二次根式综合练习题集
- 格式:doc
- 大小:186.50 KB
- 文档页数:10
期末专题10 二次根式大题综合(江苏专用)一、解答题1.(2022春·江苏苏州·八年级校考期末)计算:20(2p --.2.(2022春··八年级校联考期末)计算:(1)+(2))(2133-3.(2022春·江苏淮安·八年级统考期末)先化简,再求值:211211a a a a a ++¸-+-,其中1a =.4.(2022春·江苏宿迁·八年级统考期末)计算、化简:(1))0,0x x y ≥+≥5.(2022春·江苏淮安·八年级统考期末)计算或化简:)21)0,0a b æ¸>>çè6.(2022·八年级统考期末)计算或化简:4(2)22+.7.春·江苏淮安·八年级统考期末)计算:(1)(2))218.(江苏宿迁·八年级统考期末)计算:(2)-9.(2022春·江苏宿迁·八年级统考期末)阅读下列化简过程:.=1==请用其中一种方法完成下列问题:(1)化简:;+(2)L10.(2022春·江苏无锡·八年级统考期末)(1)先化简,再求值:2222211aab ba b a b-+æö¸-ç÷-èø,其中1a+,1b=;(2)解分式方程:214111xx x+-=--.11.(2022春·江苏淮安·八年级统考期末)计算:)0a≥;(2)))2222+.12.(2022春·江苏扬州·八年级统考期末)化简或计算:(1)æçè(2)22325a ab bæö-¸ç÷èø13.(2022春·江苏宿迁·八年级统考期末)计算:14.(2022春·江苏淮安·八年级统考期末)计算:(2)22111x xx x+++¸-+15.(2022春·江苏盐城·八年级校联考期末)像2)2)1=a(a≥0),+1)1)=b﹣1(b≥0),两个含有二次根式的代数式相乘,积不含+1﹣1,化因式,可以化去分母中的根号,请回答下列问题:(1)化简:= ;= ;(2)计算:)1)+= ;(3)已知a ==b a 、b 的大小,并说明理由.16.(2022春·江苏扬州·八年级校联考期末)计算:(1)01(2015)p --(22+17.(江苏无锡·八年级统考期末)计算:(2))222+.18.(2022春·江苏淮安·八年级统考期末)阅读下面问题:1==-==2==-…=________(n 为正整数).=________.(3)求1)+++L 的值.19.(2022春·江苏淮安·八年级统考期末)1133-æö---ç÷èø.20.(2022春·江苏泰州·八年级统考期末)计算:(1)+(2)211(11x x x-+×-.21.(2022春·江苏泰州·八年级统考期末)先化简,再求值:2236919x x x x -+æö-¸ç÷-èø,其中x =22.(2022春·江苏南京·八年级统考期末)(1)先化简,再求值:283(1)11x xx x x-+-¸--,其中x (2)解方程:53422x x x-=---.23.(2022春·江苏扬州·八年级统考期末)(1(2)解方程:312xx x +=+.24.(2022春·江苏扬州·八年级统考期末)对实数a ,b ,定义:2a b a b ab b =-+◆,如:2323232214=´-´+=◆.(1)求()3-(2)若26m <-◆+25.(2022春·江苏扬州·八年级统考期末)我们知道菱形与正方形的形状有差异,可以将菱形与正方形的接近程度称为菱形的“接近度”.如图,已知菱形ABCD 的边长为5,设菱形ABCD 的对角线BD ,AC 的长分别为m ,n()m n ≥.若我们将菱形的“接近度”定义为m n ,即“接近度”mn=.(1)当菱形的“接近度”=______时,菱形就是正方形;(2)在菱形ABCD 中,60ABC Ð=°,求此菱形的“接近度”;(3)若菱形ABCD 的“接近度”是2,求此时菱形ABCD 面积.26.(2022春·江苏扬州·八年级统考期末)请阅读下列材料:问题:已知2x =,求代数式247--x x 的值.小明的做法是:根据2x =得2(2)5x -=,∴2445x x +=-,241x x -=.把24x x -作为整体代入,得:247176--=-=-x x .即:把已知条件适当变形,再整体代入解决问题.仿照上述方法解决问题:(1)已知3x=,求代数式268x x+-的值;(2)已知x=322x x+的值.27.(2022春·江苏扬州·八年级统考期末)计算:()22--;(2))11.28.(2022春·江苏南京·八年级期末)材料阅读:古希腊的几何学家海伦在他的著作《度量》中提出:如果一个三角形的三边长分别为a,b,c,记2a b cp++=,那么三角形的面积为S=,这一公式称为海伦公式.a,b,c,求三角形面积的公式S=(1)海伦公式与秦九韶公式本质上是同一个公式.你同意这种说法吗?请利用以下数据验证两公式的一致性.如图①,在△ABC中,BC=a=7,AC=b=5,AB=c=6,求△ABC的面积.(2)在(1)的基础上,作∠ABC和∠ACB的角平分线交于点O.过点O作OD⊥AB,OD 的长为____________.29.(2022春·江苏宿迁·八年级统考期末)观察下列计算:1===,======(1)n为正整数);(2)利用上面的结论计算:(1++L;(3)30.(2022春·江苏宿迁·八年级统考期末)先化简,再求值:242xxx x+æö¸-ç÷èø,其中2 x=。
二次根式混合运算121题(有答案)1、2、3、4、5、6、7、8、9、10、11、12、13、14、15、16、17、18、19、20、21、22、23、24、25、26、27、28、29、30、31、32、(5)33、34、35、36、3﹣9+337、÷(3×)38、39、40、41、42、43、44、45、46、47、(﹣)2﹣48、49、50、51、52、53、3﹣﹣+(﹣2)(+2)54、55、56、57、58、59、2÷﹣(2﹣)260、﹣2+(﹣1)261、(+2)﹣62、63、64、65、66、67、68、69、70、3﹣(﹣)71、72、﹣273、74、75、76、77、÷78、×+÷﹣79、80、81、﹣82、83、84、85、(+1)2﹣286、(+1)(1﹣)﹣(﹣1)2+(+1)287、88、89、90、91、92、93、94、95、96、97、98、|﹣|+﹣99、100、101、(+)2008(﹣)2009 102、103、104、105、(3+)÷106、107、108、109、110、﹣1111、(﹣)(+)+2112、+|﹣3|﹣2﹣1 113、(﹣2)×﹣6 114、(2﹣)115、116、117、118、119、120、121、+6a二次根式混合计算121题参考答案:1、原式=2﹣3=﹣2、原式=×==303、原式=2﹣12=﹣104、原式==25、原式===﹣6a6、原式=7、原式=()2﹣(﹣1)2=2﹣(3﹣2+1)=8、原式=9、原式=(3﹣2+3)×=(+3)×=1+10、原式=﹣+=11、原式=(4+)÷3=12、原式=2+3﹣=13、原式==14、原式=(7+)(7+)=14×2=15、原式==3+6﹣10=﹣116、原式=2﹣=﹣217、原式=﹣2+=3﹣2+=18、原式=(3﹣2)(3+2)=18﹣12=619、原式=(2﹣+)=(+)=+120、原式=﹣3•5÷=﹣15÷=﹣1521、原式=3+﹣2+﹣3=22、原式=3a+﹣2b23、原式=3﹣2+1﹣(2﹣3)=5﹣224、原式==25、原式=2+1﹣(﹣)=3﹣1=226、原式=17﹣(19﹣)=﹣2+27、原式=2﹣3﹣2=﹣328、原式=4+12=29、原式=+2﹣10=30、原式=4﹣+=31、原式=6﹣5=132、原式=12+18﹣12=33、原式=(2+)×﹣2=3﹣2=134、原式=+×6﹣m=2m+3m﹣m=035、原式=++1=﹣1++1=36、原式=12=(12﹣3﹣+6)=37、原式=6÷(×)=6÷6=38、原式=+3﹣2=3+3﹣2=3+39、原式=++×1=6+1+=7+40、原式=×3+6×﹣2x•=2+3﹣2=341、原式=2﹣+3﹣2=2﹣2+142、原式=(6﹣+﹣2)÷2﹣3=3﹣+﹣﹣3=﹣+﹣43、原式===444、=(4÷2)=45、原式=2+3﹣7=﹣246、原式===1447、原式=10﹣7+=3+48、原式=×(2﹣+)=+×=+149、原式=﹣150、原式=2+3+2﹣(2﹣3)=5+2+1=6+251、原式=4+﹣4=52、原式=(4﹣2+6)÷=2+253、原式=6﹣3﹣+5﹣4=(6﹣3﹣)+1=+154、原式==55、原式==56、原式=[﹣(﹣)][+(﹣)]=5﹣(﹣)2=5﹣(5﹣2)=257、原式=4×2﹣16+12﹣16﹣8=﹣4﹣1658、原式=+﹣+3=59、原式=2﹣(4﹣4+2)=2﹣6+4=6﹣660、原式=×2﹣2×3+5﹣2+1=﹣6﹣2+6=6﹣761、原式=a+2=262、原式=63、原式=﹣+=﹣+=064、=2+﹣2=65、=﹣=66、原式=9﹣14+4=﹣67、原式=﹣43=﹣12=﹣1168、原式=2×=1269、原式=×3×=﹣70、原式=12﹣2+6=1671、原式=(4﹣2+6)×=2+272、原式=27÷(3×)×﹣8=3×﹣8=﹣873、原式=()2﹣()2=3﹣(2+2+5)=﹣4﹣274、原式=3+8=1175、原式=2﹣12=﹣1076、原式=5+﹣6=077、原式=÷=÷=178、原式=﹣==4+=4+79、原式===80、原式==9+6=1581、原式=(+)2﹣=3+2+2﹣=5+82、原式==83、原式=84、原式=5﹣6=﹣185、原式=4+=86、(1+)(1﹣)﹣(﹣1)2+(+1)2=1﹣()2﹣(2﹣2+1)+2+2+1=1﹣2﹣2+2﹣1+2+2+1=4﹣187、原式=+4×﹣+1=++1=1+88、原式=(40)=30=1589、原式=2+2=2+90、原式===91、原式===1292、原式=2+2+4+2=93、原式=9﹣14+24=94、原式=(7+4)(7﹣4)+4﹣3=49﹣48+1=295、原式=﹣4×+9﹣12﹣()=﹣8+9﹣12﹣+1=﹣1196、原式=﹣+=2x+=97、原式=2a(b﹣×+)=2ab﹣+ab=98、原式=﹣+3﹣5=2﹣499、原式=12﹣4+1=13﹣4100、原式=2+﹣=101、原式=()=102、原式=3×2﹣2×3+5×4=6﹣6+20=20103、原式=7﹣3+2=6104、原式=•(﹣)×=﹣=﹣105、原式=3÷+÷=3+=106、原式=3﹣1﹣=2﹣107、原式=+1﹣×2=2+1﹣2=1108、原式=3﹣2+1﹣1=3﹣2109、原式=+4﹣3=110、﹣1=﹣1=﹣1=0111、()()+2=﹣+2=5﹣7+2=0112、+|﹣3|﹣2﹣1=1+3﹣=3113、(﹣2)×﹣6=﹣4﹣=﹣9﹣=﹣114、原式=4﹣5=﹣1115、原式=×=1116、原式=5﹣2﹣5+2=117、原式=4﹣2+﹣1=3﹣118、原式==3﹣2=1119、原式==120、原式=+1=121、原式=3+6a=2a+3a=5a。
二次根式综合练习题第一部分(选择题共30分)一.选择题(共10小题,每小题3分,满分30分)1.、、、、是二次根式的有()A.2个B.3个C.4个D.5个2.若yx2是二次根式、则下列说法正确的是()A.0,0≥≥yx B. 0,0>≥yxC.yx,同号 D.≥yx3.下列各式中、是最简二次根式的是()A.51B.C.D.4.对于二次根式92+x ,下列说法中不正确的是( )A.它是一个非负数B.它是一个无理数C.它是一个最简二次根式D.它的最小值为3 5.若3)1()2(22=++-x x ,则x的取值范围是( ) A.0=xB.21≤≤-xC.2≥xD.1-≤x6.已知直角三角形有两条的长分别是3cm 、4cm ,那么第三条边的长是( )A.cm 5B.cm 7C.cm 5或者cm 7D. cm5 7.下列二次根式中、是同类二次根式的一组是( )A.与B.与C.与D.与8.下列各式:、、、、、、、其中与是同类二次根式的有( )A.1个B.2个C.3个D.4个 9.如果1≤a ,那么化简=-3)1(a ()A.aa --1)1( B.1)1(--a aC.1)1(--a aD.a a --1)1(10.化简22)32(144--+-x x x 得( ) A.2 B2.x 44-C.44-xD.2-第二部分(非选择题 共120分) 二.填空题(共6小题,每小题3分,满分18分)11.若+有意义,则x 的取值范围是。
