、如需领取复试费发票,请于4月10日—17日,到第9教学楼104室领取。
机械、自动化、建工、建筑、化工、文法、马克思、环境、软件学院复试的非本校考生3月21日上午8:00~12:00精仪、电信、材料、管理、理、计算机、教育、药、生命学院参加复试的非本校考生3月21日下午1:30~5:30补漏3月24日下午2:30~5:30第9教学楼104室体检各学院(部)参加复试的本校考生(含本校保研生)3月19日上午7:30开始天津大学校医院1、持身份证、准考证(或学生证)、一寸照片(体检表张贴)、笔(填表用)参加体检;2、缴纳体检费60元(若其余时间体检,费用由校医院依照另外标准收取)3、体检完毕后,需将体检收费单据红联,加盖“体检表已交”印章后交回学院(交回方式参看学院安排)已到校准备复试的非本校考生(不区分学院)3月19日下午1:00开始机械、精仪、自动化、电信、文法、生命学院参加复试的非本校考生3月20日上午7:30开始建工、建筑、化工、马克思、环境、软件学院参加复试的非本校考生3月20日下午1:00开始材料、管理、理、教育、药、计算机学院参加复试的非本校考生3月21日上午7:30开始未参加体检的考生3月21日下午1:00开始专业知识测试资格审查合格考生(凭身份证、准考证、资格审查合格单参加考试)3月22日下午2:30~4:00由报考学院(部)安排外语能力、实验测试及面试资格审查合格的考生(凭身份证、准考证、资格审查合格证明参加面试)3月22日~3月25日同等学力考生加试资格审查合格的同等学力考生(凭身份证、准考证、资格审查合格证明参加考试)复试期间。
[招生信息] 2014年各招生单位夏令营汇总(工科类)——2014.06.23关于举办2014年南昌大学优秀大学生暑期夏令营活动的通知(化学、生物学、机械工程、材料科学与工程、环境科学与工程、食品科学与工程、临床医学、管理科学与工程)2014 年国防科学技术大学研究生暑期学校安排(高性能计算、航天力学、无人系统协同控制、量子信息、卫星导航)河海大学2014年优秀本科生夏令营活动公告new中国科学院国家授时中心2014年暑期“时间之旅”大学生夏令营邀请函 (物理、光学、电子、通信、导航定位、测试计量、计算机应用等相关专业)n机械(含工业工程)与能源类:2014年北京交通大学机械与电子控制工程学院全国优秀大学生暑期夏令营招生简章网申截止6月30日关于举办“北京大学环境与能源学院2014年优秀大学生夏令营”的通知中科院工程热物理研究所2014年暑期夏令营中国科学院“走进QIBEBT”大学生夏令营通知(第一轮)中科院西安光机所2014年“嫦娥奔月”暑期大学生夏令营邀请函2014年长安大学汽车学院全国优秀大学生暑期夏令营暨预选接受推荐免试研究生的通知浙江大学机械工程学系2014年全国优秀大学生暑期学术夏令营通知上海交通大学机械与动力工程学院接受2015年免试推荐研究生选拔活动的通知天津大学机械工程学院动力工程及工程热物理学科2015年研究生招生夏令营活动通知天津大学机械工程学院动力工程及工程热物理学科2015年研究生招生夏令营活动通知天津大学机械工程学院机械工程学科2015年研究生招生夏令营活动通知同济大学机械与能源工程学院优秀大学生暑期学校活动通知2014西安交通大学2014年能源与动力工程学院优秀大学生夏令营new东北大学机械工程与自动化学院关于举办2014年暑期学术夏令营活动的通知new西安交通大学机械工程学院2014年全国优秀大学生夏令营通知new大连理工大学机械工程与材料能源学部2014年学术夏令营活动邀请函材料与冶金(含力学)类:化工类(化学类请点击此处):中科院关于举办2014年全国大学生/研究生能源化工春令营的通知中科院过程工程研究所2014年暑期学校报名通知复旦大学环境科学与工程系2014年优秀大学生夏令营中国科学院大连化学物理研究所2014年暑期大学生夏令营第一轮通知南京大学化学化工学院关于举办2014年全国“优秀大学生化学夏令营”活动的通知中科院长春应用化学研究所2014年大学生夏令营活动邀请函清华大学微纳米力学与多学科交叉创新研究中心2014年全国优秀大学生暑期夏令营活动2014年北京大学环境科学与工程学院优秀大学生夏令营通知厦门大学化学化工学院2014年全国优秀大学生暑期夏令营活动招生简章中国科