传热学大作业
- 格式:docx
- 大小:292.96 KB
- 文档页数:7
传热学作业第一章绪论能量平衡分析1-8.有两个外形相同的保温杯A与B,注入同样温度、同样体积的热水后不久,A杯的外表面就可以感觉到热,而B杯的外表面则感觉不到温度的变化,试问哪个保温杯的质量较好?答:B:杯子的保温质量好。
因为保温好的杯子热量从杯子内部传出的热量少,经外部散热以后,温度变化很小,因此几乎感觉不到热。
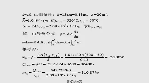
导热1-10 一炉子的炉墙厚13cm,总面积为20m2,平均导热系数为1.04w/m.k,内外壁温分别是520℃及50℃。
试计算通过炉墙的热损失。
如果所燃用的煤的发热量是2.09×104kJ/kg,问每天因热损失要用掉多少千克煤?解:根据傅利叶公式每天用煤Q??A?t1.04?20?(520?50)??75.2KW?0.1324?3600?75.2?310.9Kg/d4 2.09?10 1-12 在一次测定空气横向流过单根圆管的对流换热实验中,得到下列数据:管壁平均温度tw=69℃,空气温度tf=20℃,管子外径d=14mm,加热段长80mm,输入加热段的功率8.5w,如果全部热量通过对流换热传给空气,试问此时的对流换热表面传热系数多大?解:根据牛顿冷却公式q?2?rlh?tw?tf? qh??dtw?tf=49.33W/(m2.k) 所以热阻分析1-21 有一台气体冷却器,气侧表面传热系数h1=95W/(m2.K),壁面厚?=2.5mm,??46.5W/(m.K)水侧表面传热系数h2?5800W/(m2.K)。
设传热壁可以看成平壁,试计算各个环节单位面积的热阻及从气到水的总传热系数。
你能否指出,为了强化这一传热过程,应首先从哪一环节着手?解:R1?111?0.010526;R20.0025?5.376?10?5;R31.724?10?4;h1h25800?46. 5K?则111h1h2?=94.7W/(m2.K),应强化气体侧表面传热。
第二章稳态热传导平板导热2-2 一冷藏室的墙由钢皮矿渣棉及石棉板三层叠合构成,各层的厚度依次为0.794mm.,152mm及9.5mm,导热系数分别为45W/(m.K),0.07W/(m.K)及0.1W/(m.K)。
《传热学》上机大作业二维导热物体温度场的数值模拟学校:西安交通大学姓名:张晓璐学号:10031133班级:能动A06一.问题(4-23)有一个用砖砌成的长方形截面的冷空气通道,形状和截面尺寸如下图所示,假设在垂直纸面方向冷空气和砖墙的温度变化很小,差别可以近似的予以忽略。
在下列两种情况下计算:砖墙横截面上的温度分布;垂直于纸面方向上的每米长度上通过墙砖上的导热量。
第一种情况:内外壁分别维持在10C ︒和30C ︒第二种情况:内外壁与流体发生对流传热,且有C t f ︒=101,)/(2021k m W h ⋅=,C t f ︒=302,)/(422k m W h ⋅=,K m W ⋅=/53.0λ二.问题分析 1.控制方程02222=∂∂+∂∂ytx t 2.边界条件所研究物体关于横轴和纵轴对称,所以只研究四分之一即可,如下图:对上图所示各边界:边界1:由对称性可知:此边界绝热,0=w q 。
边界2:情况一:第一类边界条件C t w ︒=10情况二:第三类边界条件)()(11f w w w t t h ntq -=∂∂-=λ 边界3:情况一:第一类边界条件C t w ︒=30情况二:第三类边界条件)()(22f w w w t t h ntq -=∂∂-=λ 三:区域离散化及公式推导如下图所示,用一系列和坐标抽平行的相互间隔cm 10的网格线将所示区域离散化,每个交点可以看做节点,该节点的温度近似看做节点所在区域的平均温度。
利用热平衡法列出各个节点温度的代数方程。
第一种情况: 内部角点:11~8,15~611~2,5~2)(411,1,,1,1,====++++=+-+-n m n m t t t t t n m n m n m n m n m 平直边界1:11~8),2(415~2),2(411,161,16,15,161,11,12,1,=++==++=+-+-n t t t t m t t t t n n n nm m m m平直边界2:7,16~7,107~1,6,10,,======n m t n m t n m n m平直边界3:12,16~2,30;12~1,1,30,,======n m t n m t n m n m第二种情况: 内部角点:11~8,15~611~2,5~2)(411,1,,1,1,====++++=+-+-n m n m t t t t t n m n m n m n m n m 平直边界1:11~8),2(415~2),2(411,161,16,15,161,11,12,1,=++==++=+-+-n t t t t m t t t t n n n nm m m m平直边界2:7,16~7206~1,61.0,10,)2(222111111,1,,1,======∆=∆︒=+∆∆+++=-+-n m h n m m y x C t xh t xh t t t t f f n m n m n m n m λλ平直边界3:12,16~2411~1,11.0,30,)2(222222221,1,,1,======∆=∆︒=+∆∆+++=-+-n m h n m m y x C t xh t xh t t t t f f n m n m n m n m λλ内角点:20,10,)3(22)(2111116,67,78,67,57,6=︒=+∆∆++++=h C t xh t xh t t t t t f f λλ外角点:4,30,)1(222222211,112,212,1=︒=+∆∆++=h C t xh t x h t t t f f λλ4,30,2222222,11,21,1=︒=+∆∆++=h C t xh t xh t t t f f λλ4,30,22222212,1511,1612,16=︒=+∆∆++=h C t xh t xh t t t f f λλ20,10,2111112,61,51,6=︒=+∆∆++=h C t xh t xh t t t f f λλ20,10,2111118,167,157,16=︒=+∆∆++=h C t xh t xh t t t f f λλ四.编程计算各节点温度和冷量损失(冷量推导在后面)(用fortran编程)由以上区域离散化分析可以得到几十个方程,要求解这些方程无疑是非常繁琐的,所以采用迭代法,用计算机编程求解这些方程的解,就可以得到各点温度的数值。
大学课程考试《传热学》作业考核试题试卷总分:100 得分:100一、单选题(共30 道试题,共60 分)1.下列物质中,()可以产生热对流。
A.钢板B.熔融的铁水C.陶瓷D.铜丝正确答案:B2.炉墙内壁到外壁的热传递过程为()。
A.热对流B.复合换热C.对流换热D.导热正确答案:D3.()是在相同温度条件下辐射能力最强的物体。
A.灰体B.磨光玻璃C.涂料D.黑体正确答案:D4.对流换热系数为1000W/(m2·K)、温度为77的水流经27的壁面,其对流换热的热流密度为()。
A.80000W/m2B.50000W/m2C.70000W/m2D.60000W/m2正确答案:B5.暖气片外壁与周围空气之间的换热过程为()。
