1-2章复习题
- 格式:docx
- 大小:15.56 KB
- 文档页数:2
第1—2章(绪论和市场供求理论)复习思考题答案第1—2章(绪论和市场供求理论)复习思考题(⼀)名词解释资源的稀缺性;需求和需求量;需求的变动和需求量的变动;需求(或供给)的价格弹性;1、资源的稀缺性是指,⽤于满⾜⼈类需要的⼀切经济资源,相对于⼈的欲望和需要的⽆限性⽽⾔,其数量总是⼀定的、有限的。
2、需求的变动是指,商品⾃⾝价格⼀定时,由于影响需求量的其他⾮⾃⾝价格因素改变⽽造成的商品购买量与商品价格对应关系的变化;表现为需求曲线的平⾏移动或需求函数常数项数值的变化。
3、需求的价格弹性是指,商品的需求量对价格变化的反应灵敏程度的;表现为:当价格变化⼀个百分点时,引起需求量变化⼏个百分点。
(⼆)判断是⾮√×1、当咖啡的价格上升时,茶叶的需求量就会增加。
(√)2、汽油的价格下降会导致汽车的需求曲线向右移动。
(√)3、公司雇员的⼯资提⾼将使公司产品的供给减少。
(√)4、苹果的价格上涨会使梨⼦的需求曲线右移。
(√)5、⽣产者预期某商品未来价格要下降,则会增加该商品当前的供给。
(√)6、当某种商品价格上升5个百分点⽽引起需求量下降6个百分点时,则此时该商品的需求是缺乏弹性的。
(×)7、对缺乏弹性的商品应该降低价格销售。
(×)8、某产品的需求与供给同时减少时,其均衡价格必上升。
(×)(附加题)1、当汽油的价格上升时,汽车的需求量就会增加。
(×)2、经济学可以定义为研究如何合理地配置稀缺资源。
(√)3、⽣产者预期某商品未来价格要上升,则会增加该商品当前的供给。
(×)4、需求曲线和供给曲线相交决定了均衡价格和均衡产量。
(√)(三)单项选择题1.均衡价格⼀定随着(B)A.需求与供给的增加⽽上升;B.需求的增加和供给的减少⽽上升;C.需求的减少和供给的增加⽽上升;D.需求和供给的减少⽽上升。
2、若商品的需求和供给同时增加,则均衡价格将(D)A、上升;B、下降;C、不变;D、变化趋势不确定。
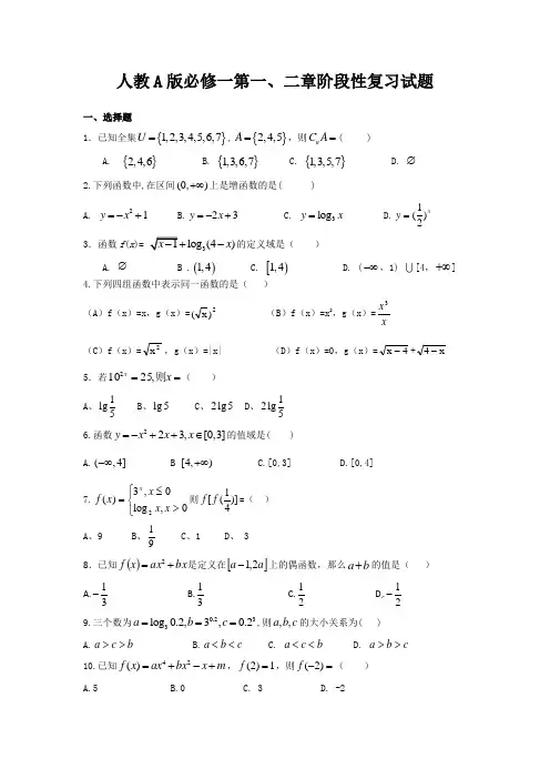
人教A 版必修一第一、二章阶段性复习试题一、选择题1.已知全集{}1,2,3,4,5,6,7U =,{}2,4,5A =,则u C A =( )A. {}2,4,6B. {}1,3,6,7C. {}1,3,5,7D. ∅ 2.下列函数中,在区间(0,)+∞上是增函数的是( )A. 21y x =-+B.23y x =-+C. 3log y x =D.1()2x y =3.函数f (x 3log (4)x -的定义域是( )A. ∅ B .()1,4 C. [)1,4 D. (-∞,1) [4,+∞]4.下列四组函数中表示同一函数的是( )(A )f (x )=x ,g (x )=2)x ( (B )f (x )=x 2,g (x )=xx 3(C )f (x )=2x ,g (x )=|x| (D )f (x )=0,g (x )=4x -+x 4-5.若==x x 则,25102( ) A 、51lgB 、5lgC 、5lg 2D 、51lg 2 6.函数223,[0,3]y x x x =-++∈的值域是( )A.(,4]-∞ B [4,)+∞ C.[0,3] D.[0,4]7.⎩⎨⎧>≤=0,log 0,3)(2x x x x f x 则)]41([f f =( )A 、9B 、91C 、1D 、 3 8.已知()bx ax x f +=2是定义在[]a a 2,1-上的偶函数,那么b a +的值是( ) A.31-B.31C.21D.21- 9.三个数为0.233log 0.2,3,0.2a b c ===,则,,a b c 的大小关系为( ) A.a c b >> B.a b c << C. a c b << D. a b c >> 10.已知42()f x ax bx x m =+-+,(2)1f =,则(2)f -=( ) A.5 B.0 C. 3 D. -211.设奇函数()x f 在()0,∞-上为减函数,且()02=f ,则()()023>--xx f x f 的解集为( )A.()()+∞⋃-,20,2B.()()2,02,⋃-∞-C.()()∞+⋃-∞-.22.D.()()2,00,2⋃- 12. 已知函数f (x )=12++mx mx 的定义域是一切实数,则m 的取值范围是( ) A.0<m ≤4 B.0≤m ≤1 C.m ≥4 D.0≤m ≤4二、填空题:本大题共4小题,每小题5分,共20分.把答案填在题中横线上.13.幂函数()f x 的图象过点,则()f x 的解析式_____________ 14. 已知()x f 是在R 上的奇函数,当0<x 时,()xx f ⎪⎭⎫⎝⎛=31,那么___________21=⎪⎭⎫⎝⎛f 15.设.__________,12154==+==m ba mb a 则且,. 16.设函数()f x x x bx c =++,给出下列4个命题:①0,0b c =>时,方程()0f x =只有一个实数根;②0c =时,()y f x =是奇函数;③()y f x =的图象关于点()0,c 对称;④方程()0f x =至多有2个不相等的实数根.上述命题中的所有正确命题的序号是 . 三、解答题 17.化简求值(1)10.500.25325277()()()16988----+(2)2(lg 2)lg 2lg50lg 25+•+18. 