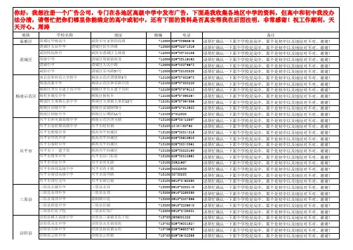
陕西省咸阳市初中学校一览表
- 格式:xls
- 大小:60.50 KB
- 文档页数:11
咸阳市2015年秋季学期中小学幼儿园收费一览表
学前教育(非免费段)幼儿园标准:
几点说明:
1、各幼儿园在保教费外不得以开办实验班、特色班、兴趣班、课后培训班和亲子班等特色教育为名向幼儿家长另行收取费用,不得以任何名义向幼儿家长收取与入园挂钩的赞助费、捐资助学费、建校费、教育成本补偿费等费用。
2、.幼儿园对住宿的幼儿可以收取住宿费,其标准按照管理权限由教育行政部门提出意见,报同级价格主管部门会同财政部门审批后执行。
3、幼儿园为在园幼儿教育、生活提供方便可收取的服务性收费包括伙食费(含餐点)1项;可收取的代收费包括体检费、保险费2项。
服务性收费和代收费,应遵循“家长自愿,据实收取,及时结算,定期公布”的原则,其中伙食费(含餐点)实行毛利率控制,具体标准由当地价格主管部门按照保本原则批准。
4、幼儿园除收取保教费、住宿费及服务性收费、代收费外,不得收取书本费等其他费用。
5、原由国有企业所办幼儿园在企业破产改制为非国有企业后,经教育行政部门认定,可按照民办教育收费规定执行,以确保幼儿园正常运转。
沣西初中排名一览表沣西初中是我市一所优秀的中学,以其优质的教育质量和丰富的课外活动而闻名。
在过去的几年里,该校一直在不断努力提高教学水平和学校管理,取得了显著的成绩。
下面是沣西初中的排名一览表,让我们一起来了解一下吧。
一、学校概况沣西初中位于市中心,占地面积约100亩,拥有现代化的教学设施和良好的学习环境。
学校秉承“德、智、体、美、劳全面发展”的教育理念,注重培养学生的综合素质和创新精神。
学校设有初中部和国际部,拥有一支高素质、专业化的教师队伍。
二、教学质量沣西初中一直以来注重提高教学质量,严格要求教师教学水平和教学态度。
学校开设了多个学科的特色班,如科技创新班、艺术班等,并邀请了一些知名专家学者来校指导教学。
学校注重培养学生的实践能力和创新思维,通过各类课外活动和竞赛来拓展学生的视野和能力。
三、学生管理沣西初中非常重视学生的管理工作,通过建立健全的班级管理制度和学生评优评先制度,激励学生积极向上。
学校注重培养学生的自主学习能力和团队合作精神,通过开展各类社团活动和学生自治活动,使学生得到全面发展。
四、课外活动沣西初中注重培养学生的兴趣爱好和综合素质,开设了丰富多样的课外活动。
学校设有各类社团和俱乐部,如音乐社团、舞蹈社团、篮球俱乐部等,供学生选择参加。
此外,学校还组织了各种形式的文化艺术活动和体育竞赛,让学生全面发展。
五、校园环境沣西初中拥有优美的校园环境,绿树成荫,花香四溢。
学校注重校园文化建设,营造了和谐、积极向上的校园氛围。
学校还建有现代化的图书馆、实验室和多功能教室,为学生提供良好的学习条件。
六、社会评价沣西初中一直以来都在社会上享有良好的声誉。
学校的教育质量和学生的综合素质备受赞誉。
学校的毕业生也深受各高中的欢迎,被誉为“优秀的初中生源基地”。
以上就是沣西初中的排名一览表,通过这份一览表我们可以清晰地看到该校在教育质量、学生管理、课外活动等方面所取得的成绩。
沣西初中将继续努力,为学生提供更好的教育资源和培养平台,培养更多优秀的人才。
咸阳启迪中学初一分班情况
【原创实用版】
目录
1.咸阳启迪中学初一分班情况概述
2.咸阳启迪中学初一分班方式
3.咸阳启迪中学初一分班结果
4.对咸阳启迪中学初一分班情况的评价
正文
咸阳启迪中学初一分班情况概述
咸阳启迪中学是一所位于陕西省咸阳市的知名中学,以其优质的教育资源和教学质量广受好评。
每年,这所学校都会吸引大量的初中生前来报名。
在初中一年级的分班情况方面,咸阳启迪中学采取了一些独特的方式,以保证学生们能够公平、合理地被分配到各个班级。
咸阳启迪中学初一分班方式
咸阳启迪中学在初一分班时,主要采取了以下几种方式:
1.均衡分班:学校会根据学生的报名情况,将男生和女生均衡地分配到各个班级,以保证每个班级的男女比例适中。
2.成绩分班:学校会对学生的入学成绩进行排名,然后按照排名将学生分配到不同的班级。
这种方式可以保证每个班级的学生成绩相对均衡,有利于教学和管理。
3.随机分班:为了保证公平性,学校还会采取随机抽签的方式,将学生分配到各个班级。
这种方式可以避免人为干预,确保每个学生都有公平的机会进入各个班级。
咸阳启迪中学初一分班结果
经过以上几种方式的综合考虑,咸阳启迪中学的初一分班结果得到了学生和家长的广泛认可。
每个班级的学生成绩、男女比例等方面都相对均衡,有利于教育教学的开展。
对咸阳启迪中学初一分班情况的评价
总体来说,咸阳启迪中学在初一分班方面的做法是值得肯定的。
学校采取了多种方式,既保证了学生的公平性,又兼顾了教育教学的实际需求。
西安高级中学教学陕西省西安市碑林区东厅门85号西安市八中教育陕西省西安市碑林区东县门8号西安市第二十六中学教育陕西省西安市碑林区建国路118号西安市第六中学教学陕西省西安市碑林区五味什字13号西安市第七十中学初高中教育陕西省西安市莲湖区西夏家十字4号西安实验职业中等专业学校学校教育陕西省西安市莲湖区早慈巷24号西安市第八十九中学中等教育陕西省西安市新城区后宰门143号西安市第四中学中等教育陕西省西安市新城区后宰门97号西安市第四十四中学中等教育陕西省西安市莲湖区青年路189号西安爱知初级中学初级教育陕西省西安市新城区西七路478号西安市第30中学普通中学陕西省西安市新城区西新街51号西安市第七十五中学中学教育陕西省西安市未央区龙首北路东1号西安市第十中学教育陕西省西安市莲湖区振华路95号西安市莲湖区第十中学学校教育陕西省西安市莲湖区振华路95号西安市三十八中学中等教育陕西省西安市新城区太华路226号西安市第五十八中学中学陕西省西安市未央区草店西航集团第二子弟中学普通中学陕西省西安市未央区渭滨街西安市第三十四中学教学陕西省西安市灞桥区柳巷村西安市第十九中学教学陕西省西安市灞桥区洪庆正街西安市第六十四中学教学管理陕西省西安市灞桥区新筑镇新筑街西安市四十八中学中学陕西省西安市未央区啤酒路西北电力建设第四工程公司西安子弟学校普通教育陕西省西安市灞桥区纺建路265号西安市地五十五中学教学活动陕西省西安市灞桥区纺建路15号五环集团子弟中学教育陕西省西安市灞桥区纺织城西安市第八十三中学中学教育陕西省西安市新城区咸宁中路51号西安市第七十八中学初中教育陕西省西安市雁塔区等架坡街办康宁路7号陕西汽车制造总厂第二职工子弟学校中学教育小学教育陕西省西安市新城区兴工路41号西安交通大学附属中学普通中学陕西省西安市碑林区兴庆南路135号中铁一局集团西安子弟学校普通中学陕西省西安市碑林区太乙路68号西安铁路分局西安第一职工子弟中学教育陕西省西安市碑林区友谊东路120号陕西师范大学附属中学教育教学陕西省西安市雁塔区翠华南路115号西安同仁中学中学教育陕西省西安市雁塔区水厂路7号西安市第四十六中学教育教学陕西省西安市雁塔区东仪路202号西安市西北工业大学附属中学教育陕西省西安市碑林区友谊西路258号西安市第十五中学学校教育陕西省西安市莲湖区沣镐一坊3号西安市第十四中学初中教育陕西省西安市雁塔区双水磨村5号西安市第五十二中学教学陕西省西安市雁塔区鱼化街道办西安电力机械制造公司第教育陕西省西安市莲湖区桃园西路1号三中学西安远东教育集团第一中教育陕西省西安市莲湖区汉城东路27号学西安市信德中学学校陕西省西安市莲湖区汉城南路39号西安市第一中学教学陕西省西安市莲湖区环城西路铁塔3号西安市第四十二中学教育陕西省西安市莲湖区西关正街379号西安市五十一中学中学陕西省西安市未央区杨河村西安市阎良区关山中学普通中学陕西省西安市阎良区关山镇关山村西安飞机工业(集团)公司初中教育陕西省西安市阎良区教育路第二子弟中学西安市阎良区北屯乡初级教学陕西省西安市阎良区北屯街中学西安市阎良区武屯镇初级教学陕西省西安市阎良区武屯镇广阳村中学西安市阎良区关山初级中普通中学陕西省西安市阎良区关山镇关山村学长安县第一中学普通中学陕西省长安县韦曲镇西回府村甲字2号长安县第二中学普通中学高级中学陕西省长安县韦曲镇青年街33号长安县第三中学普通中学陕西省长安县韦曲镇友谊西街长安县第六中学普通中学陕西省长安县引镇东堡长安县第六中学长安县第八中学普通中学陕西省长安县王曲镇王曲村北长安县第十中学普通中学陕西省长安县黄良乡黄良镇长安县第十二中学普通中学陕西省长安县马王镇大原长安县王寺镇初级中学普通中学陕西省长安县王寺镇王寺跃进甲字一号长安县斗门镇初级中学普通初中陕西省长安县斗门镇斗门北街长安县第四中学高级中学陕西省长安县细柳镇长安四中长安县细柳初级中学初级中学陕西省长安县细柳镇高陵县第一中学中等教育陕西省高陵县鹿苑镇田家高陵县张卜乡