二次根式综合计算题
- 格式:doc
- 大小:500.50 KB
- 文档页数:8
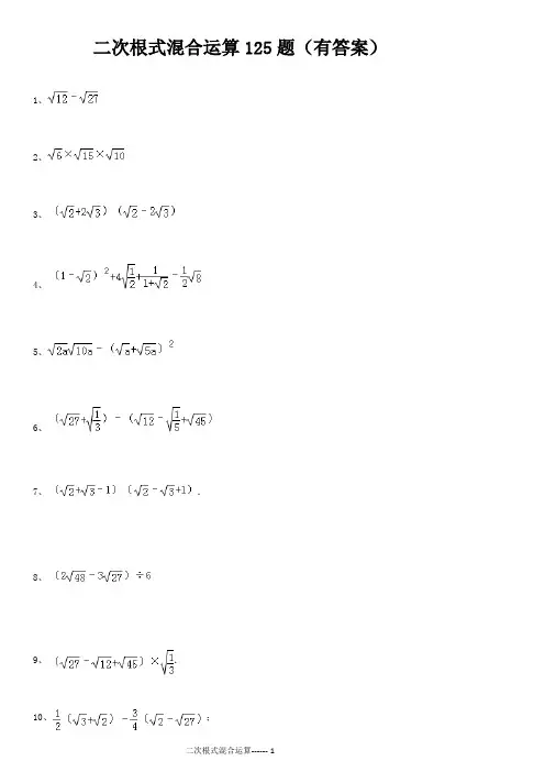
二次根式混合计算(2 ”「_ _ _ _ _ _ 18 — 2计算:(12)(1 一.. 2) .50 -2.32 .12.3• 、2 .2; 24 - 96 ;、:127- . 48+ ; . 12+ 75计算:(八)(2+ 3)+ -宀亠二°- 2计算(兀-3)0- (J2+1)( J2 -1) + 屁十卜E_2___ 1 1 1 2014 ) ( 1+—11 +V2 J 2+J 3+L 1L +…+——” ” ).3,4. 2013,2014计算:9( —X ;厂 1;8«2「3)计算: 2 x ( 2 + l) - _8V2迈扌-心-31十;计算: ...6 ■: - ‘ 2 八』24 3 48.10.计算: (1)「32 + 18 — 50;3 2 5(2)(5-2.6 ) x ( .2- 3 );11.计算:(3)(1+ . 2 + ,3 )(1-.2 - ,3);(4)(J12 -4J — )(2\8;4®).(1) C ■ 24 - 2 2.12 —--5.2412、计算,(-2)2-、、2(、2 -2) 6<3(1 )3_27 + .. (-3)2 - 3 -1 13、计算: (1) ,8 3 (2) i :75,3)C ,7 - . 5 - . 3)14、 3 -27「;』0 -、1 3 0.1253V4 V_ 2+73 _ 2 15、已知 x = 2 _ 3」=2 ■ 3,求值:2x 1-63 6416、计算:⑴V20+V5 「3xy 2y 2. -W2442}⑵(爲)2 +(兀十V 3)0 — V 27 +73—2 17、计算(「• :「(2)(6-3 :-. 1 / 121 .计算题(1)-■ 1「辽心一、:计算((9二|?恳—^+黑(寸二(^CXI—号co)(号CXI +号co ) —申中哼 +N电—^CXI ) (0 L )(吟2+^二畔2—^2)(書+将^—谒寸)2弋Q)◎co — Q £)(^co + Qu)OL )z ^r Ipl'r — 0(L —号)—或+「(i r g —— gw —) Q) T里)x CXI +2P X粵—『CXI—二十号 + z」L I ) (9)肿(2—吟匸(L —^e )(L +^e)(“)置+§■>ICO, + 2、)(号 +号—等))XI M衣• XICXI —毎co-M 44 ・0|参考答案1 . (1)-_; (2)厶-.10【解析】试题分析:(1)先把各个二次根式进行化简,再合并同类二次根式即可; (2) 根据二次根式的乘除混合运算法则计算. 解: (1 )::;;;— ::. =3 二一2 匚 + 匚一3 耳一匚;(2)一_「「严》「:=[.2. 3. 2【解析】试题分析:先将所给的各式化简成整数或最简二次根式,然后合并同类二次根式即可. 试题解析:原式 =1 _2 ^.2 -8.2・6 _3 _2--3-/2考点:二次根式的计算.试题解析:解:撐/—96鳥=:、6 2'6"6 T=^/6-2^/66- ------ 5?6.6考点:二次根式的加减点评:本题主要考查了二次根式的加减运算•首先把二次根式化为最简二次根式,然后再合并同类二次根式4. 0【解析】试题分析:根据实数的运算法则进行计算即可救出答案试题解析:(2 - -3)(2 • .3) • (-1)2010( ■■ 2 7丄「-(丄)-2=4-3^ -2=0考点:实数的混合运算•5. (1) 2+.3 ; (2) 5 3 .【解析】试题分析:(1)先计算零次幕、二次根式化简、去绝对值符号、把括号展开,然后进行合并即可求解. (2)把二次根式化成最简二次根式后,合并同类二次根式即可.4 41 / 12(1)原式=1-1+2 3 +2- .3 =2+ J 3 ;⑵原式=3 3-4. 32 3 5 3 2= 5,3 .考点:实数的混合运算;2•二次根式的混合运算.6. 4.6.【解析】试题分析:先进行二次根式的化简,财进行乘除运算,最后合并同类二次根式即可求出答案 试题解析:原式=9 V 2.2 21- 3迈•厶° -(2、2)2 •纸6-3= 9 2 1 -3 2 -8 4,6-3 =4.6.考点:实数的混合运算.7. 2013.【解析】试题分析:根据分母有理化的计算,把括号内各项分母有理化,计算后再利用平方差公式进行计算即可得解.111 1试题解析:(1.2014 )( 一1 +——1 +——1+…+ ----------- 1)1 +V2 <2 +V3 J3+U412013+J2014=(1 . 2014 ) ( ,2-1+ ..3- .. 2 + .. 4-、、3+…+ '、2014 - .. 2013 ) =(1.2014) ( 2 1 -)=2014-1=2013.考点:分母有理化.8. 2【解析】=2 + 1 — ,9 + .4 = 3 — 3+ 2= 2【解析】- 3 2解:原式=4—(3 — 2・、2) +—解:原式=2= 4 - 3 + 2 2 + 口 = 1 + —244【解析】(1)利用 一 a 2=a(a > 0) , , ab a . b (a > 0,b > 0)化简;(2) 可以利用多项式乘法法则,结合上题提示计算; (3) 利用平方差公式; (4) 利用多项式乘法公式化简•11.(1) ■ 6 ;(2) 3 . 2 .4 10【解析】试题分析:(1 )先把二次根式化成最简二次根式之后,再合并同类二次根式即可求出答案; (2 )先把二次根式化成最简二次根式之后,再进行二次根式的乘除法运算必6冷-子八6(2)原式=4巧汉一3汇4 5/2=3 .2 10考点:二次根式的化简与计算•12. 32.【解析】试题分析:先进行二次根式的化简,再合并同类二次根式即可求出答案试题解析:i (-2)2 -、2(、,2 -2厂v3=2-2+2、、2+ - 2 =3考点:二次根式的化简求值.13. (1)3 2 3 3; (2) -1-2 石【解析】10. (1)-32 ; (2) 11 .2-9 .3 ; (3) -4-2 .6 ; (4) 8-4.6 3试题解析:(1)原式=(2 .6=3103 / 12试题分析:(1)把二次根式进行化简后,再合并同类二次即可得出答案; (2)先利用平方差公式展开后,再利用完全平方公式计算即可.试题解析:(1)8 W F3、. 2 3.3---- + ------^.2 3.3 ;-2 ;(2)(J :5,.3)( J - .5 - .. 3)=7 -(、一5 '、3)2考点:二次根式的化简14. (1) 111(2) -4【解析】解:(1) 3 -27;(-3)2 - 3 -1 =-3 3-(-1) = 1.15. 385【解析】解:因为 2x 2 -3xy 2y 2 = 2x 2 - 4xy 2y 2 xy = 2(x - y)2 xy所以 2x 2 -3xy 2y 2 =2 (8 .3)21 =385 .16. -.,2 .【解析】试题分析:先化成最简二次根式 ,再进行计算. 试题解析:(J24 - J 》一2( J 1+J6)⑵—43。
二次根式混合计算(2 ”「2 .计算:(1、2)(1 _ • 2) • 50 _2、32 、12 • 3 •丄18 _、2 '. √24. 计算:(2— 3)(2+ 3)+ —f —'—扌5 .计算(兀一3) — (V 2 +1)( 2—1) + J 12 + 1/3—21 +J2014) ( ------- T= + --- +— --------- +…+ ---- ) 1 +√2 J 2+J3 %⅛ +√4 √201^√'20142 × ( .2 + 1 ) — -1^ 8 √2 √2舟S 迈-3|+712、计算,(-2)2 - .2( .2 -2)6 √36、计算: 9( — 2 -A I f (2 2-39 •计算:6 2 、24“ 3 - 48. 10.计算:(1) 1 . 32+1 .8-丄.50; 3 2 5 (2)(5-2 6) × ( 2 - 3); 11.计算: (3)(1+ ,2+..3)(1- .-2-..3); (4)( 12一4」(2 (1) C-24 - 213、计算: (1) , 8 3 1 1 、、3√ √τ(2) ^.7 .5 .3)C-7 - .5-^3) 1 3 0.125 3 1 - 63 4 ■ 64 _ 2+73 _ 2 _ √315、已知 X= 2 - 3 , 丫 = 2 3 ,求值:2χ2 - 3xy 2y 2 .(3J 6 — 4√2 fe√6 + 4√2 )⑵(√3)2 + (兀十 √3)0 —√27 + V 3 — 2 14、1) 16、计算:⑴√20+√5 17、计算(I ) 「- × r(2)(6 ÷3 :■.1 / 12 1 .计算题(1) -■ 1「辽心一、: 3 .摇S-岳弋 S _______ S ______________ A I _____________________ _______•.一 27*48+ 「12+ 75 27 •计算(8.计算:(1)好0—铝+号(寸L) (^0l ^e )(^0+t¾e )l Ξ'÷⅛+」黑—辱0) ⅛ (8) ^'>I B ->÷R >+^y αr (9) (¾cxl +,¾二吗cxl l ,¾2) (2) (OL) (l¾Co I L ¾2)(L ¾CO +L ¾2)O L)(6) Cxl O(L —号)—毎+「(〔r g —— Z J T ) Q) 肿(0—^)+〒^巴亍黑")0) ILC ⅞ 1^4(年+t⅛2)参考答案1 • (1)-飞(2)厶- •LO【解析】试题分析:(1)先把各个二次根式进行化简,再合并同类二次根式即可;(2)根据二次根式的乘除混合运算法则计算.解:(1 )::;;;—: =3 ~-2 ~+ 匚-3 ^=-匚;(2)—「「_=4 X : =-:■2. -3.2【解析】试题分析:先将所给的各式化简成整数或最简二次根式,然后合并同类二次根式即可.试题解析:原式=^2 5 2 -8 2 6 -3 -2-3 2考点:二次根式的计算.【答案】-7飞.6【解析】试题解析:解:、2;•24 - ∙.96「1=J6 2®4' T=I6必66考点:二次根式的加减点评:本题主要考查了二次根式的加减运算.首先把二次根式化为最简二次根式,然后再合并同类二次根式4. 0【解析】试题分析:根据实数的运算法则进行计算即可救出答案试题解析:(2 - 3)(^ 3) (T)2010L 2 -二)■ -(丄)‘=4 —3 * -2=O考点:实数的混合运算•5. (1) 2+ .3 ;(2) 5 3 .【解析】试题分析:(1)先计算零次幕、二次根式化简、去绝对值符号、把括号展开,然后进行合并即可求解.(2)把二次根式化成最简二次根式后,合并同类二次根式即可.2.6-4.61 / 12 (1)原式=1-1+2 X3 +2- ∖ 3=2+、3 ;1 _ _⑵原式=3,3-4,3 2、、3 5.3= 5.3 .考点:实数的混合运算; 2•二次根式的混合运算.6. 4 .6【解析】试题分析:先进行二次根式的化简,财进行乘除运算,最后合并同类二次根式即可求出答案=9 2 1 -3 2 -8 4、、6 -3=46考点:实数的混合运算•7. 2013.【解析】试题分析:根据分母有理化的计算,把括号内各项分母有理化,计算后再利用平方差公式进行计算即可得解.III 1试题解析:(1 .2014)( 一1 +——1 +——1 +…+ ----------- 1)1 +√2 J 2+J3 丁3+丁4 ¢2013+12014=(1 .2014) ( .2-1+ W+.4- J3+∙∙∙ + ,2014-「2013)=(1 2014) ( 一 241 - )=2014-1=2013.考点:分母有理化.8. 2【解析】=2 + 1 —、、9 + A = 3 — 3+ 2= 211匚9. 1+ 24 【解析】3 2解:原式=4— (3 — 2 2 ) + 一4试题解析:原式 =9 1,2 2 -(2、、2)2 4. 6 -3 解:原式= (2)2+1 -=4 —3 + 2.2 + 3-2= 1 + 11、24 44 LLL L 4 J 6 10• (1) 2 ; (2) 11 2 -9 3 ; ( 3) -4-2 /6 ; (4) 83 3【解析】(1)利用一a2=a(a ≥0) , . ab a .. b (a ≥0,b ≥0)化简;(2)可以利用多项式乘法法则,结合上题提示计算;(3)利用平方差公式;(4)利用多项式乘法公式化简•11. (1) ; (2) 3 2 .4 10【解析】试题分析:(1)先把二次根式化成最简二次根式之后,再合并同类二次根式即可求出答案;(2)先把二次根式化成最简二次根式之后,再进行二次根式的乘除法运算=2&子6∣3 1(2)原式=4,3 -4 5/2考点:二次根式的化简与计算12. 32.【解析】试题分析:先进行二次根式的化简,再合并同类二次根式即可求出答案_____ _ _ 6试题解析:....(-2)2 - ι2C∙ 2 -2) •Λ3=2-2+2、、2+ 2=3 2考点:二次根式的化简求值.13. (1) 32 3 3; (2) -1-2、、15.【解析】试题解析: (1)原式=(2 ,6=31023 / 12 试题分析:(1)把二次根式进行化简后,再合并同类二次即可得出答案;(2)先利用平方差公式展开后,再利用完全平方公式计算即可 .试题解析: 3、2 3「3 = ------ + -------3、2 3.3•— ? 2(2)(万..3、.3)(万-.弓-'、3)=7 -( .5 、、3)2=7 -8 -2、15-2.15.考点:二次根式的化简14. (1) 1 Z X 11(2) - 4【解析】解: (1)封—27+J(—3)2 -幼-1=-3 + 3-(-1 = 1.15. 385【解析】解:因为 2χ2 -3xy 2y 2 = 2χ2 - 4xy 2y 2 xy = 2(x - y)2 xy所以 2x 2 -3Xy 2y 2 =2 (8 .3)2 1 =385 .【解析】试题分析:先化成最简二次根式 ,再进行计算.试题解析:-一2(] .√∙6)16.