已知集合A ={x |2-a ≤x ≤2+a },B ={x |x ≤1,或x ≥4}.(1)当a =3时,求A ∩B ;(2)若A ∩B =∅,求实数a 的取值范围.19. 高一(1)班某个研究性学习小组进行市场调查,某生活用品在过去100天的销售量和价格均为时间t 的函数,且销售量近似地满足()()N t t t t g ∈≤≤+-=,1001110.前40天的价格为()()4018≤≤+=t t t f ,后60天的价格为()()10041695.0≤≤+-=t t t f . ⑴试写出该种生活用品的日销售额S 与时间t 的函数关系式; ⑴试问在过去100天中是否存在最高销售额,是哪天?20.已知f (x )=log 2(1+x )+log 2(1-x ).(1)求函数f (x )的定义域;(2)判断函数f (x )的奇偶性,并加以说明; (3)求f ⎝⎛⎭⎪⎫22的值.21. (本小题满分12分)已知函数y =M 。
第一、二、三章复习题及答案一、判断正误题(共25题,每题1分)1.RAM所存储的数据只能读取,但无法将新数据写入其中。
(错)2.每一英寸磁带上所能存储的位数称为磁带密度,以bpi表示。
(对)3.计算机病毒是一种可以自我繁殖的特殊程序。
(对)4.激光打印机属于非击打式打印机。
(对)5.运算器是完成算术和逻辑操作的核心处理部件,通常称为CPU。
(错)6.通常,没有操作系统的计算机是不能工作的。
(对)7.计算机的指令是一组二进制代码,是计算机可以直接执行的操作命令。
(对)8.AUTOEXEC.BAT存放在任何目录下,均可在开机后自动执行。
(错)9.若路径以反斜杠"\"开始,DOS系统就从根目录开始查找命令中指定的文件,否则从当前目录开始查找。
(对)10.在对文件进行操作时,通常要用路径指定出该文件在当前盘中的位置,即在哪一级目录下。
如果被操作的文件在当前目录中,则可省略路径直接指出文件名。
(对)11.系统配置文件CONFIG.SYS一经修改立即生效。
(错)12.在Windows95中,用户不能对开始菜单进行添加或删除。
(错)13.保存文件时,在“另存为”对话框中可以选择文件存放的位置。
(对)14.Windows 95操作系统既允许运行Windows文件,也允许运行非Windows文件。
(对)15.当选定文件或文件夹后,欲改变其属性设置,可以用鼠标右键,然后在弹出的菜单中选择"属性"命令。
(对)16.在Windows95中不用物理键盘就不能向可编辑文件输入字符。
(错)17.在计算机中使用八进制和十六进制,是因为它们占用的内存容量比二进制少。
(错)18.每个汉字具有唯一的内码和外码。
(错)19.主存储器多半是半导体构成的,所以易受破坏。
(错)20.驱动器的读写头是接触着软盘的,所以读写头不可能被碰撞坏。
(错)21.存储器地址是代表某一内存位置的编号。
(对)22.存储器容量的大小可用KB为单位来表示,1KB表示1024个二进制位。
高一生物必修一第一、二章复习题一.选择题(共50分)1.下列生物具有细胞结构的是()A.甲烷杆菌 B.疯牛病病原体 C.噬菌体 D.乙肝病毒2.下列关于蓝藻的叙述中,不正确的是()A.其细胞壁的主要成分是纤维素 B.没有染色体C.其核没有核膜包被着 D.细胞中只有一种细胞器核糖体3.下列说法正确的是()A.SARS病毒能够单独完成各种生命活动B.细菌本身不能够单独完成各种生命活动C.多细胞生物中单个细胞能单独完成各种生命活动D.生命活动离不开细胞4、一种蛋白质是由两条肽链组成的,共含有100个氨基酸,若每个氨基酸的相对分子质量平均是120,则该蛋白质的相对分子质量约是()A.12000 B.10236 C.10218 D.137645.没有成形细胞核的生物和没有细胞结构的生物分别是()A.大肠杆菌与蓝藻 B.大肠杆菌与病毒C.大肠杆菌与酵母菌 D.酵母菌与病毒6、下列关于核酸的叙述中不正确的是 ( )A.核酸是遗传信息的载体 B.核酸的基本组成单位是脱氧核苷酸C.不同生物所具有的DNA和RNA有差异 D.细胞的DNA主要分布在细胞核中7.2003年上半年,非典型肺炎给我国乃至全世界带来了巨大的灾难,经各国科学家的不懈努力,已经查明引起该病的生物是一种新型冠状病毒,我们认为这种病毒是生物的主要理由是()A.它能进行独立的新陈代谢。
B.它能通过增殖繁衍后代。
C.它具有完整的细胞结构,能独立完成各项生命活动。
D.它的组成元素中含有C 、H、O8.在观察装片时,由低倍镜换成高倍镜,细胞大小、细胞数目、视野亮度的变化()A.变大、变少、变暗 B.变大、变多、变亮C.变小、变多、变暗 D.变小、变多、变亮9.某生物学家正在研究某一种鱼类的季节性迁徙捕食行为,他的研究对象属于哪一生命层次:()A.个体 B.种群 C.生物群落 D.生态系统10.下列显微镜操作的方法中,正确的一组是()○1对光时,阳光照在反光镜上,视野越亮越好○2在进行低倍物镜与高倍物镜的转换时,扳动物镜转动较省力○3使用完毕之后,要用干布拭去载物台上的水和赃物○4装箱之前,应下降镜筒,使物镜插入通光孔中○5取、放显微镜时,要左手托镜座、右手握镜臂,并且要轻拿轻放A、○1○2○3B、○1○2○4C、○3○5D、○2○3○411.某同学在显微镜下观察落花生子叶的切片,当转动细准焦螺旋时,有一部分细胞看得清楚,另一部分细胞较模糊,这是由于()A.反光镜未调好,使用的是凹面镜 B.标本切得厚薄不均C.没调节好低倍镜或者是细准焦螺旋未调好D.显微镜物镜被破坏12. 