附表7 1990-2013各省人均国内生产总值
- 格式:xls
- 大小:24.00 KB
- 文档页数:9
全国各省级行政区2013年度的GDP数据近日陆续公布。
据价值线数据中心统计,全国31个省的GDP总和约为63.07万亿元,而国家统计局初步核算的2013年全国GDP则为56.88万亿元,31个省份GDP总和已超过全国总量6.19万亿元,地方统计口径和国家统计口径有一定差距。
研究2013年度全国31个省区GDP排名,我们可以看出广东率先突破六万亿大关,排在榜首;前十名的位置保持不变;福建、天津、吉林、重庆排名有所上升;上海、江西、广西、山西排名则有所下降;西藏、青海、宁夏则依旧排在倒数前三名。
虽然广东、江苏、山东的GDP总量为全国前三名,但人均GDP排名却并没那么靠前。
按人均GDP排名前十位的分别为天津、北京、上海、江苏、浙江、内蒙古、辽宁、广东、福建、山东。
其中突破十万元人均GDP的只有天津。
2013年世界各国GDP排名作者:PHBang 来源:中国排行网时间:2014年03月11日国际货币基金组织(IMF)1月23日在其《世界经济展望》报告更新版中调低了2013年和2014年对世界经济的预期。
2013年世界各国国内生产总值(GDP)排名也将有所起伏。
根据IMF的预测数据,2013年世界各国GDP排名最高的仍为头号经济强国美国,其经济总量将达16万1979亿美元;中国位居第二,GDP 总量为9万零386亿美元;日本5.997万亿美元,排在第三,之后是德国、法国、英国、巴西、印度、俄罗斯和意大利。
GDP总量超过万亿美元的国家总共16个。
IMF预计,2013年世界经济增速为3.5%,比此前2012年10月份的预测低了0.1个百分点。
根据该组织的预测,2014年,世界经济增速将达4.1%。
2013年世界各国GDP排名(最新数据统计预测):2013年IMF世界各国人均GDP权威排名作者:PHBang 来源:中国排行网时间:2014年03月11日人均国内生产总值(GDP)是一个国家在某一年度的所有生产的商品和服务除以同年的人口的人均值。
建国以来我国历年国内生产总值(GDP)增长率一览GDP 是英文 Gross Domestic Product 的缩写,译为国内生产总值,指一国(或地区) 一年内在其境内生产出的全部最终产品和劳务的市场价值总和。
GDP 是宏观经济中最受关注的经济统计数字,因为它被认为是衡量国民经济发展情况最重要的一个指标。
GDP 反映的是国民经济各部门的增加值的总额。
国家统计局发布的季度 GDP 是以生产法为基础核算的结果。
从理论上说,按支出法、收入法与生产法计算的 GDP 在量上是相等的,但实际核算中常有误差,因而要加上一个统计误差项来进行调整,使其达到一致。
实际统计中,一般以国民经济核算体系的支出法为基本方法,即以支出法所计算出的国内生产总值为标准。
依照《中华人民共和国统计法》第一章第九条的规定,统计机构和统计人员对在统计工作中知悉的国家秘密、商业秘密和个人信息,应当予以保密。
国民经济核算人员在进行 GDP 核算时对所使用的未经公开的专业统计数据和行政记录数据严格保密,在 GDP 核算数据发布前对当期 GDP 数据也严格保密。
季度 GDP 初步核算数一般于季后 15 天左右完成;季度GDP 初步核实数在年度 GDP 初步核实数发布后 45 天内完成;季度 GDP 最终核实数在年度 GDP 最终核实数发布后 45 天内完成。
对于主要统计指标的发布,国家统计局会在年初发布的《经济统计信息发布日程表》中说明发布日期,GDP 数据将按规定日程发布。
GNP 是英文 Gross National Product 的缩写,译为国民生产总值。
GNP 是一个国民概念,指某国国民所拥有的全部生产要素在一定时期内所生产的最终产品的市场价值。
因此,一个在日本工作的美国公民的收入不计入美国的 GDP 中,而计入日本的 GDP 中。
在 1991 年之前,美国均是采用 GNP 作为经济总产出的基本测量指标,后来因为大多数国家都采用 GDP,加之国外净收入数据不足,GDP 相对于 GNP 来说是衡量国内就业潜力的更好指标,易于测量,所以美国才改用GDP。
2013年各省市GDP排名:总量广东卫冕人均天津居首关键字 >> GDP2013年各省市GDP排名各省人均GDP各省GDP 人均GDP2013年分省GDP广东天津苏粤竞争经济晴雨表观察者头条头条继国家统计局发布中国去年GDP数据之后,国内31个省市自治区也纷纷亮出了“成绩单”。
统计显示,2013年广东省GDP总量率先突破六万亿大关,蝉联第一;天津的人均GDP率先突破10万元大关,连续两年居首。
各省GDP排名并未有太大变化:前十名的位置保持不变;福建、天津、吉林、重庆排名有所上升;上海、江西、广西、山西排名则有所下降;西藏、青海、宁夏则依旧排在倒数前三名。
虽然广东、江苏、山东的GDP总量为全国前三名,但人均GDP排名却并没那么靠前,按人均GDP排名前十位的分别为天津、北京、上海、江苏、浙江、内蒙古、辽宁、广东、福建、山东。
其中人均GDP 突破10万元的只有天津。
天津人均GDP连续两年居首广东险守冠军广东是我国GDP唯一突破6万亿元人民币的省份。
按照世界银行统计,广东GDP大约与2012年世界排名第15的韩国相当。
紧随广东之后的江苏GDP达到59162亿元,只比广东少3002亿元。
从经济增速上看,广东是8.93%,低于江苏的9.44%。
