2011年中考数学试题分类7_分式与分式方程
- 格式:doc
- 大小:357.50 KB
- 文档页数:8
山西省中考数学计算真题汇总一.选择题(共1小题)1.分式方程的解为()A.x=﹣1 B.x=1 C.x=2 D.x=3二.填空题(共8小题)2.不等式组的解集是.3.化简的结果是.4.计算:=.5.计算:9x3÷(﹣3x2)=.6.方程=0的解为x=.7.方程的解是x=.8.分解因式:5x3﹣10x2+5x=.9.分解因式:ax4﹣9ay2=.三.解答题(共21小题)10.(1)计算:(﹣3)2﹣()﹣1﹣×+(﹣2)0(2)先化简,再求值:﹣,其中x=﹣2.11.解方程:2(x﹣3)2=x2﹣9.12.(1)计算:(﹣3﹣1)×﹣2﹣1÷.(2)解方程:=﹣.13.阅读与计算:请阅读以下材料,并完成相应的任务.斐波那契(约1170﹣1250)是意大利数学家,他研究了一列数,这列数非常奇妙,被称为斐波那契数列(按照一定顺序排列着的一列数称为数列).后来人们在研究它的过程中,发现了许多意想不到的结果,在实际生活中,很多花朵(如梅花、飞燕草、万寿菊等)的瓣数恰是斐波那契数列中的数.斐波那契数列还有很多有趣的性质,在实际生活中也有广泛的应用.斐波那契数列中的第n个数可以用[﹣]表示(其中,n≥1).这是用无理数表示有理数的一个范例.任务:请根据以上材料,通过计算求出斐波那契数列中的第1个数和第2个数.14.(1)计算:(﹣2)2•sin60°﹣()﹣1×;(2)分解因式:(x﹣1)(x﹣3)+1.15.解不等式组并求出它的正整数解:.16.(1)计算:sin45°﹣()0;(2)下面是小明化简分式的过程,请仔细阅读,并解答所提出的问题.解:﹣=﹣…第一步=2(x﹣2)﹣x+6…第二步=2x﹣4﹣x﹣6…第三步=x+2…第四步小明的解法从第步开始出现错误,正确的化简结果是.17.解方程:(2x﹣1)2=x(3x+2)﹣7.18.(1)计算:.(2)先化简,再求值.(2x+3)(2x﹣3)﹣4x(x﹣1)+(x﹣2)2,其中x=﹣.19.解方程:.20.(1)先化简.再求值:,其中.(2)解不等式组:,并把它的解集表示在数轴上.21.(1)计算:°+(2)先化简,再求值:•,其中x=﹣3.22.化简:23.(1)计算:(x+3)2﹣(x﹣1)(x﹣2)(2)化简:(3)解方程:x2﹣2x﹣3=024.计算:(3﹣π)0+4sin45°﹣+|1﹣|.25.解不等式组:.26.计算:()﹣2﹣(π﹣)0+|﹣2|+4sin60°.27.已知2a2+3a﹣6=0.求代数式3a(2a+1)﹣(2a+1)(2a﹣1)的值.28.解不等式组,并写出它的所有非负整数解.29.计算:(6﹣π)0+(﹣)﹣1﹣3tan30°+|﹣|30.已知x﹣y=,求代数式(x+1)2﹣2x+y(y﹣2x)的值.山西省中考数学计算真题汇总参考答案与试题解析一.选择题(共1小题)1.(2011•山西)分式方程的解为()A.x=﹣1 B.x=1 C.x=2 D.x=3【分析】观察可得最简公分母是2x(x+3),方程两边乘最简公分母,可以把分式方程转化为整式方程求解.【解答】解:方程的两边同乘2x(x+3),得x+3=4x,解得x=1.检验:把x=1代入2x(x+3)=8≠0.∴原方程的解为:x=1.故选B.【点评】本题考查了分式方程的解法,注:(1)解分式方程的基本思想是“转化思想”,把分式方程转化为整式方程求解.(2)解分式方程一定注意要验根.二.填空题(共8小题)2.(2012•山西)不等式组的解集是﹣1<x≤3.【分析】先求出两个不等式的解集,再求其公共解.【解答】解:,解不等式①得,x>﹣1,解不等式②得,x≤3,所以不等式组的解集是﹣1<x≤3.【点评】本题主要考查了一元一次不等式组解集的求法,其简便求法就是用口诀求解.求不等式组解集的口诀:同大取大,同小取小,大小小大中间找,大大小小找不到(无解).3.(2012•山西)化简的结果是.【分析】将原式第一项的第一个因式分子利用平方差公式分解因式,分母利用完全平方公式分解因式,第二个因式的分母提取x分解因式,约分后将第一项化为最简分式,然后利用同分母分式的加法法则计算后,即可得到结果.【解答】解:•+=•+=+=.故答案为:.【点评】此题考查了分式的混合运算,分式的加减运算关键是通分,通分的关键是找最简公分母;分式的乘除运算关键是约分,约分的关键是找公因式,约分时分式的分子分母出现多项式,应先将多项式分解因式后再约分.4.(2011•山西)计算:=.【分析】根据负指数幂、二次根式化简、特殊角的三角函数3个考点.在计算时,需要针对每个考点分别进行计算,然后根据实数的运算法则求得计算结果.【解答】解:原式=3+0.5﹣6×=,故答案为.【点评】本题是基础题,考查了实数的有关运算,还涉及了零指数幂、负指数幂、二次根式化简、绝对值等考点.5.(2010•山西)计算:9x3÷(﹣3x2)=﹣3x.【分析】根据单项式的除法和同底数幂相除,底数不变,指数相减,进行计算.【解答】解:9x3÷(﹣3x2)=﹣3x.【点评】本题主要考查单项式的除法,同底数幂的除法,熟练掌握运算法则和性质是解题的关键.6.(2010•山西)方程=0的解为x=5.【分析】观察可得最简公分母是(x+1)(x﹣2),方程两边乘以最简公分母,可以把分式方程化为整式方程,再求解.【解答】解:方程两边同乘以(x+1)(x﹣2),得2(x﹣2)﹣(x+1)=0,解得x=5.经检验:x=5是原方程的解.【点评】(1)解分式方程的基本思想是“转化思想”,把分式方程转化为整式方程求解.(2)解分式方程一定注意要验根.7.(2009•太原)方程的解是x=5.【分析】本题最简公分母为2x(x﹣1),去分母,转化为整式方程求解.结果要检验.【解答】解:方程两边同乘2x(x﹣1),得4x=5(x﹣1),去括号得4x=5x﹣5,移项得5x﹣4x=5,合并同类项得x=5.经检验x=5是原分式方程的解.【点评】解分式方程的基本思想是“转化思想”,把分式方程转化为整式方程求解,解分式方程一定注意要验根.8.(2015•北京)分解因式:5x3﹣10x2+5x=5x(x﹣1)2.【分析】先提取公因式5x,再根据完全平方公式进行二次分解.【解答】解:5x3﹣10x2+5x=5x(x2﹣2x+1)=5x(x﹣1)2.故答案为:5x(x﹣1)2.【点评】本题考查了提公因式法,公式法分解因式,提取公因式后利用完全平方公式进行二次分解,注意分解要彻底.9.(2014•北京)分解因式:ax4﹣9ay2=a(x2﹣3y)(x2+3y).【分析】首先提取公因式a,进而利用平方差公式进行分解即可.【解答】解:ax4﹣9ay2=a(x4﹣9y2)=a(x2﹣3y)(x2+3y).故答案为:a(x2﹣3y)(x2+3y).【点评】此题主要考查了提公因式法与公式法的综合运用,正确利用平方差公式是解题关键.三.解答题(共21小题)10.(2016•山西)(1)计算:(﹣3)2﹣()﹣1﹣×+(﹣2)0(2)先化简,再求值:﹣,其中x=﹣2.【分析】(1)根据实数的运算顺序,首先计算乘方和乘法,然后从左到右依次计算,求出算式(﹣3)2﹣()﹣1﹣×+(﹣2)0的值是多少即可.(2)先把﹣化简为最简分式,再把x=﹣2代入求值即可.【解答】解:(1)(﹣3)2﹣()﹣1﹣×+(﹣2)0=9﹣5﹣4+1=1(2)x=﹣2时,﹣=﹣=﹣===2【点评】(1)此题主要考查了实数的运算,要熟练掌握,解答此题的关键是要明确:在进行实数运算时,和有理数运算一样,要从高级到低级,即先算乘方、开方,再算乘除,最后算加减,有括号的要先算括号里面的,同级运算要按照从左到右的顺序进行.另外,有理数的运算律在实数范围内仍然适用.(2)此题还考查了零指数幂的运算,要熟练掌握,解答此题的关键是要明确:①a0=1(a ≠0);②00≠1.(3)此题还考查了分式的化简求值,要熟练掌握,解答此题的关键是要明确:一般是先化简为最简分式或整式,再代入求值.化简时不能跨度太大,而缺少必要的步骤.(4)此题还考查了负整数指数幂的运算,要熟练掌握,解答此题的关键是要明确:①a﹣p=(a≠0,p为正整数);②计算负整数指数幂时,一定要根据负整数指数幂的意义计算;③当底数是分数时,只要把分子、分母颠倒,负指数就可变为正指数.11.(2016•山西)解方程:2(x﹣3)2=x2﹣9.【分析】方程移项后,提取公因式化为积的形式,然后利用两数相乘积为0,两因式中至少有一个为0转化为两个一元一次方程来求解.【解答】解:方程变形得:2(x﹣3)2﹣(x+3)(x﹣3)=0,分解因式得:(x﹣3)(2x﹣6﹣x﹣3)=0,解得:x1=3,x2=9.【点评】此题考查了解一元二次方程﹣因式分解法,熟练掌握因式分解法是解本题的关键.12.(2015•山西)(1)计算:(﹣3﹣1)×﹣2﹣1÷.(2)解方程:=﹣.【分析】(1)原式先计算乘方运算,再计算乘除运算,最后算加减运算即可得到结果;(2)分式方程去分母转化为整式方程,求出整式方程的解得到x的值,经检验即可得到分式方程的解.【解答】解:(1)原式=﹣4×﹣÷(﹣)=﹣9+4=﹣5;(2)去分母得:2=2x﹣1﹣3,解得:x=3,经检验x=3是分式方程的解.【点评】此题考查了解分式方程,解分式方程的基本思想是“转化思想”,把分式方程转化为整式方程求解.解分式方程一定注意要验根.13.(2015•山西)阅读与计算:请阅读以下材料,并完成相应的任务.斐波那契(约1170﹣1250)是意大利数学家,他研究了一列数,这列数非常奇妙,被称为斐波那契数列(按照一定顺序排列着的一列数称为数列).后来人们在研究它的过程中,发现了许多意想不到的结果,在实际生活中,很多花朵(如梅花、飞燕草、万寿菊等)的瓣数恰是斐波那契数列中的数.斐波那契数列还有很多有趣的性质,在实际生活中也有广泛的应用.斐波那契数列中的第n个数可以用[﹣]表示(其中,n≥1).这是用无理数表示有理数的一个范例.任务:请根据以上材料,通过计算求出斐波那契数列中的第1个数和第2个数.【分析】分别把1、2代入式子化简求得答案即可.【解答】解:第1个数,当n=1时,[﹣]=(﹣)=×=1.第2个数,当n=2时,[﹣]=[()2﹣()2]=×(+)(﹣)=×1×=1.【点评】此题考查二次根式的混合运算与化简求值,理解题意,找出运算的方法是解决问题的关键.14.(2014•山西)(1)计算:(﹣2)2•sin60°﹣()﹣1×;(2)分解因式:(x﹣1)(x﹣3)+1.【分析】(1)本题涉及零指数幂、乘方、特殊角的三角函数值、二次根式化简四个考点.针对每个考点分别进行计算,然后根据实数的运算法则求得计算结果;(2)根据整式的乘法,可得多项式,根据因式分解的方法,可得答案.【解答】解:(1)原式=2﹣2×=﹣2;(2)原式=x2﹣4x+3+1=(x﹣2)2.【点评】本题考查实数的综合运算能力,是各地中考题中常见的计算题型.解决此类题目的关键是熟记特殊角的三角函数值,熟练掌握负整数指数幂、零指数幂、二次根式、绝对值等考点的运算.15.(2014•山西)解不等式组并求出它的正整数解:.【分析】先求出不等式组中每一个不等式的解集,再求出它们的公共部分就是不等式组的解集.【解答】解:解①得:x>﹣,解②得:x≤2,则不等式组的解集是:﹣<x≤2.则正整数解是:1,2【点评】本题考查的是一元一次不等式组的解,解此类题目常常要结合数轴来判断.还可以观察不等式的解,若x>较小的数、<较大的数,那么解集为x介于两数之间.16.(2013•山西)(1)计算:sin45°﹣()0;(2)下面是小明化简分式的过程,请仔细阅读,并解答所提出的问题.解:﹣=﹣…第一步=2(x﹣2)﹣x+6…第二步=2x﹣4﹣x﹣6…第三步=x+2…第四步小明的解法从第二步开始出现错误,正确的化简结果是.【分析】(1)根据特殊角的三角函数值,0指数幂的定义解答;(2)先通分,后加减,再约分.【解答】(1)解:原式=×﹣1=1﹣1=0.(2)解:﹣=﹣====.于是可得,小明的解法从第二步开始出现错误,正确的化简结果是.故答案为二,.【点评】(1)本题考查了特殊角的三角函数值,0指数幂,是一道简单的杂烩题;(2)本题考查了分式的加减,要注意,不能去分母.17.(2013•太原)解方程:(2x﹣1)2=x(3x+2)﹣7.【分析】根据配方法的步骤先把方程转化成标准形式,再进行配方即可求出答案.【解答】解:(2x﹣1)2=x(3x+2)﹣7,4x2﹣4x+1=3x2+2x﹣7,x2﹣6x=﹣8,(x﹣3)2=1,x﹣3=±1,x1=2,x2=4.【点评】此题考查了配方法解一元二次方程,掌握配方法的一般步骤:(1)把常数项移到等号的右边;(2)把二次项的系数化为1;(3)等式两边同时加上一次项系数一半的平方是解题的关键,是一道基础题.18.(2012•山西)(1)计算:.(2)先化简,再求值.(2x+3)(2x﹣3)﹣4x(x﹣1)+(x﹣2)2,其中x=﹣.【分析】(1)分别根据0指数幂、负整数指数幂、特殊角的三角函数值计算出各数,再根据实数混合运算的法则进行解答即可;(2)先根据整式混合运算的法则把原式进行化简,再把x的值代入进行计算即可.【解答】解:(1)原式=1+2×﹣3=1+3﹣3=1;(2)原式=4x2﹣9﹣4x2+4x+x2﹣4x+4=x2﹣5.当x=﹣时,原式=(﹣)2﹣5=3﹣5=﹣2.【点评】本题考查的是实数的混合运算及整式的化简求值,熟记0指数幂、负整数指数幂、特殊角的三角函数值计算法则及整式混合运算的法则是解答此题的关键.19.(2012•山西)解方程:.【分析】先去分母把分式方程化为整式方程,求出整式方程中x的值,代入公分母进行检验即可.【解答】解:方程两边同时乘以2(3x﹣1),得4﹣2(3x﹣1)=3,化简,﹣6x=﹣3,解得x=.检验:x=时,2(3x﹣1)=2×(3×﹣1)≠0所以,x=是原方程的解.【点评】本题考查的是解分式方程.在解答此类题目时要注意验根,这是此类题目易忽略的地方.20.(2011•山西)(1)先化简.再求值:,其中.(2)解不等式组:,并把它的解集表示在数轴上.【分析】(1)将分式的分子、分母因式分解,约分,通分化简,再代值计算;(2)先分别解每一个不等式,再求解集的公共部分,用数轴表示出来.【解答】解:(1)原式=•﹣=﹣===,当a=﹣时,原式==﹣2;(2)由①得,x≥﹣1,由②得,x<2∴不等式组的解集为﹣1≤x<2.用数轴上表示如图所示.【点评】本题考查了分式的化简求值解一元一次不等式组.分式化简求值的关键是把分式化到最简,然后代值计算,解一元一次不等式组,就是先分别解每一个不等式,再求解集的公共部分.21.(2010•山西)(1)计算:°+(2)先化简,再求值:•,其中x=﹣3.【分析】(1)先把根式化成最简根式,把三角函数化为实数,再计算;(2)先对括号里的分式通分、对分解因式,再去括号化简求值.【解答】解:(1)原式=3+(﹣8)﹣+1 (4分)=3﹣8﹣1+1=﹣5.(5分)(2)原式=•(1分)=(2分)==(3分)=x+2.(4分)当x=﹣3时,原式=﹣3+2=﹣1.(5分)【点评】考查了实数的运算和分式的化简求值,熟练掌握和运用有关法则是关键.22.(2009•太原)化简:【分析】首先把括号里的式子进行通分,然后把除法运算转化成乘法运算,进行约分化简.【解答】解:原式===1.【点评】解决本题的关键是分式的通分和分式的乘法中的约分.要先化简后计算.23.