下列细胞中,含线粒体最多的是 ( )A.心肌细胞 B.哺乳动物成熟的红细胞C.皮肤表皮细胞 D.蓝藻13、大豆根尖所含有的核酸中,含有碱基 A 、 G 、 C 、 T 的核苷酸种类数共有A、8 B 、7 C 、 5 D 、 614、某22肽被水解成1个4肽,2个3肽,2个6肽,则这些短肽的氨基总数的最小值及肽键总数依次是()A.6、18 B.5、18 C.5、17 D.6、1715、下列物质中都含有氮元素的是()①核糖核酸②糖原③胰岛素④淀粉A.①②B.①③C.②③D.③④16、两个氨基酸分子脱水缩合形成二肽,同时生成一分子水,该水分子中的氢来自()A.氨基B.羧基C.氨基和羧基D.连在C原子上的H17、多个氨基酸分子缩合形成含2条肽链的每摩尔蛋白质时,相对分子量减少了900,由此可知:此蛋白质分子所含的氨基酸数和肽键数分别是()A.52、52B.50、50C.52、50D.50、4918、下列关于生物大分子的叙述,准确的是()A.蛋白质是由多个氨基酸分子通过肽键相互连接而成的高分子化合物B.DNA是一切生物遗传信息的载体C.全部激素属于蛋白质D.RNA通常只有一条链.它的碱基组成与DNA完全不同19. 下列对叶绿体,线粒体叙述错误的是A.都与能量的转换有关 B.只有真核细胞可能有叶绿体和线粒体C.都有双层膜结构 D.生物的真核细胞中都存在20.以下关于染色质和染色体关系的叙述中,正确的是A.原核细胞有染色质和染色体 B.酵母菌没有染色体或染色质C.是同一物质在不同分裂时期的不同形态D.同一细胞分裂时期的不同物质21.下列有关纤维素的叙述中哪一项是不可能的 ( )A.它们是生物的主要能源物质 B.它们不是原核细胞细胞壁的主要成分C.它们是遗传信息的载体 D.它们的分子质量大22. 在阳光明媚、水草丰茂的鄂尔多斯草原上,生活着牛、羊、鹿、狼、兔、鼠,还有秃鹫、苍鹰、蜣螂、细菌、真菌等,关于它们的叙述中正确的是()①它们共同构成一个生态系统②它们中的牛、羊、鹿分别组成了3个种群③它们中的动物是一个生物群落④它们中的蜣螂、腐生菌是分解者A.①② B.③④ C.②③ D.①④23. 关于蓝藻和蛔虫结构及代谢特征的比较,正确的是()A.蓝藻细胞进行有丝分裂,蛔虫细胞进行无丝分裂B.蓝藻有叶绿体,蛔虫没有叶绿体C.蓝藻是光能自养型生物,蛔虫是化能自养型生物D.蓝藻可以吸收利用CO2,蛔虫不能吸收利用CO224. 下面是一位同学观察细胞装片时画的细胞图,有关说法不正确的是A .该细胞是植物细胞的根细胞。
第一章复习题一、名词解释1、微观经济学2、生产可能性曲线3、机会成本二、选择题1.经济问题本质上是决定如何去最好的使用()。
A.几乎无限的资源来满足无限的欲望B.有限的资源来满足无限的欲望C.无限的资源来满足有限的欲望D.有限的资源来满足有限的欲望2.经济学可定义为()。
A.政府对市场制度的干预B.企业赚取利润的活动C.研究稀缺资源如何有效配置的问题D.个人的生财之道3.学习经济学()A.帮助一个人变成一个见多识广的市民B.对一个人成为好市民是有害的,因为经济学强调利己主义C.是浪费时间,因为无论我们是否懂经济,我们都参与其中D.很重要,因为经济学是“赚钱的科学”。
4.学习经济学()A.对一个人成为好市民是有害的,因为经济学强调利己主义B.对雇主是有帮助的,但对工人和消费者是无用的C.很重要,因为经济学是“赚钱的科学”d.帮助学生提高分析技巧,这在工作中是很需要的5.对经济学的研究()A.与管理、营销以及金融相似,因为它强调如何赚钱B.对企业有帮助,但对做出个人购买决策没有明显帮助C.主要是学术的,而不是职业科目D.从一个人自己的经济来源角度着眼经济,而不是从社会利益角度6.对经济学的研究主要关注A.防止私有公司亏损B.证明社会主义经济优于资本主义经济C.在有效使用稀缺资源时所做的选择D.决定对社会产品的最公平的分配7.“资源是稀缺的”是指()A.资源是不可再生的B.资源必须留给下一代C.资源终将被耗费殆尽D.相对于需求而言,资源总是不足的8.失业问题如果反映在生产可能性曲线图上,可记为()。
A.生产可能性曲线内的一点B.生产可能性曲线上的一点C.生产可能性曲线以外的一点D.不在该平面直角坐标系上9.下列哪一项会导致一国生产可能性曲线的外移?()A.股市持续走强B.通货膨胀C.有用资源被发掘或技术进步D.消费品生产增加,资本品生产下降10.一个经济体系必须作出的基本选择是()。
A.生产什么,生产多少B.如何生产C.为谁生产D.以上都包括7.理性行为意味着()。
《数据结构》第1-2章练习题一、选择1、通常从正确性、易读性、健壮性、高效性等四个方面评价算法(包括程序)的质量。
以下解释错误的是( )A、正确性算法应能正确地实现预定的功能(即处理要求)B、易读性算法应易于阅读和理解以便于调试修改和扩充C、健壮性当环境发生变化时,算法能适当地做出反应或进行处理,不会产生不需要的运行结果D、高效性即达到所需要的时间性能2、以下说法正确的是 ( )A、数据元素是数据的最小单位B、数据项是数据的基本单位C、数据结构是带有结构的各数据项的集合D、数据结构是带有结构的数据元素的集合3、对于顺序表,以下说法错误的是()A、顺序表是用一维数组实现的线性表,数组的下标可以看成是元素的绝对地址B、顺序表的所有存储结点按相应数据元素间的逻辑关系决定的次序依次排列C、顺序表的特点是:逻辑结构中相邻的结点在存储结构中仍相邻D、顺序表的特点是:逻辑上相邻的元素,存储在物理位置也相邻的单元中数组的下标可以看成是元素的相对地址4、对顺序表上的插入、删除算法的时间复杂性分析来说,通常以()为标准操作A、条件判断B、结点移动C、算术表达式D、赋值语句5、对于顺序表的优缺点,以下说法错误的是()A、无需为表示结点间的逻辑关系而增加额外的存储空间B、可以方便地随机存取表中的任一结点C、插入和删除运算较方便D、容易造成一部分空间长期闲置而得不到充分利用6、链表不具有的特点是:A、可随机访问任一个元素B、插入删除不需要移动元素C、不必事先估计存储空间D、所需空间与线性表长度成正比7、若线性表最常用的操作是存取第i个元素及其前驱的值,则采用()存储方式节省时间A、单链表B、双向链表C、单循环链表D、顺序表顺序表可以随机存取8、设指针P指向双链表的某一结点,则双链表结构的对称性可用()式来刻画A、p->prior->next->==p->next->nextB、p->prior->prior->==p->next->priorC、p->prior->next->==p->next->priorD、p->next->next==p->prior->prior9、以下说错误的是()A、对循环来说,从表中任一结点出发都能通过前后操作而扫描整个循环链表B、对单链表来说,只有从头结点开始才能扫描表中全部结点C、双链表的特点是找结点的前趋和后继都很容易D、对双链表来说,结点*P的存储位置既存放在其前趋结点的后继指针域中,也存放在它的后继结点的前趋指针域中。
电工根底第一、二章复习检测题一、填充题1、电路是由、、和等组成的闭合回路。
电路的作用是实现电能的和。
2、把转变为的装置叫做用电器。
3、电路存在的三种状态分别为:、、。
4、电荷的移动形成电流。
它的大小是指单位内通过导体截面的。
5、电流方向和强弱都不随时间而改变的电流叫做。
6、习惯上规定电荷定向移动方向为电流的方向。
金属中的电流是定向移动形成的。
7、金属导体的电阻是由它的、、、的性质和温度有关。
在一定下,导体的电阻和它的长度成,而和它的横截面积成。
8、一根实验用的铜导线,它的横截面积为1.5 mm2,长度为0.5 m. 20℃时,它的电阻为欧。
9、少数的电阻,几乎不受温度的影响,常用来制作标准电阻器。
10、电阻元件的伏安特性曲线是通过原点的直线,叫做。
11、阻值为2 kΩ、额定功率为1/4W的电阻器,使用时允许的最大电压为V,最大电流为mA。
12、某礼堂有40盏白炽灯,每盏灯的功率为100 W,那么全部灯点亮2h,消耗的电能为。
13、某导体的电阻是1欧,通过它的电流是1A,那么在1min内通过导体截面的电荷量是C,电流做的功是,它消耗的功率是。
14、闭合电路由两局部组成,一局部是电源外部的电路,叫做电路,另一局部是电源内部的电路,叫做电路。
电路的电阻的通常叫做电阻。
15、电源的电动势等于与之和,公式为:。
16、电源端电压随负载电流变化的规律叫做电流的。
17、常用的电压表和电流表是由微安表或毫安表改装。
其中电压表是由微安表或毫安表联一个电阻制成,电流表是由由微安表或毫安表联一个电阻制成。
18、用伏安法测电阻,如果待测电阻比电流表内阻____时,应采用____。
这样测量出的电阻值要比实际值________。
用伏安法测电阻,如果待测电阻比电压表内阻____时,应采用____。
这样测量出的电阻值要比实际值________。
19、电动势为2V的电源,与9Ω的电阻接成闭合电路,电源两级间的电压为1.8V,这时电路中的电流为______A,电源内阻为____Ω。
第一章绪论一、填空题1、建筑的基本要素有三个方面,即(建筑功能)、(建筑技术)和(建筑形象)。
2、建筑是(建筑物)和(构筑物)的统称。
3、建筑物按其使用功能不同,一般分为(工业建筑)、(农业建筑)和(民用建筑)等。
4、建筑物的耐火等级是由构件的(耐火等级)和(燃烧性能)两个方面来决定的,共分为(四)级。
5、建筑工程设计包括(建筑设计)、(结构设计)、(设备设计)等三个方面的内容,我们通常说的三阶段设计是指(初步设计)、(技术设计)、(施工图设计)等阶段。
6、《建筑模数协调统一标准》中规定建筑中采用的模数有(基本模数)、(分模数)和扩大模数。
基本模数以(M )表示,数值为(100 )。
建筑的基本模数为(100 ),用(M )表示。
一般民用建筑房间的开间和进深符合(3M )模数数列。
7、建筑高度大于(27m )的住宅建筑和建筑高度大于(24m )的非单层厂房、仓库和其他民用建筑,为高层建筑;高度超过(100 )m时,为超高层建筑。
8、住宅建筑按层数划分为:(1-3 )层为低层;(4-6 )层为多层;(7-9 )层为中高层;(≥10 )层为高层。
9、设计阶段建筑物的耐火等级是根据建筑物主要承重构件的(耐火等级)和(燃烧性能)确定的,共分(四)级。
构件按其燃烧性能可分为(燃烧体)、(难燃烧体)和(非燃烧体)。
10、建筑物的结构按其选用材料的不同,常分为(木)结构、(砖混)结构、(钢筋混凝土)结构和钢结构四种类型。
11、地震烈度在( 6 )度以下时,地震对建筑物的影响较小,一般可以不考虑抗震措施;(9 )度以上地区,地震破坏力很大,一般应尽量避免在该地区建造房屋。
二、选择题1、古希腊创造的三种柱式有(ABC )A、陶立克B、爱奥尼克C、柯林斯D、塔什干E、复合柱式2、(B )是欧洲中世纪有代表性的哥特式建筑。
A、帕提农神庙B、巴黎圣母院C、罗马圣彼得大教堂D、流水别墅3、流水别墅是(A )的代表作。