张卜中学普通中学陕西省高陵县张卜乡户县第一中学中学教育陕西省户县甘亭镇画展街16号惠安中学中学陕西省户县余下镇居民小区甘河初级中学普通中学陕西省户县甘河镇甘河村户县涝店初级中学中学教育陕西省户县涝店镇涝店街户县第四中学普通中学陕西省户县秦渡镇秦二村周至中学普通中学陕西省周至县辛家寨乡五合周至县第七中学初级教育陕西省周至县二曲镇中心东街36号周至县第六中学教育陕西省周至县尚村镇周至县第三中学高中教育陕西省周至县终南镇周至县哑柏镇初级中学中学教育陕西省周至县哑柏镇仰天周至县广济镇初级中学普通中学陕西省周至县广济镇南陈周至县司竹乡司竹初级中普通中学陕西省周至县司竹乡北司竹村学西安市田家炳中学中学教育陕西省蓝田县蓝关镇文化路55号蓝田县三里镇乡文姬中学中学教育陕西省蓝田县三里镇三里头村西安市临潼区临潼中学高中教育陕西省西安市临潼区秦陵街道办贾堡西安市临潼区雨金中学高中教育陕西省西安市临潼区雨金镇雨金街道376号西安市临潼区新丰高级职业中学职业高中教育普通高中教育陕西省西安市临潼区南杜西安市临潼区新丰街道办事处初级中学初级中学陕西省西安市临潼区鸿门西安市临潼区代王中学教育教学陕西省西安市临潼区代王西安市临潼区斜口初级中学中学教育陕西省西安市临潼区岳沟淳化县淳化中学教育活动陕西省淳化县城关镇淳化县治峪初级中学初中教育陕西省淳化县城关镇南关旬邑县中学教学陕西省旬邑县城关镇东关柞水县中学负责全县中学教育进行科学,计划组织陕西省柞水县乾佑镇乾佑街北关陕西省镇安县中学普通中学陕西省镇安县永乐镇47宁陕县宁陕中学普通中学陕西省宁陕县城关镇关口街富平县迤山中学高中教育陕西省富平县杜村镇迤山新村86号富平县刘集中学高中教育陕西省富平县刘集镇街南村富平县美原中学高中教育陕西省富平县美原镇富平县立诚中学高中教育陕西省富平县庄里镇陕西咸阳中学高中阶段教育陕西省咸阳市渭城区东风路咸阳市渭城区渭城中学中学陕西省咸阳市渭城区中山渭城区塔尔坡学校教育教学陕西省咸阳市渭城区毕原东路14号渭城区第二初级中学教育教学陕西省咸阳市渭城区民生西路陕西彩虹彩色显象管总厂学校陕西省咸阳市秦都区彩虹路1号咸阳市渭城区北杜初级中学教育教学陕西省咸阳市渭城区北杜镇北朱村咸阳市渭城区周陵镇初级中学初级教育陕西省咸阳市渭城区周陵镇陵召村杨陵区杨陵中学中学教育陕西省咸阳市杨陵区后稷路杨陵区邰城中学中学教育陕西省咸阳市杨陵区邰城路杨陵区五泉镇五泉中学中学教育李全社陕西省咸阳市杨陵区五泉镇五泉村武功县大庄镇大庄初级中学教育教学陕西省武功县大庄镇曹家武功县普集街乡中学教育教学陕西省武功县普集街乡普中武功县代家中学教学陕西省武功县代家乡李家武功县普集镇北营初级中学教育教学陕西省武功县普集镇营南武功县河道初中教学陕西省武功县河道乡黄新武功县苏坊初中教学陕西省武功县苏坊镇田庄兴平市西郊高级中学高中教育陕西省兴平市育才路陕西秦岭公司中学中学陕西省兴平市秦岭兴平市庄头初级中学中学教学陕西省兴平市庄头镇庄头村兴平市南市初级中学中学教育陕西省兴平市南市镇南市街72号兴平市初级中学中学教育陕西省兴平市槐里西路兴平市西城办冉庄初级中中学教育陕西省兴平市西城学兴平市马嵬镇初级中学中学教学陕西省兴平市马嵬镇兴平市大阜第一初级中学中学教育陕西省兴平市王庄村兴平市南位镇初级中学中学教育陕西省兴平市南位镇衬中村兴平市西吴初级中学中学教育陕西省兴平市西吴镇西二礼泉第二中学高级中学陕西省礼泉县城关镇汤房礼泉县赵镇初级中学初级中学陕西省礼泉县赵镇吴村礼泉县骏马乡初级中学初级中学陕西省礼泉县骏马乡下南宁礼泉逸夫初级中学初级中学陕西省礼泉县城关镇汤房礼泉县药王洞乡初级中学初级中学陕西省礼泉县药王洞乡礼泉县裴寨初级中学初级中学陕西省礼泉县城关镇张里村礼泉县西张堡初级中学初级中学陕西省礼泉县西张堡镇南寨村礼泉县烽火刘家学校初级中学陕西省礼泉县烽火镇刘家礼泉县阡东镇初级中学初级中学陕西省礼泉县阡东镇阡东村礼泉县史德初中初中陕西省礼泉县史德镇史北礼泉县石潭初级中学学校陕西省礼泉县石潭镇夏候彬县城关中学教育陕西省彬县城关镇东大街63号彬县北极中学教育陕西省彬县北极镇北极街长武县长武中学普通中学陕西省长武县昭仁镇东泾阳县姚家巷中学初中教育陕西省泾阳县泾干镇姚家巷泾阳县中张镇中张中学初中教育陕西省泾阳县中张镇义民曹泾阳县永乐中学高中教育陕西省泾阳县永乐镇永丰泾阳县永乐镇中学初中教育陕西省泾阳县永乐镇泾阳县云阳中学高中教育陕西省泾阳县云阳镇泾阳县云阳镇中学初中教育陕西省泾阳县云阳镇泾阳县石桥中学高中教育陕西省泾阳县桥底镇东沟泾阳县太平镇太平中学初中教育陕西省泾阳县太平镇柳村三原县新庄初级中学中学教育陕西省三原县城关镇三里店三原县东郊高级中学普通教育陕西省三原县城关镇丰原街三原县鲁桥正谊中学中学教育陕西省三原县鲁桥镇北街三原县陵前初级中学中学校陕西省三原县陵前镇三原县西阳镇初级中学中学教育陕西省三原县西阳镇西南三原县陂西中学教育陕西省三原县陂西镇东木三原县独李中学中学教育陕西省三原县独李镇刘官渭南市瑞泉中学教育教学陕西省渭南市临渭区老城街132号渭南市杜桥中学高中阶段教育陕西省渭南市杜北路五号渭南市临渭区育红初级中教育教学陕西省渭南市临渭区西门巷79号学渭南市临渭区前进路初级教育教学陕西省渭南市临渭区朝阳路西段10号中学渭南市铁路中学中学陕西省渭南市临渭区站北路25号渭南市临渭区吝店中学教育陕西省渭南市临渭区吝店镇临店9号华县咸林中学教育陕西省华县城关镇文体路华县少华中学教育陕西省华县城关镇新华路东段华阴市岳庙中学高中陕西省华阴市太华北路华阴市城关初级中学初中陕西省华阴市老城街大荔县大荔中学普通中学陕西省大荔县城关镇东大街大荔县城关镇初级中学普通中学陕西省大荔县城关镇北大大荔县城郊中学普通中学陕西省大荔县城关镇冯翊路21号大荔县羌白镇初级中学教育教学陕西省大荔县羌白镇羌西大荔县埝桥乡初级中学教育教学陕西省大荔县埝桥乡澄城县庄头乡初级中学安中教育陕西省澄城县庄头乡澄城县北关中学初中教育陕西省澄城县城关镇东一路27号澄城县城郊中学初中教育陕西省澄城县城关镇东九路澄城县韦庄镇中学初中教育陕西省澄城县韦庄镇韦一合阳县合阳中学中学教育陕西省合阳县城关镇文化街合阳县城关中学中学教育陕西省合阳县城关镇西新街合阳县美华学校中学教育小学教育学前教育陕西省合阳县城关镇金水路01号韩城市象山中学中学教育陕西省韩城市象山路韩城市苏东镇红旗初级中学中学教育陕西省韩城市普照路东端韩城市新城区第一中学中等教育陕西省韩城市金塔韩城市西庄中学中学教育陕西省韩城市西庄镇韩城市西庄镇东庄初级中学中学教育陕西省韩城市西庄镇东庄蒲城县尧山中学普通中学陕西省蒲城县城关镇尧山西路1号蒲城县蒲城中学普通中学陕西省蒲城县城关镇西府村52号蒲城县初级实验中学普通中学陕西省蒲城县城关镇朝阳街4号蒲城县文光学校普通中学陕西省蒲城县城关镇北关蒲城县孙镇中学普通中学陕西省蒲城县孙镇街1号蒲城县党睦中学普通中学陕西省蒲城县党木镇党睦蒲城县荆姚镇初级中学普通中学陕西省蒲城县荆姚镇蒲城县兴镇初级中学普通学校陕西省蒲城县兴镇白水县白水中学普通中学陕西省白水县城关镇龙门洞白水县城关中学教育教学活动陕西省白水县城关镇水门路黄龙县中学普通中学陕西省黄龙县石堡镇中心街陕西延安中学中学教育陕西省延安市宝塔区北门口延安市宝塔区第四中学教育陕西省延安市宝塔区南市延安市宝塔区第三中学教育陕西省延安市宝塔区七里铺中段宜川县中学普通中学陕西省宜川县丹州镇北大街延长县中学普通中学陕西省延长县七里村镇东延川县中学教育教学陕西省延川县延川镇南关子长县中学完全中学陕西省子长县瓦窑堡镇冯家屯子长县杨家元则中学完全中学陕西省子长县史家畔乡丹头安塞县中学中学教育陕西省安塞县真武洞镇志丹县中学教育教学陕西省志丹县保安镇二道街绥德县第一中学普通中学陕西省绥德县名州镇文化路绥德县远竹中学普通中学陕西省绥德县辛店乡龙湾米脂县中学中学陕西省米脂县银洲镇行宫路吴堡中学普通中学陕西省吴堡县宋家川镇文化路清涧县中学普通中学陕西省清涧县宽洲镇五子洲县中学普通中学陕西省子洲县双湖峪镇峨峁峪子洲县第二中学普通中学陕西省子洲县双湖峪镇子洲县周硷中学普通中学陕西省子洲县周家硷镇赵场靖边县张家畔镇第三中学普通中学陕西省榆林市靖边县张家畔镇靖边县东坑镇中学普通中学陕西省榆林市靖边县东坑镇定边县定边中学普通中学陕西省榆林市定边县定边镇第四居委会定边县贺圈中学普通中学陕西省榆林市定边县贺圈镇郑圈村定边县第二中学普通中学陕西省榆林市定边县定边镇第四居委会定边县安边中学普通中学陕西省榆林市定边县安边镇西园则村榆林中学中学教育陕西省榆林市榆阳区解放上巷17号榆林市第一中学普通中学陕西省榆林市榆阳区人民路21号榆林市苏洲中学中等教育陕西省榆林市榆阳区西沙人民路33号横山县中学普通中学陕西省横山县横山镇北大街横山县第二中学普通中学陕西省横山县横山镇南大街佳县中学普通中学陕西省佳县东街19号佳县乌镇中学教学陕西省佳县乌镇佳县通镇