(2)3 一27 - 0-、 63—3 — 0丄0.5丄」 64 2 44 (2 * 3)2 _ _ 2 + √3 2 _ √3~ ___________________ 2 - 3 2 3 (2 亠)(2 -,3 ) 2 3 2 - 3Xy =( )( )=1 2 - J3 2 + √3 ,(2 - 3)2-=U 3 (2 * ,3)( 2 -、3)' (1)、8 3=(2 6 - =2、6寻訂6考点:二次根式化简.17. .【解析】试题分析:先化成最简二次根式,再进行计算.试题解析:(HE) _2(卜冏=2 庇¥ 一¥ 一2虑一逅.考点:二次根式化简.18. (1)22; (2) 6-4、.3【解析】试题分析:(1)根据平方差公式,把括号展开进行计算即可求出答案(2)分别根据平方、非零数的零次幕、二次根式、绝对值的意义进行计算即可得出答案试题解析:⑴3∙. 6 -4、. 2 3・、6 4. 2=(3飞)2 -(4、.2)2=54 —32=22.(2)(两2+(兀+何 _松+I y J_2= 3 1 -3 3 2 -、3=6-4、3考点:实数的混合运算19. (1)1;(2)-3【解析】试题分析:先把二次根式化简后,再进行加减乘除运算,即可得出答案试题解析:(1W"5 / 12= (3:.f x - 2 "∙∕x)3 J X1^β.考点:二次根式的混合运算【解析】试题解析:1皿—2上+√4^ ∣÷2√3 =(6√3-ZV 3+4√5)÷2√3 =空√34∙275 \3)3 3 考点:二次根式运算.21. 0.【解析】试题分析:根据二次根式运算法则计算即可 •试题解析:12 、2 产6 ∙ I 3 =2.6-3 . 6 - 1 ,6 =0.J 2 ∖*2 J 2 2考点:二次根式计算.22. (1) 2 6 ; (2) 10.【解析】试题分析:(1)把括号内的项进行组合,利用平方差公式进行计算即可得到答案;(2)把二次根式化简后,合并同类二次根式,再进行计算即可求出答案.试题解析:(1) (^-^ -2). 2)t5 -(、3 - ⑵][、、5 ( .3 -、2)]=5 -(、一3 7'2)2=5-5 2.6= 2,6(2) 2 5(4.20 -3、45 2,5)=2 .5(8 .5 -9.5 2.5)=2 5 .5 =10考点:二次根式的混合运算20. 143试题分析:先将二次根式化成最简二次根式 再算括号里面的,最后算除法.23. (1) 6廖—2^+18—4√2; (2) 33. 3【解析】试题分析:(1)根据二次根式化简计算即可(2)应用平方差公式化简即可 .4 12 324 _2、72 =6.6 _16、3 18_4. 2 3 3 3 — — _ _ 2 2 (2) 35 -2.3 3 5 2 3 =3 .5? -[2.345 —12 =33. 考点:二次根式化简24. ( 1) ; ( 2) ~6州5 .2 【解析】试题分析:(1)先去分母,再把各二次根式化为最简二次根式,进行计算;(2)直接利用分配律去括号,再根据二次根式乘法法则计算即可.(2)原式=、.6、、3-2.153-3、,2 =3、2-6 5-3,2 =-6 5 .考点:二次根式的混合运算; 25. 24-4 .2 .【解析】试题分析:二次根式的加减,首先要把各项化为最简二次根式,是同类二次根式的才能合并,不是同类二次根式的不合并;二次根式的乘除法公式..m 、. n= . mn m _0,n _0 ,左到右是计算,从右到左是二次根式的化简,并且二次根式的计算要对结果有要求,能开方的要开方,根式中不 含分母,分母中不含根式.试题解析:解:原式=18-1 + 3 — 4 . 2 +4=24-4 . 2 .考点:二次根式的计算. 26. 6-6. 2 .【解析】试题分析:根据二次根式的混合运算顺序和运算法则计算即可. 试题解析:(〉27- .24+ 3 :)?' 12=(G- 2^6+、6)?2 .3=(.3-、6)?2 .3=6-考点:二次根式的混合运算.27. (1) (2) 4.10试题解析: (1) 22 ,12试题解析:(1)原式="2 土2 242 9 -_2 -.m=.m 需要说明的是公式从【解析】试题分析:掌握二次根式的运算性质是解题的关键.一般地,二次根式的乘法:ja∙jb = jab( aκθ, b^O);二次根式的二次根式进行合并•计算时,先算乘除法,能化简的根式要先进行化简再计算,最后计算加减法,即合并同类项即可•试题解析:解:(1)原式=4Λ∕3×:竺X」=4 5J2=4 3 仝24 1010(2)原式=3 -2-5 • 8 =4考点:1、二次根式的化简;2、实数的运算.28. ~2 3 .【解析】试题分析:本题涉及零指数幕、二次根式的化简、分母有理化、绝对值化简个考点分别进行计算,然后根据实数的运算法则求得计算结果.试题解析:原式=1 -3、.2-2.3考点:1.实数的运算;2.零指数幕;3.分母有理化.29. 2 2 .5 .【解析】试题分析:根据运算顺序化各根式为最简二次根式后合并即可试题解析:原式=5 5 + 1 2.5 - . 5 445亠5 =、5+ 5 -1 9 = 2 .5 -1 3=2 2.5.5 2 4 5考点:二次根式运算•30. 2.【解析】试题分析:针对有理数的乘方,二次根式化简,零指数幕,负整数指数幕4个考点分别进行计算,然后根据实数的运算法则求得计算结果•试题解析:原式=1+^.2 ∙1-3-.2+∙.2 =2.考点:1.实数的运算;2.有理数的乘方;3.二次根式化简;4.零指数幕;5.负整数指数幕.31. 2,2-2 3.【解析】的除法: Aa( a-0, b AO);二次根式的加减时,先将二次根式化为最简二次根式,再将被开方数相同4个考点.在计算时,需要针对每7 / 12试题分析 次根式的乘法法则:...a ::話b = ab(a _ 0,b _ 0), 次根式除法法则b= a (^0,b 0),二次根式的乘除计算完后要化为最简二次根式,然后进行加减运算,二次根式 ∖ b加减的实质是合并同类二次根式 •试题解析: 6 ∙,2 • 24“、..3- ... 48 =2∙..3 2 2-4^^2-^3.考点:二次根式的混合运算•32. (1) 0; (2) 4 3 •【解析】试题分析:(1)原式=1 -5 • 2 • 3-1 =0 ;(2)原式=6^- ,3 2\3-3、.3=4打. 考点: 1.实数的运算;2.二次根式的加减法.33.( 1) 【解析】试题分析: 1;( 2) 7-2、、6.(1)解:原式=5- 7+3=1;(2)解:原式=14-4、6 2、、6-(27 -20) = 7-2\6 .考点:二次根式的混合运算.■■— 1 34•①、4.2 :②、—a 3【解析】试题分析:根据二次根式的混合运算的法则结合二次根式的性质依次计算即可试题解析:①、\32 -2、1 • .、0.5 =4、2 ∙2 ^2 =4、, 2 ;⅛ 2 2考点:实数的运算35. (1) -3(2 ; (2) ^√3 ; (3) 6; (4) -69 【解析】试题分析:本题主要考查根式的根式的混合运算和 转化为整式,再按运算法则计算。
二次根式混合计算(2 ”「2 .计算:(1、2)(1 _ • 2) • 50 _2、32 、12 • 3 •丄18 _、2 '. 42 T ■-A4. 计算:(2— 3)(2+ 3)+ —f —'—扌5 .计算(兀一3) — (V 2 +1)(2—1) + J 12 +— 21 +J2014) ( ------- -;= + --- +— --------- +…+ ---- ) 1 +V2 (2+J3 J 3+J4 &2013 + J20142 x ( . 2 + 1 ) — "8 一「8 迈 V 2 舟、2 迈-3|+711.计算:12、计算,(-2)2 - .2( .2 -2)6 J36、计算: 9( — 2 ;)「1f (22-39 •计算:6 2 、24“ 3 - 48. 10.计算: (1) 1 . 32+1 .8 -丄.50; 3 2 5 (2)(5-2 6) x ( 2 - 3); (3)(1+ ,2+ .3)(1- ,2 - .. 3); (4)(12-4」(2 13、计算: (1) , 8 3 1 1 、、3 (2) ^.7 .5 .3)^.7 - .5-^3) 1 3 0.125 3 1 - 63 4 ■ 64 _ 2+73 _ 215、已知 X = 2 - 3 ' 丫 = 2 3,求值:2x 2 - 3xy 2y 2 . (3J6 — 4V2fe<6 + 442}⑵(运)2 +(兀十73)0 — V 27 + V 3—2 14、 1) 16、计算:⑴V20+V5 17、计算(° - x =(2)(6 -3 :-.1 / 12 1 .计算题(1)-■ 1「辽心一、: 3 .摇5-岳弋 ff _______________________ A ( _____________________ ________________•.一 27*48+ 「12+ 75 27 •计算(8 •计算:(1)(1) C-24 - 2好cxl —铝+号(寸二 (^cxl —^e )(^cxl +^e )—「中哼+」黑—^0) 卜1^— 8 寸A -I + ^r —^: (8) 罔'>—2_>小尺>+冬衣£产(9) (呀+%K 呀—哆)(2) (0L ) 十 ££>(9L) (号2—号2)(^2+^2)O L ) 凹了「cxl —置(二) (6) CXI 0(L —号)—毎+「(〔r g ——g z (T ) Q) 号号—』I 十号肿(0—^)+〒^巴亍黑")0) 氏/J (年+ICXI E )参考答案1. ( 1)- _; (2)厶- •10【解析】试题分析:(1)先把各个二次根式进行化简,再合并同类二次根式即可;(2)根据二次根式的乘除混合运算法则计算.解:(1 )::;;;—: :. =3 二-2 匚+ 匚-3 耳-匚;(2)—「「_=4 X :=-:.2. -3.2【解析】试题分析:先将所给的各式化简成整数或最简二次根式,然后合并同类二次根式即可.试题解析:原式=^2 5 2 -8 2_3 _2-3 2考点:二次根式的计算.【答案】-7.、.6.6【解析】试题解析:解:、2;•24 - ..96「1=3左2®4、6 T2.6-4.6=I6必66点评:本题主要考查了二次根式的加减运算.首先把二次根式化为最简二次根式,然后再合并同类二次根式4. 0【解析】试题分析:根据实数的运算法则进行计算即可救出答案试题解析:(2 - 3)(^ 3) (-1)201°( 2 -二)-(丄)‘=4 —3 * -2=0考点:实数的混合运算•5. (1) 2+ .3 ;(2) 5 3 .【解析】试题分析:(1)先计算零次幕、二次根式化简、去绝对值符号、把括号展开,然后进行合并即可求解.(2)把二次根式化成最简二次根式后,合并同类二次根式即可.1 / 12(1)原式=1-1+2、、3+2- \3=2+、3 ;1 _ _⑵原式=3,3-4,3 2、、3 5.3= 5.3 .考点:实数的混合运算; 2•二次根式的混合运算.6. 4 .6【解析】试题分析:先进行二次根式的化简,财进行乘除运算,最后合并同类二次根式即可求出答案=9 2 1 -3 2 -8 4、、6 -3=46考点:实数的混合运算•7. 2013.【解析】试题分析:根据分母有理化的计算,把括号内各项分母有理化,计算后再利用平方差公式进行计算即可得解.111 1试题解析:(1 .2014)( 一1 +——1 +——1 +…+ ----------- 1)1 +V2 <2 +V3 丁 3+J4 12013+12014=(1 .2014) ( .2-1+ W+.4- J3+…+ , 2014 -「2013)=(1 2014) ( 一 241 - )=2014-1=2013.考点:分母有理化.8. 2【解析】=2 + 1 —、、9 + ,4 = 3 — 3+ 2= 211匚9. 1+ 24 【解析】3 2解:原式=4— (3 — 2 2 ) + 一4试题解析:原式 =9 1,2 2 1 3.2 2.22~ 2 2 -(2、、2)2 4. 6 -3解:原式= (2)2+ 1 -2 =4 —3 + 2.2 + 鼻2 = 1 + 11 •- 24 44 L L L L 4 J 6 10 - (1) 2 ; (2) 11 ■•: 2 -9 3 ; ( 3) -4-2 ,/6 ; (4) 8 3 3【解析】(1)利用 一 a 2=a(a > 0) , . ab a , b (a > 0,b > 0)化简;(2) 可以利用多项式乘法法则,结合上题提示计算;(3) 利用平方差公式;(4) 利用多项式乘法公式化简•11. (1) . 6-^^ ; (2) 3 2 . 4 10【解析】试题分析:(1 )先把二次根式化成最简二次根式之后,再合并同类二次根式即可求出答案;(2 )先把二次根式化成最简二次根式之后,再进行二次根式的乘除法运算=2&子-手乜;3 1 (2)原式=4,3 - 4 5/2考点:二次根式的化简与计算12. 32.【解析】试题分析:先进行二次根式的化简,再合并同类二次根式即可求出答案_____ _ _ 6试题解析:....(-2)2 - \2(、. 2 -2厂\3=2-2+2、、2+ 2=3 2考点:二次根式的化简求值.13. (1) 323 3 ; (2) -1-2J5.【解析】试题解析: (1)原式=(2 ,6=32 103 / 12试题分析:(1)把二次根式进行化简后,再合并同类二次即可得出答案;(2)先利用平方差公式展开后,再利用完全平方公式计算即可 .试题解析: 3、2 3「3 = ------ + -------3、2 3.3_ •— ? 2(2)(万馬、.3)(万-.弓-、、3)=7 -( .5 、、3)2=7 -8 -2、15-2.15.考点:二次根式的化简14. (1) 1 /、 11(2) - 4【解析】解: (1)封—27+J(—3)2 -幼—1=-3 + 3-(-1 = 1.15. 385【解析】解:因为 2x 2 -3xy 2y 2 = 2x 2 - 4xy 2y 2 xy = 2(x - y)2 xy所以 2x 2 -3xy 2y 2 =2 (8 .3)2 1 =385 .