2012年10月汽车销量排行榜超级完整版
- 格式:doc
- 大小:42.50 KB
- 文档页数:8
2012年上半年皮卡销量排行前五2012-07-20 来源:盖世汽车网作者:佚名权威数据显示:2012年上半年,我国汽车累计销售959.81万辆,同比增长2.93%。
其中乘用车销售761.35万辆,同比增长7.08%;商用车销售198.46万辆,同比下降10.40%。
数据直观显示:受宏观环境影响,我国汽车告别了高增长时代,进入低位震荡期。
而作为商用车的细分市场之一,皮卡市场的表现却让人眼前一亮:上半年累计销售22.2万辆,突破20万大关,同比增长18.02%,成为商用车领域为数不多的逆势增长部分。
2012年上半年皮卡销量排行榜皮卡市场基本排名保持不变,长城风骏皮卡、江铃皮卡、中兴皮卡、日产皮卡和福田皮卡五大知名品牌共计销售18万余辆,占据了皮卡市场整体销量的80%。
可见,品牌影响力和口碑在皮卡用户选车过程中做出了不可忽视的贡献。
总体来看,上半年皮卡行业主流品牌并没有太多的新款车型推出,仅有福田拓陆者一款主流新皮卡上市;更多的新款皮卡车型出于战略考虑,选择在今年下半年上市,如长城风骏的欧洲版和江铃域虎皮卡。
在这种背景下,上半年的皮卡销售还能保持较高的增长速度,跟皮卡市场多方努力分不开。
长城风骏皮卡上半年销量近7万辆2012-07-23 来源:网易新闻作者:佚名2012年上半年,长城汽车风骏皮卡累计销售69973辆,同比增长16.8%,继续保持超过30%的高市场占有率,再创皮卡半年销量新高。
风骏皮卡发力安全性能,并在海外成功开拓伊朗市场,技术升级和海外市场开拓成为上半年风骏皮卡稳增长、创新高的关键。
今年5月,长城风骏与德国博世等知名汽车零部件企业共同成立了中国皮卡安全联盟,联盟还推出全系标配德国博世8.0版本ABS+EBD的首款安全车型风骏5。
风骏5全系标配ABS+EBD、倒车雷达和仿真皮座椅,价格只比原先高出1000元,新车型上市之后赢得了新购车用户和置换老用户的认可。
5月30日,风骏皮卡在伊朗成功举行了下线活动。
2010年我国汽车产销量全球第一2008年,我国汽车产销量累计分别为934.51万辆和938.05万辆2009年,我国产销汽车1379.10万辆首次超过日本成为世界第一汽车生产大国2010年中国汽车产销双超1800万辆蝉联全球第一车企疯狂扩产计划遭遇治堵:产能过剩可能重现2011:车市分化年汽车行业上市公司产销快报长安汽车2010年12月汽车销量增近50%一汽夏利2010年销量同比增近18%上海汽车2010年销量数据点评:盈利仍有上升空间江淮汽车盈利预增点评:传统业务依然稳健,轿车业务突破在即江铃汽车2010年销售数据点评:产品市场份额快速提升2010年我国汽车产销稳居全球第一2010年,我国汽车产销双双超过1800万辆,分别达到1826.47万辆和1806.19万辆,同比分别增长32.44%和32.37%,稳居全球产销第一。
12月份,汽车产销分别为186.48万辆和166.67万辆,环比分别增长6.27%和下降1.79%;同比分别增长22.30%和17.90%。
2010年,销量排名前十位的汽车生产企业分别是上汽、东风、一汽、长安、北汽、广汽、奇瑞、比亚迪、华晨和江淮,上述十家企业共销售汽车1559.61万辆,占汽车销售总量的86%。
其中上汽销量突破300万辆大关,达到355.84万辆,东风、一汽和长安销量均超过200万辆,分别达到272.48万辆、255.82万辆和237.88万辆,上述四家企业共销售1122.02万辆,占汽车销售总量的62.12%。
(中国汽车工业协会)2010年中国汽车产销双超1800万辆蝉联全球第一中新网1月10日电今日,中国汽车工业协会发布了2010年汽车产销数据,中国国内汽车产销双双超过1800万辆,创全球历史新高,再次蝉联全球第一。
数据显示,2010年各车型全面增长,自主品牌份额有所提升,汽车出口逐步恢复,大企业集团产销规模整体提升,行业经济效益明显提高。
综合起来主要有以下十大特点:特点之一:延续上年走势产销再创新高,但增速逐月回落继上年高速增长后,我国汽车工业再次取得良好成绩:2010年全国汽车产销1826.47万辆和1806.19万辆,同比分别增长32.44%和32.37%,产销再创新高,刷新全球历史记录。
编者按:2012年中国汽车市场达到1930.64万辆,同比增4.33%。
低增长不同系别强弱分明,集团企业的自主扩张成比拼的最大砝码,自主品牌跌宕起伏,合资企业比拼深层竞争力,日系受挫引发格局突变,市场萎缩企业盈利能力大相径庭,产业环境因用车环境而潜移默化地变化,2013年这一切或将都被带来变数。