学院“走进QIBEBT”大学生夏令营通知(第一轮)浙江大学高分子系2014年大学生暑期学术夏令营通知2014年中国石油大学(北京)化学工程学院优秀大学生夏令营招生简章天津大学材料学院2015年研究生夏令营招生活动通知中科院天津工业生物技术研究所“新生物学与生物经济”2014年大学生夏令营招生简章天津大学化工学院2015年研究生招生夏令营活动通知核科学与技术类:清华大学2014年核学科优秀大学生暑期夏令营报名通知(含核技术及应用、辐射防护与环境保护、核能科学与工程、核燃料循环与材料、医学物理、核物理等)清华大学物理系关于举办“2014年物理学优秀大学生夏令营” 活动的通知(核物理)。
【育明教育】中国考研考博专业课辅导第一品牌育明教育官方网站: 1天津大学理学院2014年硕士研究生招生复试安排一、资格审查及体检1.资格审查:所有通过学科、专业复试名单的考生,均须通过网上交费平台及时缴费(支付宝账号),复试费标准为90元。
完成缴费后,考生可适时在网上下载打印《复试资格审查合格单》,并持《复试资格审查合格单》及准考证、身份证原件、毕业证原件(应届本科生持学生证)进行资格审查。
审验合格后,考生将加盖好印戳的《复试资格审查合格单》交复试小组秘书审验,本人留存本单至2014年9月。
对资格审查不合格或没有参加资格审查的考生将取消复试资格。
考生凭《资格审查合格证明》参加复试,在复试各环节都必须检查《资格审查合格证明》。
每名参加复试考生提供一份大学本科期间成绩单(往届生加盖档案所在单位人事部门公章,应届生加盖所在学校教务部门公章),面试时供面试小组老师查阅。
项目参加范围时间地点工作要求资格审查各学院(部)参加复试的本校考生3月20日下午1:30~5:3025教学楼A 区一层大厅1、3月15日起至复试工作结束前,登陆研招网交费平台缴纳复试费2、自行下载《资格审查合格单》3、如需领取复试费发票,请于4月10日—17日,到第9教学楼104室领取。
机械、自动化、建工、建筑、化工、文法、马克思、环境、软件学院复试的非本校考生3月21日上午8:00~12:00精仪、电信、材料、管理、理、计算机、教育、药、生命学院参加复试的非本校考生3月21日下午1:30~5:30补漏3月24日下午2:30~5:30第9教学楼104室体检各学院(部)参加复试的本校考生(含本校保研生)3月19日上午7:30开始天津大学校医院1、持身份证、准考证(或学生证)、一寸照片(体检表张贴)、笔(填表用)参加体检;2、缴纳体检费60元(若其余时间体检,费用由校医院依照已到校准备复试的非本校考生(不区分学院)3月19日下午1:00开始机械、精仪、自动化、电信、文法、生命学院参加复试的非本校考生3月20日上午7:30开始建工、建筑、化工、马克思、环境、软件学院参加复试的非本校考生3月20日下午1:00开始材料、管理、理、教育、药、计算机学院参加复试的非本校考生3月21日上午7:30开始【育明教育】中国考研考博专业课辅导第一品牌育明教育官方网站: 2另外标准收取)3、体检完毕后,需将体检收费单据红联,加盖“体检表已交”印章后于22日下午笔试时交监考老师。
【育明教育】中国考研考博专业课辅导第一品牌育明教育官方网站: 1天津大学2014年研究生入学考试理学院各专业复试名单考生编号初试总分复试专业100564001206728328基础数学100564002308415326基础数学100564022116754318基础数学100564016815316320计算数学100564005009803319计算数学100564014513140316计算数学100564001707821359概率论与数理统计100564003209150333概率论与数理统计100564016515058332概率论与数理统计100564002308419371应用数学100564003209151349应用数学100564002308418347应用数学100564014513145339应用数学100564017515514337应用数学100564002008016333应用数学100564013612724333应用数学100564002208214321应用数学100564003509254311应用数学100564016