天津大学数学学院2019年硕士研究生招生复试名单
- 格式:pdf
- 大小:61.52 KB
- 文档页数:3
来源:发布时间:2019-03-04援藏计划总分不低于200分总分不低于290分退役大学生士兵计划管理类联考总分不低于144分单独考试总分不低于290分附注:1.参加复试的考生需符合天津大学复试分数基本要求,但能否参加复试,还须达到所报学院(部)的学科(专业)线要求。
我校实行差额复试,差额比例一般不低于120%,由学院(部)组织,相关复试录取细则(或工作方案)也会陆续公布在我校研究生招生网(y )和学院网页上。
2.对于进入复试名单的考生,参加复试前及时网上缴纳复试费,缴纳成功后可自行下载打印《资格审查合格单》。
我校研究生院将统一进行资格审查,时间、地点:2019年3月14日、15日卫津路校区25教学楼A区一层大厅,具体安排请看各学院复试办法。
缴费开通时间为3月12日。
复试时间:2019年3月16日至3月19日,具体复试方案由各学院具体安排。
3.所有参加复试的考生需到我校进行体检。
体检标准参照教育部、卫生部、中国残疾人联合会修订的《普通高等学校招生体检工作指导意见》,不参加体检或体检不合格者不予录取。
体检时间为3月13日至15日,具体办法请查阅复试办法。
4.符合教育部认可或备案“大学生志愿服务西部计划”、“三支一扶计划”、“农村义务教育阶段学校教师特设岗位计划”、“赴外汉语教师志愿者”、“选聘高校毕业生到村任职”等项目加分政策的考生,以及目前工作单位在民族区域自治地方范围,为原单位定向培养的少数民族在职人员考生(不含单考生、MBA考生、MPA考生、MPAcc考生、MEM考生),在国家政策允许的范围内对符合基本培养条件的考生适当照顾。
符合上述条件的考生,需在3月15日前向报考学院(部)招生办公室提出书面申请,并提供相关证明材料。
天津大学2012年天津大学硕士研究生入学考试教育学院复试考生名单100562017421838高等教育学100562014220154教育技术学100562000110707教育技术学100562014720736教育学原理100562001112752教育学原理100562001914022教育学原理100562013919256教育学原理100562016221508职业技术教育学100562013919258职业技术教育学100562014620625职业技术教育学100562015321007职业技术教育学100562011418340职业技术教育学100562002815004职业技术教育学100562001112755职业技术教育学100562003615442职业技术教育学100562000110728应用心理学100562017622047应用心理学100562000110803应用心理学100562002214233应用心理学【育明教育】中国考研考博专业课辅导第一品牌育明教育官方网站:1100562000110726应用心理学100562013919302应用心理学100562013919301应用心理学100562019122603应用心理学100562019422743应用心理学100562016221511应用心理学100562000110804应用心理学100562002214232应用心理学100562000110808教育经济与管理100562006616528教育经济与管理100562000110813教育经济与管理100562000110814教育经济与管理100562015521124教育经济与管理2014年有多名学员以优异成绩考上天津大学的建筑学,城市规划,风景园林,行政管理,传播学,金融硕士,翻译硕士等各个专业,可以说这些专业是我们育明教育的王牌专业,希望广大学子能够来育明实地查看,加入我们的辅导课程,你会发现在这里复习考研将会是你事半功倍,复习效果更上一层楼!针对以上信息,有任何疑问或希望来育明教育进行实地了解的考生们,可以联系我们对天津大学的首席咨询师林老师,扣扣为2831464870,祝各位考研成功!【育明教育】中国考研考博专业课辅导第一品牌育明教育官方网站:2【育明教育】中国考研考博专业课辅导第一品牌育明教育官方网站:32015年育明教育考研攻略一、《育明教育:五阶段考研复习攻略》把考研作为一种娱乐,而不是被娱乐。
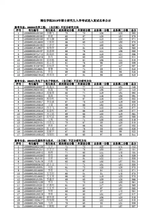
精仪学院2019年硕士研究生入学考试进入复试名单公示报考专业:080300光学工程,(全日制)不区分研究方向序号考生编号考生姓名政治理论分数外国语分数业务课一分数业务课二分数总分1100569000100460齐鹏飞7370126123392 2100569000100452张拢6857120134379 3100569000100453郎元灏6964113128374 4100569010816608王海铭5663113138370 5100569000100432王泽宇6974103121367 6100569019419927秦艳萍6751116126360 7100569000100437张恩卿6576111106358 8100569020721742陈瑞祥5855119124356 9100569019921046孙昂6168103112344 10100569000100434花培栋6264106111343 11100569000100502张云霄647696103339 12100569043425733范怡萍706387117337 13100569010816601栗擎70718394318 14100569000100451佟亮69668695316 15100569035624915邢顶顶675195100313报考专业:0803Z1光电子与光子学技术,(全日制)不区分研究方向序号考生编号考生姓名政治理论分数外国语分数业务课一分数业务课二分数总分1100569000100507张逸文6677142131416 2100569019520402张露7575136127413 3100569000100518禹敏慧6874119131392 4100569000100522聂港7070116135391 5100569000100505姚怡昕7667116123382 6100569000100517李佳康6775119119380 7100569000100519王盟5965132122378 8100569000100510何宇飞6872118119377 9100569000100516张嘉昕6766115129377 10100569000100508刘又铭6965108119361 11100569023122634张明富6955101130355 12100569000100521王辉7071103105349 13100569019520401闫忠宝736780120340 14100569000100509唐新676692107332 15100569000100520陈文韬647685100325 16100569010816559张献中67589899322 17100569000100515邹锦阳65639786311报考专业:080400仪器科学与技术,(全日制)不区分研究方向序号考生编号考生姓名政治理论分数外国语分数业务课一分数业务课二分数总分1100569022522425王宇7172128141412 