集团座次:上汽东风领跑长城晋10强产销趋集中按中国汽车工业协会提供的数据,2012年汽车销量排名前十位的企业集团分别为上汽、东风、一汽、长安、北汽、广汽、华晨、长城、奇瑞和吉利,分别销售446.14万辆、307.85万辆、264.59万辆、195.64万辆、169.11万辆、71.22万辆、63.80万辆、62.46万辆、56.33万辆和49.14万辆。
2012年上汽集团继续蝉联销量第一,年销量超过400万辆,达到446万辆。
数据显示,上述十家企业集团共销售1686.28万辆,同比增长5.2%,高于全行业增速0.9个百分点,占汽车销售总量的87.3%,比上年同期提高0.7个百分点,2012年汽车市场集中度有所提高。
点评1:集团企业强者恒强,进一步集中,上汽和东风遥遥拉开差距。
其中,上汽成为惟一突破400万辆的集团,与东风也有近140万辆的差距,初显一家独大局面。
一汽的销量和座次被上汽和东风再度拉开,与2011年相比,前6大企业座次没有变化,倒是长城汽车以62.46万辆进入车企销量前十是一大亮点。
点评2:集团企业从合资到自主,从乘用车到商用车多元化比拼产业能力,上汽因乘用车较强而领跑,而东风乘用车、商用车较为均衡处于第二,相对而言,广汽因日系合资较多,下半年困难增多,华晨重返第7,前十强中,只有长城的产业布局最为单一,仅限于皮卡、SUV、轿车,但比很多多元化企业盈利强,做专还是做多元化,仍是个问题?点评3:一汽被上汽和东风完全拉开,一汽的自主乘用车受挫,新品牌欧朗面临生存危机,奔腾没有了曾经的锐利,红旗又远水解不了近渴,夏利更难以迎合消费升级,一汽销量和盈利,更多地依靠了一汽-大众的大众和奥迪品牌,一汽的自主品牌,还需要及时的推出消费者认可的产品,在产业布局上,应有大手腕。
全球汽车销售国家排行2012年全年,全球轻型车销量8089.19万辆,同比提高5.2%。
:1.中国1930.64万辆;2.美国1449万辆;3.日本537万辆;4.巴西380.1万辆;5.德国308万辆;6.俄罗斯293.5万辆;7.印度285.6万辆;8.英国233.8万辆;9.法国228.3万辆;10.加拿大167.6万辆;11.泰国143万辆;12.韩国140.3万辆;13.意大利140.2万辆;14.印尼111.6万辆;15.澳大利亚111.2万辆;16.墨西哥98.8万辆;17.阿根廷83万辆;18.土耳其77.8万辆;19.西班牙70万辆;20.南非62.1万辆。
全球各大主要汽车厂销量排行丰田汽车975万辆+22%;通用汽车928万辆+2.9%;大众汽车907万辆+11.1%;雷诺-日产749万辆+1.35%;现代-起亚712万辆+8%;福特汽车566.8万辆-0.5%。
菲亚特-克莱斯勒发布销量数据:菲亚特汽车销量421.9万辆,增长4.2%。
2012中国车企销量排行2012年车企汽车销量和市场份额:1.上汽446.14万辆,23.11%;2.东风307.85万辆,15.95%;3.一汽264.59万辆,13.7%;4.长安195.64万辆,10.13%;5.北汽169.11万辆,8.76%;6.广汽71.22万辆,3.69%;7.华晨63.8万辆,3.3%;8.长城62.46万辆,3.24%;9.奇瑞56.33万辆,2.92%;10.吉利49.14万辆,2.55%。
2012广义乘用车品牌销量排行2012年汽车品牌广义乘用车全国销量排名(1-64位):1.大众2050193辆;2.五菱1212277辆;3.现代855996辆;4.日产751509辆;5.长安748279辆;6.丰田745565辆;7.雪佛兰704857辆;8.别克700007辆;9.本田587415辆;10.奇瑞556993辆;11.长城487370辆;12.起亚480566辆;13.比亚迪456056辆。
2010年中国汽车产销量及全年乘用车分析2011-01-12 09:23 来源:太平洋汽车网 责任编辑:nantong02关键词:中国车市中国汽车分析2010年车市分析2010年乘用车产销对比 1月10日,中国汽车工业协会召开信息发布会,会上发布了2010年中国汽车行业相关数据。
2010年,我国汽车工业延续了上年发展态势,在购置税优惠、以旧换新、汽车下乡、节能惠民产品补贴等多种鼓励消费政策叠加效应的作用下,全年汽车产销双双超过1800万辆,创全球历史新高,再次蝉联全球第一。