中学教育陕西省佳县通镇陕西省神木中学普通中学陕西省神木县神木镇北十字东街12号神木县第二中学普通中学陕西省神木县神木镇二中路北80号神木县第三中学普通中学陕西省神木县神木镇北十字西街8号府谷县中学普通中学陕西省府谷县府谷镇人民中路98号府谷县高石崖学校普通陕西省府谷县府谷镇高石崖府谷县清水乡初级中学普通中学陕西省府谷县清水乡府谷县孤山初级中学普通中学陕西省府谷县孤山镇南关府谷县老高川学区普通中学陕西省府谷县老高川乡府谷县新民学校普通学校陕西省府谷县新民镇新城川宝鸡市渭滨中学教育陕西省宝鸡市渭滨区文化路23号西安铁路分局宝鸡第二职教育陕西省宝鸡市金台区东风路工子弟中学宝鸡中学教育陕西省宝鸡市金台区宝中路1号宝鸡市龙泉中学教学陕西省宝鸡市金台区群建巷17号宝鸡市金台中学教学陕西省宝鸡市金台区金台巷42号西安铁路分局宝鸡第一职教育陕西省宝鸡市金台区上马营铁一中路工子弟中学宝鸡市斗鸡中学教学陕西省宝鸡市金台区斗中路67号宝鸡市姜城中学中等教育陕西省宝鸡市渭滨区清姜东一路18号宝鸡市姜潭联立高级中学教育陕西省宝鸡市渭滨区姜潭路63号宝鸡有色金属加工厂子弟初等教育陕西省宝鸡市渭滨区马营镇钛城路1号学校宝鸡县虢镇镇初级中学教育陕西省宝鸡县虢镇镇南门凤翔中学中学陕西省凤翔县城关镇东关凤翔县西街中学学校陕西省凤翔县城关镇北街凤翔县糜杆桥中学中学教育陕西省凤翔县糜杆桥镇凤翔县彪角中学中学陕西省凤翔县彪角镇麟游县中学普通中学陕西省麟游县九成宫镇东大街9号扶风县扶风高中中学教育陕西省扶风县城关镇西关扶风县城关镇城关初中中学教育陕西省扶风县城关镇中街扶风县城关镇新店初中中学教育陕西省扶风县城关镇新店扶风县法门高中普通中学陕西省扶风县法门镇南环路扶风县杏林镇杏林初中教育教学陕西省扶风县杏林镇扶风县太白乡太白初中中学教育陕西省扶风县太白乡涝池岸眉县常兴镇初级中学普通中学陕西省眉县常兴镇上塬眉县横渠镇初级中学普通中学陕西省眉县横渠镇街道东街眉县槐芽镇初级中学普通中学陕西省眉县槐芽镇西街21号眉县槐芽中学普通中学陕西省眉县槐芽镇街道东街99号眉县金渠镇初级中学普通中学陕西省眉县金渠镇新街022号岐山县高级中学教育教学陕西省岐山县凤鸣镇南大街岐山县凤鸣镇东街中学初级中学陕西省岐山县凤鸣镇凤东路岐山县益店高级中学教学陕西省岐山县益店镇益和岐山县蔡家坡高级中学高级中学教育陕西省岐山县蔡家坡镇蔡家坡街道汉中市第四中学中学陕西省汉中市汉台区西大街汉中市第二中学普通中学陕西省汉中市汉台区中学巷11号南郑县高台中学中学教育陕西省南郑县高台镇上街村234号城固县第一中学中学教育,教学陕西省城固县博望镇小西关村151号城固县第二中学中学教育教学陕西省城固县博望镇东环一路南13号城固县城关中学初级中学教育教学陕西省城固县博望镇太古石66号城固县第五中学中学教育教学陕西省城固县原公镇田什字城固县第四中学中学教育教学陕西省城固县龙头镇城固县第三中学中学教育教学陕西省城固县上元观镇乐城城固县第六中学中学教育教学陕西省城固县文川镇北街洋县戚氏初级中学教育陕西省洋县戚氏镇洋县城关中学教育陕西省洋县洋州镇南关22号华光实业公司子弟学校厂矿子校陕西省洋县谢村镇下溢水西乡县第二中学教育教学陕西省西乡县城关镇西关西乡县第一中学教育教学陕西省西乡县城关镇进站路镇巴县中学高中教育陕西省镇巴县泾洋镇泾洋村勉县第一中学完全中学陕西省勉县武侯镇勉县第二中学高中教育陕西省勉县勉阳镇边寨略阳县第一中学教育陕西省略阳县城关镇东关汉滨区第一中学教育教学陕西省安康市汉滨区老城办安康中学普通中学教育陕西省安康市汉滨区新城办育才路94号安康铁路分局安康第二职工子弟中学中学教育陕西省安康市汉滨区江北办汉滨区第十中学教育教学陕西省安康市汉滨区江北办中国水利水电第三工程局中小学教育处中小学教育陕西省汉阴县江北紫阳中学普通中学陕西省紫阳县城关镇紫府路紫阳县蒿坪镇初级中学普通中学陕西省紫阳县蒿坪镇陕西省平利县中学教育陕西省平利县城关镇东直街280白柳九年制学校教育事业陕西省旬阳县白柳镇柳村坝村七组白河县第一中学中学教育陕西省白河县城关镇二居委商洛市城关中学教学陕西省商洛市商州区北新路35号商州区大荆中学中学教育陕西省商洛市商州区大荆镇李渠村洛南县中学教育教学陕西省洛南县城关镇河滨东路1号洛南县西关中学教育教学陕西省洛南县城关镇环城北路286号陕西省丹凤中学中学教育陕西省丹凤县龙驹寨镇北新街36号丹凤县龙驹初级中学初级中学陕西省丹凤县龙驹寨镇北新街商南县赵川镇中学教育教学陕西省商南县赵川镇前川村23号山阳县城区中学初中教育陕西省山阳县城关镇卜吉河铜川矿务局第一中学中学教育陕西省铜川市王益区红旗街21号铜川市第三中学高中,初中学历教育陕西省铜川市王益区大同路22号铜川市第四中学初中,高中学历教育陕西省铜川市王益区黄堡镇新宜南路15号铜川市第一中学高级中学陕西省铜川市印台区水道巷5号铜川市景丰中学完全中学陕西省耀县白家黄陵县中学普通高中教育陕西省黄陵县桥山镇东关黄陵县桥山中学初级教育陕西省黄陵县桥山镇轩辕黄陵县店头中学中学教育陕西省黄陵县店头镇七丰黄陵县隆坊中学初中教学陕西省黄陵县隆坊镇洛川县凤栖镇初级中学中学教育陕西省洛川县凤栖镇文明街西段洛川县土基中学中学教育陕西省洛川县土基镇富县高级中学高中教育教学陕西省富县富城镇正街25号富县沙梁中学教育,教学陕西省富县富城镇沙梁街16号。
泾阳黄冈中学入学条件泾阳黄冈中学是陕西省咸阳市泾阳县中等教育重点学校,是一所具有优秀师资、丰富专业方向、教育教学质量稳步提升的学校。
以下是泾阳黄冈中学入学条件及注意事项:一、初中生入学条件:1.年龄要求:符合国家规定的初中入学年龄范围。
2.素质要求:品德良好,遵守国家法律法规,没有不良记录,身体健康,无传染病史。
3.成绩要求:初中各学科成绩良好,特别是数学、语文成绩优秀,综合素质测评成绩优秀者优先录取。
4.特长要求:具有某种特长或者突出的才华者,招生学校可以根据自己的招生计划给予一定的附加分或者直接批准录取。
二、高中生入学条件:1.年龄要求:符合国家规定的高中入学年龄范围。
2.学历要求:持有初中毕业证书。
3.成绩要求:初中各学科成绩良好,特别是数学、语文成绩优秀,综合素质测评成绩优秀者优先录取。
4.特长要求:具有某种特长或者突出的才华者,招生学校可以根据自己的招生计划给予一定的附加分或者直接批准录取。
三、注意事项:1.报名时间:每年招生考试信息及报名时间根据学校实际情况在当地教育考试中心和学校门口公示,考生在规定时间内携带相关证件前往当地考试中心报名。
2.报名材料:初中生报名需携带身份证、学籍证明、近期免冠照片一张;高中生报名需携带初中毕业证书、身份证、近期免冠照片一张。
3.考试安排:招生学校会根据当年实际情况制定具体的考试安排,包括考试时间、科目、考试形式等。
4.录取方式:学校会根据考生的成绩、面试及特长等综合情况进行评定,确定录取名单。
特别是高中生,学校会参考高考成绩等因素。
以上为泾阳黄冈中学入学条件及注意事项。
如果您想要更加详细的信息,可以前往当地教育考试中心或者咨询招生学校相关人员。
祝愿您顺利报名并被录取!。
咸阳市教育局咸阳市物价局2008年春季学期中小学收费标准1、义务教育阶段中小学:(1)农村义务教育经费保障机制改革范围以外的义务教育阶段公办中小学校收费项目和标准表单位:元/生·学期(2)实施农村义务教育经费保障机制改革的义务教育阶段公办中小学校收费项目和标准表单位:元/生·学期(3)借读费:全市义务教育阶段公办中小学一律不得收取借读费。
对援外、支边及野外作业人员及现役军人子女需投亲靠友借读的,由所在地教育行政部门就近安排入学,不得收取借读费。
对暂未被地方政府接收的企事业单位所属中小学校接收非本单位子女就读可按规定另行收取借读费,其收费标准为小学300元/生·学期、初中500元/生·学期。
2、公办高中收费:(1)学费:(2)借读费:(3)择校费:(4)计算机培训收费:每生每学期60元(收费资格须经市物价、教育行政部门核定)。
(5)课本费:按省物价局、新闻出版局陕价行发[2006]81号文件有关规定核定后的标准收取。
(6)电教教材代办费:(7)住宿费:由学校按隶属关系报物价、财政、教育部门按实际成本核定。
(8)取暖费、搭伙费和自行车保管费:由各地物价、财政、教育部门根据实际情况按成本核定。
3、职业高中:4、公办幼儿园收费标准:5、企业改制学校学费:按各设区市物价、教育行政部门核定的标准收取。
6、关于中小学退学退费问题:根据咸阳市教育局、咸阳市物价局2003年8月18日咸政教资发[2003]172号《关于中小学退学退费问题的通知》精神:农村义务教育经费保障机制改革范围以外的义务教育阶段公办中小学学生入学后因正当理由不能坚持学习要求退学的,学校应准予退学,并给予退费。