【解析】试题分析:先化成最简二次根式 ,再进行计算.试题解析:&24 -£)一2(] •「6)16.(2)3 一27 - 0 -、 63—3 — 0丄0.5丄」64 2 44 _ _ 2 + v'3 2 _ 爲 ________________ 2 - 3 2 3 (2 亠)(2 -,3 ) 2 3 2 - 3xy =\ )( )=1 2 - J3 2 + 73 ,(2 * 3)2 (2 - 3)2- =8 "J 3 (2 * ,3)( 2 -、3)' (1) 、8 3=(2 6 -=2、6寻訂6考点:二次根式化简.17. .【解析】试题分析:先化成最简二次根式,再进行计算.试题解析: (屈书_2毎価=2艮乎一乎一2屁J .考点:二次根式化简.18. (1)22; (2) 6-4、.3【解析】试题分析:(1)根据平方差公式,把括号展开进行计算即可求出答案(2)分别根据平方、非零数的零次幕、二次根式、绝对值的意义进行计算即可得出答案试题解析:⑴ 3.. 6 -4、. 2 3・、6 4. 2=(3飞)2 -(4、.2)2=54 —32=22.(2)(两2+(兀+何_松+応_2= 3 1 -3 3 2 -、3=6-4、3考点:实数的混合运算19. (1) 1; (2)-3【解析】试题分析:先把二次根式化简后,再进行加减乘除运算,即可得出答案试题解析:5 / 12= (3:.fx - 2』x ) 31_3.考点:二次根式的混合运算【解析】试题解析:1*2—2上+74^ 卜2巧=(673-?73+475)斗273 =空73斗273 \3 )33 考点:二次根式运算.21 . 0.【解析】试题分析:根据二次根式运算法则计算即可 •试题解析:12 、2 产6 • I 3 =2.6-3 . 6 - 1 ,6 =0. I 2 I 2 2考点:二次根式计算.22. (1) 2 6 ; (2) 10.【解析】试题分析:(1)把括号内的项进行组合,利用平方差公式进行计算即可得到答案;(2)把二次根式化简后,合并同类二次根式,再进行计算即可求出答案.试题解析:(1) (•. 5 - 3 •、一 2)( •. 5」3 - 2)t5 -(、3 - ⑵][、、5 ( .3 -、2)]=5 -(、一3 7'2)2=5-5 2.6= 2,6(2) 2 5(4.20 -3、45 2,5)=2 .5(8 .5 -9.5 2.5)=2 5 .5 =10考点:二次根式的混合运算20. 143试题分析:先将二次根式化成最简二次根式 再算括号里面的,最后算除法.23. (1) 6廖—2^+18—4运;(2) 33. 3【解析】试题分析:(1)根据二次根式化简计算即可(2)应用平方差公式化简即可 .4 12 324 _2、72 =6.6 _16、3 18_4. 2 3 3 3 — — _ _ 2 2 (2) 35 -2.3 3 5 2 3 =3 .5? -[2.345 —12 =33. 考点:二次根式化简24. ( 1) ; ( 2) -6舛5 .2 【解析】试题分析:(1 )先去分母,再把各二次根式化为最简二次根式,进行计算;(2 )直接利用分配律去括号,再根据二次根式乘法法则计算即可.(2)原式=、.6、、3-2.15 3-3、, 2 =3、2-6 5-3,2 =-6 5 .考点:二次根式的混合运算; 25. 24-4 .2 .【解析】试题分析:二次根式的加减,首先要把各项化为最简二次根式,是同类二次根式的才能合并,不是同类二次根式 的不合并;二次根式的乘除法公式..m 、. n= . mn m _0,n _0 ,左到右是计算,从右到左是二次根式的化简,并且二次根式的计算要对结果有要求,能开方的要开方,根式中不 含分母,分母中不含根式.试题解析:解:原式=18-1 + 3 — 4 . 2 +4=24-4 . 2 .考点:二次根式的计算. 26. 6-6. 2 .【解析】试题分析:根据二次根式的混合运算顺序和运算法则计算即可. 试题解析:(〉27- .24+ 3 :)?' 12=(G- 2^6+、6)?2 .3=(.3-、6)?2 .3=6-考点:二次根式的混合运算.27. (1) (2) 4.10试题解析: (1) 22 ,12试题解析:(1)原式="2 土2 2429 -_2 -.m=.m 需要说明的是公式从7 / 12【解析】试题分析:掌握二次根式的运算性质是解题的关键 .一般地,二次根式的乘法: ja.jb = jab ( a^O, b^O );二次根式 的二次根式进行合并•计算时,先算乘除法,能化简的根式要先进行化简再计算,最后计算加减法,即合并同类 项即可•试题解析: 解:(1)原式=4弋3汇空X 丄=4 5J2=4 3 仝 2 4 1010(2)原式=3 -2-5 • 8 =4考点:1、二次根式的化简;2、实数的运算.28. -2 ■. 3 .【解析】试题分析: 本题涉及零指数幕、二次根式的化简、分母有理化、绝对值化简 个考点分别进行计算,然后根据实数的运算法则求得计算结果.试题解析:原式=1-3.3 .2-1 .3- 2= -2.3考点:1.实数的运算;2.零指数幕;3.分母有理化. 29. 2 2 5 .【解析】试题分析:根据运算顺序化各根式为最简二次根式后合并即可 试题解析:原式=5 5 + - 2.5 - . 5 4 45亠5 =、5+ 5 -1 9 = 2 .5 -1 3=2 2.5.5 2 4 5 考点:二次根式运算•30. 2.【解析】试题分析:针对有理数的乘方,二次根式化简,零指数幕,负整数指数幕4个考点分别进行计算,然后根据实数的运算法则求得计算结果•试题解析:原式 =1+2,. 2・1-3'.2+・.2 =2.考点:1.实数的运算;2.有理数的乘方;3.二次根式化简;4.零指数幕;5.负整数指数幕. 31. 2,2-2 3.【解析】的除法: ♦ I a- b A0);二次根式的加减时,先将二次根式化为最简二次根式,再将被开方数相同4个考点.在计算时,需要针对每试题分析 次根式的乘法法则:...a ::話b = ab(a _ 0,b _ 0), 次根式除法法则b= a (^0,b 0),二次根式的乘除计算完后要化为最简二次根式,然后进行加减运算,二次根式\ b加减的实质是合并同类二次根式 •试题解析: 6 ・,2 • 24“、..3- ... 48 =2、.3 2 2-4 ^^2-^3.考点:二次根式的混合运算•32. (1) 0; (2) 4 3 •【解析】试题分析:(1)原式=1 -5 • 2 • 3-1 =0 ;(2)原式=6_3-,3 2\3-3、.3=4打. 考点: 1.实数的运算;2.二次根式的加减法.33.( 1) 【解析】试题分析: 1;( 2) 7-2、、6.(1 )解:原式=5- 7+3=1;(2)解:原式=14-4、6 2、、6 -(27 -20) = 7-2\6 .考点:二次根式的混合运算.■■― 1 34•①、4.2 :②、—a 3【解析】试题分析:根据二次根式的混合运算的法则结合二次根式的性质依次计算即可试题解析:①、\32 -2、1 • .、0.5 =4、、2「2 ^2 =4、, 2 ;\8 2 2考点:实数的运算35. (1) -3(2 ; (2) ^73 ; ( 3) 6; (4)七 9【解析】试题分析:本题主要考查根式的根式的混合运算和 转化为整式,再按运算法则计算。
专题1.4 二次根式的混合运算专项训练(30道)【浙教版】1.(2021秋•市北区期末)计算: (1)2√20+√5√5; (2)(3+√2)(3−√2)+3√16.2.(2021秋•青岛期末)计算题(1)(3+√5)2﹣(2﹣3√5)(2+3√5); (2)(√12−2√13+√48)÷(2√3).3.(2021秋•兴庆区校级期末)计算: (1)√75−√3√3−√15×√20; (2)(√2+1)2−(√3+1)(√3−1).4.计算:(1)3√3−√8+√2−√27; (2)√5(√5−2√2)﹣(√5−√2)2.5.(2021秋•龙华区期末)计算题 (1)√3×√6√2+√−83; (2)(3+√2)(3−√2)√12+√27√3.6.(2021秋•深圳期末)计算:(1)2√12+3√113−√2×√6; (2)√48÷√3+|1−√3|√8−√6√2.(1)√23−√32+√2×√3;(2)(√18−√10)÷√2+(1+√5)2.8.(2021秋•罗湖区期末)计算:(1)2√18−√32+√2;(2)(√12−√24)÷√6−2√1 2.9.(2021秋•肃州区期末)计算(1)(2√3−1)2+(√3+2)(√3−2)(2)(√6−2√15)×√3−6√1 2.10.(2021春•花山区校级月考)计算:(1)√24÷√3−√0.5−√18×√6;(2)(2√3+√2)(√3−√2)+(√6+1)2−|√3−2|.11.(2021春•霍林郭勒市校级月考)计算:(1)√2×(√32−2√18+3√10);(2)√48÷√3−2√15×√10+√8.12.(2021秋•六盘水期中)计算:(1)√48÷√3+√12×√12−√24.(2)(√3−2√12−√6)×2√3+5√2.(1)9√3+7√12−5√48+3√13; (2)6√48÷√27+(1−√2)2−√2×√18.14.(2021秋•凌海市期中)计算:(1)2√12÷(2√48+4√34−3√27);(2)(√2+1)(1−√2)+(√3+2)0+|2√3−4|﹣(√3−1)2.15.(2021秋•山亭区期中)计算: (1)√75−√3√3−√15×√20; (2)√18−(√2+1)2+(√3+1)(√3−1).16.(2021秋•雨城区校级期中)计算题(1)|2−√3|+(π−1)0+√122−(12)−1; (2)(√8+√3)×√6−√10−√15√5.17.(2021秋•东港市期中)计算:(1)(√2−√3)2+√48÷√2; (2)(√10−√11)2022×(√10+√11)2021.18.(2021秋•运城期中)(1)计算:(√5−√3)(√5+√3)+1; (2)计算:√125+9√227−12√24+(√5)2.19.(2021秋•新华区校级期中)计算下列算式:(1)(π﹣3)0+|√3−2|﹣(5−√3)2; (2)√18+10√15−√8+13√45.20.(2021春•忠县期末)计算:(1)−√12÷√2−√13×√12+12√24;(2)(√7+√5)(√7−√5)+14(√6+√2)2√3+1√3−1.21.(2021秋•广陵区校级期中)计算(1)(√96−4√18)﹣(6√16−4√0.5); (2)2√2+|2√2−3|﹣(13)﹣1﹣(2015+√2)0;22.(2021秋•陈仓区期中)计算:(1)2√12−√6×√3+√12÷√3; (2)√18−3√13−2√8+√27.23.(2021秋•龙岗区校级期中)计算: (1)√248√8(6√23−2√0.5); (2)(−2)3×√42+√(−4)33×(12)2−√(−3)2.24.(2021秋•本溪期中)计算:(1)(√6−√32)×√2+(√3−3)2÷√3; (2)(3√18+16√72−8√18)÷4√2.25.(2021秋•和平区校级期中)计算:(1)√48−√54÷2+(3−√3)(1+√3)−2×(√3−1)0.(2)(2√2+3)2021×(2√2−3)2020−4√18−√(1−√2)2.26.(2021秋•宝山区校级期中)计算:(1)(√27−6√131√2−√3)÷√22−√12÷(√2+√3);(2)(√ab−aba+√ab)÷√ab−aa−b.27.(2021春•鼓楼区校级月考)计算:(1)√6ab÷2√3a(a>0,b>0);(2)2b √ab5⋅(−32√a3b)÷3√ab(a>0,b>0).28.(2021秋•徐汇区校级月考)计算:(1)√54−√0.5+√18−√24;(2)3√3m2−3n22a2÷32√m+na2⋅√1m−n.29.(2021春•泰山区期末)计算.(1)√8a−2√3a2b+43√18a−b√27a2b;(2)(√5+√2)2﹣(√5+√3)(√5−√3)−√72÷√6.30.(2021秋•涪城区校级月考)计算: (1)(2m 2n ﹣2)2•3m ﹣3n 3;(2)6a 2(13ab ﹣b 2)﹣2a 2b (a ﹣b );(3)(√6−2√15)×√3−6√12+2√12;(4)2a √3ab 2−(b√27a 36−3ab √13a )(a >0,b >0).。
填空题1. 使式子x 4 有意义的条件是。
【答案】x≥4【分析】二次根号内的数必须大于等于零,所以x-4≥ 0,解得x≥ 4 2. 当__________时,x 2 1 2 x 有意义。
【答案】 -2≤x≤12【分析】 x+2≥ 0, 1-2x≥ 0 解得 x≥- 2, x≤1123. 若m有意义,则 m 的取值范围是。
m 1【答案】 m≤0且m≠﹣1【分析】﹣ m≥0 解得 m≤ 0,因为分母不能为零,所以m+1≠ 0 解得 m≠﹣ 14.当 x __________ 时, 1 x 2 是二次根式。
【答案】 x 为任意实数【分析】﹙1- x﹚2是恒大于等于0 的,不论 x 的取值,都恒大于等于0,所以 x 为任意实数5.在实数范围内分解因式: x49 __________, x2 2 2x 2__________ 。
【答案】﹙x 2+ 3﹚﹙ x+3﹚﹙ x-3﹚,﹙ x- 2 ﹚2【分析】运用两次平方差公式:x 4- 9=﹙ x 2+ 3﹚﹙ x 2-3﹚=﹙ x 2+ 3﹚﹙ x+ 3 ﹚﹙x - 3 ﹚,运用完全平方差公式:x 2- 2 2 x+ 2=﹙ x- 2 ﹚26.若 4 x22x ,则 x 的取值范围是。
【答案】 x≥0【分析】二次根式开根号以后得到的数是正数,所以2x≥ 0,解得 x≥07.已知x22 x ,则x的取值范围是。
2【答案】 x≤2【分析】二次根式开根号以后得到的数是正数,所以2- x≥0,解得 x≤ 2 8.化简: x2 2 x 1 x p 1的结果是。
【答案】 1-x【分析】x2 2 x 1 =(x1)22,因为 x 1 ≥0,x<1所以结果为1-x9.当1x p5时,x2x 5 _____________ 。
