(完整版)高中数学必修2综合测试题__人教A版
- 格式:doc
- 大小:1.07 MB
- 文档页数:10
第八章综合测试一、选择题(本大题共10小题,每小题5分,共50分.在每小题给出的四个选项中,只有一项是符合题目要求的)1.已知m ,n 是两条不同的直线,α,β,γ是三个不同的平面,则下列命题中正确的是( ) A.若m ∥α,n ∥α,则m n ∥ B.若⊥αγ,⊥βγ,则∥αβ C.若m ∥α,m ⊥β,则⊥αβD.若m ∥α,⊥αβ,则m ⊥β2.如图,O A B ′′′△是水平放置的OAB △的直观图,6A O =′′,2B O =′′,则OAB △的面积是( )A.6B.C.D.123.BC 是Rt ABC △的斜边,PA ABC ⊥平面,PD BC D ⊥于点,则图8-7-37中直角三角形的个数是( )A.8B.7C.6D.54.如图,在正方体1111ABCD A B C D -中,点M ,N 分别是线段1DB 和1A C 上不重合的两个动点,则下列结论正确的是( )A.1BC MN ⊥B.1B N CM ∥C.11ABN C MD 平面∥平面D.1111CDM A B C D 平面⊥平面5.已知一个多面体的内切球的半径为1,多面体的表面积为18,则此多面体的体积为( ) A.18B.12C.6D.12π6.如图8-7-39所示,在三棱柱111ABC A B C -中,侧棱垂直于底面,AB AC ==,16BB BC ==,E ,F 为侧棱1AA 上的两点,且3EF =,则多面体11BB C CEF 的体积为( ) A.30 B.18 C.15D.127.如图,一个无盖的正方体盒子的棱长为2,BC 的中点为M ,一只蚂蚁从盒外的B 点沿正方形的表面爬到盒内的M 点,则蚂蚁爬行的最短距离是( )B.1D.2+8.如图,正方体1111ABCD A B C D -的棱长为1,线段11B D 上有两个动点E ,F ,且12EF =,则下列结论中错误的是( )A.AC BE ⊥B.EF ABCD ∥平面C.三棱锥A BEF -的体积为定值D.AEF △的面积与BEF △的面积相等9.如图8-7-42,在长方体1111ABCD A B C D -中,1AD AA =,则下列结论中不正确的是( )A.111A B CD BC D ⊥平面平面B.1111A B CD P D P BC D 在平面上存在一点使得∥平面C.111A C Q D Q BC D 在直线上存在一点,使得∥平面D.111A C R D R BC D ⊥在直线上存在一点,使得平面10.如图,在长方体1111ABCD A B C D -中,12AB AA AD ==,E 是1DD 的中点,114BF C K AB ==,设过点E ,F ,K 的平面与平面ABCD 的交线为l ,则直线l 与直线11A D 所成角的正切值为( )A.1B.2C.3D.4二、填空题(本大题共4小题,每小题5分,共20分,请把正确答案填在题中的横线上) 11.如图所示,正方形ABCD 的边长为a ,沿对角线AC 将ADC △折起,若°60DAB ∠=,则二面角D AC B --的平面角的大小为________.12.在正三棱锥S ABC -中,AB =,SA =,E ,F 分别为AC ,SB 的中点.平面α过点A ,SBC ∥平面α,ABC l α= 平面,则异面直线l 和EF 所成角的余弦值为________.13.如图,一个实心六角螺帽毛坯(正六棱柱)的底边长为4,高为3,若在中间竖直钻一个圆柱形孔后,其表面积没有变化,则孔的半径为________.14.如图8-7-46,直角梯形ABCD 中,°90DAB ∠=,AB CD ∥,CE AB ⊥于点E .已知22BE AE ==,°30BCE ∠=.若将直角梯形绕直线AD 旋转一周,则图中阴影部分所得旋转体的体积为________.三、解答题(本大题共4小题,共50分.解答时写出必要的文字说明、证明过程或演算步骤)15.[12分]如图所示,一个圆锥形的空杯子(只考虑杯身部分)上放着一个直径为8 cm 的半球形冰淇淋,请你设计一种这样的圆锥形杯子(杯口直径等于半球形冰淇淋的直径,杯壁厚度忽略不计),使冰淇淋融化后不会溢出杯子,怎样设计才能使其所用材料面积最小?并求面积的最小值.16.[12分]在四面体ABCD 中,E ,H 分别是线段AB ,AD 的中点,F ,G 分别是线段CB ,CD 上的点,且12CF CG BF DG ==.求证: (1)四边形EFGH 是梯形;(2)AC ,EF ,GH 三条直线相交于同一点.17.[13分]在如图所示的多面体中,EF AEB ⊥平面,AE EB ⊥,AD EF ∥,EF BC ∥,24BC AD ==,3EF =,2AE BE ==,G 是BC 的中点。
人教版高中数学必修第二册第九章~第十章综合测试卷本试卷分第Ⅰ卷(选择题)和第Ⅱ卷(非选择题)两部分.第Ⅰ卷60分,第Ⅱ卷90分,共150分,考试时间120分钟.第Ⅰ卷(选择题共60分)一、单项选择题(本大题共8小题,每小题5分,共40分.在每小题给出的四个选项中,只有一项是符合题目要求的)1.现要完成下列两项抽样调查:①从10盒酸奶中抽取3盒进行食品卫生检查;②东方中学共有160名教职工,其中一般教师120名,行政人员16名,后勤人员24名.为了了解教职工对学校在校务公开方面的意见,拟抽取一个容量为20的样本.较为合理的抽样方法是()A.①抽签法,②比例分配的分层随机抽样B.①随机数法,②比例分配的分层随机抽样C.①随机数法,②抽签法D.①抽签法,②随机数法2.若A,B为对立事件,则下列式子中成立的是()A.P(A)+P(B)<1B.P(A)+P(B)>1C.P(A)+P(B)=0D.P(A)+P(B)=13.从一箱产品中随机地抽取一件,设事件A={抽到一等品},事件B={抽到二等品},事件C={抽到三等品},且已知P(A)=0.65,P(B)=0.2,P(C)=0.1,则事件“抽到的产品不是一等品”的概率为()A.0.2B.0.35C.0.3D.0.44.某宠物商店对30只宠物狗的体重(单位:千克)作了测量,并根据所得数据画出了频率分布直方图如图C6-1所示,则这30只宠物狗体重的平均值大约为()图C6-1A.15.5千克B.15.6千克C.15.7千克D.16千克5.以下数据为参加数学竞赛决赛的15人的成绩(单位:分):78,70,72,86,88,79,80,81,94,84,56,98,83,90,91,则这15人成绩的第80百分位数是()A.90分B.91.5分C.91分D.90.5分6.一组样本数据a,3,4,5,6的平均数是b,且不等式x2-6x+c<0的解集为(a,b),则这组样本数据的标准差是()A.1B.2C.3D.27.我国历史上有田忌与齐王赛马的故事:“田忌的上等马优于齐王的中等马,劣于齐王的上等马;田忌的中等马优于齐王的下等马,劣于齐王的中等马;田忌的下等马劣于齐王的下等马.”若双方各自拥有上、中、下等马各1匹,双方各随机选1匹马进行1场比赛,则齐王的马获胜的概率为()A.23B.13C.12D.568.在发生某公共卫生事件期间,有专业机构认为在一段时间内没有发生规模群体感染的标志为“连续10天,每天新增疑似病例数量不超过7”.根据过去10天甲、乙、丙、丁四地新增疑似病例数据,一定符合该标志的是()A.甲地:总体的平均数为3,中位数为4B.乙地:总体的平均数为1,总体方差大于0C.丙地:中位数为2,众数为3D.丁地:总体的平均数为2,总体方差为3二、多项选择题(本大题共4小题,每小题5分,共20分.在每小题给出的四个选项中,至少有两项是符合题目要求的)9.给出下列四个说法,其中正确的说法有()A.做100次抛硬币的试验,结果有51次出现正面朝上,因此,出现正面朝上的概率是51100B.随机事件发生的频率就是这个随机事件发生的概率C.抛掷骰子100次,得点数是1的结果有18次,则出现1点的频率是950D.随机事件发生的频率不一定是这个随机事件发生的概率10.在某次高中学科竞赛中,4000名考生的参赛成绩统计如图C6-2所示,60分以下视为不及格,若同一组中的数据用该组区间的中点值为代表,则下列说法中正确的是()图C6-2A.成绩在[70,80)内的考生人数最多B.不及格的考生人数为1000C.考生竞赛成绩的平均数约为70.5分D.考生竞赛成绩的中位数为75分11.某健身房为了解运动健身减肥的效果,调查了20名肥胖者健身前(如直方图C6-3(1)所示)后(如直方图(2)所示)的体重(单位:kg)变化情况:图C6-3对比数据,关于这20名肥胖者,下面结论正确的是()A.健身后,体重在区间[90,100)内的人数较健身前增加了2B.健身后,体重原在区间[100,110)内的人员一定无变化C.健身后,20人的平均体重大约减少了8kgD.健身后,原来体重在区间(110,120]内的肥胖者体重都有减少12.从甲袋中摸出一个红球的概率是13,从乙袋中摸出一个红球的概率是12,从两袋中各摸出一个球,下列结论正确的是()A.2个球都是红球的概率为16B.2个球不都是红球的概率为13C.至少有1个红球的概率为23D.2个球中恰有1个红球的概率为12请将选择题答案填入下表:题号12345678总分答案题号9101112答案第Ⅱ卷(非选择题共90分)三、填空题(本大题共4小题,每小题5分,共20分.把答案填在题中横线上)13.从甲、乙两个厂家生产的同一种产品中各抽取8件产品,对其使用寿命(单位:年)跟踪调查的结果如下:甲:3,4,5,6,8,8,8,10;乙:3,3,4,7,9,10,11,12.两个厂家在广告中都称该产品的使用寿命是8年,请根据结果判断厂家在广告中分别采用了平均数、众数、中位数中的哪一个特征数:甲:,乙:.14.如图C6-4是容量为100的样本数据的频率分布直方图,则样本数据落在区间[6,18)内的频数为.图C6-415.已知甲、乙、丙3名运动员射击一次击中目标的概率分别为0.7,0.8,0.85,若这3人向目标各射击一次,则目标没有被击中的概率为.16.甲、乙两人玩猜数字游戏,先由甲在心中任想一个数字,记为a,再由乙猜甲刚才想的数字,把乙猜的数字记为b,且a,b∈{0,1,2,…,9}.若|a-b|≤1,则称甲、乙两人“心有灵犀”.现任意找两人玩这个游戏,则这两人“心有灵犀”的概率为.四、解答题(本大题共6小题,共70分.解答应写出文字说明、证明过程或演算步骤)17.(10分)某班选派5人,参加学校举行的数学竞赛,获奖的人数及其概率如下:获奖人数012345概率0.10.16x y0.2z(1)若获奖人数不超过2的概率为0.56,求x的值;(2)若获奖人数最多为4的概率为0.96,获奖人数最少为3的概率为0.44,求y,z的值.18.(12分)甲、乙两台机床同时加工直径为100cm的零件,为检验质量,各从中抽取6个零件测量其直径,所得数据如下.甲:99,100,98,100,100,103;乙:99,100,102,99,100,100.(1)分别计算两组数据的平均数及方差;(2)根据计算结果判断哪台机床加工零件的质量更稳定.19.(12分)某校高一年级举行了一次数学竞赛,为了了解参加本次竞赛的学生的成绩情况,从中抽取了部分学生的成绩(取正整数,单位:分)作为样本(样本量为n)进行统计,按照[50,60),[60,70),[70,80),[80,90),[90,100]的分组作出频率分布直方图如图C6-5所示,已知成绩在[50,60),[90,100]内的频数分别为8,2.(1)求样本量n和频率分布直方图中的x,y的值;(2)估计参加本次竞赛的学生成绩的众数、中位数、平均数.图C6-520.(12分)生产同一种产品,甲机床的废品率为0.04,乙机床的废品率为0.05,从甲、乙机床生产的产品中各任取1件,求:(1)至少有1件废品的概率;(2)恰有1件废品的概率.21.(12分)某儿童乐园在“六一”儿童节推出了一项趣味活动.参加活动的儿童需转动如图C6-6所示的转盘两次,每次转动后,待转盘停止转动时,记录指针所指区域中的数.设两次记录的数分别为x,y.奖励规则如下:①若xy≤3,则奖励玩具一个;②若xy≥8,则奖励水杯一个;③其余情况奖励饮料一瓶.假设转盘质地均匀,四个区域划分均匀.小亮准备参加此项活动.(1)求小亮获得玩具的概率;(2)请比较小亮获得水杯的概率与获得饮料的概率的大小,并说明理由.图C6-622.(12分)2020年新冠肺炎疫情期间,某区政府为了解本区居民对区政府防疫工作的满意度,从本区居民中随机抽取若干居民进行评分(满分100分).根据调查数据制成如下表格和如图C6-7所示的频率分布直方图.已知评分在[80,100]内的居民有600人.满意度评分[40,60)[60,80)[80,90)[90,100]满意度等级不满意基本满意满意非常满意(1)求频率分布直方图中a的值及参与评分的总人数.(2)定义满意度指数η=(满意程度的平均分)/100,若η<0.8,则防疫工作需要进行大的调整,否则不需要进行大调整.根据所学知识判断该区防疫工作是否需要进行大调整.(3)为了解部分居民不满意的原因,从不满意的居民(评分在[40,50),[50,60)内)中用比例分配的分层随机抽样的方法抽取6位居民,倾听他们的意见,并从6人中抽取2人担任防疫工作的监督员,求这2人中仅有1人对防疫工作的评分在[40,50)内的概率.图C6-7参考答案与解析1.A[解析]①总体较少,宜用抽签法;②各层间差异明显,宜用分层随机抽样.故选A.2.D[解析]若事件A与事件B是对立事件,则P(A)+P(B)=1.故选D.3.B[解析]∵事件A={抽到一等品},且P(A)=0.65,∴事件“抽到的产品不是一等品”的概率P=1-P(A)=1-0.65=0.35.4.B[解析]由频率分布直方图可以计算出各组的频率分别为0.1,0.2,0.3,0.2,0.1,0.1,故各组的频数分别为3,6,9,6,3,3,则这30只宠物狗体重的平均值为11×3+13×6+15×9+17×6+19×3+21×330=15.6(千克),故选B.5.D[解析]将这15人的成绩(单位:分)由小到大依次排列为56,70,72,78,79,80,81,83,84,86,88,90,91,94,98,因为15×80%=12,第12,13个数据分别为90分、91分,所以这15人成绩的第80百分位数是90.5分.故选D.6.B[解析]由题意得a+3+4+5+6=5b,a+b=6,解得a=2,b=4,所以样本数据的方差s2=15×[(2-4)2+(3-4)2+(4-4)2+(5-4)2+(6-4)2]=2,所以标准差s=2.故答案为B.7.A[解析]依题意,记田忌的上等马、中等马、下等马分别为a,b,c,齐王的上等马、中等马、下等马分别为A,B,C.由题意可知,样本空间Ω={aA,bA,cA,aB,bB,cB,aC,bC,cC},共有9个样本点,其中事件“田忌可以获胜”包含的样本点为aB,aC,bC,共3个,则齐王的马获胜的概率P=1-39=23.故选A.8.D[解析]由于甲地总体数据的平均数为3,中位数为4,即按从小到大排序后,中间两个数据的平均数为4,因此后面的数据可以大于7,故甲地不一定符合.乙地总体数据的平均数为1,因此这10天的新增疑似病例总数为10,又由于方差大于0,故这10天中新增疑似病例数量不可能每天都是1,可以有一天大于7,故乙地不一定符合.丙地总体数据的中位数为2,众数为3,故数据中可以出现8,故丙地不一定符合.丁地总体数据的平均数为2,方差为3,故丁地一定符合.9.CD[解析]对于A,混淆了频率与概率的区别,故A错误;对于B,混淆了频率与概率的区别,故B 错误;对于C,抛掷骰子100次,得点数是1的结果有18次,则出现1点的频率是950,符合频率定义,故C正确;对于D,频率是概率的估计值,故D正确.故选CD.10.ABC [解析]由频率分布直方图可得,成绩在[70,80)内的频率最高,考生人数最多,故A 正确;由频率分布直方图可得,成绩在[40,60)内的频率为0.25,则不及格的考生人数为4000×0.25=1000,故B 正确;由频率分布直方图可得,平均数为45×0.1+55×0.15+65×0.2+75×0.3+85×0.15+95×0.1=70.5(分),故C 正确;因为成绩在[40,70)内的频率为0.45,在[70,80)内的频率为0.3,所以中位数为70+10×0.050.3≈71.67(分),故D 错误.故选ABC .11.AD[解析]体重在区间[90,100)内的肥胖者由健身前的6人增加到健身后的8人,增加了2人,故A 正确;健身后,体重在区间[100,110)内的频率没有变,但人员组成可能改变,故B 错误;健身后,20人的平均体重大约减少了(0.3×95+0.5×105+0.2×115)-(0.1×85+0.4×95+0.5×105)=5(kg),故C 错误;因为图(2)中没有体重在区间(110,120]内的人员,所以原来体重在区间(110,120]内的肥胖者体重都有减少,故D 正确.故选AD .12.ACD[解析]设“从甲袋中摸出一个红球”为事件A 1,“从乙袋中摸出一个红球”为事件A 2,则P (A 1)=13,P (A 2)=12,且A 1,A 2独立;在A 中,“2个球都是红球”为事件A 1A 2,其概率为13×12=16,A 正确;在B中,“2个球不都是红球”是“2个球都是红球”的对立事件,其概率为56,B 错误;在C 中,“2个球中至少有1个红球”的概率为1-P ( )P ( )=1-23×12=23,C 正确;在D 中,2个球中恰有1个红球的概率为13×12+23×12=12,D 正确.故选ACD .13.众数中位数[解析]对甲厂的数据进行分析:该组数据中8年出现的次数最多,故广告中采用了众数;对乙厂的数据进行分析:该组数据最中间的是7年与9年,故中位数是7+92=8(年),故广告中采用了中位数.14.80[解析]由题图知,样本数据落在区间[6,18)内的频数为100×0.8=80.15.0.009[解析]由相互独立事件的概率计算公式知,3人向目标各射击一次,目标没有被击中的概率P=(1-0.7)×(1-0.8)×(1-0.85)=0.3×0.2×0.15=0.009.16.725[解析]从{0,1,2,…,9}中任意取两个数(可重复),该试验共有100个样本点,事件“|a-b|≤1”包含的样本点为(0,0),(1,1),(2,2),(3,3),(4,4),(5,5),(6,6),(7,7),(8,8),(9,9),(0,1),(1,0),(1,2),(2,1),(2,3),(3,2),(3,4),(4,3),(4,5),(5,4),(5,6),(6,5),(6,7),(7,6),(7,8),(8,7),(8,9),(9,8),共有28个,所以所求概率P=28100=725.17.解:记事件“在竞赛中,有k 人获奖”为A k (k ∈N,k ≤5),则事件A k 彼此互斥.(1)∵获奖人数不超过2的概率为0.56,∴P (A 0)+P (A 1)+P (A 2)=0.1+0.16+x=0.56,解得x=0.3.(2)由获奖人数最多为4的概率为0.96,得P (A 5)=1-0.96=0.04,即z=0.04.由获奖人数最少为3的概率为0.44,得P (A 3)+P (A 4)+P (A 5)=0.44,即y+0.2+0.04=0.44,解得y=0.2.18.解:(1)由题中数据可得 甲=16×(99+100+98+100+100+103)=100(cm); 乙=16×(99+100+102+99+100+100)=100(cm).甲2=16×(1+0+4+0+0+9)=73, 乙2=16×(1+0+4+1+0+0)=1.(2)由(1)知两台机床所加工零件的直径的平均数相同,又 甲2> 乙2,所以乙机床加工零件的质量更稳定.19.解:(1)由题意可知,样本量n=80.016×10=50,y=250×10=0.004,x=0.1-0.016-0.04-0.01-0.004=0.03.(2)由频率分布直方图可估计,参加本次竞赛的学生成绩的众数为75分.设样本数据的中位数为m ,因为(0.016+0.03)×10<0.5<(0.016+0.03+0.04)×10,所以m ∈[70,80),所以(0.016+0.03)×10+(m-70)×0.04=0.5,解得m=71,故估计参加本次竞赛的学生成绩的中位数为71分.由频率分布直方图可估计,参加本次竞赛的学生成绩的平均数为55×0.16+65×0.3+75×0.4+85×0.1+95×0.04=70.6(分).20.解:记从甲、乙机床生产的产品中取1件是废品分别为事件A ,B ,则事件A ,B 相互独立,且P (A )=0.04,P (B )=0.05.(1)设“至少有1件废品”为事件C ,则P (C )=1-P ( )=1-P ( )P ( )=1-(1-0.04)×(1-0.05)=0.088.(2)设“恰有1件废品”为事件D ,则P (D )=P (A )+P ( B )=0.04×(1-0.05)+(1-0.04)×0.05=0.086.21.解:(1)试验的所有样本点为(1,1),(1,2),(1,3),(1,4),(2,1),(2,2),(2,3),(2,4),(3,1),(3,2),(3,3),(3,4),(4,1),(4,2),( 4,3),(4,4),共16个.事件“xy≤3”包含的样本点有(1,1),(1,2),(1,3),(2,1),(3,1),共5个,所以小亮获得玩具的概率为516.(2)事件“xy≥8”包含的样本点有(2,4),(3,3),(3,4),(4,2),(4,3),(4,4),共6个,所以小亮获得水杯的概率为38,小亮获得饮料的概率为1-516-38=516,所以小亮获得水杯的概率大于获得饮料的概率.22.解:(1)由频率分布直方图知(0.002+0.004+0.014+0.02+0.035+a)×10=1,即10×(0.075+a)=1,解得a=0.025,设共有n人参与评分,则600 =(0.035+0.025)×10,解得n=1000,即参与评分的总人数为1000.(2)由频率分布直方图知各组的频率分别为0.02,0.04,0.14,0.2,0.35,0.25,所以η=45×0.02+55×0.04+65×0.14+75×0.2+85×0.35+95×0.25100=0.807>0.8,所以该区防疫工作不需要进行大调整.(3)因为0.002×10×1000=20,0.004×10×1000=40,所以评分在[40,50),[50,60)内的居民人数分别为20,40,所以所抽取的评分在[40,50)内的居民人数为20×660=2,将这2人分别记为a,b,所抽取的评分在[50,60)内的居民人数为40×660=4,将这4人分别记为A,B,C,D.从这6人中抽取2人,试验的样本点有ab,aA,aB,aC,aD,bA,bB,bC,bD,AB,AC,AD,BC,BD,CD,共15个.而“仅有1人对防疫工作的评分在[40,50)内”包含的样本点有aA,aB,aC,aD,bA,bB,bC,bD,共8个,则所求事件的概率为815.。