在开学后一个月之内要求退学的,学费(杂费)、借读费按已收费金额的50%退费;在开学两个月之内要求退费的,按已收费金额的20%退费;超过两个月的不退费。
民办学校的中小学生入学后因正当理由不能坚持学习的,按省物价局、省财政厅、教育厅陕价费调发[1999]52号、陕教成[1999]105号文件执行:学生因退学而退费,学制在半年以上(含半年)的全日制学校学生在正式上课后一周内退学者,扣除一周的学费、住宿费,其余部分退还学生;在20天内(含20天)要求退学者可扣除20%的学费和住宿费,其余部分退还学生;在20天以上一个月以内、两个月以内、三个月以内要求退学的,分别按扣除学费和住宿费总额的25%、55%、80%后退还剩余的学费和住宿费,入学超过三个月的不再退费。
咸阳启迪中学收费标准
咸阳启迪中学是一所具有一定办学规模和办学特色的学校,为了更好地为学生提供优质的教育资源和服务,学校对学费收费标准进行了明确规定,以保证学校的正常运转和教学质量的提高。
以下是咸阳启迪中学的收费标准:
1. 学费。
咸阳启迪中学的学费分为初中部和高中部两个阶段,初中部学费为每学年8000元,高中部学费为每学年10000元。
学费包括教材费、教学实验费、体育费等,学生入学时一次性交纳全年学费。
2. 住宿费。
学校提供学生住宿服务,住宿费为每学年6000元。
学生可以选择在学校宿舍居住,也可以选择在校外租房,但是无论选择何种住宿方式,都需要按时缴纳住宿费用。
3. 餐费。
学校提供食堂餐饮服务,学生可以选择在学校食堂就餐,也可
以选择在外面就餐,但是无论选择何种方式,都需要按时缴纳餐费。
餐费为每学年4000元。
4. 杂费。
学校还有一些杂费需要学生按时缴纳,包括校服费、保险费、
考试费等,这些费用根据实际发生的费用进行结算,学生需要按时
缴纳。
以上就是咸阳启迪中学的收费标准,学校会根据实际情况适时
进行调整,但是在调整期间,学生需要按照原有标准进行缴费。
希
望广大学生和家长能够理解和配合学校的收费政策,共同为学校的
发展和教育质量的提高做出努力。
咸阳彩虹中学的入学要求
咸阳彩虹中学是一所位于陕西咸阳市的优秀中学,其办学宗旨是以德育为先,以学生成长为本。
如果想要入学咸阳彩虹中学,需要满足以下要求:
1.符合招生政策:咸阳彩虹中学招生对象为初中毕业生,符合陕西省招生政策和招生范围的学生均可报名参加考试。
2.考试成绩优秀:考试成绩是咸阳彩虹中学录取的重要标准。
学生需要参加学校组织的入学考试,考试有笔试和面试两部分,成绩优秀者可获得录取资格。
3.品德优良:咸阳彩虹中学非常注重学生的品德修养,入学时需要提交一份品德评估表。
评估表内容包括学生的诚信、责任、友善等方面的表现。
4.体育特长:咸阳彩虹中学非常注重学生的综合素质,如果学生具有体育特长,可适当加分。
5.家庭经济情况:学校实行一定的家庭经济情况优惠政策,家庭经济困难的学生可适当优惠。
如果你想要入学咸阳彩虹中学,需要在考试中表现突出,同时具备优良的品德和综合素质,希望你能够在这所优秀的中学中茁壮成长。
- 1 -。
咸阳实验中学初三分班情况咸阳实验中学初三分班情况咸阳实验中学是位于中国陕西省咸阳市的一所知名中学。
该校十分重视学生的学业发展和个性发展,为了更好地满足学生的不同需求,初三学生会根据不同的特长和学业水平进行分班。
以下是咸阳实验中学初三分班情况的详细介绍。
1.分班依据咸阳实验中学的初三分班是基于学生的综合素质和成绩进行的。
主要的依据包括:-学业成绩:学生在各个学科的成绩是最主要的考量因素。
通过考试成绩和平时表现,学校评估学生的学习能力和水平。
-特长和兴趣:学校还会考虑学生的特长和兴趣,例如音乐、体育、美术等方面的特长。
根据学生的兴趣,学校将他们分配到相应的班级。
2.分班策略分班策略主要包括:-综合素质分析:学校会综合考虑学生的各个方面能力,如语言表达能力、团队合作能力、领导才能等,将学生进行分类。
-学科能力分析:学校会根据学生的学科成绩,将学生分成A、B、C等不同层次的班级。
A班是成绩较优秀的学生,B班是成绩中等的学生,C班是成绩较薄弱的学生。
-兴趣爱好分析:学校还会按照学生的兴趣爱好,将他们分到相应的特长班,这样可以更好地培养学生的特长。
3.班级设置咸阳实验中学的初三共设有若干个班级,具体数量会根据学生报名的情况而定。
通常情况下,初三年级的班级数量在30个左右。
这些班级会根据学科能力、特长和兴趣进行合理的组合。
4.分班效果咸阳实验中学的初三分班制度在一定程度上能够满足学生的学业需求和个性发展需求。
通过分班,有助于做到因材施教,更好地满足不同学生的学习需求;同时,也有利于减轻老师的教学负担,提高教学效果。
总体而言,咸阳实验中学初三分班情况非常注重兼顾学业和个性发展,通过综合素质和学科能力的分析,以及特长和兴趣的考虑,学校能够有效地将学生分成不同层次和特长班级。
这样的分班制度有利于学生的发展和全面提升,为学校提供了更好的教学环境和管理手段。
西安高级中学教学陕西省西安市碑林区东厅门85 号西安市八中教育陕西省西安市碑林区东县门8 号西安市第二十六中学教育陕西省西安市碑林区建国路118 号西安市第六中学教学陕西省西安市碑林区五味什字13 号西安市第七十中学初高中教育陕西省西安市莲湖区西夏家十字 4 号西安实验职业中等专业学学校教育陕西省西安市莲湖区早慈巷24 号校西安市第八十九中学中等教育陕西省西安市新城区后宰门143 号西安市第四中学中等教育陕西省西安市新城区后宰门97 号西安市第四十四中学中等教育陕西省西安市莲湖区青年路189 号西安爱知初级中学初级教育陕西省西安市新城区西七路478 号西安市第 30 中学普通中学陕西省西安市新城区西新街51 号西安市第七十五中学中学教育陕西省西安市未央区龙首北路东 1 号西安市第十中学教育陕西省西安市莲湖区振华路95 号西安市莲湖区第十中学学校教育陕西省西安市莲湖区振华路95 号西安市三十八中学中等教育陕西省西安市新城区太华路226 号西安市第五十八中学中学陕西省西安市未央区草店西航集团第二子弟中学普通中学陕西省西安市未央区渭滨街西安市第三十四中学教学陕西省西安市灞桥区柳巷村西安市第十九中学教学陕西省西安市灞桥区洪庆正街西安市第六十四中学教学管理陕西省西安市灞桥区新筑镇新筑街西安市四十八中学中学陕西省西安市未央区啤酒路西北电力建设第四工程公普通教育陕西省西安市灞桥区纺建路265 号司西安子弟学校西安市地五十五中学教学活动陕西省西安市灞桥区纺建路15 号五环集团子弟中学教育陕西省西安市灞桥区纺织城西安市第八十三中学中学教育陕西省西安市新城区咸宁中路51 号西安市第七十八中学初中教育陕西省西安市雁塔区等架坡街办康宁路 7 号陕西汽车制造总厂第二职中学教育小学教育陕西省西安市新城区兴工路41 号工子弟学校西安交通大学附属中学普通中学陕西省西安市碑林区兴庆南路135 号中铁一局集团西安子弟学普通中学陕西省西安市碑林区太乙路68 号校西安铁路分局西安第一职教育陕西省西安市碑林区友谊东路120 号工子弟中学陕西师范大学附属中学教育教学陕西省西安市雁塔区翠华南路115 号西安同仁中学中学教育陕西省西安市雁塔区水厂路7 号西安市第四十六中学教育教学陕西省西安市雁塔区东仪路202 号西安市西北工业大学附属教育陕西省西安市碑林区友谊西路258 号中学西安市第十五中学学校教育陕西省西安市莲湖区沣镐一坊 3 号西安市第十四中学初中教育陕西省西安市雁塔区双水磨村 5 号西安市第五十二中学教学陕西省西安市雁塔区鱼化街道办西安电力机械制造公司第教育陕西省西安市莲湖区桃园西路 1 号三中学西安远东教育集团第一中教育陕西省西安市莲湖区汉城东路27 号学西安市信德中学学校陕西省西安市莲湖区汉城南路39 号西安市第一中学教学陕西省西安市莲湖区环城西路铁塔 3 号西安市第四十二中学教育陕西省西安市莲湖区西关正街379 号西安市五十一中学中学陕西省西安市未央区杨河村西安市阎良区关山中学普通中学陕西省西安市阎良区关山镇关山村西安飞机工业 ( 集团 ) 公司初中教育陕西省西安市阎良区教育路第二子弟中学西安市阎良区北屯乡初级教学陕西省西安市阎良区北屯街中学西安市阎良区武屯镇初级教学陕西省西安市阎良区武屯镇广阳村中学西安市阎良区关山初级中普通中学陕西省西安市阎良区关山镇关山村学长安县第一中学普通中学陕西省长安县韦曲镇西回府村甲字 2 号长安县第二中学普通中学高级中学陕西省长安县韦曲镇青年街33 号长安县第三中学普通中学陕西省长安县韦曲镇友谊西街长安县第六中学普通中学陕西省长安县引镇东堡长安县第六中学长安县第八中学普通中学陕西省长安县王曲镇王曲村北长安县第十中学普通中学陕西省长安县黄良乡黄良镇长安县第十二中学普通中学陕西省长安县马王镇大原长安县王寺镇初级中学普通中学陕西省长安县王寺镇王寺跃进甲字一号长安县斗门镇初级中学普通初中陕西省长安县斗门镇斗门北街长安县第四中学高级中学陕西省长安县细柳镇长安四中长安县细柳初级中学初级中学陕西省长安县细柳镇高陵县第一中学中等教育陕西省高陵县鹿苑镇田家高陵县张卜乡张卜中学普通中学陕西省高陵县张卜乡户县第一中学中学教育陕西省户县甘亭镇画展街 