12.写出两个与是同类二次根式的式子。
13.若最简二次根式与的被开方式相同、则a的值为 。
14.若与n 与都是最简二次根式、并且是同类二次根式、则=+n m 。
15.当1<x 时,=+-122x x ,当51<≤x 时,=-+-5)1(2x x16.若2440y y +-+=,则xy 的值 。
三.解答题(共9小题,满分102分) 17.(本小题满分10分)若22≤≤-a ,化简-.18.(本小题满分10分) (1)(()2771+---(2)21)2()12(18---+++19.(本小题满分10分)(1) 43)85(41)1(12+⨯--÷-- (2)4401425.0)14.3()21(⨯+---π20.(本小题满分10分) 已知12+=x ,求(22121x x x x x x +---+)÷1x 的值.21.(本小题满分10分) 已知:132-=x ,求12+-x x 的值.22.(本小题满分12分)已知:11a a+=+、求221a a+的值。
八年级二次根式混合运算计算题一、计算题。
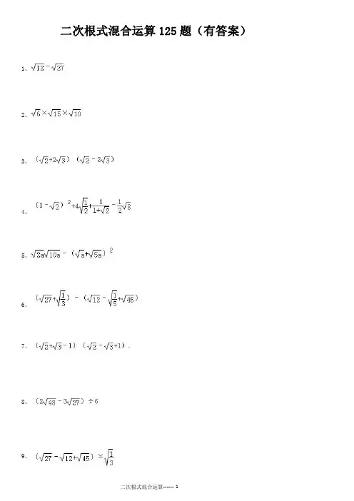
1. √(8) + √(18) - √(32)2. √(12) - √(27) + √(48)3. (√(5) + √(3))(√(5) - √(3))4. (√(6) + √(2))^25. √(2)(√(8) - √(18))6. (√(3) - √(2))(√(3) + √(2)) - (√(6))^27. √(48)÷√(3)-√(frac{1){2}}×√(12)+√(24)8. (√(5)+√(2))(√(5)-√(2))+√((-3)^2)9. √(18)-√(frac{9){2}}-(√(3)+√(6))/(√(3))+(√(3) - 2)^010. √(27)-√(12)+√(frac{4){3}}11. (2√(3)-3√(2))(2√(3)+3√(2))12. (√(3)+√(5))^2-(√(3)-√(5))^213. √(27)×√(frac{1){3}}+(√(5)+ √(3))(√(5)-√(3))14. √(12)-√(0.5)-2√(frac{1){3}}-√(frac{1){8}}+√(18)15. (√(6)-√(3))(√(6)+√(3))+√(27)÷√(3)16. √(8)+√(frac{1){2}} - √(2)17. √(45)÷√(frac{1){5}}×√(2frac{2){3}}18. √(12)+(√(2)-√(3))(√(2)+√(3))-√(frac{1){2}}×√(18)19. (√(3)+2)^2020(√(3)-2)^202020. (√(3)+√(2))/(√(3)-√(2))-(√(3)-√(2))/(√(3)+√(2))二、解析。
1.- 解:- 先将各项化为最简二次根式,√(8)=2√(2),√(18)=3√(2),√(32)=4√(2)。
二次根式混合运算125题(有答案)1、2、3、4、5、6、7、.8、10、;11、.12、;13、;14、.15、;16、.17、.18、19、20、;21、22、.23、24、25、26、;.27、28、;;29、;30、31、;(5);32、33、;34、;35、36、3﹣9+337、÷(3×)38、39、40、;.41、42、43、44、45、;46、.47、(﹣)2﹣;48、;49、;50、.51、;52、.53、3﹣﹣+(﹣2)(+2)54、55、56、57、58、59、2÷﹣(2﹣)260、﹣2+(﹣1)261、(+2)﹣.62、63、64、65、.66、67、.68、69、70、3﹣(﹣)71、72、﹣273、74、76、77、÷78、×+÷﹣79、80、81、﹣.82、84、85、(+1)2﹣286、(+1)(1﹣)﹣(﹣1)2+(+1)287、88、89、90、;91、.92、;93、;94、;95、;96、;97、98、|﹣|+﹣;99、;;100、101、(+)2008(﹣)2009.102、;103、;104、.105、(3+)÷;106、107、;108、;109、.110、﹣1111、(﹣)(+)+2+|﹣3|﹣2﹣1(4)(﹣2)×﹣6 114、115、(2﹣);116、117、;118、.119、.120、121、122、+6a;﹣×.123、124、(2)(7+4)(7﹣4)+(2+)125、参考答案1、原式=2﹣3=﹣;2、原式=×==30;3、原式=2﹣12=﹣10.4、原式==2.5、原式===﹣6a.6、原式=;7、原式=()2﹣(﹣1)2=2﹣(3﹣2+1)=8、原式=.9、.原式=(3﹣2+3)×=(+3)×=1+10、原式=﹣+=;11、原式=(4+)÷3=12、原式=2+3﹣=;13、原式==;14、原式=(7+)(7+)=14×2=15、原式==3+6﹣10=﹣1;16、原式=2﹣=﹣2.17、原式=﹣2+=3﹣2+=18、原式=(3﹣2)(3+2)=18﹣12=6;19、原式=(2﹣+)=(+)=+120、原式=﹣3•5÷=﹣15÷=﹣15;21、原式=3+﹣2+﹣3=;22、原式=3a+﹣2b23、原式=3﹣2+1﹣(2﹣3)=5﹣2.25、原式=2+1﹣(﹣)=3﹣1=2.26、原式=17﹣(19﹣)=﹣2+;27、原式=2﹣3﹣2=﹣3.28、原式=4+12=;29、原式=+2﹣10=;30、原式=4﹣+=;31、原式=6﹣5=1;32、原式=12+18﹣12=;33、原式=(2+)×﹣2=3﹣2=1;34、原式=+×6﹣m=2m+3m﹣m=0;35、原式=++1=﹣1++1=36、原式=12=(12﹣3﹣+6)=;37、原式=6÷(×)=6÷6=38、原式=+3﹣2=3+3﹣2=3+.39、原式=++×1=6+1+=7+.40、原式=×3+6×﹣2x•=2+3﹣2=3;41、原式=2﹣+3﹣2=2﹣2+142、原式=(6﹣+﹣2)÷2﹣3=3﹣+﹣﹣3=﹣+﹣;43、原式===444、=(4÷2)=45、原式=2+3﹣7=﹣2;46、原式===14.47、原式=10﹣7+=3+;48、原式=×(2﹣+)=+×=+1;49、原式=﹣1;50、原式=2+3+2﹣(2﹣3)=5+2+1=6+252、原式=(4﹣2+6)÷=2+253、原式=6﹣3﹣+5﹣4=(6﹣3﹣)+1=+154、原式==;55、原式==.56、原式=[﹣(﹣)][+(﹣)]=5﹣(﹣)2=5﹣(5﹣2)=2.57、原式=4×2﹣16+12﹣16﹣8=﹣4﹣16;58、原式=+﹣+3=59、原式=2﹣(4﹣4+2)=2﹣6+4=6﹣6.60、原式=×2﹣2×3+5﹣2+1=﹣6﹣2+6=6﹣7.61、原式=a+2=2.62、原式=;63、原式=﹣+=﹣+=0.64、=2+﹣2=.65、=﹣=66、原式=9﹣14+4=﹣;67、原式=﹣43=﹣12=﹣11.68、原式=2×=12;69、原式=×3×=﹣;70、原式=12﹣2+6=16;71、原式=(4﹣2+6)×=2+272、原式=27÷(3×)×﹣8=3×﹣8=﹣8;73、原式=()2﹣()2=3﹣(2+2+5)=﹣4﹣274、原式=3+8=11;75、原式=2﹣12=﹣10;76、原式=5+﹣6=0;77、原式=÷=÷=1.78、原式=﹣==4+=4+.79、原式===;82、原式==;83、原式=;84、原式=5﹣6=﹣1;85、原式=4+=86、(1+)(1﹣)﹣(﹣1)2+(+1)2=1﹣()2﹣(2﹣2+1)+2+2+1=1﹣2﹣2+2﹣1+2+2+1=4﹣1.87、原式=+4×﹣+1=++1=1+.88、原式=(40)=30=15;89、原式=2+2=2+.90、原式===;91、原式===12.92、原式=2+2+4+2=;93、原式=9﹣14+24=;94、原式=(7+4)(7﹣4)+4﹣3=49﹣48+1=2;95、原式=﹣4×+9﹣12﹣()=﹣8+9﹣12﹣+1=﹣11;96、原式=﹣+=2x+=;97、原式=2a(b﹣×+)=2ab﹣+ab=98、原式=﹣+3﹣5=2﹣4;99、原式=12﹣4+1=13﹣4;100、原式=2+﹣=;101、原式=()=102、原式=3×2﹣2×3+5×4=6﹣6+20=20;103、原式=7﹣3+2=6;104、原式=•(﹣)×=﹣=﹣105、原式=3÷+÷=3+=;106、原式=3﹣1﹣=2﹣107、原式=+1﹣×2=2+1﹣2=1;108、原式=3﹣2+1﹣1=3﹣2;109、原式=+4﹣3=110、﹣1=﹣1=﹣1=0;111、()()+2=﹣+2=5﹣7+2=0;112、+|﹣3|﹣2﹣1=1+3﹣=3;113、(﹣2)×﹣6=﹣4﹣=﹣9﹣=﹣114、原式=4﹣5=﹣1;116、原式=5﹣2﹣5+2=;117、原式=4﹣2+﹣1=3﹣118、原式==3﹣2=1.119、原式==120、原式=+1=121、原式=3+6a=2a+3a=5a;122、原式=﹣=﹣=3﹣2=1.123、原式==12;124、原式=49﹣48+2+=3+.125、原式===.二次根式混合运算----21。
二次根式混合运算125题(有答案)1、:' -2、| ■ . r■ ■3、CV2+2V3)(近-砸)5、V2aV10a _ (VaW5a)7、(近昭-1)(血-齒+ 1).9、C/2?-V12-h/45> x8 (却亟-丹厉)己&10、寺斷+府违(逅_倆)r ■: ■. V125 ? (卄用2-行_ 77)上 IV5 ■ 2| - IT- V2 | - I 近+逅-5](3^2-V12)(伍戒V5)11、 12、 13、 14、 15、 16、 17、 18、 19、20、… -■;22、2、代、(^fa+Vb)23、(V^-1)(逅-扫)(逅+V3)E g -姮券25、24(寺怎一寺何)宗顷26、(3^一1)(1+3近)-(31)227、—「I'29、L I ■ :.; Li I;30、31、- . ■- •—.!•;32、33、34、35、36、(5); -'J I - : . ^ ^;靑I再+ L3 一; 9 [+3 I:'38、40、 41、 「::+.) .:-42、 CV12 -■ Vs)十砸-2 43、 叼后2 — r~._— 石如寸(1■在)44、 典十农K 杞+(V2-1)245、 f •广''■;48、;49、■_ ' 1 :':;50、-…'- :-'---;■^+ (翻-2)(虧+2)53、-何-56> ■- - . . r ' ::■(-2)2X^-4V5(7)-廿|60、二初-2.厂+ (「- 1) 261、"J 1 (..卄2)62、■ ' ':64、_ ;,65、J ■':.66、_ ':-:':67、68、・ '70、3亦-(辰-药亓)72、■ I ■ : 2-74、; -二-:75、(近-况引(近我祐)78、】八;+.";—79、一;V3W2 &82、_一7:83、- ! * ; i : ■'!84、— . r . F I 185、(一;+1)2-2. •;静()殳乂87、86、(一?+i)(i -.二)-(:■:-1)2+ r ?+i)2 88、■' ■ : ■: : - :■Vs ~4i(Vs -范"+ 冷)89、92、Y l : - 1;[一;95、-22X V S+3V2 <3"2^2)一齐逅93、「■■;94、(讯亦)(“亦)即佃応)(2-厲);97、■ ..- .■.■....' . ? - ' ' - '-98、-岳+叼-讥亦;100、101、(.+ ] :)2008(.;- I)2009102、103、104、105、106、CVs - 1)(苗+i) - (Vis - 2Q 一晶107、弋淤血;109、110、V3-1111、(.