山西大学环境与资源学院2019年硕士研究生拟录取名单
- 格式:xls
- 大小:29.00 KB
- 文档页数:4
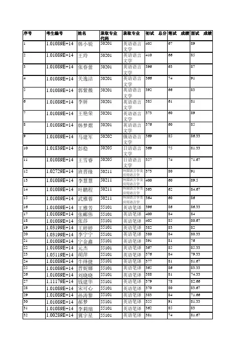
序号考生编号姓名录取专业录取专业初试 总分笔试 成绩面试 成绩代码1 1.00029E+14任梦瑶70301无机化学3707180.62 1.05429E+14王艺华70301无机化学3647085.23 1.01089E+14贾慧娟70301无机化学3577779.94 1.01089E+14纪思慧70301无机化学3567680.65 1.00279E+14刘晨阳70301无机化学3447685.76 1.01089E+14刘旭荣70301无机化学3517481.37 1.01089E+14韩莹莹70301无机化学3527579.48 1.02009E+14阎巧巧70301无机化学34968829 1.01089E+14关小玲70301无机化学346708010 1.02909E+14高成霞70301无机化学3437774.311 1.01419E+14乔慧70301无机化学3417179.912 1.02859E+14王冰弘70301无机化学3337876.713 1.00109E+14刘晓佳70301无机化学3207983.514 1.02139E+14王丽娜70301无机化学3526477.615 1.01419E+14庞倩70301无机化学3476380.416 1.01089E+14蔺慧清70301无机化学3336486.617 1.01089E+14王凯慧70301无机化学340737318 1.00109E+14刘璐70301无机化学3257282.7819 1.01419E+14王霞70301无机化学3406481.720 1.01089E+14张红70301无机化学3357375.621 1.01089E+14梅靖苑70301无机化学3396081.222 1.01089E+14秦雪芹70301无机化学3247078.723 1.01089E+14郑欢70301无机化学3246680.824 1.01089E+14张晓媛70301无机化学3286479.325 1.01089E+14牛箭超70301无机化学3226677.326 1.01089E+14赵莲卿70301无机化学3246075.827 1.01089E+14刘艳玲70301无机化学3156078.128 1.01089E+14邓鹏俊70301无机化学296628229 1.44309E+14刘萌萌70301无机化学3276284.230 1.07309E+14段巍70301无机化学295738431 1.02859E+14张雪0703Z1材料化学3378277.432 1.06989E+14原睿楠0703Z1材料化学3417577.833 1.01089E+14吕娟0703Z1材料化学3178185.734 1.02859E+14王晶0703Z1材料化学3168086.935 1.02009E+14石舒漫0703Z1材料化学3148183.536 1.01839E+14武世超0703Z1材料化学3107387.337 1.01839E+14龙志清0703Z1材料化学3206684.938 1.00569E+14王雨欣0703Z1材料化学3136587.939 1.01419E+14胡儒佳0703Z1材料化学2997486.740 1.00109E+14李晶晶0703Z1材料化学3177173.341 1.00089E+14刘肖宇0703Z1材料化学3096880.342 1.02139E+14赵雅雯0703Z1材料化学3136382.543 1.05429E+14吴欣瑶0703Z1材料化学3186477.844 1.01089E+14王月琴0703Z1材料化学3146479.7845 1.01089E+14张希元0703Z1材料化学3076578.5总成绩学习方式74.72全日制74.72全日制74.22全日制74.04全日制73.62全日制73.18全日制73.12全日制71.88全日制71.52全日制71.42全日制71.1全日制70.9全日制70.9全日制70.56全日制70.32全日制70.08全日制70全日制69.96全日制69.94全日制69.92全日制68.92全日制68.62全日制68.24全日制68.02全日制67.3全日制66.04全日制65.42全日制64.32全日制68.48全日制66.8全日制72.32全日制71.48全日制71.38全日制71.3全日制70.58全日制69.26全日制68.58全日制68.14全日制68.02全日制66.9全日制66.74全日制66.66全日制66.52全日制66.44全日制65.54全日制。
序号考生编号姓名录取专业录取专业初试 总分笔试 成绩面试 成绩代码1 1.01089E+14郝俊雪71001植物学3529991.532 1.01089E+14李娟71001植物学3728586.533 1.01089E+14相彦丹71001植物学3369489.474 1.01089E+14李其其71001植物学3349588.245 1.00569E+14李欣宇71001植物学3418988.946 1.00199E+14武于清71001植物学3319290.887 1.07189E+14赵丽蓉71001植物学3369187.538 1.01089E+14贾春琪71001植物学3279190.769 1.00569E+14张亚仙71001植物学3368888.0610 1.04869E+14郭婷71001植物学3249091.3511 