16 号惠安中学中学陕西省户县余下镇居民小区甘河初级中学普通中学陕西省户县甘河镇甘河村户县涝店初级中学中学教育陕西省户县涝店镇涝店街户县第四中学普通中学陕西省户县秦渡镇秦二村周至中学普通中学陕西省周至县辛家寨乡五合周至县第七中学初级教育陕西省周至县二曲镇中心东街36 号周至县第六中学教育陕西省周至县尚村镇周至县第三中学高中教育陕西省周至县终南镇周至县哑柏镇初级中学中学教育陕西省周至县哑柏镇仰天周至县广济镇初级中学普通中学陕西省周至县广济镇南陈周至县司竹乡司竹初级中普通中学陕西省周至县司竹乡北司竹村学西安市田家炳中学中学教育陕西省蓝田县蓝关镇文化路55 号蓝田县三里镇乡文姬中学中学教育陕西省蓝田县三里镇三里头村西安市临潼区临潼中学高中教育陕西省西安市临潼区秦陵街道办贾堡西安市临潼区雨金中学高中教育陕西省西安市临潼区雨金镇雨金街道 376 号西安市临潼区新丰高级职职业高中教育普通高陕西省西安市临潼区南杜业中学中教育西安市临潼区新丰街道办初级中学陕西省西安市临潼区鸿门事处初级中学西安市临潼区代王中学教育教学陕西省西安市临潼区代王西安市临潼区斜口初级中中学教育陕西省西安市临潼区岳沟学淳化县淳化中学教育活动陕西省淳化县城关镇淳化县治峪初级中学初中教育陕西省淳化县城关镇南关旬邑县中学教学陕西省旬邑县城关镇东关柞水县中学负责全县中学教育进陕西省柞水县乾佑镇乾佑街北关行科学 , 计划组织陕西省镇安县中学普通中学陕西省镇安县永乐镇 47宁陕县宁陕中学普通中学陕西省宁陕县城关镇关口街富平县迤山中学高中教育陕西省富平县杜村镇迤山新村86 号富平县刘集中学高中教育陕西省富平县刘集镇街南村富平县美原中学高中教育陕西省富平县美原镇富平县立诚中学高中教育陕西省富平县庄里镇陕西咸阳中学高中阶段教育陕西省咸阳市渭城区东风路咸阳市渭城区渭城中学中学陕西省咸阳市渭城区中山渭城区塔尔坡学校教育教学陕西省咸阳市渭城区毕原东路14 号渭城区第二初级中学教育教学陕西省咸阳市渭城区民生西路陕西彩虹彩色显象管总厂学校陕西省咸阳市秦都区彩虹路 1 号咸阳市渭城区北杜初级中教育教学陕西省咸阳市渭城区北杜镇北朱村学咸阳市渭城区周陵镇初级初级教育陕西省咸阳市渭城区周陵镇陵召村中学杨陵区杨陵中学中学教育陕西省咸阳市杨陵区后稷路杨陵区邰城中学中学教育陕西省咸阳市杨陵区邰城路杨陵区五泉镇五泉中学中学教育李全社陕西省咸阳市杨陵区五泉镇五泉村武功县大庄镇大庄初级中教育教学陕西省武功县大庄镇曹家学武功县普集街乡中学教育教学陕西省武功县普集街乡普中武功县代家中学教学陕西省武功县代家乡李家武功县普集镇北营初级中教育教学陕西省武功县普集镇营南学武功县河道初中教学陕西省武功县河道乡黄新武功县苏坊初中教学陕西省武功县苏坊镇田庄兴平市西郊高级中学高中教育陕西省兴平市育才路陕西秦岭公司中学中学陕西省兴平市秦岭兴平市庄头初级中学中学教学陕西省兴平市庄头镇庄头村兴平市南市初级中学中学教育陕西省兴平市南市镇南市街72 号兴平市初级中学中学教育陕西省兴平市槐里西路兴平市西城办冉庄初级中中学教育陕西省兴平市西城学兴平市马嵬镇初级中学中学教学陕西省兴平市马嵬镇兴平市大阜第一初级中学中学教育陕西省兴平市王庄村兴平市南位镇初级中学中学教育陕西省兴平市南位镇衬中村兴平市西吴初级中学中学教育陕西省兴平市西吴镇西二礼泉第二中学高级中学陕西省礼泉县城关镇汤房礼泉县赵镇初级中学初级中学陕西省礼泉县赵镇吴村礼泉县骏马乡初级中学初级中学陕西省礼泉县骏马乡下南宁礼泉逸夫初级中学初级中学陕西省礼泉县城关镇汤房礼泉县药王洞乡初级中学初级中学陕西省礼泉县药王洞乡礼泉县裴寨初级中学初级中学陕西省礼泉县城关镇张里村礼泉县西张堡初级中学初级中学陕西省礼泉县西张堡镇南寨村礼泉县烽火刘家学校初级中学陕西省礼泉县烽火镇刘家礼泉县阡东镇初级中学初级中学陕西省礼泉县阡东镇阡东村礼泉县史德初中初中陕西省礼泉县史德镇史北礼泉县石潭初级中学学校陕西省礼泉县石潭镇夏候彬县城关中学教育陕西省彬县城关镇东大街63 号彬县北极中学教育陕西省彬县北极镇北极街长武县长武中学普通中学陕西省长武县昭仁镇东泾阳县姚家巷中学初中教育陕西省泾阳县泾干镇姚家巷泾阳县中张镇中张中学初中教育陕西省泾阳县中张镇义民曹泾阳县永乐中学高中教育陕西省泾阳县永乐镇永丰泾阳县永乐镇中学初中教育陕西省泾阳县永乐镇泾阳县云阳中学高中教育陕西省泾阳县云阳镇泾阳县云阳镇中学初中教育陕西省泾阳县云阳镇泾阳县石桥中学高中教育陕西省泾阳县桥底镇东沟泾阳县太平镇太平中学初中教育陕西省泾阳县太平镇柳村三原县新庄初级中学中学教育陕西省三原县城关镇三里店三原县东郊高级中学普通教育陕西省三原县城关镇丰原街三原县鲁桥正谊中学中学教育陕西省三原县鲁桥镇北街三原县陵前初级中学中学校陕西省三原县陵前镇三原县西阳镇初级中学中学教育陕西省三原县西阳镇西南三原县陂西中学教育陕西省三原县陂西镇东木三原县独李中学中学教育陕西省三原县独李镇刘官渭南市瑞泉中学教育教学陕西省渭南市临渭区老城街132 号渭南市杜桥中学高中阶段教育陕西省渭南市杜北路五号渭南市临渭区育红初级中教育教学陕西省渭南市临渭区西门巷79 号学渭南市临渭区前进路初级教育教学陕西省渭南市临渭区朝阳路西段 10 号中学渭南市铁路中学中学陕西省渭南市临渭区站北路25 号渭南市临渭区吝店中学教育陕西省渭南市临渭区吝店镇临店 9 号华县咸林中学教育陕西省华县城关镇文体路华县少华中学教育陕西省华县城关镇新华路东段华阴市岳庙中学高中陕西省华阴市太华北路华阴市城关初级中学初中陕西省华阴市老城街大荔县大荔中学普通中学陕西省大荔县城关镇东大街大荔县城关镇初级中学普通中学陕西省大荔县城关镇北大大荔县城郊中学普通中学陕西省大荔县城关镇冯翊路21 号大荔县羌白镇初级中学教育教学陕西省大荔县羌白镇羌西大荔县埝桥乡初级中学教育教学陕西省大荔县埝桥乡澄城县庄头乡初级中学安中教育陕西省澄城县庄头乡澄城县北关中学初中教育陕西省澄城县城关镇东一路27 号澄城县城郊中学初中教育陕西省澄城县城关镇东九路澄城县韦庄镇中学初中教育陕西省澄城县韦庄镇韦一合阳县合阳中学中学教育陕西省合阳县城关镇文化街合阳县城关中学中学教育陕西省合阳县城关镇西新街合阳县美华学校中学教育小学教育学陕西省合阳县城关镇金水路01 号前教育韩城市象山中学中学教育陕西省韩城市象山路韩城市苏东镇红旗初级中中学教育陕西省韩城市普照路东端学韩城市新城区第一中学中等教育陕西省韩城市金塔韩城市西庄中学中学教育陕西省韩城市西庄镇韩城市西庄镇东庄初级中中学教育陕西省韩城市西庄镇东庄学蒲城县尧山中学普通中学陕西省蒲城县城关镇尧山西路 1 号蒲城县蒲城中学普通中学陕西省蒲城县城关镇西府村52 号蒲城县初级实验中学普通中学陕西省蒲城县城关镇朝阳街 4 号蒲城县文光学校普通中学陕西省蒲城县城关镇北关蒲城县孙镇中学普通中学陕西省蒲城县孙镇街 1 号蒲城县党睦中学普通中学陕西省蒲城县党木镇党睦蒲城县荆姚镇初级中学普通中学陕西省蒲城县荆姚镇蒲城县兴镇初级中学普通学校陕西省蒲城县兴镇白水县白水中学普通中学陕西省白水县城关镇龙门洞白水县城关中学教育教学活动陕西省白水县城关镇水门路黄龙县中学普通中学陕西省黄龙县石堡镇中心街陕西延安中学中学教育陕西省延安市宝塔区北门口延安市宝塔区第四中学教育陕西省延安市宝塔区南市延安市宝塔区第三中学教育陕西省延安市宝塔区七里铺中段宜川县中学普通中学陕西省宜川县丹州镇北大街延长县中学普通中学陕西省延长县七里村镇东延川县中学教育教学陕西省延川县延川镇南关子长县中学完全中学陕西省子长县瓦窑堡镇冯家屯子长县杨家元则中学完全中学陕西省子长县史家畔乡丹头安塞县中学中学教育陕西省安塞县真武洞镇志丹县中学教育教学陕西省志丹县保安镇二道街绥德县第一中学普通中学陕西省绥德县名州镇文化路绥德县远竹中学普通中学陕西省绥德县辛店乡龙湾米脂县中学中学陕西省米脂县银洲镇行宫路吴堡中学普通中学陕西省吴堡县宋家川镇文化路清涧县中学普通中学陕西省清涧县宽洲镇五子洲县中学普通中学陕西省子洲县双湖峪镇峨峁峪子洲县第二中学普通中学陕西省子洲县双湖峪镇子洲县周硷中学普通中学陕西省子洲县周家硷镇赵场靖边县张家畔镇第三中学普通中学陕西省榆林市靖边县张家畔镇靖边县东坑镇中学普通中学陕西省榆林市靖边县东坑镇定边县定边中学普通中学陕西省榆林市定边县定边镇第四居委会定边县贺圈中学普通中学陕西省榆林市定边县贺圈镇郑圈村定边县第二中学普通中学陕西省榆林市定边县定边镇第四居委会定边县安边中学普通中学陕西省榆林市定边县安边镇西园则村榆林中学中学教育陕西省榆林市榆阳区解放上巷17 号榆林市第一中学普通中学陕西省榆林市榆阳区人民路21 