—卜|) ( -,+吩f|) +2114、117、|- 3|-2-1(4) ( . '.- 2-- !!) X ]-6 _115、116、(岳屈茁F)-(V5W)2;118、^2010-^2010 )12°、丄-'1.-.121、- V (丽7加逅)123、—一伽、(2)(7+4翻)(7 - 4竝)+ (2+后)参考答案1、原式=2 .「- 3 .「;=- *;2、原式=.IX .•1= 1=30;3、原式=2 - 12=- 10.4、原式=_ _ 「::一I : - -:=2.5、 原式=「」 = 二」L_i L " .i=- 6a .6、 原式= &原式= + 1.&V§a 5 5 :「二 ’.一二;:: — L.;7、原式=(卷乍)2—( •— 1) =2 -( 3- 2 ;+1) =L 辽-/- - : 7.7 原式=(3忑-应+3后)x ^=应+疝)x ^=1+/153 3原式 | 4原式=2円-2]-原式=(7+J 宀寸 J { T ) ( 7+-J7 J i --J r =14X 2 -工」-原式二二「-二 I. .1=3+6 - 10=- 1;原式=2- 〔 :_ ,亠'=-2. 原式=;厂--2 -.,+ *3 厂 1-2 5 原式=(3 二-2 .「;)(3 :':+2 二)=18- 12=6; 原式=.「;(2 {-「+二)=二(「+二)=「+1 3 3 原式=-3 「;?5 f 一二-15 「+ _:=- 15;原式 =3屈+省-松愕-蚯暂一誌 原式=3a+*J — 2b 原式=3 - 2 .「;+1 -( 2 - 3) =5 - 2 ■:.原式 丄冷 - .■: -.「=「「原式=2+1-( - :i- if ;!) =3 -仁2.原式=17-( 19-农丿=-2+,':; 原式=2 ,- 3 ,- 2 一 ■:=- 3 .,. 原式=4 >12 「;=1丨「;; 原式=J+2 . ■- 10 . 一= 一 亠-; 原式=4应-二+返斗花;9、.10、11、12、13、 14、 15、16、 17、 18、19、20、21、22、23、 24、25、26、27、28、29、30、31、32、 原式=(4 「汁,八3亠―二 原式2 4 4 ¥n 原式=6 —5=1 ;原式=12+18- 1^=30-12 晶;1 75原式欝 x 加 J^+_:X 6£^ - +3叫'3IT -叫'3rr =0;(J 1 -J-B 原式=(2 ■,+ j.)X -2=3 - 2=1; ----- +斗+1八;-1+罕+住.一: 原式=— 稲 V?-i 原式=12 「 ; II > (12-3- +6) 一 _;=“「;'?) =6 X 6=-: 原式=6 二+( - . "X +3 - 2 =3 :+3 - 2 =3+ .:. 原式X -4-+「X 仁6+1^1,=7+ I,. V G 原式=£X 3厲+6乂+仮-2x ?^^=2讥+3展-厶厲=3& ;原式=2「-…、—+3 - 2=2 r. - 2 _ ;+1原式=(6 二-二「汁「- 2 二)十 2';- 3=3-3 原式=】:,■ . ,原式=1 ’ I:- - - 「:=-;丨二 「: : ■: - ' -寸吾亍彳占(V2 - 1)2 4 . ^5+3-272=3-2^4^原式=- , _L = : - 414. + :X := *原式=^5+^5 - 7街=-2五; 原式=10-—原式=.「;- 1 ;原式=2+3+2Y * V /-( 2 - 3) =5+2 一 一・+仁6+2「, 原式话竽-4吨; 原式=(4 「,- 2 . :?+6 二)十•. 7=2. ';+2原式=6 !.- 3 !■- +5- 4= (6- 3 -二).!.+1^ , !.+15 5 5原式=心-(二-一刁][.=+( 一「;-|;打)]=5 -( — . ':) 2=5-( 5 - 2 I'.) =2』. 原式=4X 2 -- 16 一「;+12 - 16 - 8 . ■ = - 4 - 16 一「;;33、 34、 35、36、37、38、 39、40、 41、42、 43、 44、 45、 46、 47、48、 49、 50、 51、 52、53、54、55、 56、57、原式=.「;X ( 2 :■原式=(4 - 4 二+2) =2 二—6+4「=6 二—6.原式=丄X2 一 ■- 2 X 3 口+5 - 2 口+1= . □-6 . 口一 2汀笃;+6=6 - 7 . 口. 2 原式=a+2 I P =2 . i. 原式= _ T; -| + i''=0.—-1 二- y ■: ■ ■: '■' ~2 :+ 二-2-「巴;. -J ■■=--::--丄.「二:匚=,■- 原式=9 — 14 :';+4「;=-.';;原式=.;• [- 4 :3 := . - 12〔 ::= - 11 .:. 原式=2l X 「::=12 I.;原式=—X 口X != - 「 Vs -3 V10 5原式=12 「;- 2 二+6「;=16.':;原式=(4 「- 2 :?+6 :':) X 1 =2 .二+22 V2 原式=27 1(3X — "X ;':-8 33. IX 亠-8「= ' "-8.二; 9 93 原式=(「;)2-( 2=3 -( 2+2「i 」+5) = - 4-2 I"原式=3“"+8「=11 “3 乞 原式=2 - 12= - 10;原式=5 「十.'1- 6 . :' i=0;原式=5 - 6= - 1; 原式=4+ - . •匸;■.:(1+「) (1-.二)-(:':-1) 2+ (打:』+1) 2=1 -( . ':) 2-( 2- 2 \+1) +2+2 . / + 1 =1 - 2 - 2+2 . :<- 1+2+2::•拥+1=4:» £- 1 .原式=1+4 X ::-「;+1=. ;+%沔广 杠初 1=1+ :. 4原式=(40 : J - 2 。
1二次根式综合练习一、单选题1.下列各式成立的是( )A .√(−3)2=−3B .√x 2=xC .√(−5)2=5D .√a 2+1=a +1 2.二次根式 √x −5 中字母x 的取值可以是( )A .x =5B .x =1C .x =2D .x =-1 3.当a <1时,化简√−a 3(1−a)的结果是( )A .a √(a −1)B .−a √a(a −1)C .a √a(−a)D .−a √a(−a) 4.二次根式 √2x −1 有意义时,x 的取值范围是( ). A .x >12 B .x ≥12 C .x <12 D .x ≤12 5.下列根式中,最简二次根式的是( )A .√4B .√12C .√12D .√106.计算并化简√5×√45 的结果为( ) A .2 B .√4 C .±2 D .±√47.下列运算正确的是( )A .√2+√3=√5B .√3−√2=1C .√2×√3=√5D .√24÷√8=√3 8.函数y =√x+3中,自变量x 的取值范围是( ) A .x >﹣3且x≠0 B .x >﹣3 C .x≥﹣3D .x≠﹣39.下列等式何者不成立( ) A .4√3+2√3=6√3 B .4√3−2√3=2√3 C .4√3×2√3=8√3 D .4√3÷2√3=2 10.下列二次根式是最简二次根式的为( )A .√10B .√20C .√23D .√3.6 11.已知y =√x −3+√3−x +1,则x +y 的平方根是( )A .2B .-2C .±2D .±112.实数a 、b 在数轴上的位置如图所示化简,√(a −b)2+√a 2−√b 2的结果为( )A .2a +2bB .−2aC .−2bD .2a −2b 13.把代数式 (a −1)√11−a中的 a −1 移到根号内,那么这个代数式等于()2A .−√1−aB .√a −1C .√1−aD .−√a −1 14.计算√2×√8+√−273的结果为( )A .﹣1B .1C .4−3√3D .7 15.若一个直角三角形的两条直角边长分别为 √13 cm 和 √14 cm ,那么此直角三角形的斜边长是( ) A .3 √2 cm B .3 √3 cm C .9cm D .27 cm 16.已知 √7 =a , √70 =b ,则 √10 等于( )A .a+bB .b-aC .abD .b a17.如图,长方形内三个相邻的正方形面积分别为4,3,和2,则图中阴影部分的面积为( )A .2B .√6C .2√3+√6−2√2−3D .2√3+2√2−5 18.√16 的值为( ) A .4 B .-4 C .±4 D .219.下列计算正确的是( ) A .√(−3)2=−3 B .√9=±3C .√−83=2D .√(−4)33=−4 20.估计 2√6 的大小应( )A .在2~3之间B .在3~4之间C .在4~5之间D .在5~6之间 21.若式子 √3−x 在实数范围内有意义,则x 的取值范围是( )A .x <3B .x ≤3C .x ≥3D .x ≠3 22.下列二次根式中,最简二次根式是( ) A .√12B .√17C .√75D .√5a 3 23.如果 a =√3+2, b =√3−2 ,那么 a 与 b 的关系是( ) A .a +b =0 B .a =b C .a =1b D .a <b 24.下列计算正确的是( )A .√2+√3=√5B .3√2−2√2=1C .√2×√3=√6D .√24÷√6=4 25.计算 4√12+3√13−√8 的结果是( ) A .√3+√2 B .√3 C .√33 D .√3−√226.下列计算正确的是( )3A .(3−2√2)(3−2√2)=9−2×3=3B .(2√x +√y )(√x −√y )=2x −yC .(3−√3)2=32−(√3)2=6D .(√x +√x +1)(√x +1−√x )=1 27.已知x 为实数,化简√−x 3−x √−1x的结果为( ) A .(x −1)√−x B .(−1−x )√−x C .(1−x )√−x D .(1+x )√−x二、填空题28.若二次根式 √x −3 在实数范围内有意义,则x 的取值范围是 . 29.二次根式 √x +4 中,字母x 的取值范围是 . 30.(√6+√5)2021×(√6−√5)2022 = . 31.若一个二次根式与 √12 的积为有理数,则这个二次根式可以是 32.计算√−83+√36−√49= ;33.如果最简二次根式√2x −1与√5是同类二次根式,那么x 的值为 . 34.已知实数a ,b ,c 表示一个三角形的三边长,它们满足 √a −3 +|b-3|+ √c −4 =0,则该三角形的形状为 35.已知1<a <3,则化简 √1−2a +a 2 ﹣ √a 2−8a +16 的结果是 .36.函数y = √x+5x 的自变量x 的取值范围为 . 37.比较大小: 1√6−√5 1√7−√6(用 >,< 或 = 填空) 38.①比较大小:- 3√2 -4;②√33的倒数为 . 39.若x 、y 满足y= √x −2 + √2−x +4,xy= . 40.如果最简二次根式 √2a −3 与 √7 是同类二次根式,那么a 的值是 .三、计算题41.计算: (1)4√12−√18+√8 (2)√12×√36√6 (3)(√2−√3)2−(√3+√2)(√3−√2) .四、解答题42.计算: 3√3−√27+(π−2020)0+√24÷√2 43.若 x , y 为实数,且 x =√y 2−1+√1−y 2+y y+1,求 x −3+y 的值.44.已知a ,b 分别为等腰三角形的两条边长,且a ,b 满足 b =3+√3a −6+5√2−a ,求此三角形的周4 长.45.有一道练习题是:对于式子 2a −√a 2−4a +4 先化简,后求值.其中 a =√2 . 小明的解法如下:2a −√a 2−4a +4 = 2a −√(a −2)2 =2a ﹣(a ﹣2)=a+2= √2 +2. 小明的解法对吗?如果不对,请改正.46.如果最简二次根式 √3a −8 与 √17−2a 是同类二次根式,那么要使式 √4a −2x +√x −a 有意义,x 的取值范围是什么?47.