内资项目进口设备和技术清单格式一
- 格式:doc
- 大小:77.00 KB
- 文档页数:6
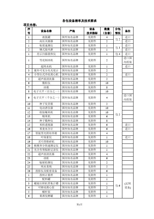
各包设备清单及技术要求附件:采购技术指标和相关说明包21. 液氮罐一、技术参数:液氮总容量(L):32*静态挥发量(L/d):0.22罐颈直径(mm):64可用高度(mm):378总体高度(mm):610外部直径(mm):432内部直径(mm):356空管重量(kg):11.4加满液氮总质量(kg):37.2*五年真空保证符合MDD93/42/EEC,欧洲医疗设备标准特点:便于液氮高效存储的设计低液态消耗(静态)罐体轻巧,方便移动2.高压灭菌器一、品名、数量及用途1.1 品名:全自动高压灭菌锅1.2 数量: 1台1.3 用途:用于各大实验室,分子生物学等实验室,培养皿,培养基,消耗品等的消毒,灭菌,以及特殊样品的高压消解。
二、工作条件2.1环境温度 5 - 40°C 室温2.2 湿度最高可达 80%2.3 220V(+10%或-10%),50Hz(+1或-1)电源条件下;三、主要技术指标*3.1 腔体容量:有效腔体容积: 69 L 内部容积: 79 L*3.2 开盖方式: 脚踏开关,上掀盖.*3.3标配带有2级可调风扇制冷(容器冷却风扇)缩短一半冷却时间3.4 灭菌:105℃ - 135℃(0.019 - 0.212MPa)3.5 加热:45 -104 摄氏度 (0 to 0.015Mpa)3.6 保温:45- 95 摄氏度3.7 最大操作压力:0.25MPa3.8 温度显示方法:数字式3.9 压力显示:压力表*3.10加热功率:3.0 kW3.11 安全装置:液位传感器, 漏电保护,盖子互锁,过热保护,在超压保护, 温度传感器监测,安全阀3.12 时间显示范围:灭菌、加热1 - 99 小时, 1 - 999 分钟 (可设置: 0:01 to 9:59/10到 99)保温:可设置 1 - 99小时/固定到 4 小时*3.13温度数据,压力数据输出,监控系统。
外部数据采集器连接后,温度可被记录。
一、采购设备清单及主要技术要求:二、商务要求1、本项目只接受推荐品牌产品,且型号须为厂家官网上列明的型号,必须是原装正品、原厂原包装供货。
如是假货及虚假应标按照政府采购法规处理,一切后果自负。
报价包含项目实施所需要的安装配件、管材、线材、人工、施工、运输、税金等一切费用。
2、履约保证金:合同签订须在成交确认后三天内完成,在签订合同前,成交人须向指定账户转入项目成交总价的5%的履约保证金,项目验收后履约保证金转为质保金在质保期满后1个月内退还。
如成交人因履约能力不足导致项目无法在规定时间内完工,业主方有权不退还履约保证金。
3、软件演示要求:本项目U3D交互程序系项目关键内容,为防止虚假应标,5月21日前成交人须向业主方演示自助及汇报模式下的基本操作,如演示不通过则业主方有权终止合同,成交人须承担相应后果。
演示内容为:汇报模式下的主题一级操作界面右侧区域呈现罗盘动态效果,通过转动罗盘选中子模块后出现模块下视频的缩略图,操作人员将缩略图关联的视频文件放大至屏幕中央区域,右侧区域可进行控制视频文件的播放、暂停、拖动进度等操作。
自助模式下的主题一级操作界面以一条中轴线贯穿屏幕,操作人员可选择子模块,其四周位置弹出该子模块下的视频缩略图,选中缩略图后视频文件放大播放。
4、保修要求:本项目质保期三年,成交人须在签订合同前提供1ED显示屏、视频处理器原厂针对本项目三年原厂质保函。
为确保服务及时性,成交人须在丽水市莲都区有分公司、办事处或售后服务网点,在合同签订前提供相关证明,出现故障半小时内响应、1小时内赶到现场。
同时,须向业主提供6块同批次1ED模组作为备件。
5、付款方式:在项目通过验收且收到发票凭证后1个月内支付合同款100%。
6、工期要求:项目须于6月5日前完工。