A、莱特B、贝聿铭C、丹下健三D、米开朗基罗4、建筑的构成三要素中(A )是建筑的目的,起着主导作用。
第一章人的由来1.在1859年,在他的《物种起源》书中提出了人类和有着共同的祖先,是。
2.胎儿生活在子宫内半透明的液体──中,通过、从母体中获得所需要的营养物质和氧,胎儿每时每刻所产生的二氧化碳等废物,也是通过经母体排出的。
3.青春期男生的产生的精子与等分泌的黏液一起形成了。
积累到一定量就会自动工排出体外,这就是。
4.月经是指女孩子进入青春期后,每月一次的连同血液一起由排出体外的现象。
月经期约为天左右。
5.我国基本国策是,其中,控制人口增长过快的关键是,优生有利于提高我国的人口。
6.受精卵不断进行细胞分裂,逐渐发育成。
缓慢地移动到子宫中最终植入,就好比一粒种子落到了土壤中,这是。
7、下图是男女一些生殖器官的发育趋势图,请据图回答问题。
(1)从图中可以看出,在童年期,性器官的发育特点是___________,几乎处于__________状态。
(2)性器官发育的主要时期大约从__________岁到__________岁,这一时期被称为__________期。
性器官发育的主要原因是,这一时期内__________分泌的_________,促进性器官的发育。
(3)从图中看,女子青春期发育大约开始于________岁;男子青春期发育大约开始于________岁。
(4)在性器官发育的同时,人的形态也迅速发育,主要表现在__________和__________的迅速增加。
8、左图是人体卵细胞示意图,请据图回答下列问题:(1)产生该细胞的部位是___________。
(2)若条件具备,该细胞继续发育时,其主要发育场所是在_______,而此时所需营养物质必须通过___________获得。
(3)若条件不具备,该细胞停止发育时,将随__ _从阴道流出,形成_ ___。
9、下图是排卵、受精、受精卵发育、植入子宫内膜的连续过程,答问题。
1)填写下列标号的器官名称:①②③④2)图中①结构的生理功能除产生之外,还能够分泌,维持女性的第二性征。
【七年级】七年级数学上册第一二章复习试题【七年级】七年级数学上册第一、二章复习试题以下是《数学》推荐的七年级数学第一册第1章和第2章中的复习题。
通用域名格式。
我希望这篇文章能对你的学习有所帮助。
七年级数学上册第一、二章复习试题一、多项选择题(每题3分,共24分)1、下面图形经过折叠不能围成棱柱的是()。
2.在以下三维图形中,五个面是()。
a、四棱锥b、五棱锥c、四棱柱d、五棱柱3.对于一个正方形,六个连续的整数写在六个面上,每个相对面上的两个数字之和相等。
如图所示,如果你看到的数字是7、10和11,那么六个整数的和就是()。
a、51b、52c、57d、584.等式(-3)4可简化为()。
a.-34-4b.-34+3c.-34+4d.-33-35.以下计算结果中有()为正。
①-(-2)②-│-2│③-(-3)2④[-(-3)]2a、 1b。
2c。
3d。
四6、下列各式正确的是()。
a、 =b.=1996c.-(-1)=0d.-1=07.给定、和,的值等于()。
a.10和-10b.10c.-10d.以上答案都不对8.如果a+B0和Ab0,则()。
a.a0,b0b.a0,b0c、 A和B有不同的符号,负数的绝对值很大。
D.ab有不同的符号,正数的绝对值很大9、a为有理数,下列说法中,正确的是()。
.a、(a+2是正数,B.a2+是正数c.-(a-)2是负数d.-a2+的值不小于10.以下陈述是正确的()。
a.如果ab,那么a2b2b.如果a2b2,那么abc、如果│ A.│ B│, 那么a2b2d如果AB,那么│ A.│ B│二、填空题(每题3分,共21分)11.长方体有。
12、圆柱的侧面展开图是__________,圆锥的侧面展开图__________。
13.绝对值为,倒数为,倒数为。
14、已知|x+2|+(y-3)2=0,则x=;y=_______。
15.众所周知,和是相对的。
16、有理数a,b,在数轴上的位置如图所示,则a+c____0,a-b____0,ab___;0,cb___;017、若a0,b0,│a││b│,则a-b________0。
第一章数据通信概论1、数据通信是依照通信协议,利用数据传输技术在两个功能单元之间传递数据信息,它可实现计算机与计算机、计算机与终端、终端与终端之间的数据信息传递。
2、数据通信系统将分布在远端的数据终端设备与计算机系统连接起来,实现数据传输、交换、存储和处理的系统,典型的数据通信系统主要由数据终端设备、数据电路和中央处理机组成。
3、模拟信号的特点是幅度取值连续,数字信号的特点是幅度值是离散的。
4、调制速率指的是数据传输过程中,在信道上每秒钟传送的信号波形个数,单位是波特,比特率指,每秒钟传输二进制码元个数,单位为比特/秒。
假设一个信号码元持续时间为T b,则调制速率N Bd为:波特。
5、模拟通信中的信号带宽指的是信号频率的范围,单位是赫兹hz ;数字通信中线路带宽指通信介质的线路传输介质,单位为比特/秒。
6、ASCII是7 位字符集,ASCII中最低有效位LSB指定为bo ,最高有效位MSB指定为b6 ,第八位不是ASCII部分,通常作为奇偶效验位。
7、EBCDIC码是扩展的二十进制交换码,它是一种8位码,最低有效位LSB指定为b7 ,最高有效位MSB指定为b0 。
