数列与不等式知识点及练习
- 格式:doc
- 大小:848.00 KB
- 文档页数:11
授课教案教学标题 期末复习(三) 教学目标 1 、不等式知识点归纳与总结 教学重难点重点:不等式基础知识点的熟练掌握难点:不等式在实际应用中的相互转换上次作业检查授课内容:一、数列章节知识点复习1 等差数列(1)性质:a n =an+b ,即a n 是n 的一次性函数,系数a 为等差数列的公差;(2) 等差{n a }前n 项和n d a n d Bn An S n ⎪⎭⎫ ⎝⎛-+⎪⎭⎫ ⎝⎛=+=22122 即S n 是n 的不含常数项的二次函数;若{a n },{b n }均为等差数列,则{a n ±n n },{∑=k1i ka},{ka n +c}(k ,c 为常数)均为等差数列;当m+n=p+q 时,a m +a n =a p +a q ,特例:a 1+a n =a 2+a n-1=a 3+a n-2=…;当2n=p+q 时,2a n =a p +a q ; ① 等差数列依次每k 项的和仍成等差数列,其公差为原公差的k 2倍...,,232k k k k k S S S S S --; ② 若等差数列的项数为2()+∈N n n ,则,奇偶nd S S =-1+=n na a S S 偶奇;等差数列等比数列 定义 d a a n n =-+1)0(1≠=+q q a a nn 递推公式 d a a n n +=-1;()n m a a n m d =+-q a a n n 1-=;m n m n q a a -= 通项公式 d n a a n )1(1-+=11-=n n q a a (0,1≠q a )中项2kn k n a a A +-+=(*,,0n k N n k ∈>>))0( k n k n k n k n a a a a G +-+-±=(*,,0n k N n k ∈>>)前n 项和)(21n n a a nS +=d n n na S n 2)1(1-+=()⎪⎩⎪⎨⎧≠--=--==)1(111)1(111q q qa a qq a q na S n n n 重要性质),,,,(*q p n m N q p n m a a a a qp n m +=+∈+=+),,,,(*q p n m N q p n m a a a a qp n m +=+∈⋅=⋅③ 若等差数列的项数为()+∈-N n n 12,则()n n a n S 1212-=-,且n a S S =-偶奇, 1-=n n S S 偶奇 (4)常用公式:①1+2+3 …+n =()21+n n ②()()61213212222++=+++n n n n③()2213213333⎥⎦⎤⎢⎣⎡+=++n n n[注]:熟悉常用通项:9,99,999,…110-=⇒n n a ; 5,55,555,…()11095-=⇒nna .2 等比数列 (1)性质当m+n=p+q 时,a m a n =a p a q ,特例:a 1a n =a 2a n-1=a 3a n-2=…,当2n=p+q 时,a n 2=a p a q ,数列{ka n },{∑=k1i ia}成等比数列。
数列、不等式1.已知前n 项和S n =a 1+a 2+a 3+…+a n ,则a n =⎩⎪⎨⎪⎧S 1 (n =1)S n -S n -1 (n ≥2).由S n 求a n 时,易忽略n =1的情况.[问题1] 已知数列{a n }的前n 项和S n =n 2+1,则a n =________.答案 ⎩⎪⎨⎪⎧2, n =12n -1, n ≥22.等差数列的有关概念及性质(1)等差数列的判断方法:定义法a n +1-a n =d (d 为常数)或a n +1-a n =a n -a n -1(n ≥2). (2)等差数列的通项:a n =a 1+(n -1)d 或a n =a m +(n -m )d . (3)等差数列的前n 项和:S n =n (a 1+a n )2,S n =na 1+n (n -1)2d . (4)等差数列的性质①当公差d ≠0时,等差数列的通项公式a n =a 1+(n -1)·d =dn +a 1-d 是关于n 的一次函数,且斜率为公差d ;前n 项和S n =na 1+n (n -1)2d =d 2n 2+(a 1-d 2)n 是关于n 的二次函数且常数项为0.②若公差d >0,则为递增等差数列;若公差d <0,则为递减等差数列;若公差d =0,则为常数列.③当m +n =p +q 时,则有a m +a n =a p +a q ,特别地,当m +n =2p 时,则有a m +a n =2a p . ④S n ,S 2n -S n ,S 3n -S 2n 成等差数列.[问题2] 已知等差数列{a n }的前n 项和为S n ,且S 10=12,S 20=17,则S 30为( ) A .15 B .20 C .25 D .30 答案 A3.等比数列的有关概念及性质(1)等比数列的判断方法:定义法a n +1a n =q (q 为常数),其中q ≠0,a n ≠0或a n +1a n =a na n -1(n ≥2).如一个等比数列{a n }共有2n +1项,奇数项之积为100,偶数项之积为120,则a n +1=56.(2)等比数列的通项:a n =a 1q n-1或a n =a m q n-m.(3)等比数列的前n 项和:当q =1时,S n =na 1;当q ≠1时,S n =a 1(1-q n )1-q =a 1-a n q1-q.