去年12月份,汽车产销分别达到186万辆和167万辆,双双打破历年12月产销记录。
各车型全面增长,自主品牌份额有所提升,汽车出口逐步恢复,大企业集团产销规模整体提升,行业经济效益明显提高。
综合起来主要有以下十大特点: 特点之一:延续上年走势产销再创新高,但增速逐月回落 继上年高速增长后,我国汽车工业再次取得良好成绩:2010年全国汽车产销1826.47万辆和1806.19万辆,同比分别增长32.44%和32.37%,产销再创新高,刷新全球历史记录。
但由于2009年走势前低后高,而2010年上半年产销水平较高,造成2010年以来增速呈逐月回落态势,同比增长由年初80%回落至32%;与上年产销增长48.30%和46.15%相比,增幅分别回落15.86个百分点和13.78个百分点。
今年的增长表现为高速增长,既有政策的促进因素,也有消费者担心政策退出引发的提前消费因素。
特点之二:各类车型全面增长,整体增幅达三成 2010年,各类车型全面增长,其中,乘用车产销1389.71万辆和1375.78万辆,同比增长33.83%和33.17%,增幅较上年回落20.28个百分点和19.76个百分点;商用车产销分别为436.76万辆和430.41万辆,同比增长28.19%和29.90%,增幅与上年大致相当。
特点之三:基本型乘用车(轿车)继续保持较快增长 2010年,基本型乘用车(轿车)市场继续保持较快增长,共销售949.43万辆,同比增长27.05%,增幅与上年48.07%比较,回落21.02个百分点。
中国汽车产销量历年数据引言概述:中国汽车产销量是衡量一个国家汽车工业发展水平的重要指标。
随着中国经济的快速发展和居民收入的增加,汽车消费需求不断增长,中国汽车产销量也呈现出快速增长的趋势。
本文将从五个方面详细介绍中国汽车产销量的历年数据。
一、整体产销量1.1 2000年至2010年的产销量2000年至2010年,中国汽车产销量呈现出持续增长的态势。
2000年,中国汽车产销量为不到200万辆,而2010年则达到了超过1800万辆。
这一时期,中国汽车工业经历了快速发展的阶段,成为全球最大的汽车市场之一。
1.2 2010年至2020年的产销量2010年至2020年,中国汽车产销量继续保持增长势头,但增速有所放缓。
2010年中国汽车产销量为1800万辆左右,而2020年则达到了约2500万辆。
这一时期,中国汽车市场逐渐进入成熟期,增速相对稳定,但整体规模仍居全球前列。
1.3 未来发展趋势随着中国经济的不断发展和居民收入的增加,中国汽车市场仍然具有较大的潜力。
预计未来几年,中国汽车产销量将继续保持稳定增长,尤其是新能源汽车的发展将成为推动产销量增长的重要因素。
二、乘用车产销量2.1 乘用车产销量占比乘用车是中国汽车市场的主力军,其产销量占据了整个汽车市场的主要份额。
根据数据统计,乘用车产销量占中国汽车总产销量的约80%左右,这一比例在过去几年保持相对稳定。
2.2 乘用车产销量的增长过去几年,中国乘用车市场呈现出快速增长的趋势。
2010年至2020年,中国乘用车产销量从约1500万辆增长到了约2000万辆,年均增长率约为3%左右。
乘用车市场的增长主要受到中产阶级消费能力提升和购车政策的影响。
2.3 新能源乘用车的崛起随着环保意识的增强和政府对新能源汽车的支持力度加大,新能源乘用车在中国市场逐渐崛起。
2010年至2020年,中国新能源乘用车产销量从几千辆增长到了约140万辆,年均增长率超过50%。
新能源乘用车的快速增长为中国汽车产销量增长提供了新的动力。
我国汽车产销量(2000-2010)转自博客/s/blog_6550042b0100qkt7.html,标题自己改的21世纪的第一个十年是中国汽车业突飞猛进的十年,真可谓春风得意马蹄急,奇迹渐欲迷人眼。
遥想当年,2000年中国汽车产量不及美国的1/6,销量不及美国的1/8,在国际上不过小七小八的角色。
谁曾想不过10年,中国汽车产量超过美国的2倍,销量超过美国的1.5倍,产销量均超过美国和日本的总和,产销量均创造世界汽车史记录。
更使人惊讶的是自主品牌的产量已超过1000万辆,超过了美国和日本,单算自主品牌产量,也已是世界第一,汽车第一大国名至实归。
中国汽车社会千呼万唤始出来,让人尤恐相逢在梦中。
历史数据可以让人有真实感,读者可从下面表格中体验到中国汽车业的崛起过程。
表1:中国汽车产量表表2:中国汽车销量表由于创造的荣耀和辉煌太多,中国汽车业一个里程碑式的成就居然被遗忘了,那就是中国汽车业累计产销量均已突破1亿辆,时间是在2011年1季度。