一、采购清单及技术参数要求实验室设备仪器采购需求设备名称参数数量1超净工作台1、外型尺寸1500(宽)×730(深)×1600(高)内部尺寸1360(宽)×690(深)×520(高)★2、过滤技术采用HLPA Filter(高效过滤技术)过滤效率99.995%(≥0.3μm颗粒)高效过滤器规格及数量6100*610*50*2只过滤膜材质为美国HV公司进口,并采用AIRTECH公司的自动生产线生产专利号:ZL200820109130.93、洁净度ISO5级(美联邦209E 100级)4、噪音≤62dB(A)5、振动半峰值≤3μm6、照度≥300Lu7、平均风速≥0.3m/s(三档调速)★8、日本AIRTECH技术,结构:全钢结构,工作台面采用SUS304优质不锈钢耐用易清洁,箱体采用宝钢产优质冷轧钢板静电涂装抗腐蚀能力强(粉为美国进口),流线型的豪华整机造型,使作业区气流受扰动最少。
★9.工作玻璃移门为进口定位控制系统,升降自如、定位准确、无故障、免维护,5并能完全关闭以便灭菌。
移门系统为AIRTECH专利号:ZL97235425510照明系统采用进口名牌灯具,护眼设计,照度大于国家标准。
11、带刹车装置的万向转动优质脚轮,移动灵活,固定方便可靠。
12、人性化的预过滤器快速更换与清洗设计使客户更感便捷。
13、带备用插座设计,可断电保护功能,使用安全方便。
荧光灯14W*213、专利作业区域(专利号ZL97235423.9)控制器(专利号ZL01272910.8)14、提供医疗器械注册证和认可表15.具有因停电,死机状态数据丢失而保护的参数记忆,来电恢复功能。
★16.安全柜带紫外灯预约,风机、紫外灯、高效过滤器累计运行时间显示等多项功能。
2高压灭菌锅一.性能指标*1生产厂家须具有特种设备(压力容器)制造许可证(不允许借用第三方资质)2.容量:80L,立式结构,底部带脚轮可放入直径38CM,高度58CM的灭菌架3.灭菌腔材料:SUS304不锈钢4.开盖方式:手旋式开盖,自感应连锁装置(机械式连锁装置),连锁可靠性强于电子式连锁装置,5时间范围:灭菌时间:1-6000分钟,融化时间:1-6000分钟,保温时间:1-7700分钟,2*6温度和压力:最高工作温度≥135℃设计压力0.3Mpa,安全阀起跳压力≥0.29Mpa7.记忆存储系统:可记忆存储20条灭菌程序*8.六级排汽方式:灭菌结束完成后,排气阀可按设定的六级排汽速度排汽,同时在排气过程中排汽速度可随时进行手动调整,优于传统的全排,不排,微排等排气方式。
采购内容及技术要求一、采购清单二、技术参数布拉条,摒弃市场上常规的无纺布拉条,不易风化,经久耐用。
11、侧板:侧板:采用中纤板,外附麻绒布,厚度为3mm。
★12、上架扶手框不低于 1.5mm厚度的冷轧钢,尺寸为高355mmX长405mm义宽80πιm(±2mm),扶手面两合页距离163mm±2mm,使座椅固定于地板上。
内插侧板,防脱落,外观平整。
不同于市场上的外挂侧板,容易脱落。
扶手框底端与下站脚链接位尺寸:23Omn1X80mm(±2mm)。
★13、铝合金下站脚:底脚为长337mmX宽60mmX高23OmnI(±2mm),底脚孔距296mm±2mm,立柱高195mm±2mm,底脚厚度为35mm±2mm。
壁厚5MN1重量1180g。
铝合金脚双侧洛有“秦币”加强筋造型。
脚板宽度60.0mm±2ι≡,脚架顶端与上架扶手框链接位尺寸:14OnimX60mm±2mm。
脚架立柱宽度最宽145.0mπι±2mπι最窄50.Omm±2mm;其脚板地脚孔前后300.Omnι±2mm,地脚塑料孔径12.0mm尺寸偏差不得超过士2.0mm;14、采用优质铝合金经模具压注成型,(压铸铝合金GB/T15115-2009检验要求)无毛剌,无焊接,表面作防氧化处理后经高温喷涂处理附着力强,抗冲击、耐腐蚀、不生锈、不褪色、经久耐用,脚架采用M8膨胀螺丝固定到地面。
座椅结构:采用两侧受力结构,使座包在外力作用与背相碰撞时受力点不在海绵上,而在座包两侧的角码上,从而更加耐用、牢固、更舒适。