2100569000101214许昊宇6275133134404 3100569000100342杨朔7468111148401 4100569000100253蒋恺6355125146389 5100569014318454佘祥6851122144385 6100569017019149冯珠6868108137381 7100569000508648武小女7471101134380 8100569000100331刘磊6172120125378 9100569010816550李哲716794142374 10100569013518208吴昊阳608181148370 11100569010816658毛安来6662119123370 12100569000101331李鑫洋6963109125366 13100569030024139李昂7170115108364 14100569000100254庄叠昀6154117131363 15100569015318654王东杰646097137358 16100569000100327华煜656087142354 17100569000100249李林6158101127347 18100569000101954廖彩淇6752106120345 19100569044826147何旭刚7350102118343 20100569013017659马帅756380121339 21100569010816551王勤勉57598413733722100569000101310李佳欣675291124334 23100569010716410章琦625692117327 24100569019520454刘朝君616084118323 25100569043225708谢鹏飞606585112322 26100569000101923郭娜566192111320 27100569020621703唐绕香635289109313 28100569010816605叶丰玮625593102312报考专业:083100生物医学工程,(全日制)不区分研究方向序号考生编号考生姓名政治理论分数外国语分数业务课一分数业务课二分数总分1100569003412609高品6871115135389 2100569000100537郑洁6968103141381 3100569000100615何蓓蓓757496132377 4100569001910529王宁宁6951119137376 5100569016018937张佳胜6457116139376 6100569000100555刘士杰6163111135370 7100569000100606陈思彤687198131368 8100569000100558李昭松6854107130359 9100569001609623张苏妍705897134359 10100569000100543韩顺利656193137356 11100569001709946程楠6068110118356 12100569008115436窦昊6367101107338 13100569012917543赵东雪676510199332 14100569046526333段宝林656682117330 15100569022622452刘科伟685989113329 16100569004013124胡楠646683108321 17100569043025629刘凡凡615392113319报考专业:0831Z1医学物理学,(全日制)不区分研究方向序号考生编号考生姓名政治理论分数外国语分数业务课一分数业务课二分数总分1100569002912151张石磊725196127346报考专业:085202光学工程,(全日制)光学工程序号考生编号考生姓名政治理论分数外国语分数业务课一分数业务课二分数总分1100569030024146汤云鹏7076127129402 2100569033424551赖典毅7071102132375 3100569000100457夏菁5578110128371 4100569020121308杨海明6967105130371 5100569033924639石天泽5869116128371 6100569007615129孙洲涛6360112135370 7100569000100440徐晋升6468121116369 8100569001609621陈泽恩666891139364 9100569014318460应祖信697495126364 10100569010816609马峥6655115122358 11100569033924644吴顺华5865115118356 12100569033924646杨林博687796111352 13100569002812101郭迪6550111120346 14100569040025347王柯威667199108344 15100569010816557李香卓6260100116338 16100569011917210苏月明625798116333 17100569000100449田霖6553100114332 18100569005914527芦畅泰6060107104331 19100569002611638杨传浩697510383330 20100569039325251朱阳626794106329 21100569000100428吕占坤665899105328 22100569000100430傅敏677186102326 23100569000100458翁文帅665998100323 24100569019520358李琳瑞6053103101317 25100569000100436高博文705111480315 26100569000100426郝璇若606210290314 27100569000100443谢云飞626210089313 28100569000100446赵鑫655510587312 29100569000100448孙宏林65629194312报考专业:085202光学工程,(非全日制)光学工程序号考生编号考生姓名政治理论分数外国语分数业务课一分数业务课二分数总分1100569002111016祝家莹73598893313报考专业:085202光学工程,(全日制)光电子与光子学技术序号考生编号考生姓名政治理论分数外国语分数业务课一分数业务课二分数总分1100569012917532高朋宇6664136125391 2100569000100513孙玮宏526395111321报考专业:085203仪器仪表工程,(全日制)不区分研究方向序号考生编号考生姓名政治理论分数外国语分数业务课一分数业务课二分数总分1100569000100322侯冠宇7179141127418 2100569000100346李赞7172118148409 3100569000100359孙阳6970115149403 4100569028123725陈相6973122138402 5100569000100338林金芸6679109145399 6100569000100344刘启浩6074118145397 7100569000100347孙宇蒙6859132138397 8100569000100402朱博源6479104150397 9100569013418119王丞博6575115142397 