(2009•山西)(1)计算:(x+3)2﹣(x﹣1)(x﹣2)(2)化简:(3)解方程:x2﹣2x﹣3=0【分析】(1)首先计算一次式的平方和两个一次式的积,然后进行减法计算即可;(2)首先把第一个分式进行化简转化为同分母的分式的加法,即可计算;(3)利用配方法,移项使方程的右边只有常数项,方程两边同时加上一次项系数的一半,则左边是完全平方式,右边是常数,即可利用直接开平方法求解.【解答】解:(1)(x+3)2﹣(x﹣1)(x﹣2)=x2+6x+9﹣(x2﹣3x+2)=x2+6x+9﹣x2+3x﹣2=9x+7.(2)===1.(3)移项,得x2﹣2x=3,配方,得(x﹣1)2=4,∴x﹣1=±2,∴x1=﹣1,x2=3.【点评】(1)解决本题的关键是掌握整式乘法法则;(2)本题主要考查分式运算的掌握情况;(3)本题主要考查了配方法解一元二次方程,正确理解解题步骤是解题关键.24.(2016•北京)计算:(3﹣π)0+4sin45°﹣+|1﹣|.【分析】根据实数的运算顺序,首先计算乘方、开方和乘法,然后从左向右依次计算,求出算式(3﹣π)0+4sin45°﹣+|1﹣|的值是多少即可.【解答】解:(3﹣π)0+4sin45°﹣+|1﹣|=1+4×﹣2﹣1=1﹣2+﹣1=【点评】(1)此题主要考查了实数的运算,要熟练掌握,解答此题的关键是要明确:在进行实数运算时,和有理数运算一样,要从高级到低级,即先算乘方、开方,再算乘除,最后算加减,有括号的要先算括号里面的,同级运算要按照从左到右的顺序进行.另外,有理数的运算律在实数范围内仍然适用.(2)此题还考查了零指数幂的运算,要熟练掌握,解答此题的关键是要明确:①a0=1(a ≠0);②00≠1.(3)此题还考查了特殊角的三角函数值,要牢记30°、45°、60°角的各种三角函数值.25.(2016•北京)解不等式组:.【分析】根据不等式性质分别求出每一个不等式的解集,再根据口诀:大小小大中间找可得不等式组的解集.【解答】解:解不等式2x+5>3(x﹣1),得:x<8,解不等式4x>,得:x>1,∴不等式组的解集为:1<x<8.【点评】本题考查的是解一元一次不等式组,正确求出每一个不等式解集是基础,熟知“同大取大;同小取小;大小小大中间找;大大小小找不到”的原则是解答此题的关键.26.(2015•北京)计算:()﹣2﹣(π﹣)0+|﹣2|+4sin60°.【分析】原式第一项利用负整数指数幂法则计算,第二项利用零指数幂法则计算,第三项利用绝对值的代数意义化简,最后一项利用特殊角的三角函数值计算即可得到结果.【解答】解:原式=4﹣1+2﹣+4×=5+.【点评】此题考查了实数的运算,熟练掌握运算法则是解本题的关键.27.(2015•北京)已知2a2+3a﹣6=0.求代数式3a(2a+1)﹣(2a+1)(2a﹣1)的值.【分析】原式第一项利用单项式乘以多项式法则计算,第二项利用平方差公式化简,去括号合并得到最简结果,把已知等式变形后代入计算即可求出值.【解答】解:∵2a2+3a﹣6=0,即2a2+3a=6,∴原式=6a2+3a﹣4a2+1=2a2+3a+1=6+1=7.【点评】此题考查了整式的混合运算﹣化简求值,熟练掌握运算法则是解本题的关键.28.(2015•北京)解不等式组,并写出它的所有非负整数解.【分析】分别求出不等式组中两不等式的解集,找出解集的公共部分确定出不等式组的解集,即可确定出所有非负整数解.【解答】解:,由①得:x≥﹣2;由②得:x<,∴不等式组的解集为﹣2≤x<,则不等式组的所有非负整数解为:0,1,2,3.【点评】此题考查了解一元一次不等式组,以及一元一次不等式组的整数解,熟练掌握运算法则是解本题的关键.29.(2014•北京)计算:(6﹣π)0+(﹣)﹣1﹣3tan30°+|﹣|【分析】本题涉及零指数幂、负整指数幂、特殊角的三角函数值、二次根式化简四个考点.针对每个考点分别进行计算,然后根据实数的运算法则求得计算结果.【解答】解:原式=1﹣5﹣+=﹣4.【点评】本题考查实数的综合运算能力,是各地中考题中常见的计算题型.解决此类题目的关键是熟记特殊角的三角函数值,熟练掌握负整数指数幂、零指数幂、二次根式、绝对值等考点的运算.30.(2014•北京)已知x﹣y=,求代数式(x+1)2﹣2x+y(y﹣2x)的值.【分析】先把代数式计算,进一步化简,再整体代入x﹣y=,求得数值即可.【解答】解:∵x﹣y=,∴(x+1)2﹣2x+y(y﹣2x)=x2+2x+1﹣2x+y2﹣2xy=x2+y2﹣2xy+1=(x﹣y)2+1=()2+1=3+1=4.【点评】此题考查整式的混合运算与化简求值,注意先化简,再整体代入求值.。
山西省2011年中考数学试题第Ⅰ卷 选择题 (共24分)一、选择题 (本大题共l2个小题,每小题2分,共24分)1. 6-的相反数是(D) A .6- B .16- C .16D . 6 考点:七年级上册 第一章 有理数 相反数.分析:相反数就是只有符号不同的两个数.解答:解:根据概念,与-6只有符号不同的数是6.即-6的相反数是6.故选D .例题:-2+5的相反数是( )A .3B .-3C .-7D .72.点(一2.1)所在的象限是(B )A .第一象限B .第二象限C .第三象限D .第四象限考点:七年级下册 第六章 平面直角坐标系 点的坐标.分析:根据点在第二象限内的坐标特点解答即可.解答:解:∵A (-2,1)的横坐标小于0,纵坐标大于0,∴点在第二象限,故选B .例题:如图,在平面直角坐标系中,点P 的坐标是( )A .(1,2)B .(2,1)C .(-1,2)D .(2,-1)3.下列运算正确的是( A )A .236(2)8a a -=- B .3362a a a += C .632a a a ÷= D .3332a a a ⋅= 考点:七年级上册 第一章 有理数 同底数幂的除法;合并同类项;同底数幂的乘法;幂的乘方与积的乘方.分析:根据同底数幂的除法,底数不变指数相减;合并同类项,系数相加字母和字母的指数不变;同底数幂的乘法,底数不变指数相加;幂的乘方,底数不变指数相乘,对各选项计算后利用排除法求解. 解答:解:A 项幂的乘方和积的乘方,本选项正确,B 项为合并同类项,系数相加字母和字母的指数不变,故本选项错误,C 项为同底数幂的除法,底数不变指数相减,故本选型错误,D 项为同底数幂的乘法,底数不变指数相加,故本选项错误.故选择A .例题: 下列合并同类项正确的有( )A .2x+4x=8x 2B .3x+2y=5xyC .7x 2-3x 2=4D .9a 2b-9ba 2=04.2011年第一季度.我省固定资产投资完成475.6亿元.这个数据用科学记数法可表示为( C )A .947.5610⨯元B .110.475610⨯元C .104.75610⨯元 D. 94.75610⨯元考点:七年级上册 第一章 有理数 科学记数法—表示较大的数.分析:科学记数法的表示形式为a×10n 的形式,其中1≤|a|<10,n 为整数.确定n 的值时,要看把原数变成a 时,小数点移动了多少位,n 的绝对值与小数点移动的位数相同.当原数绝对值>1时,n 是正数;当原数的绝对值<1时,n 是负数.解答:解:将475.6亿元用科学记数法表示为4.756×1010.故选C .例题:2011年4月28日,国家统计局公布了第六次全国人口普查结果,总人口为1 339 000 000人,将1 339 000 000用科学记数法表示为( )A .1.339×108B .13.39×108C .1.339×109D .1.339×10105.如图所示,∠AOB 的两边.OA 、OB 均为平面反光镜,∠AOB=35°,在OB 上有一点E ,从E 点射出一束光线经OA 上的点D 反射后,反射光线DC 恰好与OB 平行,则∠DEB 的度数是(B )A .35°B .70°C .110°D .120°考点:七年级下册第五章相交线与平行线平行线的性质.分析:过点D作DF⊥AO交OB于点F.根据题意知,DF是∠CDE的角平分线,∴∠1=∠3;然后又由两直线CD∥OB推知内错角∠1=∠2;最后由三角形的内角和定理求得∠DEB的度数是70°.解答:解:过点D作DF⊥AO交OB于点F.∵入射角等于反射角,∴∠1=∠3,∵CD∥OB,∴∠1=∠2(两直线平行,内错角相等);∴∠2=∠3(等量代换);在Rt△DOF中,∠ODF=90°,∠AOB=35°,∴∠2=55°;∴在△DEF中,∠DEB=180°-2∠2=70°.故选B.例题:把一块直尺与一块三角板如图放置,若∠1=45°,则∠2的度数为()A.115°B.120°C.145°D.135°6.将一个矩形纸片依次按图(1)、图(2)的方式对折,然后沿图(3)中的虚线裁剪,最后将图(4)的纸再展开铺平,所得到的图案是(A )考点:八年级上册 第十二章 轴对称 剪纸问题.分析:按照题意要求,动手操作一下,可得到正确的答案.解答:解:严格按照图中的顺序先向上再向右对折,从左下方角剪去一个直角三角形,展开得到结论. 故选A .例题: 在如图所示的四个剪纸图案中,形如轴对称图形的图案是( )A .B .C .D . 7.一个正多边形,它的每一个外角都等于45°,则该正多边形是( C ) A .正六边形 B .正七边形 C .正八边形 D .正九边形考点:七年级下册 第七章 三角形 多边形内角与外角.分析:多边形的外角和是360度,因为是正多边形,所以每一个外角都是45°,即可得到外角的个数,从而确定多边形的边数.解答:解:360÷45=8,所以这个正多边形是正八边形.故选C .例题:一个多边形的内角和是720°,这个多边形的边数是( )A .4B .5C .6D .78.如图是一个工件的三视图,图中标有尺寸,则这个工件的体积是( B lA .13π2cmB .17π2cmC .66π2cmD .68π2cm考点:九年级下册 第二十九章 投影与视图 圆柱的计算;由三视图判断几何体.分析:根据三视图可知该几何体是两个圆柱体叠加在一起,体积是两个圆柱体的体积的和.解答:解:根据三视图可知该几何体是两个圆柱体叠加在一起,底面直径分别是2cm 和4cm ,高分别是4cm 和1cm ,∴体积为:4π×22+π=17πcm3.故选B .例题: 一个几何体的三视图如图所示,该几何体的内接圆柱侧面积的最大值为.9.分式方程1223x x =+的解为( B } A .1x =- B .1x = C .2x = D . 3x =考点:八年级下册 第十六章 分式 解分式方程.分析:观察可得最简公分母是2x (x+3),方程两边乘最简公分母,可以把分式方程转化为整式方程求解. 解答:解:方程的两边同乘2x (x+3),得x+3=4x ,解得x=1.检验:把x=1代入2x (x+3)=8≠0.∴原方程的解为:x=1. 故选B . 例题:A .-1B .0C .1D .10.“五一”节期间,某电器按成本价提高30%后标价,-再打8折(标价的80%)销售,售价为2080元.设该电器的成本价为x 元,根据题意,下面所列方程正确的是( A )A .(130%)80%2080x +⨯=B .30%80%2080x ⋅⋅=C .208030%80%x ⨯⨯=D .30%208080%x ⋅=⨯考点:七年级上册 第三章 一元一次方程 由实际问题抽象出一元一次方程.分析:设该电器的成本价为x 元,根据按成本价提高30%后标价,再打8折(标价的80%)销售,售价为2080元可列出方程.解答:解:设该电器的成本价为x 元,x (1+30%)×80%=2080.故选A .例题:小芬买15份礼物,共花了900元,已知每份礼物内都有1包饼干及每支售价20元的棒棒糖2支,若每包饼干的售价为x 元,则依题意可列出下列哪一个一元一次方程式( )A .15(2x+20)=900B .15x+20×2=900C .15(x+20×2)=900D .15×x ×2+20=90011.如图,△ABC 中,AB=AC ,点D 、E 分别是边AB 、AC 的中点,点G 、F 在BC 边上,四边形DEFG 是正方形.若DE=2cm ,则AC 的长为 (D)A .33cmB .4cmC .23cmD .25cm考点:七年级下册 第七章 三角形 三角形中位线定理;八年级上册 第十二章 轴对称 等腰三角形的性质;八年级下册 第十八章 勾股定理 勾股定理;八年级下册 第十九章 四边形 正方形的性质.分析:根据三角形的中位线定理可得出BC=4,由AB=AC ,可证明BG=CF=1,由勾股定理求出CE ,即可得出AC 的长.解答:解:∵点D 、E 分别是边AB 、AC 的中点,∴DE=BC ,∵DE=2cm ,∴BC=4cm ,∵AB=AC ,四边形DEFG 是正方形.∴△BDG ≌△CEF ,∴BG=CF=1,∴EC=,∴AC=2cm .故选D .例题:、如图,在正方形网格上,与△ABC 相似的三角形是( )A .△NBDB .△MBDC .△EBD D .△FBD12.已知二次函数2y ax bx c =++的图象如图所尔,对称轴为直线x=1,则下列结论正确的是( B )A ,0ac >B .方程20ax bx c ++=的两根是1213x x =-=,C .20a b -=D .当x>0时,y 随x 的增大而减小.考点:九年级下册 第二十六章 二次函数 二次函数图象与系数的关系;抛物线与x 轴的交点.分析:根据抛物线的开口方向,对称轴,与x 轴、y 轴的交点,逐一判断.解答:解:A 、∵抛物线开口向下,与y 轴交于正半轴,∴a <0,c >0,ac <0,故本选项错误;B 、∵抛物线对称轴是x=1,与x 轴交于(3,0),∴抛物线与x 轴另一交点为(-1,0),即方程ax2+bx+c=0的两根是x1=-1,x2=3,故本选项正确;C 、∵抛物线对称轴为x=-=1,∴b=-2a ,∴2a+b=0,故本选项错误;D 、∵抛物线对称轴为x=1,开口向下,∴当x >1时,y 随x 的增大而减小,故本选项错误.故选B .例题:下列二次函数中,( )的图象与x 轴没有交点.A .y=3x2B .y=2x2-4C .y=3x2-3x+5D .y=8x2+5x-3第Ⅱ卷 非选择题 (共96分)二、填空题(本大题共6个小题,每小题3分,共l8分.)13. 计算:101826sin 45-+-=_________(12) 考点:七年级上册 第一章 有理数 负整数指数幂;八年级上册 第十三章 实数 实数的运算; 九年级下册 第二十八章 锐角三角函数 特殊角的三角函数值.分析:根据负指数幂、二次根式化简、特殊角的三角函数3个考点.在计算时,需要针对每个考点分别进行计算,然后根据实数的运算法则求得计算结果.解答:解:原式=3+0.5-6×=,故答案为.例题:14.如图,四边形ABCD是平行四边形,添加一个条件__________________,可使它成为矩形.(∠ABC=90°或AC=BD)考点:八年级下册第十九章四边形矩形的判定;平行四边形的性质.分析:根据矩形的判定定理:①对角线相等的平行四边形是矩形,②有一个角是直角的平行四边形是矩形,直接添加条件即可.解答:解:根据矩形的判定定理:对角线相等的平行四边形是矩形,有一个角是直角的平行四边形是矩形故添加条件:∠ABC=90°或AC=BD.故答案为:∠ABC=90°或AC=BD.例题:能判定平行四边形是矩形的条件是()A.对角线互相平分B.对角线互相垂直C.对角线互相垂直平分D.对角线相等15.“十二五”时期,山西将建成中西部旅游强省,以旅游业为龙头的服务业将成为推动山西经济发展的丰要动力.2010年全省全年旅游总收入大约l000亿元,如果到2012年全省每年旅游总收入要达到1440亿元,那么年平均增长率应为___________。