★15、铸铝脚架结构图,外观尺寸图要求如下:三、商务要求1、合同履行期限:签订合同后15日历天内供货到位并安装完毕。
2、交货地点:采购人指定地点。
3、拟派服务人员:不少于20人,其中具备木工技工证的人员不少于2人。
4、质量要求:达到合格标准,并符合国家相关文件规定。
一、设备清单及技术要求设备清单回流泵、剩余污泥泵技术规范(一)基本要求1、潜污泵应为单级、易拆卸的通道式无阻塞型潜污泵,并与潜水电机直接相连,泵送原生的和未经过过滤的污水。
2、潜污泵应能在全淹没或部分淹没的条件下能够连续运行,同时也能够间歇运行和长期停机后恢复正常启动运行。
3、★本项目的剩余污泥泵、回流泵、潜水推流器必须采用格兰富的产品。
4、★供应商需要提供以下设备技术资料:潜污泵安装平面图及剖面图;水泵总扬程以及泵必需NPSH和流量的关系曲线,性能特性曲线。
交货时提供设备的使用说明书,包括操作维修指南及备件图纸。
(二)供货范围水泵设备(包括泵壳、叶轮、机械密封、泵轴、潜水电机等)、水泵导杆、起吊链、耦合装置(含地脚螺栓)、固定螺栓、螺母、水下专用电缆、电缆护套、电缆固定绳及固定卡子、随机备品备件。
供应商提供的设备和电机应成套供货,每台设备应按设备清单中要求提供配套设备、水下电缆、电缆护套等有效安全安装、运行所必需的附件。
(三)运行要求1、运行条件和使用环境:环境温度0~40 C,工作环境相对湿度≥85%,介质为城市生活污水、污泥。
2、运行要求:所提供设备及设备的制造必须符合ISO、IEC标准或其他等效标准,这些等效标准必须取得业主代表同意。
水泵在正常运行时不能有不正常的噪声、振动和过热现象。
潜水排污泵应能根据泵房内水位自动启停,并能正常反馈或接受通讯信号。
设计的装置必须适合于安装设计所留出的空间。
(四)技术要求1、构造潜水离心泵采用立式耦合式安装方式方式,潜水电机与泵叶轮必须同轴相连。
在叶轮和电机室之间应有一个密封的油室,能够有效的防止水进入电机造成损坏。
泵的主件材质为DIN1691,GG25灰口铸铁,表面平滑、无砂眼、气孔或其它铸造缺陷。
壳体厚度应足以承受水压等荷载。
所有外露的螺栓螺母均由AISI304不锈钢制成。
除不锈钢外,所有与泵送液体接触的泵壳金属表面应均由环氧树脂涂层保护。
机械表面之间的密封是金属与金属接触,并嵌入腈橡胶O形环。
免税项目提交材料清单一、企业自市级技改主管部门接收材料(电子版,由县区技改部门转发)1、《技术改造项目进口设备免税确认申请表》2、《XX公司XX项目进口设备和技术清单》3、《国家鼓励发展的内外资项目确认书》(免税确认书)二、企业向市级技改主管部门提交存档的材料(纸质版)1、《技术改造项目进口设备免税确认申请表》1份(企业盖章、县区主管部门盖章)2、《XX公司XX项目进口设备和技术清单》 1份(企业盖章)3、《国家鼓励发展的内外资项目确认书》(免税确认书,不需要编号) 1份三、企业向省级技改主管部门提交、并由市级主管部门提前把关的材料(纸质版,只需企业盖章即可,县级主管部门不要盖章)1、《技术改造项目进口设备免税确认申请表》 5份(盖章)2、《XX公司XX项目进口设备和技术清单》 4份(盖章)3、《国家鼓励发展的内外资项目确认书》(免税确认书,不需要编号) 1份4、备案表格(含备案表、国产设备清单、进口设备清单、备案回执) 2套(原件)5、委托招标合同复印件、中标通知书复印件各2份(盖章)6、合同复印件 2份(盖章)7、法人营业执照复印件 2份(盖章)四、后续程序1、企业携带以上材料到市经信委技改科盖章,前来盖章前请通过电话预约时间。
2、在市经信委盖章后,由企业携带以上材料到省技改处报批,注意要携带单位介绍信、尽量携带企业公章。
3、企业到省技改处报批时,除了携带上述资料外,同时带齐各项文件的原件,以备核查。
4、在省技改处批复后,企业要将批复文件的扫描件发送至市技改科邮箱,并通过电话告知。
五、注意事项(一)享受免税的进口设备必须要接受一定期限的监管。
进口减免税货物的监管年限一般为5年,船舶、飞机为8年,机动车辆为6年。