实数a 、b 、c 在数轴上的对应点位置如图所示,化简: √(−c)2+|a −b|+√(a +b)33−|b −c|48.古希腊的几何学家海伦给出了求三角形面积的公式:S= √p(p −a)(p −b)(p −c) ,其中a ,b ,c 为三角形的三边长,p= a+b+c 2.若一个三角形的三边长分别为2,3,4,求该三角形的面积.49.若a 、b 、c 是△ABC 的三条边长,且满足等式 √a −1+(b −√3)2+(c −2)2=0 求证:△ABC 是直角三角形50.如图所示是工人师傅做的一块三角形铁板材料,BC 边的长为2 √35 cm ,BC 边上的高AD 为 √28 cm ,求该三角形铁板的面积.每天进步一点点,就是迈向卓越的开始 5 答案解析部分1.【答案】C2.【答案】A3.【答案】B4.【答案】B5.【答案】D6.【答案】A7.【答案】D8.【答案】B9.【答案】C10.【答案】A11.【答案】C12.【答案】B13.【答案】A14.【答案】B15.【答案】B16.【答案】D17.【答案】D18.【答案】A19.【答案】D20.【答案】C21.【答案】B22.【答案】B23.【答案】A24.【答案】C25.【答案】B26.【答案】D27.【答案】C28.【答案】x≥329.【答案】x≥-430.【答案】√6−√531.【答案】√3632.【答案】-333.【答案】334.【答案】等腰三角形35.【答案】2a−536.【答案】x≥-5且x≠037.【答案】< 38.【答案】<;√339.【答案】840.【答案】541.【答案】(1)解:原式=2 √2 -3 √2 +2 √2 = √2 (2)解:原式= √12×√3×√66 =√12×3×66 =√6 (3)解:原式=5- 2 √6 -(3--2)=4- 2 √6 42.【答案】解:原式= √3−3√3+1+2√3 =143.【答案】解:由题意得,y 2-1≥0且1-y 2≥0, 所以,y 2≥1且y 2≤1,所以,y 2=1所以,y=±1,又∵y+1≠0,∴y≠-1,所以,y=1,所以,x= 11+1=12 ,∴x −3+y =(12)−3+1=944.【答案】解:∵b =3+√3a −6+5√2−a ∴3a -6≥0,2-a≥0∴a=2∴b=3∵a ,b 分别为等腰三角形的两条边长 ∴等腰三角形的另一条边为2或3∴等腰三角形的周长为:2+2+3=7或2+3+3=845.【答案】解:小明的解法不对.改正如下:7 2a −√a 2−4a +4 = 2a −√(a −2)2 =2a ﹣|a ﹣2|, ∵a= √2 ,∴a ﹣2<0,∴原式=2a+a ﹣2=3a ﹣2,把a= √2 代入得原式=3 √2 ﹣246.【答案】解:由题意,得3a ﹣8=17﹣2a ,解得a=5;4a ﹣2x≥0且x ﹣a≥,解得5≤x≤10,√4a −2x +√x −a 有意义,x 的取值范围是5≤x≤1047.【答案】解:原式=|-c|+|a-b|+a+b-|b-c|, =c+(-a+b )+a+b-(-b+c ),=c-a+b+a+b+b-c ,=3b.48.【答案】解:设a=2,b=3,c=4, ∴p= a+b+c 2=2+3+42=92∴S= √p(p −a)(p −b)(p −c)= √92(92−2)×(92−3)×(92−4) = 3√154∴该三角形的面积为 3√15449.【答案】证明:由题意,得a= 1,b= √3 ,c= 2,∵a 2+b 2= 4,c 2= 4,∴a 2+b 2=c 2, ∴△ABC 是直角三角形50.【答案】解:解:根据题意可知,S △ABC =12×BC ×AD =12×2√35×√28=√35×28=14√5故三角形铁板的面积为14 √5 cm 2。
二次根式练习01f填空JS1、卜列和«1(1)3 141592( (2)0.3 (3)≡- (4)√2 (5)-√8(6)y (7)0 3030030003.■其中无理数有 ______ •有理数右 ________ (填序号)42、亍的平力H _______ ・0 216的立方H.3、JlB的平方根________ .阿的立方根 ___________ .4、球术平方根等于它本身的数有_______ ・立方根等于本身的数右________5、若X2 = 256. W-IX= ________ ・若x j = -216. WX= ___________ .6、LI)IlRtMBC两边为3∙ 4・则第三边长_________ >7、若三角形三边之比为3: 4:5∙网长为24.则三角形向枳_______& L!⅛∣≡A形L 2n+ IJn1 ÷2n f2n2 + 2n+ Ln为止整数.則此三角滞是三角形.9. ⅛ι⅛√χ34+(y+6)j -0 ・則x + y- _______________10.如果2a-lfπ 5-a是一个数m的平方根•则& = ____________ m= _______ IU三角形二边分别为& 15. 17.那么仪长边上的岛为_____________ .12. K角三角形三角形FWiftft边长为3和4・三角形内一点到备边铢离相等.那么这个丽离为________二.13. 卜刊几组数中不能作为H角二角形三边长度的足< )Aa = 6t b= 24»C= 25 Ba = 1.5,b = 2»C= 2.52 5C. a ≡ —t b ■ 2f c ■ —D. a ■ 15,b ■& C ■ 173 414. 小强Ift御家甲.彩电荧屏的长为58cm •宽为46cm •则这台电视机尺寸足( >A 9 英Q (23 Cm )B 21 英寸(54Cnl) C.29 英寸(74Cm )D S4 英寸« 87Cm)15. 等腰二角形腰长IOan.底边16cm.则面积( >A 96Cm I B. 48Cm i C. 24cm1 D 32Cm J16. 三何形二边a,b,c满足(a+b)'∙c∣+ 2ab∙则这个三角形足()A 角形B.钝ffj^∑flj形 C. H角三角形D等腰三角形17. (-6)'的平方根足( )A - 6B 36 C. 士6 D. ±麻18. bħj∣⅛jg∣E确的个故冇,(I)Va7 = a t(2)√aτ≡a(3)无限小数都足无珅数<4)有眼小数郝是有理数(5)实数分为IE实数和岁实数两类( 〉A l个 B.2个 C 3个D4个19. x½(-√9)2的平方Mi∙ y足64的立方根•则χ + y= <>A 3 B.7 C3. 7 D l. 720. Fnfl三角形边长度为5. 12.則斜边上的高( )IS 60A 6B 8 C. — D —13 132k Γ{ffi~∕fi形边K为a,b.斜边I•高为h∙则卜列冷犬总能成立的地(A. ab= Ii 2 B a 1÷b 2 = 2h i22. ⅛ιffl ∙fi∕{j Ξ角形尿片.两HftJ 边AC-6αnBC-8αn ・现将直角边AC 沿Fl 线AD 折叠.便它落在料边AB 上•且,j AE ⅛fr.则CD 等F ()(3×2Xr = -824.用i ∣∙nsi ∣∙W:(结果保留3个有效数字)A. 2cm B 3an C 4cm 三、计算层23.求F 列待式中X 的值:(1)16X 2-49=0第 22 JSra(2XX-1)2 = 25(4A(x∙F J7(I)VB四、作图题(?)VB(3)√6-< (4)2√3-3√225.庄数轴上Bii 岀■罷的点•D.5an% 25 Sffl26. IT的JI方形网格■毎个止方形顶点叫格点•请在图和Bi—个面枳为10的正方形•五■解善JR27.已Ial如图所示•四边形ABCD 中AB- 3cnχAD- 4α∏BC - 13ClnCD - 12an ZA- 90°求四边形ABCD 的∣6i⅛U«27 JSffl28. ⅛ι附所示•在1⅛长为C的正方形中.有四个斜边为c∙宜角边为a,b的全肆Hfn三和彤.你虢利用这个图说明勾股定円叫?耳出Pf由“%2Sβffl 229.如图所示・】5只空油饲(毎只油桶底面虫径均为60Cm >堆在•起.妥给它盖一个遮甬棚•逋甬棚起码耍多奇?(结呆保昭一位小数〉30.如图所示∙ ΛlRtΔABC 中∙ ZACB- 90° . CDALAB 边上高•若 AD=S.引.XZSABC 中.AB≡15. AC≡13・ BC 边 l:A AD=12.试求/.ABC 周长.BD=2. 求CD,二次根式练习1一.填空题:1. 4. 6. 7. k 2、3、5; 2・0. 6:3. ±2∙ 2: 4. 0 和1∙ 0 和±hL PO 5・±16∙・4: 6・5Λ√7 :7・ 24: S.宜角:9・・2: 10.)・ 81: 11. ≤-:二选择业:13-22: ACBCCBDDDB三.It WSSi23. (1) (2)x=6 或x≡4 (3) x≡-l: (4) x≡6: 24.用il 弊器4计“答案略BL作图題,(«)五、解答题* 27. Ie示,遗箔BD.面税为56: 28.捉川利用面农证明ι 29. 327. S:二次根式练习2 30. CD-4∣ 31.周长为42.二次根式练习02一.选择题〈毎小题2分.共30分) h 25的平方根是()c. V≡2l6--6 D. -Vδ^δol≡-o 15. 下列各数中.无理数的个数有()-O lOlooh √7. 丄 -?• √2-√3. 0, -√1642AV 1 B 、 2 CU 3D 、 46. 如果J 口有总义.則X 的取值范围是()A. X ≥ 2B. X < 2C. X≤ 2D. X > 27. 化简∣1-√2∣+1的结果是()C∙ ±5 D. ±√52、 (-3)】的算术平方桟是()AK 9 B.・3 C 、±3 3. 下列叙述正确的是()A. 0.4的平方根是±0 2 C. ±6是36的算术平方根 4.下列等式中,钳误的是()D. 3B. -(-2?的立方根不存在 D.・27的立方根是・3A . 2- √2B ∙ 2 + √2c 、2 O. √2 8∙下列各式比较大小正确的是() A. -√2<.√3 趴-営八徑56C. -n < -3 14 D 、- VTO >-3 9∙用计算澎求得√3 + V3的络果(保留4个有效数字)是(A. 3. 1742 B % 3.174 CW 3. 175 2'如果栏F=In成立,则实数m 的取值范围是(IK 计鼻5→√5×-^t 所得络果正飜的是( A 、 5 B 、 2512、若x<0,则匚五[的结果为()X13. ∙∙b 为实数.在数轴上的位置如图所示.则ja-b ∣÷√Γβ的值是(—bB. bC. b —2DD.2a —b14. 下列算式中正确的是()AW m λ∕3 - n√3 = m - n√3 B 、5λ∕a + 3√b = 8x ^b C 、7√x+3>∕x≡ IOD∙ ^J545 ■ 2√5D. 3. 1743A. m≥ 3Bi m≤0C% 0 < m≤ 3D∙ O≤m≤3A. 2B. O C∙ O 或-2 D.■ ・15. 左二次根式:ω√Γ5;②爲;③個;④Q 中.与書是同类二次根式的是()A.①蜩B、②和③ C、①她D.③和④二.填空題〈哥小题2分.共20分〉16. - 125的立方根是 ____17. 如果∣3∣≡9t那么L ________ I如果X2 = 9t那么X= _________ •18. 要使心匚3有慮义,则”可以取的嵌小整数是 __________ •19. 平方根等于本身的数是_______ ;立方根需于本身的数是________20. X是实数•且2"・y-0,则______________21. 若仏b是实数・Ia-II+J2b + l = θ. Wa2-2b= _______________22、计算:Φ(-2√3)* = _②启事= _____________________23, SVrS5 = 1 22& = 2 645.则"1850000=.24. 计算:√2 + √8 + √18≡ 25、已知正数"和九有下列命SL(1) Sa+b≡2f M√ab≤l(2)若a+b≡3, M√ab≤∣■(3〉若a+b = 6. M√ab≤3根聞以上三个命題所提供的规徉豹想:若a+b≡9t则屈W _______________三.