A.纯对流换热B.纯辐射换热C.传热过程D.复合换热6.规定了边界上的热流密度值,称为()。
A.第二类边界条件B.第一类边界条件C.第三类边界条件D.与边界条件无关7.气体的导热系数随温度的升高而()。
A.减小B.不变C.增大D.无法确定8.单纯的导热发生在中。
A.气体B.液体C.固体D.以上三种物体9.A.AB.BC.CD.D10.蒸汽中若含有不凝结气体,将()凝结换热效果。
A.大大减弱B.大大增强C.不影响D.可能减弱也可能增强11.下列说法错误的是()。
A.准则表征了浮升力与黏滞力的相对大小,反映自然对流流态对换热的影响B.准则反映表征壁面法向无量纲过余温度梯度的大小,而梯度的大小,能反映对流换热的强弱C.准则反映了动量扩散和热量扩散的大小,准则也称为物性准则。
D.准则表征了惯性力与黏滞力的相对大小,反映自然对流流态对换热的影响12.若换热器中,一侧流体为冷凝过程(相变),另一侧为单相流体,下列说法正确的是()。
A.逆流可获得比顺流大的换热温差B.顺流可获得比逆流大的换热温差C.逆流和顺流可获得相同的温差D.垂直交叉流可获得最大换热温差13.采用蒸汽和电加热器对水进行加热,下列说法正确的是()。
传热学大作业报告二维稳态导热二维稳态导热大作业报告导热问题是传热学中非常重要的一个研究领域。
在导热问题中,我们研究的是物体内部的温度分布、热流分布以及热传导过程。
本次大作业中,我们将研究一个二维稳态导热问题,分析材料内部的温度分布情况。
在二维稳态导热问题中,我们假设热传导发生在一个二维平面内,而且热流只在平面内的两个方向上进行。
我们的目标是研究材料内部的温度分布情况,并找到材料内各个位置的温度。
为了研究这个问题,我们首先需要建立热传导的数学模型。
根据热传导方程,在稳态下,热传导的速率是不变的。
假设材料在x和y两个方向上的热传导系数分别为kx和ky,温度分布函数为T(x, y),则可以得到以下的二维热传导方程:kx * d^2T/dx^2 + ky * d^2T/dy^2 = 0这是一个二维的亥姆霍兹方程,我们可以通过求解它来得到材料内部的温度分布。
为了进一步分析问题,我们对热传导方程进行了无量纲化处理。
使用无量纲化可以简化计算,并且使得结果更加清晰。
我们引入了一个无量纲化的温度变量θ,通过以下公式进行计算:θ=(T-T0)/(T1-T0)其中T是位置(x,y)处的温度,T0是最低温度,T1是最高温度。
这样处理之后,热传导方程可以写成:d^2θ/dx^2 + σ * d^2θ/dy^2 = 0其中σ = ky / kx 是无量纲化的热传导比。
为了求解这个二维亥姆霍兹方程,我们使用了有限差分法。
首先将平面划分成一个个小的网格单元,然后在每个网格单元中,使用二阶中央差分法对方程进行离散化。
最终得到一个线性方程组,可以通过求解该方程组,得到无量纲温度分布。
为了验证我们的计算结果,我们将研究一个简单的导热问题,即一个正方形材料中心局部加热的情况。
我们假设正方形材料的一部分区域中心加热,其余区域保持恒定温度。
我们通过计算得到了材料内部的温度分布,并且将结果与理论解进行了比较。
通过对比发现,计算结果与理论解非常吻合,验证了我们的计算方法的准确性和可靠性。
计算传热学作业1、 一块厚度为2h=200mm 的钢板,放入T f =1000℃的炉子中加热,两表面换热系数h=174W/(m 2.℃),钢板的导热系数k=34.8 W/(m. ℃),热扩散率a=5.55×10-6m 2/s,初始温度T i =20℃. 求温度场的数值解;分别用显示、C-N 、隐式 解: 1、数学模型该问题属于典型的一维非稳态导热问题。
由于钢板两面对称受热,板内温度分布必以其中心截面为对称面。
因此,只要研究厚度为δ的一半钢板即可。
将x 轴的原点置于板的中心截面上。
这一半钢板的非稳态导热的数学描述为2、计算区域离散化:该一维非稳态导热问题可当做二维问题处理,有时间坐标τ和空间坐标x 。
采用区域离散方法A ,将空间区域等分为m 个子区域,得到m+1个节点。
如下图所示,纵坐标为时间,从一个时到另一个时层的间隔即时间步长为∆t ,每个时层都会对下一时层产生影响。
空间与时间网格交点(i ,k ),代表了时空区域的一个节点,其温度为,离散方法如下图。
综合考虑计算效率同时保证数值计算格式的稳定性,本文取空间步长∆x =0.01m ,时间步长∆t =5s ,对半平板空间的离散共得到11个节点。
x TaT 22∂∂=∂∂τ==τT T 00==∂∂x xT δλ=-=∂∂-x T T h xT f )(图 时间-空间区域离散化3、离散方程组对于一维非稳态方程,扩散项采用中心差分,非稳态项取时间向前差分。
扩散项根据时层采用不同的处理方法,得到了三种格式的离散方程组,即显式、隐式、C-N 格式,等式左右分属不同的时层。
(1) 显示差分格式: 内部节点:()]][[]][1[]][[2]][1[]1][[2j i T j i T j i T j i T xt a j i T +-+*-+∆∆*=+左边界:]][0[21]][1[2]1][0[22j T x t a j T xt a j T ⎪⎭⎫⎝⎛∆∆**-+∆∆**-=+ 右边界:()f T j T x k t a h j T x t a j T xt a j T -∆*∆***+⎪⎭⎫ ⎝⎛∆∆**-+∆∆**-=+]][10[2]][10[21]][9[2]1][10[22(2) 隐式差分格式: 内部节点:]][[]1][1[]1][[21]][1[222j i T j i T x t a j i T x t a j i T x t a -=⎪⎪⎭⎫ ⎝⎛+-∆∆*++⎪⎭⎫⎝⎛∆∆**+-+∆∆* 左边界:]][0[]1][0[)21(]1][1[222j T j T xt a j T xt a -=+∆∆**+-+∆∆**右边界:]][10[2]1][9[)2]1][10[)21(2j T xk t h a j T xt a j T xk t h a +∆*∆***=+∆∆**++∆*∆***+(3)C-N 差分格式:内部节点:()]][1[]][[2]][1[2]][[]1][1[]1][[21]1][1[22222j i T j i T j i T x t a j i T j i T x t a j i T x t a j i T x t a -+-+∆*∆*--=⎪⎪⎭⎫ ⎝⎛+-∆∆*++⎪⎭⎫⎝⎛∆∆**+-++∆*∆*左边界:]][1[]][0[)1(]1][1[)]1][0[)1(222j T j T xt a j T xt a j T xt a -∆∆*--=+∆∆*++∆∆*--右边界:fT xk t h a j T xt a j T xt a xk t h a j T xt a j T xt a xk t h a ∆*∆***-∆∆*-∆∆*+∆*∆**--=+∆∆*++∆∆*-∆*∆**--2]][9[]][10[)1(]1][9[)]1][10[)1(22224、计算结果源程序代码: 显式:#include<stdio.h>#include<time.h> #include<cstdlib> #include<math.h> #include<stdlib.h> #include <process.h> double T[11][5000]; main()int i,j;double k;/*µ¼ÈÈϵÊý*/double