易错警示:由于等比数列前n 项和公式有两种形式,为此在求等比数列前n 项和时,首先要判断公比q 是否为1,再由q 的情况选择求和公式的形式,当不能判断公比q 是否为1时,要对q 分q =1和q ≠1两种情形讨论求解.(4)等比中项:若a ,A ,b 成等比数列,那么A 叫做a 与b 的等比中项.值得注意的是,不是任何两数都有等比中项,只有同号两数才存在等比中项,且有两个,即为±ab .如已知两个正数a ,b (a ≠b )的等差中项为A ,等比中项为B ,则A 与B 的大小关系为A >B . (5)等比数列的性质当m +n =p +q 时,则有a m ·a n =a p ·a q ,特别地,当m +n =2p 时,则有a m ·a n =a 2p .[问题3] (1)在等比数列{a n }中,a 3+a 8=124,a 4a 7=-512,公比q 是整数,则a 10=________. (2)各项均为正数的等比数列{a n }中,若a 5·a 6=9,则log 3a 1+log 3a 2+…+log 3a 10=________. 答案 (1)512 (2)10 4.数列求和的方法(1)公式法:等差数列、等比数列求和公式; (2)分组求和法; (3)倒序相加法; (4)错位相减法; (5)裂项法;如:1n (n +1)=1n -1n +1;1n (n +k )=1k ⎝⎛⎭⎫1n -1n +k .(6)并项法.数列求和时要明确:项数、通项,并注意根据通项的特点选取合适的方法.[问题4] 数列{a n }满足a n +a n +1=12(n ∈N ,n ≥1),若a 2=1,S n 是{a n }的前n 项和,则S 21的值为________. 答案 925.在求不等式的解集、定义域及值域时,其结果一定要用集合或区间表示,不能直接用不等式表示.[问题5] 不等式-3x 2+5x -2>0的解集为________. 答案 ⎝⎛⎭⎫23,16.不等式两端同时乘以一个数或同时除以一个数,必须讨论这个数的正负.两个不等式相乘时,必须注意同向同正时才能进行.[问题6] 已知a ,b ,c ,d 为正实数,且c >d ,则“a >b ”是“ac >bd ”的________条件. 答案 充分不必要7.基本不等式:a +b2≥ab (a ,b >0)(1)推广:a 2+b 22≥a +b 2≥ab ≥21a +1b(a ,b >0). (2)用法:已知x ,y 都是正数,则①若积xy 是定值p ,则当x =y 时,和x +y 有最小值2p ; ②若和x +y 是定值s ,则当x =y 时,积xy 有最大值14s 2.易错警示:利用基本不等式求最值时,要注意验证“一正、二定、三相等”的条件. [问题7] 已知a >0,b >0,a +b =1,则y =1a +4b 的最小值是________.答案 98.解线性规划问题,要注意边界的虚实;注意目标函数中y 的系数的正负;注意最优整数解.[问题8] 设定点A (0,1),动点P (x ,y )的坐标满足条件⎩⎪⎨⎪⎧x ≥0,y ≤x ,则|P A |的最小值是________.答案22易错点1 忽视对等比数列中公比的分类讨论致误例1 设等比数列{a n }的前n 项和为S n ,若S 3+S 6=S 9,则数列的公比q 是________. 错解 -1找准失分点 当q =1时,符合要求.很多考生在做本题时都想当然地认为q ≠1. 正解 ①当q =1时,S 3+S 6=9a 1,S 9=9a 1, ∴S 3+S 6=S 9成立. ②当q ≠1时,由S 3+S 6=S 9 得a 1(1-q 3)1-q +a 1(1-q 6)1-q =a 1(1-q 9)1-q∴q 9-q 6-q 3+1=0,即(q 3-1)(q 6-1)=0. ∵q ≠1,∴q 3-1≠0,∴q 6=1,∴q =-1. 答案 1或-1易错点2 忽视分类讨论或讨论不当致误例2 若等差数列{a n }的首项a 1=21,公差d =-4,求:S k =|a 1|+|a 2|+|a 3|+…+|a k |. 错解 由题意,知a n =21-4(n -1)=25-4n ,因此由a n ≥0,解得n ≤254,即数列{a n }的前6项大于0,从第7项开始,以后各项均小于0.|a 1|+|a 2|+|a 3|+…+|a k |=(a 1+a 2+a 3+…+a 6)-(a 7+a 8+…+a k )=2(a 1+a 2+…+a 6)-(a 1+a 2+…+a 6+a 7+a 8+…+a k ) =2k 2-23k +132 所以S k =2k 2-23k +132.找准失分点 忽视了k ≤6的情况,只给出了k ≥7的情况.正解 由题意,知a n =21-4(n -1)=25-4n ,因此由a n ≥0,解得n ≤254,即数列{a n }的前6项大于0,从第7项开始,以后各项均小于0. 当k ≤6时,S k =|a 1|+|a 2|+…+|a k |=a 1+a 2+…+a k =-2k 2+23k .当k ≥7时,|a 1|+|a 2|+|a 3|+…+|a k | =(a 1+a 2+a 3+…+a 6)-(a 7+a 8+…+a k )=2(a 1+a 2+…+a 6)-(a 1+a 2+…+a 6+a 7+a 8+…+a k ) =2k 2-23k +132,所以S k =⎩⎪⎨⎪⎧-2k 2+23k (k ≤6)2k 2-23k +132 (k ≥7).