中国是世界上第6个累计汽车产量达到1亿辆的国家,其他达到1亿辆的国家:美国1953年,日本1980年,德国1984年,法国1991年,英国2006年。
预计2011年中国累计汽车产量将超过英国。
突破1亿辆大关的具体时间:2011年1月中国国产汽车产量超过1亿辆,同月中国市场终端零售量(含进口)超过1亿辆,2月国产汽车批发量(含出口)超过1亿辆。
在4月,国产汽车的国内批发量将超过1亿辆,5月底国产汽车的国内市场终端零售量将超过1亿辆。
2011年1季度,中国汽车业还有如下成绩值得记录:狭义乘用车(轿车+MPV+SUV)累计产销量超过5000万辆,而轿车累计产销量超过4500万辆;中国大陆汽车保有量超过8000万辆(预计4月将达到8500万辆),仅落后于美国。
2011年是世界第一辆汽车诞生125周年。
这125年车企巨头群雄纷起,演绎了波澜壮阔的汽车业史诗;在这部史诗的最后25年,中国汽车业才登上了这个舞台,而现在已成为全球第一大汽车市场,第一大汽车生产国,刷新了国家年度产销量的历史记录,在世界汽车业的份额接近25%。
49菲翔菲亚特广汽菲亚持71937193 50长安逸动长安长安汽车712035126 51阳光日产东风日产658112869152宝骏630宝骏上汽通用五菱64296231553悦翔长安长安汽车639640498 54奔腾B50奔腾一汽轿车620348215 55标致308标致神龙汽车611660419 56标致408标致神龙汽车598348265 57奥拓铃木长安铃木590551784 58全球鹰远景全球鹰吉利汽车577831156 59骐达日产东风日产5649138671 60奔奔迷你长安长安汽车564563541 61桑塔纳志俊大众上海大众563792174 62悦翔V3长安长安汽车560316828 63腾翼C50长城长城汽车557035474 64福美来海马一汽海马55395603565福瑞迪起亚东风悦达起亚55217643666全球鹰自由舰全球鹰吉利汽车54365287867力帆620力帆力帆汽车52234524568K5起亚东风悦达起亚52194810769思迪锋范本田广汽本田510887133 70SC7英伦吉利汽车508946614 71H230中华沈阳华晨504916046 72思域本田东风本田491272240 73众泰Z300众泰众泰汽车488919934 74F0比亚迪比亚迪487138960 75爱丽舍雪铁龙神龙汽车485051892 76G6比亚迪比亚迪478936069 77启辰R50启辰东风日产47255709 78爱唯欧三厢雪佛兰上海通用465748294 793系宝马华晨宝马457919226 80英朗XT别克上海通用450742764 81MG3MG上海汽车416935429 82C5雪铁龙神龙汽车411231598 83旗云2奇瑞奇瑞汽车396727219 84菱致东南东南汽车393111547 85锐志丰田一汽丰田387854998 86同悦江淮江淮汽车381331915 87G3比亚迪比亚迪38062691888乐驰Spark雪佛兰上汽通用五菱38033887689昊锐斯柯达上海大众379741235 90晶锐斯柯达上海大众372443676 91菱悦东南东南汽车367754630 92北汽E系列北汽北京汽车350316850 93英伦金刚英伦吉利汽车336750006 94荣威550荣威上海汽车333933634 95启辰D50启辰东风日产33222623296赛拉图起亚东风悦达起亚32673279897羚羊铃木长安铃木325833719 98江南奥拓江南奥拓众泰汽车32182597499嘉年华两厢福特长安福特320531501100威志三厢一汽天津一汽317421865排名 厂商 品牌 车型 本月销量 本年累计 1 上海大众 大众 大众途观 15068 66502 2 长城汽车 长城 长城哈弗H6 14000 1385773 一汽大众 奥迪 奥迪Q5 11551 672154 北京现代 现代 现代ix35 10424 131766 5 奇瑞汽车 奇瑞 奇瑞瑞虎 8681 66107 6 东风本田 本田 本田CR-V 8486 81461 7 比亚迪汽车比亚迪 比亚迪S6 7820 63391 8 长城汽车 长城 长城哈弗H5 7449 516289 广汽丰田 丰田 丰田汉兰达 7329 24262 10 北京现代 现代 现代途胜 6696 90172 11 东风悦达起亚 起亚 起亚智跑 6205 31548 12 长城汽车 长城 