1.06359E+14杜慧慧71001植物学3229389.1812 1.01089E+14王慧71001植物学3507886.0613 1.07189E+14赵锦丽71001植物学3328688.7614 1.05599E+14张璐娜71001植物学3288988.1215 1.01089E+14罗茜71001植物学3458185.3516 1.07189E+14薛新慧71001植物学3268687.5317 1.07189E+14赵琪71001植物学3248487.5918 1.01089E+14郭红霞71001植物学3248685.5319 1.02959E+14马琦琦71001植物学3208388.4720 1.07309E+14张彦71001植物学3178389.4121 1.07129E+14张潇文71001植物学2959589.0622 1.00569E+14孙晋鑫71001植物学3118587.7623 1.06979E+14王莹71001植物学3148387.9424 1.06359E+14韩亚慧71001植物学3257490.1825 1.07309E+14王明霞71001植物学3128487.8226 1.01089E+14刘建71001植物学3218084.9427 1.05339E+14樊沂慧71001植物学3098289.0628 1.04879E+14徐路路71001植物学2939088.6529 1.01089E+14马玲玲71001植物学3008787.4130 1.07129E+14杨辰康71001植物学3008389.8231 1.02809E+14邵提71002动物学3827887.5632 1.06359E+14陈晨71002动物学3379387.7433 1.01089E+14霍艳君71002动物学3607288.434 1.02009E+14周建楠71002动物学3437987.2435 1.02859E+14和柳芝71002动物学3089490.4436 1.00559E+14王丽花71002动物学3297489.2437 1.05329E+14武文君71002动物学3247392.238 1.00559E+14苏亚芷71002动物学3078187.6839 1.02009E+14武宇琪71002动物学3207486.7640 1.02859E+14刘江71002动物学2907787.2841 1.00559E+14刘静71002动物学3076588.3242 1.05599E+14杨肇锋71002动物学3056289.5643 1.02849E+14李茹茹71004水生生物3089189.25学3198484.5 44 1.03849E+14左书慧71004水生生物学2949587.58 45 1.05599E+14刘林平71004水生生物学46 1.0719E+14李彩霞71004水生生物3167492.29学3108184.92 47 1.07189E+14王海斌71004水生生物学48 1.01089E+14田金苗71007遗传学3736886.4249 1.01089E+14郭凡71007遗传学3476882.1750 1.07189E+14苏鹏飞71007遗传学3227882.3351 1.01089E+14王瑶71007遗传学3356082.2552 1.01089E+14李昕71007遗传学3007586.553 1.01089E+14任焕71009细胞生物3599090.46学3489590.54 54 1.00559E+14王森71009细胞生物学3569287.04 55 1.01089E+14张文文71009细胞生物学56 1.01089E+14毋张晶71009细胞生物3568687.17学3429190.38 57 1.07189E+14谢永春71009细胞生物学58 1.01089E+14赵晨云71009细胞生物3568586.46学3378383.46 59 1.01089E+14王晓涛71009细胞生物学3436890.21 60 1.01089E+14桑之雯71009细胞生物学3327187 61 1.01089E+14殷玲燕71009细胞生物学62 1.02009E+14李成璐71009细胞生物3227586.08学3417789.79 63 1.00569E+14郭雪冬83200食品科学与工程64 1.01089E+14董慧鑫83200食品科学3128491.14与工程3188387.2 65 1.01089E+14郭定一83200食品科学与工程3037789.4 66 1.01089E+14乔嘉欣83200食品科学与工程67 1.01089E+14王爽83200食品科学3316881.49与工程3376184.51 68 1.01089E+14史卓83200食品科学与工程69 1.01089E+14郭佳敏83200食品科学3296280.03与工程3236081.81 70 1.01089E+14张卓83200食品科学与工程2937384.38 71 1.01089E+14吴慧83200食品科学与工程72 1.01089E+14崔鑫83200食品科学2976487.44与工程2887383.52 73 1.01089E+14黄梓茜83200食品科学与工程74 1.01089E+14刘一志83200食品科学2966385.91与工程2866086.75 75 1.01089E+14刘鹏帆83200食品科学与工程76 1.01089E+14韩宇航83200食品科学2826481.14与工程77 1.01089E+14曾萧莹85231食品工程3407586.1878 