在海关监管年限内,减免税申请人应当按照海关规定保管、使用进口减免税货物,并依法接受海关监管;未经海关许可,减免税申请人不得擅自将减免税货物转让、抵押、质押、移作他用或者进行其他处置。
(二)免税的进口设备必须经批准后方可改变使用状态等。
乐税智库文档财税法规策划 乐税网国家发展改革委关于办理内资项目《国家鼓励发展的内外资项目确认书》有关问题的通知【标 签】内资项目,国家鼓励发展,内外资项目确认书【颁布单位】国家发展改革委【文 号】发改规划﹝2003﹞900号【发文日期】2003-08-08【实施时间】2003-08-08【 有效性 】全文有效【税 种】其他国务院各部门,各省、自治区、直辖市及计划单列市计委、经贸委,新疆生产建设兵团计委、经贸委,各国家试点企业集团、中央管理企业、国家计划单列企业集团: 根据《国务院关于调整进口设备税收政策的通知》(国发[1997]37号)和《国务院办公厅关于印发国家发展和改革委员会主要职责、内设机构和人员编制规定的通知》(国办发 [2003] 27号)精神,为规范、统一有关基本建设和技术改造内资项目进口设备免税工作,现就有关问题通知如下: 一、关于适用范围 本通知适用于下列符合《当前国家重点鼓励发展的产业、产品和技术目录》的投资项目(以下简称内资项目)的免税确认工作。
具体范围包括: (一)国务院和国家发展改革委批准的内资项目; (二)原国家计委和原国家经贸委批准的内资基本建设和技术改造项目; (三)按《国家计委关于取消部分行政审批事项的通知》(计办 [2001] 2440号)规定,由有关单位批准的限额以上内资基本建设项目; (四)国家发展改革委、原国家计委、原国家经贸委授权或委托有关单位批准的限额以上内资项目; (五)国务院授权具有限额以下项目审批权、但无出具免税确认书资格的有关企业批准的限额以下内资项目; (六)国家发展改革委规定的其他内资项目。
二、关于免税确认书的办理 (一)申请办理免税确认书的程序 以上项目免税确认书的办理,需由国务院有关部门、各省级发展改革委、计委、经贸委(指各省、自治区、直辖市及计划单列市发展改革委、计委、经贸委,新疆生产建设兵团计委、经贸委,下同)及各有关企业(指各国家试点企业集团、中央管理企业、国家计划单列企业集团,下同)向国家发展改革委正式报文提出申请,经国家发展改革委审核同意后,出具免税确认书。
1、本项目采购内容含设备、安装调试等完成本项目的需求。
2、如果在技术参数或配置中标明了品牌或产地,则仅供参考,并非指定,供应商可以选用替代的方案,但这种替代整体上要优于或相当于询价文件的相关要求。
3、为鼓励不同品牌的充分竞争,如某货物的某技术参数或要求属于个别品牌专有,则该技术参数及要求不具有限制性,供应商可对该参数或要求进行适当调整,并应当说明调整的理由,且该调整须经评委会审核认可。
二、商务要求1、所有货物(包括零部件)须为全新的、未使用过的原装正品。
提交货物的技术参数和配置应与谈判文件的要求及其谈判响应文件的技术响应表(如果被评委会接受的话)相一致。
若谈判文件及谈判响应文件中无相应说明,则以国家有关部门最新颁布的相应标准及规范为准。
1.1供应商所投产品带★的技术参数、功能的响应情况应当提供医疗器械注册证或医疗器械注册登记表或第三方检验报告(含附件)或产品使用说明书或其他能够证明技术参数的材料等予以证明,否则评委会有权判定为不满足谈判文件要求。
2、供应商提供的相关技术证明文件(医疗器械注册证、医疗器械注册登记表、DATA SHEET、第三方检验报告、产品使用说明书)中关于同一技术参数的表述不一致时,相关技术证明文件的效力顺序依次为医疗器械注册证、医疗器械注册登记表、第三方检验报告、产品使用说明书、其他。
3、所有货物必须符合国家相关强制性要求。
4、技术支持4.1中标人应向采购人提供全方位及时而有效的技术支持和服务。
4.2中标人负责本项目供货与安装调试。
5、质保及售后服务:5.1供应商须至少提供2年的免费质保服务(自验收合格之日起计算)。