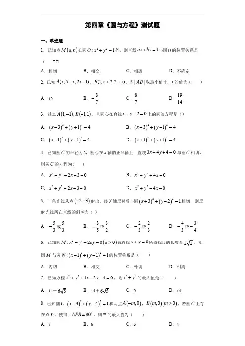
圆与方程一、选择题1.(2016·葫芦岛高一检测)过点(21)的直线中被圆x 2+y 2-2x +4y =0截得的最长弦所在的直线方程为( )A .3x -y -5=0B .3x +y -7=0C .x +3y -5=0D .x -3y +1=0【解析】 依题意知所求直线通过圆心(1-2)由直线的两点式方程得y +21+2=x -12-1即3x -y -5=0故选A 【答案】 A2.已知点M (ab )在圆O :x 2+y 2=1外则直线ax +by =1与圆O 的位置关系是( )A .相切B .相交C .相离D .不确定【解析】 由题意知点在圆外则a 2+b 2>1圆心到直线的距离d =1a 2+b2<1故直线与圆相交.【答案】 B3.若P (2-1)为圆C :(x -1)2+y 2=25的弦AB 的中点则直线AB 的方程是( ) A .2x -y -5=0 B .2x +y -3=0 C .x +y -1=0D .x -y -3=0【解析】 圆心C (10)k PC =0-(-1)1-2=-1则k AB =1AB 的方程为y +1=x -2 即x -y -3=0故选D 【答案】 D4.圆心在x 轴上半径为1且过点(21)的圆的方程是( ) A .(x -2)2+y 2=1 B .(x +2)2+y 2=1C.(x-1)2+(y-3)2=1D.x2+(y-2)2=1【解析】设圆心坐标为(a0)则由题意可知(a-2)2+(1-0)2=1解得a=2故所求圆的方程是(x-2)2+y2=1【答案】 A8.(2016·泰安高一检测)圆x2+y2-4x-4y-10=0上的点到直线x+y-14=0的最大距离与最小距离的差是()【09960151】A.36 B.18C.6 2 D.5 2【解析】圆x2+y2-4x-4y-10=0的圆心为(22)半径为32圆心到直线x+y-14=0的距离为|2+2-14|2=52>32圆上的点到直线的最大距离与最小距离的差是2R=6 2【答案】 C9.过点P(-24)作圆O:(x-2)2+(y-1)2=25的切线l直线m:ax-3y=0与直线l平行则直线l与m的距离为()A.4 B.2C 85D125【解析】P为圆上一点则有k OP·k l=-1而k OP=4-1-2-2=-34∴k l=43∴a=4∴m:4x-3y=0l:4x-3y+20=0∴l与m的距离为|20|42+(-3)2=4【答案】 A10.一个几何体的三视图如图1所示正视图和侧视图都是等边三角形该几何体的四个顶点在空间直角坐标系Oxyz中的坐标分别是(000)(200)(220)(020)则第五个顶点的坐标可能是()图1A .(111)B .(112)C .(113)D .(223)【解析】 由三视图知该几何体为正四棱锥正四棱锥的顶点在底面的射影是底面正方形的中心高为3则第五个顶点的坐标为(113).故选C【答案】 C11.已知圆C 1:(x +2)2+(y -2)2=2圆C 2与圆C 1关于直线x -y -1=0对称则圆C 2的方程为( )A .(x +3)2+(y -3)2=2B .(x -1)2+(y +1)2=2C .(x -2)2+(y +2)2=2D .(x -3)2+(y +3)2=2【解析】 设点(-22)关于直线x -y -1=0的对称点为Q (mn )则⎩⎪⎨⎪⎧n -2m +2×1=-1,m -22-n +22-1=0,解得m =3n =-3所以圆C 2的圆心坐标为(3-3)所以圆C 2的方程为(x -3)2+(y +3)2=2故选D【答案】 D12.(2016·台州高二检测)已知圆O :x 2+y 2-4=0圆C :x 2+y 2+2x -15=0若圆O 的切线l 交圆C 于AB 两点则△OAB 面积的取值范围是( )图2 A.[27215] B.[278] C.[23215] D.[238]【解析】S△OAB =12|AB|·2=|AB|设C到AB的距离为d则|AB|=242-d2又d∈[13]7≤42-d2≤15所以S△OAB=|AB|∈[27215].【答案】 A二、填空题(本大题共4小题每小题5分共20分将答案填在题中的横线上) 13.已知A(123)B(56-7)则线段AB中点D的坐标为________.【解析】设D(xyz)由中点坐标公式可得x=1+52=3y=2+62=4z=3-72=-2所以D(34-2).【答案】(34-2)14.以原点O为圆心且截直线3x+4y+15=0所得弦长为8的圆的方程是________.【解析】原点O到直线的距离d=1532+42=3设圆的半径为r∴r2=32+42=25∴圆的方程是x2+y2=25【答案】x2+y2=2515.(2015·重庆高考)若点P(12)在以坐标原点为圆心的圆上则该圆在点P处的切线方程为________.【解析】∵以原点O为圆心的圆过点P(12)∴圆的方程为x2+y2=5∵k OP=2∴切线的斜率k=-1 2由点斜式可得切线方程为y -2=-12(x -1) 即x +2y -5=0 【答案】 x +2y -5=016.若xy ∈R 且x =1-y 2则y +2x +1的取值范围是________.【解析】x =1-y 2⇔x 2+y 2=1(x ≥0)此方程表示半圆如图设P (xy )是半圆上的点则y +2x +1表示过点P (xy )Q (-1-2)两点直线的斜率.设切线QA 的斜率为k 则它的方程为y +2=k (x +1).从而由|k -2|k 2+1=1解得k =34又k BQ=3∴所求范围是⎣⎢⎡⎦⎥⎤34,3 【答案】 ⎣⎢⎡⎦⎥⎤34,3三、解答题(本大题共6小题共70分.解答应写出文字说明证明过程或演算步骤)17.(本小题满分10分)求经过两点A (-14)B (32)且圆心在y 轴上的圆的方程. 【解】 法一:∵圆心在y 轴上 设圆的标准方程是x 2+(y -b )2=r 2 ∵该圆经过A 、B 两点∴⎩⎨⎧ (-1)2+(4-b )2=r 2,32+(2-b )2=r 2,∴⎩⎨⎧b =1,r 2=10. 所以圆的方程是x 2+(y -1)2=10 法二:线段AB 的中点为(13) k AB =2-43-(-1)=-12∴弦AB 的垂直平分线方程为y -3=2(x -1) 即y =2x +1由⎩⎨⎧y =2x +1,x =0,得(01)为所求圆的圆心. 由两点间距离公式得圆半径r 为 (0+1)2+(1-4)2=10∴所求圆的方程为x 2+(y -1)2=1018.(本小题满分12分)如图3所示BC =4原点O 是BC 的中点点A 的坐标是⎝ ⎛⎭⎪⎫32,12,0点D 在平面yOz 上且∠BDC =90°∠DCB =30°求AD 的长度.图3【解】 由题意得B (0-20)C (020)设D (0yz )在Rt △BDC 中∠DCB =30° ∴|BD |=2|CD |=23∴z =32-y =3 ∴y =-1∴D (0-13). 又∵A ⎝ ⎛⎭⎪⎫32,12,0∴|AD |=⎝ ⎛⎭⎪⎫322+⎝⎛⎭⎪⎫12+12+()-32= 619.(本小题满分12分)已知圆C :(x -1)2+(y -2)2=25直线l :(2m +1)x +(m +1)y -7m -4=0(m ∈R ).(1)证明:不论m 为何值时直线和圆恒相交于两点; (2)求直线l 被圆C 截得的弦长最小时的方程. 【解】 (1)证明:由(2m +1)x +(m +1)y -7m -4=0 得(2x +y -7)m +x +y -4=0 解⎩⎨⎧ 2x +y -7=0,x +y -4=0,得⎩⎨⎧x =3,y =1,∴直线l 恒过定点A (31).又∵(3-1)2+(1-2)2=5<25 ∴(31)在圆C 的内部故直线l 与圆C 恒有两个公共点.(2)当直线l被圆C截得的弦长最小时有l⊥AC由k AC=-12得l的方程为y-1=2(x-3)即2x-y-5=020.(本小题满分12分)点A(02)是圆x2+y2=16内的定点BC是这个圆上的两个动点若BA⊥CA求BC中点M的轨迹方程并说明它的轨迹是什么曲线.【解】设点M(xy)因为M是弦BC的中点故OM⊥BC又∵∠BAC=90°∴|MA|=12|BC|=|MB|∵|MB|2=|OB|2-|OM|2∴|OB|2=|MO|2+|MA|2即42=(x2+y2)+[(x-0)2+(y-2)2]化简为x2+y2-2y-6=0即x2+(y-1)2=7∴所求轨迹为以(01)为圆心以7为半径的圆.21.(本小题满分12分)如图4所示平行四边形ABCD的对角线AC与BD交于E点定点AC的坐标分别是A(-23)C(21).图4(1)求以线段AC为直径的圆E的方程;(2)若B点的坐标为(-2-2)求直线BC截圆E所得的弦长.【解】(1)AC的中点E(02)即为圆心半径r=12|AC|=1242+(-2)2= 5所以圆E的方程为x2+(y-2)2=5(2)直线BC的斜率k=1-(-2)2-(-2)=34其方程为y-1=34(x-2)即3x-4y-2=0点E到直线BC的距离为d=|-8-2|5=2所以BC截圆E所得的弦长为25-22=222(本小题满分12分)如图5已知圆C:x2+y2+10x+10y=0点A(06).(1)求圆心在直线y=x上经过点A且与圆C相外切的圆N的方程;(2)若过点A的直线m与圆C交于PQ两点且圆弧PQ恰为圆C周长的14求直线m的方程.【09960152】图5【解】(1)由x2+y2+10x+10y=0化为标准方程:(x+5)2+(y+5)2=50所以圆C的圆心坐标为C(-5-5)又圆N的圆心在直线y=x上所以当两圆外切时切点为O设圆N的圆心坐标为(aa) 则有(a-0)2+(a-6)2=(a-0)2+(a-0)2解得a=3所以圆N的圆心坐标为(33)半径r=3 2故圆N的方程为(x-3)2+(y-3)2=18(2)因为圆弧PQ恰为圆C周长的14所以CP⊥CQ所以点C到直线m的距离为5当直线m的斜率不存在时点C到y轴的距离为5直线m即为y轴所以此时直线m的方程为x=0当直线m的斜率存在时设直线m的方程为y=kx+6即kx-y+6=0所以|-5k+5+6|1+k2=5解得k=4855所以此时直线m的方程为4855x-y+6=0即48x-55y+330=0故所求直线m的方程为x=0或48x-55y+330=0。
第二章单元测试1.下列命题正确的是………………………………………………( ) A .三点确定一个平面 B .经过一条直线和一个点确定一个平面 C .四边形确定一个平面 D .两条相交直线确定一个平面2.若直线a 不平行于平面α,且α⊄a ,则下列结论成立的是( ) A .α内的所有直线与a 异面 B .α内不存在与a 平行的直线 C .α内存在唯一的直线与a 平行 D .α内的直线与a 都相交 3.平行于同一平面的两条直线的位置关系………………………( ) A .平行 B .相交 C .异面 D .平行、相交或异面 4.平面α与平面β平行的条件可以是…………………………( ) A .α内有无穷多条直线都与β平行B .直线βα//,//a a 且直线a 不在α内,也不在β内C .直线α⊂a ,直线β⊂b 且β//a ,α//bD .α内的任何直线都与β平行5.下列命题中,错误的是…………………………………………( ) A .平行于同一条直线的两个平面平行 B .平行于同一个平面的两个平面平行 C .一个平面与两个平行平面相交,交线平行D .一条直线与两个平行平面中的一个相交,则必与另一个相交 6.已知两个平面垂直,下列命题①一个平面内已知直线必垂直于另一个平面内的任意一条直线 ②一个平面内的已知直线必垂直于另一个平面的无数条直线 ③一个平面内的任一条直线必垂直于另一个平面④过一个平面内任意一点作交线的垂线,则此垂线必垂直于另一个平面 其中正确的个数是…………………………………………( ) A .3 B .2 C .1 D .07.下列命题中错误的是……………………………………( ) A .如果平面βα⊥,那么平面α内所有直线都垂直于平面βB .如果平面βα⊥,那么平面α一定存在直线平行于平面βC .如果平面α不垂直于平面β,那么平面α内一定不存在直线垂直于平面βD .如果平面τα⊥,τβ⊥,l =⋂βα,那么τ⊥l 8.如图是正方体的平面展开图,则在这个正方体中 ①BM 与ED 平行 ②CN 与BE 异面 ③CN 与BM 成 60 ④DM 与BN 垂直 以上四个命题中,正确命题的序号是( ) A .①②③ B .②④ C .③④ D .②③④9.不共面的四点可以确定平面的个数为 ( ) A . 2个 B . 3个 C . 4个 D .无法确定 10.已知直线a 、b 与平面α、β、γ,下列条件中能推出α∥β的是 ( ) A .a ⊥α且a ⊥β B .α⊥γ且β⊥γ C .a ⊂α,b ⊂β,a ∥b D .a ⊂α,b ⊂α,a ∥β,b ∥β 11.下列四个说法 ①a //α,b ⊂α,则a // b ②a ∩α=P ,b ⊂α,则a 与b 不平行 ③a ⊄α,则a //α ④a //α,b //α,则a // b 其中错误的说法的个数是 ( ) A .1个 B .2个 C .3个 D .4个 12.如图,A —BCDE 是一个四棱锥,AB ⊥平面BCDE ,且四边形BCDE 为矩形,则图中互相垂直的平面共有( )A .4组B .5组C .6组D .7组13.(12分)已知正方方体111'D C B A ABCD -,求:(1)异面直线11CC BA 和的夹角是多少? (2)B A 1和平面11B CDA 所成的角?(3)平面11B CDA 和平面ABCD 所成二面角的大小?AB CDEFMN C A 1B 11P A BCDCABPMN14.(12分)如图,在三棱锥P —ABC 中,PA 垂直于平面ABC ,AC ⊥BC . 求证:BC ⊥平面PAC .15.(10分)如图:AB 是⊙O 的直径,PA 垂直于⊙O 所在的平面,C 是圆周上不同于B A ,的任意一点,求证: PAC BC 平面⊥16.(12分)如图,在四棱锥P —ABCD 中,M ,N 分别是AB ,PC 的中点,若ABCD 是平行四边形.求证:MN ∥平面PAD .,M N 分别是17. 如图:S 是平行四边形ABCD 平面外一点,,SA BD 上的点,且SM AM =NDBN, 求证://MN 平面SCDA BCP O17.(14分)如图正方形ABCD 中,O 为中心,P O ⊥面ABCD ,E 是PC 中点, 求证:(1)PA ||平面BDE ; (2)面PAC ⊥面BDE.18.(14分)如图,直三棱柱ABC —A 1B 1C 1 中,AC =BC =1,∠ACB =90°,AA 1 =2,D 是A 1B 1 中点.(1)求证C 1D ⊥平面A 1B ;(2)当点F 在BB 1 上什么位置时,会使得AB 1 ⊥平面 C 1DF ?并证明你的结论.19.在正方体ABCD A B C D E F BB CD -11111中,、分别是、的中点 (1)证明:AD D F ⊥1; (2)求AE D F 与1所成的角; (3)证明:面面AED A FD ⊥11.必修2第三章《直线与方程》单元测试题一、选择题(本大题共10小题,每小题5分,共50分)1.若直线过点(1,2),(4,2+3),则此直线的倾斜角是( ) A 30° B 45° C 60° D 90°2. 如果直线ax+2y+2=0与直线3x-y-2=0平行,则系数a=A 、 -3B 、-6C 、23- D 、323.点P (-1,2)到直线8x-6y+15=0的距离为( )(A )2 (B )21 (C )1 (D )274. 点M(4,m )关于点N(n, - 3)的对称点为P(6,-9),则( ) A m =-3,n =10 B m =3,n =10 C m =-3,n =5 D m =3,n =55.以A(1,3),B(-5,1)为端点的线段的垂直平分线方程是( )A 3x-y-8=0 B 3x+y+4=0 C 3x-y+6=0 D 3x+y+2=06.过点M(2,1)的直线与X轴,Y轴分别交于P,Q两点,且|MP|=|MQ|, 则L的方程是( )A x-2y+3=0 B 2x-y-3=0 C 2x+y-5=0 D x+2y-4=0 7. 直线mx-y+2m+1=0经过一定点,则该点的坐标是 A (-2,1) B (2,1) C (1,-2) D (1,2)8. 直线0202=++=++n y x m y x 和的位置关系是(A )平行 (B )垂直 (C )相交但不垂直 (D )不能确定 9. 如图1,直线l 1、l 2、l 3的斜率分别为k 1、k 2、k 3,则必有 A. k 1<k 3<k 2 B. k 3<k 1<k 2C. k 1<k 2<k 3D. k 3<k 2<k 110.已知A (1,2)、B (-1,4)、C (5,2),则ΔABC 的边AB 上的中线所在的直线方程为( )(A )x+5y-15=0 (B)x=3 (C) x-y+1=0 (D)y-3=0二、填空题(本大题共4小题,每小题5分,共20分)11.已知点)4,5(-A 和),2,3(B 则过点)2,1(-C 且与B A ,的距离相等的直线方程为 . 12.过点P(1,2)且在X轴,Y轴上截距相等的直线方程是 . 13.直线5x+12y+3=0与直线10x+24y+5=0的距离是 . 14.原点O在直线L上的射影为点H(-2,1),则直线L的方程为 . 三、解答题(本大题共3小题,每小题10分,共30分)15. ①求平行于直线3x+4y-12=0,且与它的 16.直线x+m 2y+6=0与直线(m-2)x+3my+2m=0距离是7的直线的方程; 没有公共点,求实数m 的值. ②求垂直于直线x+3y-5=0, 且与点P(-1,0)的距离是1053的直线的方程.*17.已知直线l 被两平行直线063=-+y x 033=++y x 和所截得的线段长为3,且直线过点(1,0),求直线l 的方程.参考答案:1.A ;2.B ;3.B ;4.D ;5.B ;6.D ;7.A ;8.C ;9.A ;10.A. 11.x+4y-7=0或x=-1;12.x+y-3=0或2x-y=0;13.261;14.2x-y+5=0; 15. (1)3x+4y+23=0或3x+4y-47=0;(2)3x-y+9=0或3x-y-3=0. 16.m=0或m=-1;17.x=1或3x-4y-3=0.必修2第四章《圆与方程》单元测试题一、 选择题(本大题共10小题,每小题5分,共50分) 1.方程x 2+y 2+2ax-by+c=0表示圆心为C (2,2),半径为2的圆,则a 、b 、c 的值 依次为(A )2、4、4; (B )-2、4、4; (C )2、-4、4; (D )2、-4、-4 2.直线3x-4y-4=0被圆(x-3)2+y 2=9截得的弦长为( ) (A)22 (B)4 (C)24 (D)23.点4)()()1,1(22=++-a y a x 在圆的内部,则a 的取值范围是( )(A) 11<<-a (B) 10<<a (C) 11>-<a a 或 (D)1±=a4.自点 1)3()2()4,1(22=-+--y x A 作圆的切线,则切线长为( )(A)5 (B) 3 (C)10 (D) 55.已知M (-2,0), N (2,0), 则以MN 为斜边的直角三角形直角顶点P 的轨迹方程是( )(A) 222=+y x (B) 422=+y x (C) )2(222±≠=+x y x (D) )2(422±≠=+x y x6.若直线(1+a)x+y+1=0与圆x 2+y 2-2x=0相切,则a 的值为A 、1,-1B 、2,-2C 、1D 、-17.过原点的直线与圆x 2+y 2+4x+3=0相切,若切点在第三象限,则该直线的方程是A 、x y 3=B 、x y 3-=C 、x y 33=D 、x y 33-= 8.过点A (1,-1)、B (-1,1)且圆心在直线x+y-2=0上的圆的方程是A 、(x-3)2+(y+1)2=4B 、(x+3)2+(y-1)2=4C 、(x-1)2+(y-1)2=4D 、(x+1)2+(y+1)2=4 9.直线0323=-+y x 截圆x 2+y 2=4得的劣弧所对的圆心角是A 、6π B 、4π C 、3π D 、2π 10.M (x 0,y 0)为圆x 2+y 2=a 2(a>0)内异于圆心的一点,则直线x 0x+y 0y=a 2与 该圆的位置关系是( )A 、相切B 、相交C 、相离D 、相切或相交二、填空题(本大题共4小题,每小题5分,共20分)11.以点A(1,4)、B(3,-2)为直径的两个端点的圆的方程为 .12.设A 为圆1)2()2(22=-+-y x 上一动点,则A 到直线05=--y x 的最大距离为______. 13.过点P(-1,6)且与圆4)2()3(22=-++y x 相切的直线方程是________________. 14.过圆x 2+y 2-x+y-2=0和x 2+y 2=5的交点,且圆心在直线3x+4y-1=0上的圆的方程为 . 2+y 2-8x=0的弦OA 。
