50种抗生素DDD值
- 格式:doc
- 大小:137.00 KB
- 文档页数:2
2023年普遍使用的抗生素DDD值与简单计算技巧引言抗生素的合理使用对于维护公共健康至关重要。
为了监测和评估抗生素的使用情况,DDD(Defined Daily Dose)值成为了衡量抗生素使用量的国际标准。
本文将介绍2023年普遍使用的抗生素DDD值以及简单的计算技巧。
什么是DDD值?DDD值是指每天使用一种药物的标准剂量。
它是根据一系列因素,如药物的剂型、途径、适应症等,由世界卫生组织制定的。
DDD值的目的是提供一个可以比较不同药物之间使用量的指标,以便进行药物使用的监测和比较。
2023年普遍使用的抗生素DDD值以下是一些常用抗生素在2023年的DDD值:1. 青霉素类抗生素:- 青霉素G:1克- 阿莫西林:1克- 苄青霉素:1克2. 大环内酯类抗生素:- 红霉素:1克- 克拉霉素:0.5克3. 氨基糖苷类抗生素:- 庆大霉素:1克- 喹诺酮类抗生素:- 氧氟沙星:0.4克- 莫西沙星:0.4克4. 磺胺类抗生素:- 磺胺甲噁唑:0.5克- 头孢菌素类抗生素:- 头孢克肟:1克- 头孢他啶:1克请注意,以上只是一些常见抗生素的示例,实际使用中可能存在差异。
在具体使用时,应参考最新的药品说明书和医疗指导。
简单计算技巧计算抗生素的DDD值可以帮助医生和医疗机构合理使用抗生素。
以下是一些简单的计算技巧:1. 药物总剂量除以DDD值:将药物总剂量除以对应抗生素的DDD值,可以得到使用量的倍数。
例如,如果药物总剂量是2克,而DDD值是1克,那么使用量的倍数为2。
2. 根据治疗需要调整剂量:根据患者的具体情况和治疗需要,可以适当调整药物的剂量。
但是,在调整剂量时应遵循临床指南和医疗专家的建议。
3. 监测抗生素的使用量:通过记录和监测抗生素的使用量,可以评估使用情况并及时采取必要的措施。
这有助于减少抗生素滥用和耐药性的发展。
总结:抗生素DDD值是衡量抗生素使用量的国际标准。
了解2023年普遍使用的抗生素DDD值以及简单的计算技巧,有助于医生和医疗机构合理使用抗生素,促进公共健康的维护。
抗菌药物DDD值速查(2024年版)速查表
说明
数据依据:药品说明书、WHO与ATC/DDD Index,抗菌药物临床应用监测网。
注释:P=parenteral、O=oral。
DDD:限定日剂量。
用于主要治疗目的的成人的药物平均日剂量。
DDDs:用药频度。
DDDs=该药年销售总量(g)/该药的DDD值。
DDDs可反映不同年度的用药动态和用药结构,DDDs越大,说明该药的使用频率越高。
DDDc:限定日费用。
DDDc=该药年销售总金额(元)/该药的DDDs值。
DDDc代表药品的总价格水平,表示患者应用该药的平均日费用。
DDDc越大,表示患者的经济负担越重。
AUD:抗菌药物使用强度=抗菌药物消耗量(累计DDD数)×100/同期收治患者人天数;同期收治患者人天数=同期出院患者人数×同期住院患者平均住院天数。
2023年常见抗菌药品的DDD值和基础计
算步骤
一、抗菌药品的DDD值
DDD(Defined Daily Dose)定义为一种药物在其主要适应症上的"成人的平均日剂量"。
以下是2023年常见的抗菌药品及其对应的DDD值:
1. 阿莫西林:1克阿莫西林:1克
2. 头孢丙烯:4克头孢丙烯:4克
3. 左氧氟沙星:0.5克左氧氟沙星:0.5克
4. 美罗培南:2克美罗培南:2克
5. 万古霉素:2克万古霉素:2克
6. 利奈唑胺:2克利奈唑胺:2克
7. 泰能:4克泰能:4克
二、DDD值的基础计算步骤
下面是基础的DDD值计算步骤:
步骤一:确定用药剂量
首先,我们需要确定患者的用药剂量。
这通常会在药物说明书中找到,或者由医生确定。
步骤二:计算DDD值
将患者的实际用药剂量除以药物的DDD值,得出药物的DDD 数。
步骤三:计算累计DDD值
将所有药物的DDD数加起来,得出累计DDD值。
这个值可以用来看患者的用药量是否过多,或者不同类型的药物使用量是否平衡。
三、DDD值的应用
DDD值是一种衡量药物使用量的工具,可以帮助我们了解药物使用的趋势,制定合理的用药政策,以及进行药物经济学研究。
需要注意的是,DDD值并不是用来决定患者的实际用药剂量的,而是一个用于药物使用研究的统计工具。