h;/*»»ÈÈϵÊý*/double a;/*ÈÈÀ©É¢ÂÊ*/double x1,t1;/*x1±íʾλÖò½³¤£¬ti±íʾʱ¼ä²½³¤*/ double T0;/*T0±íʾ³õʼζÈ*/double Tf;/*Tf±íʾ¯ÎÂ*/double p,q;h=174;k=34.8;a=0.00000555;T0=20;Tf=1000;x1=0.01;t1=5;/*T[199][j]=(T[198][j]+h*x1*Tf/k)/(1+h*x1/k);*/for(i=0;i<=10;i++) T[i][0]=T0;for(j=0;j<4999;j++){ T[0][j+1]=2*a*t1*(T[1][j]-T[0][j])/(x1*x1)+T[0][j];for(i=1;i<10;i++){p=a*(T[i+1][j]-2*T[i][j]+T[i-1][j])/(x1*x1);/*q=(T[i][j+1]-T[i][j])/t1;q=p;*/T[i][j+1]=p*t1+T[i][j];}T[10][j+1]=2*h*a*t1*(Tf-T[10][j])/(x1*k)+2*a*t1*(T[9][j]-T[10][j])/(x1*x1)+T[10][j];}for(i=0;i<=10;i++){printf("%f",T[i][4999]);/*´òÓ¡Êä³ö*/printf("\n");}system("pause");}隐式:#include<stdio.h>#include<time.h>#include<cstdlib>#include<math.h>#include<stdlib.h>#include <process.h>double T[11][5000];main(){int i,j;double k;/*µ¼ÈÈϵÊý*/double h;/*»»ÈÈϵÊý*/double a;/*ÈÈÀ©É¢ÂÊ*/double x1,t1;/*x1±íʾλÖò½³¤£¬t1±íʾʱ¼ä²½³¤*/ double T0;/*T0±íʾ³õʼζÈ*/double Tf;/*Tf±íʾ¯ÎÂ*/double A[11],B[11],C[11],D[11],P[11],Q[11];h=174;k=34.8;a=0.00000555;T0=20;Tf=1000;x1=0.01;t1=5;for(i=0;i<=10;i++)T[i][0]=T0;for(j=1;j<=4999;j++){for(i=1;i<=9;i++) A[i]=a*t1/(x1*x1);A[0]=0;A[10]=2*a*t1/(x1*x1);for(i=0;i<=9;i++)B[i]=-(1+2*a*t1/(x1*x1));B[0]=-(1+2*a*t1/(x1*x1));B[10]=-(1+2*a*t1*h/(k*x1))-2*a*t1/(x1*x1);for(i=1;i<=9;i++)C[i]=a*t1/(x1*x1);C[0]=2*a*t1/(x1*x1);C[10]=0;for(i=0;i<=9;i++)D[i]=-T[i][j-1];D[10]=-2*a*t1*h*Tf/(k*x1)-T[10][j-1];for(i=1;i<=10;i++){A[i] = A[i] / B[i-1];B[i] = B[i] - C[i-1] * A[i];D[i] = D[i] - A[i] * D[i-1];}T[10][j] = D[10] / B[10];for(i=9;i>=0;i--)T[i][j] = (D[i] - C[i] * T[i+1][j]) / B[i];}for(i=0;i<=9;i++){printf("%f",T[i][4999]);/*´òÓ¡Êä³ö*/printf("\n");}system("pause");}C-N:#include<stdio.h>#include<time.h>#include<cstdlib>#include<math.h>#include<stdlib.h>#include <process.h>double T[11][5000];main(){int i,j;double k;/*µ¼ÈÈϵÊý*/double h;/*»»ÈÈϵÊý*/double a;/*ÈÈÀ©É¢ÂÊ*/double x1,t1;/*x1±íʾλÖò½³¤£¬t1±íʾʱ¼ä²½³¤*/double T0;/*T0±íʾ³õʼζÈ*/double Tf;/*Tf±íʾ¯ÎÂ*/double A[11],B[11],C[11],D[11],P[11],Q[11];h=174;k=34.8;a=0.00000555;T0=20;Tf=1000;x1=0.01;t1=5;for(i=0;i<=10;i++)T[i][0]=T0;for(j=1;j<=4999;j++){for(i=1;i<=9;i++) A[i]=a*t1/(2*x1*x1);A[0]=0;A[10]=a*t1/(x1*x1);for(i=0;i<=9;i++)B[i]=-(1+a*t1/(x1*x1));B[0]=-(1+a*t1/(x1*x1));B[10]=-(1+a*t1*h/(k*x1))-a*t1/(x1*x1);for(i=1;i<=9;i++)C[i]=a*t1/(2*x1*x1);C[0]=a*t1/(x1*x1);C[10]=0;for(i=1;i<=9;i++)D[i]=-T[i][j-1]-(a*t1/(2*x1*x1))*(T[i+1][j-1]-2*T[i][j-1]+T[i-1][j-1]);D[0]=(-1+a*t1/(x1*x1))*T[0][j-1]-(a*t1/(x1*x1))*T[1][j-1];D[10]=(-a*t1*h/(k*x1)-a*t1*h/(k*x1))*Tf+(-1+a*t1*h/(k*x1)+a*t1/(x1*x1))*T[10][j-1]-a*t1*T[9][j-1]/(x1*x1);for(i=1;i<=10;i++){A[i] = A[i] / B[i-1];B[i] = B[i] - C[i-1] * A[i];D[i] = D[i] - A[i] * D[i-1];}T[10][j] = D[10] / B[10];for(i=9;i>=0;i--)T[i][j] = (D[i] - C[i] * T[i+1][j]) / B[i];}for(i=0;i<=9;i++){printf("%f",T[i][4999]);/*´òÓ¡Êä³ö*/printf("\n");}system("pause");}。
数值计算大作业一、用数值方法求解尺度为100mm×100mm 的二维矩形物体的稳态导热问题。
物体的导热系数λ为1.0w/m·K。
边界条件分别为: 1、上壁恒热流q=1000w/m2; 2、下壁温度t1=100℃; 3、右侧壁温度t2=0℃; 4、左侧壁与流体对流换热,流体温度tf=0℃,表面传热系数 h 分别为1w/m2·K、10 w/m2·K、100w/m2·K 和1000 w/m2·K;要求:1、写出问题的数学描述;2、写出内部节点和边界节点的差分方程;3、给出求解方法;4、编写计算程序(自选程序语言);5、画出4个工况下的温度分布图及左、右、下三个边界的热流密度分布图;6、就一个工况下(自选)对不同网格数下的计算结果进行讨论;7、就一个工况下(自选)分别采用高斯迭代、高斯——赛德尔迭代及松弛法(亚松弛和超松弛)求解的收敛性(cpu 时间,迭代次数)进行讨论;8、对4个不同表面传热系数的计算结果进行分析和讨论。