1.07189E+14杜红丽85231食品工程3188785.5579 1.00559E+14庄新超85231食品工程3118689.8280 1.01089E+14王婉榕85231食品工程3396691.5581 1.03079E+14齐千慧85231食品工程3008688.7382 1.07129E+14田捷予85231食品工程298848983 1.03079E+14董程85231食品工程3076890.5584 1.06109E+14胡坤85231食品工程3056886.9185 1.01089E+14田玉荣85231食品工程3176087.2786 1.01089E+14郭云凯85231食品工程3056682.9187 1.04239E+14刘然85231食品工程3046286.4588 1.07189E+14王俊敏85231食品工程2926288.363526086.5 89 1.01089E+14王晓婷95135食品加工与安全3486186.2 90 1.01089E+14王家琦95135食品加工与安全91 1.01089E+14加英85238生物工程4027189.4792 1.06139E+14黄子佳85238生物工程3257791.7393 1.06119E+14陈江峰85238生物工程3486985.894 1.01089E+14贺迎霞85238生物工程3566084.7395 1.00559E+14王荣荣85238生物工程3237984.3396 1.02959E+14胡倩楠85238生物工程2849390.297 1.01089E+14毕金曦85238生物工程3406083.4798 1.06989E+14杨金宝85238生物工程2828689.0799 1.04239E+14张雄杰85238生物工程3276185.87 100 1.00559E+14胡伟85238生物工程3087086.87 101 1.06109E+14白雪连85238生物工程3076790.47 102 1.00559E+14王娟85238生物工程3076588.6 103 1.05049E+14吴垠岑85238生物工程3006889.33 104 1.04239E+14史雨欣85238生物工程3056886105 1.02959E+14武恬恬85238生物工程2957287.13 106 1.04239E+14苏鑫85238生物工程3076088.53 107 1.00559E+14康孟娜85238生物工程3056088.33 108 1.02959E+14刘淑珍85238生物工程2717888.67 109 1.03079E+14曹雁麟85238生物工程3006285 110 1.01089E+14闫高阳85238生物工程2776083.27 111 1.01089E+14刘绍昱95132资源利用与3258588.13植物保护3227486 112 1.01089E+14孙喜梅95132资源利用与植物保护3336486 113 1.01089E+14张静95132资源利用与植物保护3296090.67 114 1.03079E+14韦懿泓95132资源利用与植物保护3406079.73 115 1.01089E+14杨晓婧95132资源利用与植物保护116 1.01089E+14高鸣泽95132资源利用与2887986.13植物保护3016383.6 117 1.01089E+14曹华麒95132资源利用与植物保护2816085.27 118 1.01089E+14闻雪芹95132资源利用与植物保护119 1.01089E+14李静凤95135食品加工3518986.8与安全3727785.3 120 1.01089E+14贺红丽95135食品加工与安全3399289 121 1.01089E+14任姣俐95135食品加工与安全122 1.01089E+14席银璘95135食品加工3697884.8与安全3578384.5 123 1.01089E+14孙慧慧95135食品加工与安全3358591.7 124 1.01089E+14崔琛95135食品加工与安全125 1.01089E+14申倬瑜95135食品加工3348987.4与安全3637385.9 126 1.01089E+14马巧宁95135食品加工与安全3507590.3 127 1.01089E+14武培莉95135食品加工与安全3587484.6 128 1.01089E+14张婷95135食品加工与安全129 1.01089E+14王为荣95135食品加工3606085.6与安全3436687.4 130 1.01089E+14徐璐95135食品加工与安全131 1.01089E+14朱媛媛95135食品加工3556185.1与安全132 1.01089E+14马培珏95135食品加工3576084.7与安全133 1.01089E+14刘榕95135食品加工3476585.7与安全134 1.01089E+14折雨亭95135食品加工3337088.9与安全3466090.5 135 