实际的用药剂量应由医生根据患者的具体情况来决定。
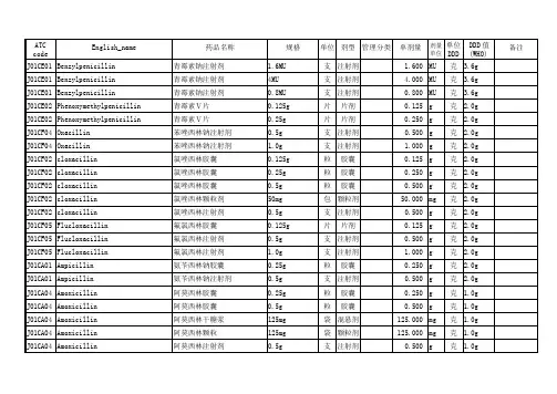
ATC code English_name 药品名称规格单位剂型管理分类单剂量剂量单位单位DDDDDD值(WHO)备注J01CR01 Ampicillin and Sulbactam 氨苄西林舒巴坦片0.375g 片片剂0.375 g 克 1.5g J01CR02 Amoxicillin and Sulbactam 阿莫西林钠舒巴坦钠注射剂0.75g 支注射剂0.750 g 克 3.0g J01CR02 Amoxiciliin and Sulbactam 阿莫西林钠舒巴坦钠注射剂 1.5g 支注射剂 1.500 g 克 3.0g J01CR02 Amoxiciliin and Sulbactam 阿莫西林钠舒巴坦钠注射剂 3.0g 支注射剂 3.000 g 克 3.0g J01CR02 Amoxiciliin and Sulbactam 阿莫西林钠舒巴坦钠混悬剂0.25g:60ml 瓶混悬剂0.250 g 克 1.0g J01CR02 Amoxiciliin and Sulbactam 阿莫西林钠舒巴坦钠混悬剂0.5g:60ml 瓶混悬剂0.500 g 克 1.0g J01CR02 Amoxiciliin and Sulbactam 阿莫西林钠舒巴坦钠片0.5g 片片剂0.500 g 克 1.0g J01CR02 Amoxiciliin and Sulbactam 阿莫西林钠舒巴坦钠片 1.0g 片片剂 1.000 g 克 1.0g J01CR Mezlocillin and Sulbactam 美洛西林钠舒巴坦钠注射剂0.625g 支注射剂0.625 g 克7.5g J01CR Mezlocillin and Sulbactam 美洛西林钠舒巴坦钠注射剂 1.25g 支注射剂 1.250 g 克7.6g J01CR Mezlocillin and Sulbactam 美洛西林钠舒巴坦钠注射剂 2.5g 支注射剂 2.500 g 克7.7g J01CR Mezlocillin and Sulbactam 美洛西林钠舒巴坦钠注射剂 3.75g 支注射剂 3.750 g 克7.8g J01CR05 Piperacilin and Tazobactam 哌拉西林钠他唑巴坦钠注射剂0.5625g 支注射剂0.562 g 克14.0g J01CR05 Piperacilin and Tazobactam 哌拉西林钠他唑巴坦钠注射剂1.125g 支注射剂 1.125 g 克14.0g J01CR05 Piperacilin and Tazobactam 哌拉西林钠他唑巴坦钠注射剂2.25g 支注射剂 2.250 g 克14.0g J01CR05 Piperacilin and Tazobactam 哌拉西林钠他唑巴坦钠注射剂4.5g 支注射剂 4.500 g 克14.0g J01CR02 Amoxiciliin and Clavulanate Pot 阿莫西林克拉维酸钾干糖浆 1.0g:156.25mg 瓶颗粒剂0.457 g 克 1.0g J01CR02 Amoxiciliin and Clavulanate Pota阿莫西林克拉维酸钾干糖浆 1.5g:228.5mg 瓶颗粒剂 1.500 g 克 1.0g J01CR02 Amoxiciliin and Clavulanate Pot 阿莫西林克拉维酸钾干糖浆 2.0g:156.25mg 瓶颗粒剂 1.870 g 克 1.0g J01CR02 Amoxiciliin and Clavulanate Pota阿莫西林克拉维酸钾颗粒剂156.25mg 包颗粒剂156.250 mg 克 1.0g J01CR02 Amoxiciliin and Clavulanate Pot 阿莫西林克拉维酸钾颗粒剂187.5mg 包颗粒剂187.500 mg 克 1.0g J01CR02 Amoxiciliin and Clavulanate Pota阿莫西林克拉维酸钾颗粒剂228.5mg 包颗粒剂228.500 mg 克 1.0gATC code English_name 药品名称规格单位剂型管理分类单剂量剂量单位单位DDDDDD值(WHO)备注J01CR02 