Байду номын сангаас
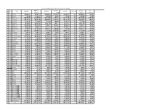
四川达县茶园煤电有限公司煤矸石砖厂固定资产折旧明细表 部门 编号 1 2 3 4 5 6 7 8 9 10 11 12 13 14 15 16 17 18 19 20 21 22 23 24 25 26 27 28 29 30 31 32 33 34 35 36 37 38 39 40 41 42 43 44 45 46 47 48 名称 砖窑房 变电房 砖机厂房 大料仓房 小料仓房 碎粉机房 新料厂房 厕所浴房 材料办公房 砖窑 平整地坝 厂区公路 分体式真空砖机 分体坯机 电托车 单螺杆顶车 双轴搅拌机 颚破机 滚动筛 锤粉机 地爬车 斗式提升机 皮带运输机 搅拢机 地爬车(深坯道) 钢料仓1# 钢料仓2# 钢料仓3# 改造皮带运输机 电焊机 电焊机2 葫芦 窑车 抽风机 变压器 高压电缆及低橡软电缆 配电柜 装载杨 内转机 软启动器15KW 软启动器22KE 软启动器30KW 软启动器37KW 软启动器55KW 软启动器110KW 软启动器132KW 自藕减压启动器 其他机器设备 合计 账面原值 335,616.54 7,761.66 952,068.05 233,454.00 11,387.82 93,209.30 102,002.39 22,943.65 47,307.28 621,039.14 8,064.57 38,615.37 234,000.00 14,700.00 80,700.00 25,000.00 84,000.00 63,000.00 15,200.00 45,000.00 10,000.00 50,000.00 110,000.00 9,500.00 9,000.00 9,500.00 9,500.00 9,500.00 36,000.00 1,350.00 1,450.00 3,150.00 360,000.00 1,520.00 52,000.00 10,000.00 14,000.00 158,000.00 18,000.00 2,650.00 3,000.00 3,800.00 8,200.00 6,000.00 9,500.00 11,000.00 5,400.00 914,610.04 4,871,699.81 2013年前 已提折旧 95,650.71 2,212.07 271,339.39 66,534.39 3,245.53 26,564.65 29,070.68 6,538.94 13,482.57 176,996.15 2,298.40 11,005.38 66,690.00 4,189.50 22,999.50 7,125.00 23,940.00 17,955.00 4,332.00 12,825.00 2,850.00 14,250.00 31,350.00 2,707.50 2,565.00 2,707.50 2,707.50 2,707.50 10,260.00 384.75 413.25 897.75 102,600.00 433.20 14,820.00 2,850.00 3,990.00 45,030.00 5,130.00 755.25 855.00 1,083.00 2,337.00 1,710.00 2,707.50 3,135.00 1,539.00 180,113.69 1,307,884.27 账面净值 239,965.83 5,549.59 680,728.66 166,919.61 8,142.29 66,644.65 72,931.71 16,404.71 33,824.71 444,042.99 5,766.17 27,609.99 167,310.00 10,510.50 57,700.50 17,875.00 60,060.00 45,045.00 10,868.00 32,175.00 7,150.00 35,750.00 78,650.00 6,792.50 6,435.00 6,792.50 6,792.50 6,792.50 25,740.00 965.25 1,036.75 2,252.25 257,400.00 1,086.80 37,180.00 7,150.00 10,010.00 112,970.00 12,870.00 1,894.75 2,145.00 2,717.00 5,863.00 4,290.00 6,792.50 7,865.00 3,861.00 734,496.35 3,563,815.54 预计残值 0.05 16,780.83 388.08 47,603.40 11,672.70 569.39 4,660.47 5,100.12 1,147.18 2,365.36 31,051.96 403.23 1,930.77 11,700.00 735.00 4,035.00 1,250.00 4,200.00 3,150.00 760.00 2,250.00 500.00 2,500.00 5,500.00 475.00 450.00 475.00 475.00 475.00 1,800.00 67.50 72.50 157.50 18,000.00 76.00 2,600.00 500.00 700.00 7,900.00 900.00 132.50 150.00 190.00 410.00 300.00 475.00 550.00 270.00 45,730.50 243,584.99 预计净值 318,835.71 7,373.58 904,464.65 221,781.30 10,818.43 88,548.84 96,902.27 21,796.47 44,941.92 589,987.18 7,661.34 36,684.60 222,300.00 13,965.00 76,665.00 23,750.00 79,800.00 59,850.00 14,440.00 42,750.00 9,500.00 47,500.00 104,500.00 9,025.00 8,550.00 9,025.00 9,025.00 9,025.00 34,200.00 1,282.50 1,377.50 2,992.50 342,000.00 1,444.00 49,400.00 9,500.00 13,300.00 150,100.00 17,100.00 2,517.50 2,850.00 3,610.00 7,790.00 5,700.00 9,025.00 10,450.00 5,130.00 868,879.54 4,628,114.82 折旧年限 20 20 20 20 20 20 20 20 20 20 20 20 20 10 10 10 10 10 10 10 10 10 10 10 10 10 10 10 10 10 10 10 10 10 10 10 10 10 10 10 10 10 10 10 10 10 10 10 5月后应 计提折旧 239,965.83 5,549.59 680,728.66 166,919.61 8,142.29 66,644.65 72,931.71 16,404.71 33,824.71 444,042.99 5,766.17 27,609.99 167,310.00 10,510.50 57,700.50 17,875.00 60,060.00 45,045.00 10,868.00 32,175.00 7,150.00 35,750.00 78,650.00 6,792.50 6,435.00 6,792.50 6,792.50 6,792.50 25,740.00 965.25 1,036.75 2,252.25 257,400.00 1,086.80 37,180.00 7,150.00 10,010.00 112,970.00 12,870.00 1,894.75 2,145.00 2,717.00 5,863.00 4,290.00 6,792.50 7,865.00 3,861.00 734,496.35 3,563,815.54 每月 应计提折旧 949.86 21.97 2,694.55 660.72 32.23 263.80 288.69 64.94 133.89 1,757.67 22.82 109.29 662.27 83.21 456.80 141.51 475.48 356.61 86.04 254.72 56.60 283.02 622.65 53.77 50.94 53.77 53.77 53.77 203.78 7.64 8.21 17.83 2,037.75 8.60 294.34 56.60 79.25 894.35 101.89 15.00 16.98 21.51 46.42 33.96 53.77 62.26 30.57 5,814.76 20,550.84