模块综合检测(二)(满分:150分 时间:120分钟)一、单项选择题(本题共8小题,每小题5分,共40分.在每小题给出的四个选项中,只有一项是符合题目要求的)1.已知f (x )=ln x 2x ,则lim Δx →0f ⎝ ⎛⎭⎪⎫12-f ⎝ ⎛⎭⎪⎫12+Δx Δx =( ) A .-2-ln 2B .-2+ln 2C .2-ln 2D .2+ln 2A [由题意,函数f (x )=ln x 2x , 则f ′(x )=1x ·2x -(2x )′ln x (2x )2=2x -12⎝ ⎛⎭⎪⎫1-12ln x 2x , 则lim Δx →0f ⎝ ⎛⎭⎪⎫12-f ⎝ ⎛⎭⎪⎫12+Δx Δx =-f ′⎝ ⎛⎭⎪⎫12=-2+ln 22×12=-2-ln 2,故选A.] 2.等比数列{a n }是递减数列,前n 项的积为T n ,若T 13=4T 9,则a 8a 15=( )A .±2B .±4C .2D .4C [∵T 13=4T 9,∴a 1a 2…a 9a 10a 11a 12a 13=4a 1a 2…a 9,∴a 10a 11a 12a 13=4.又∵a 10·a 13=a 11·a 12=a 8·a 15,∴(a 8·a 15)2=4,∴a 8a 15=±2.又∵{a n }为递减数列,∴q >0,∴a 8a 15=2.]3.已知公差不为0的等差数列{a n }的前23项的和等于前8项的和.若a 8+a k =0,则k =( )A .22B .23C .24D .25C [等差数列的前n 项和S n 可看做关于n 的二次函数(图象过原点).由S 23=S 8,得S n 的图象关于n =312对称,所以S 15=S 16,即a 16=0,所以a 8+a 24=2a 16=0,所以k =24.]4.已知函数f (x )=(x +a )e x 的图象在x =1和x =-1处的切线相互垂直,则a =( )A .-1B .0C .1D .2A [因为f ′(x )=(x +a +1)e x ,所以f ′(1)=(a +2)e ,f ′(-1)=a e -1=a e ,由题意有f (1)f ′(-1)=-1,所以a =-1,选A.]5.设S n 是公差不为0的等差数列{a n }的前n 项和,S 3=a 22,且S 1,S 2,S 4成等比数列,则a 10=( )A .15B .19C .21D .30B [由S 3=a 22得3a 2=a 22,故a 2=0或a 2=3.由S 1,S 2,S 4成等比数列可得S 22=S 1·S 4,又S 1=a 2-d ,S 2=2a 2-d ,S 4=4a 2+2d ,故(2a 2-d )2=(a 2-d )(4a 2+2d ),化简得3d 2=2a 2d ,又d ≠0,∴a 2=3,d =2,a 1=1,∴a n =1+2(n -1)=2n -1,∴a 10=19.]6.若函数f (x )=ax -ln x 的图象上存在与直线x +2y -4=0垂直的切线,则实数a 的取值X 围是( )A .(-2,+∞)B .⎝ ⎛⎭⎪⎫12,+∞ C .⎝ ⎛⎭⎪⎫-12,+∞ D .(2,+∞)D [因为函数f (x )=ax -ln x 的图象上存在与直线x +2y -4=0垂直的切线,所以函数f (x )=ax -ln x 的图象上存在斜率为2的切线,故k =f ′(x )=a -1x =2有解,所以a =2+1x ,x >0有解,因为y =2+1x ,x >0的值域为(2,+∞).所以a ∈(2,+∞).]7.已知等差数列{}a n 的前n 项为S n ,且a 1+a 5=-14,S 9=-27,则使得S n 取最小值时的n 为( )A .1B .6C .7D .6或7B [由等差数列{a n }的性质,可得a 1+a 5=2a 3=-14⇒a 3=-7,又S 9=9(a 1+a 9)2=-27⇒a 1+a 9=-6⇒a 5=-3,所以d =a 5-a 35-3=2,所以数列{a n }的通项公式为a n =a 3+(n -3)d =-7+(n -3)×2=2n -13,令a n ≤0⇒2n -13≤0,解得n ≤132,所以数列的前6项为负数,从第7项开始为正数,所以使得S n 取最小值时的n 为6,故选B.]8.若方底无盖水箱的容积为256,则最省材料时,它的高为( )A .4B .6C .4.5D .8A [设底面边长为x ,高为h ,则V (x )=x 2·h =256,∴h =256x 2.∴S (x )=x 2+4xh =x 2+4x ·256x 2=x 2+4×256x ,∴S ′(x )=2x -4×256x 2. 令S ′(x )=0,解得x =8,∴当x =8时,S (x )取得最小值.∴h =25682=4.]二、多项选择题(本题共4小题,每小题5分,共20分.在每小题给出的选项中,有多项符合题目要求.全部选对的得5分,部分选对的得3分,有选错的得0分)9.设数列{}a n 是等差数列,S n 是其前n 项和,a 1>0,且S 6=S 9,则( )A .d <0B .a 8=0C .S 5>S 6D .S 7或S 8为S n 的最大值ABD [根据题意可得a 7+a 8+a 9=0⇒3a 8=0⇒a 8=0,∵数列{}a n 是等差数列,a 1>0,∴公差d <0,所以数列{}a n 是单调递减数列, 对于A 、B ,d <0,a 8=0,显然成立;对于C ,由a 6>0,则S 5<S 6,故C 不正确;对于D ,由a 8=0,则S 7=S 8,又数列为递减数列,则S 7或S 8为S n 的最大值,故D 正确.故选ABD.]10.如图是y =f (x )导数的图象,对于下列四个判断,其中正确的判断是( )A .f (x )在(-2,-1)上是增函数B .当x =-1时,f (x )取得极小值C .f (x )在(-1,2)上是增函数,在(2,4)上是减函数D .当x =3时,f (x )取得极小值BC [根据图象知当x ∈(-2,-1),x ∈(2,4)时,f ′(x )<0,函数单调递减; 当x ∈(-1,2),x ∈(4,+∞)时,f ′(x )>0,函数单调递增.故A 错误;故当x =-1时,f (x )取得极小值,B 正确;C 正确;当x =3时,f (x )不是取得极小值,D 错误.故选BC.]11.已知等比数列{}a n 的公比q =-23,等差数列{}b n 的首项b 1=12,若a 9>b 9且a 10>b 10,则以下结论正确的有( )A .a 9a 10<0B .a 9>a 10C .b 10>0D .b 9>b 10AD [∵等比数列{}a n 的公比q =-23,∴a 9和a 10异号,∴a 9a 10<0 ,故A 正确;但不能确定a 9和a 10的大小关系,故B 不正确;∵a 9和a 10异号,且a 9>b 9且a 10>b 10,∴b 9和b 10中至少有一个数是负数, 又∵b 1=12>0 ,∴d <0,∴b 9>b 10 ,故D 正确,∴b 10一定是负数,即b 10<0 ,故C 不正确. 故选AD.]12.已知函数f (x )=x ln x ,若0<x 1<x 2,则下列结论正确的是( )A .x 2f (x 1)<x 1f (x 2)B .x 1+f (x 1)<x 2+f (x 2)C .f (x 1)-f (x 2)x 1-x 2<0 D .当ln x >-1时,x 1f (x 1)+x 2f (x 2)>2x 2f (x 1)AD [设g (x )=f (x )x =ln x ,函数单调递增,则g (x 2)>g (x 1),即f (x 2)x 2>f (x 1)x 1,∴x 1f (x 2)>x 2f (x 1),A 正确; 设h (x )=f (x )+x ∴h ′(x )=ln x +2不是恒大于零,B 错误;f (x )=x ln x ,∴f ′(x )=ln x +1不是恒小于零,C 错误;ln x >-1,故f ′(x )=ln x +1>0,函数单调递增.故(x 2-x 1)(f (x 2)-f (x 1))=x 1f (x 1)+x 2f (x 2)-x 2f (x 1)-x 1f (x 2)>0,即x 1f (x 1)+x 2f (x 2)>x 2f (x 1)+x 1f (x 2).f (x 2)x 2=ln x 2>f (x 1)x 1=ln x 1,∴x 1f (x 2)>x 2f (x 1),即x 1f (x 1)+x 2f (x 2)>2x 2f (x 1),D 正确.故选AD.]三、填空题(本题共4小题,每小题5分,共20分.把答案填在题中的横线上)13.数列{a n }的前n 项和为S n ,若a n +1=11-a n(n ∈N *),a 1=2,则S 50=________. 25[因为a n +1=11-a n (n ∈N *),a 1=2,所以a 2=11-a 1=-1,a 3=11-a 2=12,a 4=11-a 3=2,∴数列{a n }是以3为周期的周期数列,且前三项和S 3=2-1+12=32, ∴S 50=16S 3+2-1=25.]14.将边长为1 m 的正三角形薄铁皮,沿一条平行于某边的直线剪成两块,其中一块是梯形,记s =(梯形的周长)2梯形的面积,则s 的最小值是________. 3233[设AD =x (0<x <1),则DE =AD =x ,∴梯形的周长为x+2(1-x )+1=3-x .又S △ADE =34x 2,∴梯形的面积为34-34x 2,∴s =433×x 2-6x +91-x 2(0<x <1), 则s ′=-833×(3x -1)(x -3)(1-x 2)2. 令s ′=0,解得x =13.当x ∈⎝ ⎛⎭⎪⎫0,13时,s ′<0,s 为减函数;当x ∈⎝ ⎛⎭⎪⎫13,1时,s ′>0,s 为增函数.故当x =13时,s 取得极小值,也是最小值,此时s 的最小值为3233.]15.设公比为q (q >0)的等比数列{a n }的前n 项和为S n .若S 2=3a 2+2,S 4=3a 4+2,则q =________.32[由S 2=3a 2+2,S 4=3a 4+2相减可得a 3+a 4=3a 4-3a 2,同除以a 2可得2q 2-q -3=0,解得q =32或q =-1.因为q >0,所以q =32.]16.已知函数f (x )是定义在R 上的偶函数,当x >0时,xf ′(x )>f (x ),若f (2)=0,则2f (3)________3f (2)(填“>”“<”)不等式x ·f (x )>0的解集为________.(本题第一空2分,第二空3分)> (-2,0)∪(2,+∞)[由题意,令g (x )=f (x )x ,∵x >0时,g ′(x )=xf ′(x )-f (x )x 2>0.∴g (x )在(0,+∞)单调递增,∵f (x )x 在(0,+∞)上单调递增,∴f (3)3>f (2)2即2f (3)>3f (2).又∵f (-x )=f (x ),∴g (-x )=-g (x ),则g (x )是奇函数,且g (x )在(-∞,0)上递增,又g (2)=f (2)2=0,∴当0<x <2时,g (x )<0,当x >2时,g (x )>0;根据函数的奇偶性,可得当-2<x <0时,g (x )>0,当x <-2时,g (x )<0. ∴不等式x ·f (x )>0的解集为{x |-2<x <0或x >2}.]四、解答题(本题共6小题,共70分.解答应写出文字说明、证明过程或演算步骤)17.(本小题满分10分)在等差数列{}a n 中,已知a 1=1,a 3=-5.(1)求数列{}a n 的通项公式;(2)若数列{}a n 的前k 项和S k =-25,求k 的值.[解](1)由题意,设等差数列{}a n 的公差为d ,则a n =a 1+()n -1d ,因为a 1=1,a 3=-5,可得1+2d =-5,解得d =-3,所以数列{}a n 的通项公式为a n =1+()n -1×()-3=4-3n .(2)由(1)可知a n =4-3n ,所以S n =n [1+(4-3n )]2=-32n 2+52n ,又由S k =-25,可得-32k 2+52k =-25,即3k 2-5k -50=0,解得k =5或k =-103,又因为k ∈N *,所以k =5.18.(本小题满分12分)已知函数f (x )=a ln x +12x 2.(1)求f (x )的单调区间;(2)函数g (x )=23x 3-16(x >0),求证:a =1时f (x )的图象不在g (x )的图象的上方.[解](1)f ′(x )=a x +x (x >0),若a ≥0,则f ′(x )>0,f (x )在 (0,+∞)上单调递增;若a <0,令f ′(x )=0,解得x =±-a ,由f ′(x )=(x --a )(x +-a )x >0,得x >-a ,由f ′(x )<0,得0<x <-a .从而f (x )的单调递增区间为(-a ,+∞),单调递减区间为(0,-a ). (2)证明:令φ(x )=f (x )-g (x ),当a =1时,φ(x )=ln x +12x 2-23x 3+16(x >0),则φ′(x )=1x +x -2x 2=1+x 2-2x 3x =(1-x )(2x 2+x +1)x. 令φ′(x )=0,解得x =1.当0<x <1时,φ′(x )>0,φ(x )单调递增;当x >1时,φ′(x )<0,φ(x )单调递减.∴当x =1时,φ(x )取得最大值φ(1)=12-23+16=0,∴φ(x )≤0,即f (x )≤g (x ).故a =1时f (x )的图象不在g (x )的图象的上方.19.(本小题满分12分)已知数列{}a n 的前n 项和为S n ,且2S n =3a n -1.(1)求数列{}a n 的通项公式;(2)若数列{}b n 满足b n =log 3a n +1,求数列⎩⎪⎨⎪⎧⎭⎪⎬⎪⎫1b n b n +1的前n 项和T n .[解](1)由2S n =3a n -1()n ∈N +得,2S n -1=3a n -1-1()n ≥2.两式相减并整理得,a n =3a n -1()n ≥2.令n =1,由2S n =3a n -1()n ∈N +得,a 1=1.故{}a n 是以1为首项,公比为3的等比数列,因此a n =3n -1()n ∈N +.(2)由b n =log 3a n +1,结合a n =3n -1得,b n =n .则1b n b n +1=1n ()n +1=1n -1n +1 故T n =1b 1b 2+1b 2b 3+…+1b n b n +1=⎝ ⎛⎭⎪⎫1-12+⎝ ⎛⎭⎪⎫12-13+…+1n -1n +1=n n +1. 20.(本小题满分12分)某旅游景点预计2019年1月份起前x 个月的旅游人数的和p (x )(单位:万人)与x 的关系近似地满足p (x )=12x (x +1)(39-2x )(x ∈N *,且x ≤12).已知第x 个月的人均消费额q (x )(单位:元)与x 的近似关系是q (x )=⎩⎪⎨⎪⎧ 35-2x (x ∈N *,且1≤x ≤6),160x (x ∈N *,且7≤x ≤12).(1)写出2019年第x 个月的旅游人数f (x )(单位:万人)与x 的函数关系式;(2)问2019年第几个月旅游消费总额最大?最大月旅游消费总额为多少元?[解](1)当x =1时,f (1)=p (1)=37,当2≤x ≤12,且x ∈N *时,f (x )=p (x )-p (x -1)=12x (x +1)(39-2x )-12(x -1)x (41-2x )=-3x 2+40x ,验证x =1也满足此式,所以f (x )=-3x 2+40x (x ∈N *,且1≤x ≤12).(2)第x 个月旅游消费总额(单位:万元)为g (x )=⎩⎨⎧ (-3x 2+40x )(35-2x )(x ∈N *,且1≤x ≤6),(-3x 2+40x )·160x (x ∈N *,且7≤x ≤12),即g (x )=⎩⎪⎨⎪⎧6x 3-185x 2+1 400x (x ∈N *,且1≤x ≤6),-480x +6 400(x ∈N *,且7≤x ≤12). (i)当1≤x ≤6,且x ∈N *时,g ′(x )=18x 2-370x +1 400,令g ′(x )=0,解得x =5或x =1409(舍去).当1≤x <5时,g ′(x )>0,当5<x ≤6时,g ′(x )<0,∴当x =5时,g (x )max =g (5)=3 125.(ii)当7≤x ≤12,且x ∈N *时,g (x )=-480x +6 400是减函数,∴当x =7时,g (x )max =g (7)=3 040.综上,2019年5月份的旅游消费总额最大,最大旅游消费总额为3 125万元.21.(本小题满分12分)已知数列{a n }的通项公式为a n =3n -1,在等差数列{b n }中,b n >0,且b 1+b 2+b 3=15,又a 1+b 1,a 2+b 2,a 3+b 3成等比数列.(1)求数列{a n b n }的通项公式;(2)求数列{a n b n }的前n 项和T n .[解](1)∵a n =3n -1,∴a 1=1,a 2=3,a 3=9.∵在等差数列{b n }中,b 1+b 2+b 3=15,∴3b 2=15,则b 2=5.设等差数列{b n }的公差为d ,又a 1+b 1,a 2+b 2,a 3+b 3成等比数列,∴(1+5-d )(9+5+d )=64,解得d =-10或d =2.∵b n >0,∴d =-10应舍去,∴d =2,∴b 1=3,∴b n =2n +1.故a n b n=(2n+1)·3n-1.(2)由(1)知T n=3×1+5×3+7×32+…+(2n-1)3n-2+(2n+1)3n-1,①3T n=3×3+5×32+7×33+…+(2n-1)3n-1+(2n+1)3n,②①-②,得-2T n=3×1+2×3+2×32+2×33+…+2×3n-1-(2n+1)×3n =3+2×(3+32+33+…+3n-1)-(2n+1)×3n=3+2×3-3n1-3-(2n+1)×3n=3n-(2n+1)×3n=-2n·3n.∴T n=n·3n.22.(本小题满分12分)设函数f (x)=x3-6x+5,x∈R.(1)求f (x)的极值点;(2)若关于x的方程f (x)=a有3个不同实根,某某数a的取值X围;(3)已知当x∈(1,+∞)时,f (x)≥k(x-1)恒成立,某某数k的取值X围.[解](1)f ′(x)=3(x2-2),令f ′(x)=0,得x1=-2,x2= 2.当x∈(-∞,-2)∪(2,+∞)时,f ′(x)>0,当x∈(-2,2) 时,f ′(x)<0,因此x1=-2,x2=2分别为f (x)的极大值点、极小值点.(2)由(1)的分析可知y=f (x)图象的大致形状及走向如图所示.要使直线y=a 与y=f (x)的图象有3个不同交点需5-42=f (2)<a<f (-2)=5+4 2.则方程f (x)=a有3个不同实根时,所某某数a的取值X围为(5-42,5+42).(3)法一:f (x)≥k(x-1),即(x-1)(x2+x-5)≥k(x-1),因为x>1,所以k≤x2+x-5在(1,+∞)上恒成立,令g(x)=x2+x-5,由二次函数的性质得g(x)在(1,+∞)上是增函数,所以g(x)>g(1)=-3,所以所求k的取值X围是为(-∞,-3].法二:直线y=k(x-1)过定点(1,0)且f (1)=0,曲线f (x)在点(1,0)处切线斜率f ′(1)=-3,由(2)中图知要使x∈(1,+∞)时,f (x)≥k(x-1)恒成立需k≤-3.故实数k的取值X围为(-∞,-3].。