815317311应用数学100564003609435367运筹学与控制论100564015214439362运筹学与控制论100564007610645351运筹学与控制论100564002208218348运筹学与控制论100564000104551344运筹学与控制论100564015214437340运筹学与控制论100564000104544338运筹学与控制论100564000104539332运筹学与控制论100564014513148330运筹学与控制论100564002208216316运筹学与控制论100564003109122315运筹学与控制论100564014613725312运筹学与控制论100564015714741311运筹学与控制论100564002308438324凝聚态物理100564004009609384光学100564002308439378光学100564003509314372光学100564001206734361光学100564003709510358光学100564016815326404化学100564001607644401化学【育明教育】中国考研考博专业课辅导第一品牌育明教育官方网站:2100564002308443391化学100564017815613387化学100564016815323382化学100564015814817382化学100564001206746377化学100564008010755377化学100564001507343376化学100564003709511375化学100564003809539374化学100564001206741374化学100564001206744373化学100564028917350368化学100564001607637368化学100564008010758368化学100564001607645367化学100564000104620365化学100564019616247365化学100564014513219364化学100564002508810363化学100564015114357363化学100564017415458361化学100564015314547360化学【育明教育】中国考研考博专业课辅导第一品牌育明教育官方网站:3100564014513226359化学100564017615537359化学100564017015435358化学100564013612735357化学100564014814032356化学100564015214450356化学100564019616248356化学100564017415460355化学100564004209632355化学100564002508809354化学100564017015434354化学100564017415459352化学100564002308448352化学100564002508808348化学100564005209819348化学100564029717602348化学100564000104618347化学100564003209155345化学100564002308446343化学100564014513222343化学100564003609446340化学100564003909556336化学【育明教育】中国考研考博专业课辅导第一品牌育明教育官方网站:4100564015214451336化学100564016014911335化学100564001206745334化学100564002008036334化学100564002508806334化学100564016515108332化学100564017015428332化学100564002008034331化学100564015214454330化学100564020616623330化学100564017815614328化学100564002508804326化学100564003509318324化学100564029117417324化学100564017015430324化学100564016014910322化学100564002008039322