Amoxiciliin and Clavulanate Pot 阿莫西林克拉维酸钾注射剂0.6g 支注射剂0.600 g 克 3.0g J01CR02 Amoxiciliin and Clavulanate Pota阿莫西林克拉维酸钾注射剂 1.2g 支注射剂 1.200 g 克 3.0g J01CR02 Amoxiciliin and Clavulanate Pot 阿莫西林克拉维酸钾片0.2285g 片片剂0.228 g 克 1.0g J01CR02 Amoxiciliin and Clavulanate Pota阿莫西林克拉维酸钾片0.25g 片片剂0.250 g 克 1.0g J01CR02 Amoxiciliin and Clavulanate Pot 阿莫西林克拉维酸钾片0.375g 片片剂0.375 g 克 1.0g J01CR02 Amoxiciliin and Clavulanate Pota阿莫西林克拉维酸钾片0.457g 片片剂0.457 g 克 1.0g J01CR02 Amoxiciliin and Clavulanate Pot 阿莫西林克拉维酸钾片0.5625g 片片剂0.563 g 克 1.0g J01CR02 Amoxiciliin and Clavulanate Pota阿莫西林克拉维酸钾片0.625g 片片剂0.625 g 克 1.0g J01CR03 Ticarcillin and Clavulanate Pot 替卡西林克拉维酸钾注射剂 1.6g 支注射剂 1.600 g 克15.0g J01CR03 Ticarcillin and Clavulanate Pota替卡西林克拉维酸钾注射剂 3.2g 支注射剂 3.200 g 克15.0g J01CR05 Piperacillin and sulbactam 哌拉西林钠舒巴坦钠注射剂 1.25g 支注射剂 1.250 g 克14.0g J01CR05 Piperacillin and sulbactam 哌拉西林钠舒巴坦钠注射剂 1.5g 支注射剂 1.500 g 克14.0g J01CR05 Piperacillin and sulbactam 哌拉西林钠舒巴坦钠注射剂 2.5g 支注射剂 2.500 g 克14.0g J01CR04 sultamicillin 舒他西林片0.125g 片片剂0.125 g 克 1.5g J01CR04 sultamicillin 舒他西林片0.375g 片片剂0.375 g 克 1.5g J01DB01 Cefalexin 头孢氨苄胶囊0.25g 粒胶囊0.250 g 克 2.0g J01DB01 Cefalexin 头孢氨苄颗粒剂 1.0g:0.5g 包颗粒剂 1.000 g 克 2.0g J01DB01 Cefalexin 头孢氨苄片0.25g 片片剂0.250 g 克 2.0g J01DB04 Cefazolin 头孢唑林钠注射剂0.5 g 支注射剂0.500 g 克 3.0g J01DB04 Cefazolin 头孢唑林钠注射剂 1.0g 支注射剂 1.000 g 克 3.0g J01DB05 Cefadroxil 头孢羟氨苄胶囊0.125g 粒胶囊0.125 g 克 2.0g J01DB05 Cefadroxil 头孢羟氨苄胶囊0.25g 粒胶囊0.250 g 克 2.0g2.凡DDD值为加粗斜体的是由《中华人民共和国药典》、《新编药物学》和药品说明书中的成人每日常用平均剂量计算出的。
2023年普遍使用的抗生素DDD值与简单计算技巧1. 介绍药物使用量度标准在全球范围内被广泛采用,以评估药物的使用情况和趋势。
其中,定义每日剂量(Defined Daily Dose, DDD)是一个关键概念,用于衡量某种药物在特定条件下被推荐使用的平均剂量。
本文档旨在概述2023年普遍使用的抗生素的DDD值,并提供一些简单的计算技巧,以帮助医疗专业人员进行药物使用评估。
2. 抗生素DDD值根据世界卫生组织(WHO)提供的数据,以下是2023年普遍使用的抗生素的DDD值(单位:mg/d):- 阿莫西林:1000- 克拉霉素:200- 甲氧苄啶:400- 庆大霉素:140- 左氧氟沙星:400- 莫西沙星:400- 帕拉米韦:300- 替加环素:200- 万古霉素:400请注意,这些DDD值可能会因地区、国家和具体使用情况而有所不同。