长城哈弗M4611159370 13 力帆汽车 力帆 力帆X60 6005 40202 14 众泰汽车 众泰 众泰5008 5355 84673 15 东风裕隆 纳智捷 纳智捷大74311 16934 16 东风悦达起亚 起亚 起亚狮跑 3772 28606 17 东风日产 日产 日产逍客 3497 23886 18 一汽丰田 丰田 丰田RAV4 3102 37562 19 吉利控股 全球鹰 全球鹰GX7 2800 21634 20 广汽传祺 传祺 传祺GS5 2583 10917 21 海马汽车 海马 海马骑士 2253 13603 22 恒通华泰 华泰 华泰圣达菲2145 20083 23 奇瑞汽车瑞麒 瑞麒X1 2001 14164 24 长丰汽车 长丰 长丰猎豹黑金刚 1735 25872 25 一汽丰田 丰田 丰田普拉多 1694 12403 26 华晨宝马 宝马 宝马X1 1597 11680 27 华晨汽车 中华 中华V5 1459 13204 28 北京奔驰 奔驰 GLK300 1277 16160 29 东风日产 日产 日产奇骏 1196 20526 30 恒通华泰华泰 华泰B35 987 9420 31江淮汽车江淮江淮瑞鹰90785702012年12月中国SUV越野汽车销量排行榜-中华汽车网校,中汽协,乘联会共同发布2012年12月SUV越野汽车销量排行榜(前45名)32 黄海汽车 黄海 黄海SUV 862 976733 长城汽车 长城 长城哈弗M2806 315734 江铃汽车 江铃 陆风 774 662435 上海汽车 荣威 荣威W5 762 414536 四川汽车 野马 野马F10 685 144037 一汽丰田 丰田 丰田兰德酷路泽432 398238 郑州日产 日产 日产帕拉丁368 405439 河北中兴 中兴 中兴无限 367 331240 四川汽车 野马 野马F12 366 85841 长丰汽车 三菱 帕杰罗 281 302042 吉奥汽车 吉奥 吉奥奥轩 233 203243 江铃汽车 江铃 驭胜 210 21044 北京汽车制造厂北汽 北汽吉普 204 372445 吉奥汽车 吉奥 奥轩GX5 164 1283排名 厂商 品牌 车型 本月销量 本年累计1 上海大众 大众 大众途安 7001 530962 上海通用 别克 别克GL8 5647 479403 东风柳州 东风 风行菱智 5209 457694 一汽吉林大发大发 一汽森雅 4813 404795 江淮汽车 江淮 江淮和悦RS3512 290126 广汽丰田 丰田 丰田逸致 3317 268947 东风柳州 东风 风行景逸 3105 263638 江淮汽车 江淮 江淮瑞风 1799 152549 郑州日产 东风 东风帅客 1683 2048610 一汽海南 海马 海马普力马1416 1435011 沈阳华晨 金杯 金杯阁瑞斯1340 1280012 东风本田 本田 本田艾力绅1129 525413 福建戴姆勒奔驰 奔驰唯雅诺1078 122132012年12月中国MPV汽车型销量排行榜-中华汽车网校,中汽协,乘联会共同发布2012年12月MPV汽车型销量排行榜(前25名)12月微型车销量排行2012年12月小型车销量排行榜排名车型品牌2012年12月小型车销量排行环比增长10-12月销量1瑞纳起亚1847816.82%68482 2POLO大众18201-17.58%78470 3赛欧三厢雪佛兰994110.60%368514 骊威 日产 8370 5.98% 398875 起亚K2 起亚 8292 4.33% 308096 自由舰 吉利 6579 28.3% 219877 金刚 吉利 5291 -14.54% 232548 夏利N5 夏利 5006 -21.68% 242579 夏利A+ 夏利 4728 21.48% 2120410 夏利N3+三厢夏利 4377 19.79% 142042012年12月紧凑型车销量排行榜排名车型品牌2012年12月紧凑型车销量排环比增长10-12月销量1凯越别克23179-3.96%99887 2朗逸大众21909-1.03%75584 3捷达大众20000-1.30%784774 宝来 大众 19836 -2.82% 725585 悦动 现代 17523 13.89% 626666 科鲁兹 雪佛兰 15914 -14.8% 774457 卡罗拉 丰田 15603 -15.43% 588498 阳光 日产 14706 -0.69% 578509 骐达 