点、直线、平面之间的位置关系一、选择题1.设a、b为两条直线α、β为两个平面则正确的命题是()【09960089】A.若a、b与α所成的角相等则a∥bB.若a∥αb∥βα∥β则a∥bC.若a⊂αb⊂βa∥b则α∥βD.若a⊥αb⊥βα⊥β则a⊥b【解析】A中a、b可以平行、相交或异面;B中a、b可以平行或异面;C中α、β可以平行或相交.【答案】 D2.(2016·山西山大附中高二检测)如图1在正方体ABCD-A1B1C1D1中E、F、G、H分别为AA1、AB、BB1、B1C1的中点则异面直线EF与GH所成的角等于()图1A.45°B.60°C.90°D.120°【解析】如图连接A1B、BC1、A1C1则A1B=BC1=A1C1且EF∥A1B、GH∥BC1所以异面直线EF与GH所成的角等于60°【答案】 B3.设l为直线αβ是两个不同的平面.下列命题中正确的是() A.若l∥αl∥β则α∥βB.若l⊥αl⊥β则α∥βC.若l⊥αl∥β则α∥βD.若α⊥βl∥α则l⊥β【解析】选项A平行于同一条直线的两个平面也可能相交故选项A错误;选项B垂直于同一直线的两个平面互相平行选项B正确;选项C由条件应得α⊥β故选项C错误;选项D l与β的位置不确定故选项D错误.故选B【答案】 B7.(2015·洛阳高一检测)如图2△ADB和△ADC都是以D为直角顶点的等腰直角三角形且∠BAC=60°下列说法中错误的是()图2A.AD⊥平面BDCB.BD⊥平面ADCC.DC⊥平面ABDD.BC⊥平面ABD【解析】由题可知AD⊥BDAD⊥DC所以AD⊥平面BDC又△ABD与△ADC均为以D为直角顶点的等腰直角三角形所以AB=ACBD=DC=22AB又∠BAC=60°所以△ABC为等边三角形故BC=AB=2BD所以∠BDC=90°即BD⊥DC所以BD⊥平面ADC同理DC⊥平面ABD所以A、B、C项均正确.选D【答案】 D8.正四棱锥(顶点在底面的射影是底面正方形的中心)的体积为12底面对角线的长为26则侧面与底面所成的二面角为() A.30°B.45°C.60°D.90°【解析】由棱锥体积公式可得底面边长为23高为3在底面正方形的任一边上取其中点连接棱锥的顶点及其在底面的射影根据二面角定义即可判定其平面角在直角三角形中因为tan θ=3(设θ为所求平面角)所以二面角为60°选C【答案】 C9.将正方形ABCD沿BD折成直二面角M为CD的中点则∠AMD 的大小是()A.45°B.30°C.60°D.90°【解析】 如图设正方形边长为a 作AO ⊥BD 则AM =AO 2+OM 2=⎝ ⎛⎭⎪⎫22a 2+⎝ ⎛⎭⎪⎫12a 2=32a又AD =aDM =a2∴AD 2=DM 2+AM 2∴∠AMD =90° 【答案】 D10.在矩形ABCD 中若AB =3BC =4P A ⊥平面AC 且P A =1则点P 到对角线BD 的距离为( )A 292B 135C 175D 1195【解析】 如图过点A 作AE ⊥BD 于点E 连接PE∵P A ⊥平面ABCDBD ⊂平面ABCD ∴P A ⊥BD ∴BD ⊥平面P AE ∴BD ⊥PE∵AE =AB ·AD BD =125P A =1 ∴PE =1+⎝ ⎛⎭⎪⎫1252=135 【答案】 B11.(2016·大连高一检测)已知三棱柱ABC -A 1B 1C 1的侧棱与底面垂直体积为94底面是边长为3的正三角形.若P 为底面A 1B 1C 1的中心则P A 与平面ABC 所成角的大小为( )【09960090】A.75°B.60°C.45°D.30°【解析】如图所示P为正三角形A1B1C1的中心设O为△ABC的中心由题意知:PO⊥平面ABC连接OA则∠P AO即为P A与平面ABC 所成的角.在正三角形ABC中AB=BC=AC= 3则S=34×(3)2=334VABC-A1B1C1=S×PO=94∴PO= 3又AO=33×3=1∴tan ∠P AO=POAO=3∴∠P AO=60°【答案】 B12.正方体ABCD-A1B1C1D1中过点A作平面A1BD的垂线垂足为点H以下结论中错误的是()A.点H是△A1BD的垂心B.AH⊥平面CB1D1C.AH的延长线经过点C1D.直线AH和BB1所成的角为45°【解析】因为AH⊥平面A1BDBD⊂平面A1BD所以BD⊥AH又BD⊥AA1且AH∩AA1=A所以BD⊥平面AA1H又A1H⊂平面AA1H所以A1H⊥BD同理可证BH⊥A1D所以点H是△A1BD的垂心A正确.因为平面A1BD∥平面CB1D1所以AH⊥平面CB1D1B正确.易证AC1⊥平面A1BD因为过一点有且只有一条直线与已知平面垂直所以AC1和AH重合.故C正确.因为AA1∥BB1所以∠A1AH为直线AH和BB1所成的角.因为∠AA1H≠45°所以∠A1AH≠45°故D错误.【答案】 D二、填空题(本大题共4小题每小题5分共20分将答案填在题中的横线上)13.设平面α∥平面βA、C∈αB、D∈β直线AB与CD交于点S 且点S位于平面αβ之间AS=8BS=6CS=12则SD=________【解析】由面面平行的性质得AC∥BD ASBS=CSSD解得SD=9【答案】914.如图3四棱锥S-ABCD中底面ABCD为平行四边形E是SA上一点当点E满足条件:________时SC∥平面EBD图3【解析】当E是SA的中点时连接EBEDAC设AC与BD的交点为O连接EO∵四边形ABCD是平行四边形∴点O是AC的中点.又E是SA的中点∴OE是△SAC的中位线.∴OE∥SC∵SC⊄平面EBDOE⊂平面EBD∴SC∥平面EBD【答案】E是SA的中点15.如图4所示在正方体ABCD-A1B1C1D1中MN分别是棱AA1和AB上的点若∠B1MN是直角则∠C1MN等于________.图4【解析】∵B1C1⊥平面A1ABB1MN⊂平面A1ABB1∴B1C1⊥MN又∠B1MN为直角∴B1M⊥MN而B1M∩B1C1=B1∴MN ⊥平面MB 1C 1又MC 1⊂平面MB 1C 1 ∴MN ⊥MC 1∴∠C 1MN =90° 【答案】 90°16.已知四棱锥P -ABCD 的底面ABCD 是矩形P A ⊥底面ABCD 点E 、F 分别是棱PC 、PD 的中点则①棱AB 与PD 所在直线垂直; ②平面PBC 与平面ABCD 垂直; ③△PCD 的面积大于△P AB 的面积; ④直线AE 与直线BF 是异面直线.以上结论正确的是________.(写出所有正确结论的序号) 【解析】 由条件可得AB ⊥平面P AD ∴AB ⊥PD 故①正确;若平面PBC ⊥平面ABCD 由PB ⊥BC得PB ⊥平面ABCD 从而P A ∥PB 这是不可能的故②错;S △PCD =12CD ·PDS △P AB =12AB ·P A由AB =CDPD >P A 知③正确; 由E 、F 分别是棱PC 、PD 的中点 可得EF ∥CD 又AB ∥CD∴EF ∥AB 故AE 与BF 共面④错. 【答案】 ①③三、解答题(本大题共6小题共70分.解答应写出文字说明证明过程或演算步骤)17.(本小题满分10分)如图5所示已知△ABC 中∠ACB =90°SA ⊥平面ABCAD ⊥SC 求证:AD ⊥平面SBC图5【证明】∵∠ACB=90°∴BC⊥AC又∵SA⊥平面ABC∴SA⊥BC∵SA∩AC=A∴BC⊥平面SAC∴BC⊥AD又∵SC⊥ADSC∩BC=C∴AD⊥平面SBC18.(本小题满分12分)如图6三棱柱ABC-A1B1C1的侧棱与底面垂直AC=9BC=12AB=15AA1=12点D是AB的中点.图6(1)求证:AC⊥B1C;(2)求证:AC1∥平面CDB1【证明】(1)∵C1C⊥平面ABC∴C1C⊥AC∵AC=9BC=12AB=15∴AC2+BC2=AB2∴AC⊥BC又BC∩C1C=C∴AC⊥平面BCC1B1而B1C⊂平面BCC1B1∴AC⊥B1C(2)连接BC1交B1C于O点连接OD如图∵OD分别为BC1AB的中点∴OD∥AC1又OD⊂平面CDB1AC1⊄平面CDB1∴AC1∥平面CDB1 19.(本小题满分12分)(2016·德州高一检测)某几何体的三视图如图7所示P是正方形ABCD对角线的交点G是PB的中点.(1)根据三视图画出该几何体的直观图;(2)在直观图中①证明:PD∥面AGC;②证明:面PBD⊥面AGC图7【解】(1)该几何体的直观图如图所示:(2)证明:①连接ACBD交于点O连接OG因为G为PB的中点O为BD 的中点所以OG ∥PD②连接PO 由三视图知PO ⊥平面ABCD 所以AO ⊥PO又AO ⊥BO 所以AO ⊥平面PBD因为AO ⊂平面AGC所以平面PBD ⊥平面AGC20.(本小题满分12分)(2016·济宁高一检测)如图8正方形ABCD 和四边形ACEF 所在的平面互相垂直EF ∥ACAB =2CE =EF =1图8(1)求证:AF ∥平面BDE ;(2)求证:CF ⊥平面BDE【09960091】【证明】 (1)如图设AC 与BD 交于点G因为EF ∥AG 且EF =1AG =12AC =1所以四边形AGEF 为平行四边形.所以AF ∥EG因为EG⊂平面BDEAF⊄平面BDE所以AF∥平面BDE(2)连接FG∵EF∥CGEF=CG=1∴四边形CEFG为平行四边形又∵CE=EF=1∴▱CEFG为菱形∴EG⊥CF在正方形ABCD中AC⊥BD∵正方形ABCD和四边形ACEF所在的平面互相垂直∴BD⊥平面CEFG∴BD⊥CF又∵EG∩BD=G∴CF⊥平面BDE21.(本小题满分12分)(2015·山东高考)如图9三棱台DEF-ABC 中AB=2DEGH分别为ACBC的中点.图9(1)求证:BD∥平面FGH;(2)若CF⊥BCAB⊥BC求证:平面BCD⊥平面EGH【解】(1)证法一:连接DGCD设CD∩GF=M连接MH在三棱台DEF-ABC中AB=2DEG为AC的中点可得DF∥GCDF=GC所以四边形DFCG为平行四边形则M为CD的中点.又H为BC的中点所以MH∥BD又MH⊂平面FGHBD⊄平面FGH所以BD∥平面FGH 证法二:在三棱台DEF-ABC中由BC=2EFH为BC的中点可得BH∥EFBH=EF所以四边形BHFE为平行四边形可得BE∥HF在△ABC中G为AC的中点H为BC的中点所以GH∥AB又GH∩HF=H所以平面FGH∥平面ABED因为BD⊂平面ABED所以BD∥平面FGH(2)连接HE因为GH分别为ACBC的中点所以GH∥AB由AB⊥BC得GH⊥BC又H为BC的中点所以EF∥HCEF=HC因此四边形EFCH是平行四边形.所以CF∥HE又CF⊥BC所以HE⊥BC又HEGH⊂平面EGHHE∩GH=H所以BC⊥平面EGH又BC⊂平面BCD所以平面BCD⊥平面EGH22.(本小题满分12分)(2016·重庆高一检测)如图10所示ABCD是正方形O是正方形的中心PO⊥底面ABCD底面边长为aE是PC的中点.图10(1)求证:P A∥平面BDE;平面P AC⊥平面BDE;(2)若二面角E-BD-C为30°求四棱锥P-ABCD的体积.【解】(1)证明:连接OE如图所示.∵O、E分别为AC、PC的中点∴OE∥P A∵OE⊂平面BDEP A⊄平面BDE∴P A∥平面BDE∵PO⊥平面ABCD∴PO⊥BD在正方形ABCD中BD⊥AC又∵PO∩AC=O∴BD⊥平面P AC又∵BD⊂平面BDE∴平面P AC⊥平面BDE(2)取OC中点F连接EF∵E为PC中点∴EF为△POC的中位线∴EF∥PO又∵PO⊥平面ABCD∴EF⊥平面ABCD∵OF ⊥BD ∴OE ⊥BD∴∠EOF 为二面角E -BD -C 的平面角 ∴∠EOF =30°在Rt △OEF 中OF =12OC =14AC =24a∴EF =OF ·tan 30°=612a ∴OP =2EF =66a∴V P -ABCD =13×a 2×66a =618a 3。
第六章综合测试一、单项选择题(本大题共10小题,每小题5分,共50分.在每小题给出的四个选项中,只有一项是符合题目要求的)1.在ABC △中,内角,A B C ,的对边分别为,,a b c ,若a =,2A B =,则cos B 等于( )D.62.已知两个单位向量a 和b 的夹角为60︒,则向量-a b 在向量a 上的投影向量为( )A.12a B.aC.12-aD.-a3.已知点(2,1),(4,2)A B -,点P 在x 轴上,当PA PB 取最小值时,P 点的坐标是( ) A.(2,0) B.(4,0)C.10,03⎛⎫ ⎪⎝⎭D.(3,0)4.已知,,A B C 为圆O 上的三点,若有OA OC OB +=,圆O 的半径为2,则OB CB =( ) A.1- B.2- C.1 D.25.已知点(4,3)A 和点(1,2)B ,点O 为坐标原点,则||()OA tOB t +∈R 的最小值为( )A. B.5 C.36.已知锐角三角形的三边长分别为1,3,a ,那么a 的取值范围为( ) A.(8,10)B.C.D.7.已知圆的半径为4,,,a b c 为该圆的内接三角形的三边,若abc =,则三角形的面积为( )A.B.8.已知向量,a b 满足(2)(54)0+⋅-=a b a b ,且1==a b ,则a 与b 的夹角θ为( )A.34π B.4π C.3π D.23π 9.已知sin 1sin cos 2ααα=+,且向量(tan ,1)AB α=,(tan ,2)BC α=,则AC 等于( )A.(2,3)-B.(1,2)C.(4,3)D.(2,3)10.在ABC △中,E F ,分别为,AB AC 的中点,P 为EF 上的任意一点,实数,x y 满足PA xPB yPC ++=0,设,,,ABC PBC PCA PAB △△△△的面积分别为123,,,S S S S ,记(1,2,3)ii S i Sλ==,则23λλ⋅取到最大值时, 2x y +的值为( )A.1-B.1C.32-D.32二、多项选择题(本大题共2小题,每小题5分,共10分.在每小题给出的选项中,有多个选项符合题目要求,全部选对的得5分,有选错的得0分,部分选对的得2分)11.已知ABC △中,角,,A B C 的对边分别为,,a b c ,且满足,3B a c π=+,则ac=( ) A.2 B.3C.12D.1312.点P 是ABC △所在平面内一点,满足20PB PC PB PC PA --+-=,则ABC △的形状不可能是( ) A.钝角三角形 B.直角三角形 C.等腰三角形 D.等边三角形三、填空题(本大题共4小题,每小题5分,共20分.将答案填在题中横线上) 13.已知,12e e 是平面内的单位向量,且12⋅=12e e .若向量b 满足1⋅=⋅=12b e b e ,则=b ________.14.已知向量,a b 满足5,1==a b ,且4-a b ⋅a b 的最小值为________.15.如图,在直角梯形ABCD 中,AB DC ∥,AD DC ⊥,2DC A A B D ==,E 为AD 的中点,若CA CE DB λμ=+,则λ=________,μ=________.(本题第一空2分,第二空3分)16.如图所示,某海岛上一观察哨A 上午11时测得一轮船在海岛北偏东60︒的C 处,12时20分测得轮船在海岛北偏西60︒的B 处,12时40分轮船到达位于海岛正西方且距海岛5km 的E 港口,如果轮船始终匀速直线前进,则船速的大小为________.四、解答题(本大题共6小题,共70分.解答应写出文字说明、证明过程或演算步骤)17.(本小题满分10分)如图所示,以向量,OA OB ==a b 为邻边作OADB ,11,33BM BC CN CD ==,用,a b 表现,,OM ON MN .18.(本小题满分12分)已知ABC △的内角,,A B C 所对的边分别为,,a b c ,且2a =,3cos 5B =. (1)若4b =,求sin A 的值; (2)若4ABC S ∆=,求,b c 的值.19.(本小题满分12分)在ABC △中,角,,A B C 所对的边分别为,,a b c ,已知sin cos 1sin 2C C C +=-, (1)求sin C 的值;(2)若ABC △的外接圆面积为(4π+,试求AC BC 的取值范围.20.(本小题满分12分)某观测站在城A 南偏西20︒方向的C 处,由城A 出发的一条公路,走向是南偏东40︒,距C 处31千米的B 处有一人正沿公路向城A 走去,走了20千米后到达D 处,此时,C D 间的距离为21千米,问这人还要走多少千米可到达城A ?21.(本小题满分12分)已知正方形ABCD ,E F 、分别是CD AD 、的中点,BE CF 、交于点P ,连接AP .用向量法证明: (1)BE CF ⊥; (2)AP AB =.22.(本小题满分12分)已知向量(sin ,cos )x x =a ,sin ,sin 6x x π⎛⎫⎛⎫=- ⎪ ⎪⎝⎭⎝⎭b ,函数()2f x =⋅a b ,()4g x f x π⎛⎫= ⎪⎝⎭. (1)求()f x 在,2ππ⎡⎤⎢⎥⎣⎦上的最值,并求出相应的x 的值;(2)计算(1)(2)(3)(2014)g g g g ++++的值;(3)已知t ∈R ,讨论()g x 在[,2]t t +上零点的个数.第六章综合测试答案解析一、 1.【答案】B【解析】由正弦定理得sin sin a Ab B=,a ∴=可化为sin sin A B =.又sin 22sin cos 2,sin sin 2B B B A B B B =∴==,cos B ∴. 2.【答案】A【解析】由已知可得111122⋅=⨯⨯=a b ,211()122-⋅=-⋅=-=a b a a a b ,则向量-a b 在向量a 上的投影向量为()12-⋅⋅=a b a a a a . 3.【答案】D【解析】点P 在x 轴上,∴设P 上的坐标是(,0),(2,1),(4,2)x PA x PB x ∴=--=-,22(2)(4)266(3)3PA PB x x x x x ∴⋅=---=-+=--,∴当3x =时,PA PB ⋅取最小值.P ∴点的坐标是(3,0).4.【答案】D 【解析】OA OC OB +=,OA OC =,∴四边形OABC 是菱形,且120AOC ∠=︒,又圆O 的半径为2,22cos602OB CB ∴⋅=⨯⨯︒=. 5.【答案】D【解析】点(4,3),(1,2)A B ,O 为坐标原点,则(4,32)OA tOB t t +=++,22222()(4)(32)520255(2)55OA tOB t t t t t ∴+=+++=++=++≥,∴当2t =-时,等号成立,此时OA tOB +取得最小值6.【答案】B【解析】设1,3,a 所对的角分别为,,C B A ∠∠∠,由余弦定理的推论知2222222213cos 0,21313cos 0,2131cos 0,23a A a B a a C a ⎧+-=⎪⨯⨯⎪⎪+-=⎨⨯⨯⎪⎪+-=⎪⨯⨯⎩>>>即()()222100,280,680,a a a a a ⎧-⎪⎪-⎨⎪+⎪⎩>>>解得a ,故选B . 7.【答案】C【解析】设圆的半径为R ,内接三角形的三边,,a b c 所对的角分别为,,A B C .28sin sin sin a b cR A B C====,sin 8cC∴=,1sin 216ABC abc S ab C ∆∴===8.【答案】C 【解析】22(2)(54)5680+⋅-=+⋅=-a b a b a a b b ,又11,63,cos 2θ==∴⋅=∴=a b a b ,又[0,],3πθπθ∈∴=,故选C .9.【答案】D【解析】sin 1sin cos 2ααα=+,cos sin αα∴=,tan 1α∴=,(2tan ,3)(2,3)AC AB BC α∴=+==.故选D .10.【答案】D【解析】由题意可得,EF 是ABC △的中位线,P ∴到BC 的距离等于ABC △的边BC 上的高的一半,可得12323121,2S S S S λλ++===.由此可得223231216λλλλ+⎛⎫⋅= ⎪⎝⎭≤,当且仅当23S S =,即P 为EF 的中点时,等号成立.0PE PF ∴+=.由向量加法的四边形法则可得,2PA PB PE +=,2PA PC PF +=,两式相加,得20PA PB PC ++=.0PA xPB yPC ++=,∴根据平面向量基本定理,得12x y ==,从而得到322x y +=. 二、11.【答案】AC【解析】3B π=,a c +=,2222()23a c a c ac b ∴+=++=,①由余弦定理可得,2222cos3a c acb π+-=,②联立①②,可得222520a ac c -+=,即22520a a c c ⎛⎫⎛⎫-+= ⎪ ⎪⎝⎭⎝⎭,解得2ac=或12a c =.故选AC .12.【答案】ACD 【解析】P 是ABC △所在平面内一点,且|||2|0PB PC PB PC PA --+-=,|||()()|0CB PB PA PC PA ∴--+-=,即||||CB AC AB =+,||||AB AC AC AB ∴-=+,两边平方并化简得0MC AB ⋅=,AC AB ∴⊥,90A ︒∴∠=,则ABC △一定是直角三角形.故选ACD .三、13.【解析】解析令1e 与2e 的夹角为θ.1cos cos 2θθ∴⋅=⋅==1212e e e e ,又0θ︒︒≤≤180,60θ∴=︒.()0⋅-=12b e e ,∴b 与,12e e 的夹角均为30︒,从而1||cos30︒=b . 