化学100564011812335320化学100564017915636318化学100564032117921318化学100564001607642316化学100564017615534316化学【育明教育】中国考研考博专业课辅导第一品牌育明教育官方网站:5100564000104616315化学100564005509943314化学100564011312208313化学100564011512234311化学100564002508803311化学100564003209156311化学100564002008031310化学100564003509311398材料物理与化学100564003509301398材料物理与化学100564002008025394材料物理与化学100564002308431387材料物理与化学100564003509304384材料物理与化学100564005610020384材料物理与化学100564002308430382材料物理与化学100564003509308380材料物理与化学100564003509303374材料物理与化学100564003509260373材料物理与化学100564002008024371材料物理与化学100564003509309370材料物理与化学100564011312203364材料物理与化学100564001407303364材料物理与化学100564015014229362材料物理与化学【育明教育】中国考研考博专业课辅导第一品牌育明教育官方网站:6100564002008023358材料物理与化学100564002008020353材料物理与化学100564014613726344材料物理与化学100564016915358342材料物理与化学100564001807846329材料物理与化学100564016915402370应用化学100564001307112347应用化学100564023916903342应用化学100564000606515341应用化学2014年有多名学员以优异成绩考上天津大学的建筑学,城市规划,风景园林,行政管理,传播学,金融硕士,翻译硕士等各个专业,可以说这些专业是我们育明教育的王牌专业,希望广大学子能够来育明实地查看,加入我们的辅导课程,你会发现在这里复习考研将会是你事半功倍,复习效果更上一层楼!针对以上信息,有任何疑问或希望来育明教育进行实地了解的考生们,可以联系我们对天津大学的首席咨询师林老师,扣扣为2831464870,祝各位考研成功!【育明教育】中国考研考博专业课辅导第一品牌育明教育官方网站:7【育明教育】中国考研考博专业课辅导第一品牌育明教育官方网站:82015年育明教育考研攻略一、《育明教育:五阶段考研复习攻略》把考研作为一种娱乐,而不是被娱乐。
天津大学2014年硕士研究生招生复试、录取工作办法根据教育部有关文件精神,结合我校今年研究生招生工作的实际情况,现将我校2014年硕士研究生复试、录取和调剂工作安排如下。
一、组织领导1、学校成立研究生招生工作领导小组,领导小组由学校领导和纪检委、研究生院等部门负责人及相关人员组成,负责全校研究生招生工作。
2、各学院应组成院级研究生招生工作领导小组,领导小组应由学院党委书记、院长、主管研究生工作的副院长、纪检工作负责人、分管学生工作的党委副书记及相关人员组成,负责制定复试工作具体方案并组织实施,指导复试小组进行具体考核工作,同时负责处理招生过程中考生提出的质疑和申诉。
3、复试小组的组成及要求各学院根据本院各学科、专业的实际情况,成立若干复试小组,每个小组由5~7名研究生指导教师组成,负责实施对考生的实验(实践)能力测试和面试考核。
复试小组设组长1名,组长一般应由教授担任,负责本小组的复试工作。
复试小组的组成应由学院研究生招生工作领导小组审定,报学校研究生招生工作领导小组备案。
各学院除成立复试小组外,对于采用面试方式进行外语听说能力测试的,还应以学院为单位,单独成立外语听说能力测试小组。
此外还应注意安排好外语小语种考生听说能力的测试。
4、由学校纪检部门和研究生院组成硕士生招生复试工作检查小组,负责全校各学院在硕士生招生复试中各个环节的监督和检查,保证硕士生复试录取工作的公平、公正、公开。