在使用时,应参考当地适用的指南和标准。
3. 简单计算技巧在进行抗生素使用量的评估时,以下一些简单的计算技巧可能会有所帮助:3.1. 单一抗生素的DDD计算假设一名患者正在接受阿莫西林治疗,医生开具的处方为每日2g(2000mg)。
根据DDD值,我们可以计算出该药物的使用量为:2000mg / 1000mg/d = 2 DDD3.2. 联合用药的DDD计算当患者同时接受多种抗生素治疗时,需要分别计算每种药物的DDD值,然后将结果相加。
例如,一名患者同时接受阿莫西林(2g/d)和克拉霉素(0.5g/d)治疗,计算方法如下:阿莫西林:2000mg / 1000mg/d = 2 DDD克拉霉素:500mg / 200mg/d = 2.5 DDD总DDD值:2 + 2.5 = 4.5 DDD3.3. 长期用药的DDD计算对于长期用药的情况,通常需要根据治疗周期进行调整。
例如,一名患者接受阿莫西林治疗,持续时间为7天,计算方法如下:单次DDD值:2 DDD治疗周期:7天总DDD值:2 DDD/d × 7 d = 14 DDD4. 总结抗生素的DDD值是评估药物使用情况和趋势的重要工具。
2023年抗生素DDD值及易学计算法概述本文档旨在提供关于2023年抗生素DDD(Defined Daily Dose,日剂量)值及易学计算法的信息。
抗生素DDD值是根据医疗实践中的平均用药量确定的,可用于评估抗生素的使用情况和趋势。
易学计算法是一种简单的策略,用于计算抗生素的DDD值。
2023年抗生素DDD值抗生素DDD值是根据各种抗生素在临床实践中的平均用药情况确定的。
在2023年,根据最新的医疗研究和实践,我们提供以下抗生素DDD值的参考:- 抗生素A: 10mg- 抗生素B: 15mg- 抗生素C: 20mg- 抗生素D: 25mg- 抗生素E: 30mg请注意,这些值仅供参考,实际的抗生素DDD值可能因地区、病情和其他因素而有所不同。
建议在具体使用时参考临床指南和医疗专业人员的建议。
易学计算法易学计算法是一种简单的策略,用于计算抗生素的DDD值。
按照易学计算法,可以使用以下公式计算抗生素的DDD值:DDD = (总剂量 / 使用天数) * 药物浓度其中:- DDD为抗生素的DDD值- 总剂量为抗生素的总用药剂量- 使用天数为抗生素的使用天数- 药物浓度为抗生素的药物浓度通过易学计算法,可以根据实际的用药情况和药物浓度来计算抗生素的DDD值。
这是一种简单且常用的方法,但请注意,在具体使用时应遵循医疗专业人员的建议,并参考相关的临床指南。
结论本文档提供了关于2023年抗生素DDD值及易学计算法的信息。
抗生素DDD值可用于评估抗生素的使用情况和趋势,易学计算法是一种简单的策略,用于计算抗生素的DDD值。
然而,请注意,在具体使用时应遵循医疗专业人员的建议,并参考相关的临床指南。
请注意,本文档中提供的内容仅供参考,实际情况可能因地区、病情和其他因素而有所不同。
建议在具体使用时进行进一步的研究和咨询医疗专业人员。
2023年常见抗菌药品的DDD值和简便计算策略1. DDD值的定义和意义DDD(Daily Defined Dose)是指一种药物在成年患者中的日常标准剂量。
DDD值的计算是为了比较不同药物在治疗上的使用量,并提供给医生、药师和研究人员一个判断和比较药物使用情况的指标。
2. 常见抗菌药品的DDD值以下是2023年常见抗菌药品的DDD值(单位:毫克/天):- 氨苄西林:1000- 青霉素G:1000- 头孢呋辛:2000- 庆大霉素:100- 头孢曲松:4000- 氟康唑:200- 利福平:300- 环丙沙星:500- 头孢他啶:1000- 美罗培南:4000请注意,以上仅是常见抗菌药品的一部分,具体的DDD值可能会因药物的用途、适应症、年龄等因素而有所差异。
3. 简便计算策略为了简化DDD值的计算,可以使用以下策略:- 对于给定的抗菌药品,首先确定其药物名称和DDD值。
- 将所需使用的药物剂量(单位:毫克)除以DDD值,即可得到使用的剂量倍数。
- 根据具体情况,可以将计算得到的倍数四舍五入到合适的整数。
例如,如果需要使用头孢呋辛治疗感染,患者需要使用1800毫克的头孢呋辛。