所有质保费用均已包含在投标总报价中。
质保期满后,应提供优先的有偿售后服务及按不高于谈判响应文件中主要配件、易损件清单所报价格供应原厂零配件等。
软件终身使用,质保期内软件免费升级服务。
5.2中标人须设有7×24小时维修服务电话,负责解答用户在系统使用中遇到的问题,及时提出解决问题的建议和操作方法。
一、采购清单及技术参数要求一、采购清单及技术参数要求实验室设备仪器采购需求设备名称参数数量1超净工作台1、外型尺寸1500(宽)×730(深)×1600(高)内部尺寸1360(宽)×690(深)×520(高)★2、过滤技术采用HLPA Filter(高效过滤技术)过滤效率99.995%(≥0.3μm颗粒)高效过滤器规格及数量6100*610*50*2只过滤膜材质为美国HV公司进口,并采用AIRTECH公司的自动生产线生产专利号:ZL200820109130.93、洁净度ISO5级(美联邦209E 100级)4、噪音≤62dB(A)5、振动半峰值≤3μm6、照度≥300Lu7、平均风速≥0.3m/s(三档调速)★8、日本AIRTECH技术,结构:全钢结构,工作台面采用SUS304优质不锈钢耐用易清洁,箱体采用宝钢产优质冷轧钢板静电涂装抗腐蚀能力强(粉为美国进口),流线型的豪华整机造型,使作业区气流受扰动最少。
★9.工作玻璃移门为进口定位控制系统,升降自如、定位准确、无故障、免维护,5并能完全关闭以便灭菌。
移门系统为AIRTECH专利号:ZL97235425510照明系统采用进口名牌灯具,护眼设计,照度大于国家标准。
11、带刹车装置的万向转动优质脚轮,移动灵活,固定方便可靠。
12、人性化的预过滤器快速更换与清洗设计使客户更感便捷。
13、带备用插座设计,可断电保护功能,使用安全方便。
荧光灯14W*213、专利作业区域(专利号ZL97235423.9)控制器(专利号ZL01272910.8)14、提供医疗器械注册证和认可表15.具有因停电,死机状态数据丢失而保护的参数记忆,来电恢复功能。
★16.安全柜带紫外灯预约,风机、紫外灯、高效过滤器累计运行时间显示等多项功能。
2高压灭菌锅一.性能指标*1生产厂家须具有特种设备(压力容器)制造许可证(不允许借用第三方资质)2.容量:80L,立式结构,底部带脚轮可放入直径38CM,高度58CM的灭菌架3.灭菌腔材料:SUS304不锈钢4.开盖方式:手旋式开盖,自感应连锁装置(机械式连锁装置),连锁可靠性强于电子式连锁装置,5时间范围:灭菌时间:1-6000分钟,融化时间:1-6000分钟,保温时间:1-7700分钟,2*6温度和压力:最高工作温度≥135℃设计压力0.3Mpa,安全阀起跳压力≥0.29Mpa7.记忆存储系统:可记忆存储20条灭菌程序*8.六级排汽方式:灭菌结束完成后,排气阀可按设定的六级排汽速度排汽,同时在排气过程中排汽速度可随时进行手动调整,优于传统的全排,不排,微排等排气方式。
资项目进口设备和技术清单格式一
(适用于限额以上资项目)
发改规划确字[200 ]** 号附表
*** 公司(印章) *** 项目进口设备和技术清单
单位:万美元
.页脚.
填表日期:联系人::
省发展和改革委员会初审意见国家发展和改革委员会发展规划司
审核意见
(盖章同意)(盖章同意)
第页共页
.页脚.
资项目进口设备和技术清单格式二
(适用于项目法人单位直接报送省发展改革委的限额以下资项目)
赣发改确字[200 ] ** 号附表
*** 公司(印章) *** 项目进口设备和技术清单
单位:万美元
.页脚.
填表日期:联系人::
省发展和改革委员会审核意见
(盖章同意)
第页共页
.页脚.
资项目进口设备和技术清单格式三
(适用于设区市发展改革委报送省发展改革委的限额以下资项目)
赣发改确字[200 ] ** 号附表
*** 公司(印章) *** 项目进口设备和技术清单单位:万美元
.页脚.
填表日期:联系人::
设区市发展和改革委初审意见省发展和改革委员会审核意见
(盖章同意)(盖章同意)
第页共页
.页脚.。