号榆林市苏洲中学中等教育陕西省榆林市榆阳区西沙人民路33 号横山县中学普通中学陕西省横山县横山镇北大街横山县第二中学普通中学陕西省横山县横山镇南大街佳县中学普通中学陕西省佳县东街 19 号佳县乌镇中学教学陕西省佳县乌镇佳县通镇中学教育陕西省佳县通镇陕西省神木中学普通中学陕西省神木县神木镇北十字东街12 号神木县第二中学普通中学陕西省神木县神木镇二中路北80 号神木县第三中学普通中学陕西省神木县神木镇北十字西街8 号府谷县中学普通中学陕西省府谷县府谷镇人民中路98 号府谷县高石崖学校普通陕西省府谷县府谷镇高石崖府谷县清水乡初级中学普通中学陕西省府谷县清水乡府谷县孤山初级中学普通中学陕西省府谷县孤山镇南关府谷县老高川学区普通中学陕西省府谷县老高川乡府谷县新民学校普通学校陕西省府谷县新民镇新城川宝鸡市渭滨中学教育陕西省宝鸡市渭滨区文化路23 号西安铁路分局宝鸡第二职教育陕西省宝鸡市金台区东风路工子弟中学宝鸡中学教育陕西省宝鸡市金台区宝中路 1 号宝鸡市龙泉中学教学陕西省宝鸡市金台区群建巷17 号宝鸡市金台中学教学陕西省宝鸡市金台区金台巷42 号西安铁路分局宝鸡第一职教育陕西省宝鸡市金台区上马营铁一中路工子弟中学宝鸡市斗鸡中学教学陕西省宝鸡市金台区斗中路67 号宝鸡市姜城中学中等教育陕西省宝鸡市渭滨区清姜东一路18 号宝鸡市姜潭联立高级中学教育陕西省宝鸡市渭滨区姜潭路63 号宝鸡有色金属加工厂子弟初等教育陕西省宝鸡市渭滨区马营镇钛城路1 号学校宝鸡县虢镇镇初级中学教育陕西省宝鸡县虢镇镇南门凤翔中学中学陕西省凤翔县城关镇东关凤翔县西街中学学校陕西省凤翔县城关镇北街凤翔县糜杆桥中学中学教育陕西省凤翔县糜杆桥镇凤翔县彪角中学中学陕西省凤翔县彪角镇麟游县中学普通中学陕西省麟游县九成宫镇东大街9 号扶风县扶风高中中学教育陕西省扶风县城关镇西关扶风县城关镇城关初中中学教育陕西省扶风县城关镇中街扶风县城关镇新店初中中学教育陕西省扶风县城关镇新店扶风县法门高中普通中学陕西省扶风县法门镇南环路扶风县杏林镇杏林初中教育教学陕西省扶风县杏林镇扶风县太白乡太白初中中学教育陕西省扶风县太白乡涝池岸眉县常兴镇初级中学普通中学陕西省眉县常兴镇上塬眉县横渠镇初级中学普通中学陕西省眉县横渠镇街道东街眉县槐芽镇初级中学普通中学陕西省眉县槐芽镇西街 21 号眉县槐芽中学普通中学陕西省眉县槐芽镇街道东街99 号眉县金渠镇初级中学普通中学陕西省眉县金渠镇新街 022 号岐山县高级中学教育教学陕西省岐山县凤鸣镇南大街岐山县凤鸣镇东街中学初级中学陕西省岐山县凤鸣镇凤东路岐山县益店高级中学教学陕西省岐山县益店镇益和岐山县蔡家坡高级中学高级中学教育陕西省岐山县蔡家坡镇蔡家坡街道汉中市第四中学中学陕西省汉中市汉台区西大街汉中市第二中学普通中学陕西省汉中市汉台区中学巷11 号南郑县高台中学中学教育陕西省南郑县高台镇上街村234 号城固县第一中学中学教育 , 教学陕西省城固县博望镇小西关村151 号城固县第二中学中学教育教学陕西省城固县博望镇东环一路南 13 号城固县城关中学初级中学教育教学陕西省城固县博望镇太古石66 号城固县第五中学中学教育教学陕西省城固县原公镇田什字城固县第四中学中学教育教学陕西省城固县龙头镇城固县第三中学中学教育教学陕西省城固县上元观镇乐城城固县第六中学中学教育教学陕西省城固县文川镇北街洋县戚氏初级中学教育陕西省洋县戚氏镇洋县城关中学教育陕西省洋县洋州镇南关 22 号华光实业公司子弟学校厂矿子校陕西省洋县谢村镇下溢水西乡县第二中学教育教学陕西省西乡县城关镇西关西乡县第一中学教育教学陕西省西乡县城关镇进站路镇巴县中学高中教育陕西省镇巴县泾洋镇泾洋村勉县第一中学完全中学陕西省勉县武侯镇勉县第二中学高中教育陕西省勉县勉阳镇边寨略阳县第一中学教育陕西省略阳县城关镇东关汉滨区第一中学教育教学陕西省安康市汉滨区老城办安康中学普通中学教育陕西省安康市汉滨区新城办育才路94 号安康铁路分局安康第二职中学教育陕西省安康市汉滨区江北办工子弟中学汉滨区第十中学教育教学陕西省安康市汉滨区江北办中国水利水电第三工程局中小学教育陕西省汉阴县江北中小学教育处紫阳中学普通中学陕西省紫阳县城关镇紫府路紫阳县蒿坪镇初级中学普通中学陕西省紫阳县蒿坪镇陕西省平利县中学教育陕西省平利县城关镇东直街280白柳九年制学校教育事业陕西省旬阳县白柳镇柳村坝村七组白河县第一中学中学教育陕西省白河县城关镇二居委商洛市城关中学教学陕西省商洛市商州区北新路35 号商州区大荆中学中学教育陕西省商洛市商州区大荆镇李渠村洛南县中学教育教学陕西省洛南县城关镇河滨东路 1 号洛南县西关中学教育教学陕西省洛南县城关镇环城北路286 号陕西省丹凤中学中学教育陕西省丹凤县龙驹寨镇北新街36 号丹凤县龙驹初级中学初级中学陕西省丹凤县龙驹寨镇北新街商南县赵川镇中学教育教学陕西省商南县赵川镇前川村23 号山阳县城区中学初中教育陕西省山阳县城关镇卜吉河铜川矿务局第一中学中学教育陕西省铜川市王益区红旗街21 号铜川市第三中学高中 , 初中学历教育陕西省铜川市王益区大同路22 号铜川市第四中学初中 , 高中学历教育陕西省铜川市王益区黄堡镇新宜南路15 号铜川市第一中学高级中学陕西省铜川市印台区水道巷 5 号铜川市景丰中学完全中学陕西省耀县白家黄陵县中学普通高中教育陕西省黄陵县桥山镇东关黄陵县桥山中学初级教育陕西省黄陵县桥山镇轩辕黄陵县店头中学中学教育陕西省黄陵县店头镇七丰黄陵县隆坊中学初中教学陕西省黄陵县隆坊镇洛川县凤栖镇初级中学中学教育陕西省洛川县凤栖镇文明街西段洛川县土基中学中学教育陕西省洛川县土基镇富县高级中学高中教育教学陕西省富县富城镇正街25 号富县沙梁中学教育, 教学陕西省富县富城镇沙梁街16 号。
2023咸阳前10名重点中学排名
2023年咸阳初中排名:1.秦汉中学;2.启迪中学;3.咸阳实验中学;4.陕西科技大学附中;5.彩虹中学;6.咸阳师范附属中学;7.咸阳中学;8.咸阳道北中学;9.咸阳渭城中学;10.咸阳育才中学。
2023年咸阳初中排名
注:以上咸阳初中排名数据来源于网络,不代表本站观点。
2023年咸阳高中排名
咸阳中学
陕西咸阳中学是陕西省首批重点高中,2016年荣获陕西省示范化
高中。
位于古城咸阳,北依毕塬,南临渭水,地处中国陕西省咸阳市东风路34号。
学校成立于1952年,占地面积137.5亩,现有66个教学班,在校学生5000人,教职工238名。
学校拥有3幢教学楼,1幢实验楼,1幢餐厅和多功能大厅,1幢学术报告厅。
咸阳市实验中学
咸阳市实验中学创建于一九八九年九月,是咸阳市教育局的直属学校,2001年11月被陕西省教育厅批准为省级重点中学。
学校始终坚持“以人为本”的办学理念,主倡“团结、拼搏、求索、奉献”的精神,致力推行素质教育,让不同层次和不同特长的学生发挥潜能,获得了社会各界的广泛好评。
2020陕西咸阳市中考录取分数线2019陕西咸阳市中考录取分数线7月26日,根据国家、省、市关于高中阶段招生工作有关要求及普通高中招生计划,咸阳市教育局划定了各批次普通高中招生最低控制分数线,现予以公布:一、全市统一招生最低控制分数线全市统一招生最低控制分数线为585分。
招生学校为咸阳市实验中学,彩虹中学,三原南郊中学,兴平西郊中学,武功普集中学,礼泉一中,咸阳中学,乾县一中,秦汉中学和西工大咸阳启迪中学。
凡初中毕业学业考试成绩达到全市统一招生最低控制分数线的考生,可填报市实验中学、西工大咸阳启迪中学、秦汉中学或考试报名所在地县市区以外的学校,每个考生可填报1-2个志愿。
二、市实验中学面向全市农村薄弱初中定向招生最低控制分数线市实验中学面向全市农村薄弱初中定向招生最低控制分数线为555分。
凡初中毕业学业考试成绩达到市实验中学定向招生最低控制分数线的生源地初中生,均可填报市实验中学定向招生志愿。
三、县市区招生最低控制分数线秦都区493分渭城区469分兴平市402分武功县421分三原县435分泾阳县462分礼泉县427分乾县427分永寿县413分彬州市420分长武县392分旬邑县466分淳化县353分招生学校为各县市区所属公办普通高中,考生可填报1-2所学校。
四、民办普通高中招生最低控制分数线民办普通高中在秦都、渭城两区招生的最低控制分数线为445分,在其他县市招生的最低控制分数线为350分。
达到民办学校招生最低控制分数线的考生,可填报全市范围内1-2所民办学校。
五、特长生最低控制分数线体育艺术特长生文化课最低控制分数线为县市区招生最低控制线的70%。
依据专业课成绩与笔试成绩之和,从高到低依次录取。
六、八年级生物学、地理学业水平考试成绩八年级生物学、地理学业水平考试成绩由各县市区下发各初中,考生可在所在初中查询。
考试成绩计入2020年初中学业水平考试总分。
七、工作要求1.认真组织填报志愿。