根据DDD值表,头孢呋辛的DDD值为2000毫克/天。
通过计算,可以得知使用的剂量倍数为0.9。
根据需要,可以四舍五入到1,表示需要使用1个DDD值的头孢呋辛。
这样的简便计算策略可以帮助医生、药师等专业人员快速确定抗菌药品的使用剂量,提高工作效率。
4. 结论2023年常见抗菌药品的DDD值和简便计算策略对于合理用药和药物使用的监管具有重要意义。
通过了解和应用这些指标,医务人员能够更好地评估和比较不同抗菌药物的使用情况,从而提高抗菌药物的合理使用水平,减少滥用和耐药性的风险。
2023年常用抗菌药物DDD值及其简洁运算方法1. DDD值介绍"DDD"是"Defined Daily Dose"的简写,中文意思为"定义日剂量",是由世界卫生组织(WHO)提出的一种用于衡量药物使用量的标准方法。
该方法定义了一个标准的药物日剂量,使得不同药物之间的使用量可以进行量化比较。
2. 2023年常用抗菌药物DDD值以下是2023年常用抗菌药物的DDD值,供医务工作者参考:1. 青霉素:1.0g DDD2. 阿莫西林:1.0g DDD3. 克拉维酸:0.5g DDD4. 利福平:0.6g DDD5. 阿奇霉素:1.0g DDD6. 红霉素:1.0g DDD7. 克林霉素:0.6g DDD8. 磺胺类药物:2.0g DDD注意:这些DDD值是由WHO提供的标准值,并且可能会根据实际需要进行调整。
这些DDD值是由WHO提供的标准值,并且可能会根据实际需要进行调整。
3. DDD值的简洁运算方法使用DDD值来衡量抗菌药物的使用量,需要将实际使用的药物剂量转化为DDD值。
以下是转化步骤:1. 确定药物剂量:首先,确定每日使用的抗菌药物剂量。
例如,如果每日使用1.2g的阿莫西林,那么药物剂量就是1.2g。
确定药物剂量:首先,确定每日使用的抗菌药物剂量。
例如,如果每日使用1.2g的阿莫西林,那么药物剂量就是1.2g。
2. 找出药物的DDD值:然后,查找该药物的DDD值。
例如,阿莫西林的DDD值是1.0g。
找出药物的DDD值:然后,查找该药物的DDD值。
例如,阿莫西林的DDD值是1.0g。
3. 计算DDD数:最后,将药物剂量除以DDD值,得到DDD 数。
例如,1.2g的阿莫西林除以1.0g的DDD值,得到1.2个DDD。
计算DDD数:最后,将药物剂量除以DDD值,得到DDD数。
例如,1.2g的阿莫西林除以1.0g的DDD值,得到1.2个DDD。
2023年常用抗菌药品DDD值及简易计算方法引言抗菌药品的使用是医疗保健中的重要部分,然而过度使用或滥用这些药物可能会导致抗药性的发展。
为了衡量和监控抗菌药物的使用,我们使用了一个称为定义日剂量(Defined Daily Dose,简称DDD)的方法。
DDD的定义根据世界卫生组织(WHO)的定义,DDD是指"假定的平均维持剂量,用于其主要适应症的成人口服药物"。
这是一个标准化的测量单位,允许我们比较不同类型和剂量的药物使用。
常用抗菌药品的DDD值以下是一些2023年常用的抗菌药品及其DDD值:1. 阿莫西林:1克2. 克林霉素:0.6克3. 左氧氟沙星:0.5克4. 青霉素G:1.2克5. 甲硝唑:1.5克6. 兰索拉唑:30毫克7. 去甲肾上腺素:0.15毫克8. 西咪替丁:400毫克9. 甲状腺素:150微克请注意,这些值可能会根据具体的临床情况和患者需要进行调整。
DDD的简易计算方法计算DDD非常简单。
首先,确定药物的总剂量。
然后,将这个总剂量除以药物的DDD值。
结果就是使用的DDD数量。
例如,如果一位患者在一天内使用了2克的阿莫西林,那么使用的DDD数量就是2克除以1克,即2DDD。
这意味着患者在这一天内使用了等于两个DDD的阿莫西林。
结论DDD是一个有用的工具,可以帮助我们监控和比较抗菌药物的使用。
通过理解和使用DDD,我们可以更好地管理药物使用,减少抗药性的发展,提高患者的医疗保健质量。
参考1. World Health Organization. Introduction to Drug Utilization Research. Geneva: World Health Organization; 2003.。
2023年常用抗菌药物DDD值和简单的计
算方式
什么是DDD值?