9、自选一种商业软件(fluent 、ansys 等)对问题进行分析,并与自己编程计算结果进行比较验证(一个工况)。
(自选项)1、写出问题的数学描述 设H=0.1m微分方程 22220t tx y∂∂+=∂∂x=0,0<y<H :()f th t t xλ∂-=-∂ 定解条件 x=H ,0<y<H :t=t 2 y=0,0<x<H :t=t1t 1t 2h ;t fq=1000 w/m 2y=H ,0<x<H :tq yλ∂-=∂ 2、写出内部节点和边界节点的差分方程 内部节点:()()1,,1,,1,,122220m n m n m nm n m n m n t t t t t t x y -+-+-+-++=∆∆左边界: (),1,,1,1,,,022m n m n m n m nm n m n f m n t t t t t t x x h y t t y y y xλλλ-++---∆∆∆-+++∆=∆∆∆右边界: t m,n =t 2上边界: 1,,1,,,1,022m n m n m n m nm n m n t t t t t t y y q x x x x yλλλ-+----∆∆∆+++∆=∆∆∆ 下边界: t m,n =t 13、求解过程利用matlab 编写程序进行求解,先在matlab 中列出各物理量,然后列出内部节点和边界节点的差分方程,用高斯-赛德尔迭代法计算之后用matlab 画图。
传热学数值计算大作业传热学数值计算大作业一选题《传热学》第四版P179页例题 4-3二相关数据及计算方法1.厚2δ=0.06m的无限大平板受对称冷却,故按一半厚度作为模型进行计算2. δ=0.03m,初始温度t0=100℃,流体温度t∞=0℃;λ=40W/(m.K),h=1000W/(m2.K),Bi=h*△x/λ=0.25;3.设定Fo=0.25和Fo=1两种情况通过C语言编程(源程序文件见附件)进行数值分析计算;当Fo=0.25时,Fo<1/(2*(1+Bi)),理论上出现正确的计算结果;当Fo=1时,Fo>1/(2*(1+Bi)),Fo>0.5,理论上温度分布出现振荡,与实际情况不符。
三网格划分将无限大平面的一半划分为6个控制体,共7个节点。
△x=0.03/N=0.03/6=0.005,即空间步长为0.005m四节点离散方程绝热边界节点即i=1时,tij+1=2Fo△ti+1j+(1-2Fo△)tij 内部节点即0tij+1=tij(1-2Fo△Bo△-2Fo△)+2Fo△ti-1j+2Fo△Bo△tf五温度分布线图(origin)六结果分析1 空间步长,时间步长对温度分布的影响空间步长和时间步长决定了Bo和Fo,两者越小计算结果越精确,但同时计算所需的时间就越长。
2 Fo数的大小对计算结果的影响编程时对Fo=1及0.25的情况分别进行了计算,发现当Fo=1时,各点温度随时间发生振荡,某点的温度高反而会使下一时刻的温度变低,违反了热力学第二定律,因此在计算中对Fo的选取有限制。
为了保证各项前的系数均为正值,对于内节点,Fo>0.5;对于对流边界节点,Fo<1/(2*(1+Bi))。
3 备注在Fo=0.25时,为了反映较长时间后温度的分布,取T=600,并选取了其中部分时刻的温度输出进行画图。
图像显示,随着时间的增长,各点温度趋向一致。
而当Fo=1时由于结果会出现振荡,只取T=6观察即可。
传热学大作业传热学大作业——二维物体热传导问题的数值解法1.二维热传导问题的物理描述:本次需要解决的问题是结合给定的边界条件,通过二维导热物体的数值解法,求解出某建筑物墙角稳态下的温度分布t以及单位长度壁面上的热流量φ。
1.1关于边界条件和研究对象选取的物理描述:如图所示为本次作业需要求解的建筑物墙壁的截面。
尺寸如图中所标注。
1.2由于墙角的对称性,A-A,B-B截面都是绝热面,并且由于对称性,我们只需要研究墙角的1/4即可(图中阴影部分)。
假设在垂直纸面方向上不存在热量的传递,我们只需要对墙角进行二维问题的研究即可。
1.3 关于导热量计算截面的物理描述:本次大作业需要解决对流边界条件和等温边界条件下两类边界条件的问题。
由于对称性,我们只需研究1/4墙角外表面和内表面的导热量再乘4,即是墙壁的总导热量。
2.二维热传导问题的数学描写:本次实验的墙角满足二维,稳态无内热源的条件,因此:壁面内满足导热微分方程:∂2t ∂x +∂2t∂y=0。
在绝热面处,满足边界条件:−λ(∂t∂n)=0。
在对流边界处满足边界条件:−λ(∂t)w=ℎ(t w−t f)3.二维热传导问题离散方程的建立:本次作业中墙角的温度场是一个稳态的连续的场。
本次作业中将1/4墙角的温度场离散化,划分成若干小的网格,每个网格的节点看成以它为中心的一个小区域的代表。
通过这些节点,采用“热平衡法”,建立起相应的离散方程,通过高斯-赛德尔迭代法,得到最终收敛的温度场,从而完成对墙角温度场的数值解。
对1/4墙角的网格划分如下:选取步长Δx=Δy=0.1m,为了方便研究,对导热物体的网格节点进行编码,编码规则如下:x,y坐标轴的方向如图所示,x,y轴的单位长度为步长Δx, 取左下角点为(1,1)点,其他点的标号为其在x,y轴上的坐标。
以此进行编码,进行离散方程的建立。
建立离散方程,要对导热物体中的节点根据其边界条件进行分类(特殊节点用阴影标出):首先以对流边界条件下的墙角为例1.外壁面上,平直边界节点:建立离散方程:λΔy t i+1,j−t i,jΔx+λΔx2t i,j+1−t i,jΔy+λΔx t i,j−1−t i,j+hoΔx(t fo−t i,j)=0以(i,j)为中心节点,进一步整理得:t i,j=λ2·(t i,j−1+t i,j+1)+λ·t i+1,j+ℎo·Δx·t fo2.外部角点:建立离散方程:ho·Δx(t fo−t i,j)+λΔy2ti,j+1−ti,jΔx+λΔx2·t i,j−1−t i,jΔy=0以(i,j)为中心节点,进一步整理得:t i,j=λ2·(t i+1,j+t i,j−1)+ℎo·Δx·t foλ+ℎo·Δx3.绝热+对流边界角点:建立离散方程:ho·Δy2·(t fo−t i,j)+λΔx2·t i,j+1−t i,jΔy+λΔy2·t i+1,j−t i,jΔx=0以(i,j)为中心节点,进一步整理得:t i,j=λ2·(t i,j+1+t i+1,j)+ℎo·Δy2·t foλ+ℎo·Δy24.内部角点:建立离散方程:hi·Δx·(t fi−t i,j)+λ·Δx·t i,j+1−t i,jΔy+λΔy·t i−1,j−t i,jΔx+λΔy2·t i+1,j−t i,jΔx+λΔx2·t i,j−1−t i,jΔx=0以(i,j)为中心节点,进一步整理得:t i,j=λ2·(t i+1,j+t i,j−1)+λ(t i,j+1+t i−1,j)+ℎi·Δx·t fi3λ+ℎi·Δx5.绝热平直边界节点:建立离散方程:λΔx2·t i,j+1−t i,jΔy+λΔx2·t i,j−1−t i,jΔx+λΔy·t i−1,j−t i,jΔx=0以(i,j)为中心节点,进一步整理得:t i,j=λ2·(t i,j−1+t i,j+1)+λ·t i−1,j6.对于普通内部节点:建立离散方程:λΔx·t i,j+1−t i,jΔy+λΔx·t i,j−1−t i,jΔy+λΔy·t i−1,j−t i,jΔx+λΔyt i+1,j−t i,jΔx=0以(i,j)为中心节点,进一步整理得:t i,j=λ·(t i,j−1+t i,j+1+t i−1,j+t i+1,j)4λ等温边界条件下:等温边界下内部节点和绝热边界下的节点离散方程与上述5,6式形式相同,在等温壁面处,节点方程只需写成t i,j=t w即可4.方程的求解:由上图可知,本题中有16*12=192个节点,相应地,就会有192个待求解的离散方程。