第17章 事件与概率一、选择题1. (2011广东东莞,4,3分)在一个不透明的口袋中,装有5个红球3个白球,它们除颜色外都相同,从中任意摸出一个球,摸到红球的概率为( )A .15B .13C .58D .38【答案】C2. (2011福建福州,8,4分)从1,2,-3三个数中,随机抽取两个数相乘,积是正数的概率是( )A .0B .13C .23D . 1 【答案】B3. (2011山东滨州,4,3分)四张质地、大小、背面完全相同的卡片上,正面分别画有圆、矩形、等边三角形、等腰梯形四个图案.现把它们的正面向下随机摆放在桌面上,从中任意抽出一张,则抽出的卡片正面图案是中心对称图形的概率为( ) A. 14 B. 12 C. 34D. 1 【答案】B4. (2011山东日照,8,3分)两个正四面体骰子的各面上分别标明数字1,2,3,4,如同时投掷这两个正四面体骰子,则着地的面所得的点数之和等于5的概率为( )(A ) 41 (B )163 (C )43 (D )83 【答案】A5. (2011山东泰安,16 ,3分)袋中装有编号为1,2,3的三个质地均匀、大小相同的球,从中随机取出一球记下编号后,放入袋中搅匀,再从袋中随机取出一球,两次所取球的编号相同的概率为A.19B.16C.13D.12【答案】C6. (2011 浙江湖州,6,3)下列事件中,必然事件是A .掷一枚硬币,正面朝上.B .a 是实数,l a l ≥0.C .某运动员跳高的最好成绩是20 .1米.D .从车间刚生产的产品中任意抽取一个,是次品.【答案】B7. (2011浙江衢州,1,3分)5月19日为中国旅游日,衢州推出“读万卷书,行万里路,游衢州景”的主题系列旅游惠民活动,市民王先生准备在优惠日当天上午从孔氏南宗家庙。
烂柯河、龙游石窟中随机选择一个地点;下午从江郎山、三衢石林、开化根博园中随机选择一个地点游玩.则王先生恰好上午选中孔氏南宗庙,下午选中江郎山这两个地点的概率是( ) A. 19 B. 13 C. 23 D. 29【答案】A8. (2011浙江绍兴,7,4分)在一个不透明的盒子中装有8个白球,若干个黄球,它们除颜色不同外,其余均相同.若从中随机摸出一个球,它是白球的概率为23,则黄球的个数为( )A.2B.4C.12D.16【答案】B9. (2011浙江义乌,9,3分)某校安排三辆车,组织九年级学生团员去敬老院参加学雷 锋活动,其中小王与小菲都可以从这三辆车中任选一辆搭乘,则小王与小菲同车的概率为( )A .13B .19C .12D .23【答案】A10.(2011浙江省嘉兴,12,5分)从标有1到9序号的9张卡片中任意抽取一张,抽到序号是3的倍数的概率是 . A 31 B 91 C 32 D 97【答案】A 11. (2011台湾台北,3)表(一)表示某签筒中各种签的数量。
分式与分式方程一.选择题1.(2015•淄博第10题,4分)若关于x 的方程+=2的解为正数,则m 的取值范围是( )A . m <6B .m >6C . m <6且m ≠0D . m >6且m ≠8考点: 分式方程的解..分析: 先得出分式方程的解,再得出关于m 的不等式,解答即可. 解答: 解:原方程化为整式方程得:2﹣x ﹣m =2(x ﹣2), 解得:x =2﹣, 因为关于x 的方程+=2的解为正数,可得:,解得:m <6,因为x =2时原方程无解, 所以可得,解得:m ≠0. 故选C .点评: 此题考查分式方程,关键是根据分式方程的解法进行分析. 2、(2015•四川自贡,第3题4分)方程-=+2x 10x 1的解是( ) A .1或-1 B .-1 C .0 D .1 考点:解分式方程、分式方程的解.分析:解分式方程关键是去分母化为整式方程来解,但整式方程的解不一定是分式方程的解,要注意代入最简公分母验根(代入最简公分母后所得到值不能为0).略解:去分母:-=2x 10,解得:,==-12x 1x 1;把,==-12x 1x 1代入+=x 10后知=-x 1不是原分式方程的解,原分式方程的解=x 1.故选D .3. (2015•浙江金华,第2题3分)要使分式1x 2+有意义,则x 的取值应满足【 】A . x 2=-B . x 2≠-C . x 2>-D . x 2≠- 【答案】D .【考点】分式有意义的条件.【分析】根据分式分母不为0的条件,要使1x 2+在实数范围内有意义,必须x 20x 2+≠⇒≠-.故选D .5. (2015•四川省内江市,第5题,3分)函数y =+中自变量x 的取值范围是( )A . x ≤2B .x ≤2且x ≠1 C . x <2且x ≠1 D . x ≠1考点: 函数自变量的取值范围..分析: 根据二次根式的性质和分式的意义,被开方数大于等于0,分母不等于0,就可以求解. 解答: 解:根据二次根式有意义,分式有意义得:2﹣x ≥0且x ﹣1≠0, 解得:x ≤2且x ≠1. 故选:B .点评: 本题考查函数自变量的取值范围,涉及的知识点为:分式有意义,分母不为0;二次根式的被开方数是非负数.6. (2015•浙江省绍兴市,第6题,4分)化简xx x -+-1112的结果是A . 1+xB .11+x C . 1-x D . 1-x x考点:分式的加减法.. 专题:计算题.分析:原式变形后,利用同分母分式的减法法则计算即可得到结果.解答:解:原式=﹣===x +1.故选A点评:此题考查了分式的加减法,熟练掌握运算法则是解本题的关键.7.(2015·南宁,第12题3分)对于两个不相等的实数a 、b ,我们规定符号Max {a ,b }表示a 、b 中的较大值,如:Max {2,4}=4,按照这个规定,方程{}xx x x Max 12,+=-的解为( ). (A )21- (B )22- (C )2121-+或 (D )121-+或 考点:解分式方程.. 专题:新定义.分析:根据x 与﹣x 的大小关系,取x 与﹣x 中的最大值化简所求方程,求出解即可. 解答:解:当x <﹣x ,即x <0时,所求方程变形得:﹣x =,去分母得:x 2+2x +1=0,即x =﹣1;当x >﹣x ,即x >0时,所求方程变形得:x =,即x 2﹣2x =1,解得:x =1+或x =1﹣(舍去),经检验x =﹣1与x =1+都为分式方程的解.故选D .点评:此题考查了解分式方程,解分式方程的基本思想是“转化思想”,把分式方程转化为整式方程求解.解分式方程一定注意要验根.8. (2015山东济宁,8,3分)解分式方程时,去分母后变形正确的为( )A .2+(x +2)=3(x -1)B .2-x +2=3(x -1)C .2-(x +2)=3D . 2-(x +2)=3(x -1) 【答案】D 【解析】试题分析: 根据分式方程的特点, 原方程化为:,去分母时,两边同乘以x -1,得:.故选D考点:分式方程的去分母9. (2015•浙江衢州,第18题6分)先化简,再求值:,其中.【答案】解:原式=,当时,原式=【考点】分式的化简求值.【分析】将被除式因式分解,除法变乘法,约分化简,最后代求值即可.10.(2015•甘肃武威,第20题4分)先化简,再求值:÷(1﹣),其中x=0.考点:分式的化简求值.分析:先根据分式混合运算的法则把原式进行化简,再把x=0代入进行计算即可.解答:解:原式=÷(﹣)=•=,当x=0时,原式=.点评:本题考查的是分式的化简求值,熟知分式混合运算的法则是解答此题的关键.11.(2015•广东佛山,第17题6分)计算:﹣.考点:分式的加减法.专题:计算题.分析:原式通分并利用同分母分式的减法法则计算,约分即可得到结果.解答:解:原式=﹣==.点评:此题考查了分式的加减法,熟练掌握运算法则是解本题的关键.12.(2015•广东广州,第19题10分)已知A=﹣(1)化简A;(2)当x满足不等式组,且x为整数时,求A的值.考点:分式的化简求值;一元一次不等式组的整数解.分析:(1)根据分式四则混合运算的运算法则,把A式进行化简即可.(2)首先求出不等式组的解集,然后根据x为整数求出x的值,再把求出的x的值代入化简后的A式进行计算即可.解答:解:(1)A=﹣=﹣=﹣=(2)∵∴∴1≤x<3,∵x为整数,∴x=1或x=2,①当x=1时,∵x﹣1≠0,∴A=中x≠1,∴当x=1时,A=无意义.②当x=2时,A==.点评:(1)此题主要考查了分式的化简求值,注意化简时不能跨度太大,而缺少必要的步骤.(2)此题还考查了求一元一次不等式组的整数解问题,要熟练掌握,解决此类问题的关键在于正确解得不等式组或不等式的解集,然后再根据题目中对于解集的限制得到下一步所需要的条件,再根据得到的条件求得不等式组的整数解即可.13、(2015·湖南省常德市,第7题3分)分式方程23122xx x+=--的解为:A 、1B 、2C 、13D 、0【解答与分析】这是分式方程的解法:答案为A14.(2015·湖南省益阳市,第6题5分)下列等式成立的是( )A .+=B .=C . =D . =﹣考点: 分式的混合运算. 专题: 计算题.分析: 原式各项计算得到结果,即可做出判断. 解答: 解:A 、原式=,错误;B 、原式不能约分,错误;C 、原式==,正确;D 、原式==﹣,错误, 故选C点评: 此题考查了分式的混合运算,熟练掌握运算法则是解本题的关键.15.(2015·湖南省衡阳市,第4题3分)若分式的值为0,则的值为( ).A .2或-1B .0C .2D .-1二.填空题1.(2015·湖北省孝感市,第11题3分)分式方程351+=x x 的解是 ☆ .考点:解分式方程..专题:方程思想.分析:观察可得最简公分母是x(x+3),方程两边乘最简公分母,可以把分式方程转化为整式方程求解.解答:解:方程的两边同乘x(x+3),得x+3=5x,解得x=.检验:把x=代入x(x+3)=≠0.∴原方程的解为:x=.故答案为:x=.点评:考查了解分式方程,注意:(1)解分式方程的基本思想是“转化思想”,把分式方程转化为整式方程求解.(2)解分式方程一定注意要验根.2.(2015·湖南省衡阳市,第16题3分)方程的解为.[w*ww~.^3、(2015·湖南省常德市,第10题3分)若分式211xx-+的值为0,则x=【解答与分析】这其实就分式方程的解法:211xx-+=0,解之得答案为:x=14.(2015•江苏无锡,第12题2分)化简得.考点:约分.分析:首先分别把分式的分母、分子因式分解,然后约去分式的分子与分母的公因式即可.解答:解:==故答案为:.点评:此题主要考查了约分问题,要熟练掌握,解答此题的关键是要明确:①分式约分的结果可能是最简分式,也可能是整式.②当分子与分母含有负号时,一般把负号提到分式本身的前面.③约分时,分子与分母都必须是乘积式,如果是多项式的,必须先分解因式.5.(2015•广东梅州,第16题5分)若=+,对任意自然数n都成立,则a= ,b﹣;计算:m=+++…+= .考点:分式的加减法.专题:计算题.分析:已知等式右边通分并利用同分母分式的加法法则计算,根据题意确定出a与b的值即可;原式利用拆项法变形,计算即可确定出m的值.解答:解:=+=,可得2n(a+b)+a﹣b=1,即,解得:a=,b=﹣;m=(1﹣+﹣+…+﹣)=(1﹣)=,故答案为:;﹣;.点评:此题考查了分式的加减法,熟练掌握运算法则是解本题的关键.6.(2015•广东佛山,第12题3分)分式方程的解是3 .考点:解分式方程.专题:计算题.分析:分式方程去分母转化为整式方程,求出整式方程的解得到x的值,经检验即可得到分式方程的解.解答:解:去分母得:x=3(x﹣2),去括号得:x=3x﹣6,解得:x=3,经检验x=3是分式方程的解.点评:此题考查了解分式方程,解分式方程的基本思想是“转化思想”,把分式方程转化为整式方程求解.解分式方程一定注意要验根.7.(2015•甘肃武威,第12题3分)分式方程的解是x=2 .考点:解分式方程.分析:观察可得最简公分母是x(x+3),方程两边乘最简公分母,可以把分式方程转化为整式方程求解.解答:解:方程的两边同乘x(x+3),得2(x+3)=5x,解得x=2.检验:把x=2代入x(x+3)=10≠0,即x=2是原分式方程的解.故原方程的解为:x=2.故答案为:x=2.点评:此题考查了分式方程的求解方法.注意:①解分式方程的基本思想是“转化思想”,把分式方程转化为整式方程求解,②解分式方程一定注意要验根.8.(2015·南宁,第14题3分)要使分式11-x 有意义,则字母x 的取值范围是 . 点:分式有意义的条件..分析:分式有意义,分母不等于零.解答:解:依题意得 x ﹣1≠0,即x ≠1时,分式有意义.故答案是:x ≠1.点评:本题考查了分式有意义的条件.从以下三个方面透彻理解分式的概念:(1)分式无意义⇔分母为零; (2)分式有意义⇔分母不为零;(3)分式值为零⇔分子为零且分母不为零.9.(2015·贵州六盘水,第14题4分)已知0654≠==ab c ,则a c b +的值为 .考点:比例的性质..分析:根据比例的性质,可用a 表示b 、c ,根据分式的性质,可得答案.解答:解:由比例的性质,得 c =a ,b =A .===.故答案为:.点评:本题考查了比例的性质,利用比例的性质得出a 表示b 、c 是解题关键,又利用了分式的性质.10. (2015·河南,第16题8分)先化简,再求值:)11(22222ab b a b ab a -÷-+-,其中15+=a ,15-=b .【分析】解答本题应从运算顺序入手,先将括号里通分,能因式分解的进行因式分解,然后将除法变乘法,最后约分化简成最简分式后,将a ,b 的值代入求解.解:原式=abba b a b a -÷--)(22)(……………………………………………………(4分)=b a abb a -⋅-2 =2ab.……………………………………………………(6分)当1,1a b ==时,原式=22152)15(15=-=-+)(.…………(8分)11. (2015·黑龙江绥化,第14题 分)若代数式6265x 2-+-x x 的值等于0 ,则x =_________.考点:分式的值为零的条件..分析:根据分式的值为零的条件可以求出x 的值.解答:解:由分式的值为零的条件得x 2﹣5x +6=0,2x ﹣6≠0,由x 2﹣5x +6=0,得x =2或x =3, 由2x ﹣6≠0,得x ≠3, ∴x =2, 故答案为2.点评:本题考查了分式值为0的条件,若分式的值为零,需同时具备两个条件:(1)分子为0;(2)分母不为0.这两个条件缺一不可.12.(2015•广东省,第12题,4分)分式方程321=+x x的解是 ▲ . 【答案】2=x . 【考点】解分式方程【分析】去分母,得:()321=+x x , 解得:2=x ,经检验,2=x 是原方程的解, ∴原方程的解是2=x .13.(2015•广东梅州,第15题,3分)若1212)12)(12(1++-=+-n bn a n n ,对任意自然数n 都成立,则=a ,=b ;计算:=⨯++⨯+⨯+⨯=21191751531311 m .考点:分式的加减法.. 专题:计算题.分析:已知等式右边通分并利用同分母分式的加法法则计算,根据题意确定出a 与b 的值即可;原式利用拆项法变形,计算即可确定出m 的值. 解答:解:=+=,可得2n (a +b )+a ﹣b =1,即,解得:a =,b =﹣; m =(1﹣+﹣+…+﹣)=(1﹣)=, 故答案为:;﹣;.点评:此题考查了分式的加减法,熟练掌握运算法则是解本题的关键.14.(2015•安徽省,第14题,5分)已知实数a 、b 、c 满足a +b =ab =c ,有下列结论: ①若c ≠0,则 1 a + 1b =1;②若a =3,则b +c =9;③若a =b =c ,则abc =0;④若a 、b 、c 中只有两个数相等,则a +b +c =8.其中正确的是 (把所有正确结论的序号都选上). 考点:分式的混合运算;解一元一次方程..分析:按照字母满足的条件,逐一分析计算得出答案,进一步比较得出结论即可.解答:解:①∵a +b =ab ≠0,∴+=1,此选项正确;②∵a =3,则3+b =3b ,b =,c =,∴b +c =+=6,此选项错误;③∵a =b =c ,则2a =a 2=a ,∴a =0,abc =0,此选项正确;④∵a 、b 、c 中只有两个数相等,不妨a =b ,则2a =a 2,a =0,或a =2,a =0不合题意,a =2,则b =2,c =4,∴a +b +c =8,此选项正确. 其中正确的是①④. 故答案为:①③④.点评:此题考查分式的混合运算,一元一次方程的运用,灵活利用题目中的已知条件,选择正确的方法解决问题.15.(2015•甘肃兰州,第17题,4分)如果k fed c b a ===(0≠++f d b ),且)(3f d be c a ++=++,那么k =_____ 【 答 案 】3【考点解剖】本题考查比例的基本性质【解答过程】因为k f e d c b a ===,且0≠++f d b ,所以fd b ec a f ed c b a k ++++====,而)(3f d b e c a ++=++,即3=++++fd b ec a ,所以3=k 。