DDD(Defined Daily Dose)即每日剂量,是用于评估药物使用量的国际标准。
它表示一种药物在一天中的平均使用量,以便比较不同药物之间的使用情况。
DDD值的计算方式
DDD值的计算方式相对简单,可以通过以下公式计算得出:DDD = (年度消耗总量)/(365 ×治疗人数)
其中,年度消耗总量指的是某种药物在一年内的总使用量,治疗人数指的是使用该药物进行治疗的人数。
2023年常用抗菌药物的DDD值
以下是一些常用抗菌药物在2023年的DDD值和计算方式:
1. 氨苄西林(Ampicillin)
- DDD值:1.5克/天
- 计算方式:根据年度消耗总量和治疗人数,使用上述公式进行计算。
2. 阿莫西林克拉维酸(Amoxicillin/Clavulanic Acid)
- DDD值:1.8克/天
- 计算方式:根据年度消耗总量和治疗人数,使用上述公式进行计算。
3. 氟哌酸(Ciprofloxacin)
- DDD值:0.5克/天
- 计算方式:根据年度消耗总量和治疗人数,使用上述公式进行计算。
4. 头孢噻肟(Cefotaxime)
- DDD值:1.5克/天
- 计算方式:根据年度消耗总量和治疗人数,使用上述公式进行计算。
注意事项
在计算DDD值时,需要准确统计年度消耗总量和治疗人数的数据。
另外,不同药物的DDD值会因其治疗效果和用量差异而有所不同,因此在实际应用中需要根据具体情况进行调整。
以上是2023年常用抗菌药物DDD值和简单的计算方式的相关内容,希望对您有所帮助!。
序号药品名称(按首字母排序)用药途径DDD(g)1阿洛西林注射剂P12 2阿米卡星注射剂P1 3阿莫西林氟氯西林胶囊O 3.5 4阿莫西林氟氯西林注射剂P5 5阿莫西林干糖浆O 1.5 6阿莫西林胶囊O 1.5 7阿莫西林颗粒O 1.5 8阿莫西林克拉维酸混悬剂O 1.5 9阿莫西林克拉维酸颗粒剂O 1.5 10阿莫西林克拉维酸片O 1.5 11阿莫西林克拉维酸注射剂P3 12阿莫西林舒巴坦混悬剂O 1.5 13阿莫西林舒巴坦片O 1.5 14阿莫西林舒巴坦注射剂P3 15阿莫西林片O 1.5 16阿莫西林注射剂P3 17阿尼芬净注射剂(新增)P0.1 18阿奇霉素干混悬剂O0.3 19阿奇霉素胶囊O0.3 20阿奇霉素颗粒剂O0.3 21阿奇霉素片O0.3 22阿奇霉素注射剂P0.5 23艾沙康唑片O0.2 24艾沙康唑注射剂P0.2 25氨苄西林丙磺舒胶囊O2 26氨苄西林氯唑西林注射剂P2 27氨苄西林胶囊O2 28氨苄西林注射剂P6 29氨苄西林舒巴坦片O2 30氨苄西林舒巴坦注射剂P6 31氨苄西林注射剂P6 32氨曲南注射剂P4 33安妥沙星片O0.2 34奥马环素片(新增)O0.3 35奥马环素注射剂(新增)P0.1 36奥硝唑片O 1.5 37奥硝唑注射剂P1 38巴氨西林片(新增)O 1.2 39巴龙霉素片(新增)O3 40苯唑西林片(新增)O2抗菌药物DDD值速查表2023版41苯唑西林注射剂P 242比阿培南注射剂P 1.243吡哌酸片O 0.844苄星青霉素注射剂P 3.645泊沙康唑片O 0.346泊沙康唑注射剂P 0.347达巴万星注射剂(新增)P 1.548大观霉素注射剂(新增)P 349达托霉素注射剂(新增)P 0.2850德拉沙星片(新增)P 0.651德拉沙星注射剂(新增)O 0.952地红霉素片P 0.2853多利培南注射剂(即多尼培南,新增)P 1.554多黏菌素B注射剂P 0.1555多黏菌素E吸入剂(新增,数据来自ATC/DDD Index,“临床用药评价”公众号提示以黏菌素活性基质CBA计算)Inhal 3MU(约100mg的CBA)56多黏菌素E注射剂(新增,数据来自ATC/DDD Index,“临床用药评价”公众号提示以黏菌素活性基质CBA计算)P 9MU(约300mg的CBA)57多西环素片O 0.158多西环素注射剂P 0.159厄他培南注射剂P 160法罗培南胶囊O 0.7561法罗培南颗粒剂O 0.7562法罗培南片O 0.7563夫西地酸注射剂P 1.564呋喃妥因片O 0.265呋喃唑酮片O 0.366伏立康唑片O 0.467伏立康唑注射剂P 0.468氟胞嘧啶片O 1069氟胞嘧啶注射剂P 1070氟康唑胶囊O 0.271氟康唑颗粒剂O 0.272氟康唑片O 0.273氟康唑注射剂P 