日产 14128 -9.59% 5889410 轩逸 日产 11517 -2.83% 399712012年12月中型车销量排行榜排名车型品牌2012年12月中型车销量排行环比增长10-12月销量1帕萨特大众16982-1.67%69907 2迈腾大众16188 1.41%45987 3凯美瑞丰田10860-25.48%49988 4 雅阁 本田 10500 31.25% 298815 桑塔纳志俊大众 10138 -21.9% 402116 桑塔纳 大众 10000 6.38% 362137 索纳塔八 现代 9160 -0.67% 342248 奥迪A4L 奥迪 8868 -4.25% 352859 马自达6 马自达 7920 -6.78% 2728910 天籁 日产 7818 -53.27% 43119 自中华汽车网校转载 /。
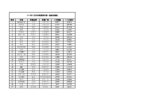
2012年10月汽车销量排行榜超级完整版又是朗逸(淘汰普桑)销量领先,中国人真怀旧啊.EC7和速锐这个月表现不错. 排名品牌厂商车型本月销量本年累计1 大众上海大众 Lavida朗逸 30637 1949542 大众上海大众帕萨特 27437 2007683 别克上海通用凯越 23414 2378594 大众一汽大众速腾 22401 1543655 雪佛兰上海通用科鲁兹 20690 1943576 雪佛兰上海通用赛欧三厢 20631 2165667 大众一汽大众宝来 20488 1882148 大众一汽大众捷达 19149 1989019 现代北京现代悦动 18317 17885710 现代北京现代朗动 18207 4506311 福特长安福特福克斯两厢 17155 11524712 大众一汽大众迈腾 16691 14156213 帝豪吉利汽车帝豪EC7 16481 11397114 福特长安福特福克斯三厢 16459 10588315 现代北京现代瑞纳 15996 16812816 大众上海大众新POLO 14710 9414117 大众一汽大众高尔夫 13240 10374318 斯柯达上海大众明锐 12929 11602919 奇瑞奇瑞汽车 QQ 12290 11255020 别克上海通用英朗GT 12000 10667821 奥迪一汽大众奥迪A6 11916 11624822 雪铁龙神龙汽车世嘉三厢 10830 8247323 起亚东风悦达起亚起亚K2 10703 10104124 夏利天津一汽夏利 10566 12260425 长城长城汽车腾翼C30 10083 10682926 日产东风日产轩逸 8670 10476827 比亚迪比亚迪速锐 8565 1645428 奥迪一汽大众奥迪A4 8536 8506629 宝马华晨宝马 5系 8411 8793930 比亚迪比亚迪 F3 8174 10471131 荣威上海汽车荣威350 8151 5669232 雪佛兰上海通用雪佛兰迈锐宝 7843 3682933 别克上海通用君威 7739 6775734 现代北京现代现代索纳塔 7687 8094935 大众上海大众桑塔纳 6910 8763236 比亚迪比亚迪 L3 6770 5580637 宝骏上汽通用五菱宝骏630 6634 5588638 别克上海通用君越 6567 6929539 福特长安福特蒙迪欧致胜 6485 5384940 标致神龙汽车标致308 6436 5430341 起亚东风悦达起亚福瑞迪 6290 7091542 奇瑞奇瑞汽车风云2两厢 6282 4910943 丰田广汽丰田凯美瑞 6216 12293644 江淮江淮汽车和悦 6076 3596745 长安长安汽车长安逸动 5975 2800646 全球鹰吉利汽车全球鹰自由舰 5965 4744247 铃木昌河北斗星 5843 5476848 大众上海大众桑塔纳志俊 5694 8653749 斯柯达上海大众昊锐 5685 3743850 马自达一汽轿车马自达6 5680 6740451 起亚东风悦达起亚 K3 5405 540552 斯柯达上海大众晶锐 5404 3995253 标致神龙汽车标致408 5366 4228254 奇瑞奇瑞汽车 E5 5321 4628855 本田广汽本田思迪锋范 5286 8202556 本田广汽本田雅阁 5223 8412657 日产东风日产骐达 5173 13302258 海马一汽海马福美来 5079 5049659 日产东风日产阳光 5061 12211060 