易错点3 忽视等比数列中的隐含条件致误例3 各项均为实数的等比数列{a n }的前n 项和为S n ,若S 10=10,S 30=70,则S 40=________. 错解 150或-200找准失分点 数列S 10,S 20-S 10,S 30-S 20,S 40-S 30的公比q 10>0.忽略了此隐含条件,就产生了增解-200.正解 记b 1=S 10,b 2=S 20-S 10,b 3=S 30-S 20,b 4=S 40-S 30, b 1,b 2,b 3,b 4是以公比为r =q 10>0的等比数列. ∴b 1+b 2+b 3=10+10r +10r 2=S 30=70, ∴r 2+r -6=0,∴r =2或r =-3(舍去), ∴S 40=b 1+b 2+b 3+b 4=10(1-24)1-2=150.答案 150易错点4 忽视基本不等式中等号成立的条件致误例4 已知:a >0,b >0,a +b =1,求⎝⎛⎭⎫a +1a 2+⎝⎛⎭⎫b +1b 2的最小值.错解 由⎝⎛⎭⎫a +1a 2+⎝⎛⎭⎫b +1b 2=a 2+b 2+1a 2+1b 2+4 ≥2ab +2ab+4≥4ab ·1ab+4=8, 得⎝⎛⎭⎫a +1a 2+⎝⎛⎭⎫b +1b 2的最小值是8. 找准失分点 两次利用基本不等式,等号不能同时取到. 正解 ⎝⎛⎭⎫a +1a 2+⎝⎛⎭⎫b +1b 2 =a 2+b 2+1a 2+1b 2+4=(a 2+b 2)+⎝⎛⎭⎫1a 2+1b 2+4 =[(a +b )2-2ab ]+⎣⎡⎦⎤⎝⎛⎭⎫1a +1b 2-2ab +4=(1-2ab )⎝⎛⎭⎫1+1a 2b 2+4 由ab ≤⎝⎛⎭⎫a +b 22=14,得1-2ab ≥1-12=12,且1a 2b2≥16,1+1a 2b2≥17.∴原式≥12×17+4=252(当且仅当a =b =12时,等号成立),∴⎝⎛⎭⎫a +1a 2+⎝⎛⎭⎫b +1b 2的最小值是252.1.在等差数列{a n }中,已知a 3+a 8=10,则3a 5+a 7等于( ) A .10 B .18 C .20 D .28答案 C解析 因为a 3+a 8=10,所以由等差数列的性质,得a 5+a 6=10, 所以3a 5+a 7=2a 5+2a 6=20,选C.2.若1a <1b <0,则下列不等式:①a +b <ab ;②|a |>|b |;③a <b 中,正确的不等式有( )A .0个B .1个C .2个D .3个答案 B解析 由1a <1b<0,得a <0,b <0,故a +b <0且ab >0,所以a +b <ab ,即①正确; 由1a <1b<0,得⎪⎪⎪⎪1a >⎪⎪⎪⎪1b ,两边同乘|ab |,得|b |>|a |,故②错误;由①②知|b |>|a |,a <0,b <0,所以a >b ,即③错误,选B.3.已知,x >1,y >1,且14ln x ,14,ln y 成等比数列,则xy 有( )A .最小值eB .最小值 eC .最大值eD .最大值 e答案 A解析 x >1,y >1,且14ln x ,14,ln y 成等比数列,14ln x ·ln y =(14)2,即14=ln x ·ln y ≤(ln x +ln y 2)2,ln x +ln y ≥1,ln xy ≥1,故xy ≥e.4.设等比数列{a n }的前n 项和为S n ,若S 10∶S 5=1∶2,则S 15∶S 5等于( ) A .3∶4 B .2∶3 C .1∶2 D .1∶3答案 A解析 ∵{a n }是等比数列,∴S 5,S 10-S 5,S 15-S 10也构成等比数列, 记S 5=2k (k ≠0),则S 10=k ,可得S 10-S 5=-k , 进而得S 15-S 10=12k ,于是S 15=32k ,故S 15∶S 5=32k ∶2k =3∶4.5.把一数列依次按第一个括号内一个数,第二个括号内两个数,第三个括号内三个数,第四个括号内一个数,…循环分为(1),(3,5),(7,9,11),(13),(15,17),(19,21,23),(25),…,则第50个括号内各数之和为( ) A .195 B .197 C .392 D .396答案 C解析 将三个括号作为一组,则由50=16×3+2,知第50个括号应为第17组的第二个括号,即第50个括号中应是两个数.又因为每组中含有6个数,所以第48个括号的最末一个数为数列{2n -1}的第16×6=96项,第50个括号的第一个数应为数列{2n -1}的第98项,即为2×98-1=195,第二个数为2×99-1=197,故第50个括号内各数之和为195+197=392.故选C.6.已知点A (m ,n )在直线x +2y -1=0上,则2m +4n 的最小值为________. 答案 2 2解析 点A (m ,n )在直线x +2y -1=0上,则m +2n =1;2m +4n =2m +22n ≥22m ·22n =22m+2n=2 2.7.已知x >0,y >0,x ,a ,b ,y 成等差数列,x ,c ,d ,y 成等比数列,则(a +b )2cd 的最小值是________.答案 4解析 由x ,a ,b ,y 成等差数列知a +b =x +y ,① 由x ,c ,d ,y 成等比数列知cd =xy ,②把①②代入(a +b )2cd 得(a +b )2cd =(x +y )2xy =x 2+y 2+2xy xy ≥4,∴(a +b )2cd的最小值为4.8.