8、码元差错率,指在发送的码元总数中发生差错的码元数与总的发送码元数之比,公式为Pe=接受出现差错的比特数/总发送的比特数9、频带利用率用单位频带内允许的最大比特传输速率来衡量,单位是bit/s*hz ,公式:最大比特传输速率/系统占用的频带宽度。
10、实线电缆主要指双绞线电缆和同轴电缆,双绞线电缆分为两种类型,非屏蔽和屏蔽。
11、光纤信道根据传输模式分为单摸光纤和多摸。
12、信道容量是指信道在单位时间内所能传送的最大信息量,模拟信道容量公式C= Blog2(1+S/N),数字信道的信道容量,C= 2Blog2Mbit/s 。
13、一个二进制数字信号码元时间长度为0.1μs,在传输过程中平均2.5秒产生一个错码,则其平均误码率为多少?5×10-6 B.2×10-8 C.2×10-7 D.4×10-814、具有6.5MHZ带宽的某高斯信道,若信道中信号功率与噪声功率谱密度之比为20dB,试求其信道容量?15、某数据传输系统的调制速率为2400Baud,若为二进制时试求该系统的信息速率R b2?当每信号码元为4bit的代码时,试求该系统的信息速率是多少?16、某信道占用频带为400Hz~3400Hz,若采用8电平传输,若调制速率为1600Baud,求该信道的频带利用率。
1-2章复习重点、难点:1. 掌握相对分子质量的计算2. 能在理解化学式涵义的基础上,计算化合物中各元素的质量比,掌握化合物中各元素质量分数的计算。
3. 会求一定量的物质中某元素的质量或某一成分的质量分数;4. 掌握化合物质量与元素质量之间的互换;5. 利用元素的质量比、元素的质量分数推断化学式,计算元素化合价。
6. 根据元素的质量分数计算物质的纯度复习策略:根据化学式通常能进行三种计算: ① 根据化学式计算相对分子质量:相对分子质量=化学式中各原子的相对原子质量总和。
② 根据化学式计算化合物中各元素的质量比:各元素的质量比=化学式中各原子的相对原子质量总和之比。
③ 根据化学式计算化合物中某元素的质量分数:某元素的质量分数=%100⨯化合物的相对分子质量质量总和该元素原子的相对原子 ,其关系如下:物质的式量(相对分子质量)←化学式↔各元素的化合价、质量比、质量分数.掌握“根据化学式的计算”的关键是全面准确地理解化学式概念和化学式中各符号及数字的意义,并明确化学式中各个量的关系(原子个数比、质量比等)。
解题时应注意须正确书写一种物质的化学式;其次在计算相对分子质量及其中某元素的质量分数时,注意化学式中某些元素符号右下角的数字。
再者在计算物质的各元素质量比时,注意要按题目要求的元素顺序计算。
除了以上所述之外,千万不要忽略元素符号右下角的数字,也不要忽略了部分原子,还要认真审题,按题目要求解题。
【典型例题】(一)计算相对分子质量或某一元素的相对原子质量例1. (1)已知明矾的化学式为KAl (SO 4)2•12H 2O ,则明矾的相对分子质量是多少?(2)已知某元素R 的化合价为+3价,其氧化物的相对分子质量为m ,求出其氯化物的相对分子质量。
解题点拨:(1)当分子中含有多个原子团时,可先计算出原子团的相对质量,再乘以原子团的个数,结晶水合物中的圆点表示结合,并非乘号,计算相对分子质量时是相加(+)的关系,即39+27+(32+16×4)×2+12×(1×2+16)=474(2)根据题意先写出该氧化物、氯化物的化学式,分别为R 2O 3、RCl 3, 由氧化物的相对分子质量m 求出R 元素的相对原子质量,最后求出氯化物的相对分子质量。
第1—2章(绪论和市场供求理论)复习思考题(1)名词解释资源的稀缺性;需求和需求量;需求的变动和需求量的变动;需求(或供给)的价格弹性;1、资源的稀缺性是指,用于满足人类需要的一切经济资源,相对于人的欲望和需要的无限性而言,其数量总是一定的、有限的。
2、需求的变动是指,商品自身价格一定时,由于影响需求量的其他非自身价格因素改变而造成的商品购买量与商品价格对应关系的变化;表现为需求曲线的平行移动或需求函数常数项数值的变化。
3、需求的价格弹性是指,商品的需求量对价格变化的反应灵敏程度的;表现为:当价格变化一个百分点时,引起需求量变化几个百分点。
(二)判断是非√×1、当咖啡的价格上升时,茶叶的需求量就会增加。
(√)2、汽油的价格下降会导致汽车的需求曲线向右移动。
(√)3、公司雇员的工资提高将使公司产品的供给减少。
(√)4、苹果的价格上涨会使梨子的需求曲线右移。
(√)5、生产者预期某商品未来价格要下降,则会增加该商品当前的供给。
(√)6、当某种商品价格上升5个百分点而引起需求量下降6个百分点时,则此时该商品的需求是缺乏弹性的。
(×)7、对缺乏弹性的商品应该降低价格销售。
(×)8、某产品的需求与供给同时减少时,其均衡价格必上升。
(×)(附加题)1、当汽油的价格上升时,汽车的需求量就会增加。
(×)2、经济学可以定义为研究如何合理地配置稀缺资源。
(√)3、生产者预期某商品未来价格要上升,则会增加该商品当前的供给。
(×)4、需求曲线和供给曲线相交决定了均衡价格和均衡产量。
(√)(三)单项选择题1.均衡价格一定随着(B)A.需求与供给的增加而上升;B.需求的增加和供给的减少而上升;C.需求的减少和供给的增加而上升;D.需求和供给的减少而上升。
2、若商品的需求和供给同时增加,则均衡价格将(D)A、上升;B、下降;C、不变;D、变化趋势不确定。
机床夹具(1、2章)复习资料一、填空题(每空0.5分)1、机床夹具按通用性可分为通用夹具、专用夹具和组合夹具。
2、夹具通常由定位装置、夹紧装置、夹具体、辅助装置四部分组成。