1【答案】 4【分析】因为 x≥1 所以x 1 2= x 1,因为x<5所以x-5的绝对值为5-x,x- 1+5- x= 410.把 a1的根号外的因式移到根号内等于。
二次根式混合计算1.计算题(1)(2).2.计算:218(12)(12)5023212322-+.3.619624322+-+127-48+12+7524.计算:(23)(23)+()20101-()02π--121-⎪⎭⎫ ⎝⎛5.计算(π-3)0-)12)(12(-++2312-+6、计算:)13(9-0+)322(2818)212(2----+ 27.计算(20141+)(211++321++431++…+201420131+)8×) 212-⎛⎫ ⎪⎝⎭--3|.9.计算:4832426-÷+⨯.10.计算:(1)3132+218-5150; (2)(5-26)×(2-3);(3)(1+2+3)(1-2-3); (4)(12-481)(231-45.0).11.计算:(1)-(2)12、计算36)22(2)2(2+---(1)327-+2)3(--31-13、计算: (1(2)14、33364631125.041027-++--- .11(24)2(6)28--+15、已知,3232,3232+-=-+=y x 求值:22232y xy x +-.16、计算:⑴ ()()24632463+- ⑵ 20(3)(3)2732π++-+-17、计算(1)﹣× (2)(6﹣2x )÷3.20.计算:1312248233⎛÷ ⎝3631222⎝21.计算22.(1))235)(235(-++- (2))52453204(52+-22.计算:(1)(222122763 (2)(35233523-23.化简:(1)83250+ (2)2163)1526(-⨯- (3)(2)23()123)(123-+-+; (4) 12272431233()?-+24.计算(1)2543122÷⨯(2)(3)231|21|27)3(0++-+-- (4)11545+204555245(5)()()2012011+8π236+22--⨯-() (6)4832426-÷+⨯(7)20121031(1)5()27(21)2----++ (8)113123482732(92225(7)(3)- (10)21(232)8(3325)(335)3(11)5.081232+-; (12)32212332a a a ⨯÷ (13))2332)(2332(-+ (14)18282-+(15)3127112-+(16)0)31(33122-++参考答案1.(1)﹣;(2).【解析】试题分析:(1)先把各个二次根式进行化简,再合并同类二次根式即可;(2)根据二次根式的乘除混合运算法则计算.解:(1)=3﹣2+﹣3=﹣;(2)=4××=. 2.32-【解析】试题分析:先将所给的各式化简成整数或最简二次根式,然后合并同类二次根式即可. 试题解析:原式125282632=-+--32=-考点:二次根式的计算. 【答案】766 【解析】 试题解析:解:619624322+-+ 26626463 =(266264636+⎭ 56266=766 考点:二次根式的加减点评:本题主要考查了二次根式的加减运算.首先把二次根式化为最简二次根式,然后再合并同类二次根式. 4.0【解析】试题分析:根据实数的运算法则进行计算即可救出答案. 试题解析:12010)21()2()1()32)(32(----++-οπ =234-⨯+-=0考点:实数的混合运算.5.;(2) .【解析】试题分析:(1)先计算零次幂、二次根式化简、去绝对值符号、把括号展开,然后进行合并即可求解.(2)把二次根式化成最简二次根式后,合并同类二次根式即可.(1)原式(2)原式=12⨯=.考点:实数的混合运算;2.二次根式的混合运算.6.【解析】试题分析:先进行二次根式的化简,财进行乘除运算,最后合并同类二次根式即可求出答案.试题解析:原式=2913⨯++-+9213283=++-+-+=考点: 实数的混合运算.7.2013.【解析】试题分析:根据分母有理化的计算,把括号内各项分母有理化,计算后再利用平方差公式进行计算即可得解.试题解析:(1+(211++321++431++…+201420131+)=(1++…=(1+1)=2014-1=2013.考点: 分母有理化.8.2【解析】解:原式=)2+1-=2+1=3-3+2=29.1+114【解析】解:原式=4-(3-)+4=4-3+=1+11410.(1)342;(2)112-93;(3)-4-26;(4)8-364. 【解析】(1)利用2a =a(a ≥0),ab =a b (a ≥0,b ≥0)化简;(2)可以利用多项式乘法法则,结合上题提示计算;(3)利用平方差公式;(4)利用多项式乘法公式化简.11.(14(2. 【解析】试题分析:(1)先把二次根式化成最简二次根式之后,再合并同类二次根式即可求出答案;(2)先把二次根式化成最简二次根式之后,再进行二次根式的乘除法运算.试题解析:(1)(24-+原式24=---4=;(2)原式=310⨯考点: 二次根式的化简与计算.12.【解析】试题分析:先进行二次根式的化简,再合并同类二次根式即可求出答案.试题解析: 36)22(2)2(2+---=考点: 二次根式的化简求值.13.(1;(2)1--. 【解析】试题分析:(1)把二次根式进行化简后,再合并同类二次即可得出答案;(2)先利用平方差公式展开后,再利用完全平方公式计算即可.试题解析:(122=+22=+=;(2)27=-78=--1=--考点: 二次根式的化简.14.(1)1 (2)114- 【解析】解: (1)327-+2)3(--31-=.11--33-=+)( (2)33364631125.041027-++---=1111300.5.244---++=- 15.385 【解析】解:因为 xy y x xy y xy x y xy x +-=++-=+-22222)(2242232,38)32)(32()32()32)(32()32(3232323222=-+---++=+---+=-y x , 1)3232)(3232(=+--+=xy , 所以3851)38(2232222=+⨯=+-y xy x .16..【解析】试题分析:先化成最简二次根式,再进行计算.试题解析:-224-⨯22--=考点:二次根式化简.17..【解析】试题分析:先化成最简二次根式,再进行计算.试题解析:---=. 考点:二次根式化简.18.(1)22; (2) 6-【解析】试题分析:(1)根据平方差公式,把括号展开进行计算即可求出答案.(2)分别根据平方、非零数的零次幂、二次根式、绝对值的意义进行计算即可得出答案. 试题解析:(1) ()()24632463+-22=-=54-32 =22.(2)20(2π+312=+--6=-考点: 实数的混合运算.19.(1)1;(2)1 3【解析】试题分析:先把二次根式化简后,再进行加减乘除运算,即可得出答案.试题解析:3=-⨯32=-1=;(2)2÷=÷=÷=13=.考点: 二次根式的混合运算.20.143.【解析】试题分析:先将二次根式化成最简二次根式,再算括号里面的,最后算除法.试题解析:⎛÷⎝÷=143=.考点:二次根式运算.21.0.【解析】试题分析:根据二次根式运算法则计算即可.=⎝.考点:二次根式计算.22.(1)(2)10.【解析】试题分析:(1)把括号内的项进行组合,利用平方差公式进行计算即可得到答案;(2)把二次根式化简后,合并同类二次根式,再进行计算即可求出答案.试题解析:(1))235)(235(-++-25=-55=-+=(2))52453204(52+-=10==考点: 二次根式的混合运算.23.(1)18-(2)33. 【解析】试题分析:(1)根据二次根式化简计算即可;(2)应用平方差公式化简即可.试题解析:(1)(18==-.(2)(((22451233=-=-=. 考点:二次根式化简.24.(1)92;(2)-. 【解析】试题分析:(1)先去分母,再把各二次根式化为最简二次根式,进行计算;(2)直接利用分配律去括号,再根据二次根式乘法法则计算即可.试题解析:(1)原式92=;(2)原式==-考点:二次根式的混合运算;25..【解析】试题分析:二次根式的加减,首先要把各项化为最简二次根式,是同类二次根式的才能合并,不是同类二次根式)0,0m n≥≥)0,0m n≥>,需要说明的是公式从左到右是计算,从右到左是二次根式的化简,并且二次根式的计算要对结果有要求,能开方的要开方,根式中不含分母,分母中不含根式.试题解析:解: 原式=18-1+3-.考点:二次根式的计算.26.6-【解析】试题分析:根据二次根式的混合运算顺序和运算法则计算即可.试题解析:6=?=?=-考点:二次根式的混合运算.27.(1)2103.(2)4.【解析】试题分析:掌握二次根式的运算性质是解题的关键.一般地,二次根式的乘法:abba=•),(00≥≥ba;二次根式的除法:baba=),(00φba≥;二次根式的加减时,先将二次根式化为最简二次根式,再将被开方数相同的二次根式进行合并.计算时,先算乘除法,能化简的根式要先进行化简再计算,最后计算加减法,即合并同类项即可.试题解析:解:(1)原式=2514334⨯⨯1024334⨯⨯==2103(2)原式8523+--=4=考点:1、二次根式的化简;2、实数的运算.28.-【解析】试题分析: 本题涉及零指数幂、二次根式的化简、分母有理化、绝对值化简4个考点.在计算时,需要针对每个考点分别进行计算,然后根据实数的运算法则求得计算结果.试题解析:原式=11-+=-考点:1.实数的运算;2.零指数幂;3.分母有理化.29.2+.【解析】试题分析:根据运算顺序化各根式为最简二次根式后合并即可.试题解析:原式1511322=⋅==+=+. 考点:二次根式运算.30.2.【解析】试题分析:针对有理数的乘方,二次根式化简,零指数幂,负整数指数幂4个考点分别进行计算,然后根据实数的运算法则求得计算结果.试题解析:原式12=-.考点:1.实数的运算;2.有理数的乘方;3.二次根式化简;4.零指数幂;5.负整数指数幂.31.32-22.【解析】试题分析:二次根式的乘法法则:)0,0(≥≥=⨯b a ab b a ,二次根式除法法则:)0,0(φb a ba b a ≥=÷,二次根式的乘除计算完后要化为最简二次根式,然后进行加减运算,二次根式加减的实质是合并同类二次根式. 试题解析:32-2234-223248-32426=+=÷+⨯.考点:二次根式的混合运算.32.(1)0;(2)【解析】试题分析:(1)原式=152310-++-=;(2)原式==.考点:1.实数的运算;2.二次根式的加减法.33.(1)1;(2)7-【解析】试题分析:(1)解:原式=5-7+3=1;(2)解:原式=14(2720)--=7-考点:二次根式的混合运算.34.①、24;②、a 31【解析】试题分析:根据二次根式的混合运算的法则结合二次根式的性质依次计算即可. 试题解析:①、242222245.081232=+-=+-; ②、=⨯÷32212332a a a a a a a a 3146132232131122=⨯=⨯⨯⨯⨯⨯. 考点:实数的运算35.(1)-(3)6;(4)6- 【解析】试题分析:本题主要考查根式的根式的混合运算和0次幂运算.根据运算法则先算乘除法,是分式应该先将分式转化为整式,再按运算法则计算。
二次根式计算专题1.计算:⑴ ()()24632463+- ⑵ 20(2π+【答案】(1)22; (2) 6-【解析】试题分析:(1)根据平方差公式,把括号展开进行计算即可求出答案.(2)分别根据平方、非零数的零次幂、二次根式、绝对值的意义进行计算即可得出答案. 试题解析:(1) ()()24632463+-22=-=54-32=22.(2)20(2π+312=+-6=-考点: 实数的混合运算.2.计算(1)﹣× (2)(6﹣2x )÷3. 【答案】(1)1;(2)13【解析】试题分析:先把二次根式化简后,再进行加减乘除运算,即可得出答案.试题解析:3=-⨯32=-1=;(2)2÷2()2x=-÷=÷=13=.考点: 二次根式的混合运算.3.计算:⎛÷⎝【答案】143.【解析】试题分析:先将二次根式化成最简二次根式,再算括号里面的,最后算除法.试题解析:⎛÷⎝÷=143=.考点:二次根式运算.4.计算:322663-+-⨯【答案】22.【解析】试题分析:先算乘除、去绝对值符号,再算加减.试题解析:原式=23323-+-=22考点:二次根式运算.5.计算:)23(3182+-⨯【答案】-【解析】试题分析:先将二次根式化成最简二次根式,再化简.6=-考点:二次根式化简.6.计算:2421332--.【答案】22.【解析】试题分析:根据二次根式的运算法则计算即可.22-==.考点:二次根式的计算.7.计算:)13)(13(2612-++÷-.2.【解析】试题分析:先算乘除,再算加减,有括号的先算括号里面的,特别的能利用公式的应用公式简化计算过程.1)=31-2. 考点:二次根式的化简.8⎝ 【答案】0.【解析】试题分析: 根据二次根式运算法则计算即可.0+=⎝. 考点:二次根式计算.9.计算:()0+1π.【答案】1-【解析】试题分析:任何非零数的零次方都为1,负数的绝对值等于它的相反数,再对二次根式进行化简即可.试题解析:()0+1π11=-=-考点:二次根式的化简.10.计算:435.03138+-+ 【答案】323223+. 【解析】试题分析:先化成最简二次根式,再进行运算.试题解析:原式=2322322+-+=323223+. 考点:二次根式的化简.11.计算:(1)(2)()020********π---【答案】(1)1(2)3-【解析】试题分析:(1)根据二次根式的运算法则计算即可;(2)针对有理数的乘方,零指数幂,二次根式化简,.绝对值4个考点分别进行计算,然后根据实数的运算法则求得计算结果.试题解析:(1)(1==+(2)()020141201431133π---=--+=-. 考点:1.实数的运算;2.有理数的乘方;3.零指数幂;4.二次根式化简;5.绝对值.12.计算: 212)31()23)(23(0+---+ 【答案】2.