1.01089E+14肖攀95135食品加工与安全总成绩学习方式80.35全日制78.95全日制77.01全日制76.73全日制76.51全日制76.3全日制76.03全日制75.59全日制75.53全日制75.15全日制75.08全日制74.81全日制74.79全日制74.78全日制74.67全日制73.83全日制73.2全日制73.19全日制72.69全日制72.52全日制72.21全日制71.87全日制71.87全日制71.84全日制71.8全日制71.51全日制71.29全日制70.89全日制70.88全日制70.56全日制78.95全日制76.59全日制75.28全日制74.41全日制73.85全日制72.13全日制71.92全日制70.58全日制70.55全日制67.66全日制67.5全日制73.01全日制71.98全日制71.8全日制71.18全日制70.38全日制75.64全日制71.67全日制70.71全日制68.65全日制68.3全日制79.17全日制78.87全日制78.53全日制77.35全日制77.32全日制77.01全日制73.73全日制72.8全日制71.44全日制70.86全日制74.28全日制72.47全日制72.2全日制69.64全日制69.62全日制69.54全日制67.12全日制66.64全日制65.93全日制65.86全日制65.3全日制63.67全日制62.87全日制73.04全日制72.67全日制72.48全日制72.19全日制70.95全日制70.36全日制68.55全日制67.58全日制67.49全日制66.38全日制66.17全日制65.11全日制71.54全日制71.2全日制80.33全日制72.75全日制72.72全日制71.67全日制71.43全日制70.72全日制69.49全日制68.85全日制68.61全日制68.33全日制68.33全日制67.56全日制67.47全日制67.4全日制66.55全日制66.27全日制65.85全日制65.4全日制61.89全日制73.63全日制70.64全日制69.96全日制69.61全日制68.75全日制67.59全日制65.44全日制62.77全日制77.28全日制77.1全日制76.88全日制76.84全日制76.34全日制75.54全日制75.36全日制75.34全日制75.06全日制74.68全日制72.32全日制71.84全日制71.82全日制71.78全日制71.78全日制71.62全日制。
山西大学2019年硕士研究生复试分数线一、我校部分专业执行复试分数线如下:
010文学院050103汉语言文字学359 050105中国古代文学369 050106中国现当代文学358 130100艺术学理论347
011新闻学院055200新闻与传播360 020生命科学学院095135食品加工与安全333
022计算机与信息技术学
院
085211计算机技术301
085212软件工程277
二、我校其他专业执行教育部划定的复试分数线。
三、报考“少数民族骨干”专项计划的考生复试分数线:总分线为248分,单科(满分=100分)分数线为30分,单科(满分>100分)分数线为45分。
四、报考“退役大学生士兵”专项计划的考生复试分数线:国家线总分基础上降25分,政治、英语单科分数线为30分,专业课单科分数线为45分。
序号考生编号姓名录取专业录取专业初试 总分笔试 成绩面试 成绩代码3888691.41 1.01089E+14刘柯炜130100艺术学理论2 1.01089E+14王艺蓉130100艺术学理3839088.2论3 1.01089E+14王笑笑130100艺术学理3769191论3857692.64 1.01089E+14张佳瑜130100艺术学理论37987845 1.01089E+14李娜130100艺术学理论3838384.86 1.01089E+14李文静130100艺术学理论3907290.67 1.01089E+14周帅帅130100艺术学理论8 1.01089E+14苏敏130100艺术学理3747792.6论3758283.49 1.01089E+14史惠媛130100艺术学理论10 1.01089E+14徐少华130100艺术学理3688385.4论11 1.01089E+14卫丽帆130100艺术学理论356769012 1.01089E+14韩倩130400美术学3827389.7113 1.01089E+14吕杰130400美术学3509089.1414 1.01089E+14王欣130400美术学3916984.1415 1.01089E+14李鑫梦130400美术学3518288.5716 1.01089E+14张毅130500设计学3848482.6317 1.01089E+14樊玉婷130500设计学352818318 1.01089E+14杨堃130500设计学3467688.7519 1.01089E+14陈岩妍130500设计学3487981.6320 1.01089E+14郝志芳130500设计学3566980.8821 1.01089E+14李慧135107美术3929286.5722 1.01089E+14符瑶135107美术4177288.1423 1.01089E+14荣婧仪135107美术379919124 1.01089E+14闫瑞135107美术3819287.4325 1.01089E+14王路135107美术3739093.8626 1.01089E+14关霞135107美术3749390.1427 1.01089E+14李郭妍135107美术3739386.2928 1.01089E+14冀袖秀135107美术3878188.1429 1.01089E+14张琛皓135107美术3768689.7130 1.01089E+14宗笑梅135107美术3609392.2931 1.01089E+14郑杰135107美术356959232 1.01089E+14王亚平135107美术3669187.2933 1.01089E+14王崇美135107美术368888834 1.01089E+14陈雅琨135107美术3519591.1435 1.01089E+14吴昱臻135107美术3768387.4336 