14.【答案】52【解析】|4|-a b ,52⋅≥a b ,即⋅a b 的最小值为52. 15.【答案】65 25【解析】以D 为原点,DC 边所在直线为x 轴,DA 边所在直线为y 轴建立平面直角坐标系.不妨设1AB =,则(0,0),(2,0),(0,2),(1,2),(0,1)D C A B E .(2,2),(2,1),(1,2)CA CE DB =-=-=,,(2,2)(2,1)(1,2)CA CE DB λμλμ=+∴-=-+,22,22,λμλμ-+=-⎧∴⎨+=⎩解得6,52.5λμ⎧=⎪⎪⎨⎪=⎪⎩16./h【解析】轮船从C 到B 用时80分钟,从B 到E 用时20分钟,而船始终匀速前进,由此可见,4BC EB =.设EB x =,则4BC x =,由已知得30BAE ∠=︒,150EAC ∠=︒.在AEC △中,由正弦定理的sin sin EC AE EAC C=∠, sin 5sin1501sin 52AE EAC C EC x x︒∠∴===. 在ABC △中,由正弦定理得sin120sin BC ABC =︒,14sin sin120x BC C AB ⋅∴===︒. 在ABE △中,由余弦定理得22216312cos30252533BE AB AE AB AE︒=+-=+-=,故BE ∴船速的大小为/h)3BE t==. 四、 17.【答案】解:BA OA OB =-=-a b ,11153666OM OB BM OB BC OB BA ∴=+=+=+=+a b . 又OD =+a b ,222333ON OC CN OD ∴=+==+a b , 221511336626MN ON OM ∴=-=+--=-a b a b a b . 18.【答案】解:3cos 05B =>,且0B π<<, 4sin 5B ∴=. 由正弦定理得sin sin a b A B=,42sin 25sin 45a B Ab ⨯∴===. (2)1sin 42ABC S ac B ∆==, 142425c ∴⨯⨯⨯=,5c ∴=. 由余弦定理得2222232cos 25225175b ac ac B =+-=+-⨯⨯⨯=,b ∴=19.【答案】(1)解:ABC △中,由sin cos 1sin 2C C C +=-,得22sin cos 2sin sin 2222C C C C =-, sin 02C >,1cos sin 222C C ∴-=-,两边平方得11sin 4C -=,解得3sin 4C =. (2)设ABC △的外接圆的半径为R ,由(1)知sin cos 22C C >,24C π∴>, 2C π∴>,cos C ∴=. 易得2sin c R C =,22294sin (44c R C ∴==,由余弦定理得,222977(4221444c a b ab ab⎛⎫⎛⎫=+=+--+ ⎪ ⎪ ⎪ ⎪⎝⎭⎝⎭≥,902ab ∴<≤,cos 8AC BC ab C ⎡⎫∴=∈-⎪⎢⎪⎣⎭,即AC BC 的取值范围是8⎡⎫-⎪⎢⎪⎣⎭. 20.【答案】解:如图所示,设ACD α∠=,CDB β∠=.在CBD △中,由余弦定理的推论得2222222021311cos 2220217BD CD CB BD CD β+-+-===-⨯⨯,sin 7β∴=()411sin sin 60sin cos60sin 60cos 27αβββ︒︒︒⎛⎫∴=-=-=--= ⎪⎝⎭在CBD △中,由正弦定理得21sin 60sin AD α=︒, 21sin 15sin60AD α∴==︒(千米). ∴这人还要再走15千米可到达城A .21.【答案】证明:如图,建立平面直角坐标系xOy ,其中A 为原点,不妨设2AB =,则(0,0),(2,0),(2,2),(1,2),(0,1)A B C E F .(1)(1,2)(2,0)(1,2)BE OE OB =-=-=-,(0,1)(2,2)(2,1)CF OF OC =-=-=--,(1)(2)2(1)0BE CF ∴⋅=-⨯-+⨯-=,BE CF ∴⊥,即BE CF ⊥.(2)设(,)P x y ,则(,1)FP x y =-,(2,)BP x y =-,由(1)知(2,1)CF =--,(1,2)BE =-,FP CF ∥,2(1)x y ∴-=--,即24y x =-+.同理,由BP BE ∥,即24y x =-+.22,24,x y y x =-⎧∴⎨=-+⎩解得6,58,5x y ⎧=⎪⎪⎨⎪=⎪⎩即68,55P ⎛⎫ ⎪⎝⎭. 222268455AP AB ⎛⎫⎛⎫∴=+== ⎪ ⎪⎝⎭⎝⎭, ||||AP AB ∴=,即AP AB =.22.【答案】(1)解:21()22sin sin(2sin cos sin 262f x x x x x x x π⎫=⋅=-+=+=⎪⎭a b1sin 22sin 223x x x π⎛⎫=- ⎪⎝⎭,2x ππ⎡⎤∈⎢⎥⎣⎦, 252333x πππ∴-≤≤,1sin 23x π⎛⎫∴-- ⎪⎝⎭≤,∴当3232x ππ-=,即1112x π=时,()f x 1-,当2233x ππ-=,即2x π=时,()f x(2)由(1)得()sin 23f x x π⎛⎫=-+⎪⎝⎭. ()sin 423g x f x x πππ⎛⎫⎛⎫∴==-+ ⎪ ⎪⎝⎭⎝⎭, 4T ∴=(1)(2)(3)(4)(5)(6)(7)(8)(2009)(2010)(2011)(2012)g g g g g g g g g g g g ∴+++=+++==+++.又(1)(2)(3)(4)gg g g +++=,(1)(2)(3)(2014)503(1)(2)g g g g g g ∴++++=⨯+=.(3)()g x 在[,2]t t +上零点的个数等价于sin 23x y ππ⎛⎫- ⎝=⎪⎭与y =.在同一平面直角坐标系内作出这两个函数的图象(图略).当4443k t k +<<,k ∈Z 时,由图象可知,sin 23x y ππ⎛⎫- ⎝=⎪⎭与2y =-两图象无交点,即()g x 无零点;当44243k t k ++≤<或10444,3k t k k ++∈Z <≤时,sin 23x y ππ⎛⎫- ⎝=⎪⎭与y =1个交点,即()g x 有1个零点;当10244,3k t k k ++∈Z ≤≤时,sin 23x y ππ⎛⎫- ⎝=⎪⎭与y =2个交点,即()g x 有2个零点.。
模块综合检测(时间:120分钟,满分150分)一、选择题:本题共8小题,每小题5分,共40分.在每小题给出的四个选项中,只有一项是符合题目要求的.1.已知复数z 满足i z +2=i,则在复平面内,z 对应的点位于( ) A .第一象限 B .第二象限 C .第三象限 D .第四象限【答案】A2.在△ABC 中,a =3,b =2,A =30°,则sin B =( ) A .13 B .23 C .23D .223【答案】A3.某校高一年级有男生450人,女生550人,若在各层中按比例抽取样本,总样本量为40,则在男生、女生中抽取的人数分别为( )A .17,23B .18,22C .19,21D .22,18【答案】B4.已知向量a ,b 的夹角为60°,|a |=2,|b |=1,则a -2b 与b 的夹角是( ) A .30° B .60° C .120° D .150° 【答案】C5.在某中学举行的环保知识竞赛中,将三个年级参赛学生的成绩进行整理后分为5组,绘制如图所示的频率分布直方图,图中从左到右依次为第一、第二、第三、第四、第五小组,已知第二小组的频数是40,则成绩在80~100分的学生人数是( )A .25B .20C .18D .15【答案】D6.2021年是中国共产党成立100周年,电影频道推出“经典频传:看电影,学党史”系列短视频,首批21支短视频全网发布,传扬中国共产党伟大精神,为广大青年群体带来精神感召.小李同学打算从《青春之歌》《闪闪的红星》《英雄儿女》《焦裕禄》等四支短视频中随机选择两支观看,则选择观看《青春之歌》的概率为( )A .12B .13C .14D .25【答案】A7.我国南宋著名数学家秦九韶在他的著作《数书九章》卷五“田域类”里记载了这样一个题目:“今有沙田一段,有三斜,其小斜一十三里,中斜一十四里,大斜一十五里.里法三百步.欲知为田几何.”这道题讲的是有一块三角形的沙田,三边长分别为13里,14里,15里,假设1里按500米计算,则该沙田的面积为( )A .15平方千米B .18平方千米C .21平方千米D .24平方千米【答案】C【解析】设在△ABC 中,a =13里,b =14里,c =15里,∴由余弦定理得cos C =132+142-1522×13×14=513,∴sin C =1213.故△ABC 的面积为12×13×14×1213×5002×11 0002=21(平方千米).故选C .8.在三棱锥ABCD 中,△ABC 与△BCD 都是正三角形,平面ABC ⊥平面BCD ,若该三棱锥的外接球的体积为2015π,则△ABC 的边长为( )A .332 B .634 C .633 D .6【答案】D【解析】如图,取BC 中点M ,连接AM ,DM .设等边△ABC 与等边△BCD 的外心分别为N ,G ,三棱锥外接球的球心为O ,连接OA ,OD ,ON ,OG .由V =4π3R 3=2015π,得外接球半径R =15.设△ABC 的边长为a ,则ON =GM =13DM =36a ,AN =23AM =33a .在Rt △ANO 中,由ON 2+AN 2=R 2,得a 212+a 23=15,解得a =6.故选D .二、选择题:本题共4小题,每小题5分,共20分.在每小题给出的选项中,有多项符合题目要求.全部选对的得5分,部分选对的得2分,有选错的得0分.9.下列说法中错误的是( )A .若事件A 与事件B 互斥,则P (A )+P (B )=1B .若事件A 与事件B 满足P (A )+P (B )=1,则事件A 与事件B 为对立事件C .“事件A 与事件B 互斥”是“事件A 与事件B 对立”的必要不充分条件D .某人打靶时连续射击两次,则事件“至少有一次中靶”与事件“至多有一次中靶”互为对立事件【答案】ABD【解析】若事件A 与事件B 互斥,则有可能P (A )+P (B )<1,故A 不正确;若事件A 与事件B 为同一事件,且P (A )=0.5,则满足P (A )+P (B )=1,但事件A 与事件B 不是对立事件,B 不正确;互斥不一定对立,对立一定互斥,故C 正确;某人打靶时连续射击两次,事件“至少有一次中靶”与事件“至多有一次中靶”既不互斥也不对立,D 错误.故选ABD .10.如图是民航部门统计的今年春运期间十二个城市售出的往返机票的平均价格以及相比去年同期变化幅度的数据统计图表,根据图表,下面叙述正确的是( )A .深圳的变化幅度最小,北京的平均价格最高B .深圳和厦门的春运期间往返机票价格同去年相比有所下降C .平均价格从高到低居于前三位的城市为北京、深圳、广州D .平均价格的涨幅从高到低居于前三位的城市为天津、西安、厦门 【答案】ABC【解析】由图可知深圳对应的小黑点最接近0%,故变化幅度最小,北京对应的条形图最高,则北京的平均价格最高,A 正确;深圳和厦门对应的小黑点在0%以下,故深圳和厦门的价格同去年相比有所下降,B 正确;条形图由高到低居于前三位的城市为北京、深圳和广州,C 正确;平均价格的涨幅由高到低分别为天津、西安和南京,D 错误.故选ABC .11.△ABC 是边长为2的等边三角形,已知向量a ,b 满足AB →=2a ,AC →=2a +b ,则下列结论中正确的是( )A .a 为单位向量B .a ⊥bC .b ∥BC →D .(4a +b )⊥BC →【答案】ACD【解析】由AB →=2a ,得a =12AB →,又AB =2,所以|a |=1,即a 是单位向量,A 正确;a ,b 的夹角为120°,B 错误;因为AC →=AB →+BC →=2a +b ,所以BC →=b ,C 正确;(4a +b )·BC →=4a ·b +b2=4×1×2×cos 120°+4=-4+4=0,D 正确.故选ACD .12.如图,点P 在正方体ABCD -A 1B 1C 1D 1的面对角线BC 1上运动,则( )A .三棱锥A -D 1PC 的体积不变B .A 1P ∥平面ACD 1C .DP ⊥BC 1D .平面PDB 1⊥平面ACD 1【答案】ABD【解析】连接BD 交AC 于点O ,连接DC 1交D 1C 于点O 1,连接OO 1,则OO 1∥BC 1,所以BC 1∥平面AD 1C ,动点P 到平面AD 1C 的距离不变,所以三棱锥PAD 1C 的体积不变,又因为V 三棱锥PAD 1C =V 三棱锥AD 1PC ,所以A 正确;因为平面A 1C 1B ∥平面AD 1C ,A 1P ⊂平面A 1C 1B ,所以A 1P ∥平面ACD 1,B 正确;由于当点P 在B 点时,DB 不垂直于BC 1,即DP 不垂直BC 1,故C 不正确;由于DB 1⊥D 1C ,DB 1⊥AD 1,D 1C ∩AD 1=D 1,所以DB 1⊥平面ACD 1,又因为DB 1⊂平面PDB 1,所以平面PDB 1⊥平面ACD 1,D 正确.故选ABD .三、填空题:本题共4小题,每小题5分,共20分.13.已知复数z =1+3i 1-i ,z -为z 的共轭复数,则z 的虚部为________.【答案】-2【解析】由z =1+3i 1-i =(1+3i )(1+i )(1-i )(1+i )=-2+4i2=-1+2i,得z -=-1-2i,∴复数z 的虚部为-2.14.一组数据按从小到大的顺序排列为1,3,3,x ,7,8,10,11,其中x ≠7,已知该组数据的中位数为众数的2倍,则:(1)该组数据的上四分位数是________; (2)该组数据的方差为________. 【答案】(1)9 (2)11.25【解析】(1)一组数据按从小到大的顺序排列为1,3,3,x ,7,8,10,11,其中x ≠7,∵该组数据的中位数为众数的2倍,∴x +72=2×3,解得x =5.∵8×0.75=6,∴该组数据的上四分位数是8+102=9.(2)该组数据的平均数为:18(1+3+3+5+7+8+10+11)=6,∴该组数据的方差为18[(1-6)2+(3-6)2+(3-6)2+(5-6)2+(7-6)2+(8-6)2+(10-6)2+(11-6)2]=11.25.15.a ,b ,c 分别为△ABC 内角A ,B ,C 的对边.已知ab cos(A -B )=a 2+b 2-c 2,A =45°,a =2,则c =________.【答案】4105【解析】由ab cos(A -B )=a 2+b 2-c 2,得cos(A -B )=2·a 2+b 2-c 22ab=2cos C =-2cos(A+B ),整理,得3cos A cos B =sin A sin B ,所以tan A tan B =3.又A =45°,所以tan A =1,tan B =3.由sin B cos B =3,sin 2B +cos 2B =1,得sin B =31010,cosB =1010.所以sin C =sin(A +B )=22⎝ ⎛⎭⎪⎫31010+1010=255.由正弦定理,得c =a sin C sin A =4105. 16.如图,AB →=3AD →,AC →=4AE →,BE 与CD 交于P 点,若AP →=mAB →+nAC →,则m =________,n =________.【答案】311 211【解析】因为AB →=3AD →,AC →=4AE →,且E 、P 、B 三点共线,D 、P 、C 三点共线,所以存在x ,y 使得AP →=xAE →+(1-x )AB →=14xAC →+(1-x )AB →.因为AP →=yAC →+(1-y )AD →=yAC →+13(1-y )AB →,所以⎩⎪⎨⎪⎧14x =y ,1-x =13(1-y ),解得x =811,y =211,所以AP →=14×811AC →+⎝ ⎛⎭⎪⎫1-811AB →=211AC →+311AB →=311AB →+211AC →.又因为AP →=mAB →+nAC →,所以m =311,n =211.四、解答题:本题共6小题,17题10分,其余小题为12分,共70分,解答应写出必要的文字说明、证明过程或演算步骤.17.已知复数z =m 2-m i(m ∈R),若|z |=2,且z 在复平面内对应的点位于第四象限. (1)求复数z ;(2)若z 2+az +b =1+i,求实数a ,b 的值.解:(1)∵z =m 2-m i,|z |=2,∴m 4+m 2=2,得m 2=1.又∵z 在复平面内对应的点位于第四象限,∴m =1,即z =1-i.(2)由(1)得z =1-i,∴z 2+az +b =1+i ⇒(1-i)2+a (1-i)+b =1+i.∴(a +b )-(2+a )i =1+i,∴⎩⎪⎨⎪⎧a +b =1,2+a =-1,解得a =-3,b =4.18.在①b +b cos C =2c sin B ,②S △ABC =2CA →·CB →,③(3b -a )cos C =c cos A ,三个条件中任选一个,补充在下面问题中,并解决问题.在△ABC 中,内角A ,B ,C 所对的边分别为a ,b ,c ,且满足________. (1)求cos C 的值;(2)若点E 在AB 上,且AE →=2EB →,EC =413,BC =3,求sin B .解:(1)若选①:因为b +b cos C =2c sin B ,由正弦定理可得sin B +sin B cos C =2sin C sin B .因为sin B ≠0,所以1+cos C =2sin C .联立⎩⎨⎧1+cos C =2sin C ,sin 2C +cos 2C =1,解得cos C =13,sin C =223,故cos C =13. 若选②:因为S △ABC =2CA →·CB →,所以12ab sin C =2ba cos C ,即sin C =22cos C >0,联立sin 2C +cos 2C =1,可得cos C =13.若选③:因为(3b -a )cos C =c cos A ,由正弦定理可得(3sin B -sin A )cos C =sin C cosA ,所以3sinB cosC =sin A cos C +sin C cos A =sin(A +C )=sin B .因为sin B ≠0,所以cos C =13.(2)由余弦定理可得cos ∠AEC =AE 2+EC 2-AC 22AE ·EC =49c 2+EC 2-b 243c ·EC ,cos ∠BEC =BE 2+EC 2-BC 22BE ·EC=19c 2+EC 2-a 223c ·EC ,因为cos ∠AEC +cos ∠BEC =0,所以49c 2+EC 2-b 243c ·EC +19c 2+EC 2-a 223c ·EC =0,即2c 2+9EC 2-3b 2-6a 2=0,则2c 2-3b 2=6a 2-9EC 2=6×9-9×419=13,①同时cos C =a 2+b 2-c 22ab =13,即b 2-c 2=2b -9,②联立①②可得b 2+4b -5=0,解得b =1,则c =22,故cos B =a 2+c 2-b 22ac =223,则sin B=13. 19.如图所示,在四棱锥MABCD 中,底面ABCD 为直角梯形,BC ∥AD ,∠CDA =90°,AD =4,BC =CD =2,△MBD 为等边三角形.(1)求证:BD ⊥MC ;(2)若平面MBD ⊥平面ABCD ,求三棱锥CMAB 的体积. (1)证明:取BD 中点O ,连接CO 、MO ,如图所示: ∵△MBD 为等边三角形,且O 为BD 中点,∴MO ⊥BD . 又BC =CD ,O 为BD 中点,∴CO ⊥BD .又MO ∩CO =O ,∴BD ⊥平面MCO . ∵MC ⊂平面MCO ,∴BD ⊥MC .(2)解:∵平面MBD ⊥平面ABCD ,且平面MBD ∩平面ABCD =BD ,MO ⊥BD , ∴MO ⊥平面ABCD .由(1)知MB =MD =BD =22,MO =MB 2-BO 2=6,S △ABC =12BC ·CD =2,∴V CMAB =V MABC =13×S △ABC ×MO =263.20.某冰糖橙为甜橙的一种,云南著名特产,以味甜皮薄著称.该橙按照等级可分为四类:珍品、特级、优级和一级(每箱有5 kg).某采购商打算采购一批该橙子销往省外,并从采购的这批橙子中随机抽取100箱,利用橙子的等级分类标准得到的数据如下表:等级 珍品 特级 优级 一级 箱数 40 30 10 20 售价/(元·kg -1)36302418(2)按照分层抽样的方法,从这100箱橙子中抽取10箱,试计算各等级抽到的箱数; (3)若在(2)抽取的特级品和一级品的箱子上均编上号放在一起,再从中抽取2箱,求抽取的2箱中两种等级均有的概率.解:(1)依题意可知,样本中的100箱不同等级橙子的平均价格为36×410+30×310+24×110+18×210=29.4(元/kg). (2)依题意,珍品抽到110×40=4(箱),特级抽到110×30=3(箱),优级抽到110×10=1(箱),一级抽到110×20=2(箱).