【解析】试题分析:本题主要考查了二次根式的混合运算.熟练化简二次根式后,在加减的过程中,有同类二次根式的要合并;相乘的时候,被开方数简单的直接让被开方数相乘,再化简;较大的也可先化简,再相乘,灵活对待.本题中先根据平方差公式计算乘法以及零指数幂的意义,去掉括号后,计算加减法.试题解析:解:原式=2123+-- =2考点:二次根式的混合运算.130(2013)|-+-.【答案】1.【解析】0(2013)|+-+-1=+1=.考点:二次根式化简.14.计算12)824323(÷+-【答案】23-.【解析】试题分析:先化简二次根式,再合并同类二次根式,最后算除法即可求出答案.试题解析:???=- 考点: 二次根式的混合运算.15-2-. 【解析】试题分析:把二次根式化简,再合并同类二次根式即可求出答案.22=-=- 考点: 二次根式的运算.16.化简:(1)83250+ (2)2163)1526(-⨯-【答案】(1)92;(2)- 【解析】试题分析:(1)先去分母,再把各二次根式化为最简二次根式,进行计算;(2)直接利用分配律去括号,再根据二次根式乘法法则计算即可.试题解析:(1)原式92=;(2)原式==-考点:二次根式的混合运算;17.计算(1)2(2)2【答案】(1)3(2)3.【解析】试题分析:(1)根据运算顺序计算即可;(2)将括号内化为最简二次根式后合并再平方运算即可.试题解析:(1)233=-=.(2)(2223===.考点:二次根式化简.181)(1+- 【答案】17.【解析】,运用平方差公式计算1)(1+,再进行计算求解.181-- =17考点:实数的运算.19.计算:231|21|27)3(0++-+--【答案】-【解析】试题分析: 本题涉及零指数幂、二次根式的化简、分母有理化、绝对值化简4个考点.在计算时,需要针对每个考点分别进行计算,然后根据实数的运算法则求得计算结果.试题解析:原式=11-+=-考点:1.实数的运算;2.零指数幂;3.分母有理化.20.计算:① 01 2⎛⎫+- ⎪⎝⎭ ② ⎛ ⎝ ③⎛- ⎝1;②143;③a 3-. 【解析】试题分析:①针对算术平方根,绝对值,零指数3个考点分别进行计算,然后根据实数的运算法则求得计算结果;②根据二次根式运算法则计算即可;③根据二次根式运算法则计算即可.1112⎛⎫+-= ⎪⎝⎭.②143⎛⎛=÷== ⎝⎝.1a 2a 63⎛---⋅=- ⎝. 考点:1.二次根式计算;2.绝对值;3.0指数幂.21.计算:(1)2012101(1)5()1)2----++(2)【答案】(1)0;(2)【解析】试题分析:(1)原式=152310-++-=;(2)原式==.考点:1.实数的运算;2.二次根式的加减法.22.计算与化简(1(0π (2)2(3(4+-【答案】(1)1;(2)5.【解析】试题分析:(1)将前两项化为最简二次根式,第三项根据0指数幂定义计算,再合并同类二次根式即可;(2)应用完全平方公式和平方差公式展开后合并同类二次根式即可.试题解析:(1(011π+-==.(2)((()2344951675+--=+--=. 考点:1.二次根式化简;2.0指数幂;3.完全平方公式和平方差公式.23.(1)18282-+(2)3127112-+ (3)0)31(33122-++(4))2332)(2332(-+【答案】(1)-(3)6;(4)6- 【解析】试题分析:本题主要考查根式的根式的混合运算和0次幂运算.根据运算法则先算乘除法,是分式应该先将分式转化为整式,再按运算法则计算。
二次根式混合运算125题(有答案)1、2、3、4、5、6、7、.8、9、.10、;12、;13、;14、.15、;16、.17、.18、19、21、22、.23、24、25、26、;.27、;29、;30、31、;(5);32、33、;34、;35、36、3﹣9+337、÷(3×)38、39、40、;.41、42、43、44、46、.47、(﹣)2﹣;48、;49、;50、.51、;52、.53、3﹣﹣+(﹣2)(+2)54、55、56、57、58、59、2÷﹣(2﹣)260、﹣2+(﹣1)261、(+2)﹣.62、64、65、.66、67、.68、69、70、3﹣(﹣)71、72、﹣274、75、76、77、÷78、×+÷﹣79、80、81、﹣.83、84、85、(+1)2﹣286、(+1)(1﹣)﹣(﹣1)2+(+1)287、88、89、90、;91、.92、;93、;;94、95、;96、;97、98、|﹣|+﹣;99、;;100、101、(+)2008(﹣)2009.102、;103、;104、.105、(3+)÷;106、107、;108、;109、.110、﹣1111、(﹣)(+)+2+|﹣3|﹣2﹣1(4)(﹣2)×﹣6 114、115、(2﹣);116、;117、118、.119、.120、121、122、+6a;﹣×.123、124、(2)(7+4)(7﹣4)+(2+)125、参考答案1、原式=2﹣3=﹣;2、原式=×==30;3、原式=2﹣12=﹣10.5、原式===﹣6a.6、原式=;7、原式=()2﹣(﹣1)2=2﹣(3﹣2+1)=8、原式=.9、.原式=(3﹣2+3)×=(+3)×=1+10、原式=﹣+=;11、原式=(4+)÷3=12、原式=2+3﹣=;13、原式==;14、原式=(7+)(7+)=14×2=15、原式==3+6﹣10=﹣1;16、原式=2﹣=﹣2.17、原式=﹣2+=3﹣2+=18、原式=(3﹣2)(3+2)=18﹣12=6;19、原式=(2﹣+)=(+)=+120、原式=﹣3•5÷=﹣15÷=﹣15;21、原式=3+﹣2+﹣3=;22、原式=3a+﹣2b23、原式=3﹣2+1﹣(2﹣3)=5﹣2.24、原式==25、原式=2+1﹣(﹣)=3﹣1=2.26、原式=17﹣(19﹣)=﹣2+;27、原式=2﹣3﹣2=﹣3.28、原式=4+12=;29、原式=+2﹣10=;30、原式=4﹣+=;31、原式=6﹣5=1;33、原式=(2+)×﹣2=3﹣2=1;34、原式=+×6﹣m=2m+3m﹣m=0;35、原式=++1=﹣1++1=36、原式=12=(12﹣3﹣+6)=;37、原式=6÷(×)=6÷6=38、原式=+3﹣2=3+3﹣2=3+.39、原式=++×1=6+1+=7+.40、原式=×3+6×﹣2x•=2+3﹣2=3;41、原式=2﹣+3﹣2=2﹣2+142、原式=(6﹣+﹣2)÷2﹣3=3﹣+﹣﹣3=﹣+﹣;43、原式===444、=(4÷2)=45、原式=2+3﹣7=﹣2;46、原式===14.47、原式=10﹣7+=3+;48、原式=×(2﹣+)=+×=+1;49、原式=﹣1;50、原式=2+3+2﹣(2﹣3)=5+2+1=6+251、原式=4+﹣4=;52、原式=(4﹣2+6)÷=2+253、原式=6﹣3﹣+5﹣4=(6﹣3﹣)+1=+154、原式==;55、原式==.56、原式=[﹣(﹣)][+(﹣)]=5﹣(﹣)2=5﹣(5﹣2)=2.58、原式=+﹣+3=59、原式=2﹣(4﹣4+2)=2﹣6+4=6﹣6.60、原式=×2﹣2×3+5﹣2+1=﹣6﹣2+6=6﹣7.61、原式=a+2=2.62、原式=;63、原式=﹣+=﹣+=0.64、=2+﹣2=.65、=﹣=66、原式=9﹣14+4=﹣;67、原式=﹣43=﹣12=﹣11.68、原式=2×=12;69、原式=×3×=﹣;70、原式=12﹣2+6=16;71、原式=(4﹣2+6)×=2+272、原式=27÷(3×)×﹣8=3×﹣8=﹣8;73、原式=()2﹣()2=3﹣(2+2+5)=﹣4﹣274、原式=3+8=11;75、原式=2﹣12=﹣10;76、原式=5+﹣6=0;77、原式=÷=÷=1.78、原式=﹣==4+=4+.79、原式===;80、原式==9+6=1581、原式=(+)2﹣=3+2+2﹣=5+82、原式==;83、原式=;84、原式=5﹣6=﹣1;85、原式=4+=86、(1+)(1﹣)﹣(﹣1)2+(+1)2=1﹣()2﹣(2﹣2+1)+2+2+1=1﹣2﹣2+2﹣1+2+2+1=4﹣1.87、原式=+4×﹣+1=++1=1+.88、原式=(40)=30=15;92、原式=2+2+4+2=;93、原式=9﹣14+24=;94、原式=(7+4)(7﹣4)+4﹣3=49﹣48+1=2;95、原式=﹣4×+9﹣12﹣()=﹣8+9﹣12﹣+1=﹣11;96、原式=﹣+=2x+=;97、原式=2a(b﹣×+)=2ab﹣+ab=98、原式=﹣+3﹣5=2﹣4;99、原式=12﹣4+1=13﹣4;100、原式=2+﹣=;101、原式=()=102、原式=3×2﹣2×3+5×4=6﹣6+20=20;103、原式=7﹣3+2=6;104、原式=•(﹣)×=﹣=﹣105、原式=3÷+÷=3+=;106、原式=3﹣1﹣=2﹣107、原式=+1﹣×2=2+1﹣2=1;108、原式=3﹣2+1﹣1=3﹣2;109、原式=+4﹣3=110、﹣1=﹣1=﹣1=0;111、()()+2=﹣+2=5﹣7+2=0;112、+|﹣3|﹣2﹣1=1+3﹣=3;113、(﹣2)×﹣6=﹣4﹣=﹣9﹣=﹣114、原式=4﹣5=﹣1;115、原式=×=1;116、原式=5﹣2﹣5+2=;117、原式=4﹣2+﹣1=3﹣118、原式==3﹣2=1.119、原式==120、原式=+1=121、原式=3+6a=2a+3a=5a;124、原式=49﹣48+2+=3+.125、原式===.。
二次根式混合运算125题(有答案)1、2、3、4、5、6、7、.8、10、;11、.12、;13、;14、.15、;16、.17、.18、19、20、;21、22、.23、24、25、26、;.27、28、;;29、;30、31、;(5);32、33、;34、;35、36、3﹣9+337、÷(3×)38、39、40、;.41、42、43、44、45、;46、.47、(﹣)2﹣;48、;49、;50、.51、;52、.53、3﹣﹣+(﹣2)(+2)54、55、56、57、58、59、2÷﹣(2﹣)260、﹣2+(﹣1)261、(+2)﹣.62、63、64、65、.66、67、.68、69、70、3﹣(﹣)71、72、﹣273、74、76、77、÷78、×+÷﹣79、80、81、﹣.82、84、85、(+1)2﹣286、(+1)(1﹣)﹣(﹣1)2+(+1)287、88、89、90、;91、.92、;93、;94、;95、;96、;97、98、|﹣|+﹣;99、;;100、101、(+)2008(﹣)2009.102、;103、;104、.105、(3+)÷;106、107、;108、;109、.110、﹣1111、(﹣)(+)+2+|﹣3|﹣2﹣1(4)(﹣2)×﹣6 114、115、(2﹣);116、117、;118、.119、.120、121、122、+6a;﹣×.123、124、(2)(7+4)(7﹣4)+(2+)125、参考答案1、原式=2﹣3=﹣;2、原式=×==30;3、原式=2﹣12=﹣10.4、原式==2.5、原式===﹣6a.6、原式=;7、原式=()2﹣(﹣1)2=2﹣(3﹣2+1)=8、原式=.9、.原式=(3﹣2+3)×=(+3)×=1+10、原式=﹣+=;11、原式=(4+)÷3=12、原式=2+3﹣=;13、原式==;14、原式=(7+)(7+)=14×2=15、原式==3+6﹣10=﹣1;16、原式=2﹣=﹣2.17、原式=﹣2+=3﹣2+=18、原式=(3﹣2)(3+2)=18﹣12=6;19、原式=(2﹣+)=(+)=+120、原式=﹣3•5÷=﹣15÷=﹣15;21、原式=3+﹣2+﹣3=;22、原式=3a+﹣2b23、原式=3﹣2+1﹣(2﹣3)=5﹣2.25、原式=2+1﹣(﹣)=3﹣1=2.26、原式=17﹣(19﹣)=﹣2+;27、原式=2﹣3﹣2=﹣3.28、原式=4+12=;29、原式=+2﹣10=;30、原式=4﹣+=;31、原式=6﹣5=1;32、原式=12+18﹣12=;33、原式=(2+)×﹣2=3﹣2=1;34、原式=+×6﹣m=2m+3m﹣m=0;35、原式=++1=﹣1++1=36、原式=12=(12﹣3﹣+6)=;37、原式=6÷(×)=6÷6=38、原式=+3﹣2=3+3﹣2=3+.39、原式=++×1=6+1+=7+.40、原式=×3+6×﹣2x•=2+3﹣2=3;41、原式=2﹣+3﹣2=2﹣2+142、原式=(6﹣+﹣2)÷2﹣3=3﹣+﹣﹣3=﹣+﹣;43、原式===444、=(4÷2)=45、原式=2+3﹣7=﹣2;46、原式===14.47、原式=10﹣7+=3+;48、原式=×(2﹣+)=+×=+1;49、原式=﹣1;50、原式=2+3+2﹣(2﹣3)=5+2+1=6+252、原式=(4﹣2+6)÷=2+253、原式=6﹣3﹣+5﹣4=(6﹣3﹣)+1=+154、原式==;55、原式==.56、原式=[﹣(﹣)][+(﹣)]=5﹣(﹣)2=5﹣(5﹣2)=2.57、原式=4×2﹣16+12﹣16﹣8=﹣4﹣16;58、原式=+﹣+3=59、原式=2﹣(4﹣4+2)=2﹣6+4=6﹣6.60、原式=×2﹣2×3+5﹣2+1=﹣6﹣2+6=6﹣7.61、原式=a+2=2.62、原式=;63、原式=﹣+=﹣+=0.64、=2+﹣2=.65、=﹣=66、原式=9﹣14+4=﹣;67、原式=﹣43=﹣12=﹣11.68、原式=2×=12;69、原式=×3×=﹣;70、原式=12﹣2+6=16;71、原式=(4﹣2+6)×=2+272、原式=27÷(3×)×﹣8=3×﹣8=﹣8;73、原式=()2﹣()2=3﹣(2+2+5)=﹣4﹣274、原式=3+8=11;75、原式=2﹣12=﹣10;76、原式=5+﹣6=0;77、原式=÷=÷=1.78、原式=﹣==4+=4+.79、原式===;82、原式==;83、原式=;84、原式=5﹣6=﹣1;85、原式=4+=86、(1+)(1﹣)﹣(﹣1)2+(+1)2=1﹣()2﹣(2﹣2+1)+2+2+1=1﹣2﹣2+2﹣1+2+2+1=4﹣1.87、原式=+4×﹣+1=++1=1+.88、原式=(40)=30=15;89、原式=2+2=2+.90、原式===;91、原式===12.92、原式=2+2+4+2=;93、原式=9﹣14+24=;94、原式=(7+4)(7﹣4)+4﹣3=49﹣48+1=2;95、原式=﹣4×+9﹣12﹣()=﹣8+9﹣12﹣+1=﹣11;96、原式=﹣+=2x+=;97、原式=2a(b﹣×+)=2ab﹣+ab=98、原式=﹣+3﹣5=2﹣4;99、原式=12﹣4+1=13﹣4;100、原式=2+﹣=;101、原式=()=102、原式=3×2﹣2×3+5×4=6﹣6+20=20;103、原式=7﹣3+2=6;104、原式=•(﹣)×=﹣=﹣105、原式=3÷+÷=3+=;106、原式=3﹣1﹣=2﹣107、原式=+1﹣×2=2+1﹣2=1;108、原式=3﹣2+1﹣1=3﹣2;109、原式=+4﹣3=110、﹣1=﹣1=﹣1=0;111、()()+2=﹣+2=5﹣7+2=0;112、+|﹣3|﹣2﹣1=1+3﹣=3;113、(﹣2)×﹣6=﹣4﹣=﹣9﹣=﹣114、原式=4﹣5=﹣1;116、原式=5﹣2﹣5+2=;117、原式=4﹣2+﹣1=3﹣118、原式==3﹣2=1.119、原式==120、原式=+1=121、原式=3+6a=2a+3a=5a;122、原式=﹣=﹣=3﹣2=1.123、原式==12;124、原式=49﹣48+2+=3+.125、原式===.二次根式混合运算----21。