10100569000100328程东源7463116141394 11100569000100340丁铭杰6471121138394 12100569000100251吴大昊6172115145393 13100569042925614石静文7267123131393 14100569000100339李宏728490146392 15100569000100351张淼森6170114147392 16100569000100245孙洁6466112147389 17100569011817145郭昊6563125136389 18100569000100356刘浩宇6765110145387 19100569000100244贾琳华6266113144385 20100569000100512王晓川6880103131382 21100569000100257宋明宇6358111149381 22100569014318459徐玉鹏707389149381 23100569020321505吴晓宇6464106146380 24100569000100332贾逸凡5871111138378 25100569000100326耿光宇647097145376 26100569000100405阚心远687199138376 27100569010816635赵晨宇6654117139376 28100569019520427冯越797685136376 29100569000100349王柳丹6358107147375 30100569000100237张玮轩6357105145370 31100569000100312徐红江627491143370 32100569000100311徐小东706189149369 33100569000100354周磊5860105146369 34100569000100318张腾6059118131368 35100569000100304郭晏廷657099131365 36100569000100348赵浩翔7150117126364 37100569001609454宁子博6562102135364 38100569003612711岳涛6458110132364 39100569000100242万一夫6361106133363 40100569000100246兰海伟6959109125362 41100569000100316刘紫葳6763107125362 42100569000100301张文睿6964118110361 43100569000100334魏旭明6254121123360 44100569000100343李昱霖645896141359 45100569000100260马鑫636290143358 46100569000100310邹旭睿587488136356 47100569000100841任婷婷6860105123356 48100569017019148邢宇轩666392134355 49100569000100255郎子琛6771102113353 50100569000100410韩凌坤625499138353 51100569000100324艾宇607110111835052100569000100314张英杰646297124347 53100569013017725马者威龙615998129347 54100569000100358李佳声645491137346 55100569000100403杨宏脉5951116116342 56100569003712839杨佳欣657097110342 57100569028823912杨作红7165102101339 58100569000100305范雅斐6157105113336 59100569010816659李雨竹676389117336 60100569000100315闵新杰585984134335 61100569000100409张智强685985122334 62100569000100404阎超5858108109333 63100569000100243王敏诚696688109332 64100569000100753郭晓艺666995102332 65100569000100360姚德铠635786121327 66100569027323504范业鑫586689113326 67100569000102054荆少华666488108326 68100569000100755李正阳635298112325 69100569002611644胡畅625591116324 70100569001810217臧运瑞615898104321 71100569010816636李梦实5850109104321 72100569021021940吴航715290107320 73100569018219416苗宇596099101319 74100569024423055宋芳明636480110317 75100569038125154李耀霞665880110314 76100569000100313李俊606783102312 77100569000102053王洪祥655091105311报考专业:085230生物医学工程,(全日制)不区分研究方向序号考生编号考生姓名政治理论分数外国语分数业务课一分数业务课二分数总分1100569000100607查涛7064114134382 2100569000100546苏昊7365108128374 3100569024823123苏梦月7454109136373 4100569000100551史献乐696999133370 5100569001609457白璐6069104136369 6100569033924641吴亚萌657792132366 7100569020321508李泽平687582139364 8100569000100608武帅6658102136362 9100569001910526杨宇辉775093142362 10100569000100548张珂7060105126361 11100569000100602田佳宜6070103126359 12100569000100525王裕琳726194127354 13100569008115438张凯7158110113352 14100569000101959岳金明646992127352 15100569000100545陈振646092129345 16100569000100536慕林平635299130344 17100569000100539马双双5753101132343 18100569012917534郭司琪707195107343 19100569017019210贺晓和645693125338 20100569001609456王君微615789130337 21100569033924640程培勇635483128328 22100569017119247朱琦755681114326 23100569000100528邵蒙川545586126321 24100569000100530苏嗣童665880117321 25100569004913839张钦皓675296104319 26100569000100614张迎虎595085124318。