为了给考生充分的选择机会,市上划定的各批次最低控制线上的考生人数大于普通高中招生计划,实际录取分数线根据考生志愿填报情况及招生计划情况最终确定。
咸阳市职业中学一览表1、公办学校(16所)
秦都区职业教育中心
秦都区第二高级职业中学
渭城区高级职业中学
兴平市高级职业中学
武功县职业教育中心
武功县卫生职业学校
三原县职教中心
泾阳县职业教育中心
泾阳县卫生职业学校
乾县职业教育中心
礼泉县职业教育中心
永寿县职业教育中心
彬县职业教育中心
长武县职业教育中心
旬邑县职业教育中心
淳化县职业教育中心
2、民办学校(19所)
咸阳显示技术职业学院
咸阳华飞职业技术学院
陕西国际商贸学院附属中等职业技术学校
陕西服装艺术职业学院附属中等职业学校
505大学附属中等职业学校
茂陵职业技术学校
咸阳陕广电子机械职业技术学校
咸阳高等职业技术培训学院
咸阳计算机进修学院
咸阳七彩虹职业技术学校
咸阳三合职业技术学校
咸阳扶贫职业技术学校
咸阳希望中等职业学校
咸阳医科职业技术学校
兴平市机电高级职业中学
兴平市华兴高级职业中学
兴平市陕柴机电职业技术学校
咸阳江武职业技术学校
陕西经贸职业学院
乾县奉天高级职业中学。
陕西咸阳兴平市小升初排名表陕西咸阳兴平市小升初排名表在这里,让我们一起来看看。
首先,根据咸阳市兴平市小升初排名表,兴平市共有6所小学参加小升初,他们分别是:兴平一中、兴平二中、兴平三中、兴平四中、兴平五中和兴平六中。
其次,根据咸阳市兴平市小升初排名表,排名前三分别为:兴平一中、兴平二中和兴平三中,其中兴平一中以其优秀的师资力量和教育质量,位居小升初排名第一。
兴平二中以其全面发展的课程内容,位居小升初排名第二。
兴平三中以其严格的考试制度和良好的研究环境,位居小升初排名第三。
此外,兴平四中、兴平五中和兴平六中也表现出色,被评为小升初排名第四、第五和第六。
兴平四中以其扎实的研究基础,兴平五中以其优质的师资队伍,兴平六中以其全面的课程体系,对小升初排名起到了积极的作用。
从咸阳市兴平市小升初排名表来看,兴平市的小学都有很好的教育水平,每所学校都在努力提高自己的教育质量,让孩子们接受更优质的教育。
希望孩子们能够在小升初的排名中取得更好的成绩,为兴平市的发展做出贡献!。
单位名称单位简称空军工程大学导弹学院子女学校空军工程大学导弹学院子女学校兴平市桑镇一中桑镇一中兴平市桑镇二中桑镇二中武功县贞元镇第二中学贞元镇第二中学礼泉县西张堡镇中学西张堡镇中学礼泉县西张堡中学西张堡中学礼泉县石潭镇中学石潭镇中学礼泉县石潭中学石潭中学礼泉县烟霞镇中学烟霞镇中学杨陵区李台乡建子沟中学李台乡建子沟中学长武县亭口路家初中亭口路家初中长武县亭口初中亭口初中彬县义门镇中学门镇中学咸阳市秦都中学秦都中学西北农林科技大学附中西北农林科技大学附中彬县永乐中学永乐中学杨凌示范区高心中学高心中学杨陵区大寨乡中学大寨乡中学兴平市桑镇第一中学桑镇第一中学礼泉县烟霞中学烟霞中学兴平市桑镇第二中学桑镇第二中学秦岭电气公司子弟中学秦岭电气公司子弟中学兴平市店张镇一中店张镇一中兴平市店张镇二中店张镇二中泾阳县王桥镇社树中学王桥镇社树中学长武县洪家初中洪家初中咸阳市渭城区北杜中学北杜中学三原县鲁桥镇正谊中学鲁桥镇正谊中学长武县芋元中学芋元中学礼泉县第二中学礼泉县第二中学兴平市马嵬镇中学马嵬镇中学武功县大庄镇观音堂中学大庄镇观音堂中学陕西省礼泉第一中学礼泉第一中学兴平市赵村镇中学赵村镇中学泾阳县永乐镇庞家中学永乐镇庞家中学礼泉县赵镇中学赵镇中学兴平市南位镇中学南位镇中学三原县西阳镇中学西阳镇中学武功县武功镇西塬中学武功镇西塬中学武功县武功镇后稷中学武功镇后稷中学乾县城关镇长留中学关镇长留中学乾县大杨乡杨汉中学大杨乡杨汉中学武功县大庄镇大庄中学大庄镇大庄中学泾阳县桥底中学桥底中学淳化县马家镇中学马家镇中学旬邑县底庙镇中学底庙镇中学乾县临平中学临平中学乾县薛录中学薛录中学三原县嵯峨乡中学嵯峨乡中学长武县丁家初中丁家初中三原县张坳乡中学张坳乡中学泾阳县姚坊乡花里中学姚坊乡花里中学三原县独李乡中学独李乡中学三原县安乐初中安乐初中长武县彭公初中彭公初中乾县成人办乾县成人办泾阳县雪河乡汉堤中学雪河乡汉堤中学兴平市赵村一中赵村一中淳化县冶峪中学冶峪中学兴平市汤坊二中汤坊二中兴平市丰仪一中丰仪一中泾阳县扫宋乡王孟中学扫宋乡王孟中学旬邑县后掌中学后掌中学长武县相公初中相公初中长武县枣元初中枣元初中永寿县监军镇永红中学监军镇永红中学武功县苏坊乡文教组苏坊乡文教组淳化县秦庄中学秦庄中学长武县地掌初中地掌初中旬邑县丈八寺中学丈八寺中学长武县巨家初中巨家初中兴平市大阜二中大阜二中咸阳市秦都区古愚中学古愚中学长武县昭仁罗峪初中昭仁罗峪初中礼泉县建陵中学建陵中学武功县大庄乡教育组大庄乡教育组永寿县永平中学永平中学三原县龙桥中学龙桥中学兴平市丰仪乡第一中学丰仪乡第一中学三原县大程镇大程中学大程镇大程中学旬邑县清塬中学清塬中学兴平市赵村二中赵村二中旬邑县原底中学原底中学淳化县北城堡乡中学北城堡乡中学淳化县十里塬乡中学十里塬乡中学咸阳市渭城区十一公司咸阳子弟学校十一公司咸阳子弟学校旬邑县湫坡中学湫坡中学淳化县夕阳乡中学夕阳乡中学咸阳市秦都区陕西天王兴业集团有限责任公司职工子弟中学天王兴业集团有限责任公司职工子弟中学兴平市丰仪二中丰仪二中泾阳县龙泉乡中学龙泉乡中学礼泉县史德镇纪村学校史德镇纪村学校武功县北营乡农民文化技术学校北营乡农民文化技术学校泾阳县白王乡白王中学白王乡白王中学武功县游凤初中游凤初中咸阳市渭城区周陵中学渭城区周陵中学长武县芋元初中芋元初中武功县贞元初中贞元初中省咸阳市渭城区区窑店镇中学渭城区区窑店镇中学乾县大杨乡中学大杨乡中学兴平市汤坊一中汤坊一中武功县苏坊初中苏坊初中兴平市中学兴平市中学泾阳县蒋路中学蒋路中学礼泉县烽火乡小应学校烽火乡小应学校礼泉县史德初中史德初中乾县周城乡中学周城乡中学永寿县常宁中学常宁中学泾阳县三渠中学三渠中学乾县薛禄中学薛禄中学淳化县铁王乡中学铁王乡中学陕西省彬县北极中学北极中学礼泉县昭陵初中昭陵初中泾阳县云阳镇张屯中学云阳镇张屯中学泾阳县雪河中学雪河中学旬邑县太村中学太村中学长武县路家级中学路家级中学秦都区双照中学双照中学三原县洪水中学洪水中学泾阳县太平乡张阁中学太平乡张阁中学礼泉县药王洞乡庄寨学校药王洞乡庄寨学校礼泉县史德纪村初中史德纪村初中秦都区渭滨中学渭滨中学泾阳县燕王中学燕王中学乾县漠西乡初中漠西乡初中兴平市大阜第一中学大阜第一中学礼泉县东庄中学东庄中学泾阳县扫宋乡扫宋中学扫宋乡扫宋中学彬县南玉子中学南玉子中学泾阳县太平乡庙店中学太平乡庙店中学长武县冉店初中冉店初中兴平市丰仪乡第二中学丰仪乡第二中学三原县陂西乡中学陂西乡中学乾县阳峪镇铁佛初中阳峪镇铁佛初中兴平市西城办冉庄中学西城办冉庄中学彬县香庙中学香庙中学陕西省乾县注泔镇中学注泔镇中学武功县普集第二中学普集第二中学礼泉县樊迪中学樊迪中学三原县徐木乡中学徐木乡中学泾阳县中张乡中张中学中张乡中张中学旬邑县郑家中学郑家中学乾县梁村镇中学梁村镇中学淳化县卜家乡中学卜家乡中学咸阳市秦都区秦宝中学秦宝中学永寿县窦家中学窦家中学乾县城关镇花口初中城关镇花口初中三原县安乐乡中学安乐乡中学陕西省乾县注泔镇三姓中学注泔镇三姓中学乾县树人中学树人中学陕西省长武县丁家乡中学丁家乡中学淳化县夕阳中学夕阳中学咸阳市秦都区如意高级中学如意高级中学三原县独李联营中学独李联营中学陕西省长武县亭口镇中学亭口镇中学礼泉县南坊中学南坊中学淳化县石桥乡中学石桥乡中学礼泉县叱干北牌中学叱干北牌中学长武县中学长武县中学旬邑县原底乡中学原底乡中学渭城中学渭城中学礼泉县骏马乡中学骏马乡中学十一公司兴平子弟学校十一公司兴平子弟学校咸阳市秦都区沣西中学沣西中学泾阳县白王中学白王中学礼泉县史德镇中学史德镇中学咸阳市渭城区周陵镇中学周陵镇中学兴平市大阜乡第二中学大阜乡第二中学旬邑县马栏镇中学马栏镇中学兴平市田阜中学田阜中学三原县陵前中学陵前中学武功县贞元镇中学贞元镇中学旬邑县排厦乡中学排厦乡中学乾县马连镇中学连镇中学彬县水口中学水口中学乾县新阳乡中学新阳乡中学彬县龙高中学龙高中学兴平市西吴中学西吴中学彬县太峪中学太峪中学礼泉县北屯中学北屯中学乾县阳峪中学阳峪中学礼泉县叱干中学叱干中学彬县韩家九年制学校韩家九年制学校彬县水帘中学水帘中学长武县巨家中学巨家中学三原县大程镇西周中学大程镇西周中学武功县游风镇中学游风镇中学乾县梁山乡东村中学梁山乡东村中学渭城区底张镇晋公庙中学底张镇晋公庙中学三原县新兴乡新兴中学柏社分校新兴乡新兴中学柏社分校渭城区渭城乡石桥中学渭城乡石桥中学咸阳市秦都区五O五高级中学秦都区五O五高级中学渭城区韩家湾乡白庙中学韩家湾乡白庙中学渭城区第二中学渭城区第二中学乾县城关镇乾陵中学城关镇乾陵中学淳化县大店乡中学大店乡中学淳化县胡家庙乡中学胡家庙乡中学三原县新庄中学三原县新庄中学乾县灵源镇中学灵源镇中学兴平市南市中学南市中学彬县底店中