“老二”江苏虽然仍然追得很紧,不过追赶的步伐则有所放慢,江苏省2012年GDP 增速高达10.1%,去年降低到了9.44%,根据江苏省政府工作报告,2014年的GDP增长目标再次调低为9%,相比之下,广东经济增长更为稳健,2014年预期目标仍为增长8.5%。
从主要经济指标来看,广东、江苏、山东、浙江、上海五省市中,固定资产投资依然是广东的弱项。
从总量来看,广东固定资产投资仅为21794.98亿元,而江苏和山东则分别高达35983亿元和35875.86亿元,比广东多了14000亿元左右,浙江则仅比广东略少一千多亿元。
而从增速来看,广东增速为18.3%,低于山东和江苏的19.6%,略高于浙江的18.1%。
中国大陆历年GDP和人均GDP一览(1952—2012年)中国大陆历年GDP和人均GDP一览(1952—2012年)中国大陆历年国内生产总值(GDP)及人均国内生产总值一览(1952—2012)——————————————————————————————————————————————中国历年GDP(国内生产总值)和GNI(国民总收入)一览国家外汇管理局2013年2月1日发布了2012年第四季度及全年我国国际收支平衡表初步数据。
2012年第四季度,我国经常项目顺差658亿美元,其中,按照国际收支统计口径计算,货物贸易顺差1074亿美元,服务贸易逆差196亿美元,收益逆差218亿美元,经常转移逆差1亿美元。
资本和金融项目逆差(含净误差与遗漏,下同)318亿美元,其中,直接投资净流入516亿美元。
国际储备资产增加340亿美元(不含汇率、价格等非交易价值变动影响),其中,外汇储备资产增加347亿美元,特别提款权及在基金组织的储备头寸减少7亿美元。
2012年,我国国际收支经常项目顺差2138亿美元,资本和金融项目逆差1173亿美元,国际储备资产增加965亿美元。
2012年,我国收益项目逆差235亿美元,经常转移顺差37亿美元。
以此测算,2012年我国国民总收入(GNI)约为82034亿美元,相当于国内生产总值的99.7%;人均国民总收入约6073美元。
国民可支配总收入(GNDI)约82071亿美元,相当于国内生产总值的99.8%;人均国民可支配总收入约6076美元。
——————————————————————————————————————————————中国与西方七国集团GDP和GNI数据一览(世界银行版)按当年平均汇率计算,2010年,中国及七国集团现价GDP分别是:美国145265亿美元、中国59266亿美元、日本54609亿美元、德国33097亿美元、法国25600亿美元、英国22461亿美元、意大利20514亿美元、加拿大15741亿美元。
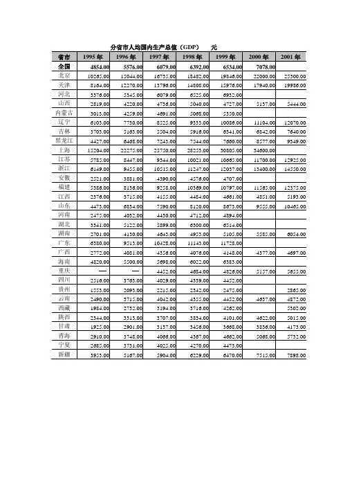
数据库:分省年度数据指标:人均地区生产总值(元/人)地区2013年2012年2011年2010年2009年2008年2007年2006年2005年2004年北京市93213874758165873856669406449160096517224599340916天津市99607931738521372994625745865647970421413779630575河北省38716365843396928668245812298619662166821465912487山西省34813336283135726283215222150617805144971264710741内蒙古自治区67498638865797447347397353486926521205231628512728辽宁省61686566495076042355351493173926057219141907415835吉林省47191434153846031599265952352119383157201334811537黑龙江省37509357113281927076224472174018580162551444012449上海市90092853738256076074691646693262041548584964944839江苏省74607683476229052840442534001433837285262461620031浙江省68462633745924951711438424140536676312412706223817安徽省31684287922565920888164081444812039999686317681福建省57856527634737740025334372975525582211051835316235江西省317712880026150212531733515900133221114594408097山东省56323517684733541106358943293627604236031993416413河南省3417431499286612444620597191811601213172113469201湖北省4261338572341972790622677198581638613360115549898湖南省3676333480298802471920428181471486912139105629165广东省58540540955080744736394363763833272285342464720876广西壮族自治区305882795