西安交通大学传热学大作业一、物理问题有一个用砖砌成的长方形截面的冷空气通道,其截面尺寸如下图1-1所示,假设在垂直于纸面方向上用冷空气及砖墙的温度变化很小,可以近似地予以忽略。
在下列两种情况下试计算:砖墙横截面上的温度分布;垂直于纸面方向的每米长度上通过砖墙的导热量。
第一种情况:内外壁分别均匀维持在0℃及30℃;第二种情况:内外壁均为第三类边界条件,且已知:K m W K m W h C t K m W h C t ∙=∙=︒=∙=︒=∞∞/53.0砖墙导热系数/20,10/4,30222211λ二、数学描写由对称的界面必是绝热面,可取左上方的四分之一墙角为研究对象,该问题为二维、稳态、无内热源的导热问题。
控制方程:02222=∂∂+∂∂y tx t边界条件:① 给出了边界上的温度,属于第一类边界条件:由对称性知边界1绝热: 0=w q ; 边界2、3为等温边界:t w2=0℃,t w3=30℃② 给出了边界上的边界上物体与周围流体间的表面传热系数h 及周围流体的温度t f ,属于第三类边界条件 由对称性知边界1绝热: 0=w q ;边界2为对流边界,)()(2f w w w t t h n tq -=∂∂-=λ; 边界3为对流边界,)()(3f w w w t t h n t q -=∂∂-=λ。
1-1图2-1图三、数学模型网格划分:将长方形截面离散成31×23个点,用有限个离散点的值的集合来代替整个截面上温度的分布,通过求解按傅里叶导热定律、牛顿冷却公式及热平衡法建立的代数方程,来获得整个长方形截面的温度分布,进而求出其通过壁面的冷量损失。
步长为0.1m ,记为△x=△y=0.1m 。
采用热平衡法,利用傅里叶导热定律和能量守恒定律,按照以导入元体(m,n )方向的热流量为正,列写每个节点代表的元体的代数方程。
第一种情况:()()()()()()()()()()⎪⎪⎪⎪⎪⎪⎪⎩⎪⎪⎪⎪⎪⎪⎪⎨⎧+++==︒==︒==︒==︒==︒==︒==︒==︒=+-+-代表内部点,,点4126~6,1018,26~6,106,18~6,10,2618~6,10,631~1,3023,31~1,301,23~1,30,3123~1,30,11,1,,1,1,n m t t t t t n C m t n C m t n C n t n C n t n C m t n C m t n C n t n C n t n m n m n m n m n m 第二种情况对于外部角点(1,1)、(1,23)、(31,1)、(31,,23)有:()()02222,1,,22,,1,22=∆∆-+-∆+∆∆-+-∆±±x y t t t t x h y x t t t t yh n m n m n m f n m n m n m f λλ 得到:()()()()⎪⎪⎪⎪⎩⎪⎪⎪⎪⎨⎧++=++=++=++=22,3123,3023,312,311,301,3122,123,223,12,11,21,11865331400186533140018653314001865331400t t t t t t t t t t t t 同理可得:对于内部角点(6,6)(6,18)(26,6)(26,18) ,有()()()()()()()()⎪⎪⎪⎪⎩⎪⎪⎪⎪⎨⎧++++=++++=++++=++++=7,2618,2518,2719,2618,267,266,256,275,266,2618,717,619,618,518,67,66,75,66,56,671853359533592000718533595335920007185335953359200071853359533592000t t t t t t t t t t t t t t t t t t t t对于外部边界节点有()()()()⎪⎪⎪⎪⎩⎪⎪⎪⎪⎨⎧=+++==+++==+++==+++=+-+-+-+-20~2,29253146537360020~2,29253146537360022~2,29253146537360022~229253146537360023,123,122,23,1,11,12,1,1,311,31,30311,11,1,21m t t t t m t t t t n t t t t n t t t t m m m m m m m m n n n n n n n n ,,, 对于内部边界节点有()()()()⎪⎪⎪⎪⎩⎪⎪⎪⎪⎨⎧=+++==+++==+++==+++=+-+-+-+-25~7,6125330653153100025~7,6125330653153100017~7,6125330653153100017~7,6125330653153100018,118,119,18,6,16,15,6,1,261,26,27261,61,6,56n t t t t n t t t t n t t t t n t t t t m m m m m m m m n n n n n n n n ,, 对于内部节点有()1,1,,1,1,41+-+-+++=n m n m n m n m n m t t t t t传热问题的有限差分解法中主要采用迭代法。
传热学大作业(第四章)姓名:张宝琪学号:03110608一、题目及要求1.各节点的离散化的代数方程2.源程序3.不同初值时的收敛快慢4.上下边界的热流量(λ=1W/(m℃))5.计算结果的等温线图6.计算小结题目:已知条件如下图所示:二、方程及程序(1)各温度节点的代数方程ta=(300+b+e)/4 ; tb=(200+a+c+f)/4; tc=(200+b+d+g)/4; td=(2*c+200+h)/4 te=(100+a+f+i)/4; tf=(b+e+g+j)/4; tg=(c+f+h+k)/4 ; th=(2*g+d+l)/4ti=(100+e+m+j)/4; tj=(f+i+k+n)/4; tk=(g+j+l+o)/4; tl=(2*k+h+q)/4tm=(2*i+300+n)/24; tn=(2*j+m+p+200)/24; to=(2*k+p+n+200)/24; tp=(l+o+100)/12 (2)源程序【G-S迭代程序】【方法一】函数文件为:function [y,n]=gauseidel(A,b,x0,eps)D=diag(diag(A));L=-tril(A,-1);U=-triu(A,1);G=(D-L)\U;f=(D-L)\b;y=G*x0+f;n=1;while