中考数学试题分类分析汇编(12专题) 专题3:方程(组)和不定式(组)一.选择题1. (2001年福建福州4分)随着计算机技术的迅猛发展,电脑价格不断降低。
某品牌电脑按原售价降低m 元后,又降价20%,现售价为n 元,那么该电脑的原售价为【 】 A. 4(n m )5+元B. 5(n m )4+元 C. (5m n)+元D. (5n m)+元【答案】B 。
【考点】一元一次方程的应用。
【分析】设电脑的原售价为x 元,则()()x m 120%n --=,∴x=5n m 4+。
故选B 。
2. (2003年福建福州4分)不等式组2x 4x 30≥⎧⎨+>⎩的解集是【 】(A ) x>-3 (B )x≥2 (C )-3<x≤2 (D ) x<-3 【答案】B 。
【考点】解一元一次不等式组。
【分析】解一元一次不等式组,先求出不等式组中每一个不等式的解集,再利用口诀求出这些解集的公共部分:同大取大,同小取小,大小小大中间找,大大小小解不了(无解)。
因此,2x 4x 2x 2x 30x 2≥≥⎧⎧⇒⇒≥⎨⎨+>>-⎩⎩。
故选B 。
3.(2003年福建福州4分)已知α、β满足α+β=5,且αβ=6,则以α、β为两根的一元二次方程是【 】(A )2x 5x 60++= (B )2x 5x 60-+= (C )2x 5x 60--= (D )2x 5x 60+-=【答案】B 。
【考点】一元二次方程根与系数的关系。
【分析】∵所求一元二次方程的两根是α、β,且α、β满足α+β=5、αβ=6,∴这个方程的系数应满足两根之和是b 5a-=,两根之积是c 6a =。
当二次项系数a=1时,一次项系数b=-5,常数项c=6。
故选B 。
4. (2005年福建福州大纲卷3分)如图,射线OC 的端点O 在直线AB 上,∠AOC 的度数比∠BOC 的2倍多10度.设∠AOC 和∠BOC 的度数分别为x ,y ,则下列正确的方程组为【 】A 、x+y=180x=y+10⎧⎨⎩错误!未找到引用源。
分式、分式方程及一元二次方程复习考点攻略考点01 一元一次方程相关概念1.等式的性质:(1)等式两边都加上(或减去)同一个数或同一个整式.所得的结果仍是等式. (2)等式两边都乘以(或除以)同一个不等于零的数.所得的结果仍是等式.2.一元一次方程:只含有一个未知数.并且未知数的次数为1.这样的整式方程叫做一元一次方程.它的一般形式为0(0)ax b a +=≠. 【注意】x 前面的系数不为0.3.一元一次方程的解:使一元一次方程左右两边相等的未知数的值叫做一元一次方程的解. 4. 一元一次方程的求解步骤:步骤 解释去分母 在方程两边都乘以各分母的最小公倍数 去括号 先去小括号.再去中括号.最后去大括号移项 把含有未知数的项都移到方程的一边.其他项都移到方程的另一边 合并同类项 把方程化成ax b =-的形式系数化成1在方程两边都除以未知数的系数a .得到方程的解为bx a=-【注意】解方程时移项容易忘记改变符号而出错.要注意解方程的依据是等式的性质.在等式两边同时加上或减去一个代数式时.等式仍然成立.这也是“移项”的依据.移项本质上就是在方程两边同时减去这一项.此时该项在方程一边是0.而另一边是它改变符号后的项.所以移项必须变号. 【例 1】若()2316m m x --=是一元一次方程,则m 等于( )A .1B .2C .1或2D .任何数【答案】B【解析】根据一元一次方程最高次为一次项.得│2m −3│=1.解得m =2或m =1. 根据一元一次方程一次项的系数不为0,得m −1≠0,解得m ≠1.所以m =2. 故选B.【例 2】关于x 的方程211-20m mx m x +﹣(﹣)=如果是一元一次方程.则其解为_____.【答案】2x =或2x =-或x =-3.【解析】解:关于x 的方程21120m mx m x +﹣(﹣)﹣=如果是一元一次方程.211m ∴﹣=.即1m =或0m =.方程为20x ﹣=或20x --=.解得:2x =或2x =-.当2m -1=0.即m =12时.方程为112022x --=解得:x =-3. 故答案为x =2或x =-2或x =-3. 【例 3】解方程:221123x x x ---=- 【答案】27x =【解析】解: 221123x x x ---=-()()6326221x x x --=-- 636642x x x -+=-+ 634662x x x -+=-+ 72x = 27x =考点02 二元一次方程组相关概念1.二元一次方程:含有2个未知数.并且含有未知数的项的次数都是1的整式方程叫做二元一次方程.2.二元一次方程的解:使二元一次方程左右两边相等的未知数的值叫做二元一次方程的解. 3.二元一次方程组:由两个二元一次方程组成的方程组叫二元一次方程组.方程组中同一个字母代表同一个量.其一般形式为111222a xb yc a x b y c +=⎧⎨+=⎩.4.二元一次方程组的解法:(1)代入消元法:将方程中的一个未知数用含有另一个未知数的代数式表示出来.并代入另一个方程中.消去一个未知数.化二元一次方程组为一元一次方程.(2)加减消元法:将方程组中两个方程通过适当变形后相加(或相减)消去其中一个未知数.化二元一次方程组为一元一次方程.5. 列方程(组)解应用题的一般步骤:(1)审题;(2)设出未知数;(3)列出含未知数的等式——方程;(4)解方程(组);(5)检验结果;(6)作答(不要忽略未知数的单位名称)6. 一元一次方程(组)的应用:(1)销售打折问题:利润=售价-成本价;利润率=利润成本×100%;售价=标价×折扣;销售额=售价×数量.(2)储蓄利息问题:利息=本金×利率×期数;本息和=本金+利息=本金×(1+利率×期数);贷款利息=贷款额×利率×期数.(3)工程问题:工作量=工作效率×工作时间. (4)行程问题:路程=速度×时间.(5)相遇问题:全路程=甲走的路程+乙走的路程.(6)追及问题一(同地不同时出发):前者走的路程=追者走的路程.(7)追及问题二(同时不同地出发):前者走的路程+两地间距离=追者走的路程. (8)水中航行问题:顺水速度=静水速度+水流速度;逆水速度=静水速度-水流速度. (9)飞机航行问题:顺风速度=静风速度+风速度;逆风速度=静风速度-风速度. 【例 4】已知-2x m -1y 3与12x n y m +n 是同类项.那么(n -m )2 012=______【答案】1【解析】由于-2x m -1y 3与12x n y m +n 是同类项.所以有由m -1=n .得-1=n -m .所以(n -m )2 012=(-1)2 012=1.【例5】如图X2-1-1.直线l 1:y =x +1与直线l 2:y =mx +n 相交于点P (1.b ).(1)求b 的值.(2)不解关于x .y 的方程组请你直接写出它的解.(3)直线l 3:y =nx +m 是否也经过点P ?请说明理由.【答案】(1)2.(2)⎩⎪⎨⎪⎧x =1,y =2.(3)见解析【解析】解:(1)当x =1时.y =1+1=2.∴b =2.(2)⎩⎪⎨⎪⎧x =1,y =2. (3)∵直线l 1:y =x +1与直线l 2:y =mx +n 相交于点P (1.b ).∴当x =1时.y =m+n =b =2.∴ 当x =1时.y =n +m =2.∴直线l 3:y =nx +m 也经过点P .【例6】家电下乡是我国应对当前国际金融危机.惠农强农.带动工业生产.促进消费.拉动内需的一项重要举措。
(2012年1月最新最细)2011全国中考真题解析120考点汇编分式方程的应用一、选择题1. (2011重庆綦江,8,4分)在实施“中小学生蛋奶工程”中,某配送公司按上级要求,每周向学校配送鸡蛋10000 个,鸡蛋用甲、乙两种不同规格的包装箱进行包装,若单独使用甲型包装箱比单独使用 乙型包装箱可少用10个,每个甲型包装箱比每个乙型包装箱可多装50个鸡蛋,设每个 甲型包装箱可装x 个鸡蛋,根据题意下列方程正确的是( ) A .x10000-5010000+x =10 B .5010000-x -x 10000=10C .x10000-5010000-x =10D .5010000+x -x10000=10考点:由实际问题抽象出分式方程。
专题:应用题。
分析:设每个甲型包装箱可装x 个鸡蛋,根据若单独使用甲型包装箱比单独使用 乙型包装箱可少用10个,每个甲型包装箱比每个乙型包装箱可多装50个鸡蛋,可列出分式方程. 解答:解:设每个甲型包装箱可装x 个鸡蛋,5010000-x -x10000=10.故选B .点评:本题考查理解题意能力,以包装箱个数做为等量关系,根据若单独使用甲型包装箱比单独使用 乙型包装箱可少用10个,每个甲型包装箱比每个乙型包装箱可多装50个鸡蛋,可列方程求解.2. (2011吉林长春,6,3分)小玲每天骑自行车或步行上学,她上学的路程为2800米,骑自行车的平均速度是步行平均速度的4倍,骑自行车比步行上学早到30分钟.设小玲步行的平均速度为x 米/分,根据题意,下面列出的方程正确的是( ) A .28002800304-=x xB .28002800304-=x xC .28002800305-=x xD .2800280030-=5x x考点:由实际问题抽象出分式方程.专题:行程问题.分析:根据时间=路程÷速度,以及关键语“骑自行车比步行上学早到30分钟”可得出的等量关系是:小玲上学走的路程÷步行的速度﹣小玲上学走的路程÷骑车的速度=30.解答:解:设小玲步行的平均速度为x 米/分,则骑自行车的速度为4x 米/分,依题意,得28002800304-=x x.故选A .点评:考查了由实际问题抽象出分式方程,列分式方程解应用题与所有列方程解应用题一样,重点在于准确地找出相等关系,这是列方程的依据.3.(2011辽宁沈阳,8,3)小明乘出租车去体育场,有两条路线可供选择:路线一的全程是25千米,但交通比较拥堵,路线二的全程是30千米,平均车速比走路线一时的平均车速能提高80%,因此能比走路线一少用10分钟到达.若设走路线一时的平均速度为x 千米/小时,根据题意,得( ) A 、6010%)801(3025=+-xx B 、10%)801(3025=+-xxC 、601025%)801(30=-+x xD 、1025%)801(30=-+xx考点:由实际问题抽象出分式方程。
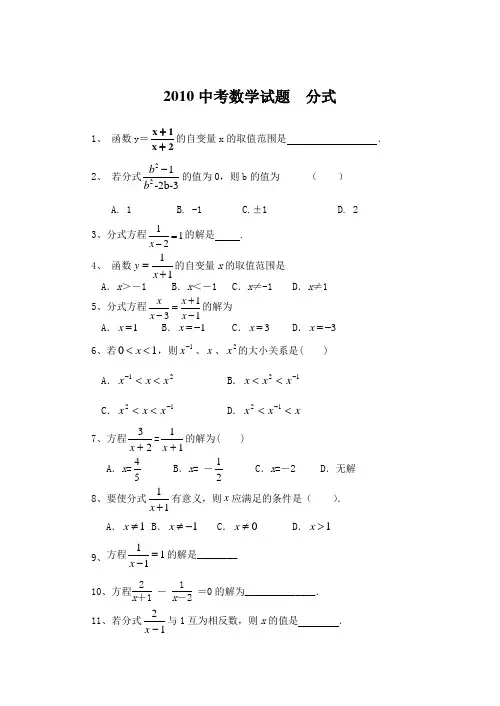
2010中考数学试题 分式1、 函数y =2x 1x ++的自变量x 的取值范围是 .2、 若分式221-2b-3b b -的值为0,则b 的值为 ( ) A. 1 B. -1 C.±1 D. 23、分式方程112x =-的解是 . 4、 函数11y x =+的自变量x 的取值范围是 A .x >-1 B .x <-1 C .x ≠-1 D .x ≠15、分式方程131xx x x +=--的解为 A .1x = B .1x =- C .3x = D .3x =-6、若01x <<,则1-x 、x 、2x 的大小关系是( )A .21x x x <<-B .12-<<x x xC .12-<<x x xD .x xx <<-12 7、方程23+x =11+x 的解为( ) A .x =54 B .x = -21 C .x =-2 D .无解 8、要使分式11x +有意义,则x 应满足的条件是( ). A .1x ≠ B .1x ≠- C .0x ≠ D .1x >9、方程111x =-的解是________ 10、方程2x +1 - 1x -2=0的解为______________. 11、若分式12-x 与1互为相反数,则x 的值是 .12、化简:=---b a bb a a _____________.13、化简:1(1)1a a -÷=+ .14、 方程 1x –2 = 2x 的解是15、方程xx 132=-的解为x =___________. 16、.函数13y x =-的自变量x 的取值范围是( ). A.0x ≠ B.3x > C.3x ≠- D.3x ≠ 17、若分式25x -有.意义..,则x 的取值范围是( ). A.5x ≠ B .5x ≠- C .5x > D .5x >- 18、化简b a bb a a ---22的结果是 ( ).A .22b a -B .b a +C .b a -D .119、当x= 时,分式13-+x x 的值等于2.20、化简211a a a a --÷的结果是( ).A .1aB .aC .a -1D .11a - 21、要使式子2a a +有意义,a 的取值范围是( )A .a ≠0B .a>-2且a ≠0C .a>-2或a ≠0D .a ≥-2且a ≠022、解分式方程: 22122x x x +=+2012.3.15。
山东17市2011年中考数学试题分类解析汇编专题3:方程(组)和不等式(组)一、选择题1. (日照3分)某道路一侧原有路灯106盏,相邻两盏灯的距离为36米,现计划全部更换为新型的节能灯,且相邻两盏灯的距离变为70米,则需更换的新型节能灯有A、54盏B、55盏C、56盏D、57盏【答案】 B。
【考点】一元一次方程的应用(优选方案问题)。
【分析】设需更换的新型节能灯有x盏,根据等量关系:两种安装路灯方式的道路总长相等,列出方程求解:70(x+1)=36×(106+1),解得x≈55,则需更换的新型节能灯有55盏。
注意根据实际问题采取进1的近似数。
故选B。
2. (日照3分)若不等式2x<4的解都能使关于x的一次不等式(a-1)x<a+5成立,则a的取值范围是A、1<a≤7B、a≤7C、a<1或a≥7D、a=7【答案】 A。
【考点】解一元一次不等式组,不等式的性质。
【分析】先求出不等式2x<4的解,求出不等式(a-1)x<a+5中的x的范围,即x<2。
由(a-1)x<a+5得:当a﹣1>0时,51ax<a+-,∴521aa+≥-,即17<a≤。
故选A。
3.(滨州3分)某商品原价289元,经连续两次降价后售价为256元,设平均每降价的百分率为x,则下面所列方程正确的是A、289(1-x)2=256B、256(1-x)2=289C、289(1-2x)2=256D、256(1-2x)2=289【答案】A。