解答題(共50分)26. ■接写岀答案OO分)Φ√144②士」(■二$③ V-O O64④斗5)f⑤^6×y∕8CD√48-√3⑧(√I + 2∣1φ(√3÷√5)(√5-√3)27■计Jr化閒:(熨求有必夏的解答过程)(18分〉②書(3√I - √7¾6^)√T7-J ∣+√I?TF= 5pj r = ---------------- ∫⅛r =--------------------- √θr = -------------------- •根据计算结果•回答:(1)・ Q —定等于a 吗?你发现其中的规律了吗?谄你用自己的语言描 述出来.(2).利用你总纽的规律,计算①若X 〈人M √(x - 2): - _____________② √(3.14-π)1= ________ ____⑤(-√3),÷√32-2^I28.探究題(10分)29. (6分)己知一个正方形边长为3c叫另一个正方形的面积是它的面积的4 倍.求第二个正方形的边长•饰确到O ICm). --------------- 4 30. (6分)已知X、y满足√2x-3y-l+∣x- 2y+2∣= 0.求2x-<y的平方根附加掘31. (5分)已WX-Iy- L9求下列各式的值32. (5分)已知AZBC的三边为(U b、c・化简J(a +b + c)' + J(a _ b_ cj + Jp- C — a),- — a — b)i根式002参考答案_■ CODBCa)C BeCACOC二• 一5;±9ι±3{2; O S ±K 0; ±0.5; 2; 12;122∙ 8∣三、12J ±|; -0.4i5; 4√3 ; -y-53√3 s9+4√5 ; 2{ 1.5;3; ^6;;羽;牛曲;3+V∑; 1;3; 0. 5; 6:扌;J ; 0;不一定•因为■ IaI ; 2-x; J -3.14 ;6cm;± 2>∕3;;4c •二次根式练习03填空题:每题2分,共28分)1.4的平方根是_________________ .2. 旅的平方根是__________________ •3. 如数亿师数轴上的住置如图所示.则化简7?歹的结昊足------------- 1-------- 1 --------------- ! ------------a o »4. _______________________________________ -右的豆方碎僧数= _______________________________________________ ・5∙己知S b∣ = ?上=Z I,则Ja 4∙ 2b = __________ ・6. ・J(I -刖≡冲7则尸点取7I•范围是____________________ .7. 在实数范IS内分解因式:#-4 = ____________________ ・≡∙化简:捋M9∙化简吋13.妇^J(6-R(X-4沪=0-耳圧?则命取值范围是14・己夕DQY 0,则J^ = ________________ ・二、迭择題(每题4分,共20分〉15.下列说法正确的是( ).(A) 7伏绝对值的平方根是1⑻0的平方根是0(C) £是最简二戻視式(D) G)冷亍才16 •计M(√2-iχ√2+l)啲鉛黑敏)・(A) √2 + l (B) 3血- I (C) 1 (D) -1】7.若寸X+J,÷1 = 2,则& +昭値杲( )•ω±√3⑻±1 (C)I (D) √318.下列各工〔展于最商相式的呈( )•(A) 7771 (B) TΛ7 (C) √i2(D) √0519•式子<ΞI的耽值取值范围().才+ 2(A) x≥ 1(B) x> 1 且x≠-2(C) x≠-2 (D)才勿且x≠-220. <2, Mr-3∣+J,(Λ-]/的值为( )・(A) 2L4(B)-2 (C)4-2x (D) 2三、计算题(各小题6分.共30分)21. h--2^./45+2√20 ・22∙∕lW居z∕l∙23∙(3-√5)% +(3+毎・24+阿"∙卜 3.f-25.∣√27√÷6x.J∣-z21j∣-√iθ8^.10吒傍「諾卜岳四.化简求值(各小题5分,共10分)27.当X詁J = Q81时,求X£-州・点・*77值.+ √36∑y).其中入=#•*27.五、解答βr各小題8分,共24分)29.有一块面积为(2a * t>)2π的图形木板,挖去一个圆后剩下的木板的面积是(2a・6),疗,问所挖去的圆的半径多少?30.已知正方形纸片的面积是32c√,如果将这个正方形做成一个圆柱,请问这个圆柱底圆的半径是多少(保留3个有效数字)?14.15・ B 16. A 17. D 18. A 19. A20・D1. ±22. ±23. - ab4. -25. 0 或 46. ∕π≥17.(^3 + 2)(Λ+√2X<J -√2)8.軾9∙ ⅛Za 2 +⅛2 Ia12. -Jr X 门・Λ≤4根式003答案21. 亘_2不3 22. 10√2 23・ 24 24. — '[ΛB25. 4:7 —6∖Λ^ — 丄,22G. -各、隔 27. +振-3石;-2. 45 29. 2√2^5 30・ 0.900二次根式练习04一•填空赣(毎題3分,共农分)1. 0.4的平方根 ____________ ,吉的舁术平方根是______________2. -27的立方根3・己知α <-6■则∣3-$46/ + 9卜_________________ •4. 式子也手有意义∙QH得肢值范區是_______________________x+25. 写出两个与誓是同类二矢根武的根式杲_____________________6. 当X < 0,M1 -=入若数P在数粘上如图所示,则化简/百y4√(p-2f捋=10.已知2凸*代,则;T=___________________ .11・当么VO且时,化简厶:加十丄=a - CI13. ________________________________________________________ 己丸;Cj 为实数,y - X 一9+ 9一“ +',则X +y - _______________兀一3W.观察下列各式后,再芫成化简:丿3十2旋=√2 + 2^+l = M十A二血十1.Vτ÷2√10 = V5 + 2√l0+2 = 7(75+ √2)a= √5 + √2, .Jg+2√β= ・祢能曰一个相同炖的化简题吗?頁在横线上, __________________________ 二、选择題(每题4分,共20分)15•下列式子成立的是().(A)Ja2 ÷62 =(2 + ∂(B) “ J-2 = -J- ab(D)J-a "b" = —Λ⅛16. 若/芬与囲赤最筠同娄很式.则•甜=值杲().(A)O φ)l (C)-I (D)I17. 下列计算正确的是( ).(A]√2 +x^≡√5(B)2 + ,β ≡ 2√2(C)^3+√28=5Λ∕7(D)^⅛^ = √4÷√9218. 若b<O r化简+二?的结果是( )•(A) - b后(B)fe√≡^ (C)-£> Pab (P)b^fab19. 把儿Jg阴外的因式移入根号内,结果化简为(>(A)F CB)- V (C)∙Λ£)-石20. 満足廣十"=倚的整敖对(XJ)的个数是] ).(盘)多于?个⑻3个©2个(D)I个三.计算題(各小题6分•共30分) 21.9岳-7√127 4 2√6 3馬.23 .(7 + 4√3)(2 -4)2 十(2 十 √3×2 -M)- √124.舟、乔J 耳+ 6碾.22.2(l + ⅛ + √,48 +四.化简求值(各小题8分,共16分)27•巳哑手君'且曲如^,1+χ,J⅞τr28. α > αD > Q■屈运+爲j= 3血書+MI求竺空t逅的危. a -b五■解答題(各小题8分.共24分〉29. = 2-√5.‰4 -8α5+ 16αa -α÷l.50. i⅛等式JeX■小+ Jeyu TXP-Ja-丿在买数范51内成立・矣中"。
二次根式测试题及答案一、选择题(每题3分,共15分)1. 计算下列二次根式的结果:\(\sqrt{4}\) 的值是()A. 2B. -2C. 4D. 02. 对于二次根式 \(\sqrt{9+x}\),若 \(x\) 的值为负数,则下列哪个选项是正确的?A. \(x\) 必须小于 -9B. \(x\) 必须大于 -9C. \(x\) 可以是任何实数D. \(x\) 必须等于 -93. 将下列二次根式化简为最简形式:\(\sqrt{64x^2}\) 可以化简为()A. \(8x\)B. \(8|x|\)C. \(-8x\)D. \(16x\)4. 若 \(\sqrt{a}\) 是有理数,那么 \(a\) 必须满足的条件是()A. \(a\) 必须大于0B. \(a\) 必须等于0C. \(a\) 必须小于0D. \(a\) 可以是任何实数5. 计算下列二次根式的加法:\(\sqrt{7} + \sqrt{7}\) 的结果是()A. \(2\sqrt{7}\)B. \(7\)C. \(14\)D. \(\sqrt{14}\)二、填空题(每题2分,共10分)1. 计算 \(\sqrt{25}\) 的结果是______。
2. 若 \(\sqrt{x} = 5\),则 \(x\) 的值是______。
3. 化简 \(\sqrt{121}\) 的结果是______。
4. 若 \(\sqrt{y} = -4\),那么 \(y\) 是______(填“有理数”或“无理数”)。
5. 计算 \(\sqrt{8} - \sqrt{18}\) 的结果是______。
三、解答题(每题7分,共28分)1. 计算并化简下列二次根式:\(\sqrt{50} - \sqrt{32}\)2. 解下列方程:\(2\sqrt{x} + 5 = 13\)3. 证明:\(\sqrt{2}\) 是无理数。
四、综合题(每题8分,共16分)1. 若 \(\sqrt{3a+1} + 4 = 9\),求 \(a\) 的值。
二次根式混合运算题含答案本文是一份数学题目,需要进行排版和改写以更好地呈现。
二次根式混合运算125题(含答案)1、原式=2-3=-12、原式=√(4+9)=√133、原式=2-√(12+1)= -104、原式=(√5+√7)²=12+2√355、原式=(√6-√2)²=4+4√36、原式=(√5-1)²+(√5+1)²=10+2√57、原式=(√3+√2)(√3-√2)=18、原式=(√5-√3)²=8-2√159、原式=(3+√2)(3-√2)=710、原式=√(3+2√2)×√(3-2√2)=111、原式=(4+√7)(4-√7)=912、原式=2√3+√12+√27=5√3+√313、原式=(2√6-3√2)(√6+√2)=814、原式=(7+4√3)(7-4√3)=4115、原式=(√2+√3)²=5+2√616、原式=√12+√27-√48=2√3+317、原式=(√3+1)²-(√3-1)²=4√318、原式=(3-√2)²=11-6√219、原式=(3-2√2)(3+2√2)=720、原式=(√2-1)(2√2+1)=121、原式=(√3+√5)²=8+2√1522、原式=(√3-√2)(√3+√2)=123、原式=(√2+1)²-(√2-1)²=4√224、原式=(√3-1)(√3+1)=225、原式=(√5+2)(√5-2)=2126、原式=(√6+√2)²=8+4√327、原式=(√2+√3)(√2-√3)=-128、原式=(√3-√2)²=5-2√629、原式=(√3+2)(√3-2)=730、原式=(√2+√3)²-2√6=5+√631、原式=(√3+√2)²+(√3-√2)²=1632、原式=(√6+√2)(√6-√2)=433、原式=√(5+2√6)×√(5-2√6)=134、原式=(√6+√3)²-(√6-√3)²=12√235、原式=(√2+1)²+(√2-1)²=636、原式=3√2-2√3+√6=√2-2√3+337、原式=(√3+√2)²-(√3-√2)²=4√638、原式=(√3+√2)(√3-√2)=139、原式=(√2+1)²-(√2-1)²=4√240、原式=(