已知平面直角坐标系xOy 上的区域D 由不等式组⎩⎨⎧0≤x ≤2y ≤2x ≤2y给定.若M (x ,y )为D 上的动点,点A 的坐标为(2,1),则z =OM →·OA →的最大值为________.答案 4解析 画出可行域D ,如图中阴影部分所示,而z =OM →·OA →=2x +y , ∴y =-2x +z , 令l 0:y =-2x ,将l 0平移到过点(2,2)时, 截距z 有最大值, 故z max =2×2+2=4.9.已知函数f (x )=⎩⎪⎨⎪⎧(4-a 2)x +4(x ≤6),a x -5(x >6)(a >0,a ≠1).数列{a n }满足a n =f (n )(n ∈N *),且{a n }是单调递增数列,则实数a 的取值范围是________. 答案 (4,8)解析 ∵{a n }是单调递增数列,∴⎩⎪⎨⎪⎧4-a 2>0a >1(4-a 2)×6+4<a2,⎩⎪⎨⎪⎧a <8a >1a <-7或a >4, ∴4<a <8.10.已知正项数列{a n },其前n 项和S n 满足8S n =a 2n +4a n +3,且a 2是a 1和a 7的等比中项. (1)求数列{a n }的通项公式;(2)符号[x ]表示不超过实数x 的最大整数,记b n =[log 2(a n +34)],求b 1+b 2+b 3+…+b 2n .解 (1)由8S n =a 2n +4a n +3,①知8S n -1=a 2n -1+4a n -1+3(n ≥2,n ∈N ).② 由①-②得8a n =(a n -a n -1)(a n +a n -1)+4a n -4a n -1, 整理得(a n -a n -1-4)(a n +a n -1)=0(n ≥2,n ∈N ). ∵{a n }为正项数列, ∴a n +a n -1>0,∴a n -a n -1=4(n ≥2,n ∈N ).∴{a n }为公差为4的等差数列,由8a 1=a 21+4a 1+3,得a 1=3或a 1=1. 当a 1=3时,a 2=7,a 7=27,不满足a 2是a 1和a 7的等比中项. 当a 1=1时,a 2=5,a 7=25,满足a 2是a 1和a 7的等比中项. ∴a n =1+(n -1)4=4n -3.(2)由a n =4n -3得b n =[log 2(a n +34)]=[log 2n ],由符号[x ]表示不超过实数x 的最大整数知,当2m ≤n <2m+1时,[log 2n ]=m ,所以令S =b 1+b 2+b 3+…+b 2n =[log 21]+[log 22]+[log 23]+…+[log 22n ] =0+1+1+2+…+3+…+4+…+n -1+…+n . ∴S =1×21+2×22+3×23+4×24+(n -1)×2n -1+n ,①2S =1×22+2×23+3×24+4×25+(n -1)×2n +2n .② ①-②得-S =2+22+23+24+…+2n -1-(n -1)2n -n=2(1-2n -1)1-2-(n -1)2n -n =(2-n )2n -n -2,∴S =(n -2)2n +n +2,即b 1+b 2+b 3+…+b 2n =(n -2)2n +n +2.。
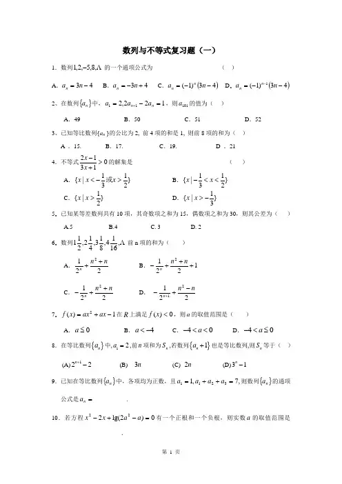
数列与不等式复习题(一)1.数列 ,8,5,2,1-的一个通项公式为 ( ) A .43-=n a n B .43+-=n a n C .()43)1(--=n a nn D .()43)1(1--=-n a n n2、在数列{}n a 中,122,211=-=+n n a a a ,则101a 的值为( )A .49B .50C .51D .523、已知等比数列{a n }的公比为2, 前4项的和是1, 则前8项的和为( ) A .15. B .17. C .19. D .21 4.不等式01312>+-x x 的解集是 ( )A .}2131|{>-<x x x 或B .}2131|{<<-x xC .}21|{>x xD .}31|{->x x5.已知某等差数列共有10项,其奇数项之和为15,偶数项之和为30,则其公差为( )A.5B.4C. 3D. 2 6.数列 ,1614,813,412,211前n 项的和为( ) A .2212nn n ++B .12212+++-nn nC .2212nn n ++-D . 22121nn n -+-+7.f x ax ax ()=+-21在R 上满足f x ()<0,则a 的取值范围是( )A .a ≤0B .a <-4C .-<<40aD .-<≤40a8.在等比数列{}n a 中,12a =,前n 项和为n S ,若数列{}1n a +也是等比数列,则n S 等于( )(A)122n +- (B) 3n (C) 2n (D)31n -9.已知在等比数列{}n a 中,各项均为正数,且,7,13211=++=a a a a 则数列{}n a 的通项公式是_________=n a .10.若方程x x a a 22220-+-=lg()有一个正根和一个负根,则实数a 的取值范围是__________________.11.设n S 为等差数列{}n a 的前n 项和,若5,10105-==S S ,则公差为 (用数字作答). 12.已知实数a ,b ,c 成等差数列,和为15,且a +1,b +1,c +4成等比数列,求a ,b ,c .13.