0.274氟罗沙星片(新增)O 0.475氟罗沙星注射剂(新增)P 0.476氟氯西林胶囊O 277氟氯西林注射剂P 278氟氧头孢注射剂P 279复方磺胺甲噁唑片(复方新诺明)O 1.9280复方磺胺甲噁唑注射剂(注:此数据来源抗菌药物临床应用监测网,ATC/DDD Index未给出数据,临床用药评价公众号建议DDD=0.48)P 0.19281核糖霉素注射剂(新增)P 182红霉素(硬脂酸)颗粒剂O183红霉素肠溶片O1 84红霉素注射剂P1 85琥乙红霉素片O2 86环丙沙星片O1 87环丙沙星注射剂P0.8 88环酯红霉素干混悬剂O 1.25 89环酯红霉素片O 1.25 90磺胺二甲嘧啶片(新增)O4 91磺胺甲噁唑片O2 92磺胺林片(新增,数据来自ATC/DDD Index)O0.1 93磺胺嘧啶片(注:数据来自ATC/DDD Index)O0.694磺胺嘧啶注射剂(注:此数据来源抗菌药物临床应用监测网,ATC/DDD Index未给出数据)P695磺胺异噁唑片(新增)O4 96磺胺异噁唑注射剂(新增)P4 97磺苄西林注射剂P15 98灰黄霉素片(新增)O0.5 99吉米沙星片O0.32 100吉他霉素片O 1.2 101吉他霉素注射剂P0.8 102甲砜霉素片(新增)O 1.5 103甲砜霉素注射剂P 1.5 104加诺沙星片(新增)O0.4 105加替沙星片(新增)O0.4 106加替沙星注射剂P0.4 107甲硝唑片O2 108甲硝唑注射剂P 1.5 109甲氧苄啶片(新增)O0.4 110甲氧苄啶注射剂(新增)P0.4 111交沙霉素片O2 112卡泊芬净注射剂P0.05 113卡那霉素片(新增)O3 114卡那霉素注射剂(新增)P1 115康替唑胺片(新增,临床用药评价公众号DDD=1.6)O 1.6 116克拉霉素干混悬剂O0.5 117克拉霉素胶囊O0.5 118克拉霉素颗粒剂O0.5 119克拉霉素片O0.5 120克拉霉素注射剂P1 121克林霉素胶囊O 1.2 122克林霉素颗粒剂O 1.2 123克林霉素片O 1.2 124克林霉素注射剂P 1.8 125克霉唑(新增,阴道给药)Vaginal0.1 126拉氧头孢注射剂P4 127利福平胶囊(新增)O0.6128利福平注射剂(新增)P 0.6129利奈唑胺片O 1.2130利奈唑胺注射剂P 1.2131链霉素注射剂P 1132两性霉素B脂质体注射剂P 0.035133两性霉素B注射剂P 0.035134林可霉素注射剂P 1.8135磷霉素氨丁三醇散O 3136磷霉素钙甲氧苄啶胶囊O 3137磷霉素注射剂P 8138芦氟沙星片O 0.2139罗红霉素胶囊O 0.3140罗红霉素片O 0.3141洛美沙星片(新增)P 0.4142洛美沙星注射剂(新增,注:数据来自ATC/DDD Index)O 0.4143氯霉素注射液P 3144氯霉素片(新增)O 3145氯唑西林注射剂P 2146吗啉硝唑注射剂(新增,“临床用药评价”公众号DDD=1)P 1147美罗培南注射剂P 3148美罗培南/法硼巴坦注射剂(新增)P 3149美洛西林舒巴坦注射剂P 6150美洛西林注射剂P 6151美他环素片(新增)O 0.6152米卡芬净注射剂P 0.1153米诺环素胶囊O 0.2154米诺环素片O 0.2155莫西沙星片O 0.4156莫西沙星注射剂P 0.4157萘啶酸片(新增)O 4158萘夫西林注射剂P 3159奈诺沙星胶囊O 0.5160奈诺沙星注射剂(新增,“临床用药评价”公众号DDD=0.5)P 0.5161奈替米星注射剂(新增)P 0.35162诺氟沙星(氟哌酸)胶囊O 0.8163诺氟沙星(氟哌酸)片O 0.8164诺氟沙星注射剂(新增)P 0.8165帕尼培南倍他米隆注射剂P 2166帕珠沙星注射剂P 1167哌拉西林舒巴坦注射剂P 14168哌拉西林他唑巴坦注射剂P 14169哌拉西林注射剂P 14170培氟沙星片(新增)O 0.8171培氟沙星注射剂(新增)P 0.8172普鲁卡因青霉素注射剂P 0.6173普卢利沙星片(新增)O0.6174青霉素V片(新增)O2 175青霉素注射剂P 3.6 176庆大霉素片O0.3 177庆大霉素注射剂P0.24 178去甲万古霉素注射剂P 1.6 179塞克硝唑胶囊(新增)O2 180塞克硝唑片(新增)O2 181舒巴坦注射剂P1 