长安长安汽车悦翔V3 5015 1122561 起亚东风悦达起亚 K5 5002 4288862 东南东南汽车菱致 5000 761663 力帆力帆汽车力帆620 4974 4002264 中华沈阳华晨 H230 4972 1099765 长城长城汽车腾翼C50 4821 2990466 长安长安汽车悦翔 4761 3410266 丰田一汽丰田卡罗拉 4761 12959068 众泰众泰汽车众泰Z300 4728 1504569 长安长安汽车奔奔迷你 4695 5789670 比亚迪比亚迪 G6 4640 3128071 铃木长安铃木奥拓 4621 4587972 别克上海通用英朗XT 4541 3825773 雪铁龙神龙汽车爱丽舍 4462 4704274 奔腾一汽轿车奔腾B50 4409 4201275 雪佛兰上汽通用五菱乐驰Spark 4384 3507376 英伦吉利汽车 SC7 4146 4152577 英伦吉利汽车英伦金刚 3985 4663978 雪佛兰上海通用雪佛兰爱唯欧三厢 3932 4363779 丰田一汽丰田花冠 3866 10014580 宝马华晨宝马 3系 3818 1584081 奔驰北京奔驰 C级 3811 2591982 全球鹰吉利汽车全球鹰远景 3696 2537883 奇瑞奇瑞汽车风云2 3576 1962784 一汽天津一汽威志三厢 3551 1869185 雪铁龙神龙汽车 C5 3519 2748686 奔驰北京奔驰 E级 3467 2912987 比亚迪比亚迪 F0 3450 3408988 江南奥拓众泰汽车江南奥拓 3377 2275689 江淮江淮汽车同悦 3207 2810290 大众一汽大众 CC 3148 3155491 全球鹰吉利汽车全球鹰熊猫 3042 2594792 东南东南汽车菱悦 3040 5095393 中华沈阳华晨骏捷FSV 3004 3543594 力帆力帆汽车力帆320 2832 2143895 起亚东风悦达起亚赛拉图 2820 2953196 现代北京现代伊兰特 2738 5799097 荣威上海汽车荣威550 2727 3029598 MG 上海汽车 MG3 2704 3126099 风神东风乘用车风神H30 2689 24426 100 标致神龙汽车标致508 2671 21745101 铃木长安铃木羚羊 2547 30461102 长安长安汽车长安CX20 2546 36814 103 力帆力帆汽车力帆520 2525 20481104 标致神龙汽车标致307两厢 2425 19614 105 启辰东风日产启辰D50 2328 22910 106 风神东风乘用车风神S30 2328 21550 107 本田东风本田思域 2313 67328108 北汽北京汽车北汽E系列 2302 13347 109 福特长安福特嘉年华两厢 2246 28296 110 海马一汽海马丘比特 2222 14486111 标致神龙汽车标致207三厢 2105 16043 112 英伦吉利汽车金鹰 2100 21050113 MG 上海汽车 MG6 2046 16952114 奇瑞奇瑞汽车旗云2 1998 23252115 力帆力帆汽车力帆520i 1933 14447116 日产东风日产天籁 1929 77098117 全球鹰吉利汽车全球鹰GC7 1863 14573118 铃木长安铃木天语 1857 36995119 本田广汽本田歌诗图 1774 26970120 江淮江淮汽车悦悦 1731 9693121 起亚东风悦达起亚起亚K2两厢 1627 15422 122 本田广汽本田飞度 1567 30577123 标致神龙汽车标致207两厢 1499 11277124 奇瑞奇瑞汽车旗云3 1491 17240125 雪铁龙神龙汽车 C2 1424 11841126 大众上海大众 Crosspolo 1422 14544127 奔腾一汽轿车奔腾B70 1203 12901128 雪铁龙神龙汽车世嘉两厢 1167 9625129 青年莲花莲花汽车青年莲花L3两厢 1152 14043 130 中华沈阳华晨 H530 1140 18740131 日产东风日产骊威 1121 43007132 铃木长安铃木雨燕 1118 30001133 丰田一汽丰田锐志 1114 51120134 风神东风乘用车风神A60 1113 3927135 奇瑞奇瑞汽车旗云1 1094 12340136 英伦吉利汽车英伦SC3 1079 8608137 