已知y =f (x )为一次函数,且f (2)、f (5)、f (4)成等比数列,f (8)=15,求S n =f (1)+f (2)+…+f (n )的表达式.14. 数列{a n }的前n 项和为S n ,且a 1=1,113n n a S +=,n =1,2,3,……,求 (I )a 2,a 3,a 4的值及数列{a n }的通项公式; (II )2462n a a a a ++++ 的值.数列与不等式复习题(一)答案9.12n - 10.11,0,122⎛⎫⎛⎫-⋃ ⎪ ⎪⎝⎭⎝⎭11.-1 12.解:由题意,得215 (1)2(2)(1)(4)(1)(3)a b c a c b a c b ⎧++=⎪+=⎨⎪++=+⎩………………由(1)(2)两式,解得5b =将10c a =-代入(3),整理得213220a a -+=,解得 2a =或11a =故2a =,5,8b c ==或11,5,1a b c ===- 经验算,上述两组数符合题意。
数列知识点-——-求通项一、由数列的前几项求数列的通项:观察法和分拆与类比法-—-—-猜测———-证明(略)二、由a n 与S n 的关系求通项a n例1已知数列{a n }的前n 项和为S n =3n -1,则它的通项公式为a n =________。
答案2·3n -1练1 已知数列{a n }的前n 项和S n =3n 2-2n +1,则其通项公式为________. 答案a n =错误!三、由数列的递推公式求通项例3、(1)设数列{}n a 的前n 项和为n S .已知1a a =,13n n n a S +=+,*n ∈N .设3n n n b S =-,求数列{}n b 的通项公式;答案: 13(3)2n n n n b S a -=-=-,*n ∈N .(2)(4)在数列{}n a 中,11a =,22a =,且11(1)n n n a q a qa +-=+-(2,0n q ≥≠).(Ⅰ)设1n n n b a a +=-(*n N ∈),证明{}n b 是等比数列;(Ⅱ)求数列{}n a 的通项公式;答案: 11,,.1,111n n q q q a n q-≠=⎧-+⎪=-⎨⎪⎩(3)在数列{}n a 中,1112(2)2()n n n n a a a n λλλ+*+==++-∈N ,,其中0λ>.(Ⅰ)求数列{}n a 的通项公式; (Ⅱ)求数列{}n a 的前n 项和n S ;答案:(1)2nnn a n λ=-+21212(1)22(1)(1)n n n n n n S λλλλλ+++--+=+-≠- 1(1)22(1)2n n n n S +-=+-λ=(4)已知数列{}n a 满足:()213,22n n a a a n n N *+=+=+∈(1)求数列{}n a 的通项公式; (2)设1234212111n n nT a a a a a a -=+++,求lim n n T →∞答案: 11,,.1,111n n q q q a n q-≠=⎧-+⎪=-⎨⎪⎩注意:由数列的递推式求通项常见类型(请同学们查看高一笔记)1.)(1n f a a n n +=+ 2 . n n a n f a )(1=+.3 q pa a n n +=+1(其中p,q 均为常数,)0)1((≠-p pq )。
1.基本不等式ab ≤a +b2(1)基本不等式成立的条件:a ≥0,b ≥0. (2)等号成立的条件:当且仅当a =b 时取等号. 2.几个重要的不等式 (1)a 2+b 2≥2ab (a ,b ∈R ). (2)b a +ab ≥2(a ,b 同号). (3)ab ≤⎝⎛⎭⎫a +b 22(a ,b ∈R ).(4)a 2+b 22≥⎝⎛⎭⎫a +b 22 (a ,b ∈R ). 以上不等式等号成立的条件均为a =b . 3.算术平均数与几何平均数设a >0,b >0,则a ,b 的算术平均数为a +b 2,几何平均数为ab ,基本不等式可叙述为两个正数的几何平均数不大于它们的算术平均数. 4.利用基本不等式求最值问题 已知x >0,y >0,则(1)如果积xy 是定值p ,那么当且仅当x =y 时,x +y 有最小值2p .(简记:积定和最小) (2)如果和x +y 是定值p ,那么当且仅当x =y 时,xy 有最大值p 24.(简记:和定积最大)【思考辨析】判断下面结论是否正确(请在括号中打“√”或“×”)(1)函数y =x +1x 的最小值是2.( × )(2)函数f (x )=cos x +4cos x ,x ∈(0,π2)的最小值等于4.( × ) (3)“x >0且y >0”是“x y +yx ≥2”的充要条件.( × )(4)若a >0,则a 3+1a2的最小值为2a .( × )(5)不等式a 2+b 2≥2ab 与a +b2≥ab 有相同的成立条件.( × )1.(教材改编)设x >0,y >0,且x +y =18,则xy 的最大值为________. 答案 81解析 ∵x >0,y >0,∴x +y2≥xy ,即xy ≤(x +y2)2=81,当且仅当x =y =9时,(xy )max =81.2.若实数x ,y 满足x >y >0,且log 2x +log 2y =1,则x 2+y 2x -y 的最小值为________.