【考点】列一元二次方程(增长率问题)。
【分析】增长率问题的等量关系为:增长后的量=增长前的量×(1+增长率),本题是负增长,与正增长同样考虑。
根据已知条件,第一次降价后售价为289(1-x),第二次降价后售价为289(1-x)(1-x)=289(1-x)2。
故选A。
4.(烟台4分)不等式4-3x≥2x-6的非负整数解有A.1 个B. 2 个C. 3个D. 4个【答案】C【考点】解一元一次不等式,非负整数概念。
2012年全国部分地区中考数学试卷分类解读汇编第7章分式与分式方程、选择题2Xx1. ( 2012安徽,6,4分)化简 的结果是()X -11 - XA. X +1B. X -1C. — XD. X解读:本题是分式的加法运算,分式的加减,首先看分母是否相同,同分母的分式加减, 分母不变,分子相加减,如果分母不同,先通分,后加减,本题分母互为相反数,可以化 成同分母的分式加减.X 2 XX 2 - x X (X -1)解答:解:X 故选D .X —1 X —1X —1 X —1点评:分式的一些知识可以类比着分数的知识学习,分式的基本性质是关键,掌握了分式 的基本性质,可以利用它进行通分、约分,在进行分式运算时根据法则,一定要将结果化 成最简分式.312.( 2012成都)分式方程 ——=—— 的解为(2x x -1A. x=1 B . x=2C.x=3 D . x=4考点:解分式方程。
解答:解: 去分母得:3 12x x -13x - 3=2x ,移项得:3x - 2x=3 , 合并同类项得:x=3 , 检验:把x=3代入最简公分母 2x (x - 1) =12老,故x=3是原方程的解, 故原方程的解为:X = 3 , 故选:C . 3.( 2012义乌市)下列计算错误的是()3 202a+b 2a+b D x y xB . -_0. 7a _ b 7a _ b J 护 7考点:分式的混合运算。
解答:解:A 、二 —T ,故本选项错误;3 2 X y x■,故本选项正确;a -b a _ b=-1,故本选项正确;b a i1 ? 3-,故本选项正确.C 、C C C9 14. (2012?丽水)把分式方程——-一转化为一元一次方程时,方程两边需同乘以()x+4 xA. xB. 2xC. x+ 4D . x( x+ 4)考解分式方程。
占:八、、♦分根据各分母寻找公分母x(x+ 4),方程两边乘最简公分母,可以把分式方程转化为整析:式方程.解解:由两个分母(x + 4)和x可得最简公分母为x(x+ 4),答:所以方程两边应同时乘以x(x+ 4).故选D .点本题考查解分式方程去分母的能力,确定最简公分母应根据所给分式的分母来决评:定.二、填空题x一1 11. ( 2012 福州)计算:—+ -= _____________________ .入入考点:分式的加减法.专题:计算题.分析:直接根据同分母的分数相加减进行计算即可.解答:解:原式=X - 1+ 1= 1.x故答案为:1.点评:本题考查的是分式的加减法,同分母的分式相加减,分母不变,把分子相加减.2. (2012?连云港)今年6月1日起,国家实施了中央财政补贴条例支持高效节能电器的推广使用,某款定速空调在条例实施后,每购买一台,客户可获财政补贴200元,若同样用11万元所购买的此款空调数台,条例实施后比实施前多10%,则条例实施前此款空调的售价为2200 元.考点:分式方程的应用。
分式、分式方程及其应用一、选择题1. ( 安徽,5,4分)方程3112=-+x x 的解是( ) A.-54 B.54C.-4D.4 【答案】D.【逐步提示】先把方程两边同乘以x-1,化分式方程为整式方程,然后解这个整式,检验整式方程的解后直接选择.【详细解答】解:方程两边同乘以x-1,得2x+1=3(x-1),解得x=4,经检验m=4是原方程的解,故选择D.【解后反思】解分式方程的一般方法是把分式方程化成整式方程来解,并且一定要检验方程的根,把增根舍去.本题也可以把各选项的值代入方程找出正确的选项. 【关键词】 分式方程、分式方程的解法2. ( 甘肃省武威市、白银市、定西市、平凉市、酒泉市、临夏州、张掖市等9市,8,3分)某工厂现在平均每天比原计划每天多生产50台机 器,现在生产800台机器所需时间与原计划生产600台机器所需时间相同,设原计划平均每天生产x 台机器,根据题意,下面所列方程正确的是( )A .90060050x x =+ B .90060050x x =- C .90060050x x =+ D .90060050x x =-【答案】A【逐步提示】本题考查了分式方程的应用,解题的关键是将题中的相等关系用含有未知数的 代数式表示,用含有x 的代数式表示现在平均每天生产的机器数量,再根据题中关于时间 的相等关系列方程即可.【详细解答】解:设原计划平均每天生产x 台机器,则现在平均每天生产(x +50)台机器, 现在生产800台机器所需时间可表示为90050x +,原计划生产600台机器所需时间可表示为 600x ,根据这两者时间相等,得方程90060050x x=+,故选择A . 【解后反思】列分式方程与列整式方程一样,先分析题意,准确找出应用题中包含的等量关 系,恰当地设出未知数,列出方程. 【关键词】分式方程的应用;3. ( 甘肃省天水市,7,4分)已知分式2(1)(2)1x x x -+-的值为0.那么x 的值是( )A .-1B .-2C .1D .1或-2【答案】B 【逐步提示】本题考查了分式的值为0的条件,求解关键是根据这个条件列出方程和不等式.本题涉及到的知识:分式有意义的条件是分母不为0;分式的值为0的条件是分子为0,且分母不为0.【详细解答】解:根据题意,得()()212010x x x ⎧-+=⎪⎨-≠⎪⎩,解之得x =-2,故选择B .【解后反思】实际求解中,学生易忽视分母不等于0的条件而错误地选择D .【关键词】分式;一元二次方程的解法——因式分解法;一元二次方程的解法——直接开平方法. 4. (广东省广州市,14,3分)方程x 21=32-x 的解是 . 【答案】x =-1【逐步提示】利用解分式方程的一般步骤直接解分式方程即得其解.【详细解答】解:去分母,得x -3=4x .移项合并同类项,得-3x =3.∴x =-1.检验:当x =-1时,2x (x -3)=8≠0.∴x =-1是原分式方程的解.故答案为x =-1. 【解后反思】(1)解分式方程的基本思想是转化思想,即通过去分母把分式方程转化成整式方程来解.(2)解分式方程去分母时,首先要找准最简公分母,注意最简公分母要包含各分式所有分母的因式,分母是多项式的,应先分解因式,再从系数、相同字母、不同字母三个方面考虑,其中系数取最小公倍数,相同字母或因式取最高次幂,互为相反数的因式,注意通过符号变化取其中一个作为最简公分母的因式即可;其次,依据等式的基本性质,分式方程的每一项都要乘以最简公分母,特别不要漏乘没有分母的项,还要注意不要去掉括号以及避免符号变形错误.(3)解分式方程必须验根,一般方法为把所解得的未知数的值代入最简公分母,若为零则为増根,不为零则为原分式方程的解. 【关键词】解分式方程5. (贵州省毕节市,13,3分)为加快“最美毕节”环境建设,某园林公司增加了人力进行大型树木移植,现在平均每天比原计划多植树30棵,现在植树400棵所需时间与原计划植树300棵所需时间相同,设现在平均每天植树x 棵,则列出的方程为( )A.30300400-=x x B.x x 30030400=- C.x x 30030400=+ D.30300400+=x x 【答案】A【逐步提示】本题考查分式方程的应用,解题的关键是找出题中的等量关系.①题中的等量关系是:现在植树400棵所需时间与原计划植树300棵所需时间相同;②现在植树400棵所需时间为:400现在每天植树棵数;原计划植树300棵所需时间为:300原计划每天植树棵数;③现在平均每天植树x 棵,原计划每天植树(x -30)棵.【详细解答】解:由题意,得方程组30300400-=x x ,故选择A. 【解后反思】本题的易错点是容易误认为x 是原计划每天植树棵数,从而误选C .通常我们假设未知数时,一般设较小的一个量为x ,用和或倍数表示另一个量,但这并非原则和规定,设较大的量为x 也可以. 【关键词】 分式方程的应用;6.( 河北省,4,3分)下列运算结果为x -1的是( )A .11x -B .211x x x x -⋅+C .111x x x +÷- D .2211x x x +++ 【答案】B【逐步提示】分别计算(或化简)每个式子,看其结果是否为x-1.【详细解答】解:1111x x x x x x--=-=,()()2111111x x x xx x x x x x +--⋅=⋅=-++,2+11+11111x x x x x x x x --÷=⋅=-,()22+1+2+11+1+1x x x x x x ==+,故运算结果为x -1的是选项B .【解后反思】分式的运算法则如下:运算法则数学表达式加减法同分母相加减:分母不变,分子相加减. a c ±b c =a b c±. 异分母相加减:先通分,同乘以各分母的最小公倍数,再按同分母相加减法则运算.a cb d ±=ad bcbd+. 乘法 两分式相乘:分子与分子相乘,分母与分母相乘.a c acb d bd⨯=. 除法分式A÷B 则A·1B,然后用分式乘法进行运算.a c a d adb d bc bc÷=⋅=.【关键词】 分式的乘除;分式的加减;分式的约分7. ( 河北省,12,2分)在求3x 的倒数的值时,嘉淇同学将3x 看成了8x ,她求得的值比正确答案小5.依上述情形,所列关系式成立的是( ) A .11538x x =- B .11538x x =+ C .1853x x =- D .1853x x =+【答案】C【逐步提示】本题考查了倒数的表示及列分式方程,找到题目中的等量关系是解题的关键. 【详细解答】解:3x 、8x 的倒数分别为13x ,18x ,根据“她求得的值比正确答案小5” 可知“18x 比13x小5”,故可列方程为18x =13x-5,答案为选项C. 【解后反思】1.a (a ≠0)的倒数的1a,注意不要将其与相反数,绝对值等相混淆;2.列方程的关键是找对等量关系,如本题要弄清两个倒数的大小关系. 【关键词】 倒数;列分式方程8. ( 湖北省十堰市,7,3分)用换元法解方程31241222=---x x x x 时,设y xx =-122,则原方程可化为( ) A. 031=--y y B.y-y 4-3=0 C.y-031=+y D.y-y4+3=0. 【答案】B【逐步提示】本题主要考查分式方程的换元方法,解题的关键是理解x x 122-和122-x x是一对互为倒数的关系;解题的思路:设y x x =-122,那么yx x 141242⨯=-. 【详细解答】解:因为y x x =-122 ,所以y x x 141242⨯=-,原方程可以变形为y-y4-3=0故选择B .【解后反思】分式方程求解的方法主要有两个,一是直接在方程的两边同乘以最简公分母,把分式方程转化为整式方程来解;另一个是换元后,再转化为整式方程求解.思维拓展:换元法不仅可以解部分分式方程,也可以解部分一元高次方程或无理方程,有时因式分解也需要用到换元法. 【关键词】分式方程和无理方程; 分式方程的解法9.(湖南省衡阳市,2,3分)如果分式13-x 有意义,则x 的取值范围是( ) A. 全体实数 B. 1≠x C. 1=x D. 1>x【答案】B【逐步提示】本题考查了分式有意义的条件,解题的关键是理解分式有意义的条件.第一步:根据分式有意义的条件是分母的值不等于0,列出不等式;第二步:解不等式,即可求得答案。
分式与分式方程1.用换元法解方程﹣=3时,设=y ,则原方程可化为( )A .y=﹣3=0B .y ﹣﹣3=0C .y ﹣+3=0D .y ﹣+3=02. 分式方程=1的解为( ) A .x=﹣2 B .x=﹣3 C .x=2 D .x=33.关于x 的方程无解,则m 的值为( ) A .﹣5 B .﹣8 C .﹣2 D .54.分式方程=1的解为( )A .x=﹣1B .x=C .x=1D .x=25. 下列计算正确的是( )A 、x 2y 2=x y (y ¹0)B 、xy 2¸12y =2xy (y ¹0)C 、x ³0,y ³o )D 、(xy 3)2=x 2y 66.对于实数a 、b ,定义一种新运算“⊗”为:21b a b a -=⊗,这里等式右边是实数运算.例如:81311312-=-=⊗.则方程142)2(--=-⊗x x 的解是 A . 4=x B .5=x C .6=xD .7=x 7.施工队要铺设一段全长2000米,的管道,因在中考期间需停工两天,实际每天施工需比原来计划多50米,才能按时完成任务,求原计划每天施工多少米。
设原计划每天施工x 米,则根据题意所列方程正确的是( )A.25020002000=+-x x B.22000502000=-+xx C.25020002000=--x x D.22000502000=--x x 8.若关于x 的分式方程2x −a x −2=12的解为非负数,则a 的取值范围是( ) A .a≥1 B.a >1 C .a≥1且a≠4 D.a >1且a≠49. +的运算结果正确的是( )A .B .C .D .a+b10.化简的结果是( )A .﹣1B .1C .D .参考答案 1.【考点】换元法解分式方程.【分析】直接利用已知将原式用y 替换得出答案.【解答】解:∵设=y ,∴﹣=3,可转化为:y ﹣=3,即y ﹣﹣3=0.故选:B .【点评】此题主要考查了换元法解分式方程,正确得出y 与x 值间的关系是解题关键.2.【考点】分式方程的解.【分析】分式方程去分母转化为整式方程,求出整式方程的解得到x 的值,经检验即可得到分式方程的解.【解答】解:去分母得:2x=x ﹣3,解得:x=﹣3,经检验x=﹣3是分式方程的解,故选B .3.【考点】分式方程的解.【分析】分式方程去分母转化为整式方程,由分式方程无解得到x+1=0,求出x 的值,代入整式方程求出m 的值即可.【解答】解:去分母得:3x ﹣2=2x+2+m ,由分式方程无解,得到x+1=0,即x=﹣1,代入整式方程得:﹣5=﹣2+2+m ,解得:m=﹣5,故选A4.【考点】分式方程的解.【分析】分式方程去分母转化为整式方程,求出整式方程的解得到x 的值,经检验即可得到分式方程的解.【解答】解:去分母得:2x ﹣1=x ﹣2,解得:x=﹣1,经检验x=﹣1是分式方程的解,则分式方程的解为x=﹣1.故选:A .【点评】此题考查了分式方程的解,解分式方程利用了转化的思想,还有注意不要忘了检验.5.[难易] 较易[考点] 代数式的运算[解析] A 、显然错误; B 、xy 2¸12y=xy 2·2y =2xy 3;C 、D 、根据幂的乘方运算法则就可以得出答案. [参考答案] D6.答案:B考点:考查学习新知识,应用新知识解决问题的能力。
广东省2011年中考数学试卷一、选择题(本大题5小题,每小题3分,共15分)1、(2011•广东)﹣2的倒数是()A、﹣B、C、2D、﹣2考点:倒数。
分析:根据倒数的定义,即可得出答案解答:解:根据倒数的定义,∵﹣2×(﹣)=1,∴﹣2的倒数是﹣点评:本题主要考查了倒数的定义,比较简单2、(2011•广东)据中新社北京2010年12月8日电,2010年中国粮食总产量达到546400000吨,用科学记数法表示为()A、5.464×107吨B、5.464×108吨C、5.464×109吨D、5.464×1010吨考点:科学记数法—表示较大的数。