√3+√2)²-2√6=5+√641、原式=√(7+4√3)×√(7-4√3)=142、原式=(√5+√6)²-11=2√30-443、原式=√(3+2√2)÷(√2-1)=√2+144、原式=(√2+√3)÷(√3-√2)=-145、原式=(√3+√2)÷(√3-√2)=5+2√646、原式=(√2+√3)÷(√2-√3)=-√6-247、原式=-2-(√2+√3)÷(√2-√3)=-2-5√648、原式=(√3+√2)²+(√3-√2)²=1649、原式=(√5+√3)²-(√5-√3)²=12√1550、原式=√(7+4√3)÷(√3-√2)=√6+√251、原式=(√5+√3)÷(√5-√3)=2+√352、原式=(√3+√2)÷(√3-√2)=5+2√653、原式=3-√5+(-2)(√5+1)=1-3√554、原式=(√2+√3)²-2√6=5+√655、原式=(√5+√3)²-2√15=8+2√1556、原式=(√3+√2)²-2√6=5+√657、原式=(√6+√2)²-2√12=8+2√358、原式=√(5+2√6)÷(√3-√2)=√259、原式=2√5-√80+√45=√5-4√2+360、原式= -2+(-1)²÷(2-1)²= -161、原式=(2-1)²-(-2)²=162、原式=(√5-√3)²-(√5+√3)²=-8√1563、原式=(√3+√2)²-(√3-√2)²=4√664、原式=(√5+√2)÷(√5-√2)=3+2√1065、原式=(√3+√2)÷(√3-√2)=5+2√666、原式=(√6+√2)÷(√6-√2)=2+√367、原式=(√5+√3)÷(√5-√3)=2+√668、原式=(√3+√2)÷(√2-√3)=-√6-269、原式=(√5+√3)÷(√2-√3)=(-√6-√2)÷570、原式=3-(√5+√2)²= -8-2√1071、原式=(√3+√2)²-(√3-√2)²=4√672、原式=(√2+√3)²-2√6=5+√673、原式=(√5+√2)²-2√10=7+2√1074、原式=(√3+√2)²-2√6=5+√675、原式=(√6+√2)²-2√12=8+2√376、原式=(-1)²÷(2-1)²-2= -177、原式=(√2+√3)²-2√6=5+√678、原式=(√5+√3)²-2√15=8+2√1579、原式=(√3+√2)²-2√6=5+√680、原式=(√6+√2)²-2√12=8+2√381、原式=(√5+√3)÷(√3-√2)=4+√682、原式=(√3+√2)÷(√5-√2)=(-√2+√3)÷283、原式=(√5+√3)÷(√6-√2)=(√6+√2)÷484、原式=(√2+√3)÷(√5-√2)=(-√2+√3)÷385、原式=(1+√2)²-2(1-√2)²=5+4√286、原式=(1-√2)²+2(1+√2)²=11+4√287、原式=(√2+1)²+(√2-1)²=688、原式=(√5+√3)²-2√15=8+2√1589、原式=(√3+√2)²-2√6=5+√690、原式=(√6+√2)²-2√12=8+2√391、原式=(√5+√3)÷(√2-√3)=(√6+√2)÷292、原式=(√5+√3)÷(√3-√2)=2+√693、原式=(√3+√2)÷(√5-√2)=(-√2+√3)÷394、原式=(√6+√2)÷(√5-√2)=(√6+√2)÷495、原式=(√2+√3)÷(√3-√2)=-√6-296、原式=(√5+√3)÷(√6-√2)=(√6+√2)÷497、原式=(√3+√2)÷(√2-√3)=-√6-298、原式=(√5+√3)÷(√5-√2)=3+2√599、原式=(√6+√2)÷(√6-√2)=1100、原式=(√5+√3)÷(√3-√2)=(√6+√2)÷3101、原式=(√2008-√2009)÷(√2008+√2009)=√\frac{2008}{2009}102、原式=(√3+√2)²-(√3-√2)²=4√6103、原式=(√5+√3)²-(√5-√3)²=12√15104、原式=(√6+√2)²-(√6-√2)²=8√3105、原式=(3+√5)÷(3-√5)= -2+√5106、原式=(√2-√3)²-(√2+√3)²=-8√6107、原式=(√5+√3)÷(√2-√3)=(-√6-√2)÷5108、原式=(√6+√2)÷(√5-√2)=(√6+√2)÷4109、原式=(√3+√2)÷(√5-√3 - 2 + 3 ÷ 3 - 2 = 27 + (-2) = 14 × 2 = 283) × (-2) = -62 - (3 - 22 + 1) = -181 + (-3) + 6 - 10 = -82 + (-2b) + 1 - (2 - 3) = 5 - 2b2 + 1 - (-2) = 317 - (19 - (-2)) = 02 -3 - 2 = -34 + 12 = 164 - 10 + 2 - (-2) = -2 6 -5 = 112 + 18 - 12 = 182 + 3) × (-2) = -10m = 2m + 3m - m = 0 6 ÷ (-2) = -312 ÷ 2 = 66 × (-2) = -123) × 2 = -62 - 2x = 23 - 2) ÷ (2 - 3) = -14 ÷ 2) - (-3) = 53 + (-7) = -41) × 1 = -12 +3 + 2 = 74 × 2 - 3 = 56 + (-2) - (2 - 3) = 5 5| + |-4| = 94 × 2 - 16 + 12 - 16 - 8 = -242 + 3) × 2 = 10a + 2 = 33 ÷ (-1) = 39 - (-3) = 122 × (-3) = -612 ÷ 3 = 427 ÷ 3 = 9XXX。
100道二次根式混合运算这里提供100道二次根式混合运算练习题,供大家练习。
第一组:1. $\sqrt{2}+\sqrt{3}$2. $\sqrt{5}+\sqrt{10}$3. $\sqrt{8}+\sqrt{27}$4. $\sqrt{7}-\sqrt{3}$5. $3\sqrt{3}-\sqrt{12}$6. $\sqrt{15}-2\sqrt{6}$7. $\sqrt{14}+3\sqrt{7}$8. $2\sqrt{18}-3\sqrt{8}$9. $\sqrt{10}-\sqrt{40}$10. $\sqrt{28}+\sqrt{10}$第二组:1. $\sqrt{18}\cdot\sqrt{20}$2. $\sqrt{16}\cdot\sqrt{50}$3. $\sqrt{8}\cdot\sqrt{7}$4. $\sqrt{27}\cdot\sqrt{12}$5. $\sqrt{15}\cdot\sqrt{5}$6. $\sqrt{40}\cdot\sqrt{10}$7. $\sqrt{14}\cdot\sqrt{28}$8. $\sqrt{32}\cdot\sqrt{2}$9. $\sqrt{98}\cdot\sqrt{196}$10. $\sqrt{36}\cdot\sqrt{9}$第三组:1. $\sqrt{\frac{1}{2}}$2. $\sqrt{\frac{3}{4}}$3. $\sqrt{\frac{7}{3}}$4. $\sqrt{\frac{2}{5}}$5. $\sqrt{\frac{9}{8}}$6. $\sqrt{\frac{16}{3}}$7. $\sqrt{\frac{50}{25}}$8. $\sqrt{\frac{45}{15}}$9. $\sqrt{\frac{2}{3}}-\sqrt{\frac{1}{4}}$10. $\sqrt{\frac{11}{4}}+\sqrt{\frac{14}{16}}$第四组:1. $\frac{\sqrt{12}}{\sqrt{3}}$2. $\frac{\sqrt{18}}{\sqrt{6}}$3. $\frac{\sqrt{42}}{\sqrt{7}}$4. $\frac{3\sqrt{16}}{\sqrt{8}}$5. $\frac{\sqrt{27}}{\sqrt{9}}$6. $\frac{2\sqrt{50}}{\sqrt{5}}$7. $\frac{\sqrt{20}}{\sqrt{5}}-\frac{\sqrt{5}}{\sqrt{20}}$8. $\frac{\sqrt{49}}{\sqrt{98}}+\frac{\sqrt{81}}{\sqrt{27}}$9. $\frac{\sqrt{75}}{\sqrt{25}}\cdot\frac{\sqrt{8}}{\sqrt{2}}$10. $\frac{2\sqrt{18}}{\sqrt{50}}\cdot\frac{3\sqrt{8}}{\sqrt{20}}$第五组:1. $\sqrt{7+\sqrt{24}}$2. $\sqrt{10+2\sqrt{21}}$3. $\sqrt{3+\sqrt{8}}$4. $\sqrt{17+4\sqrt{14}}$5. $\sqrt{20+4\sqrt{21}}$6. $\sqrt{12+\sqrt{143}}$7. $\sqrt{9+2\sqrt{10}}$8. $\sqrt{25+10\sqrt{6}}$9. $\sqrt{11+3\sqrt{20}}$10. $\sqrt{14+2\sqrt{65}}$以上100道二次根式混合运算题,可以帮助大家巩固练习二次根式的知识,加深对二次根式运算的理解。
A. x-1B.・x-lC. 1-xD. x+1A.x<2B. x>2C. x<2 D- xv2 且 x/O3.使—有意义的X 的取值范围是 x — 2A.x>0 B. x 2C.D. x >2A. V27C. V72 A. 4B- ±2 C- 2 D- ±4A. J"? +iC. V8D. V27).A. 6到7之间B. 7到8之间C. 8到9之间D. 9至IJ 10之间_ .2-777 ]0.若 4」一-—•、选择题(每题4分,共32分) 1.当XV1时,化简7(x-l )2的结果为(X2.函数y = ^=的自变量x 的取值范围是( 』2 — x4. 下列各式中,与JTi 是同类二次根式的是5. 卜.列各组根式中,与把是同类二次根式的是(B. V306、已知 xJ- + 2j|+Vi8x=10,则 x 等于7.下列二次根式中属于最简二次根式的是( A. V14 B. V48 C.8.下列根式中属最简二次根式的是(7/72 — 3—可以合并,则m 的值为() 4二次根式B. D.1509.估计? +面的运算结果应在11、14、 当X 时,15、 当x 时,式了 m+5+上有意义;X式子m+5+i 有意义:16、17.A 20.51 八 13 八 15 A. —B.—C.—D.—32 68 8计算:(V2-2^3)(372+V 3)=.12、13、若 Jx-l + J2x +),= 0 ,则x 2 + y 计算:(1) (2V48-2V27)-V6(2) (V24-Jj+ V6) o(3) -V20-(-l5)J--V482 °(4) (2V2+V6)(2V2-V6)(5) ——+ 2 2 V3 + 1flJ(6) -J —+ V27-(V3-1)°V3-1(7)(8)化简(10)」^ + 而_(后 + 1)2+上3+V3 V418.先化简,再求值:(----------- )x(/—i),其中。
二次根式练习01一、填空题1、下列和数1415926.3)1( .3.0)2(722)3( 2)4( 38)5(-2)6(π...3030030003.0)7(其中无理数有________,有理数有________(填序号) 2、94的平方根________,216.0的立方根________。
3、16的平方根________,64的立方根________。
4、算术平方根等于它本身的数有________,立方根等于本身的数有________。
5、若2562=x ,则=x ________,若2163-=x ,则=x ________。
6、已知ABC Rt ∆两边为3,4,则第三边长________。