学底店中学兴平市庄头中学庄头中学武功县南仁乡中学南仁乡中学乾县阳洪中学阳洪中学泾阳县兴隆乡中学兴隆乡中学长武县马寨乡中学马寨乡中学长武县丁家中学丁家中学长武县地掌乡中学地掌乡中学乾县关头中学关头中学陕西省三原南郊中学陕西省三原南郊中学陕西省咸阳市秦都区实验中学秦都区实验中学淳化县黄甫乡中学黄甫乡中学泾阳县青少年体育学校青少年体育学校乾县峰阳镇中学峰阳镇中学淳化县南村乡中学南村乡中学淳化县固贤乡中学固贤乡中学长武县冉店乡中学冉店乡中学淳化县官庄乡中学官庄乡中学乾县王村镇中学王村镇中学旬邑县清塬乡中学清塬乡中学乾县姜村镇中学姜村镇中学乾县石牛乡中学石牛乡中学泾阳县扫宋中学扫宋中学兴平市店张中学店张中学彬县新堡子乡中学新堡子乡中学彬县炭店中学炭店中学礼泉县药王洞乡中学县药王洞乡中学渭城区底张镇顺陵中学渭城区底张镇顺陵中学泾阳县王桥镇中学王桥镇中学陕西省彬县新民中学新民中学武功县大庄镇中学大庄镇中学淳化县车坞乡中学车坞乡中学彬县小章中学小章中学彬县车家庄中学车家庄中学淳化县治峪中学治峪中学长武县枣元乡中学枣元乡中学长武县相公镇中学相公镇中学礼泉县裴寨中学裴寨中学乾县梁山乡中学梁山乡中学乾县大墙乡中学大墙乡中学礼泉县新时乡中学新时乡中学礼泉县阡东镇中学阡东镇中学兴平市阜寨中学阜寨中学三原县渠岸中学渠岸中学长武县彭公乡中学彭公乡中学泾阳县德才中学德才中学陕西省泾阳县高庄乡高庄中学高庄乡高庄中学单位类别单位状态上级单位省市区域固话号码传真地址学校激活陕西省咸阳市三原县学校激活陕西省咸阳市兴平市学校激活陕西省咸阳市兴平市学校激活陕西省咸阳市武功县学校激活陕西省咸阳市礼泉县学校激活陕西省咸阳市礼泉县学校激活陕西省咸阳市礼泉县学校激活陕西省咸阳市礼泉县学校激活陕西省咸阳市礼泉县学校激活陕西省咸阳市杨陵区学校激活陕西省咸阳市长武县学校激活陕西省咸阳市长武县学校激活陕西省咸阳市彬县学校激活陕西省咸阳市秦都区学校激活陕西省咸阳市武功县学校激活陕西省咸阳市彬县学校激活陕西省咸阳市杨陵区学校激活陕西省咸阳市杨陵区学校激活陕西省咸阳市兴平市学校激活陕西省咸阳市礼泉县学校激活陕西省咸阳市兴平市学校激活陕西省咸阳市兴平市学校激活陕西省咸阳市兴平市学校激活陕西省咸阳市兴平市学校激活陕西省咸阳市泾阳县学校激活陕西省咸阳市长武县学校激活陕西省咸阳市渭城区学校激活陕西省咸阳市三原县学校激活陕西省咸阳市长武县学校激活陕西省咸阳市礼泉县学校激活陕西省咸阳市兴平市学校激活陕西省咸阳市武功县学校激活陕西省咸阳市礼泉县学校激活陕西省咸阳市兴平市学校激活陕西省咸阳市泾阳县学校激活陕西省咸阳市礼泉县学校激活陕西省咸阳市兴平市学校激活陕西省咸阳市三原县学校激活陕西省咸阳市武功县学校激活陕西省咸阳市武功县学校激活陕西省咸阳市乾县学校激活陕西省咸阳市乾县学校激活陕西省咸阳市武功县学校激活陕西省咸阳市泾阳县学校激活陕西省咸阳市淳化县学校激活陕西省咸阳市旬邑县学校激活陕西省咸阳市乾县学校激活陕西省咸阳市乾县学校激活陕西省咸阳市三原县学校激活陕西省咸阳市长武县学校激活陕西省咸阳市三原县学校激活陕西省咸阳市三原县学校激活陕西省咸阳市长武县学校激活陕西省咸阳市乾县学校激活陕西省咸阳市泾阳县学校激活陕西省咸阳市兴平市学校激活陕西省咸阳市淳化县学校激活陕西省咸阳市兴平市学校激活陕西省咸阳市兴平市学校激活陕西省咸阳市泾阳县学校激活陕西省咸阳市旬邑县学校激活陕西省咸阳市长武县学校激活陕西省咸阳市长武县学校激活陕西省咸阳市永寿县学校激活陕西省咸阳市武功县学校激活陕西省咸阳市淳化县学校激活陕西省咸阳市长武县学校激活陕西省咸阳市旬邑县学校激活陕西省咸阳市长武县学校激活陕西省咸阳市兴平市学校激活陕西省咸阳市秦都区学校激活陕西省咸阳市长武县学校激活陕西省咸阳市礼泉县学校激活陕西省咸阳市武功县学校激活陕西省咸阳市永寿县学校激活陕西省咸阳市三原县学校激活陕西省咸阳市兴平市学校激活陕西省咸阳市三原县学校激活陕西省咸阳市旬邑县学校激活陕西省咸阳市兴平市学校激活陕西省咸阳市旬邑县学校激活陕西省咸阳市淳化县学校激活陕西省咸阳市淳化县学校激活陕西省咸阳市渭城区学校激活陕西省咸阳市旬邑县学校激活陕西省咸阳市淳化县学校激活陕西省咸阳市秦都区学校激活陕西省咸阳市兴平市学校激活陕西省咸阳市泾阳县学校激活陕西省咸阳市礼泉县学校激活陕西省咸阳市武功县学校激活陕西省咸阳市泾阳县学校激活陕西省咸阳市武功县学校激活陕西省咸阳市渭城区学校激活陕西省咸阳市长武县学校激活陕西省咸阳市武功县学校激活陕西省咸阳市渭城区学校激活陕西省咸阳市乾县学校激活陕西省咸阳市兴平市学校激活陕西省咸阳市武功县学校激活陕西省咸阳市兴平市学校激活陕西省咸阳市礼泉县学校激活陕西省咸阳市乾县学校激活陕西省咸阳市永寿县学校激活陕西省咸阳市泾阳县学校激活陕西省咸阳市乾县学校激活陕西省咸阳市淳化县学校激活陕西省咸阳市彬县学校激活陕西省咸阳市礼泉县学校激活陕西省咸阳市泾阳县学校激活陕西省咸阳市泾阳县学校激活陕西省咸阳市旬邑县学校激活陕西省咸阳市长武县学校激活陕西省咸阳市秦都区学校激活陕西省咸阳市三原县学校激活陕西省咸阳市泾阳县学校激活陕西省咸阳市礼泉县学校激活陕西省咸阳市礼泉县学校激活陕西省咸阳市秦都区学校激活陕西省咸阳市泾阳县学校激活陕西省咸阳市乾县学校激活陕西省咸阳市兴平市学校激活陕西省咸阳市礼泉县学校激活陕西省咸阳市泾阳县学校激活陕西省咸阳市彬县学校激活陕西省咸阳市泾阳县学校激活陕西省咸阳市长武县学校激活陕西省咸阳市兴平市学校激活陕西省咸阳市三原县学校激活陕西省咸阳市乾县学校激活陕西省咸阳市兴平市学校激活陕西省咸阳市彬县学校激活陕西省咸阳市乾县学校激活陕西省咸阳市武功县学校激活陕西省咸阳市礼泉县学校激活陕西省咸阳市三原县学校激活陕西省咸阳市泾阳县学校激活陕西省咸阳市旬邑县学校激活陕西省咸阳市乾县学校激活陕西省咸阳市淳化县学校激活陕西省咸阳市秦都区学校激活陕西省咸阳市永寿县学校激活陕西省咸阳市乾县学校激活陕西省咸阳市三原县学校激活陕西省咸阳市乾县学校激活陕西省咸阳市乾县学校激活陕西省咸阳市长武县学校激活陕西省咸阳市淳化县学校激活陕西省咸阳市秦都区学校激活陕西省咸阳市三原县学校激活陕西省咸阳市长武县学校激活陕西省咸阳市礼泉县学校激活陕西省咸阳市长武县学校激活陕西省咸阳市旬邑县学校激活陕西省咸阳市渭城区学校激活陕西省咸阳市礼泉县学校激活陕西省咸阳市兴平市学校激活陕西省咸阳市秦都区学校激活陕西省咸阳市泾阳县学校激活陕西省咸阳市礼泉县学校激活陕西省咸阳市渭城区学校激活陕西省咸阳市兴平市学校激活陕西省咸阳市旬邑县学校激活陕西省咸阳市兴平市学校激活陕西省咸阳市三原县学校激活陕西省咸阳市武功县学校激活陕西省咸阳市旬邑县学校激活陕西省咸阳市乾县学校激活陕西省咸阳市彬县学校激活陕西省咸阳市乾县学校激活陕西省咸阳市彬县学校激活陕西省咸阳市兴平市学校激活陕西省咸阳市彬县学校激活陕西省咸阳市礼泉县学校激活陕西省咸阳市乾县学校激活陕西省咸阳市礼泉县学校激活陕西省咸阳市彬县学校激活陕西省咸阳市彬县学校激活陕西省咸阳市长武县学校激活陕西省咸阳市三原县学校激活陕西省咸阳市武功县学校激活陕西省咸阳市乾县学校激活陕西省咸阳市渭城区学校激活陕西省咸阳市三原县学校激活陕西省咸阳市渭城区学校激活陕西省咸阳市秦都区学校激活陕西省咸阳市渭城区学校激活陕西省咸阳市渭城区学校激活陕西省咸阳市乾县学校激活陕西省咸阳市淳化县学校激活陕西省咸阳市淳化县学校激活陕西省咸阳市三原县学校激活陕西省咸阳市乾县学校激活陕西省咸阳市兴平市学校激活陕西省咸阳市彬县学校激活陕西省咸阳市兴平市学校激活陕西省咸阳市武功县学校激活陕西省咸阳市乾县学校激活陕西省咸阳市泾阳县学校激活陕西省咸阳市长武县学校激活陕西省咸阳市长武县学校激活陕西省咸阳市三原县学校激活陕西省咸阳市秦都区学校激活陕西省咸阳市淳化县学校激活陕西省咸阳市泾阳县学校激活陕西省咸阳市乾县学校激活陕西省咸阳市淳化县学校激活陕西省咸阳市淳化县学校激活陕西省咸阳市长武县学校激活陕西省咸阳市淳化县学校激活陕西省咸阳市乾县学校激活陕西省咸阳市旬邑县学校激活陕西省咸阳市乾县学校激活陕西省咸阳市乾县学校激活陕西省咸阳市泾阳县学校激活陕西省咸阳市兴平市学校激活陕西省咸阳市彬县学校激活陕西省咸阳市彬县学校激活陕西省咸阳市礼泉县学校激活陕西省咸阳市渭城区学校激活陕西省咸阳市泾阳县学校激活陕西省咸阳市彬县学校激活陕西省咸阳市武功县学校激活陕西省咸阳市淳化县学校激活陕西省咸阳市彬县学校激活陕西省咸阳市彬县学校激活陕西省咸阳市淳化县学校激活陕西省咸阳市长武县学校激活陕西省咸阳市长武县学校激活陕西省咸阳市礼泉县学校激活陕西省咸阳市乾县学校激活陕西省咸阳市乾县学校激活陕西省咸阳市礼泉县学校激活陕西省咸阳市礼泉县学校激活陕西省咸阳市兴平市学校激活陕西省咸阳市三原县学校激活陕西省咸阳市长武县学校激活陕西省咸阳市泾阳县学校激活陕西省咸阳市泾阳县负责人移动号码单位网址。