二、工作原则1、坚持复试的科学性。
采用综合性、多元化的考察方式和方法,积极探索高层次专业人才选拔规律,使拔尖创新人才能够脱颖而出。
2、全面考查,有所侧重。
在德智体能等各方面全面衡量的基础上,注重对专业能力和综合素质的考核,注重对思想政治素质和身心健康状况的考核。
3、成绩量化。
专业能力和综合素质考核都要有量化结果。
4、复试工作要坚持公开公正公平原则。
复试过程做到政策透明、程序公正、操作公开、监督机制健全。
5、以人为本、服务考生。
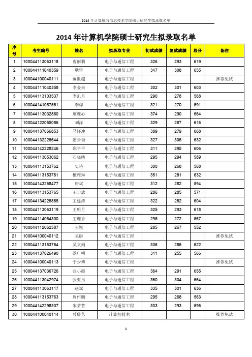
天津大学计算机学院2014年研究生招生夏令营录取名单天津大学计算机学院将在2013年7月8日-7月10日举办研究生夏令营活动,现将录取名单通知如下。
夏令营的部分活动将根据研究方向进行分组,请营员参照下列分组进行报名,并在6月30前将报名信息反馈至:tju.cs2011@;逾期未收到反馈信息者,将视为自动放弃夏令营活劢。
邮件统一命名为:姓名-来源学校-分组信息。
A.图形图像
B.人工智能&模式识别
C.网络&计算机体系结构&嵌入式
D.软件工程&信息安全
录取名单:
姓名性别来源院校
白艺光男西安电子科技大学
包友军男武汉理工大学
毕聪女长安大学
卞智男湘潭大学
查欣欣女西北农林科技大学
程佩哲男山东大学
褚慧萍女中南大学
崔永铎男中国石油大学(华东)
丁兰男大连理工大学
丁晓彤女西北大学
杜佳星女海南大学
樊双琳女中北大学
樊洋女山西大学
冯刚男山东理工大学
傅夏生男四川大学
高楠女中国石油大学(华东)
高淑盈女新疆大学
高泽伟男长安大学
关雯丹女中北大学
郭欢女太原理工大学
郭立新女东北林业大学
郭全磊男河北工业大学
郭振兴男大连理工大学
韩传宇男华东交通大学
韩硕女哈尔滨工业大学
何婧女南京农业大学
何宇男武汉大学
胡书丽女东北师范大学
胡晓帅男北京师范大学
霍盼女中国地质大学(武汉)季学斌男武汉理工大学
贾音女西北工业大学
姜冰磊男郑州大学
蒋景旺男中国海洋大学
金朵女华中师范大学
孔美静女西南大学
黎功辉女大连理工大学
李镔洋男大连理工大学
李博涵男大连理工大学
李朝男内蒙古大学
李朝林男四川农业大学
李佳琪女大连理工大学
李苓女大连理工大学
李伟强男河北工业大学
李扬男东北师范大学
李兆婧女中国海洋大学
李正亮男东北林业大学
梁晨女吉林大学
梁稳男四川大学
林琴女河北工业大学
刘冰雪女山西大学
刘辰巍男海南大学
刘换岭女东北林业大学
刘佳伟男武汉理工大学
刘建刚男河北工业大学
刘立成男南京农业大学
刘梦雪女电子科技大学
刘赵梁女大连理工大学
毛铁峥男华南理工大学
潘思女山东大学
齐嘉亮男东北师范大学
邵安妮女山东大学
时增林男郑州大学
史潇潇女陕西师范大学
孙楠女四川大学
汤胜军男武汉理工大学
陶莉女江南大学
田璐超男华东理工大学
田益秋子女武汉理工大学
万仪方女河海大学
汪骏祥男北京林业大学
王晨晖男大连交通大学
王飞男东华大学
王刚男天津工业大学
王均蕤女大连理工大学
王利叶女中国石油大学(华东)王美佳女天津工业大学
王妮妮女江南大学
王庆全男大连理工大学
王瑞雪女中南财经政法大学王珊珊女安徽大学
王彤女河北工业大学
王晓静女辽宁大学
王艺瑶女河海大学
王云鹤女东北师范大学
韦澍芃男广西师范大学
魏凤笛男大连理工大学
魏小雨女大连理工大学
夏有新男四川大学
相徐斌男武汉理工大学
谢超超男中南大学
谢传芳男南昌大学
徐晨男西南交通大学
徐奇男安徽大学
薛围钟男大连理工大学
杨丹阳女内蒙古大学
杨姝女天津工业大学
杨小丽女辽宁大学
叶菁华男四川大学
尹强男西北农林科技大学苑立英女南开大学
张斌灿男武汉理工大学张晨蕊女华南理工大学张椿伟男大连理工大学张鹤女大连理工大学张季博宁男海南大学
张龙云男内蒙古大学
张明辉女华中农业大学张清洋男中北大学
张思超男山西大学
张晓蕊女东北林业大学张欣女东北师范大学张欣女内蒙古大学
张智威女江南大学
张梓轩男大连理工大学赵衎衎男河海大学
赵璨女大连理工大学赵嘉伟男河北工业大学赵志洲男南京信息工程大学郑高平女江南大学
郑江龙男天津工业大学钟宸女天津师范大学周琳琳女海南大学
周双女武汉理工大学周亦女西北大学
朱方志男安徽大学
朱彦博男同济大学
庄联欣女山东大学(威海)。