norm(y-x0)>=epsx0=y;y=G*x0+f;n=n+1;end命令文件为:A=[4,-1,0,0,-1,0,0,0,0,0,0,0,0,0,0,0;-1,4,-1,0,0,-1,0,0,0,0,0,0,0,0,0,0;0,-1,4,-1,0,0,-1,0,0,0,0,0,0,0,0,0;0,0,-2,4,0,0,0,-1,0,0,0,0,0,0,0,0;-1,0,0,0,4,-1,0,0,-1,0,0,0,0,0,0,0;0,-1,0,0,-1,4,-1,0,0,-1,0,0,0,0,0,0;0,0,-1,0,0,-1,4,-1,0,0,-1,0,0,0,0,0;0,0,0,-1,0,0,-2,4,0,0,0,-1,0,0,0,0;0,0,0,0,-1,0,-1,0,4,0,0,0,-1,0,0,0;0,0,0,0,0,-1,0,0,-1,4,-1,0,0,-1,0,0;0,0,0,0,0,0,-1,0,0,-1,4,-1,0,0,-1,0;0,0,0,0,0,0,0,-1,0,0,-2,4,0,0,0,-1;0,0,0,0,0,0,0,0,-2,0,0,0,24,-1,0,0;0,0,0,0,0,0,0,0,0,-2,0,0,-1,24,-1,0;0,0,0,0,0,0,0,0,0,0,-2,0,0,-1,24,-1;0,0,0,0,0,0,0,0,0,0,0,-1,0,0,-1,12];b=[300,200,200,200,100,0,0,0,100,0,0,0,300,200,200,100]';[x,n]=gauseidel(A,b,[0,0,0,0,0,0,0,0,0,0,0,0,0,0,0,0]',1.0e-6) xx=1:1:4;yy=xx;[X,Y]=meshgrid(xx,yy);Z=reshape(x,4,4);Z=Z'contour(X,Y,Z,30)Z =139.6088 150.3312 153.0517 153.5639108.1040 108.6641 108.3119 108.1523 84.1429 67.9096 63.3793 62.4214 20.1557 15.4521 14.8744 14.7746 【方法2】>> t=zeros(5,5);t(1,1)=100;t(1,2)=100;t(1,3)=100;t(1,4)=100;t(1,5)=100;t(2,1)=200;t(3,1)=200;t(4,1)=200;t(5,1)=200;for i=1:10t(2,2)=(300+t(3,2)+t(2,3))/4 ;t(3,2)=(200+t(2,2)+t(4,2)+t(3,3))/4;t(4,2)=(200+t(3,2)+t(5,2)+t(4,3))/4;t(5,2)=(2*t(4,2)+200+t(5,3))/4;t(2,3)=(100+t(2,2)+t(3,3)+t(2,4))/4;t(3,3)=(t(3,2)+t(2,3)+t(4,3)+t(3,4))/4; t(4,3)=(t(4,2)+t(3,3)+t(5,3)+t(4,4))/4; t(5,3)=(2*t(4,3)+t(5,2)+t(5,4))/4;t(2,4)=(100+t(2,3)+t(2,5)+t(3,4))/4;t(3,4)=(t(3,3)+t(2,4)+t(4,4)+t(3,5))/4;t(4,4)=(t(4,3)+t(4,5)+t(3,4)+t(5,4))/4;t(5,4)=(2*t(4,4)+t(5,3)+t(5,5))/4;t(2,5)=(2*t(2,4)+300+t(3,5))/24;t(3,5)=(2*t(3,4)+t(2,5)+t(4,5)+200)/24;t(4,5)=(2*t(4,4)+t(3,5)+t(5,5)+200)/24;t(5,5)=(t(5,4)+t(4,5)+100)/12;t'endcontour(t',50);ans =100.0000 200.0000 200.0000 200.0000 200.0000 100.0000 136.8905 146.9674 149.8587 150.7444 100.0000 102.3012 103.2880 103.8632 104.3496 100.0000 70.6264 61.9465 59.8018 59.6008 100.0000 19.0033 14.8903 14.5393 14.5117【Jacobi迭代程序】函数文件为:function [y,n]=jacobi(A,b,x0,eps)D=diag(diag(A));L=-tril(A,-1);U=-triu(A,1);B=D\(L+U);f=D\b;y=B*x0+f;n=1;while norm(y-x0)>=epsx0=y;y=B*x0+f;n=n+1;end命令文件为:A=[4,-1,0,0,-1,0,0,0,0,0,0,0,0,0,0,0;-1,4,-1,0,0,-1,0,0,0,0,0,0,0,0,0,0; 0,-1,4,-1,0,0,-1,0,0,0,0,0,0,0,0,0; 0,0,-2,4,0,0,0,-1,0,0,0,0,0,0,0,0;-1,0,0,0,4,-1,0,0,-1,0,0,0,0,0,0,0; 0,-1,0,0,-1,4,-1,0,0,-1,0,0,0,0,0,0; 0,0,-1,0,0,-1,4,-1,0,0,-1,0,0,0,0,0;0,0,0,-1,0,0,-2,4,0,0,0,-1,0,0,0,0;0,0,0,0,-1,0,-1,0,4,0,0,0,-1,0,0,0;0,0,0,0,0,-1,0,0,-1,4,-1,0,0,-1,0,0;0,0,0,0,0,0,-1,0,0,-1,4,-1,0,0,-1,0;0,0,0,0,0,0,0,-1,0,0,-2,4,0,0,0,-1;0,0,0,0,0,0,0,0,-2,0,0,0,24,-1,0,0;0,0,0,0,0,0,0,0,0,-2,0,0,-1,24,-1,0;0,0,0,0,0,0,0,0,0,0,-2,0,0,-1,24,-1;0,0,0,0,0,0,0,0,0,0,0,-1,0,0,-1,12];b=[300,200,200,200,100,0,0,0,100,0,0,0,300,200,200,100]'; [x,n]=jacobi(A,b,[0,0,0,0,0,0,0,0,0,0,0,0,0,0,0,0]',1.0e-6); xx=1:1:4;yy=xx;[X,Y]=meshgrid(xx,yy);Z=reshape(x,4,4);Z=Z'contour(X,Y,Z,30)n =97Z =139.6088 150.3312 153.0517 153.5639108.1040 108.6641 108.3119 108.152384.1429 67.9096 63.3793 62.421420.1557 15.4521 14.8744 14.7746三、不同初值时的收敛快慢1、[方法1]在Gauss 迭代和Jacobi 迭代中,本程序应用的收敛条件均为norm(y-x0)>=eps ,即使前后所求误差达到e 的-6次方时,跳出循环得出结果。
《传热学》第四章大作业 ——二维稳态导热问题的数值解法
第一题:
如图所示,一个无限长矩形柱体,其横截面的边长分别为L 1和L 2,常物性。
该问题可视为二维稳态导热问题,边界条件如图中所示,其中L 1=0.6m ,L 2=0.4m , T w1=60℃,T w2=20℃,λ=200W/(m·K)。
(1) 编写程序求解二维导热方程。
(2) 绘制x =L 1/2和y =L 2/2处的温度场,并与解析解进行比较。
已知矩形内
的温度场的解析解为()()()()
1211w2w1sh sh sin ,L L L y L x t t y x t πππ+=。