(3)抽到的特级有3箱,编号为A 1,A 2,A 3,抽到的一级有2箱,编号为B 1,B 2. 从中抽取2箱,有(A 1,A 2),(A 1,A 3),(A 1,B 1),(A 1,B 2),(A 2,A 3),(A 2,B 1),(A 2,B 2),(A 3,B 1),(A 3,B 2),(B 1,B 2)共10种可能,两种等级均有的有(A 1,B 1),(A 1,B 2),(A 2,B 1),(A 2,B 2),(A 3,B 1),(A 3,B 2)共6种可能,∴所求概率p =610=35.21.已知向量a =(3cos ωx ,sin ωx ),b =(cos ωx ,cos ωx ),其中ω>0,记函数f (x )=a ·b .(1)若函数f (x )的最小正周期为π,求ω的值;(2)在(1)的条件下,已知△ABC 的内角A ,B ,C 对应的边分别为a ,b ,c ,若f ⎝ ⎛⎭⎪⎫A 2=3,且a=4,b +c =5,求△ABC 的面积.解:(1)f (x )=a ·b =3cos 2ωx +sin ωx ·cos ωx =3(cos 2ωx +1)2+sin 2ωx2=sin ⎝⎛⎭⎪⎫2ωx +π3+32. ∵f (x )的最小正周期为π,且ω>0,∴2π2ω=π,解得ω=1.(2)由(1)得f (x )=sin ⎝ ⎛⎭⎪⎫2x +π3+32.∵f ⎝ ⎛⎭⎪⎫A 2=3,∴sin ⎝ ⎛⎭⎪⎫A +π3=32. 由0<A <π,得π3<A +π3<4π3,∴A +π3=2π3,解得A =π3.由余弦定理a 2=b 2+c 2-2bc cos A ,得16=b 2+c 2-bc .联立b +c =5,得bc =3. ∴S △ABC =12bc sin A =12×3×32=334.22.“一带一路”是“丝绸之路经济带”和“21世纪海上丝绸之路”的简称.某市为了了解人们对“一带一路”的认知程度,对不同年龄和不同职业的人举办了一次“一带一路”知识竞赛,满分为100分(90分及以上为认知程度高).现从参赛者中抽取了x 人,按年龄分成5组,第一组:[20,25),第二组:[25,30),第三组:[30,35),第四组:[35,40),第五组:[40,45),得到如图所示的频率分布直方图,已知第一组有6人.(1)求x ;(2)求抽取的x 人的年龄的中位数(结果保留整数);(3)从该市大学生、军人、医务人员、工人、个体户,五种人中用分层抽样的方法依次抽取6人,42人,36人,24人,12人,分别记为1~5组,从5个按年龄分的组和5个按职业分的组中每组各选派1人参加知识竞赛,分别代表相应组的成绩,年龄组中1~5 组的成绩分别为93,96,97,94,90,职业组中1~5 组的成绩分别为93,98,94,95,90.①分别求5个年龄组和5个职业组成绩的平均数和方差;②以上述数据为依据,评价5个年龄组和5个职业组对“一带一路”的认知程度,并谈谈你的感想.解:(1)根据频率分布直方图得第一组的频率为0.01×5=0.05,∴6x=0.05,解得x =120.(2)设中位数为a ,则0.01×5+0.07×5+(a -30)×0.06=0.5,∴a =953≈32,则中位数为32.(3)①5个年龄组成绩的平均数为x 1=15×(93+96+97+94+90)=94,方差为s 21=15×[(-1)2+22+32+02+(-4)2]=6.5个职业组成绩的平均数为x 2=15×(93+98+94+95+90)=94,方差为s 22=15×[(-1)2+42+02+12+(-4)2]=6.8.②从平均数来看两组的认知程度相同,从方差来看年龄组的认知程度更稳定.。
新人教版(2019A 版)高中数学必修第二册综合测试卷(时间:120分钟 分值:150分)一、单项选择题(本大题共8小题,每小题5分,共40分.在每小题所给的四个选项中,只有一个选项是符合题目要求的)1.若复数z =2i3-i ,则z 的共轭复数z =( ) A.-15-35I B.-15+35I C.15+35I D.15-35i 答案:A2.某公司生产三种型号的轿车,其中型号Ⅰ的轿车的月产量为 1 200辆,型号Ⅱ的轿车的月产量为6 000辆,型号Ⅲ的轿车的月产量为2 000辆,现用分层抽样的方法抽取92辆车进行检验,则型号Ⅲ的轿车应抽取( )A.12辆B.36辆C.20辆D.60辆答案:C3.2010-2018年之间,受益于基础设施建设对光纤产品的需求,以及个人计算机及智能手机的下一代规格升级,电动汽车及物联网等新机遇,连接器行业发展较快.2010-2018年全球连接器营收情况如图所示,根据折线图,下列结论正确的个数为 ( )①每年的营收额逐年增长;②营收额增长最快的一年为2013-2014年;③2010-2018年的营收额增长率约为40%;④2014-2018年每年的营收额相对于2010-2014年每年的营收额,变化比较平稳.A.1B.2C.3D.4答案:C4.已知小张每次射击命中十环的概率都为40%,现采用随机模拟的方法估计小张三次射击恰有两次命中十环的概率,先由计算器产生0到9之间取整数值的随机数,指定2,4,6,8表示命中十环,0,1,3,5,7,9表示未命中十环,再以每三个随机数为一组,代表三次射击的结果,经随机模拟产生了如下20组随机数:321 421 292 925 274 632 800 478 598 663 531 297 396 021 506 318 230 113 507 965据此估计,小张三次射击恰有两次命中十环的概率约为( )A.0.25B.0.3C.0.35D.0.4答案:B5.盒子中有若干个大小和质地完全相同的红球和黄球,从中任意取出2个球,都是红球的概率为328,都是黄球的概率为514,则从盒子中任意取出2个球,恰好是同一颜色的概率为( )A.1328B.57C.1528D.37 答案:A6.某校篮球运动员进行投篮练习,若他前一球投进,则后一球投进的概率为34;若他前一球投不进,则后一球投进的概率为14.若他第1球投进的概率为34,则他第3球投进的概率为( ) A.34 B.58 C.116 D.916 答案:D7.已知数据x 1,x 2,x 3的中位数为k ,众数为m ,平均数为n ,方差为p ,下列说法中,错误的是( )A.数据2x 1,2x 2,2x 3的中位数为2kB.数据2x 1,2x 2,2x 3的众数为2mC.数据2x 1,2x 2,2x 3的平均数为2nD.数据2x 1,2x 2,2x 3的方差为2p答案:D8.一个圆柱的轴截面是正方形,如果这个圆柱的侧面积与一个球的表面积相等,那么圆柱的体积与球的体积之比为( )A.1∶3B.3∶1C.2∶3D.3∶2答案:D二、多项选择题(本大题共4小题,每小题5分,共20分.在每小题给出的四个选项中,有多项符合题目要求.全部选对的得5分,部分选对的得3分,有选错的得0分)9.如图,已知点O 为正六边形ABCDEF 的中心,下列结论中正确的是( )A.OA ⃗⃗⃗⃗⃗ +OC ⃗⃗⃗⃗⃗ +OB ⃗⃗⃗⃗⃗ =0B.(OA ⃗⃗⃗⃗⃗ -AF ⃗⃗⃗⃗⃗ )·(EF ⃗⃗⃗⃗⃗ -DC ⃗⃗⃗⃗⃗ )=0C.(OA ⃗⃗⃗⃗⃗ +AF ⃗⃗⃗⃗⃗ )·BC ⃗⃗⃗⃗⃗ =OA ⃗⃗⃗⃗⃗ ·BC ⃗⃗⃗⃗⃗ +AF ⃗⃗⃗⃗⃗ ·BC⃗⃗⃗⃗⃗ D.|OF ⃗⃗⃗⃗⃗ +OD ⃗⃗⃗⃗⃗⃗ |=|FA ⃗⃗⃗⃗⃗ +OD ⃗⃗⃗⃗⃗⃗ -CB⃗⃗⃗⃗⃗ | 答案:BC10.在发生公共卫生事件期间,有专业机构认为该事件在一段时间内没有发生大规模群体感染的标志为“连续10天,每天新增疑似病例不超过7人”.过去10日,甲、乙、丙、丁四地新增疑似病例数据信息如下,一定符合该标志的是( )甲地:中位数为2,极差为5;乙地:总体平均数为2,众数为2;丙地:总体平均数为1,总体方差大于0;丁地:总体平均数为2,总体方差为3.A.甲地B.乙地C.丙地D.丁地答案:AD11.如图,在正方体ABCD -A 1B 1C 1D 1中,以下四个选项正确的是( )A.D1C∥平面A1ABB1B.A1D1与平面BCD1相交C.AD⊥平面D1DBD.平面BCD1⊥平面A1ABB1答案:AD12.在△ABC中,三个内角A,B,C所对的边分别为a,b,c.若b=c cos A,A的平分线交BC于点D,AD=1,cos A=18,以下结论正确的是()A.AC=34B.AB=8C.CDBD =1 8D.△ABD的面积为3√74答案:ACD三、填空题(本大题共4小题,每小题5分,共20分.将答案填在题中的横线上)13.已知a=(1,-1),b=(λ,1),若a与b的夹角为钝角,则实数λ的取值范围是(-∞,-1)∪(-1,1).14.从分别写有1,2,3,4,5的五张质地相同的卡片中,任取两张,这两.张卡片上的数字之差的绝对值等于1的概率为2515.(本题第一空2分,第二空3分)随机抽取100名学生,测得他们的身高(单位:cm),按照身高依次分成六组:[155,160),[160,165), [165,170),[170,175),[175,180),[180,185),并得到样本身高的频率分布直方图如图所示,则频率分布直方图中的x的值为0.06;若将身高区间[170,175),[175,180),[180,185)依次记为A,B,C三组,并用分层抽样的方法从这三组中抽取6人,则从A,B,C三组中依次抽取的人数为3,2,1.16.如图所示,已知六棱锥P-ABCDEF的底面是正六边形, PA⊥平面ABC,PA=2 AB.则下列命题中正确的有②④.(填序号)①PB⊥AD;②平面PAB⊥平面PAE;③BC∥平面PAE;④直线PD 与平面ABC所成的角为45°.四、解答题(本大题共6小题,共70分.解答应写出文字说明、证明过程或演算过程)17.(10分)如图,正方体ABCD-A1B1C1D1的棱长为2,E,F分别为A1B,AC的中点.(1)证明:EF∥平面A1C1D;(2)求三棱锥C-A1C1D的体积.(1)证明:如图,连接BD.因为四边形ABCD为正方形,所以BD交AC于点F,且F为BD的中点.因为E为A1B的中点,所以EF∥A1D.因为EF⊄平面A1C1D,A1D⊂平面A1C1D,所以EF∥平面A1C1D.(2)解:三棱锥C-A1C1D的体积V=V棱锥A1-CC1D =13S△CC1D·A1D1=13×12×2×2×2=43.18.(12分)从含有两件正品a 1,a 2和一件次品b 1的三件产品中,每次任取一件,每次取出后不放回,连续取两次.(1)写出所有可能的结果组成的样本空间.(2)求取出的两件产品中,恰有一件次品的概率.解:(1)每次取出一个,取后不放回地连续取两次,其所有可能的结果有6个,即Ω={(a 1,a 2),(a 1,b 1),(a 2,a 1),(a 2,b 1),(b 1,a 1),(b 1,a 2)},其中小括号内左边的字母表示第1次取出的产品,右边的字母表示第2次取出的产品.(2)用A 表示事件“取出的两件产品中,恰好有一件次品”,则A ={(a 1,b 1),(a 2,b 1),(b 1,a 1),(b 1,a 2)},所以P (A )=46=23. 19.(12分)某居民小区为了提高小区居民的读书兴趣,特举办读书活动,准备进一定量的书籍丰富小区图书站.由于不同年龄段需看不同类型的书籍,为了合理配备资源,现对小区内读书者进行年龄调查, 随机抽取了一天中40名读书者进行调查,将他们的年龄分成6段:[20,30),[30,40),[40,50),[50,60),[60,70),[70,80],得到的频率分布直方图如图所示.(1)估计在这40名读书者中年龄分布在区间[40,70)上的人数;(2)求这40名读书者年龄的平均数和中位数;(3)从年龄在区间[20,40)上的读书者中任选两名,求这两名读书者年龄在区间[30,40)上的人数恰为1的概率.解:(1)由频率分布直方图知,年龄在区间[40,70)上的频率为(0.020+0.030+0.025)×10=0.75.所以40名读书者中年龄分布在区间[40,70)上的人数为40×0.75=30.(2)40名读书者年龄的平均数为25×0.05+35×0.1+45×0.2+55×0.3+ 65×0.25+75×0.1=54.设40名读书者年龄的中位数为x,0.05+0.1+0.2+(x-50)×0.03=0.5,解得x=55,即40名读书者年龄的中位数为55岁.(3)年龄在区间[20,30)上的读书者有2人,分别记为a,b,年龄在区间[30,40)上的读书者有4人,分别记为A,B,C,D.从上述6人中选出2人,有如下样本点:(a,b),(a,A),(a,B),(a,C),(a,D),(b,A),(b,B),(b,C),(b,D),(A,B), (A,C),(A,D),(B,C),(B,D),(C,D),共15个,记选取的两名读书者中恰好有1人年龄在区间[30,40)上为事件A,则事件A包含8个样本点:(a,A),(a,B),(a,C),(a,D),(b,A),(b,B),(b,C), (b,D),故P(A)=8.1520.(12分)在△ABC中,内角A,B,C的对边分别为a,b,c,设△ABC的面积为S,已知3c2=16S+3(b2-a2).(1)求tan B 的值;(2)若S =42,a =10,求b 的值.解:(1)因为3c 2=16S +3(b 2-a 2),所以3(c 2+a 2-b 2)=16S ,即3×2ac cos B =16×12ac sin B , 所以3cos B =4sin B ,即tan B =34. (2)由(1)可得sin B =35,cos B =45, 所以S =12ac sin B =12×10c ×35=3c =42, 所以c =14.由余弦定理可得,45=100+196-b 22×10×14,整理可得,b =6√2.21.(12分)已知向量a ,b 满足|a |=|b |=1,|xa +b |=√3|a -xb |(x >0,x ∈R).(1)求a ·b 关于x 的解析式f (x );(2)求向量a 与b 夹角的最大值;(3)若a 与b 平行,且方向相同,试求x 的值. 解:(1)由题意得|xa +b |2=3|a -xb |2,即x 2a 2+2xa ·b +b 2=3a 2-6xa ·b +3x 2b 2. 因为|a |=|b |=1,所以8xa ·b =2x 2+2, 所以a ·b =x 2+14x (x >0),即f (x )=14(x +1x ) (x >0). (2)设向量a 与b 夹角为θ,则cos θ=a ·b |a ||b |=f (x )=14[(√x -√x )2+2], 当√x =√x ,即x =1时,cos θ有最小值12.因为0≤θ≤π,所以θmax =π3. (3)因为a 与b 平行,且方向相同,|a |=|b |=1,所以a =b ,所以a ·b =14(x +1x )=1, 解得x =2±√3.22.(12分)如图,在四棱柱ABCD -A 1B 1C 1D 1中,底面ABCD 为菱形,AA 1⊥平面ABCD ,AC 与BD 交于点O ,∠BAD =60°,AB =2,AA 1=√6.(1)证明:平面A 1BD ⊥平面ACC 1A 1;(2)求二面角A -A 1C -B 的大小.(1)证明:由AA 1⊥平面ABCD ,得AA 1⊥BD ,AA 1⊥AC. 因为四边形ABCD 为菱形,所以AC ⊥BD.因为AC ∩AA 1=A ,所以BD ⊥平面ACC 1A 1.因为BD ⊂平面A 1BD ,所以平面A 1BD ⊥平面ACC 1A 1.(2)解:如图,过点O 作OE ⊥A 1C 于点E ,连接BE ,DE. 由(1)知BD ⊥平面ACC 1A 1,所以BD ⊥A 1C.因为OE ⊥A 1C ,OE ∩BD =O ,所以A 1C ⊥平面BDE ,所以A 1C ⊥BE. 因为OE ⊥A 1C ,BE ⊥A 1C ,所以∠OEB 为二面角A -A 1C -B 的平面角. 因为△ABD 为等边三角形且O 为BD 中点, 所以OB =12AB =1,OA =OC =√32AB =√3. 因为AA 1⊥AC ,所以A 1C =√AA 12+AC 2=3√2. 因为△A 1AC ∽△OEC ,所以OE AA 1=OC A 1C ,所以OE =OC ·AA 1A 1C =√3×√63√2=1. 在△OEB 中,OB ⊥OE ,所以tan ∠OEB =OBOE =1,即∠OEB =45°. 综上,二面角A -A 1C -B 的大小为45°.。
第八章综合测试一、选择题(本题共12小题,每小题5分,共60分)1.下面给出了四个条件:①空间三个点;②一条直线和一个点;③和直线a 都相交的两条直线;④两两相交的三条直线.其中,能确定一个平面的条件有( ) A .0个B .1个C .2个D .3个2.如图8-7-1所示,若G ,H ,M ,N 分别是三棱柱的顶点或所在棱的中点,则表示直线GH ,MN 是异面直线的图形有( )A .①②B .②③C .①④D .②④3.已知α,β是平面,m ,n 是直线,给出下列表述:①若m α⊥,m β⊂,则αβ⊥;②若m α⊂,n α⊂,m β∥,n β∥,则αβ∥;③若m α⊂,n α⊄,m ,n 是异面直线,则n 与α相交;④若m αβ=I ,m n ∥,且n α⊄,n β⊄,则n α∥且n β∥.其中正确的个数是( ) A .1B .2C .3D .44.如图8-7-2,在正三棱锥S ABC -中,异面直线SA 与BC 所成角的大小为( ) A .6πB .3π C .2π D .23π5.如图8-7-3,长方体1111ABCD A B C D -的体积是120,E 为1CC 的中点,则三棱锥E BCD -的体积是( ) A .5B .10C .20D .406.在棱长为1的正方体1111ABCD A B C D -中,点E ,F 分别是侧面11AA D D 与底面ABCD 的中心,则下列命题中错误的个数为( ) ①DF ∥平面11D EB ;②异面直线DF 与1B C 所成角为60°; ③1ED 与平面1B DC 垂直; ④1112F CDB V -=. A .0B .1C .2D .37.在正方体1111ABCD A B C D -中,M ,N 分别是AB ,1BB 的中点,则直线MN 与平面11A BC 所成角的余弦值为( )A B .2 C D .138.如图8-7-4,直角梯形ABCD ,满足AB AD ⊥,CD AD ⊥,222AB AD CD ===,现将其沿AC 折叠成三棱锥D ABC -,当三棱锥D ABC -体积取最大值时,其表面积为( )A .(12 B .(12C .(12D .(129.在四面体ABCD 中,已知2AB AC CD ===,BC =,且CD ⊥平面ABC ,则该四面体外接球的体积为( )A .16πB .12πC .D .6π10.在四棱锥P ABCD -中,底面ABCD 是正方形,PA ⊥底面ABCD ,4PA AB ==,E ,F ,H 分别是棱PB ,BC ,PD 的中点,则过E ,F ,H 的平面截四棱锥P ABCD -所得截面的面积为( )A .B .C .D .11.在三棱锥P ABC -中,侧面PAB 、侧面PAC 、侧面PBC 两两互相垂直,且::PA PB PC =设三棱锥P ABC -的体积为1V ,三棱锥P ABC -的外接球的体积为2V ,则21=V V ( )AB .6πC .3πD .83π 12.设三棱锥V ABC -的底面是正三角形,侧棱长均相等,P 是棱VA 上的点(不含端点).记直线PB 与直线AC 所成的角为α,直线PB 与平面ABC 所成的角为β,二面角P AC B --的平面角为γ,则( ) A .βγ<,αγ<B .βα<,βγ<C .βα<,γα<D .αβ<,γβ<二、填空题(本题共4小题,每小题5分,共20分)13.已知l ,m 是平面α外的两条不同直线.给出下列三个论断:①l m ⊥;②m α∥;③l α⊥以其中的两个论断作为条件,余下的一个论断作为结论,写出一个正确的命题:________.14.在底面直径为6的圆柱形容器中,放入一个半径为2的冰球,当冰球全部溶化后,容器中液面的高度为________(相同质量的冰与水的体积比为10:9)15.如图8-7-5,1111ABCD A B C D -是棱长为a 的正方体,则1A B 与平面11D B BD 所成的角为________.16.如图8-7-6,在边长为4的正方形纸片ABCD 中,AC 与BD 相交于点O ,剪去AOB △,将剩余部分沿OC ,OD 折叠,使OA ,OB 重合,则折叠后以A (B ),C ,D ,O 为顶点的四面体的体积为________. 三、解答题(本题共6小题,共70分)17.(10分)有一个倒圆锥形容器,它的轴截面是一个正三角形,在容器内放一个半径为r 的铁球,并注入水,使水面与球正好相切,然后将球取出,求这时容器中水的深度.18.(12分)如图8-7-7,在三棱柱111ABC A B C -中,底面三角形ABC 是等边三角形,且1AA ⊥平面ABC ,D 为AB 的中点. (1)求证:直线1BC ∥平面1A CD .(2)若12AB BB ==,E 是1BB 的中点,求三棱锥1A CDE -的体积.19.(12分)如图8-7-8所示,在直三棱柱111ABC A B C -中,AC BC ⊥,1AC BC CC ==,M ,N 分别是1A B ,11B C 的中点.(1)求证:MN ⊥平面1A BC .(2)求直线1BC 和平面1A BC 所成的角的大小.20.(12分)如图8-7-9所示,已知多面体ABCDFE 中,四边形ABCD 为矩形,AB EF ∥,AF BF ⊥,平面ABEF ⊥平面ABCD ,O ,M 分别为AB ,FC 的中点. (1)求证:AF FC ⊥. (2)求证:OM ∥平面DAF .(3)若过EF 的平面交BC 于点G ,交AD 于点H ,求证:EF GH ∥.21.(12分)某部门建造圆锥形仓库用于贮藏食盐(供融化高速公路上的积雪之用),已建的仓库的底面直径为12 m ,高4 m ,该部门拟建一个更大的圆锥形仓库,以存放更多食盐,现有两种方案:一是底面直径比原来增加4 m (高不变);二是高度增加4 m (底面直径不变). (1)分别计算按这两种方案所建的仓库的体积. (2)分别计算按这两种方案所建的仓库的表面积. (3)哪个方案更经济些?为什么?22.(12分)如图8-7-10,在四棱锥P ABCD -中,底面四边形ABCD 是菱形,60ABC ∠=︒,PAB △为正三角形,且侧面PAB ⊥底面ABCD .E ,M 分别为线段AB ,PD 的中点. (1)求证:PE ⊥平面ABCD . (2)求证:PB ∥平面ACM .(3)在棱CD 上是否存在点G ,使平面MAG ⊥平面ABCD ,请说明理由.第八章综合测试 答案解析一、 1.【答案】A【解析】①中,空间三点共线时不能确定一个平面;②中,点在直线上时不能确定一个平面;③中,两直线可能是异面直线,不只确定一个平面;④中,三条直线交于一点时可能确定三个平面。