二次根式运算1、2、3、4、5、6、7、.8、9、.10、;11、.12、;13、;14、.15、;16、.17、.18、19、20、;21、22、.23、24、25、26、;27、.28、;29、;30、;31、;32、(5);33、;34、;35、36、3﹣9+337、÷(3×)38、39、41、.42、43、44、45、;46、.47、(﹣)2﹣;48、;49、;50、.52、.53、3﹣﹣+(﹣2)(+2)54、55、56、57、58、59、2÷﹣(2﹣)260、﹣2+(﹣1)261、(+2)﹣.62、63、64、65、.66、67、.68、69、70、3﹣(﹣)71、72、﹣273、74、75、76、77、÷78、×+÷﹣79、80、81、﹣.82、83、84、85、(+1)2﹣286、(+1)(1﹣)﹣(﹣1)2+(+1)287、88、89、 90、;91、.93、;94、; 95、;96、;97、98、|﹣|+﹣;99、;100、;101、(+)2008(﹣)2009.102、;103、; 104、.105、(3+)÷;106、108、;109、.110、﹣1111、(﹣)(+)+2114、+|﹣3|﹣2﹣1(4)(﹣2)×﹣6115、(2﹣);116、117、;118、.119、.120、125、121、122、+6a;﹣×.123、124、(2)(7+4)(7﹣4)+(2+)参考答案1、原式=2﹣3=﹣;2、原式=×==30;3、原式=2﹣12=﹣10.4、原式==2.5、原式===﹣6a.6、原式=;7、原式=()2﹣(﹣1)2=2﹣(3﹣2+1)=8、原式=.9、.原式=(3﹣2+3)×=(+3)×=1+10、原式=﹣+=;11、原式=(4+)÷3=12、原式=2+3﹣=;13、原式==;14、原式=(7+)(7+)=14×2=15、原式==3+6﹣10=﹣1;16、原式=2﹣=﹣2.17、原式=﹣2+=3﹣2+=18、原式=(3﹣2)(3+2)=18﹣12=6;19、原式=(2﹣+)=(+)=+120、原式=﹣3•5÷=﹣15÷=﹣15;21、原式=3+﹣2+﹣3=;22、原式=3a+﹣2b23、原式=3﹣2+1﹣(2﹣3)=5﹣2.24、原式==25、原式=2+1﹣(﹣)=3﹣1=2.26、原式=17﹣(19﹣)=﹣2+;27、原式=2﹣3﹣2=﹣3.28、原式=4+12=;29、原式=+2﹣10=;30、原式=4﹣+=;31、原式=6﹣5=1;32、原式=12+18﹣12=;33、原式=(2+)×﹣2=3﹣2=1;34、原式=+×6﹣m =2m +3m﹣m=0;35、原式=++1=﹣1++1=36、原式=12=(12﹣3﹣+6)=;37、原式=6÷(×)=6÷6=38、原式=+3﹣2=3+3﹣2=3+.39、原式=++×1=6+1+=7+.40、原式=×3+6×﹣2x •=2+3﹣2=3;41、原式=2﹣+3﹣2=2﹣2+142、原式=(6﹣+﹣2)÷2﹣3=3﹣+﹣﹣3=﹣+﹣;43、原式===444、=(4÷2)=45、原式=2+3﹣7=﹣2;46、原式===14.47、原式=10﹣7+=3+;48、原式=×(2﹣+)=+×=+1;49、原式=﹣1;50、原式=2+3+2﹣(2﹣3)=5+2+1=6+251、原式=4+﹣4=;52、原式=(4﹣2+6)÷=2+253、原式=6﹣3﹣+5﹣4=(6﹣3﹣)+1=+154、原式==;55、原式==.56、原式=[﹣(﹣)][+(﹣)]=5﹣(﹣)2=5﹣(5﹣2)=2.57、原式=4×2﹣16+12﹣16﹣8=﹣4﹣16;58、原式=+﹣+3=59、原式=2﹣(4﹣4+2)=2﹣6+4=6﹣6.60、原式=×2﹣2×3+5﹣2+1=﹣6﹣2+6=6﹣7.61、原式=a+2=2.62、原式=;63、原式=﹣+=﹣+=0.64、=2+﹣2=.65、=﹣=66、原式=9﹣14+4=﹣;67、原式=﹣43=﹣12=﹣11.68、原式=2×=12;69、原式=×3×=﹣;70、原式=12﹣2+6=16;71、原式=(4﹣2+6)×=2+272、原式=27÷(3×)×﹣8=3×﹣8=﹣8;73、原式=()2﹣()2=3﹣(2+2+5)=﹣4﹣274、原式=3+8=11;75、原式=2﹣12=﹣10;76、原式=5+﹣6=0;77、原式=÷=÷=1.78、原式=﹣==4+=4+.79、原式===;80、原式==9+6=1581、原式=(+)2﹣=3+2+2﹣=5+82、原式==;83、原式=;84、原式=5﹣6=﹣1;85、原式=4+=86、(1+)(1﹣)﹣(﹣1)2+(+1)2=1﹣()2﹣(2﹣2+1)+2+2+1=1﹣2﹣2+2﹣1+2+2+1=4﹣1.87、原式=+4×﹣+1=++1=1+.88、原式=(40)=30=15;89、原式=2+2=2+.90、原式===;91、原式===12.92、原式=2+2+4+2=;93、原式=9﹣14+24=;94、原式=(7+4)(7﹣4)+4﹣3=49﹣48+1=2;95、原式=﹣4×+9﹣12﹣()=﹣8+9﹣12﹣+1=﹣11;96、原式=﹣+=2x +=;97、原式=2a(b ﹣×+)=2ab ﹣+ab =98、原式=﹣+3﹣5=2﹣4;99、原式=12﹣4+1=13﹣4;100、原式=2+﹣=;101、原式=()=102、原式=3×2﹣2×3+5×4=6﹣6+20=20;103、原式=7﹣3+2=6;104、原式=•(﹣)×=﹣=﹣105、原式=3÷+÷=3+=;106、原式=3﹣1﹣=2﹣107、原式=+1﹣×2=2+1﹣2=1;108、原式=3﹣2+1﹣1=3﹣2;109、原式=+4﹣3=110、﹣1=﹣1=﹣1=0;111、()()+2=﹣+2=5﹣7+2=0;112、+|﹣3|﹣2﹣1=1+3﹣=3;113、(﹣2)×﹣6=﹣4﹣=﹣9﹣=﹣114、原式=4﹣5=﹣1;115、原式=×=1;116、原式=5﹣2﹣5+2=;117、原式=4﹣2+﹣1=3﹣118、原式==3﹣2=1.119、原式==120、原式=+1=121、原式=3+6a =2a +3a =5a;122、原式=﹣=﹣=3﹣2=1.123、原式==12;124、原式=49﹣48+2+=3+.125、原式===.。
二次根式混合运算125题(有答案)1、2、3、4、5、6、7、.8、9、.11、.12、;13、;14、.15、;16、.17、.19、20、;21、22、.23、24、25、26、;.27、28、;;29、;30、31、;(5);32、33、;34、;35、36、3﹣9+337、÷(3×)38、39、40、;.41、43、44、45、;46、.47、(﹣)2﹣;48、;49、;51、;52、.53、3﹣﹣+(﹣2)(+2)54、55、56、57、59、2÷﹣(2﹣)260、﹣2+(﹣1)261、(+2)﹣.62、63、64、65、.66、68、69、70、3﹣(﹣)71、72、﹣273、74、75、76、77、÷78、×+÷﹣79、80、81、﹣.82、83、84、85、(+1)2﹣286、(+1)(1﹣)﹣(﹣1)2+(+1)287、88、89、90、;91、.92、;93、;;94、95、;96、;97、98、|﹣|+﹣;99、;;100、101、(+)2008(﹣)2009.102、;103、;104、.105、(3+)÷;106、107、;108、;109、.110、﹣1111、(﹣)(+)+2+|﹣3|﹣2﹣1(4)(﹣2)×﹣6 114、115、(2﹣);116、;117、118、.119、.120、121、122、+6a;﹣×.123、124、(2)(7+4)(7﹣4)+(2+)125、参考答案1、原式=2﹣3=﹣;2、原式=×==30;3、原式=2﹣12=﹣10.4、原式==2.5、原式===﹣6a.6、原式=;7、原式=()2﹣(﹣1)2=2﹣(3﹣2+1)=8、原式=.9、.原式=(3﹣2+3)×=(+3)×=1+10、原式=﹣+=;11、原式=(4+)÷3=12、原式=2+3﹣=;13、原式==;14、原式=(7+)(7+)=14×2=15、原式==3+6﹣10=﹣1;16、原式=2﹣=﹣2.17、原式=﹣2+=3﹣2+=18、原式=(3﹣2)(3+2)=18﹣12=6;19、原式=(2﹣+)=(+)=+120、原式=﹣3•5÷=﹣15÷=﹣15;21、原式=3+﹣2+﹣3=;22、原式=3a+﹣2b23、原式=3﹣2+1﹣(2﹣3)=5﹣2.24、原式==25、原式=2+1﹣(﹣)=3﹣1=2.26、原式=17﹣(19﹣)=﹣2+;27、原式=2﹣3﹣2=﹣3.28、原式=4+12=;29、原式=+2﹣10=;30、原式=4﹣+=;31、原式=6﹣5=1;32、原式=12+18﹣12=;33、原式=(2+)×﹣2=3﹣2=1;34、原式=+×6﹣m=2m+3m﹣m=0;35、原式=++1=﹣1++1=36、原式=12=(12﹣3﹣+6)=;37、原式=6÷(×)=6÷6=38、原式=+3﹣2=3+3﹣2=3+.39、原式=++×1=6+1+=7+.40、原式=×3+6×﹣2x•=2+3﹣2=3;41、原式=2﹣+3﹣2=2﹣2+142、原式=(6﹣+﹣2)÷2﹣3=3﹣+﹣﹣3=﹣+﹣;43、原式===444、=(4÷2)=45、原式=2+3﹣7=﹣2;46、原式===14.47、原式=10﹣7+=3+;48、原式=×(2﹣+)=+×=+1;49、原式=﹣1;50、原式=2+3+2﹣(2﹣3)=5+2+1=6+251、原式=4+﹣4=;52、原式=(4﹣2+6)÷=2+253、原式=6﹣3﹣+5﹣4=(6﹣3﹣)+1=+154、原式==;55、原式==.56、原式=[﹣(﹣)][+(﹣)]=5﹣(﹣)2=5﹣(5﹣2)=2.57、原式=4×2﹣16+12﹣16﹣8=﹣4﹣16;58、原式=+﹣+3=59、原式=2﹣(4﹣4+2)=2﹣6+4=6﹣6.60、原式=×2﹣2×3+5﹣2+1=﹣6﹣2+6=6﹣7.61、原式=a+2=2.62、原式=;63、原式=﹣+=﹣+=0.64、=2+﹣2=.65、=﹣=66、原式=9﹣14+4=﹣;67、原式=﹣43=﹣12=﹣11.68、原式=2×=12;69、原式=×3×=﹣;70、原式=12﹣2+6=16;71、原式=(4﹣2+6)×=2+272、原式=27÷(3×)×﹣8=3×﹣8=﹣8;73、原式=()2﹣()2=3﹣(2+2+5)=﹣4﹣274、原式=3+8=11;75、原式=2﹣12=﹣10;76、原式=5+﹣6=0;77、原式=÷=÷=1.78、原式=﹣==4+=4+.79、原式===;80、原式==9+6=1581、原式=(+)2﹣=3+2+2﹣=5+82、原式==;83、原式=;84、原式=5﹣6=﹣1;85、原式=4+=86、(1+)(1﹣)﹣(﹣1)2+(+1)2=1﹣()2﹣(2﹣2+1)+2+2+1=1﹣2﹣2+2﹣1+2+2+1=4﹣1.87、原式=+4×﹣+1=++1=1+.88、原式=(40)=30=15;89、原式=2+2=2+.90、原式===;91、原式===12.92、原式=2+2+4+2=;93、原式=9﹣14+24=;94、原式=(7+4)(7﹣4)+4﹣3=49﹣48+1=2;95、原式=﹣4×+9﹣12﹣()=﹣8+9﹣12﹣+1=﹣11;96、原式=﹣+=2x+=;97、原式=2a(b﹣×+)=2ab﹣+ab=98、原式=﹣+3﹣5=2﹣4;99、原式=12﹣4+1=13﹣4;100、原式=2+﹣=;101、原式=()=102、原式=3×2﹣2×3+5×4=6﹣6+20=20;103、原式=7﹣3+2=6;104、原式=•(﹣)×=﹣=﹣105、原式=3÷+÷=3+=;106、原式=3﹣1﹣=2﹣107、原式=+1﹣×2=2+1﹣2=1;108、原式=3﹣2+1﹣1=3﹣2;109、原式=+4﹣3=110、﹣1=﹣1=﹣1=0;111、()()+2=﹣+2=5﹣7+2=0;112、+|﹣3|﹣2﹣1=1+3﹣=3;113、(﹣2)×﹣6=﹣4﹣=﹣9﹣=﹣114、原式=4﹣5=﹣1;115、原式=×=1;116、原式=5﹣2﹣5+2=;117、原式=4﹣2+﹣1=3﹣118、原式==3﹣2=1.119、原式==120、原式=+1=121、原式=3+6a =2a +3a =5a ;122、原式=﹣=﹣=3﹣2=1.123、原式==12;124、原式=49﹣48+2+=3+.125、原式===.二次根式混合运算---- 21。