专题:常规题型。
分析:科学记数法的表示形式为a×10n的形式,其中1≤|a|<10,n为整数.确定n的值时,要看把原数变成a时,小数点移动了多少位,n的绝对值与小数点移动的位数相同.当原数绝对值>1时,n是正数;当原数的绝对值<1时,n是负数.解答:解:将546400000用科学记数法表示为5.464×108.故选B.点评:此题考查科学记数法的表示方法.科学记数法的表示形式为a×10n的形式,其中1≤|a|<10,n为整数,表示时关键要正确确定a的值以及n的值.3、(2011•广东)将下图中的箭头缩小到原来的,得到的图形是()A、B、C、D、考点:相似图形。
专题:应用题。
分析:根据相似图形的定义,结合图形,对选项一一分析,排除错误答案.解答:解:∵图中的箭头要缩小到原来的,∴箭头的长、宽都要缩小到原来的;选项B箭头大小不变;选项C箭头扩大;选项D的长缩小、而宽没变.故选A.点评:本题主要考查了相似形的定义,联系图形,即图形的形状相同,但大小不一定相同的变换是相似变换.4、(2011•广东)在一个不透明的口袋中,装有5个红球3个白球,它们除颜色外都相同,从中任意摸出一个球,摸到红球的概率为()A、B、C、D、考点:概率公式。
一元二次方程与分式方程一、选择题1.下列命题:①若a+b+c=0,则b2﹣4ac≥0;②若b>a+c,则一元二次方程ax2+bx+c=0有两个不相等的实数根;③若b=2a+3c,则一元二次方程ax2+bx+c=0有两个不相等的实数根;④若b2﹣4ac>0,则二次函数y=ax2+bx+c的图象与坐标轴的公共点的个数是2或3.其中正确的是()A.只有①②③B.只有①③④C.只有①④D.只有②③④2.四边形ABCD中,AB∥CD,且AB、CD长是关于x的方程x2﹣3mx+2m2+m﹣2=0的两个实数根,则四边形ABCD是()A.矩形B.平行四边形C.梯形D.平行四边形或梯形3.正比例函数y=(a+1)x的图象经过第二、四象限,若a同时满足方程x2+(1﹣2a)x+a2=0,则此方程的根的情况是()A.有两个不相等的实数根B.有两个相等的实数根C.没有实数根D.不能确定二、填空题4.已知方程(m2﹣4)x2+(2﹣m)x+1=0是关于x的一元二次方程,则m的取值范围是.5.已知关于x的二次方程(1﹣2k)x2﹣2x﹣1=0有实数根,则k的取值范围是.6.菱形ABCD的一条对角线长为6,边AB的长是方程x2﹣7x+12=0的一个根,则菱形ABCD的周长为.7.若关于x的方程有增根,则m的值是.8.方程的解是;若关于x的方程﹣1=0无实根,则a的值为.三、解答题9.阅读下列材料:关于x的方程:的解是x1=c,;(即)的解是x1=c;的解是x1=c,;的解是x1=c,;…(1)请观察上述方程与解的特征,比较关于x的方程与它们的关系,猜想它的解是什么?并利用“方程的解”的概念进行验证.(2)由上述的观察、比较、猜想、验证,可以得出结论:如果方程的左边是未知数与其倒数的倍数的和,方程的右边的形式与左边完全相同,只是把其中的未知数换成了某个常数,那么这样的方程可以直接得解,请用这个结论解关于x的方程:.10.已知:关于x的一元二次方程mx2﹣(3m+2)x+2m+2=0(m≠0)(1)若m=1,求出此时方程的实数根;(2)求证:方程总有实数根;(3)设m>0,方程的两个实数根分别为x1,x2(其中x1<x2)、若y是关于m的函数,且y=x2﹣2x1,求函数的解析式,并画出其图象.(画草图即可,不必列表)11.若等腰三角形一腰上的高等于腰长的一半,则此三角形的底角等于.12.如图,直线l的解析式为y=﹣x+4,它与x轴、y轴分别相交于A、B两点,平行于直线l的直线m从原点O出发,沿x轴的正方向以每秒1个单位长度的速度运动,它与x轴、y轴分别相交于M、N两点,运动时间为t秒(0<t≤4)(1)求A、B两点的坐标;(2)用含t的代数式表示△MON的面积S1;(3)以MN为对角线作矩形OMPN,记△MPN和△OAB重合部分的面积为S2;①当2<t≤4时,试探究S2与之间的函数关系;②在直线m的运动过程中,当t为何值时,S2为△OAB的面积的?13.A、B两座城市之间有一条高速公路,甲、乙两辆汽车同时分别从这条路两端的入口处驶入,并始终在高速公路上正常行驶.甲车驶往B城,乙车驶往A城,甲车在行驶过程中速度始终不变.甲车距B城高速公路入口处的距离y(千米)与行驶时间x(时)之间的关系如图.(1)求y关于x的表达式;(2)已知乙车以60千米/时的速度匀速行驶,设行驶过程中,两车相距的路程为s(千米).请直接写出s关于x的表达式;(3)当乙车按(2)中的状态行驶与甲车相遇后,速度随即改为a(千米/时)并保持匀速行驶,结果比甲车晚40分钟到达终点,求乙车变化后的速度a.在下图中画出乙车离开B城高速公路入口处的距离y(千米)与行驶时间x(时)之间的函数图象.14.某市种植某种绿色蔬菜,全部用来出口.为了扩大出口规模,该市决定对这种蔬菜的种植实行政府补贴,规定每种植﹣亩这种蔬菜一次性补贴菜农若干元.经调查,种植亩数y(亩)与补贴数额x(元)之间大致满足如图1所示的一次函数关系.随着补贴数额x的不断增大,出口量也不断增加,但每亩蔬菜的收益z(元)会相应降低,且z 与x之间也大致满足如图2所示的一次函数关系.(1)在政府未出台补贴措施前,该市种植这种蔬菜的总收益额为多少?(2)分别求出政府补贴政策实施后,种植亩数y和每亩蔬菜的收益z与政府补贴数额x 之间的函数关系式;(3)要使全市这种蔬菜的总收益w(元)最大,政府应将每亩补贴数额x定为多少?并求出总收益w的最大值.15.要对一块长60米、宽40米的矩形荒地ABCD进行绿化和硬化.(1)设计方案如图①所示,矩形P、Q为两块绿地,其余为硬化路面,P、Q两块绿地周围的硬化路面宽都相等,并使两块绿地面积的和为矩形ABCD面积的,求P、Q两块绿地周围的硬化路面的宽.(2)某同学有如下设想:设计绿化区域为相外切的两等圆,圆心分别为O1和O2,且O1到AB、BC、AD的距离与O2到CD、BC、AD的距离都相等,其余为硬化地面,如图②所示,这个设想是否成立?若成立,求出圆的半径;若不成立,说明理由.16.如图,四边形ABCD为矩形,AB=4,AD=3,动点M、N分别从D、B同时出发,以1个单位/秒的速度运动,点M沿DA向终点A运动,点N沿BC向终点C运动.过点N 作NP⊥BC,交AC于点P,连接MP.已知动点运动了x秒.(1)请直接写出PN的长;(用含x的代数式表示)(2)若0秒≤x≤1秒,试求△MPA的面积S与时间x秒的函数关系式,利用函数图象,求S的最大值.(3)若0秒≤x≤3秒,△MPA能否为一个等腰三角形?若能,试求出所有x的对应值;若不能,试说明理由.一元二次方程与分式方程参考答案与试题解析一、选择题1.下列命题:①若a+b+c=0,则b2﹣4ac≥0;②若b>a+c,则一元二次方程ax2+bx+c=0有两个不相等的实数根;③若b=2a+3c,则一元二次方程ax2+bx+c=0有两个不相等的实数根;④若b2﹣4ac>0,则二次函数y=ax2+bx+c的图象与坐标轴的公共点的个数是2或3.其中正确的是()A.只有①②③B.只有①③④C.只有①④D.只有②③④【考点】抛物线与x轴的交点.【专题】压轴题.【分析】①②③小题利用移项与变形b2﹣4ac与0的大小关系解决;处理第④小题时不要疏忽二次函数y=ax2+bx+c与y轴的交点情况.【解答】解:①b2﹣4ac=(﹣a﹣c)2﹣4ac=(a﹣c)2≥0,正确;②若b>a+c,则△的大小无法判断,故不能得出方程有两个不等实根,错误;③b2﹣4ac=4a2+9c2+12ac﹣4ac=4(a+c)2+5c2,因为a≠0,故(a+c)2与c2不会同时为0,所以b2﹣4ac>0,正确;④二次函数y=ax2+bx+c与y轴必有一个交点,而这个交点有可能跟图象与x轴的交点重合,故正确.故选B.【点评】考查二次函数y=ax2+bx+c的图象与x轴交点的个数.2.四边形ABCD中,AB∥CD,且AB、CD长是关于x的方程x2﹣3mx+2m2+m﹣2=0的两个实数根,则四边形ABCD是()A.矩形B.平行四边形C.梯形D.平行四边形或梯形【考点】根的判别式;梯形.【分析】AB、CD长是关于x的方程x2﹣3mx+2m2+m﹣2=0的两个实数根,即判别式△=b2﹣4ac≥0,可得到AB与CD的关系,再判定四边形的形状.【解答】解:∵a=1,b=﹣3m,c=2m2+m﹣2∴△=b2﹣4ac=(﹣3m)2﹣4×1×(2m2+m﹣2)=(m﹣2)2+4>0∴方程有两个不相等的实数根.∴AB≠CD,∵AB∥CD,∴四边形ABCD是梯形.故选C.【点评】本题利用了一元二次方程的根的判别式与根的关系,梯形的判定求解.3.正比例函数y=(a+1)x的图象经过第二、四象限,若a同时满足方程x2+(1﹣2a)x+a2=0,则此方程的根的情况是()A.有两个不相等的实数根B.有两个相等的实数根C.没有实数根D.不能确定【考点】根的判别式;正比例函数的性质.【分析】正比例函数的图象经过第二、四象限,则(a+1)<0,求出a的范围,结合一元二次方程的△,来判断根的情况.【解答】解:由题意知,(a+1)<0,解得a<﹣1,∴﹣4a>4.因为方程x2+(1﹣2a)x+a2=0的△=(1﹣2a)2﹣4a2=1﹣4a>5>0,所以方程有两个不相等的实数根.故选A.【点评】(1)正比例函数y=kx,当k<0,图象过二、四象限;k>0时,图象过一、三象限.(2)一元二次方程的△>0时,有两个不相等的实数根.(3)本题要会把a<﹣1转化为1﹣4a>5.二、填空题4.已知方程(m2﹣4)x2+(2﹣m)x+1=0是关于x的一元二次方程,则m的取值范围是m≠±2.【考点】一元二次方程的定义.【分析】根据一元二次方程成立的条件列出关于m的不等式,求出m的取值范围即可.【解答】解:∵方程(m2﹣4)x2+(2﹣m)x+1=0是关于x的一元二次方程,∴m2﹣4≠0,∴m≠±2.【点评】此题比较简单,考查的是一元二次方程的定义,即只含有一个未知数,且未知数的最高次数为2的整式方程.5.已知关于x的二次方程(1﹣2k)x2﹣2x﹣1=0有实数根,则k的取值范围是0≤k≤1且k≠.【考点】根的判别式.【专题】压轴题.【分析】二次方程有实数根即根的判别式△≥0,找出a,b,c的值代入列出k的不等式,求其取值范围.【解答】解:因为关于x的二次方程(1﹣2k)x2﹣2x﹣1=0有实数根,所以△=b2﹣4ac=(﹣2)2﹣4(1﹣2k)×(﹣1)=4﹣4k≥0,解之得,k≤1.又因为k≥0,1﹣2k≠0,即k≠,所以k的取值范围是0≤k≤1且k≠.【点评】本题考查了一元二次方程根的判别式的应用.切记不要忽略一元二次方程二次项系数不为零和被开方数大于零这两个隐含条件.总结:一元二次方程根的情况与判别式△的关系:(1)△>0⇔方程有两个不相等的实数根;(2)△=0⇔方程有两个相等的实数根;(3)△<0⇔方程没有实数根.6.菱形ABCD的一条对角线长为6,边AB的长是方程x2﹣7x+12=0的一个根,则菱形ABCD的周长为16.【考点】一元二次方程的应用;三角形三边关系;菱形的性质.【专题】几何图形问题;压轴题.【分析】边AB的长是方程x2﹣7x+12=0的一个根,解方程求得x的值,根据菱形ABCD 的一条对角线长为6,根据三角形的三边关系可得出菱形的边长,即可求得菱形ABCD 的周长.【解答】解:∵解方程x2﹣7x+12=0得:x=3或4∵对角线长为6,3+3=6,不能构成三角形;∴菱形的边长为4.∴菱形ABCD的周长为4×4=16.【点评】由于菱形的对角线和两边组成了一个三角形,根据三角形两边的关系来判断出菱形的边长是多少,然后根据题目中的要求进行解答即可.7.若关于x的方程有增根,则m的值是2.【考点】分式方程的增根.【专题】计算题.【分析】增根是化为整式方程后产生的不适合分式方程的根.所以应先确定增根的可能值,让最简公分母x﹣1=0,得到x=1,然后代入化为整式方程的方程算出未知字母的值.【解答】解:方程两边都乘(x﹣1),得m﹣1﹣x=0,∵方程有增根,∴最简公分母x﹣1=0,即增根是x=1,把x=1代入整式方程,得m=2.故答案为:2.【点评】增根问题可按如下步骤进行:①让最简公分母为0确定增根;②化分式方程为整式方程;③把增根代入整式方程即可求得相关字母的值.8.方程的解是x=0;若关于x的方程﹣1=0无实根,则a的值为±1.【考点】分式方程的解.【专题】计算题.【分析】本题考查解分式方程能力,观察可得方程最简公分母为2(x﹣2),去分母,化为整式方程求解.分式方程﹣1=0无解的情况有两种:(1)原方程存在增根;(2)原方程约去分母后,整式方程无解.【解答】解:方程两边同乘2(x﹣2),得2x﹣2=x﹣2,解得x=0.经检验x=0是原方程的根,故方程的解是x=0;(1)x=1为原方程的增根,此时有ax+1﹣(x﹣1)=0,即a+1﹣(1﹣1)=0解得a=﹣1.(2)方程两边都乘(x﹣1),得ax+1﹣(x﹣1)=0,化简得:(a﹣1)x=﹣2.当a=1时,整式方程无解.综上所述,当a=±1时,原方程无解.【点评】将分式方程化为整式方程的关键是确定最简公分母,要根据分式的分母确定最简公分母.分母是多项式能进行分解的要先进行分解,再去确定最简公分母.分式方程无解,既要考虑分式方程有增根的情形,又要考虑整式方程无解的情形.三、解答题9.阅读下列材料:关于x的方程:的解是x1=c,;(即)的解是x1=c;的解是x1=c,;的解是x1=c,;…(1)请观察上述方程与解的特征,比较关于x的方程与它们的关系,猜想它的解是什么?并利用“方程的解”的概念进行验证.(2)由上述的观察、比较、猜想、验证,可以得出结论:如果方程的左边是未知数与其倒数的倍数的和,方程的右边的形式与左边完全相同,只是把其中的未知数换成了某个常数,那么这样的方程可以直接得解,请用这个结论解关于x的方程:.【考点】解分式方程.【专题】阅读型.【分析】此题为阅读分析题,解此题要注意认真审题,找到规律:x+=c+的解为x1=c,x2=,据规律解题即可.【解答】解:(1)猜想的解是x1=c,x2=.验证:当x=c时,方程左边=c+,方程右边=c+,∴方程成立;当x=时,方程左边=+c,方程右边=c+,∴方程成立;∴的解是x1=c,x2=;(2)由得,∴x﹣1=a﹣1,,∴x1=a,x2=.【点评】解此题的关键是理解题意,认真审题,寻找规律:x+=c+的解为x1=c,x2=.10.已知:关于x的一元二次方程mx2﹣(3m+2)x+2m+2=0(m≠0)(1)若m=1,求出此时方程的实数根;(2)求证:方程总有实数根;(3)设m>0,方程的两个实数根分别为x1,x2(其中x1<x2)、若y是关于m的函数,且y=x2﹣2x1,求函数的解析式,并画出其图象.(画草图即可,不必列表)【考点】根与系数的关系;解一元二次方程﹣公式法;解一元二次方程﹣因式分解法;根的判别式;待定系数法求反比例函数解析式.【专题】计算题;证明题.【分析】(1)把m的值,代入方程,解方程即可;(2)运用根的判别式判断,列出判别式的表达式,再变形成为非负数,得出△≥0即可;(3)可根据求根公式求出x1、x2,代入y=x2﹣2x1中,得出关于m的函数关系式,根据m>0,画出函数图象.【解答】解:(1)若m=1,方程化为x2﹣5x+4=0即(x﹣1)(x﹣4)=0,得x﹣1=0或x﹣4=0,∴x1=1或x2=4;证明:(2)∵mx2﹣(3m+2)x+2m+2=0是关于x的一元二次方程,∴△=[﹣(3m+2)]2﹣4m(2m+2)=m2+4m+4=(m+2)2∵m≠0,∴(m+2)2≥0,即△≥0∴方程有实数根;解:(3)由求根公式,得.