3、工件定位的目的是使一批工件逐次放入夹具中都能占有同一正确的加工位置定位的任务是限制工件的自由度定位的实质是使工件在夹具中占有正确的加工位置。
4、定位基准可以分为粗基准和精基准。
5、定位种类通常有完全定位、部分定位、欠定位、重复定位四类。
6、重复定位能提高工件的刚性,但对工件的定位精度有影响,一般是不允许的。
7、支承板适用于精加工过的平面定位,A型支承板仅用于侧平面定位,B型支承板有斜槽,易清除切屑,定位精确,用于底面的定位。
8、V形架定位的特点是:当工件外圆直径变化时,可保证圆柱体轴线方向的定位误差为零。
9、工件以一面两孔定位时应当注意,使用削边销时,它的截面长轴一定要垂直于两销连心线。
10、顶尖适用于支顶细长轴或加工工序较多的工件。
11、心轴的种类很多,常见的心轴有:圆柱心轴、小锥度心轴、圆锥心轴、螺纹心轴、花键心轴。
12、为提高工件的定位精度,定位元件在布局上应尽量__增大 _距离,以减小工件的__转角_误差。
13、夹具按通用化程度可分为_专用夹具 _、__通用夹具____、组合夹具。
14、工件以外圆柱面定位时,可以采用定心定位,也可以采用支承定位。
15、夹具的高效率主要体现在高切速、大用量、重负荷三个方面。
16、一般来说,夹具的设计可分为___前期准备、拟订结构方案、绘制夹具总装图、绘制夹具零件图四个阶段。
17、基本支撑包括支承钉、支承板、自位支承、可调支承。
18、工件在夹具中位置的确定是通过工件表面与夹具中定位元件的___接触 _或__配合_来实现的。
19、根据使用的要求,机床夹具还可以设置对刀装置、刀具引导装置、回转分度装置及其他辅助装置。
20、工件以一面两孔定位的基准位移误差计算可分为两部分进行,一部分为工件在两孔中心线方向的基准位移误差,另一部分为基准角度误差。
高分子化学一、二章复习题一:名词解释1. 诱导期---------在聚合反应初期,初级自由基为阻聚杂质所终止,无聚合物生成,聚合速率为零,这一段时间称诱导期。
2. 竞聚率--------单体均聚链增长和共聚链增长速率常数之比。
即r1=k11/k12,r2=k22/k21;它表征两个单体的相对活性。
根据r值可以估计两个单体共聚的可能性和判断共聚物的组成情况。
3. 几率效应-----当聚合物相邻侧基作无规成对反应式,中间往往留有未反应的孤立单个基团,最高转化程度因而受到限制4. 玻璃化温度-----玻璃态转变成高弹态的转变温度5. 官能度-----一分子中能参与反应的官能团数6. 反应程度-----参与反应的基团数占起始基团数的百分数7. 凝胶点-----多官能团体系聚合到一定程度,开始交联,黏度突增,气泡也难上升,出现了凝胶化现象,这时的反应程度8. 官能团等活性——缩聚反应在形成大分子的过程中是逐步进行的,若每一步都有不同的速率常数,研究将无法进行。
为此,Flory提出了官能团等活性理论,认为不同链长的端基官能团,具有相同的反应能力和参加反应的机会,即官能团的活性与分子的大小无关。
9. 立构规整度——立构规整聚合物的质量占总聚合物质量的分率。
二:选择1. 在线型缩聚反应中,成环反应是副反应,其中最易形成的环状化合物是( B )A 3, 4元环;B 5, 6元环;C 7元环;D 8~11元环2. 当线性聚酯化反应进行到95%以后,若继续进行反应,则会是(B )A 分子量分布变窄B 聚合度迅速增大C 反应程度迅速增大D 产生大量低分子量副产物3. 聚酰胺反应的平衡常数为400,在密闭体系中最终能够达到的反应程度为( A )A 0.95;B 0.94;C 0.96;D 0.974. 下列哪个聚合物最容易解聚成单体( C )A PEB PVC C PMMAD PAM5. 主要成分都含有高分子的一组是(A )。
第一、二章复习题一、判断题(a )1、无论流过电压源的电流多大,电压源的电压总保持常量或给定的时间函数。
( b )2、与独立电源类似,受控源的输出电压与输出电流间的关系,画在U-I平面上,若不是水平线,一定是垂直线。
( a )3、图1-2示电路中电压U=10V。
图1-1( b )4、两个电压值都为U S的直流电压源,同极性端并联时,可等效为一个电压源,其电压值仍为U S。
( a )5、根据基尔霍夫电流定律,与某节点相连的各支路的电流不可能同时都流出该节点。
( b)6、将叠加定理应用于含受控源的电路时,当每一个独立源单独作用时,都需将受控源置零。
( a )7、电路中某两点间的电压等于两点的电位差,所以该两点间的电压与参考点有关。
( b )8、直流电源的内阻为零时,电源电动势就等于电源端电压。
( a)9、叠加定理仅适用于线性电路,而不适用于非线性电路。
( a )10、如果直流电路中含有一个非线性电阻元件,那么其余由线性元件组成的二端网络仍可用戴维南定理作等效变换。
( b )11、叠加定理可用来计算线性电路的电压,电流和功率。
( a )12、在列写KCL和KVL方程时,对各变量取正号或负号,均按该变量的参考方向确定,而不必考虑它们的实际方向。
( a )13、在电路中,电阻元件总是消耗功率,电压源和电流源总是供出功率。
( b )14、电路中只能有一个参考点,该参考点可以任意选定。
( b )15、当星形联接的三个电阻等效变换为三角形联接时,其三个引出端的电流和两两引出端的电压是不改变的。
( b )16、当电路中不存在独立电源时,受控源也能独立地产生响应。
( b )17、电路中某两点的电位都很高,则这两点间的电压一定很高。