福特长安福特嘉年华三厢 1078 14051138 雪佛兰上海通用赛欧两厢 1052 15917139 长安长安汽车长安CX30三厢 1047 8251140 中国吉利汽车英伦SC6 1045 3548141 青年莲花莲花汽车青年莲花L5 986 7416142 启辰东风日产启辰R50 984 984143 MG 上海汽车 MG5 952 7380144 青年莲花莲花汽车青年莲花L5掀背 931 9890 145 青年莲花莲花汽车青年莲花L3三厢 918 8733 146 现代北京现代名驭 909 15124147 奔腾一汽轿车奔腾B90 880 2445148 中华沈阳华晨骏捷FRV 864 21451149 日产东风日产骊威劲锐 830 37171150 比亚迪比亚迪 G3 824 23112151 丰田一汽丰田皇冠 820 23302152 帝豪吉利汽车帝豪EC8 799 11773153 起亚东风悦达起亚秀尔 791 9248154 奇瑞奇瑞汽车 A3三厢 748 9613155 凯迪拉克上海通用凯迪拉克SLS 709 5141 156 思铭东风本田思铭 705 10980157 马自达长安福特马自达3星骋三厢 690 24062 158 一汽天津一汽威志V2 671 13747159 长城长城汽车炫丽 628 7891160 标致神龙汽车标致307三厢 601 10191160 三菱东南汽车蓝瑟翼神 601 17035162 沃尔沃长安福特沃尔沃S80 594 4506163 海马郑州海马海马王子 571 4334164 马自达长安福特马自达3 553 18356165 瑞麒奇瑞汽车 G3 521 11185166 理念广汽本田理念S1 512 20678167 荣威上海汽车荣威950 475 4091168 广汽广汽乘用车传祺 463 8580169 马自达一汽轿车睿翼 444 14613170 起亚东风悦达起亚锐欧 401 8279171 奇瑞奇瑞汽车 A1 399 17149172 奇瑞奇瑞汽车 A3两厢 372 6089173 长城长城汽车腾翼C20R 368 10470174 中华沈阳华晨骏捷 358 6215175 起亚东风悦达起亚远舰 357 3487176 马自达长安福特马自达3星骋两厢 329 14764 177 海马郑州海马海马爱尚 322 3201178 众泰众泰汽车众泰Z200HB 319 3904179 长城长城汽车凌傲 282 1999180 众泰众泰汽车众泰Z200 262 4005181 大众上海大众 POLO GTI 239 539182 铃木昌河利亚纳 228 5690183 丰田一汽丰田威驰 207 8913184 雪佛兰上海通用景程 202 14713185 哈飞哈飞汽车赛马 190 1884186 大众一汽大众高尔夫GTI 187 3616187 雪佛兰上海通用雪佛兰爱唯欧两厢 183 3258 188 昌河昌河爱迪尔 177 2947189 比亚迪比亚迪 E6 160 1055190 昌河昌河派喜 153 2101191 马自达长安福特马自达2两厢 131 1849192 三菱东南汽车蓝瑟 130 1819193 比亚迪比亚迪 G3R 129 3046194 荣威上海汽车荣威750 122 1656195 瑞麒奇瑞汽车 M1 121 737196 比亚迪比亚迪 F3DM 102 1008197 一汽一汽轿车一汽欧朗 100 6025198 现代北京现代雅绅特 92 3079199 日产东风日产玛驰 91 6450200 哈飞哈飞汽车路宝 86 4420200 丰田广汽丰田雅力士 86 11451202 丰田一汽丰田普锐斯 73 2370203 瑞麒奇瑞汽车 G5 68 1073204 奇瑞奇瑞汽车东方之子 57 1087205 比亚迪比亚迪 F6 51 643206 中华沈阳华晨尊驰 46 1666207 马自达长安福特马自达2劲翔 39 867 208 比亚迪比亚迪 F3R 32 1262209 奇瑞奇瑞汽车旗云5 24 1138210 别克上海通用林荫大道 23 448211 一汽天津一汽威乐 14 743211 三菱东南汽车戈蓝 14 380213 瑞麒奇瑞汽车 G6 12 302213 江淮江淮汽车宾悦 12 979215 MG 上海汽车 MG7 10 252215 本田东风本田思铂睿 10 10758217 英伦吉利汽车 TX4 5 513218 华泰华泰汽车华泰B11 1 101218 长安长安汽车长安CX30两厢 1 405。