答案 4解析 由log 2x +log 2y =1得xy =2,又x >y >0,所以x -y >0,x 2+y 2x -y =(x -y )2+2xy x -y =x -y +4x -y ≥2(x -y )·4x -y =4,当且仅当x -y =2,即x =1+3,y =3-1时取等号,所以x 2+y 2x -y的最小值为4.3.若函数f (x )=x +1x -2(x >2)在x =a 处取最小值,则a =________.答案 3解析 当x >2时,x -2>0,f (x )=(x -2)+1x -2+2≥2(x -2)×1x -2+2=4,当且仅当x -2=1x -2(x >2),即x =3时取等号,即当f (x )取得最小值时,x =3,即a =3. 4.(教材改编)若把总长为20 m 的篱笆围成一个矩形场地,则矩形场地的最大面积是________ m 2. 答案 25解析 设矩形的一边为x m , 则另一边为12×(20-2x )=(10-x )m ,∴y =x (10-x )≤[x +(10-x )2]2=25,当且仅当x =10-x ,即x =5时,y max =25.5.(教材改编)已知x ,y ∈R +,且x +4y =1,则xy 的最大值为________. 答案116解析 1=x +4y ≥24xy =4xy ,∴xy ≤(14)2=116,当且仅当x =4y =12,即⎩⎨⎧x =12y =18时,(xy )max =116.题型一 利用基本不等式求最值命题点1 配凑法求最值例1 (1)已知x <54,则f (x )=4x -2+14x -5的最大值为________.(2)函数y =x 2+2x -1(x >1)的最小值为________.(3)函数y =x -1x +3+x -1的最大值为________.答案 (1)1 (2)23+2 (3)15解析 (1)因为x <54,所以5-4x >0,则f (x )=4x -2+14x -5=-(5-4x +15-4x )+3≤-2+3=1.当且仅当5-4x =15-4x ,即x =1时,等号成立.故f (x )=4x -2+14x -5的最大值为1.(2)y =x 2+2x -1=(x 2-2x +1)+(2x -2)+3x -1=(x -1)2+2(x -1)+3x -1=(x -1)+3x -1+2≥23+2.当且仅当(x -1)=3(x -1),即x =3+1时,等号成立.(3)令t =x -1≥0,则x =t 2+1,所以y =t t 2+1+3+t =tt 2+t +4.当t =0,即x =1时,y =0; 当t >0,即x >1时,y =1t +4t+1,因为t +4t ≥24=4(当且仅当t =2时取等号),所以y =1t +4t+1≤15,即y 的最大值为15(当t =2,即x =5时y 取得最大值).思维升华 (1)应用基本不等式解题一定要注意应用的前提:“一正”“二定”“三相等”.所谓“一正”是指正数,“二定”是指应用基本不等式求最值时,和或积为定值,“三相等”是指满足等号成立的条件.(2)在利用基本不等式求最值时,要根据式子的特征灵活变形,配凑出积、和为常数的形式,然后再利用基本不等式.命题点2 常数代换或消元法求最值例2 (1)若正数x ,y 满足x +3y =5xy ,则3x +4y 的最小值是________. (2)(高考改编题)设a +b =2,b >0,则12|a |+|a |b 取最小值时,a 的值为________.答案 (1)5 (2)-2解析 (1)方法一 由x +3y =5xy 可得15y +35x=1,∴3x +4y =(3x +4y )(15y +35x )=95+45+3x 5y +12y 5x ≥135+125=5. (当且仅当3x 5y =12y 5x ,即x =1,y =12时,等号成立),∴3x +4y 的最小值是5. 方法二 由x +3y =5xy 得x =3y5y -1, ∵x >0,y >0,∴y >15,∴3x +4y =9y5y -1+4y =13(y -15)+95+45-4y5y -1+4y=135+95·15y -15+4(y -15)≥135+23625=5, 当且仅当y =12时等号成立,∴(3x +4y )min =5.(2)∵a +b =2,∴12|a |+|a |b =24|a |+|a |b =a +b 4|a |+|a |b =a 4|a |+b 4|a |+|a |b ≥a 4|a |+2b 4|a |×|a |b =a4|a |+1, 当且仅当b 4|a |=|a |b 时等号成立.又a +b =2,b >0, ∴当b =-2a ,a =-2时,12|a |+|a |b取得最小值. 思维升华 条件最值的求解通常有两种方法:一是消元法,即根据条件建立两个量之间的函数关系,然后代入代数式转化为函数的最值求解;二是将条件灵活变形,利用常数“1”代换的方法构造和或积为常数的式子,然后利用基本不等式求解最值.(1)已知x ,y ∈(0,+∞),2x -3=(12)y ,若1x +m y(m >0)的最小值为3,则m =________.(2)已知x >0,y >0,x +3y +xy =9,则x +3y 的最小值为________. 答案 (1)4 (2)6解析 (1)由2x -3=(12)y 得x +y =3,1x +m y =13(x +y )(1x +m y ) =13(1+m +y x +mx y ) ≥13(1+m +2m ), (当且仅当y x =mxy 时取等号)∴13(1+m +2m )=3, 解得m =4.(2)由已知得x =9-3y1+y .