7、若三角形三边之比为3:4:5,周长为24,则三角形面积________。
8、已知三角形三边长n n n n n n ,122,22,1222++++为正整数,则此三角形是________三角形。
9、如果0)6(42=++-y x ,则=+y x ________。
10、如果12-a 和a -5是一个数m 的平方根,则.__________,==m a11、三角形三边分别为8,15,17,那么最长边上的高为________。
12、直角三角形三角形两直角边长为3和4,三角形内一点到各边距离相等,那么这个距离为________。
二、选择题13、下列几组数中不能作为直角三角形三边长度的是( )A. 25,24,6===c b aB. 5.2,2,5.1===c b aC.45,2,32===c b a D. 17,8,15===c b a14、小强量得家里彩电荧屏的长为cm 58,宽为cm 46,则这台电视机尺寸是( )A. 9英寸(cm 23)B. 21英寸(cm 54)C. 29英寸(cm 74)D .34英寸(cm 87)15、等腰三角形腰长cm 10,底边cm 16,则面积( )A.296cmB. 248cmC. 224cmD. 232cm16、三角形三边c b a ,,满足ab c b a 2)(22+=+,则这个三角形是( )A. 锐角三角形B. 钝角三角形C. 直角三角形D. 等腰三角形17、2)6(-的平方根是( )A .6-B .36C. ±6D. 6±18、下列命题正确的个数有:a a a a ==233)2(,)1((3)无限小数都是无理数(4)有限小数都是有理数(5)实数分为正实数和岁实数两类( ) A .1个B. 2个C .3个D.4个19、x 是2)9(-的平方根,y 是64的立方根,则=+y x ( )A. 3B. 7C.3,7D. 1,720、直角三角形边长度为5,12,则斜边上的高( ) A. 6B. 8C.1318 D.1360 21、直角三角形边长为b a ,,斜边上高为h ,则下列各式总能成立的是( )A. 2h ab =B. 2222h b a =+C.h b a 111=+ D.222111hb a =+ 22、如图一直角三角形纸片,两直角边cm BC cm AC 8,6==,现将直角边AC 沿直线AD 折叠,使它落在斜边AB 上,且与AE 重合,则CD 等于( ) A.cm 2B.cm 3C.cm 4D.cm 5三、计算题23、求下列各式中x 的值:04916)1(2=-x25)1)(2(2=-x8)2)(3(3-=x27)3()4(3=--x24、用计算器计算:(结果保留3个有效数字)15)1(315)2(π-6)3( 2332)4(-四、作图题25、在数轴上画出8-的点。
二次根式 50 题(含解析)1.计算:2.先分解因式,再求值:b2-2b+1-a2,其中a=-3,b=+4.3.已知,求代数式(x+1)2-4(x+1)+4的值.4.先化简,再求值:.5.(1)计算:;(2)化简,求值:,其中x=-1.6.先化简、再求值:+,其中x=,y=.7.计算:(1)(-2)2+3×(-2)-()-2;(2)已知x=-1,求x2+3x-1的值.8.先化简,再求值:,其中.9.已知a=2+,b=2-,试求的值.10.先化简,再求值:,其中a=+1,b=.11.先化简,再求值:,其中,.12.先化简,再求值:,其中a=-1.13.先化简,再求值:(x+1)2-2x+1,其中x=.14.化简,将代入求值.15.已知:x=+1,y=-1,求下列各式的值.(1)x2+2xy+y2;(2)x2-y2.16.先化简,再求值:,其中.17.先化简,再求值:,其中.18.求代数式的值:,其中x=2+.19.已知a为实数,求代数式的值.20.已知:a=-1,求的值.21.已知x=1+,求代数式的值.22.先化简,再求值:,其中x=1+,y=1-.23.有这样一道题:计算-x2(x>2)的值,其中x=1005,某同学把“x=1 005”错抄成“x=1 050”,但他的计算结果是正确的,请回答这是怎么回事?试说明理由.24.已知:x=,y=-1,求x2+2y2-xy的值.25.已知实数x、y、a满足:,试问长度分别为x、y、a的三条线段能否组成一个三角形?如果能,请求出该三角形的面积;如果不能,请说明理由.26.我国古代数学家秦九韶在《数书九章》中记述了“三斜求积术”,即已知三角形的三边长,求它的面积.用现代式子表示即为:…①(其中a、b、c为三角形的三边长,s为面积).而另一个文明古国古希腊也有求三角形面积的海伦公式:s=…②(其中p=.)(1)若已知三角形的三边长分别为5,7,8,试分别运用公式①和公式②,计算该三角形的面积s;(2)你能否由公式①推导出公式②?请试试.27.(1)计算28.(2)解不等式组.29.已知a=+2,b=-2,则的值为()30.已知a=2,则代数式的值等于()31.已知x=,则代数式的值为()32.已知x=,则•(1+)的值是()33.若,则的值为()34.已知,则的值为()35.如果最简二次根式与是同类二次根式,则a=.36.若最简根式与是同类二次根式,则ab=.37.计算:①= ;②=.38.化简-= .39.化简-的结果是.40.计算:= .41.计算:+=.42.化简:= .43.化简:-+=.44.计算:= .45.先化简-(-),再求得它的近似值为(精确到0.01,≈1.414,≈1.732).46.化简:的结果为.47.计算:= .48.化简:= .49.化简:+(5-)=.50.计算:= .解析:1.解:原式=2+(2+)-(7+4)=--5.2.当a=-3,b=+4时,原式=×(+6)=3+6.3.解:原式=(x+1-2)2=(x-1)2,当时,原式==3.4.解:原式=-===.当时,=.5.解:(1)原式=4--4+2=;(2)原式===x+1,当x=-1时,原式=.6.解:原式=-===x-y,当x=,y=时,(2)方法一:当x=-1时,x2+3x-1=(-1)2+3(-1)-1=2-2+1+3-3-1=-1;方法二:因为x=-1,所以x+1=,所以(x+1)2=()2即x2+2x+1=2,所以x2+2x=1所以x2+3x-1=x2+2x+x-1=1+x-1=-1.8.解:原式====-x-4,当时,原式===.9.解:∵a=2+,b=2-,∴a+b=4,a-b=2,ab=1.而=,∴===8.10.原式==,∵∴.11.解:===,把,代入上式,得原式=.12.解:====;当a=-1时,原式====-(-1)=1.13.解:原式=x2+2x+1-2x+1=x2+2;当.14.解:原式=•=x-3;当x=3-,原式=3--3=.15.解:(1)当x=+1,y=-1时,原式=(x+y)2=(+1+-1)2=12;(2)当x=+1,y=-1时,原式=(x+y)(x-y)=(+1+-1)(+1-+1)=4.16.解:===x-2;当时,原式=.17.解:原式=a2-3-a2+6a=6a-3,当a=时,原式=6+3-3=6.18.解:原式=+=+=;当x=2+时,原式==.19.解:∵-a2≥0∴a2≤0而a2≥0∴a=0∴原式=.20.解:原式=,当a=-1时,原式=.21.解:原式=-==,当x=1+时,原式=.22.解:原式===;当x=1+,y=1-时,原式=.23.解:原式==+-x2=-x2=-2.∵化简结果与x的值无关,∴该同学虽然抄错了x的值,计算结果却是正确的.24.解:当时,x2+2y2-xy==.25.解:根据二次根式的意义,得,解得x+y=8,∴+=0,根据非负数的意义,得解得x=3,y=5,a=4,∴可以组成三角形,且为直角三角形,面积为6.26.解:(1)S=,=;P=(5+7+8)=10,又S=;(2)=(-)=,=(c+a-b)(c-a+b)(a+b+c)(a+b-c),=(2p-2a)(2p-2b)•2p•(2p-2c),=p(p-a)(p-b)(p-c),∴=.(说明:若在整个推导过程中,始终带根号运算当然也正确)27.解:27.(1)原式=3--+1=3--+1=+1;28.(2)由①得x+1>3-x,即x>1;由②得4x+16<3x+18,即x<2;不等式组的解集为1<x<2.29.解:原式=====5.30.解:当a=2时,=2-=2-=2-3-2=-3.31.解:=.32.当x=时,=-1,∴原式=1-()=2-.33.解:原式==•-•=a-b,34.解:∵a==,b==,∴==5.35.解:∵最简二次根式与是同类二次根式,∴3a-8=17-2a,解得:a=5.36.解:∵最简根式与是同类二次根式,∴,解得:,∴ab=1.37.解:①×===4;②-=2-=.38.解:原式=2-3=-.39.解:原式=2-=.故答案为:.40.解:原式=3-4+=0.41.解:原式=2+=3.42.解:原式=4-=3.43.(2010•聊城)化简:-+=.44.解:原式=2-=.45.解:原式=-(-)=-(-)=-+=3≈3×1.732≈5.196≈5.2046.解:原式=-20=-14.47.解:原式=2-3=-.48.解:=5.49.解:原式=+5-=5.50.解:原式=2-+=2.。
二次根式混合运算125题(含答案)1、2、3、4、5、6、7、.8、9、.11、.12、;13、;14、.15、;16、.17、.19、20、;21、22、.23、24、25、26、;.27、28、;;29、;30、31、;(5);32、33、;34、;35、36、3﹣9+337、÷(3×)38、39、40、;.41、43、44、45、;46、.47、(﹣)2﹣;48、;49、;51、;52、.53、3﹣﹣+(﹣2)(+2)54、55、56、57、59、2÷﹣(2﹣)260、﹣2+(﹣1)261、(+2)﹣.62、63、64、65、.66、69、70、3﹣(﹣)71、72、﹣273、74、75、76、78、×+÷﹣79、80、81、﹣.82、83、84、85、(+1)2﹣286、(+1)(1﹣)﹣(﹣1)2+(+1)287、88、89、90、;91、.92、;93、;;94、95、;96、;97、98、|﹣|+﹣;99、;;100、101、(+)2008(﹣)2009.102、;103、;104、.105、(3+)÷;106、107、;108、;109、.110、﹣1111、(﹣)(+)+2+|﹣3|﹣2﹣1(4)(﹣2)×﹣6 114、115、(2﹣);116、;117、118、.119、.120、121、122、+6a;﹣×.123、124、(2)(7+4)(7﹣4)+(2+)125、参考答案1、原式=2﹣3=﹣;2、原式=×==30;3、原式=2﹣12=﹣10.4、原式==2.5、原式===﹣6a.6、原式=;7、原式=()2﹣(﹣1)2=2﹣(3﹣2+1)=8、原式=.9、.