(a )18、在电路中,由于所标明的电流参考方向是任意假定的,所以电流可能为正,也可能为负。
( a )19、电流强度的大小定义为单位时间内通过单位面积的电量。
( b )20、对外电路来说,与理想电流源串联的任何二端元件都可代之以短路。
第一章内控的产生与发展一、单项选择题1.内部控制定义的演变经历了若干个阶段,第一个阶段是()。
A.内部牵制阶段B.内部控制制度阶段C.内部控制结构阶段D.内部控制框架阶段2.()是企业对内部控制建立与实施情况进行监督检查,评价内部控制的有效性,发现内部控制缺陷,应当及时加以改进。
A.内部环境B.控制活动C.信息与沟通D.内部监督3.()是由企业董事会、监事会、经理层和全体员工实施的、旨在实现控制目标的过程。
A.内部控制B.内部管理C.内部监督D.内部会计控制4.内部控制的目标是()。
A.绝对保证财务报表是公允的,是合法的B.合理保证财务报表是公允的,是合法的C.绝对保证经营合规、资产安全、财务报告及相关信息真实完整、经营有效性,促进企业实现发展D.合理保证经营合规、资产安全、财务报告及相关信息真实完整、经营有效性,促进企业实现发展5.1999年修订的()第一次以法律的形式对建立健全内部控制提出原则要求。
A.《会计法》B.《注册会计师法》C.《内部会计控制规范——基本规范》D.《商业银行内部控制指引》6.()是企业及时识别、系统分析经营活动中与实现内部控制目标相关的风险,合理确定风险应对策略。
A.内部环境B.风险评估C.控制活动D.内部监督7.()是企业在权衡成本效益之后,准备采取适当的控制措施降低风险或者减轻损失,将风险控制在风险承受度之内的策略。
A.风险降低B.风险规避C.风险分担D.风险承受8.下面有关内部控制的说法中错误的是()。
A.内部控制的思想是以风险为导向的控制B.内部控制是控制的一个过程,这个过程是需要全员的参与,包括董事会、管理层、监事会都需要参与进来,但不包括员工C.内部控制是一种管理,是对风险的管理D.内部控制是一种合理保证9.下列有关内部环境的说法中错误的是()。
A.企业文化包含四个要素:制度文化、物质文化、行为文化、精神文化。
这四者相互影响、相互作用,共同构成企业文化的完整体系B.员工素质控制包括企业在招聘、培训、考核、晋升与奖励等方面对员工素质的控制C.内部环境包含组织基调,具体内容包括治理结构、机构设置及权责分配、内部审计、人力资源政策、企业文化等D.内部控制是内部审计控制的一种特殊形式,其范围主要包括财务会计、管理会计和内部控制检查10、企业为提高会计信息质量,保护财产的安全、完整,确保有关法律法规和规章制度的贯彻执行等制定和实施的一系列控制方法、措施和程序的总和,称为( )。
《单片机技术与应用》第1-2章小测试
1、9CH= B 11000101B= H 6DH= B
0C5H= B 10110110B= H 11100011B= H
2、[-86]补= B [-93]补= B [58]补= B
[-23]反= B [46]反= B [29]原= B 3、MCS-51系列单片机片内有B数据存储器,其中工作寄存器区Rn的字节地址范围是,位寻址区字节地址范围为,位寻址区一共有位地址个,地址范围为。
通常将堆栈开辟在用户RAM区,堆栈特点是。
4、如果软件设置RS1、RS0=10,则R3的字节地址为。
5、8751单片机片内有ROM,当单片机EA引脚接+5V时,单片机从(内部/外部)ROM开始执行指令。
6、如果选用6MHZ晶振,MCS-51系列单片机要完成复位则需要在RST引脚上保持高电平,单片机复位过后,PC= ,SP= 。
7、一个机器周期等于个状态周期,等于个时钟周期。
8、单片机最小系统包括、和。
9、特殊功能寄存器在片内RAM的地址范围为,凡末位地址
为的特殊功能寄存器都能够位寻址。
10、作通用I/O口时,P0口必须外接,作为准双向I/O口,P0-P3口作为输入时应该先将锁存器。
11、P0口除了作为通用I/O端口外,访问外部存储器时还作为和。
12、P0口输出级的每一位可以驱动个TTL门,P1-P3口可以驱动个TTL 门。
13、若(A)=89H,则PSW.0= 。
14、MCS-51单片机唯一可以被用户定义使用的一个16位寄存器是。
15、PC名为,它内部装的是。
16、ALE作为地址锁允许输出端,当访问外部存储器时,该引脚输出信号的下降沿用作地址的锁存信号。
17、即时不访问外部锁存器,ALE端仍有正脉冲信号输出,此频率为时钟振荡器
频率的。
̅̅̅̅引脚为高电平时,单片机访问存储器,但在PC值超过时,18、当EA
将自动转向执行外部程序存储器H单元地址的程序。
该引脚为时,只访问外部程序存储器。
对于8031来说,因内部无程序存储器,所以该引脚必须。
19、若(PSW)=18H,要将工作寄存器R1的内容入栈,应该采用指令。
20、单元地址2DH的位起始地址为。
21、位地址39H所在字节地址为。
22、SP堆栈指针,它始终指向堆栈的单元地址。
23、寄存器B主要用在乘法指令和除法指令中,在乘法指令中,用于存放,
存放乘积的;在除法指令中,用于存放,存放除法运算结果的。
24、已知内部RAM(30H)=68H,SP=36H,单片机执行指令PUSH 30H后,
(SP)= ,(H)=68H。
25、已知内部RAM(30H)=70H,SP=30H,单片机执行指令POP ACC后,
(A)= ,(SP)= 。
26、程序执行方式是单片机的基本工作方式,通常可以分为和连
续执行方式。