182舒他西林片O 1.5 183妥舒沙星胶囊(新增)O0.45 184妥舒沙星片(新增)O0.45 185四环素片O1 186司帕沙星片(新增)O0.2 187羧苄西林注射剂P12 188特比萘芬片O0.25 189特地唑胺片(新增)O0.2 190特地唑胺注射剂(新增)P0.2 191替加环素注射剂P0.1 192替卡西林克拉维酸注射剂P15 193替考拉宁注射剂P0.4 194替硝唑胶囊O2 195替硝唑片O2 196替硝唑注射剂P 1.5 197头孢氨苄/甲氧苄啶片O2 198头孢氨苄胶囊O2 199头孢氨苄颗粒剂O2 200头孢氨苄片O2 201头孢比罗酯注射剂(即头孢吡普酯,新增)P 1.5 202头孢洛林酯注射剂(新增)P 1.2 203头孢吡肟注射剂P4 204头孢丙烯干混悬剂O1 205头孢丙烯颗粒剂O1 206头孢丙烯片O1 207头孢泊肟(酯)片O0.4 208头孢泊肟干糖浆O0.4 209头孢泊肟片O0.4 210头孢布烯胶囊O0.4 211头孢地尼胶囊O0.6 212头孢地嗪注射剂P2 213头孢呋辛注射剂P3 214头孢呋辛酯颗粒剂O0.5 215头孢呋辛酯片O0.5 216头孢甲肟注射剂P2 217头孢卡品酯片(新增)O0.45 218头孢克洛干混悬剂O1 219头孢克洛胶囊O1220头孢克洛颗粒剂O1 221头孢克洛片O1 222头孢克肟干糖浆O0.4 223头孢克肟胶囊O0.4 224头孢拉定胶囊O2 225头孢拉定注射剂P2 226头孢硫脒注射剂P3 227头孢洛林酯注射剂(新增)P 1.2 228头孢洛扎/β-内酰胺酶抑制剂注射剂(新增)P3 229头孢洛扎/他唑巴坦注射剂(新增)P230头孢美唑注射剂P4 231头孢孟多(头孢羟唑)注射剂P6 232头孢咪唑注射剂P4 233头孢米诺注射剂P4 234头孢尼西注射剂P1 235头孢哌酮舒巴坦注射剂P4 236头孢哌酮他唑巴坦注射剂P4 237头孢哌酮注射剂P4 238头孢匹胺注射剂P2 239头孢匹罗注射剂(新增)P4 240头孢羟氨苄胶囊O2 241头孢曲松舒巴坦注射剂P2 242头孢曲松注射剂P2 243头孢曲松他唑巴坦注射剂P2 244头孢噻啶注射剂P3 245头孢噻吩注射剂P4 246头孢噻利注射剂P2 247头孢噻肟注射剂P4 248头孢噻肟舒巴坦注射剂P4 249头孢他啶注射剂P4 250头孢他啶阿维巴坦注射剂(新增)P6251头孢他啶/β-内酰胺酶抑制剂注射剂(新增,注:数据来自ATC/DDD Index,“临床用药评价”公众号限定头孢他啶阿维巴坦DDD=6)P6252头孢他啶他唑巴坦注射剂P4 253头孢他美酯胶囊O1 254头孢他美酯片O1 255头孢特仑酯片O0.4 256头孢替安注射剂P4 257头孢替唑注射剂P3 258头孢妥仑匹酯片O0.4 259头孢西丁注射剂P6 260头孢西酮注射剂P3 261头孢唑林注射剂P3 262头孢唑啉舒巴坦注射剂P3 263头孢唑肟注射剂P4264土霉素片(新增)O 1265土霉素注射剂(新增)P 1266妥布霉素注射剂P0.24267妥布霉素吸入溶液(新增)Inhal.solution 0.3268妥布霉素吸入干粉(新增)Inhal.powder0.112269托氟沙星胶囊(新增)O 0.45270万古霉素注射剂P 2271西索米星注射剂(新增)P 0.24272西他沙星片(新增)O 0.1273硝呋太尔片O 0.6274亚胺培南西司他丁注射剂P 2275亚胺培南西司他丁/雷利巴坦注射剂(新增)P 2276氧氟沙星片O 0.4277氧氟沙星注射剂P 0.4278依拉环素注射剂(新增,“临床用药评价”公众号DDD=0.1)P 0.1279伊曲康唑胶囊O 0.2280伊曲康唑口服液O 0.2281伊曲康唑片O 0.2282伊曲康唑注射剂P 0.2283依诺沙星胶囊O 0.8284依诺沙星注射剂P 0.4285依替米星注射剂P 0.25286依托红霉素混悬剂O 1.375287乙酰螺旋霉素片O 3288乙酰麦迪霉素干混悬剂O 0.9289异帕米星注射剂P 0.4290增效联磺片O 1.92291制霉菌素片O 150万U 292左奥硝唑注射剂P 1293左氧氟沙星胶囊O 0.5294左氧氟沙星片O0.5295左氧氟沙星吸入溶液(新增)Inhal.solution0.24296左氧氟沙星注射剂P0.5DDDs:用药频度。