∴或x=1∵=2+∵m>0,∴=2+>2∵x1<x2,∴x1=1,∴即为所求.此函数为反比例函数,其图象如图所示:即为所求.此函数为反比例函数,其图象如图所示:【点评】本题重点考查了反比例函数的性质(点评不合题意)及一元二次方程根的判别式和根与系数的关系(此题并没有设计,需要重新检查此题),是一个综合性的题目,也是一个难度中等的题目.11.若等腰三角形一腰上的高等于腰长的一半,则此三角形的底角等于75°或15°.【考点】等腰三角形的性质;三角形内角和定理.【分析】等腰三角形的高相对于三角形有三种位置关系,三角形内部,三角形的外部,三角形的边上.根据条件可知第三种高在三角形的边上这种情况不成了,因而应分两种情况进行讨论.【解答】解:当高在三角形内部时,由已知可求得三角形的顶角为30°,则底角是75°;当高在三角形外部时,三角形顶角的外角是30°,则底角是15°;所以此三角形的底角等于75°或15°【点评】本题考查了等腰三角形的性质及三角形内角和定理;熟记三角形的高相对于三角形的三种位置关系是解题的关键,本题易出现的错误是只是求出75°一种情况,把三角形简单的化成锐角三角形.12.如图,直线l的解析式为y=﹣x+4,它与x轴、y轴分别相交于A、B两点,平行于直线l的直线m从原点O出发,沿x轴的正方向以每秒1个单位长度的速度运动,它与x轴、y轴分别相交于M、N两点,运动时间为t秒(0<t≤4)(1)求A、B两点的坐标;(2)用含t的代数式表示△MON的面积S1;(3)以MN为对角线作矩形OMPN,记△MPN和△OAB重合部分的面积为S2;①当2<t≤4时,试探究S2与之间的函数关系;②在直线m的运动过程中,当t为何值时,S2为△OAB的面积的?【考点】一次函数综合题.【专题】压轴题.【分析】(1)在解析式y=﹣x+4中,分别令y=0,x=0就可以求出与x,y轴的交点坐标;(2)根据MN∥AB,得到△OMB∽△OAB,根据相似三角形的对应边的比相等,就可以求出,用OM表示出来;(3)根据t的不同值,所对应的阴影部分的图形形状不同,因而应分2<t≤4和当0<t≤2两种个情况进行讨论.【解答】解:(1)当x=0时,y=4;当y=0时,x=4.∴A(4,0),B(0,4);(2)∵MN∥AB,,∴OM=ON=t,∴S1=OM•ON=t2;(3)①当2<t≤4时,易知点P在△OAB的外面,则点P的坐标为(t,t).理由:当t=2时,OM=2,ON=2,OP=MN==2,直角三角形AOB中,设AB边上的高为h,易得AB=4,则×4h=4×4×,解得h=2,故t=2时,点P在l上,2<t≤4时,点P在△OAB的外面.F点的坐标满足,即F(t,4﹣t),同理E(4﹣t,t),则PF=PE=|t﹣(4﹣t)|=2t﹣4,所以S2=S△MPN﹣S△PEF=S△OMN﹣S△PEF,=t2﹣PE•PF=t2﹣(2t﹣4)(2t﹣4)=﹣t2+8t﹣8;②当0<t≤2时,S2=t2,t2=,解得t1=﹣<0,t2=>2,两个都不合题意,舍去;当2<t≤4时,S2=﹣t2+8t﹣8=,解得t3=3,t4=,综上得,当t=或t=3时,S2为△OAB的面积的.【点评】本题主要考查了函数图象与坐标轴的交点的求法,以及利用三角形的相似的性质.是一个难度较大的综合题.13.A、B两座城市之间有一条高速公路,甲、乙两辆汽车同时分别从这条路两端的入口处驶入,并始终在高速公路上正常行驶.甲车驶往B城,乙车驶往A城,甲车在行驶过程中速度始终不变.甲车距B城高速公路入口处的距离y(千米)与行驶时间x(时)之间的关系如图.(1)求y关于x的表达式;(2)已知乙车以60千米/时的速度匀速行驶,设行驶过程中,两车相距的路程为s(千米).请直接写出s关于x的表达式;(3)当乙车按(2)中的状态行驶与甲车相遇后,速度随即改为a(千米/时)并保持匀速行驶,结果比甲车晚40分钟到达终点,求乙车变化后的速度a.在下图中画出乙车离开B城高速公路入口处的距离y(千米)与行驶时间x(时)之间的函数图象.【考点】一次函数的应用.【专题】压轴题.【分析】(1)由图知y是x的一次函数,设y=kx+b.把图象经过的坐标代入求出k与b 的值.(2)根据路程与速度的关系列出方程可解.(3)如图:当s=0时,x=2,即甲乙两车经过2小时相遇.再由1得出y=﹣90x+300.设y=0时,求出x的值可知乙车到达终点所用的时间.【解答】解:(1)方法一:由图知y是x的一次函数,设y=kx+b.∵图象经过点(0,300),(2,120),∴解得,∴y=﹣90x+300.即y关于x的表达式为y=﹣90x+300.方法二:由图知,当x=0时,y=300;x=2时,y=120.所以,这条高速公路长为300千米.甲车2小时的行程为300﹣120=180(千米).∴甲车的行驶速度为180÷2=90(千米/时).∴y关于x的表达式为y=300﹣90x(y=﹣90x+300).(2)由(1)得:甲车的速度为90千米/时,甲乙相距300千米.∴甲乙相遇用时为:300÷(90+60)=2,当0≤x≤2时,函数解析式为s=﹣150x+300,2<x≤时,S=150x﹣300<x≤5时,S=60x;(3)在s=﹣150x+300中.当s=0时,x=2.即甲乙两车经过2小时相遇.因为乙车比甲车晚40分钟到达,40分钟=小时,所以在y=﹣90x+300中,当y=0,x=.所以,相遇后乙车到达终点所用的时间为﹣2=2(小时).乙车与甲车相遇后的速度a=(300﹣2×60)÷2=90(千米/时).∴a=90(千米/时).乙车离开B城高速公路入口处的距离y(千米)与行驶时间x(时)之间的函数图象如图所示.【点评】本题以行程问题为背景,考查由一次函数图象求解析式.分析相遇问题,求相遇时间及速度,依据速度和时间画函数图象,重点考查学生的观察、理解及分析解决问题的能力.14.某市种植某种绿色蔬菜,全部用来出口.为了扩大出口规模,该市决定对这种蔬菜的种植实行政府补贴,规定每种植﹣亩这种蔬菜一次性补贴菜农若干元.经调查,种植亩数y(亩)与补贴数额x(元)之间大致满足如图1所示的一次函数关系.随着补贴数额x的不断增大,出口量也不断增加,但每亩蔬菜的收益z(元)会相应降低,且z 与x之间也大致满足如图2所示的一次函数关系.(1)在政府未出台补贴措施前,该市种植这种蔬菜的总收益额为多少?(2)分别求出政府补贴政策实施后,种植亩数y和每亩蔬菜的收益z与政府补贴数额x 之间的函数关系式;(3)要使全市这种蔬菜的总收益w(元)最大,政府应将每亩补贴数额x定为多少?并求出总收益w的最大值.【考点】二次函数的应用;一次函数的应用.【专题】压轴题.【分析】(1)根据题意可知直接计算这种蔬菜的收益额为3000×800=2400000(元);(2)设种植亩数y和每亩蔬菜的收益z与政府补贴数额x之间的函数关系式分别为:y=kx+800,z=k1x+3000,并根据图象上点的坐标利用待定系数法求函数的解析式即可;(3)表示出蔬菜的总收益w(元)与x之间的关系式,w=﹣24x2+21600x+2400000,利用二次函数最值问题求最大值.【解答】解:(1)政府没出台补贴政策前,这种蔬菜的收益额为3000×800=2400000(元)(2)设种植亩数y和每亩蔬菜的收益z与政府补贴数额x之间的函数关系式分别为:y=kx+800,z=k1x+3000,分别把点(50,1200),(100,2700)代入得,50k+800=1200,100k1+3000=2700,解得:k=8,k1=﹣3,种植亩数与政府补贴的函数关系为:y=8x+800每亩蔬菜的收益与政府补贴的函数关系为z=﹣3x+3000(x>0)(3)由题意:w=yz=(8x+800)(﹣3x+3000)=﹣24x2+21600x+2400000=﹣24(x﹣450)2+7260000,∴当x=450,即政府每亩补贴450元时,总收益额最大,为7260000元.【点评】主要考查利用一次函数和二次函数的模型解决实际问题的能力.要先根据题意列出函数关系式,再代数求值.解题的关键是要分析题意根据实际意义准确的列出解析式,再把对应值代入求解.利用二次函数的顶点坐标求最值是常用的方法之一.15.(2009•潍坊)要对一块长60米、宽40米的矩形荒地ABCD进行绿化和硬化.(1)设计方案如图①所示,矩形P、Q为两块绿地,其余为硬化路面,P、Q两块绿地周围的硬化路面宽都相等,并使两块绿地面积的和为矩形ABCD面积的,求P、Q两块绿地周围的硬化路面的宽.(2)某同学有如下设想:设计绿化区域为相外切的两等圆,圆心分别为O1和O2,且O1到AB、BC、AD的距离与O2到CD、BC、AD的距离都相等,其余为硬化地面,如图②所示,这个设想是否成立?若成立,求出圆的半径;若不成立,说明理由.【考点】一元二次方程的应用;二元一次方程组的应用;相切两圆的性质.【专题】几何图形问题.【分析】(1)把P、Q合并成矩形得长为(60﹣3×硬化路面的宽),宽为(40﹣2×硬化路面的宽),由等量关系S P+S Q=S矩形ABCD÷4求得并检验.(2)两等量关系2×O1到AD的距离=40;2×圆的半径+2×圆心到边的距离=60,列方程组求出并检验.【解答】解:(1)设P、Q两块绿地周围的硬化路面的宽都为x米,根据题意,得:(60﹣3x)×(40﹣2x)=60×40×,解得,x1=10,x2=30,经检验,x2=30不符合题意,舍去.所以,两块绿地周围的硬化路面宽都为10米.(2)设想成立.设圆的半径为r米,O1到AB的距离为y米,根据题意,得:,解得:y=20,r=10,符合实际.所以,设想成立,则圆的半径是10米.【点评】分析图形特点,根据题意找出等量关系列出方程或方程组,解决问题并检验.16.如图,四边形ABCD为矩形,AB=4,AD=3,动点M、N分别从D、B同时出发,以1个单位/秒的速度运动,点M沿DA向终点A运动,点N沿BC向终点C运动.过点N 作NP⊥BC,交AC于点P,连接MP.已知动点运动了x秒.(1)请直接写出PN的长;(用含x的代数式表示)(2)若0秒≤x≤1秒,试求△MPA的面积S与时间x秒的函数关系式,利用函数图象,求S的最大值.(3)若0秒≤x≤3秒,△MPA能否为一个等腰三角形?若能,试求出所有x的对应值;若不能,试说明理由.【考点】二次函数综合题.【专题】压轴题;动点型.【分析】(1)可在直角三角形CPN中,根据CN的长和∠CPN的正切值求出.(2)三角形MPA中,底边AM的长为3﹣x,关键是求出MA边上的高,可延长NP交AD于Q,那么PQ就是三角形AMP的高,可现在直角三角形CNP中求出PN的长,进而根据AB的长,表示出PQ的长,根据三角形的面积公式即可得出S与x的函数关系式.根据函数的性质可得出S的最大值.(3)本题要分三种情况:①MP=PA,那么AQ=BN=AM,可用x分别表示出BN和AM的长,然后根据上述等量关系可求得x的值.②MA=MP,在直角三角形MQP中,MQ=MA﹣BN,PQ=AB﹣PN根据勾股定理即可求出x的值.③MA=PA,不难得出AP=BN,然后用x表示出AM的长,即可求出x的值.【解答】解:(1);(2)延长NP交AD于点Q,则PQ⊥AD,由(1)得:PN=,则PQ=QN﹣PN=4﹣=x依题意,可得:AM=3﹣x,S=AM•PQ=(3﹣x)•=2x﹣x2=﹣(x﹣)2+∵0≤x≤1即函数图象在对称轴的左侧,函数值S随着x的增大而增大.∴当x=1时,S有最大值,S最大值=(3)△MPA能成为等腰三角形,共有三种情况,以下分类说明:①若PM=PA,∵PQ⊥MA,∴四边形ABNQ是矩形,∴QA=NB=x,∴MQ=QA=x,又∵DM+MQ+QA=AD∴3x=3,即x=1②若MP=MA,则MQ=3﹣2x,PQ=,MP=MA=3﹣x在Rt△PMQ中,由勾股定理得:MP2=MQ2+PQ2∴(3﹣x)2=(3﹣2x)2+(x)2,解得:x=(x=0不合题意,舍去)③若AP=AM,由题意可得:AP=x,AM=3﹣x∴x=3﹣x,解得:x=综上所述,当x=1,或x=,或x=时,△MPA是等腰三角形.【点评】本题是点的运动性问题,考查了图形面积的求法、等腰三角形的判定等知识.(3)题要按等腰三角形腰和底的不同分类讨论.。
中考数学复习《分式方程》测试题(含答案)一、选择题(每题4分,共20分)1.解分式方程2x -1+x +21-x =3时,去分母后变形为(D) A .2+(x +2)=3(x -1) B .2-x +2=3(x -1)C .2-(x +2)=3(1-x )D .2-(x +2)=3(x -1)2.[2015·天津]分式方程2x -3=3x 的解为(D) A .x =0 B .x =5C .x =3D .x =9【解析】 去分母得2x =3x -9,解得x =9,经检验x =9是分式方程的解.3.[2015·常德]分式方程2x -2+3x2-x =1的解为(A)A .x =1B .x =2C .x =13D .x =0【解析】 去分母得2-3x =x -2,解得x =1,经检验x =1是分式方程的解.4.[2015·遵义]若x =3是分式方程a -2x -1x -2=0的根,则a 的值是(A)A .5B .-5C .3D .-3【解析】 ∵x =3是分式方程a -2x -1x -2=0的根,∴a -23-13-2=0,∴a -23=1,∴a -2=3,∴a =5.5.[2014·福州]某工厂现在平均每天比原计划多生产50台机器,现在生产600台机器所需时间与原计划生产450台机器所需时间相同,设原计划平均每天生产x 台机器,根据题意,下面所列方程正确的是(A)A.600x +50=450x B.600x -50=450x C.600x =450x +50 D.600x =450x -50 【解析】 根据现在生产600台机器的时间与原计划生产450台机器的时间相同,所以可得等量关系为:现在生产600台机器所需时间=原计划生产450台所需时间.二、填空题(每题4分,共20分)6.[2015·淮安]方程1x -3=0的解是__x =13__.7.[2015·巴中]分式方程3x +2=2x的解x =__4__. 8.[2015·江西样卷]小明周三在超市花10元钱买了几袋牛奶,周日再去买时,恰遇超市搞优惠酬宾活动,同样的牛奶,每袋比周三便宜0.5元,结果小明只比上次多花了2元钱,却比上次多买了2袋牛奶.若设他上周三买了x 袋牛奶,则根据题意列得方程为__10x =12x +2+0.5__. 9.[2015·河南模拟]若关于未知数x 的分式方程a x -2+3=x +12-x有增根,则a 的值为__-3__.【解析】 分式方程去分母,得a +3x -6=-x -1,解得x =-a +54,∵分式方程有增根,∴x =2,∴-a +54=2,解得a =-3.10.[2015·黄冈中学自主招生]若关于x 的方程ax +1x -1-1=0的解为正数,则a 的取值范围是__a <1且a ≠-1__.【解析】 解方程得x =21-a ,即21-a>0,解得a <1, 当x -1=0时,x =1,代入得a =-1,此为增根,∴a ≠-1,∴a <1且a ≠-1.三、解答题(共26分)11.(10分)(1)[2014·黔西南]解方程:1x -2=4x 2-4; (2)[2014·滨州]解方程:2-2x +13=1+x 2.解:(1)x +2=4,x =2,把x =2代入x 2-4,x 2-4=0,所以方程无解;(2)去分母,得12-2(2x +1)=3(1+x ),去括号,得12-4x -2=3+3x ,移项、合并同类项,得-7x =-7,系数化为1,得x =1.12.