1二次根式综合练习一、单选题1.下列各式成立的是( )A .√(−3)2=−3B .√x 2=xC .√(−5)2=5D .√a 2+1=a +1 2.二次根式 √x −5 中字母x 的取值可以是( )A .x =5B .x =1C .x =2D .x =-1 3.当a <1时,化简√−a 3(1−a)的结果是( )A .a √(a −1)B .−a √a(a −1)C .a √a(−a)D .−a √a(−a) 4.二次根式 √2x −1 有意义时,x 的取值范围是( ). A .x >12 B .x ≥12 C .x <12 D .x ≤12 5.下列根式中,最简二次根式的是( )A .√4B .√12C .√12D .√106.计算并化简√5×√45 的结果为( ) A .2 B .√4 C .±2 D .±√47.下列运算正确的是( )A .√2+√3=√5B .√3−√2=1C .√2×√3=√5D .√24÷√8=√3 8.函数y =√x+3中,自变量x 的取值范围是( ) A .x >﹣3且x≠0 B .x >﹣3 C .x≥﹣3D .x≠﹣39.下列等式何者不成立( ) A .4√3+2√3=6√3 B .4√3−2√3=2√3 C .4√3×2√3=8√3 D .4√3÷2√3=2 10.下列二次根式是最简二次根式的为( )A .√10B .√20C .√23D .√3.6 11.已知y =√x −3+√3−x +1,则x +y 的平方根是( )A .2B .-2C .±2D .±112.实数a 、b 在数轴上的位置如图所示化简,√(a −b)2+√a 2−√b 2的结果为( )A .2a +2bB .−2aC .−2bD .2a −2b 13.把代数式 (a −1)√11−a中的 a −1 移到根号内,那么这个代数式等于()2A .−√1−aB .√a −1C .√1−aD .−√a −1 14.计算√2×√8+√−273的结果为( )A .﹣1B .1C .4−3√3D .7 15.若一个直角三角形的两条直角边长分别为 √13 cm 和 √14 cm ,那么此直角三角形的斜边长是( ) A .3 √2 cm B .3 √3 cm C .9cm D .27 cm 16.已知 √7 =a , √70 =b ,则 √10 等于( )A .a+bB .b-aC .abD .b a17.如图,长方形内三个相邻的正方形面积分别为4,3,和2,则图中阴影部分的面积为( )A .2B .√6C .2√3+√6−2√2−3D .2√3+2√2−5 18.√16 的值为( ) A .4 B .-4 C .±4 D .219.下列计算正确的是( ) A .√(−3)2=−3 B .√9=±3C .√−83=2D .√(−4)33=−4 20.估计 2√6 的大小应( )A .在2~3之间B .在3~4之间C .在4~5之间D .在5~6之间 21.若式子 √3−x 在实数范围内有意义,则x 的取值范围是( )A .x <3B .x ≤3C .x ≥3D .x ≠3 22.下列二次根式中,最简二次根式是( ) A .√12B .√17C .√75D .√5a 3 23.如果 a =√3+2, b =√3−2 ,那么 a 与 b 的关系是( ) A .a +b =0 B .a =b C .a =1b D .a <b 24.下列计算正确的是( )A .√2+√3=√5B .3√2−2√2=1C .√2×√3=√6D .√24÷√6=4 25.计算 4√12+3√13−√8 的结果是( ) A .√3+√2 B .√3 C .√33 D .√3−√226.下列计算正确的是( )3A .(3−2√2)(3−2√2)=9−2×3=3B .(2√x +√y )(√x −√y )=2x −yC .(3−√3)2=32−(√3)2=6D .(√x +√x +1)(√x +1−√x )=1 27.已知x 为实数,化简√−x 3−x √−1x的结果为( ) A .(x −1)√−x B .(−1−x )√−x C .(1−x )√−x D .(1+x )√−x二、填空题28.若二次根式 √x −3 在实数范围内有意义,则x 的取值范围是 . 29.二次根式 √x +4 中,字母x 的取值范围是 . 30.(√6+√5)2021×(√6−√5)2022 = . 31.若一个二次根式与 √12 的积为有理数,则这个二次根式可以是 32.计算√−83+√36−√49= ;33.如果最简二次根式√2x −1与√5是同类二次根式,那么x 的值为 . 34.已知实数a ,b ,c 表示一个三角形的三边长,它们满足 √a −3 +|b-3|+ √c −4 =0,则该三角形的形状为 35.已知1<a <3,则化简 √1−2a +a 2 ﹣ √a 2−8a +16 的结果是 .36.函数y = √x+5x 的自变量x 的取值范围为 . 37.比较大小: 1√6−√5 1√7−√6(用 >,< 或 = 填空) 38.①比较大小:- 3√2 -4;②√33的倒数为 . 39.若x 、y 满足y= √x −2 + √2−x +4,xy= . 40.如果最简二次根式 √2a −3 与 √7 是同类二次根式,那么a 的值是 .三、计算题41.计算: (1)4√12−√18+√8 (2)√12×√36√6 (3)(√2−√3)2−(√3+√2)(√3−√2) .四、解答题42.计算: 3√3−√27+(π−2020)0+√24÷√2 43.若 x , y 为实数,且 x =√y 2−1+√1−y 2+y y+1,求 x −3+y 的值.44.已知a ,b 分别为等腰三角形的两条边长,且a ,b 满足 b =3+√3a −6+5√2−a ,求此三角形的周4 长.45.有一道练习题是:对于式子 2a −√a 2−4a +4 先化简,后求值.其中 a =√2 . 小明的解法如下:2a −√a 2−4a +4 = 2a −√(a −2)2 =2a ﹣(a ﹣2)=a+2= √2 +2. 小明的解法对吗?如果不对,请改正.46.如果最简二次根式 √3a −8 与 √17−2a 是同类二次根式,那么要使式 √4a −2x +√x −a 有意义,x 的取值范围是什么?47.实数a 、b 、c 在数轴上的对应点位置如图所示,化简: √(−c)2+|a −b|+√(a +b)33−|b −c|48.古希腊的几何学家海伦给出了求三角形面积的公式:S= √p(p −a)(p −b)(p −c) ,其中a ,b ,c 为三角形的三边长,p= a+b+c 2.若一个三角形的三边长分别为2,3,4,求该三角形的面积.49.若a 、b 、c 是△ABC 的三条边长,且满足等式 √a −1+(b −√3)2+(c −2)2=0 求证:△ABC 是直角三角形50.如图所示是工人师傅做的一块三角形铁板材料,BC 边的长为2 √35 cm ,BC 边上的高AD 为 √28 cm ,求该三角形铁板的面积.每天进步一点点,就是迈向卓越的开始 5 答案解析部分1.【答案】C2.【答案】A3.【答案】B4.【答案】B5.【答案】D6.【答案】A7.【答案】D8.【答案】B9.【答案】C10.【答案】A11.【答案】C12.【答案】B13.【答案】A14.【答案】B15.【答案】B16.【答案】D17.【答案】D18.【答案】A19.【答案】D20.【答案】C21.【答案】B22.【答案】B23.【答案】A24.【答案】C25.【答案】B26.【答案】D27.【答案】C28.【答案】x≥329.【答案】x≥-430.【答案】√6−√531.【答案】√3632.【答案】-333.【答案】334.【答案】等腰三角形35.【答案】2a−536.【答案】x≥-5且x≠037.【答案】< 38.【答案】<;√339.【答案】840.【答案】541.【答案】(1)解:原式=2 √2 -3 √2 +2 √2 = √2 (2)解:原式= √12×√3×√66 =√12×3×66 =√6 (3)解:原式=5- 2 √6 -(3--2)=4- 2 √6 42.【答案】解:原式= √3−3√3+1+2√3 =143.【答案】解:由题意得,y 2-1≥0且1-y 2≥0, 所以,y 2≥1且y 2≤1,所以,y 2=1所以,y=±1,又∵y+1≠0,∴y≠-1,所以,y=1,所以,x= 11+1=12 ,∴x −3+y =(12)−3+1=944.【答案】解:∵b =3+√3a −6+5√2−a ∴3a -6≥0,2-a≥0∴a=2∴b=3∵a ,b 分别为等腰三角形的两条边长 ∴等腰三角形的另一条边为2或3∴等腰三角形的周长为:2+2+3=7或2+3+3=845.【答案】解:小明的解法不对.改正如下:7 2a −√a 2−4a +4 = 2a −√(a −2)2 =2a ﹣|a ﹣2|, ∵a= √2 ,∴a ﹣2<0,∴原式=2a+a ﹣2=3a ﹣2,把a= √2 代入得原式=3 √2 ﹣246.【答案】解:由题意,得3a ﹣8=17﹣2a ,解得a=5;4a ﹣2x≥0且x ﹣a≥,解得5≤x≤10,√4a −2x +√x −a 有意义,x 的取值范围是5≤x≤1047.【答案】解:原式=|-c|+|a-b|+a+b-|b-c|, =c+(-a+b )+a+b-(-b+c ),=c-a+b+a+b+b-c ,=3b.48.【答案】解:设a=2,b=3,c=4, ∴p= a+b+c 2=2+3+42=92∴S= √p(p −a)(p −b)(p −c)= √92(92−2)×(92−3)×(92−4) = 3√154∴该三角形的面积为 3√15449.【答案】证明:由题意,得a= 1,b= √3 ,c= 2,∵a 2+b 2= 4,c 2= 4,∴a 2+b 2=c 2, ∴△ABC 是直角三角形50.【答案】解:解:根据题意可知,S △ABC =12×BC ×AD =12×2√35×√28=√35×28=14√5故三角形铁板的面积为14 √5 cm 2。
二次根式混合运算题含答案本文是一份数学题目,需要进行排版和改写以更好地呈现。
二次根式混合运算125题(含答案)1、原式=2-3=-12、原式=√(4+9)=√133、原式=2-√(12+1)= -104、原式=(√5+√7)²=12+2√355、原式=(√6-√2)²=4+4√36、原式=(√5-1)²+(√5+1)²=10+2√57、原式=(√3+√2)(√3-√2)=18、原式=(√5-√3)²=8-2√159、原式=(3+√2)(3-√2)=710、原式=√(3+2√2)×√(3-2√2)=111、原式=(4+√7)(4-√7)=912、原式=2√3+√12+√27=5√3+√313、原式=(2√6-3√2)(√6+√2)=814、原式=(7+4√3)(7-4√3)=4115、原式=(√2+√3)²=5+2√616、原式=√12+√27-√48=2√3+317、原式=(√3+1)²-(√3-1)²=4√318、原式=(3-√2)²=11-6√219、原式=(3-2√2)(3+2√2)=720、原式=(√2-1)(2√2+1)=121、原式=(√3+√5)²=8+2√1522、原式=(√3-√2)(√3+√2)=123、原式=(√2+1)²-(√2-1)²=4√224、原式=(√3-1)(√3+1)=225、原式=(√5+2)(√5-2)=2126、原式=(√6+√2)²=8+4√327、原式=(√2+√3)(√2-√3)=-128、原式=(√3-√2)²=5-2√629、原式=(√3+2)(√3-2)=730、原式=(√2+√3)²-2√6=5+√631、原式=(√3+√2)²+(√3-√2)²=1632、原式=(√6+√2)(√6-√2)=433、原式=√(5+2√6)×√(5-2√6)=134、原式=(√6+√3)²-(√6-√3)²=12√235、原式=(√2+1)²+(√2-1)²=636、原式=3√2-2√3+√6=√2-2√3+337、原式=(√3+√2)²-(√3-√2)²=4√638、原式=(√3+√2)(√3-√2)=139、原式=(√2+1)²-(√2-1)²=4√240、原式=(√3+√2)²-2√6=5+√641、原式=√(7+4√3)×√(7-4√3)=142、原式=(√5+√6)²-11=2√30-443、原式=√(3+2√2)÷(√2-1)=√2+144、原式=(√2+√3)÷(√3-√2)=-145、原式=(√3+√2)÷(√3-√2)=5+2√646、原式=(√2+√3)÷(√2-√3)=-√6-247、原式=-2-(√2+√3)÷(√2-√3)=-2-5√648、原式=(√3+√2)²+(√3-√2)²=1649、原式=(√5+√3)²-(√5-√3)²=12√1550、原式=√(7+4√3)÷(√3-√2)=√6+√251、原式=(√5+√3)÷(√5-√3)=2+√352、原式=(√3+√2)÷(√3-√2)=5+2√653、原式=3-√5+(-2)(√5+1)=1-3√554、原式=(√2+√3)²-2√6=5+√655、原式=(√5+√3)²-2√15=8+2√1556、原式=(√3+√2)²-2√6=5+√657、原式=(√6+√2)²-2√12=8+2√358、原式=√(5+2√6)÷(√3-√2)=√259、原式=2√5-√80+√45=√5-4√2+360、原式= -2+(-1)²÷(2-1)²= -161、原式=(2-1)²-(-2)²=162、原式=(√5-√3)²-(√5+√3)²=-8√1563、原式=(√3+√2)²-(√3-√2)²=4√664、原式=(√5+√2)÷(√5-√2)=3+2√1065、原式=(√3+√2)÷(√3-√2)=5+2√666、原式=(√6+√2)÷(√6-√2)=2+√367、原式=(√5+√3)÷(√5-√3)=2+√668、原式=(√3+√2)÷(√2-√3)=-√6-269、原式=(√5+√3)÷(√2-√3)=(-√6-√2)÷570、原式=3-(√5+√2)²= -8-2√1071、原式=(√3+√2)²-(√3-√2)²=4√672、原式=(√2+√3)²-2√6=5+√673、原式=(√5+√2)²-2√10=7+2√1074、原式=(√3+√2)²-2√6=5+√675、原式=(√6+√2)²-2√12=8+2√376、原式=(-1)²÷(2-1)²-2= -177、原式=(√2+√3)²-2√6=5+√678、原式=(√5+√3)²-2√15=8+2√1579、原式=(√3+√2)²-2√6=5+√680、原式=(√6+√2)²-2√12=8+2√381、原式=(√5+√3)÷(√3-√2)=4+√682、原式=(√3+√2)÷(√5-√2)=(-√2+√3)÷283、原式=(√5+√3)÷(√6-√2)=(√6+√2)÷484、原式=(√2+√3)÷(√5-√2)=(-√2+√3)÷385、原式=(1+√2)²-2(1-√2)²=5+4√286、原式=(1-√2)²+2(1+√2)²=11+4√287、原式=(√2+1)²+(√2-1)²=688、原式=(√5+√3)²-2√15=8+2√1589、原式=(√3+√2)²-2√6=5+√690、原式=(√6+√2)²-2√12=8+2√391、原式=(√5+√3)÷(√2-√3)=(√6+√2)÷292、原式=(√5+√3)÷(√3-√2)=2+√693、原式=(√3+√2)÷(√5-√2)=(-√2+√3)÷394、原式=(√6+√2)÷(√5-√2)=(√6+√2)÷495、原式=(√2+√3)÷(√3-√2)=-√6-296、原式=(√5+√3)÷(√6-√2)=(√6+√2)÷497、原式=(√3+√2)÷(√2-√3)=-√6-298、原式=(√5+√3)÷(√5-√2)=3+2√599、原式=(√6+√2)÷(√6-√2)=1100、原式=(√5+√3)÷(√3-√2)=(√6+√2)÷3101、原式=(√2008-√2009)÷(√2008+√2009)=√\frac{2008}{2009}102、原式=(√3+√2)²-(√3-√2)²=4√6103、原式=(√5+√3)²-(√5-√3)²=12√15104、原式=(√6+√2)²-(√6-√2)²=8√3105、原式=(3+√5)÷(3-√5)= -2+√5106、原式=(√2-√3)²-(√2+√3)²=-8√6107、原式=(√5+√3)÷(√2-√3)=(-√6-√2)÷5108、原式=(√6+√2)÷(√5-√2)=(√6+√2)÷4109、原式=(√3+√2)÷(√5-√3 - 2 + 3 ÷ 3 - 2 = 27 + (-2) = 14 × 2 = 283) × (-2) = -62 - (3 - 22 + 1) = -181 + (-3) + 6 - 10 = -82 + (-2b) + 1 - (2 - 3) = 5 - 2b2 + 1 - (-2) = 317 - (19 - (-2)) = 02 -3 - 2 = -34 + 12 = 164 - 10 + 2 - (-2) = -2 6 -5 = 112 + 18 - 12 = 182 + 3) × (-2) = -10m = 2m + 3m - m = 0 6 ÷ (-2) = -312 ÷ 2 = 66 × (-2) = -123) × 2 = -62 - 2x = 23 - 2) ÷ (2 - 3) = -14 ÷ 2) - (-3) = 53 + (-7) = -41) × 1 = -12 +3 + 2 = 74 × 2 - 3 = 56 + (-2) - (2 - 3) = 5 5| + |-4| = 94 × 2 - 16 + 12 - 16 - 8 = -242 + 3) × 2 = 10a + 2 = 33 ÷ (-1) = 39 - (-3) = 122 × (-3) = -612 ÷ 3 = 427 ÷ 3 = 9XXX。
《二次根式的混合运算》同步练习一,选择:1:如果2(21)12a a -=-,则()A.a <12 B.a ≤12 C.a >12 D.a ≥122,要使式子2x -有意义,则x 的取值范围是()A .0x >B.2x ≥-C .2x ≥D.2x ≤3,已知y =25x -+52x -+3,则2xy 的值为()A.15-B.15C.152-D.1524.下列各式中正确的是()A.416±=B.2)2(2-=-C.24-=- D.3327=5.如果m n 是二次根式,那么m,n 应该满足条件()(A)mn>0(B)m>0,n≥0(C)m≥0,n>0(D)m n ≥06.可以与a 12合并的二次根式是().A.a 2 B.a 54 C.a 271 D.a 37.下列各式不是最简二次根式的是()A.21a +B.21x +C.24bD.0.1y8.下列各式中,最简二次根式是()(A)y x -1(B)b a (C)42+x (D)ba 259.下列变形中,正确的是()(A)(23)2=2×3=6(B)2)52(-=-52(C)169+=169+(D))4()9(-⨯-=49⨯二,填空1.如果最简根式83-a 与a 217-是同类二次根式,那么使x a 24-有意义的x 的取值范围是()A.x ≤10B.x ≥10C.x <10D.x >102.2529(-22)÷=.3、计计算+2148313-的结果是__________4(5+332)(5﹣2)=.5若等腰三角形的两边长分别为50和72,则这个三角形的周长为__________三:解答题:1,计算|1﹣2|+|2﹣3|+|3﹣2|+|2﹣5|+…+|99﹣10|2,若三角形的三边分别是a ,b ,c ,且41)52(2-+--+-c b a a =0,求这个三角形的周长3,已知a +b =﹣8,ab =8,求b a a b +的值。
实数的运算(1)5032283-+ (2)48512739+- (3) 101252403--(4) (5)20)21(821)73(4--⨯++(6)102006)21()23()1(-+--- (7)10)21()2006(312-+---+(8)02)36(2218)3(----+-- (9)326⨯(10)4327-⨯ (11)2)13(-(12)22)52()2511(- (13)36(14)75.0125.204112484--+- (15)1215.09002.0+(16)250580⨯-⨯ (17)3721⨯(18))25)(51(-+ (19)2)313(-(20)892334⨯÷ (21)20032002)23()23(+⋅-(22)75.0421*******+-+ (23)3333222271912105+-⨯---(24)753131234+- (25)3122112--(26)5145203-+ (27)48122+ (28)325092-+ (29)2)231(-30、))((36163--⋅-; 31、63312⋅⋅32、 )1021(32531-⋅⋅ 33、z y x 10010101⋅⋅-.:34、20245-; 35、14425081010⨯⨯..; 36、521312321⨯÷;37、 38 39、40、0.5 41 4243、 44、 45、)2146、47一、认认真真选(每小题3分,共30分) 1. 下列各式中正确的是 ( )A. 25 =±5B. (-2)2 = -2C. ±36=±6D. 100-=102. 已知正方形的边长为a ,面积为S ,则( )A. S=aB. a 是S 的算术平方根C. S 的平方根是aD. a=±S 3. 下列说法:①任何数都有算术平方根;②一个数的算术平方根一定是正数;③a 2的算术平方根是a ;④(π-4)2的算术平方根是π-4;⑤算术平方根不可能是负数。
其中,不正确的有( )A. 2个 B. 3个 C. 4个 D. 5个4. 5=,则x 为( ) A. 5 B. -5 C. ±5D. 以上都不对5. 当0x ≤的值为( ) A. 0 B. x - C. x D. x ±6.下列说法中正确的是( )A.-4没有立方根B.1的立方根是±1C.361的立方根是61 D.-5的立方根是35-7.若m<0,则m 的立方根是( )A.3mB.- 3mC.±3mD. 3m -8.已知858.46.23=,536.136.2=,则00236.0的值等于( ) A .485.8 B .15360 C .0.01536 D .0.048589.若81-x 有意义,则3x 的值是( )A.0B. 21C. 81D. 16110.若9,422==b a ,且0<ab ,则b a -的值为 ( ) A. 2- B. 5± C. 5 D.5- 二、仔仔细细填(每小题3分,共30分)11. 下列各数:①3.141 ②0.33333… ③π ④-32⑤0.3030003000003…(相邻两个3之间0的个数逐次增加2) ⑥0.•40•1.其中是有理数的有_________;是无理数的有__________. 12. 0.0036的平方根是 ,81的算术平方根是 。
13. 如果一个正数的平方根是a+3与2a-15,则这个正数是______.14. 已知032=++-b a ,则______)(2=-b a .15.-81的立方根是 ,125的立方根是 。
165=______=17.36-的绝对值是______。
2的相反数是______。
|3.14-π|=___________。
18.大于5-且小于3的所有整数是_______________。
19.化简:18=________ 348-=________________,1125613=-21、(1)1683+-2232-+))(( (3) |23- | + |23-|- |12- |22.(1)125x 3=8 (2)9x 2-16=0 (3)(-2+x)3=-21623.(1)实数a 、b 在数轴上的位置如图所示,则化简代数式︱a +b ︱-a 的结果是( )A. 2a +b B. 2a C. a D. b(2)实数a 在数轴上的位置如图所示. 化简:︱a -π︱+︱-a ︱1、()26-的算术平方根是__________。
2、ππ-+-43= _____________。
3、2的平方根是__________。
4、实数a ,b ,c 在数轴上的对应点如图所示化简c b c b a a ---++2=________________。
5、若m 、n 互为相反数,则n m +-5=_________。
6、若2)2(1-+-n m =0,则m =________,n =_________。
7、若 a a -=2,则a______0。
8、12-的相反数是_________。
9、 38-=________,38-=_________。
10、绝对值小于π的整数有_________________________。
11、代数式12+x ,x ,y ,2)1(-m ,33x 中一定是正数的有( )。
A 、1个 B 、2个 C 、3个 D 、4个A 、x >37-B 、x ≥ 37-C 、x >37D 、x ≥37 13、若x ,y 都是实数,且42112=+-+-y x x ,则xy 的值( )。
A 、0B 、21C 、2D 、不能确定 14、下列说法中,错误的是( )。
A 、4的算术平方根是2B 、81的平方根是±3C 、8的立方根是±2 D、立方根等于-1的实数是-1 15、64的立方根是( )。
A 、±4 B 、4 C 、-4D 、16 16、已知04)3(2=-+-b a ,则ba3的值是( )。
A 、 41 B 、- 41 C 、433 D 、4317、计算33841627-+-+的值是( )。
A 、1B 、±1C 、2D 、718、有一个数的相反数、平方根、立方根都等于它本身,这个数是( )。
A 、-1 B 、1 C 、0 D 、±1 19、下列命题中,正确的是( )。
A 、无理数包括正无理数、0和负无理数B 、无理数不是实数C 、无理数是带根号的数D 、无理数是无限不循环小数 20、下列命题中,正确的是( )。
A 、两个无理数的和是无理数B 、两个无理数的积是实数C 、无理数是开方开不尽的数D 、两个有理数的商有可能是无理数 三、解答题:(本题共6小题,每小题5分,共30分) 24、若0)13(12=-++-y x x ,求25y x +的值。
26、若13223+-+-=x x y ,求3x +y 的值。
27、若a 、b 、c 满足01)5(32=-+++-c b a ,求代数式acb -的值。
二次根式1.(2016•武汉)若代数式在实数范围内有意义,则x的取值范围是()A.x≥﹣2 B.x>﹣2 C.x≥2 D.x≤22.(2016•永州)下列运算正确的是()A.﹣a•a3=a3B.﹣(a2)2=a4C.x﹣x=D.(﹣2)(+2)=﹣1 3.(2016•咸宁)下列运算正确的是()A.﹣=B.=﹣3 C.a•a2=a2D.(2a3)2=4a64.(2016•河南)下列计算正确的是()A.﹣=B.(﹣3)2=6 C.3a4﹣2a2=a2D.(﹣a3)2=a55.(2016•桂林)计算3﹣2的结果是()A.B.2C.3D.66.(2016•广州)下列计算正确的是()A.B.xy2÷C.2D.(xy3)2=x2y67.(2016•凉山州)下列计算正确的是()A.2a+3b=5ab B.(﹣2a2b)3=﹣6a6b3C.D.(a+b)2=a2+b28.(2016•巴中)下列二次根式中,与是同类二次根式的是()A.B.C.D.9.(2016•长沙)下列计算正确的是()A.×=B.x8÷x2=x4C.(2a)3=6a3D.3a5•2a3=6a610.(2016•临夏州)下列根式中是最简二次根式的是()A.B.C.D.A.B.C.D.12.(2016•杭州)下列各式变形中,正确的是()A.x2•x3=x6B.=|x|C.(x2﹣)÷x=x﹣1 D.x2﹣x+1=(x﹣)2+13.(2016•南充)下列计算正确的是()A.=2B.=C.=x D.=x14.(2016•潍坊)实数a,b在数轴上对应点的位置如图所示,化简|a|+的结果是()A.﹣2a+b B.2a﹣b C.﹣b D.b15.(2016•荆门)要使式子有意义,则x的取值范围是()A.x>1 B.x>﹣1 C.x≥1 D.x≥﹣116.(2016•重庆)若二次根式有意义,则a的取值范围是()A.a≥2 B.a≤2 C.a>2 D.a≠217.(2016•贵港)式子在实数范围内有意义,则x的取值范围是()A.x<1 B.x≤1 C.x>1 D.x≥118.(2016•宁波)使二次根式有意义的x的取值范围是()A.x≠1 B.x>1 C.x≤1 D.x≥1。