第二题
将第一题中y =L 2处的边界条件变为t =t w2,其他条件不变。
(1) 编写程序求解二维导热方程并计算从y =0处导入的热量Φ2。
(2) 当L 2<<L 1时,该二维导热问题可简化为一维导热问题。
在一维的近似下,试计算从y =0处导入的热量Φ1,并比较不同L 2/L 1下Φ2/Φ1的比值。
由该问。
传热学数值计算大作业传热学是研究物体内部和之间热量传递的科学,其应用范围广泛,例如在工程领域中,传热学的数值计算被广泛用于优化热传递过程,提高能源利用效率。
本文将介绍传热学数值计算的大作业,主要内容包括问题陈述、计算方法和结果分析等。
问题陈述:本次大作业的问题是研究一个热管的热传递特性。
具体来说,热管由内外两个半圆形的金属管组成,内管壁与外管壁之间是一种导热的传热介质。
问题要求计算热管内外壁的温度分布,并分析传热过程的效率和优化热管的设计。
计算方法:计算热传递过程需要运用一些热传导定律和传热方程。
首先,根据Fourier 热传导定律,可得到内外壁的温度梯度。
然后,使用热传导方程来描述热传递过程,其中包括热扩散项和传热源项。
在计算热传导时需要注意材料的热导率、导热介质的热传导性质等参数。
在计算中,可以使用一些数值方法来离散化热传导方程,例如有限差分法、有限元法等。
其中,有限差分法是一种常见的数值方法。
通过将热传导方程中的导数用差分表达式替代,可以将偏微分方程转化为代数方程。
然后,可以使用迭代方法求解代数方程,得到温度分布的数值解。
结果分析:通过数值计算,可以得到热管内外壁的温度分布。
根据温度分布,可以分析热传递过程中的热流分布和传热效果。
例如,可以计算内外壁之间的热传导率,评估热管的热传递效率。
同时,可以对热管的设计进行优化。
例如,可以通过改变热导率高低、加大导热介质的厚度等方式,来提高热传递效果。
此外,对于热管的材料选择和导热介质的设计,还可以进行参数敏感性分析。
通过改变各个参数的数值,可以研究其对热传递过程的影响程度。
这有助于优化热管的设计,并提供一些实际应用方面的建议。
总结:传热学的数值计算是研究热传递现象的重要工具,可以帮助我们深入了解传热过程,优化传热装置的设计。
通过本次大作业,我们可以学习和练习传热学数值计算的方法和技巧,提升对传热现象的理解和分析能力。
希望通过这次大作业,能够更好地应用所学知识,解决实际问题。
计算传热学大作业报告戴平0708180209选题:题目1题目3题目1已知:一块厚度为0.1mm的无限大平板,具有均匀内热源,q=50×103W/m3,,导热系数K=10W/m.℃,一侧边界给定温度为75℃,另一侧对流换热,T f=25℃,,h=50W/m2.℃,求解稳态分布。
(边界条件用差分代替微分和能量平衡法),画图。
(内,外节点)解:由题目分析可得此情况是有内热源的一维稳态导热问题。
采用均匀网格,外节点法,网格间距取为0.01mm,将无限大的平板沿其厚度方向均匀分为10份。
如图:1 2 3 4 5 6 7 8 9 10 11 网格的具体分布:当I=2,3,4,…9,10边界条件:当I=1时,当I=11时:控制微分方程为: 0d dTkq dx dx⎛⎫+= ⎪⎝⎭ 边界条件为:一边为第一类边界条件0075x T C==另一边为第三类边界条件T f =25℃,,h=50W/m 2.℃ 方程的离散化:对控制微分方程进行积分0e wdT dT k k xq dx dx ⎛⎫⎛⎫-+∆= ⎪ ⎪⎝⎭⎝⎭ 设相邻网格之间的温度是线性分布的,而导热系数k 是常数,所以得()()0P WE P e w T T T T k k xq x x δδ⎛⎫⎛⎫---+∆= ⎪ ⎪ ⎪⎪⎝⎭⎝⎭T1=75℃Tf=25℃h经整理得:1120.5I I I T T T -+=++ I=2,3,…,9,10)边界条件:左边是第一类边界条件,得:23275.5T T =+右边是第三类边界条件,在节点11的半个控制容积内对控制微分方程进行积分:10.511102q q q x -+∆=而由条件得:()1111f q h T T =- 且 101110.5T T q kxδ-=所以得:()10111112f T T q x kh T T xδ-∆+=- 整理得:11101.05 1.5T T =+从而可得三对角矩阵,利用TDMA 解法解之得到温度的稳态分布。
课程编号:13SD02010340课程名称:传热学上课时间:2014年春季电子元器件散热方法研究姓名:学号:班级:所在学院:任课教师:摘要:随着电子器件的高频、高速以及集成电路技术的迅速发展和技术的进步,电子元器件的总功率密度大幅度增长而物理尺寸却越来越小,热流密度也随之增加,所以高温的温度环境势必会影响电子元器件的性能,这就要求对其进行更加高效的热控制。
因此,有效解决电子元器件的散热问题已成为当前电子元器件和电子设备制造的关键技术。
本文针对电子元器件的散热与冷却问题,综述了当前应用研究中不同的散热和冷却方法,并进行了适当的分析。
关键词热管理; 冷却; 电子器件近些年来,电子技术的快速发展。
电子器件的高频、高速以及集成电路的密集和小型化,使得单位容积电子器件的总功率密度和发热量大幅度地增长,从而使电子器件的冷却问题变得越来越突出。
如: 大型计算机的芯片热流量已达到了60 W/ cm2,到2000 年已经超过了,目前最高已达到200 W/ cm2。
特别是由于MEMS技术突飞猛进,使得电子元器件的尺寸越来越小,已经从微米量级进入到了亚微米量级。
尽管随着器件或系统尺寸的减小, 消耗功率也会有所减小, 但为了完成一定的任务,可减小的余地非常有限,这使得为系统内的热流密度非常大, 据报道可达, 远远高出航天飞行器回归地球与大气摩擦时产生的惊人的高热流密度。
在微系统中可能出现的高热流密度对于电子器件是致命的, 然而使用传统的冷却技术要使如此高的热流密度在短时间内散去几乎是不现实的; 另一方面, 电子器件工作的可靠性对温度十分敏感, 器件温度在70~80 水平上每增加1, 可靠性就会下降5%。
因而电子产品的开发、研制中必须要充分考虑到良好的散热手段, 才能保证产品的可靠性和表观。
由于电子元器件的小型化、微型化和集成化,所采用的散热和冷却手段必须要求具有紧凑性、可靠性、灵活性、高散热效率等特点。
1 电子元器件的散热或冷却方法电子元器件的高效散热问题与传热学、流体力学等原理的应用密切相关。
电子器件散热的目的是对电子设备的运行温度进行控制,以保证其工作的稳定性和可靠性。
这其中涉及了与传热有关的散热或冷却方式、材料等多方面内容。
从应用的角度看,常用的方法主要有: 自然散热或冷却、强制散热或冷却、液体冷却、制冷方式、疏导方式、热隔离方式和PCM 温度控制方法等。
1.1 自然散热或冷却方法自然散热或冷却方法是指不使用任何外部辅助能量的情况下,实现局部发热器件向周围环境散热达到温度控制的目的,这其中通常都包含了导热、对流和辐射三种主要传热方式, 其中对流以自然对流方式为主。
自然散热或冷却往往适用对温度控制要求不高、器件发热的热流密度不大的低功耗器件和部件,以及密封或密集组装的器件不宜采用其它冷却技术的情况下。
有时,在对散热能力要求不高时也常常利用电子器件自身特点增强与邻近热沉的导热或辐射、通过结构设计强化自然对流,在一定程度上提高系统向环境散热能力。
1. 2 强制散热或冷却方法强制散热或冷却方法主要是借助于风扇等强迫器件周边空气流动,从而将器件散发出的热量带走的一种方法。