第九章综合测试一、单项选择题(本大题共10小题,每小题5分,共50分.在每小题给出的四个选项中,只有一项是符合题目要求的)1.某公司从代理的,,,A B C D四A B C D四种产品中,按分层随机抽样的方法抽取容量为110的样本,已知,,,种产品的数量比是2:3:2:4,则该样本中D类产品的数量为()A.22件B.33件C.40件D.55件2.已知总体容量为106,若用随机数法抽取一个容量为10的样本,下面对总体的编号最方便的是()A.1,2,…,106B.0,1,2,…,105C.00,01,…,105D.000,001,…,1053.一个容量为200的样本,其数据的分组与各组的频数如下表:则样本数据落在[20,60)内的频率为()A.0.11B.0.5C.0.45D.0.554.如图为某个容量为100的样本的频率分布直方图,分组为[96,98),[98,100),100,[102),102,[104),104,[106],则在区间[98,100)内的频数为( )A .10B .30C .20D .405.图甲和图乙分别表示某地区中小学生人数和近视情况.为了了解该地区中小学生的近视形成原因,用分层随机抽样的方法抽取了2%的学生进行调查,则样本量和抽取的高中生近视人数分别为( )图甲图乙A .100,10B .100,20C .200,10D .200,206.某学校高一年级有1 802人,高二年级有1 600人,高三年级有1 499人,现采用分层随机抽样的方法从中抽取98名学生参加全国中学生禁毒知识竞赛,则在高一、高二、高三三个年级中抽取的人数分别为( ) A .33,33,30 B .36,32,30C .36,33,29D .35,32,317.若数据12,,,n x x x L 的平均数为x ,方差为2s ,则1235,35,,35n x x x +++L 的平均数和标准差分别为( ) A . ,x s B .35,x s + C .35,3x s +D .3x +8.如图所示,样本A 和B 分别取自两个不同的总体,它们的样本平均数分别为A x 和B x ,样本标准差分别为A s 和B s 则( )ABA .,AB A B x x s s >>B .,A B A B x x s s <>C .A ,B A B x x s s ><D .,A B A B x x s s <<9.某校为了对初三学生的体重进行摸底调查,随机抽取了50名学生称其体重(单位:kg ),将所得数据整理后,画出了频率分布直方图如图所示,体重在[45,50)内适合跑步训练,体重在[50,55)内适合跳远训练,体重在[55,60]内适合投掷训练,估计该校初三学生适合参加跑步、跳远、投掷三项训练的人数之比为( )A .4:3:1B .5:3:1C .5:3:2D .3:2:110.为了解某校高三学生的视力情况,随机地抽查了该校100名高三学生的视力情况,得到频率分布直方图如图所示.由于不慎将部分数据丢失,但知道前4组的频数为1234,,,x x x x ,且满足324123x x x x x x ==,后6组的频数123456,,,,,y y y y y y ,且后6组各频数之间差值相同,设最大频率为a ,视力在4.6到5.0之间的学生数为b ,则,a b 的值分别为( )A .0.27,78B .0.27,83C .2.7,78D .2.7,83二、多项选择题(本大题共2小题,每小题5分,共10分.在每小题给出的四个选项中,有多个选项符合题目要求,全部选对的得5分,有选错的得0分,部分选对的得2分)11.在某次高中学科竞赛中,4000名考生的参赛成绩统计如图所示,60分以下视为不及格,若同一组中的数据用该组区间中点值为代表,则下列说法中正确的是()A.成绩在[70,80)分的考生人数最多B.不及格的考生人数为1 000C.考生竞赛成绩的平均分约为70.5分D.考生竞赛成绩的中位数为75分12.在某地区某高传染性病毒流行期间,为了建立指标来显示疫情已受控制,以便向该地区居民显示可以过正常生活,有公共卫生专家建议的指标是“连续7天每天新增感染人数不超过5人”,根据连续7天的新增病例数计算,下列各选项中,一定符合上述指标的是()A.平均数3x≤B.平均数3s≤x≤且标准差2C.平均数3x≤且极差小于或等于2D.众数等于1且极差小于或等于4三、填空题(本大题共4小题,每小题5分,共20分.将答案填在题中横线上)13.从甲、乙两个厂家生产的同一种产品中各抽取8件产品,对其使用寿命(单位:年)跟踪调查结果如下:甲:3,4,5,6,8,8,8,10;乙:3,3,4,7,9,10,11,12.两个厂家在广告中都称该产品的使用寿命是8年,请根据结果判断厂家在广告中分别运用了平均数、众数、中位数中的哪一种集中趋势的特征数:甲:________,乙:________.(本题第一空2分,第二空3分)14.1895年,在英国伦敦有106块男性头盖骨被挖掘出土.经考证,这些头盖骨的主人死于1665~1666年的大瘟疫.人类学家分别测量了这些头盖骨的宽度(单位:mm),数据如下:146 141 139 140 145 141 142 131 142 140 144 140 138 139 147 139 141 137 141 132 140 140 141 143 134 146 134 142 133 149 140 140 143 143 149 136 141 143 143 141 138 136 138 144 136 145 143 137 142 146 140 148 140 140 139 139 144 138 146 153 158 135 132 148 142 145 145 121 129 143 148 138 148 152 143 140 141 145 148 139 136 141 140 139 149 146 141 142 144 137 153 148 144 138 150 148 138 145 145 142 143 143 148 141 145 141则95%分位数是________mm.15.某学校三个兴趣小组的学生人数分布如下表(每名同学只参加一个小组,单位:人):16.从一堆苹果中任取20个称其重量,它们的质量(单位:克)数据分布如下:则这堆苹果中,质量不少于120克的苹果数约占苹果总数的________%.四、解答题(本大题共6小题,共70分.解答应写出文字说明、证明过程或演算步骤)17.(本小题满分10分)某市化工厂三个车间共有工人1000名,各车间男、女工人数如下表:已知在全厂工人中随机抽取1名,抽到第二车间男工人的可能性是0.15.(1)求x的值;(2)现用分层随机抽样的方法在全厂抽取50名工人,则应在第三车间抽取多少名工人?18.(本小题满分12分)从高三学生中抽出50名学生参加数学竞赛,根据竞赛成绩得到如图所示的频率分布直方图.试利用频率分布直方图估算:(结果保留小数点后一位)(1)这50名学生成绩的众数与中位数;(2)这50名学生的平均成绩.19.(本小题满分12分)有关部门要了解甲型H1N1流感预防知识在学校的普及情况,特制了一份有10道题的问卷到各学校进行问卷调查.某中学,A B两个班各被随机抽取了5名学生接受问卷调查,A班5名学生得分分别为5,8,9,9,9;B班5名学生得分分别为6,7,8,9,10(单位:分).请你估计A,B两个班中哪个班的预防知识的问卷得分要稳定一些。
高一数学第二次月考模拟试题(必修一+二第一二章)时间:120分钟 分值:150分一、选择题(每小题5分,共60分)1.设集合A ={4,5,7,9},B ={3,4,7,8,9},全集U =A ∪B ,则集合∁U (A ∩B )中的元素共有( )A .3个B .4个C .5个D .6个 2.下列函数为奇函数的是( )A .y =x 2B .y =x 3C .y =2xD .y =log 2x 3.函数y =1x+log 2(x +3)的定义域是( )A .RB .(-3,+∞)C .(-∞,-3)D .(-3,0)∪(0,+∞) 4.梯形1111A B C D (如图)是一水平放置的平面图形ABCD 的直观图(斜二测),若11A D ∥/y 轴,11A B ∥/x 轴,1111223A B C D ==, 111A D =,则平面图形ABCD 的面积是( ) A.5 B.10 C.52 D.1025.已知圆锥的表面积是底面积的3倍,那么该圆锥的侧面展开图扇形的圆心角为( ) A.120︒ B.150︒ C.180︒ D.240︒ 6.已知f (x 3-1)=x +1,则f (7)的值,为( )A.37-1B.37+1 C .3 D .2 7.已知log 23=a ,log 25=b ,则log 295等于( )A .a 2-b B .2a -b C.a 2b D.2ab8.函数y =x 2+x (-1≤x ≤3)的值域是( )A .[0,12]B .[-14,12]C .[-12,12]D .[34,12]9.下列四个图象中,表示函数f (x )=x -1x的图象的是( )A 1B 1C 1D 1O 110.函数y=-x2+8x-16在区间[3,5]上( )A.没有零点 B.有一个零点 C.有两个零点 D.有无数个零点11.给出以下四个命题:①如果一条直线和一个平面平行,经过这条直线的一个平面和这个平面相交,那么这条直线和交线平行;②如果一条直线和一个平面内的两条相交直线都垂直,那么这条直线垂直于这个平面;③如果两条直线都平行于一个平面,那么这两条直线互相平行;④如果一个平面经过另一个平面的一条垂线,那么些两个平面互相垂直. 其中真命题的个数是( )A.4 B.3 C.2 D.112.已知f(x)是定义在(0,+∞)上的增函数,若f(x)>f(2-x),则x的取值范围是( ) A.x>1 B.x<1 C.0<x<2 D.1<x<2二、填空题(每小题5分,共20分)13.已知集合A={x|x<-1或2≤x<3},B={x|-2≤x<4},则A∪B=__________.14.函数y=log23-4x的定义域为__________.15.据有关资料统计,通过环境整治,某湖泊污染区域S(km2)与时间t(年)可近似看作指数函数关系,已知近两年污染区域由0.16 km2降至0.04 km2,则污染区域降至0.01 km2还需要__________年.16.空间四边形ABCD中,P、R分别是AB、CD的中点,PR=3、AC= 4、BD=25那么AC与BD所成角的度数是_________.三、解答题(写出必要的计算步骤,只写最后结果不得分,共70分)17.(10分)已知集合A={x|1≤x<4},B={x|x-a<0},(1)当a=3时,求A∩B;(2)若A⊆B,求实数a的取值范围.18.(12分)(1)计算:(279)12+(lg5)0+(2764)-13;(2)解方程:log 3(6x-9)=3.19.(12分)判断函数f (x )=1a x-1+x 3+12的奇偶性.20. 如图,在长方体ABCD —A 1B 1C 1D 1中,AB =2,BB 1=BC =1,E 为D 1C 1的中点,连结ED ,EC ,EB 和DB . (1)求证:平面EDB ⊥平面EBC ; (2)求二面角E -DB -C 的正切值.21.(12分)已知正方体1111ABCD A B C D ,O 是底ABCD 对角线的交点.求证:(1)O C 1∥面11AB D ;D 1ODB AC 1B 1A 1C(2)1A C 面11AB D .22.( 12分)已知函数f (x )是正比例函数,函数g (x )是反比例函数,且f (1)=1,g (1)=1,(1)求f (x ),g (x );(2)判断函数h (x )=f (x )+g (x )的奇偶性;(3)证明函数S(x)=xf(x)+g(12)在(0,+∞)上是增函数.高一数学期末考试模拟试题(答案)一、选择题(每小题5分,共60分)1.解析:U =A ∪B ={3,4,5,7,8,9},A ∩B ={4,7,9},∴∁U (A ∩B )={3,5,8},有3个元素,故选A.答案:A2.解析:A 为偶函数,C 、D 均为非奇非偶函数.答案:B 3.解析:要使函数有意义,自变量x 的取值须满足⎩⎪⎨⎪⎧x ≠0x +3>0,解得x >-3且x ≠0.答案:D4. 解析:梯形1111A B C D 上底长为2,下底长为3腰梯形11A D 长为1,腰11A D 与下底11C D 的夹角为45︒ ,所以梯形1111A B C D 的高为2,所以梯形1111A B C D 的面积为1+=224(23) ,根据S =4直观平面 可知,平面图形ABCD 的面积为5.答案:A 5.解析:由22r r 3r l πππ+=知道2l r =所以圆锥的侧面展开图扇形圆心角度数为13603601802r l ⨯︒=⨯︒=︒,故选C 答案:C 6.解析:令x 3-1=7,得x =2,∴f (7)=3.答案:C7.解析:log 295=log 29-log 25=2log 23-log 25=2a -b .答案:B8.解析:画出函数y =x 2+x (-1≤x ≤3)的图象,由图象得值域是[-14,12].答案:B9.解析:函数y =x ,y =-1x 在(0,+∞)上为增函数,所以函数f (x )=x -1x在(0,+∞)上为增函数,故满足条件的图象为A.答案:A10.解析:∵y =-x 2+8x -16=-(x -4)2,∴函数在[3,5]上只有一个零点4.答案:B 11.解析:因为①②④正确,故选B .12.解析:由题目的条件可得⎩⎪⎨⎪⎧x >02-x >0x >2-x,解得1<x <2,故答案应为D.答案:D二、填空题(每小题5分,共20分) 13.答案:{x |x <4}14.解析:根据对数函数的性质可得log 2(3-4x )≥0=log 21,解得3-4x ≥1,得x ≤12,所以定义域为(-∞,12].答案:(-∞,12]15.解析:设S =a t ,则由题意可得a 2=14,从而a =12,于是S =(12)t ,设从0.04 km 2降至0.01 km 2还需要t 年,则(12)t =14,即t =2.答案:2 16、解析:如图,取AD 中点Q ,连PQ ,RQ ,则5PQ =,2RQ =,而PR =3,所以222PQ RQ PR +=,所以PQR 为直角三角形,90PQR ∠=︒,即PQ 与RQ 成90︒的角,所以AC 与BD 所成角的度数是90︒.答案:90︒三、解答题(写出必要的计算步骤,只写最后结果不得分,共70分) 17.(10分)已知集合A ={x |1≤x <4},B ={x |x -a <0}, (1)当a =3时,求A ∩B ;(2)若A ⊆B ,求实数a 的取值范围.解:(1)当a =3时,B ={x |x -3<0}={x |x <3},则有A ∩B ={x |1≤x <3}. (2)B ={x |x -a <0}={x |x <a },当A ⊆B 时,有a ≥4,即实数a 的取值范围是[4,+∞). 18.(12分)(1)计算:(279)12 +(lg5)0+(2764)-13 ;(2)解方程:log 3(6x-9)=3.解:(1)原式=(259)12 +(lg5)0+[(34)3]-13=53+1+43=4.(2)由方程log 3(6x-9)=3得6x-9=33=27,∴6x =36=62,∴x =2.经检验,x =2是原方程的解. 19.(12分)判断函数f (x )=1a x-1+x 3+12的奇偶性. 解:由a x-1≠0,得x ≠0,∴函数定义域为(-∞,0)∪(0,+∞), f (-x )=1a -x -1+(-x )3+12=a x1-a x -x 3+12=a x -1+11-a x-x 3+12=-1a x -1-x 3-12=-f (x ). ∴f (x )为奇函数.20.(12分) 如图,在长方体ABCD —A 1B 1C 1D 1中,AB =2,BB 1=BC =1,E 为D 1C 1的中点,连结ED ,EC ,EB 和DB .(1)求证:平面EDB ⊥平面EBC ; (2)求二面角E -DB -C 的正切值.证明:(1)在长方体ABCD -A 1B 1C 1D 1中,AB =2,BB 1=BC =1,E 为D 1C 1的中点.∴△DD 1E 为等腰直角三角形,∠D 1ED =45°.同理∠C 1EC =45°.∴︒=∠90DEC ,即DE ⊥EC .在长方体ABCD -1111D C B A 中,BC ⊥平面11DCC D ,又DE ⊂平面11DCC D ,∴BC ⊥DE .又C BC EC = ,∴DE ⊥平面EBC .∵平面DEB 过DE ,∴平面DEB ⊥平面EBC . (2)解:如图,过E 在平面11DCC D 中作EO ⊥DC 于O .在长方体ABCD -1111D C B A 中,∵面ABCD⊥面11DCC D ,∴EO ⊥面ABCD .过O 在平面DBC 中作OF ⊥DB 于F ,连结EF ,∴EF ⊥BD .∠EFO 为二面角E -DB -C 的平面角.利用平面几何知识可得OF =51, (第20题)又OE =1,所以,tan ∠EFO =5. 21.(12分)已知正方体1111ABCD A B C D -,O 是底ABCD 对角线的交点. 求证:(1)O C 1∥面11AB D ;(2 )1AC ⊥面11AB D . 证明:(1)连结11A C ,设11111AC B D O =连结1AO ,1111ABCD A B C D -是正方体11A ACC ∴是平行四边形11A C AC ∴且 11A C AC =又1,O O 分别是11,A C AC 的中点,11O C AO ∴且11O C AO =D 1ODBAC 1B 1A 1C11AOC O ∴是平行四边形 111,C O AO AO ∴⊂面11AB D ,1C O ⊄面11AB D ∴1C O 面11AB D(2)1CC ⊥面1111A B C D 11!CC B D ∴⊥又1111A C B D ⊥, 1111B D AC C ∴⊥面111AC B D ⊥即同理可证11A C AB ⊥, 又1111D B AB B =∴1A C ⊥面11AB D22.(12分)已知函数f (x )是正比例函数,函数g (x )是反比例函数,且f (1)=1,g (1)=1, (1)求f (x ),g (x );(2)判断函数h (x )=f (x )+g (x )的奇偶性;(3)证明函数S (x )=xf (x )+g (12)在(0,+∞)上是增函数.解:(1)设f (x )=k 1x (k 1≠0),g (x )=k 2x(k 2≠0).∵f (1)=1,g (1)=1,∴k 1=1,k 2=1.∴f (x )=x ,g (x )=1x.(2)由(1)得h (x )=x +1x,则函数h (x )的定义域是(-∞,0)∪(0,+∞),h (-x )=-x +1-x =-(x +1x)=-h (x ),∴函数h (x )=f (x )+g (x )是奇函数. (3)证明:由(1)得S (x )=x 2+2.设x 1,x 2∈(0,+∞),且x 1<x 2,则S (x 1)-S (x 2)=(x 21+2)-(x 22+2)=x 21-x 22=(x 1-x 2)(x 1+x 2). ∵x 1,x 2∈(0,+∞),且x 1<x 2,∴x 1-x 2<0,x 1+x 2>0. ∴S (x 1)-S (x 2)<0.∴S (x 1)<S (x 2).∴函数S (x )=xf (x )+g (12)在(0,+∞)上是增函数.。