(8分)[2015·济南]济南与北京两地相距480 km ,乘坐高铁列车比乘坐普通快车能提前4 h 到达,已知高铁列车的平均行驶速度是普通快车的3倍,求高铁列车的平均行驶速度.解:设普通快车的速度为x km/h ,由题意得480x -4803x =4,解得x =80,经检验,x =80是原分式方程的解,3x =3×80=240.答:高铁列车的平均行驶速度是240 km/h.13.(8分)[2015·扬州]扬州建城2 500年之际,为了继续美化城市,计划在路旁栽树1 200棵,由于志愿者的参加,实际每天栽树的棵数比原计划多20%,结果提前2天完成,求原计划每天栽树多少棵?解:设原计划每天种树x 棵,则实际每天栽树的棵数为(1+20%)x ,由题意得1 200x - 1 200(1+20%)x=2, 解得x =100,经检验,x =100是原分式方程的解,且符合题意.答:原计划每天种树100棵.14.(10分)[2015·连云港]在某市组织的大型商业演出活动中,对团体购买门票实行优惠,决定在原定票价基础上每张降价80元,这样按原定票价需花费6 000元购买的门票张数,现在只花费了4 800元.(1)求每张门票的原定票价;(2)根据实际情况,活动组织单位决定对于个人购票也采取优惠措施,原定票价经过连续二次降价后降为324元,求平均每次降价的百分率.解:(1)设每张门票的原定票价为x 元,则现在每张门票的票价为(x -80)元,根据题意,得6 000x =4 800x -80,解得x =400.经检验,x =400是原方程的根.答:每张门票的原定票价为400元;(2)设平均每次降价的百分率为y ,根据题意,得400(1-y )2=324,解得:y 1=0.1,y 2=1.9(不合题意,舍去).答:平均每次降价10%.15.(12分)[2015·泰安]某服装店购进一批甲、乙两种款型时尚T 恤衫,甲种款型共用了7 800元,乙种款型共用了6 400元,甲种款型的件数是乙种款型件数的1.5倍,甲种款型每件的进价比乙种款型每件的进价少30元.(1)甲、乙两种款型的T 恤衫各购进多少件?(2)商店按进价提高60%标价销售,销售一段时间后,甲款型全部售完,乙款型剩余一半,商店决定对乙款型按标价的五折降价销售,很快全部售完,求售完这批T 恤衫商店共获利多少元?解:(1)设乙种款型的T 恤衫购进x 件,则甲种款型的T 恤衫购进1.5x 件,依题意有7 8001.5x +30=6 400x ,解得x =40,经检验,x =40是原分式方程的解,且符合题意,1.5x =60.答:甲种款型的T 恤衫购进60件,乙种款型的T 恤衫购进40件;(2)6 40040=160,160-30=130(元),130×60%×60+160×60%×(40÷2)+160×[(1+60%)×0.5-1]×(40÷2) =4 680+1 920-640=5 960(元).答:售完这批T 恤衫商店共获利5 960元.16.(12分)[2015·宁波]宁波火车站北广场将于2015年底投入使用,计划在广场内种植A ,B 两种花木共6 600棵,若A 花木数量是B 花木数量的2倍少600棵.(1)A ,B 两种花木的数量分别是多少棵?(2)如果园林处安排26人同时种植这两种花木,每人每天能种植A 花木60棵或B 花木40棵,应分别安排多少人种植A 花木和B 花木,才能确保同时完成各自的任务?【解析】 (1)首先设B 花木数量为x 棵,则A 花木数量是(2x -600)棵,由题意得等量关系:种植A ,B 两种花木共6 600棵,根据等量关系列出方程;(2)首先设安排a 人种植A 花木,由题意得等量关系:a 人种植A 花木所用时间=(26-a )人种植B 花木所用时间,根据等量关系列出方程.解:(1)设B 花木数量为x 棵,则A 花木数量是(2x -600)棵,由题意得 x +2x -600=6 600,解得x =2 400,2x -600=4 200,答:B 花木数量为2 400棵,则A 花木数量是4 200棵;(2)设安排a 人种植A 花木,由题意得4 20060a = 2 40040(26-a ),解得a =14,经检验,a =14是原分式方程的解,26-a=26-14=12,答:安排14人种植A花木,12人种植B花木.。
2011年全国各地中考数学试卷试题分类汇编第7章 分式与分式方程一、选择题1.(2011浙江金华,7,3分)计算1a-1 – aa-1的结果为( )A. 1+a a -1B. -aa-1 C. -1 D.1-a 【答案】C2. (2011山东威海,8,3分)计算:211(1)1mm m+÷⋅--的结果是( ) A .221m m --- B .221m m -+- C .221m m --D .21m -【答案】B3. (2011四川南充市,8,3分) 当8、分式21+-x x 的值为0时,x 的值是( ) (A )0 (B )1 (C )-1 (D )-2 【答案】B4. (2011浙江丽水,7,3分)计算1a-1 – aa-1的结果为( )A. 1+aa -1B. -a a-1C. -1D.1-a【答案】C5. (2011江苏苏州,7,3分)已知2111=-b a ,则ba ab -的值是 A.21 B.-21C.2D.-2 【答案】D6. ( 2011重庆江津, 2,4分)下列式子是分式的是( ) A.2x B.1+x x C. y x +2 D. 3x 【答案】B.7. (2011江苏南通,10,3分)设m >n >0,m 2+n 2=4mn ,则22m n mn-的值等于A.D. 3【答案】A8. (2011山东临沂,5,3分)化简(x -x 1-x 2)÷(1-x 1)的结果是( ) A .x1B .x -1C .x 1-xD .1-x x【答案】B9. (2011广东湛江11,3分)化简22a b a b a b---的结果是 A a b + B a b - C 22a b - D 1【答案】A 二、填空题1. (2011浙江省舟山,11,4分)当x 时,分式x-31有意义. 【答案】3x ≠2. (2011福建福州,14,4分)化简1(1)(1)1m m -++的结果是 .【答案】m3. (2011山东泰安,22 ,3分)化简:(2x x+2-x x-2)÷xx 2-4的结果为 。
【答案】x-64. (2011浙江杭州,15,4)已知分式235x x x a--+,当x =2时,分式无意义,则a = ,当a<6时,使分式无意义的x 的值共有 个. 【答案】6,25. (2011 浙江湖州,11,4)当x =2时,分式11x -的值是 【答案】16. (2011浙江省嘉兴,11,5分)当x 时,分式x-31有意义. 【答案】3x ≠7. (2011福建泉州,14,4分)当x = 时,分式22+-x x 的值为零. 【答案】2;8. (2011山东聊城,15,3分)化简:2222222a b a ba ab b a b--÷+++=__________________.【答案】21 9. (2011四川内江,15,5分)如果分式23273x x --的值为0,则x 的值应为 .【答案】-310.(2011四川乐山11,3分)当x= 时,112x =- 【答案】311. (2011四川乐山15,3分)若m 为正实数,且13m m -=,221m m-则= 【答案】13312. (2011湖南永州,5,3分)化简aa a -+-111=________. 【答案】1.13. (2011江苏盐城,13,3分)化简:x 2- 9x - 3 = ▲ .【答案】x+3 三、解答题1. (2011安徽,15,8分)先化简,再求值:12112---x x ,其中x=-2. 【答案】解:原式=112111)1)(1(1)1)(1(21-=+-=+=-+-=-+-+x x x x x x x .2. (2011江苏扬州,19(2),4分)(2)xx x 1)11(2-÷+【答案】(2)解:原式=x x x x x )1)(1(1-+÷+=)1)(1(1-+⨯+x x xx x =11-x 3. (2011四川南充市,15,6分)先化简,再求值:21x x -(xx 1--2),其中x=2. 【答案】解:方法一:21(2)1x x x x ---=221211x x xx x x -⋅-⋅--=12(1)(1)(1)(1)x x x x x x x x -⋅-+-+- =121(1)(1)x x x x -++-=12(1)(1)(1)(1)x x x x x x --+-+-=12(1)(1)x x x x --+-=121(1)(1)(1)(1)x x xx x x x ----=+-+- =(1)(1)(1)x x x -++-=11x --当x =2时,11x --=121--=-1 方法二:21(2)1x x x x ---=212()1x x x x x x ---=2121x x xx x --⋅-=1(1)(1)x x x x x --⋅+- =(1)(1)(1)x x x x x -+⋅+-=11x --当x =2时,11x --=121--=-1. 4. (2011浙江衢州,17(2),4分)化简:3a b a ba b a b-++--. 【答案】原式3222()2a b a b a b a b a b a b a b-++--====--- 5. (2011四川重庆,21,10分)先化简,再求值:(x -1x -x -2x +1)÷2x 2-xx 2+2x +1,其中x 满足x 2-x -1=0.【答案】原式=(x -1x -x -2x +1)÷2x2-x x2+2x +1 = (x -1)( x +1)- x( x -2)x( x +1)÷2x2-xx2+2x +1=2x -1x(x +1)×(x +1)2 2x -1=x+1x2当x2-x -1=0时,x2=x +1,原式=1.6. (2011福建泉州,19,9分)先化简,再求值2221x xx x x +⋅-,其中2x =. 【答案】解:原式2(1)(1)(1)x x x x x x+=+- ·················· 4分11x =- ·································· 6分 当2x =时,原式1=. ··························· 9分 7. (2011湖南常德,19,6分)先化简,再求值.221211, 2.111x x x x x x x ⎛⎫-+-+÷= ⎪+-+⎝⎭其中【答案】解: 221211111x x x x x x ⎛⎫-+-+÷ ⎪+-+⎝⎭()()()21111111111122==2.21x x x x x x x x x x x x x ⎛⎫-+=+ ⎪ ⎪++--⎝⎭+=+-=-=-当时,原式8. (2011湖南邵阳,18,8分)已知111x =-,求211x x +--的值。
【答案】解:∵111x =-,∴x-1=1. 故原式=2+1=39. (2011广东株洲,18,4分)当2x =-时,求22111x x x x ++++的值. 【答案】解:原式=2221(1)111x x x x x x +++==+++ 当2x =-时,原式1211x =+=-+=-10.(2011江苏泰州,19(2),4分)aba b a b b a +⋅+)2﹢﹣(【答案】(2)原式=a b a b a b b a b a b a +⋅++++-]))(([2=ab a b a b b a +⋅++-222=aba b a a +⋅+2=a 11. ((2011山东济宁,16,5分)计算:22()a b ab b a a a --÷- 【答案】原式=222a b a ab b a a--+÷………………2分 =2()a b a a a b -⋅-………………4分 =1a b-………………5分 12. (2011四川广安,22,8分)先化简22()5525x x x x x x -÷---,然后从不等组23212x x --⎧⎨⎩ ≤的解集中,选取一个你认为符合题意....的x 的值代入求值. 【答案】解:原式=2(5)(5)52x x x x x+-⨯- =5x +解不等组得:-5≤x <6选取的数字不为5,-5,0即可(答案不唯一)13. ( 2011重庆江津, 21(3),6分)先化简,再求值: )121(212-+÷+-x x x ,其中31=x ·【答案】(3)原式=2212)1)(1(+--÷+-+x x x x x =)1(22)1)(1(+-+⨯+-+x x x x x =1-x ·把31=x 代入得 原式=1-31=32· 14. (2011江苏南京,18,6分)计算221()a ba b a b b a-÷-+-【答案】221)a ba b a b b a-÷-+-解:(()()()()a a b ba b a b a b a b b a⎡⎤-=-÷⎢⎥+-+--⎣⎦ ()()b b aa b a b b-=⋅+-1a b=-+ 15. (2011贵州贵阳,16,8分)在三个整式x 2-1,x 2+2x+1,x 2+x 中,请你从中任意选择两个,将其中一个作为分子,另一个作为分母组成一个分式,并将这个分式进行化简,再求当x=2时分式的值. 【答案】解:选择x 2-1为分子,x 2+2x +1为分母,组成分式x 2-1x 2+2x+1.x 2-1x 2+2x+1=(x+1)(x-1)(x+1)2=x-1x+1. 将x=2代入x-1x+1,得13.16. (2011广东肇庆,19,7分) 先化简,再求值:)211(342--⋅--a a a ,其中3-=a . 【答案】解:)211(342--⋅--a a a =)2122(3)2)(2(----⋅--+a a a a a a =233)2)(2(--⋅--+a a a a a=2+a当3-=a 时,原式=2+a =123-=+- 17. (20011江苏镇江,18(1),4分) (2)化简:22142x x x --- 答案:(2)原式=()()()()()()222222221222x x x x x x x x x x x +-+-+---==+-+18. (2011重庆市潼南,21,10分)先化简,再求值:2121(1)1a a a a++-⋅+,其中a【答案】解:原式=211(1)1a a a a+-+⋅+ ---------------------4分 = 1a + ----------------------8分 当a=2时, 原式11-= ---------------------10分19. (2011山东枣庄,19,8分)先化简,再求值:⎝ ⎛⎭⎪⎫1+ 1 x -2÷ x 2-2x +1x 2-4,其中x =-5.解:412)211(22-+-÷-+x x x x =)2)(2()1(2122-+-÷-+-x x x x x ……………………2分 =2)1()2)(2(21--+⋅--x x x x x =12-+x x , ………………………………………………………………………5分 当5-=x 时,原式=12-+x x =211525=--+-. ………………………………………8分20.(2011湖北宜昌,16,7分)先将代数式11)(2+⨯+x x x 化简,再从-1,1两数中选取一个适当的数作为x 的值代入求值.【答案】解:原式=11)1(+⨯+x x x = x (3分,省略不扣分)=x (6分) 当x =1时,原式=1.(7分)(直接代入求值得到1,评4分),。