225326202191604514652122771012185907461海南省35317323772889823831192541769114923128101116510067重庆市42795389143450027596229202049016629139391240410845四川省324542960826133211821733915495129631061390607895贵州省229221971016413131191097198557878630553944317云南省25083221951926515752135391257010609892978097012西藏自治区260682293620077173191529513824120831042290368103陕西省4269238564334642713321947197001554612840106748638甘肃省24296219781959516113132691242110614894574776566青海省3651033181295222411519454184211450711889100458693宁夏回族自治区3942036394330432686021777196091514212099103499199新疆维吾尔自治区37181337963008725034199421979716999150001310811337数据来源:国家统计局注:2004年及以后年份地区生产总值数据执行《国民经济行业分类》(GB/T4754-2002),2004年以前地区生产总值数据执行《国民经济行业分据执行《国民经济行业分类》(GB/T4754-1994)。
2013年全国各省人均GDP排名2013年全国各省人均GDP排名出炉,从宜居城市研究室统计的数据来看,2013年人均GDP超过1万美元的省份仍为6个(不含港澳台),超过全国平均水平的省份达到14个,天津市以16419.44美元领跑全国,前三甲继续为三大直辖市。
贵州省继续居于末位,人均GDP为3691.47美元,预计2014年所有省份人均GDP均超过4000美元。
(香港、澳门、台湾更新为2013年数据)2013年全国各省人均GDP排名【所属专题:2013年各省GDP和人均GDP】制作:宜居城市研究室()排名省区市2013年GDP(亿元)2013年常住人口(万)人均GDP(元)人均GDP(美元)澳门517.57美元60.75 85197.32 香港2736.59美元718.8 38071.65 台湾4846.72美元2337.35 20735.961 天津14370.16 1472.21 97609.44 15760.742 北京19500.6 2114.8 92210.14 14888.933 上海21602.12 2415.15 89444.22 14442.334 江苏59161.75 7939.49 74515.81 12031.875 浙江37568.49 5498 68331.19 11033.266 内蒙古16832.38 2497.61 67393.95 10881.937 辽宁27077.7 4390 61680.41 9959.388 广东62163.97 10644 58402.83 9430.159 福建21759.64 3774 57656.70 9309.6810 山东54684.3 9733.39 56182.17 9071.59新疆兵团 1480 268 55223.88 8916.8611 吉林12981.46 2751.28 47183.35 7618.5712 陕西16045.21 3763.7 42631.48 6883.5913 重庆12656.69 2970 42615.12 6880.9514 湖北24668.49 5799 42539.21 6868.70全国568845 136072 41804.71 6750.1015 宁夏2565.1 654.19 39210.32 6331.1916 河北28301.4 7332.61 38596.63 6232.1017 黑龙江14382.9 3834 37514.08 6057.3018 新疆8360.2 2248.53 37180.74 6003.4819 湖南24501.7 6690.6 36621.08 5913.1120 青海2101.05 577.8 36362.93 5871.4321 海南3146.46 895.28 35144.98 5674.7722 山西12602.2 3630 34716.80 5605.6323 河南32155.86 9413 34161.12 5515.9124 四川26260.77 8107 32392.71 5230.3725 江西14338.5 4522.15 31707.26 5119.6926 安徽19038.9 6029.8 31574.68 5098.2827 广西14378 4719 30468.32 4919.6428 西藏807.7 308 26224.03 4234.3329 云南11720.91 4659 25157.57 4062.1330 甘肃6268 2582.18 24274.06 3919.4731 贵州8006.79 3502.22 22862.04 3691.47 备注:2013年人民币兑美元汇率中间价为6.1932。