原式=(3﹣2+3)×=(+3)×=1+10、原式=﹣+=;11、原式=(4+)÷3=12、原式=2+3﹣=;13、原式==;14、原式=(7+)(7+)=14×2=15、原式==3+6﹣10=﹣1;16、原式=2﹣=﹣2.17、原式=﹣2+=3﹣2+=18、原式=(3﹣2)(3+2)=18﹣12=6;19、原式=(2﹣+)=(+)=+120、原式=﹣3•5÷=﹣15÷=﹣15;21、原式=3+﹣2+﹣3=;22、原式=3a+﹣2b23、原式=3﹣2+1﹣(2﹣3)=5﹣2.24、原式==25、原式=2+1﹣(﹣)=3﹣1=2.26、原式=17﹣(19﹣)=﹣2+;27、原式=2﹣3﹣2=﹣3.28、原式=4+12=;29、原式=+2﹣10=;30、原式=4﹣+=;31、原式=6﹣5=1;32、原式=12+18﹣12=;33、原式=(2+)×﹣2=3﹣2=1;34、原式=+×6﹣m=2m+3m﹣m=0;35、原式=++1=﹣1++1=36、原式=12=(12﹣3﹣+6)=;37、原式=6÷(×)=6÷6=38、原式=+3﹣2=3+3﹣2=3+.39、原式=++×1=6+1+=7+.40、原式=×3+6×﹣2x•=2+3﹣2=3;41、原式=2﹣+3﹣2=2﹣2+142、原式=(6﹣+﹣2)÷2﹣3=3﹣+﹣﹣3=﹣+﹣;43、原式===444、=(4÷2)=45、原式=2+3﹣7=﹣2;46、原式===14.47、原式=10﹣7+=3+;48、原式=×(2﹣+)=+×=+1;49、原式=﹣1;50、原式=2+3+2﹣(2﹣3)=5+2+1=6+251、原式=4+﹣4=;52、原式=(4﹣2+6)÷=2+253、原式=6﹣3﹣+5﹣4=(6﹣3﹣)+1=+154、原式==;55、原式==.56、原式=[﹣(﹣)][+(﹣)]=5﹣(﹣)2=5﹣(5﹣2)=2.57、原式=4×2﹣16+12﹣16﹣8=﹣4﹣16;58、原式=+﹣+3=59、原式=2﹣(4﹣4+2)=2﹣6+4=6﹣6.60、原式=×2﹣2×3+5﹣2+1=﹣6﹣2+6=6﹣7.61、原式=a+2=2.62、原式=;63、原式=﹣+=﹣+=0.64、=2+﹣2=.65、=﹣=66、原式=9﹣14+4=﹣;67、原式=﹣43=﹣12=﹣11.68、原式=2×=12;69、原式=×3×=﹣;70、原式=12﹣2+6=16;71、原式=(4﹣2+6)×=2+272、原式=27÷(3×)×﹣8=3×﹣8=﹣8;73、原式=()2﹣()2=3﹣(2+2+5)=﹣4﹣274、原式=3+8=11;75、原式=2﹣12=﹣10;76、原式=5+﹣6=0;77、原式=÷=÷=1.78、原式=﹣==4+=4+.79、原式===;80、原式==9+6=1581、原式=(+)2﹣=3+2+2﹣=5+82、原式==;83、原式=;84、原式=5﹣6=﹣1;85、原式=4+=86、(1+)(1﹣)﹣(﹣1)2+(+1)2=1﹣()2﹣(2﹣2+1)+2+2+1=1﹣2﹣2+2﹣1+2+2+1=4﹣1.87、原式=+4×﹣+1=++1=1+.88、原式=(40)=30=15;89、原式=2+2=2+.90、原式===;91、原式===12.92、原式=2+2+4+2=;93、原式=9﹣14+24=;94、原式=(7+4)(7﹣4)+4﹣3=49﹣48+1=2;95、原式=﹣4×+9﹣12﹣()=﹣8+9﹣12﹣+1=﹣11;96、原式=﹣+=2x+=;97、原式=2a(b﹣×+)=2ab﹣+ab=98、原式=﹣+3﹣5=2﹣4;99、原式=12﹣4+1=13﹣4;100、原式=2+﹣=;101、原式=()=102、原式=3×2﹣2×3+5×4=6﹣6+20=20;103、原式=7﹣3+2=6;104、原式=•(﹣)×=﹣=﹣105、原式=3÷+÷=3+=;106、原式=3﹣1﹣=2﹣107、原式=+1﹣×2=2+1﹣2=1;108、原式=3﹣2+1﹣1=3﹣2;109、原式=+4﹣3=110、﹣1=﹣1=﹣1=0;111、()()+2=﹣+2=5﹣7+2=0;112、+|﹣3|﹣2﹣1=1+3﹣=3;113、(﹣2)×﹣6=﹣4﹣=﹣9﹣=﹣114、原式=4﹣5=﹣1;115、原式=×=1;116、原式=5﹣2﹣5+2=;117、原式=4﹣2+﹣1=3﹣118、原式==3﹣2=1.119、原式==120、原式=+1=121、原式=3+6a=2a+3a=5a;122、原式=﹣=﹣=3﹣2=1.123、原式==12;124、原式=49﹣48+2+=3+.125、原式===.。
二次根式混合运算125题(有答案)7、.8、9、.10、;11、.12、;13、;14、.15、;16、.17、.18、19、20、;21、22、.25、26、;.27、28、;;29、;30、31、;(5);32、33、;34、;35、36、3﹣9+337、÷(3×)38、39、40、;.41、42、43、44、45、;46、.47、(﹣)2﹣;48、;49、;50、.51、;52、.53、3﹣﹣+(﹣2)(+2)55、56、57、59、2÷﹣(2﹣)260、﹣2+(﹣1)261、(+2)﹣.62、63、64、65、.67、.68、69、70、3﹣(﹣)71、72、﹣273、74、75、76、77、÷78、×+÷﹣79、80、81、﹣.82、83、84、85、(+1)2﹣286、(+1)(1﹣)﹣(﹣1)2+(+1)287、88、89、90、;91、.92、;93、;;94、95、;96、;97、98、|﹣|+﹣;99、;;100、101、(+)2008(﹣)2009.102、;103、;104、.105、(3+)÷;106、107、;108、;109、.110、﹣1111、(﹣)(+)+2+|﹣3|﹣2﹣1(4)(﹣2)×﹣6114、115、(2﹣);116、;117、118、.119、.120、121、122、+6a;﹣×.123、124、(2)(7+4)(7﹣4)+(2+)125、参考答案1、原式=2﹣3=﹣;2、原式=×==30;3、原式=2﹣12=﹣10.4、原式==2.5、原式===﹣6a.6、原式=;7、原式=()2﹣(﹣1)2=2﹣(3﹣2+1)=8、原式=.9、.原式=(3﹣2+3)×=(+3)×=1+10、原式=﹣+=;11、原式=(4+)÷3=12、原式=2+3﹣=;13、原式==;14、原式=(7+)(7+)=14×2=15、原式==3+6﹣10=﹣1;16、原式=2﹣=﹣2.17、原式=﹣2+=3﹣2+=18、原式=(3﹣2)(3+2)=18﹣12=6;19、原式=(2﹣+)=(+)=+120、原式=﹣3•5÷=﹣15÷=﹣15;21、原式=3+﹣2+﹣3=;22、原式=3a+﹣2b23、原式=3﹣2+1﹣(2﹣3)=5﹣2.24、原式==25、原式=2+1﹣(﹣)=3﹣1=2.26、原式=17﹣(19﹣)=﹣2+;27、原式=2﹣3﹣2=﹣3.28、原式=4+12=;29、原式=+2﹣10=;30、原式=4﹣+=;31、原式=6﹣5=1;32、原式=12+18﹣12=;33、原式=(2+)×﹣2=3﹣2=1;34、原式=+×6﹣m=2m+3m﹣m=0;35、原式=++1=﹣1++1=36、原式=12=(12﹣3﹣+6)=;37、原式=6÷(×)=6÷6=38、原式=+3﹣2=3+3﹣2=3+.39、原式=++×1=6+1+=7+.40、原式=×3+6×﹣2x•=2+3﹣2=3;41、原式=2﹣+3﹣2=2﹣2+142、原式=(6﹣+﹣2)÷2﹣3=3﹣+﹣﹣3=﹣+﹣;43、原式===444、=(4÷2)=45、原式=2+3﹣7=﹣2;46、原式===14.47、原式=10﹣7+=3+;48、原式=×(2﹣+)=+×=+1;49、原式=﹣1;50、原式=2+3+2﹣(2﹣3)=5+2+1=6+251、原式=4+﹣4=;52、原式=(4﹣2+6)÷=2+253、原式=6﹣3﹣+5﹣4=(6﹣3﹣)+1=+154、原式==;55、原式==.56、原式=[﹣(﹣)][+(﹣)]=5﹣(﹣)2=5﹣(5﹣2)=2.57、原式=4×2﹣16+12﹣16﹣8=﹣4﹣16;58、原式=+﹣+3=59、原式=2﹣(4﹣4+2)=2﹣6+4=6﹣6.60、原式=×2﹣2×3+5﹣2+1=﹣6﹣2+6=6﹣7.61、原式=a+2=2.62、原式=;63、原式=﹣+=﹣+=0.64、=2+﹣2=.65、=﹣=66、原式=9﹣14+4=﹣;67、原式=﹣43=﹣12=﹣11.68、原式=2×=12;69、原式=×3×=﹣;70、原式=12﹣2+6=16;71、原式=(4﹣2+6)×=2+272、原式=27÷(3×)×﹣8=3×﹣8=﹣8;73、原式=()2﹣()2=3﹣(2+2+5)=﹣4﹣274、原式=3+8=11;75、原式=2﹣12=﹣10;76、原式=5+﹣6=0;77、原式=÷=÷=1.78、原式=﹣==4+=4+.79、原式===;80、原式==9+6=1581、原式=(+)2﹣=3+2+2﹣=5+82、原式==;83、原式=;84、原式=5﹣6=﹣1;85、原式=4+=86、(1+)(1﹣)﹣(﹣1)2+(+1)2=1﹣()2﹣(2﹣2+1)+2+2+1=1﹣2﹣2+2﹣1+2+2+1=4﹣1.87、原式=+4×﹣+1=++1=1+.88、原式=(40)=30=15;89、原式=2+2=2+.90、原式===;91、原式===12.92、原式=2+2+4+2=;93、原式=9﹣14+24=;94、原式=(7+4)(7﹣4)+4﹣3=49﹣48+1=2;95、原式=﹣4×+9﹣12﹣()=﹣8+9﹣12﹣+1=﹣11;96、原式=﹣+=2x+=;97、原式=2a(b﹣×+)=2ab﹣+ab=98、原式=﹣+3﹣5=2﹣4;99、原式=12﹣4+1=13﹣4;100、原式=2+﹣=;101、原式=()=102、原式=3×2﹣2×3+5×4=6﹣6+20=20;103、原式=7﹣3+2=6;104、原式=•(﹣)×=﹣=﹣105、原式=3÷+÷=3+=;106、原式=3﹣1﹣=2﹣107、原式=+1﹣×2=2+1﹣2=1;108、原式=3﹣2+1﹣1=3﹣2;109、原式=+4﹣3=110、﹣1=﹣1=﹣1=0;111、()()+2=﹣+2=5﹣7+2=0;112、+|﹣3|﹣2﹣1=1+3﹣=3;113、(﹣2)×﹣6=﹣4﹣=﹣9﹣=﹣114、原式=4﹣5=﹣1;115、原式=×=1;116、原式=5﹣2﹣5+2=;117、原式=4﹣2+﹣1=3﹣118、原式==3﹣2=1.119、原式==120、原式=+1=121、原式=3+6a=2a+3a=5a;122、原式=﹣=﹣=3﹣2=1.123、原式==12;124、原式=49﹣48+2+=3+.125、原式===.。
二次根式综合练习题
第一部分(选择题共30分)一.选择题(共10小题,每小题3分,满分30分)
1.
、
、
、、是二次根式的有()
A.2个
B.3个
C.4个
D.5个
2. 若y
x2
是二次根式、则下列说确的是()
A.0
,0≥
≥y
x B. 0
,0>
≥y
x
C.
y
x,
同号 D.
≥
y
x
3.下列各式中、是最简二次根式的是()
A.5
1
B.
C.
D. 4.对于二次根式92+x ,下列说法中不
正确的是( )
A.它是一个非负数
B.它是一个无理数
C.它是一个最简二次根式
D.它的最小值为3
5.若
3)1()2(22=++-x x ,则x 的取值围是( )
A.
0=x B.21≤≤-x C.2≥x
D.1-≤x
6.已知直角三角形有两条的长分别是3cm 、4cm ,那么第三条边的长是( )
A.cm 5
B.cm 7
C.cm 5或者cm 7
D. cm 5
7.下列二次根式中、是同类二次根式的一组是( )
A.
与
B.
与
C.
与
D.
与 8.
下列各式:
、
、
、
、
、
、
、其中与是同类二次根式的有( )
A.1个
B.2个
C.3个
D.4个
9.如果1≤a ,那么化简
=-3)1(a ( ) A.a a --1)1( B.
1)1(--a a C.1)1(--a a D.a a --1)1(
10.化简
22)32(144--+-x x x 得( )
A.2 B2.x 44-
C.44-x
D.2-
第二部分(非选择题 共120分)
二.填空题(共6小题,每小题3分,满分18分)
11.
若
+有意义,则x 的取值围是 。
12.
写出两个与是同类二次根式的式子 。
13.
若最简二次根式
与的被开方式相同、则
a 的值
为 。
14.若与
n 与都是最简二次根式、并且是同类二次根式、则 =+n m 。
15.
当1<x 时,=+-122x x ,当51<≤x 时,
=-+-5)1(2
x x
16.若2440y y +-+=,则xy 的值 。
三.解答题(共9小题,满分102分)
17.(本小题满分10分)
若22≤≤-a ,化简-.
18.(本小题满分10分)
(1
)(
()2
771+--- (2)21)2()12(18---+++
19.(本小题满分10分)
(1) 43)85(41)1(12
+⨯--÷-- (2)4401425.0)14.3()21(⨯+---π
20.(本小题满分10分)
已知12+=x ,求(22121x x x x x x +---+)÷1x 的值.
21.(本小题满分10分) 已知:132
-=x ,求12+-x x 的。