1.01089E+14李英九135107美术3619286.7137 1.01089E+14庞巧娜135107美术375818938 1.01089E+14孙晶晶135107美术391718939 1.01089E+14史国新135107美术3698388.7140 1.01089E+14董丽华135107美术3698091.4341 1.01089E+14刘鑫135107美术3519389.1442 1.01089E+14程诗萌135107美术3659281.5743 1.01089E+14赵香爱135107美术3837388.7144 1.01089E+14武宁135107美术3558889.4345 1.01089E+14马丹阳135107美术355898746 1.01089E+14钟宝135107美术353859247 1.01089E+14张旭辉135107美术350888948 1.01089E+14郭伟华135107美术3509481.2949 1.01089E+14常宇135107美术3568486.8650 1.01089E+14付宜红135107美术3539181.5751 1.01089E+14裴倩135107美术3166090.8652 1.01089E+14巩瑞琴135107美术3707087.4353 1.01089E+14焦家敏135107美术352848454 1.01089E+14张路135108艺术设计3889289.6355 1.01089E+14郭益恒135108艺术设计3859090.7556 1.01089E+14王洪霖135108艺术设计3848889.6357 1.01089E+14高小阳135108艺术设计3868491.1358 1.01089E+14田子兴135108艺术设计3719290.559 1.01089E+14任凤舞135108艺术设计3888191.1360 1.01089E+14药颖欣135108艺术设计3768890.7561 1.01089E+14张琪135108艺术设计3858488.7562 1.01089E+14王嘉敏135108艺术设计3828688.3863 1.01089E+14吉莉135108艺术设计3649190.1364 1.01089E+14孙嘉敏135108艺术设计3768489.8865 1.01089E+14张栋135108艺术设计373859066 1.01089E+14王冠135108艺术设计3619091.7567 1.01089E+14吉茹135108艺术设计3688789.3868 1.01089E+14郝冰清135108艺术设计3658790.1369 1.01089E+14柴凯旋135108艺术设计3708687.2570 1.01089E+14徐可帆135108艺术设计3758385.7571 1.01089E+14代娅楠135108艺术设计3618988.1372 1.01089E+14焦帅飞135108艺术设计3927382.573 1.01089E+14苏雨鑫135108艺术设计3479190.3874 1.01089E+14王炀洋135108艺术设计379699175 1.01089E+14李斯135108艺术设计3767190.2576 1.01089E+14白岩135108艺术设计3638088.8877 1.01089E+14宋棋超135108艺术设计3468692.7578 1.01089E+14王立群135108艺术设计3647889.2579 1.01089E+14弓晓龙135108艺术设计3906485.1380 1.01089E+14李晓晴135108艺术设计3697883.2581 1.01089E+14吉代荣135108艺术设计3488389.8882 1.01089E+14田涛135108艺术设计358818383 1.01089E+14赵晓彤135108艺术设计3518380.6384 1.01089E+14董晓丹135108艺术设计3716384.8885 1.01089E+14赵俊利135108艺术设计3527088总成绩学习方式82.04全日制81.6全日制81.52全日制79.92全日制79.68全日制79.52全日制79.32全日制78.8全日制78.08全日制77.84全日制75.92全日制78.38全日制77.83全日制77.55全日制76.23全日制79.41全日制75.04全日制74.47全日制73.89全日制72.7全日制82.75全日制82.07全日制81.88全日制81.61全日制81.53全日制81.51全日制80.62全日制80.27全日制80.26全日制80.26全日制80.12全日制79.58全日制79.36全日制79.35全日制79.06全日制79全日制78.92全日制78.62全日制78.57全日制78.55全日制78.51全日制78.3全日制78.09全日制77.8全日制77.76全日制77.4全日制77.06全日制76.89全日制76.87全日制68.09全日制75.89全日制75.84全日制82.89全日制82.35全日制81.61全日制81.35全日制81.02全日制80.99全日制80.87全日制80.75全日制80.72全日制79.91全日制79.9全日制79.76全日制79.67全日制79.44全日制79.23全日制79.05全日制78.75全日制78.75全日制78.14全日制77.92全日制77.48全日制77.37全日制77.34全日制77.27全日制76.63全日制76.53全日制76.34全日制75.76全日制74.85全日制74.1全日制73.84全日制。