方法一 (消元法) ∵x >0,y >0,∴y <3, ∴x +3y =9-3y 1+y +3y =3y 2+91+y=3(1+y )2-6(1+y )+121+y =121+y +(3y +3)-6≥2121+y·(3y +3)-6=6, 当且仅当121+y =3y +3,即y =1,x =3时,(x +3y )min =6. 方法二 ∵x >0,y >0,9-(x +3y )=xy =13x ·(3y )≤13·(x +3y 2)2,当且仅当x =3y 时等号成立. 设x +3y =t >0,则t 2+12t -108≥0, ∴(t -6)(t +18)≥0,又∵t >0,∴t ≥6.故当x =3,y =1时,(x +3y )min =6.题型二 基本不等式与学科知识的综合命题点1 用基本不等式求解与其他知识结合的最值问题例3 (1)已知直线ax +by +c -1=0(b ,c >0)经过圆x 2+y 2-2y -5=0的圆心,则4b +1c 的最小值是________.(2)已知a >0,b >0,a ,b 的等比中项是1,且m =b +1a ,n =a +1b ,则m +n 的最小值是________.答案 (1)9 (2)4解析 (1)圆x 2+y 2-2y -5=0化成标准方程, 得x 2+(y -1)2=6, 所以圆心为C (0,1).因为直线ax +by +c -1=0经过圆心C , 所以a ×0+b ×1+c -1=0,即b +c =1. 因此4b +1c =(b +c )(4b +1c )=4c b +bc +5.因为b ,c >0, 所以4c b +b c≥24c b ·bc=4. 当且仅当4c b =bc时等号成立.由此可得b =2c ,且b +c =1,即b =23,c =13时,4b +1c 取得最小值9.(2)由题意知:ab =1,∴m =b +1a =2b ,n =a +1b=2a ,∴m +n =2(a +b )≥4ab =4,当且仅当a =b =1时,等号成立. 命题点2 求参数的值或取值范围例4 已知a >0,b >0,若不等式3a +1b ≥ma +3b 恒成立,则m 的最大值为________.答案 12解析 由3a +1b ≥ma +3b得m ≤(a +3b )(3a +1b )=9b a +ab+6.又9b a +ab +6≥29+6=12, ∴m ≤12,∴m 的最大值为12.思维升华 (1)应用基本不等式判断不等式是否成立:对所给不等式(或式子)变形,然后利用基本不等式求解.(2)条件不等式的最值问题:通过条件转化成能利用基本不等式的形式求解.(3)求参数的值或范围:观察题目特点,利用基本不等式确定相关成立条件,从而得参数的值或范围.(1)已知各项均为正数的等比数列{a n }满足a 7=a 6+2a 5,若存在两项a m ,a n 使得a m a n =4a 1,则1m +4n的最小值为________.(2)已知函数f (x )=x 2+ax +11x +1(a ∈R ),若对于任意x ∈N *,f (x )≥3恒成立,则a 的取值范围是________________________________________________________________________. 答案 (1)32 (2)[-83,+∞)解析 (1)由各项均为正数的等比数列{a n }满足a 7=a 6+2a 5,可得a 1q 6=a 1q 5+2a 1q 4, 所以q 2-q -2=0, 解得q =2或q =-1(舍去). 因为a m a n =4a 1,所以q m +n -2=16, 所以2m +n -2=24,所以m +n =6. 所以1m +4n =16(m +n )(1m +4n )=16(5+n m +4m n ) ≥16(5+2n m ·4m n )=32. 当且仅当n m =4mn 时,等号成立,故1m +4n 的最小值等于32. (2)对任意x ∈N *,f (x )≥3恒成立,即x 2+ax +11x +1≥3恒成立,即知a ≥-(x +8x )+3.设g (x )=x +8x ,x ∈N *,则g (2)=6,g (3)=173.∵g (2)>g (3),∴g (x )min =173.∴-(x +8x )+3≤-83, ∴a ≥-83,故a 的取值范围是[-83,+∞).题型三 不等式的实际应用例5 运货卡车以每小时x 千米的速度匀速行驶130千米,按交通法规限制50≤x ≤100(单位:千米/时).假设汽油的价格是每升2元,而汽车每小时耗油(2+x 2360)升,司机的工资是每小时14元.(1)求这次行车总费用y 关于x 的表达式;(2)当x 为何值时,这次行车的总费用最低,并求出最低费用的值. 解 (1)设所用时间为t =130x(h),y =130x ×2×(2+x 2360)+14×130x,x ∈[50,100].所以,这次行车总费用y 关于x 的表达式是y =130×18x +2×130360x ,x ∈[50,100].(或y =2 340x +1318x ,x ∈[50,100]).(2)y =130×18x +2×130360x ≥2610,当且仅当130×18x =2×130360x ,即x =1810,等号成立.故当x =1810千米/时时,这次行车的总费用最低,最低费用的值为2610元. 思维升华 (1)设变量时一般要把求最大值或最小值的变量定义为函数. (2)根据实际问题抽象出函数的解析式后,只需利用基本不等式求得函数的最值. (3)在求函数的最值时,一定要在定义域(使实际问题有意义的自变量的取值范围)内求解.