这种方法是一种操作简便、收效明显的散热方法。
如果部件内元器件之间的空间适合空气流动或适于安装局部散热器, 就可尽量使用这种冷却方法。
提高这种强迫对流传热能力的方法主要有:增大散热面积( 散热片) 和在散热表面产生比较大的强迫对流传热系数( 紊流器、喷射冲击、静电作用) 。
增大散热器表面的散热面积来增强电子元器件的散热,在实际工程中得到了非常广泛的应用。
工程中主要是采用肋片( 又称翅片) 来扩展散热器表面的散热面积以达到强化传热的目的。
肋片式散热器又称气冷式冷板, 如: 型材、叉指、针状等各种型式, 长期、广泛地作为热耗电子器件的延伸表面与所处环境( 主要是空气) 的换热器件。
如, 普通台式电脑芯片上肋片散热器和风扇等。
如果在散热器( 热沉) 上加工上微通道,这样可以减小热沉热阻,进一步提高散热效果。
例如, 冷却大功率半导体激光器的微通道热沉。
对一些较大功率的电子器件, 可以根据航空技术中扰流方法, 在现有型材散热器中增加数小片扰流片在散热器表面的流场中引入紊流可以显著提高换热效果,实践表明,紊流可使对流换热系数增加15% 左右。
当然,散热器本身材料的选择跟其散热性能有着直接的关系。
目前, 散热器的材料主要是用铝经过压铸型加折叠鳍/ 冲压薄鳍而制成的, 铝具有高的热传导率( 198W/ mK ) 和不易氧化的优点。
另外已研制出传导率大于200 W/ mK 的AIN 陶瓷,用这种材料制成的散热器具有高的热传导率、不导电、长期暴露在空气中不会氧化的优点, 这种材料已在电子元件的封装技术和行波管中得到了应用。
此外,用硅材料制作热沉在微型系统中也得到了广泛的应用,通过化学加工方法可以在硅材料上得到理想深宽比的微通道。
1. 3 液体冷却方法对电子元器件采用液体冷却的方法进行散热,主要是针对芯片或芯片组件提出的概念。
液体冷却包括直接冷却和间接冷却。
间接液体冷却法就是液体冷却剂不与电子元件直接接触, 而热量经中间媒介或系统( 一般是液体冷板及其辅助装置, 如液冷模块、导热模块、喷射液冷模块、液冷基板从发热元件传递给液体。
直接液体冷却法( 又称浸入冷却) 是指液体与电子元件直接接触, 由冷却剂吸热并将热量带走, 它适用于热耗体积密度很高或那些必须在高温环境下工作且器件与被冷却表面之间的温度梯度又很小的部件以及高度封装或大功率电子器件的2- D或3-D封装。
例如,对高速计算机的冷却而言更加实用。
通常浸入冷却是把电子器件直接浸在氟化烃溶液中, 利用它进行直接冷却。
Kishio Yo kouchi等人曾提出了一种低冷直接浸入冷却方法, 该方法不仅可以防止气泡聚集在组件顶端产生气泡层而影响产热效果, 而且可以大大地提高组件的冷却效果。
此外, Hrishikesh Panchaw agh 提出了一种振动诱导雾化冷却系统, 这是一种液滴冷却技术。
其特点是: 使用电介质冷却液作为工作介质; 通过控制液滴直径和频率来控制冷却功率; 内部可以集成控制的软件, 可以被用来冷却芯片。
1. 4 制冷方式的散热或冷却方法制冷从客观上讲, 就是给高温热源提供一个连续低温的热源,使其温度得到控制。
从制冷的方式来讲,在电子器件中采用主要有利用制冷剂相变制冷和Peltier效应制冷。
1. 4. 1 制冷剂的相变冷却这是利用制冷剂发生相变时大量吸收热量的特性, 在特定场合下对电子器件进行冷却。
一般所说的相变冷却主要指制冷剂蒸发从环境吸热, 其包括两种情况: 容积沸腾( 静止液体沸腾, 又叫池沸腾) 和流动沸腾。
IBM公司曾研制出采用浸渍式池状沸腾冷却方案的液体封装组件( LEM),它的换热系数可很高达1700 ~5700 W/ m2·K,组件的热耗量达300W。
然而, 对于相变冷却的应用, 还有一些技术问题尚待解决, 特别是流动沸腾。
在某些情况下, 深冷技术也在电子元器件冷却方面发挥了重要的作用。
如ET A 大型计算机就是使用了深冷技术。
对于某些大功率巨型计算机系统,其芯片的冷却也可以采用了循环效率较高的蒸汽压缩式制冷装置。
这种方法的优点是制冷量及制冷温度范围方面均比较宽广,机器设备结构紧凑,循环效率高。
1. 4. 2 Peltier制冷用制冷的方式来散热或冷却常规的电子元器件, 制冷装置体积小、质量轻、安装和拆卸要方便往往是首要考虑的因素, 而小型的半导体制冷就符合这样的要求。
半导体制冷又称热电制冷, 是利用半导体材料的Pelt ier效应。
当直流电通过两种不同半导体材料串联成的电偶时, 在电偶的两端即可分别吸收热量和放出热量, 可以实现制冷的目的。
它是一种产生负热阻的制冷技术, 其特点是无运动件, 可靠性也比较高, 主要缺点是效率较低、成本高, 只适用于体积紧凑、制冷要求不高等特殊场合。
其散热温度≤100℃;冷却负载≤300W。
1. 5 散热或冷却过程中的能量疏导这里的疏导是指用一种传递热量的传热元件,将电子器件所散发出的热量传递到另外一个地方集中或更高效地向的环境散热。
随着电子电路集成化程度越来越高,各种大功率电子器件容量的逐渐增加, 电子器件或装置物理尺寸越来越小, 这就要求散热装置本身必须具有良好的散热条件。
同时,散热装置的布置和设计遇到的约束也越来越严重。
以微电子芯片为例,目前一般已达到60~90 W/ cm2 , 最高已达200 W/ cm2。
传统的强制风冷只能用于热流密度不大于10 W/ cm2 ,对于这种情况已显得无能为力, 而进一步提高扩展散热面往往受当地空间的限制。
由于热管技术具有极高的导热性、优良的等温性、热流密度可变性、流动方向的可逆性、恒温特性( 可控热管) 和良好的环境适应性等优点, 可以满足电子电气设备对散热装置紧凑、可靠、控制灵活、高散热效率等要求。
而且近些年来热管技术已在电气设备、电子元器件冷却、半导体元件以及大规模集成电路板的散热方面成功地取得了很多应用成果。
由Staio Y, Mochizuki M等人提出在笔记本电脑中引入热管技术给CPU 散热。
他提出了两种散热方式, 一是铰链式散热, 其散热功率可达到10 W;另一种是强制散热在笔记本电脑中的应用, 其散热功率可达12 W。
然而, 对台式电脑、服务器、工作站中的CPU 需要散热的功率可达50~100 W,单个的热管已不能完成散热任务。
为此, Fujikura公司开发了一种称之为“仙人掌”式的热管, 其散热效果与冷风的流速是相关的, CPU 的功耗为80 W, 在风速为2. 5 m/ s情况下, 其热阻为0. 5℃/W。
对常规大功率半导体元件如二极管、可控硅整流器、大规模集成芯片的冷却常规的挤压成形的翅片铝板散热器在散热量达到1000 W以上时,铝板的受热受收到了限制, 而实践表明热管散热其在这方面有着无可比拟的优势,与铝板散热器相比, 其不但重量可减轻50%,而且还可以节省60% 的有用空间。
热管是一种高效率利用相变传热的热传导器,其热阻可以达到每瓦千分之一摄氏度,传热量可以超过50千瓦。
1984年在第五届国际热管会议上,T . P. Cot ter 等人提出微型热管和小型热管( MHP)的理论及展望, 从而引起了热管在电子元器件散热方面的广泛应用。
一般来说,必须按每种用途对热管单独进行设计,特别注意的是热管的毛细管抽吸作用受重力和外力的影响。
热管的最大问题是由于其制造材料、工艺、管内洁净度等问题会导致一段时间后传热性能下降,所以要严格控制其产品质量,进行老化试验同时必须对被冷却的器件进行温度监控。
1. 6 热隔离方法热隔离即传热学中的绝热技术在电子元器件散热和冷却方面的应用。