第九章综合测试答案解析一、 1.【答案】C【解析】①中商店的规模不同,所以应采用分层随机抽样;②中总体没有差异性,容量较小,样本容量也较小,所以应采用简单随机抽样。
2.【答案】B 【解析】10008020012001000n⨯=++.求得192n =.3.【答案】C【解析】将这20个数据从小到大排列:109,112,114,118,120,124,126,126,127,128,135,135,135,137,138,139,142,144,148,150.2075%15i =⨯=,∴这组数据的第75百分位数为第15个数据和第16个数据的平均数,即138139138.52+=. 4.【答案】A【解析】由频率分布直方图的性质,可设中间一组的频率为x ,则41x x +=,所以0.2x =,故中间一组的频数为1600.232⨯=. 5.【答案】C【解析】由题图知,小波一星期的食品开支为300元,其中鸡蛋开支为30元,占食品开支的10%,而食品开支占总开支的30%,所以小波一星期的鸡蛋开支占总开支的百分比为3%. 6.【答案】A【解析】由题意,根据频率分布直方图,可得获得复赛资格的人数为1000(10.00252020.007520650⨯-⨯-⨯⨯=)(人)7.【答案】D【解析】由题意可知B 样本的数据为58,60,60,62,62,62,61,61,61,61,将A 样本中的数据由小到大依次排列为52,54,54,55,55,55,55,56,56,56,将B 样本中的数据由小到大依次排列为58,60,60,61,61,61,61,62,62,62,因此A 样本的众数为55,B 样本的众数为61,A 选项错误;A 样本的平均数为54.8,B 样本的平均数为60.8,B 选项错误;A 样本的中位数为55,B 样本的中位数为61,C 选项错误;事实上,在A 样本的每个数据上加上6后形成B 样本,样本的稳定性不变,因此两个样本的标准差相等,故选D. 8.【答案】D【解析】100米仰泳比赛的成绩是时间越短越好的,方差越小发挥水平越稳定,故丁是最佳人选. 9.【答案】C【解析】依题意,前三年中位数200x =,平均数1002003002003y ++==,第四年收入为600万元,故中位数为200300250 1.252y x +===, 平均数为100200300600300 1.54y +++==.10.【答案】C【解析】A .样本中男生人数为412108640++++=(人),女生人数为1004060-=(人),所以样本中男生人数少于女生人数,所以该选项是正确的;B .因为男生中B 层次的比例最大,女生中B 层次的比例最大,所以样本中B 层次身高人数最多,所以该选项是正确的;C .样本中D 层次身高的男生有8人,女生D 层次的有6015%9⨯=(人),所以样本中D 层次身高的男生少于女生,所以该选项是错误的;D .样本中E 层次身高的女生有605%3⨯=(人),所以该选项是正确的. 二、 11.【答案】4【解析】由平均数为10,得1(10119)105x y ++++⨯=,则20x y +=; 又方差为2,2222210)(10)(1010)11101[(]59102x y -+-+-+-+=∴-⨯()(),得22208x y +=,2192y =.4x y ∴-==.12.【答案】12【解析】抽取的男运动员的人数为2148124836⨯=+.13.【答案】90 37.5【解析】由题意得抽取到的20个班级的平均数58510905959020x ⨯+⨯+⨯== .方差2222514(8590)1030(9090)526(9590)37.520[][][]s ⨯+-+⨯+-+⨯+-==.14.【答案】0.030 3【解析】0.005100.03510100.020100.010101a ⨯+⨯+⨯+⨯+⨯=,0.030a ∴=. 设身高在[120,130),[130,140),[140,150]三组的学生分别有x y z ,,人,则式0.03010100x=⨯,解得30x =.同理,2010y z ==,.故从[140,150]的学生中选取的人数为10183302010⨯=++.三、15.【答案】解:(1)1(0.050.350.20.1)0.3-+++=,故①处应填0.3.完成频率分布直方图如图所示.(2)第3组的人数为0.310030⨯=,第4组人数为0.210020⨯=,第5组人数为0.110010⨯=,共计60人,用分层随机抽样抽取6人.则第3组应抽取人数为306360⨯=,第4组应抽取人数为206260⨯=,第5组应抽取人数为106160⨯=. 16.【答案】解:由题中数据可得如下统计表.(1)∵甲、乙命中9环及以上的次数分别为1和3次, ∴乙的成绩比甲好.(2)∵甲、乙平均数相同,但甲的中位数小于乙的中位数, ∴乙的成绩比甲好。
人教版高中数学必修2第二章测试题A组及答案解析第二章点、直线、平面之间的位置关系一、选择题1.设 $\alpha$,$\beta$ 为两个不同的平面,$l$,$m$ 为两条不同的直线,且 $l\subset\alpha$,$m\subset\beta$,有如下的两个命题:①若 $\alpha\parallel\beta$,则 $l\parallel m$;②若 $l\perp m$,则 $\alpha\perp\beta$。
那么()。
A。
①是真命题,②是假命题B。
①是假命题,②是真命题C。
①②都是真命题D。
①②都是假命题2.如图,ABCD为正方体,下面结论错误的是()。
A。
BD $\parallel$ 平面CBB。
AC $\perp$ BDC。
AC $\perp$ 平面CBD。
异面直线AD与CB角为60°3.关于直线 $m$,$n$ 与平面 $\alpha$,$\beta$,有下列四个命题:① $m\parallel\alpha$,$n\parallel\beta$ 且$\alpha\parallel\beta$,则 $m\parallel n$;② $m\perp\alpha$,$n\perp\beta$ 且 $\alpha\perp\beta$,则$m\perp n$;其中真命题的序号是()。
A。
①②B。
③④C。
①④D。
②③4.给出下列四个命题:①垂直于同一直线的两条直线互相平行②垂直于同一平面的两个平面互相平行③若直线 $l_1$,$l_2$ 与同一平面所成的角相等,则$l_1$,$l_2$ 互相平行④若直线 $l_1$,$l_2$ 是异面直线,则与 $l_1$,$l_2$ 都相交的两条直线是异面直线其中假命题的个数是()。
A。
1B。
2C。
3D。
45.下列命题中正确的个数是()。
①若直线 $l$ 上有无数个点不在平面 $\alpha$ 内,则$l\parallel\alpha$②若直线 $l$ 与平面 $\alpha$ 平行,则 $l$ 与平面$\alpha$ 内的任意一条直线都平行③如果两条平行直线中的一条直线与一个平面平行,那么另一条直线也与这个平面平行④若直线 $l$ 与平面 $\alpha$ 平行,则 $l$ 与平面$\alpha$ 内的任意一条直线都没有公共点A。
高中数学必修二综合测试卷一、选择题:(共10小题,每小题5分)1. 在空间直角坐标系中,点(2,1,4)-关于x 轴的对称点的坐标为(C ) A .(2,1,4)-- B .(2,1,4)- C .(2,1,4)--- D .(2,1,4)-2. 将棱长为2的正方体木块削成一个体积最大的球,则这个球的表面积为( B ) A .2π B .4π C .8π D .16π 3.ABC ∆的斜二侧直观图如图所示,则ABC ∆的面积为( B ) A 、1 B 、2 C 、22D 、24. 过点P(-2,4)作圆(x -2)2+(y -1)2=25的切线l ,直线l 1 ax +3y +2a =0与l 平行,则l 1与l 间的距离是( B) A.285B.125C.85D.255. 已知点(3,1)和(- 4,6)在直线023=+-a y x 的两侧,则a 的取值范围是( C ) A. a <-7或a >24 B. a =7或a =24 C. -7<a <24 D. -24<a <76. 直线320x y +-=截圆224x y +=得到的弦长为( B ) A .1 B . 23 C . 22 D . 27. 关于空间两条直线a 、b 和平面α,下列命题正确的是( D ) A .若//a b ,b α⊂,则//a α B .若//a α,b α⊂,则//a b C .若//a α,//b α,则//a b D .若a α⊥,b α⊥,则//a b 8. 下列四个命题中错误..的.是(C ) A .若直线a 、b 互相平行,则直线a 、b 确定一个平面 B .若四点不共面,则这四点中任意三点都不共线C .若两条直线没有公共点,则这两条直线是异面直线D .两条异面直线不可能垂直于同一个平面9.对于任意实数a ,点(),2P a a -与圆22:1C x y +=的位置关系的所有可能是( B )A 、都在圆内B 、都在圆外C 、在圆上、圆外D 、在圆上、圆内、圆外Oxy 12()C AB10.如右图,定圆半径为a ,圆心为(,)b c ,则直线0ax by c ++= 与直线10x y +-=的交点在( D )A .第一象限B .第二象限C .第三象限D .第四象限 二、填空题:(共5小题,每小题5分)11. 圆2220x y x +-=和圆2240x y y ++=的位置关系是___相交_____.12. 已知直线a 和两个不同的平面α、β,且a α⊥,a β⊥,则α、β的位置关系是_平行____.13. 如图,在三棱锥ABC P -中,PA ⊥底面ABC ,∠ACB = 90,AE ⊥PB 于E ,AF ⊥PC 于F ,若2==AB PA ,∠BPC =θ,则当AEF ∆的面积最大时,θtan 的值为___22___. 14. 将边长为1的正方形ABCD 沿对角线AC 折起,使得平面ADC ⊥平面ABC ,在折起后形成的三棱锥D ABC -中,给出下列三个命题:①面DBC 是等边三角形; ②AC BD ⊥; ③三棱锥D ABC -的体积是26. 其中正确命题的序号是_①②________.(写出所有正确命题的序号)15. 已知a 、b 、c 为某一直角三角形的三边长,c 为斜边,若点P(m ,n)在直线ax +by +2c =0上,则m 2+n 2的最小值为__4___.三、解答题:(共6小题)16.(本小题满分12分)已知一个几何体的三视图如图所示。
高中数学必修2综合试题一、选择题(本大题共2道小题,每小题5分,共60分。
在每小题给出的四个选项中,只有一项是符合题目要求的)1、下图(1)所示的圆锥的俯视图为 ( )2、直线:30l y ++=的倾斜角α为 ( )A 、30;B 、60;C 、120;D 、150。
3、边长为a 正四面体的表面积是 ( )A、34a ; B、312a ; C、24a ; D2。
4、对于直线:360l x y -+=的截距,下列说法正确的是 ( )A 、在y 轴上的截距是6;B 、在x 轴上的截距是6;C 、在x 轴上的截距是3;D 、在y 轴上的截距是3-。
5、已知,a b αα⊂//,则直线a 与直线b 的位置关系是 ( )A 、平行;B 、相交或异面;C 、异面;D 、平行或异面。
6、已知两条直线12:210,:40l x ay l x y +-=-=,且12l l //,则满足条件a 的值为 ( )A 、12-; B 、12; C 、2-; D 、2。
7、在空间四边形ABCD 中,,,,E F G H 分别是,,,AB BC CD DA 的中点。
若AC BD a ==,且AC 与BD 所成的角为60,则四边形EFGH 的面积为 ( )A2a ; B2; C2a ; D2。
8、已知圆22:260C x y x y +-+=,则圆心P 及半径r 分别为 ( )图(1)ABCDA 、圆心()1,3P ,半径10r =;B 、圆心()1,3P ,半径r =;C 、圆心()1,3P -,半径10r =;D 、圆心()1,3P -,半径r =9、下列叙述中错误的是 ( )A 、若P αβ∈且l αβ=,则P l ∈;B 、三点,,A BC 确定一个平面;C 、若直线a b A =,则直线a 与b 能够确定一个平面;D 、若,A l B l ∈∈且,A B αα∈∈,则l α⊂。
10、两条不平行的直线,其平行投影不可能是 ( )A 、两条平行直线;B 、一点和一条直线;C 、两条相交直线;D 、两个点。
11、长方体的一个顶点上的三条棱长分别为3、4、5,且它的8个顶点都在同一个球面上,则这个球的表面积是 ( )A 、25π;B 、50π;C 、125π;D 、都不对。
12、四面体P ABC -中,若PA PB PC ==,则点P 在平面ABC 内的射影点O 是ABC 的 ( )A 、外心;B 、内心;C 、垂心;D 、重心二、填空题(本大题共4道小题,每小题4分,共16分。
把答案填在题中横线上)13、圆柱的侧面展开图是边长分别为2,a a 的矩形,则圆柱的体积为 ; 14、命题:一条直线与已知平面相交,则面内不过该交点的直线与已知直线为异面直线。
用符号表示为 ;15、点()2,1M 直线0l y --=的距离是 ; 16、已知,a b 为直线,,,αβγ为平面,有下列三个命题: (1) a b αβ////,,则a b //; (2) ,a b γγ⊥⊥,则a b //; (3) ,a b b α⊂//,则a α//; (4) ,a b a α⊥⊥,则b α//;其中正确命题是 。
三、解答题(本大题共6道小题,共74分。
解答应写出文字说明、证明过程或演算步骤)17、(本小题满分12分)如下图(2),建造一个容积为316m ,深为2m ,宽为2m 的长方体无盖水池,如果池底的造价为120m 2/元,池壁的造价为80m 2/元,求水池的总造价。
18、(本小题满分12分)如下图(3),在四棱锥P ABCD -中,四边形ABCD 是平行四边形,,M N 分别是,AB PC 的中点,求证:MN PAD //平面 。
2m2m图(2)BCA DM NP图(3)19、(本小题满分12分)如下图(4),在正方体1111ABCD A B C D -中, (1)画出二面角11A B C C --的平面角; (2)求证:面11BB DD ⊥面1AB C20、(本小题满分12分)光线自点()2,3M 射到点()1,0N 后被x 轴反射,求该光线及反射光线所在的直线方程。
(请用直线的一般方程表示解题结果)21、(本小题满分12分)已知三角形ABC 的三个顶点是()()()4,0,6,7,0,8A B C (1) 求BC 边上的高所在直线的方程; (2) 求BC 边上的中线所在直线的方程。
图(4)1A1B1D1CCABD22、(本小题满分14分)如下图(5),在三棱锥A BCD -中,,O E 分别是,BD BC 的中点,2CA CB CD BD ====,AB AD ==(1) 求证:AO ⊥平面BCD ;(2) 求异面直线AB 与CD 所成角的余弦值; (3) 求点E 到平面ACD 的距离。
E ABC图(5)DO2m2m图(2)高中数学必修2综合测试题(答案卷)一、选择题(本大题共2道小题,每小题5分,共60分。
在每小题给出的四个选项中,只有一项是符合题目要求的)二、填空题(本大题共4道小题,每小题4分,共16分。
把答案填在题中横线上)13、3a π或32a π; 14、 ,a P b αα=∀⊂,且P b ∉,则a 与b 互为异面直线;15、12; 16、(2)。
三、解答题(本大题共6道小题,共74分。
解答应写出文字说明、证明过程或演算步骤)17、(本小题满分12分)如下图(2),建造一个容积为316m ,深为2m ,宽为2m 的长方体无盖水池,如果池底的造价为120m 2/元,池壁的造价为80m 2/元,求水池的总造价。
解:分别设长、宽、高为,,am bm hm ;水池的总造价为y 元16,2,2V abh h b ====,4a m ∴=—————————————3分则有2428S m =⨯=底————————6分()2224224S m =⨯+⨯=壁—————9分12080120880242880y S S =⨯+⨯=⨯+⨯=底壁(元)————————————12分18、(本小题满分12分)如下图(3),在四棱锥P ABCD -中,四边形ABCD 是平行四边形,,M N 分别是,AB PC 的中点,求证:MN PAD //平面 。
证明:如图,取PD 中点为E ,连接,AE EN ———1分,E N 分别是,PD PC 的中点CDNPE12EN DC ∴//———————————————4分 M 是AB 的中点 12AM DC ∴// ——————7分EN AM ∴// ∴四边形AMNE 为平行四边形 —9分AE MN ∴// ———————————————11分又AE APD ⊂面 MN APD ⊄面 ∴MN PAD //平面 。
————————12分19、(本小题满分12分)如下图(4),在正方体1111ABCD A B C D -中,(1)画出二面角11A B C C --的平面角; (2)求证:面11BB DD ⊥面1AB C解:(1)如图,取1B C 的中点E ,连接1,AE EC 。
11,,AC AB B C 分别为正方形的对角线 11AC AB B C ∴==E 是1B C 的中点1AE B C ∴⊥ ——————————————2分又在正方形11BB C C 中11EC B C ∴⊥ ——————————————3分∴1AEC ∠为二面角11A B C C --的平面角。
—————————————————4分(2) 证明: 1D D ABCD ⊥面,AC ABCD ⊂面 1D D AC ∴⊥ —————6分又在正方形ABCD 中 AC BD ∴⊥ —————————————————8分1D DBD D = 11AC DD B B ∴⊥面 ———————————————10分又1AC AB C ⊂面 ∴面11BB DD ⊥面1AB C ——————————————12分20、(本小题满分12分)光线自点()2,3M 射到点()1,0N 后被x 轴反射,求该光线及反射光线所在的直线方程。
(请用直线的一般方程表示解题结果)图(4)1A1B1D1CCABD E(解:如图,设入射光线与反射光线分别为1l与2l,11,M l N l∈∈由直线的两点式方程可知:1030:121ylx--=--——3分化简得:1:330l x y--=——————4分其中13k=,由光的反射原理可知:12∠=∠213k k∴=-=-,又2N l∈—————8分由直线的点斜式方程可知:()2:031l y x-=--—————————————————————————10分化简得:2:330l x y+-=——————————————————————12分21、(本小题满分12分)已知三角形ABC的三个顶点是()()()4,0,6,7,0,8A B C(1)求BC边上的高所在直线的方程;(2)求BC边上的中线所在直线的方程。
解:(1)如图,作直线AD BC⊥,垂足为点D。
781606BCk-==--—————2分BC AD⊥16ADBCkk∴=-=4分由直线的点斜式方程可知直线AD的方程为:()064y x-=-化简得:624y x=-——6分(2)如图,取BC的中点()00,E x y,连接AE。
由中点坐标公式得000632871522x y +⎧==⎪⎪⎨+⎪==⎪⎩,即点153,2E ⎛⎫ ⎪⎝⎭ ———————————9分由直线的两点式方程可知直线AE 的方程为:1502430y x --=-- ——————————11分 化简得:5102y x =- ——————————————————————————12分22、(本小题满分14分)如下图(5),在三棱锥A BCD -中,,O E 分别是,BD BC 的中点,2CA CB CD BD ====,AB AD ==(1) 求证:AO ⊥平面BCD ; (2) 求异面直线AB 与BC 所成角的余弦值;(3) 求点E 到平面ACD 的距离。
(1)证明:连接OC,BO DO AB AD ==AO BD ∴⊥ ———————————1分,BO DO BC CD ==CO BD ∴⊥ —————————————2分在AOC中,由已知可得:1,AO CO ==而2222,AC AO CO AC =∴+=90AOC ∴∠=,即AO OC ⊥ ———————4分BD OC O =AO BCD ∴⊥平面 ——————————————————5分(2)解:取AC 的中点M ,连接,,OM ME OE由E 为BC 的中点知,ME AB OE DC ////∴直线OE 与EM 所成的锐角就是异面直线AB 与CD 所成的角。
——————6分在OME 中, 122EM AB ==, E ABC 图(5)DOE ABC图(5)DOM112OE DC ==OM 是Rt AOC 斜边AC 上的中线112OM AC ∴== ——————————————————————————8分cos 4OEM ∴∠=———————————————————————————10分 (3)解:设点E 到平面ACD 的距离为h 。