某工厂某种产品的年固定成本为250万元,每生产x 千件,需另投入成本为C (x ),当年产量不足80千件时,C (x )=13x 2+10x (万元).当年产量不小于80千件时,C (x )=51x +10 000x -1 450(万元).每件商品售价为0.05万元.通过市场分析,该厂生产的商品能全部售完.(1)写出年利润L (x )(万元)关于年产量x (千件)的函数解析式;(2)当年产量为多少千件时,该厂在这一商品的生产中所获利润最大? 解 (1)当0<x <80时,L (x )=1 000x ×0.05-(13x 2+10x )-250=-13x 2+40x -250.当x ≥80时,L (x )=1 000x ×0.05-(51x +10 000x-1 450)-250 =1 200-(x +10 000x).∴L (x )=⎩⎨⎧-13x 2+40x -250(0<x <80),1 200-(x +10 000x)(x ≥80).(2)当0<x <80时,L (x )=-13x 2+40x -250.对称轴为x =60,即当x =60时,L (x )最大=950(万元). 当x ≥80时,L (x )=1 200-(x +10 000x )≤1 200-210 000=1 000(万元),当且仅当x =100时,L (x )最大=1 000(万元), 综上所述,当x =100时,年获利最大.9.忽视最值取得的条件致误典例 (1)已知x >0,y >0,且1x +2y =1,则x +y 的最小值是________.(2)函数y =1-2x -3x(x <0)的最小值为________.易错分析 (1)多次使用基本不等式,忽略等号成立的条件.如:1=1x +2y ≥22xy,∴xy ≥22,∴x +y ≥2xy ≥42,得(x +y )min =4 2.(2)没有注意到x <0这个条件误用基本不等式得2x +3x ≥2 6. 解析 (1)∵x >0,y >0, ∴x +y =(x +y )(1x +2y) =3+y x +2x y≥3+22(当且仅当y =2x 时取等号), ∴当x =2+1,y =2+2时,(x +y )min =3+2 2.(2)∵x <0,∴y =1-2x -3x =1+(-2x )+(-3x)≥1+2 (-2x )·3-x=1+26,当且仅当x =-62时取等号,故y 的最小值为1+2 6. 答案 (1)3+22 (2)1+2 6温馨提醒 (1)利用基本不等式求最值,一定要注意应用条件;(2)尽量避免多次使用基本不等式,若必须多次使用,一定要保证等号成立的条件一致.[方法与技巧]1.基本不等式具有将“和式”转化为“积式”和将“积式”转化为“和式”的放缩功能,常常用于比较数(式)的大小或证明不等式,解决问题的关键是分析不等式两边的结构特点,选择好利用基本不等式的切入点.2.对于基本不等式,不仅要记住原始形式,而且还要掌握它的几种变形形式及公式的逆用等,例如:ab ≤(a +b 2)2≤a 2+b 22,ab ≤a +b 2≤ a 2+b 22(a >0,b >0)等,同时还要注意不等式成立的条件和等号成立的条件.3.对使用基本不等式时等号取不到的情况,可考虑使用函数y =x +m x(m >0)的单调性. [失误与防范]1.使用基本不等式求最值,“一正”“二定”“三相等”三个条件缺一不可.2.连续使用基本不等式求最值要求每次等号成立的条件一致.A 组 专项基础训练(时间:30分钟)1.下列不等式一定成立的是________.①lg(x 2+14)>lg x (x >0); ②sin x +1sin x≥2(x ≠k π,k ∈Z ); ③x 2+1≥2|x |(x ∈R );④1x 2+1>1(x ∈R ). 答案 ③解析 当x >0时,x 2+14≥2·x ·12=x , 所以lg(x 2+14)≥lg x (x >0), 故①不正确;运用基本不等式时需保证“一正”“二定“三相等”,而当x ≠k π,k ∈Z 时,sin x 的正负不定,故②不正确;由基本不等式可知,③正确;当x =0时,有1x 2+1=1,故④不正确. 2.设非零实数a ,b ,则“a 2+b 2≥2ab ”是“a b +b a≥2成立”的__________条件. 答案 必要不充分解析 因为a ,b ∈R 时,都有a 2+b 2-2ab =(a -b )2≥0,即a 2+b 2≥2ab ,而a b +b a≥2⇔ab >0, 所以“a 2+b 2≥2ab ”是“a b +b a≥2成立”的必要不充分条件. 3.已知a >0,b >0,a +b =2,则y =1a +4b的最小值是________. 答案 92解析 依题意,得1a +4b =12(1a +4b)·(a +b )=12[5+(b a +4a b )]≥12(5+2b a ·4a b )=92, 当且仅当⎩⎪⎨⎪⎧ a +b =2,b a =4a b ,a >0,b >0,即a =23,b =43时取等号, 即1a +4b 的最小值是92. 4.(2014·重庆改编)若log 4(3a +4b )=log 2ab ,则a +b 的最小值是________.答案 7+4 3解析 由题意得⎩⎪⎨⎪⎧ ab >0,ab ≥0,3a +4b >0,所以⎩⎨⎧a >0,b >0. 又log 4(3a +4b )=log 2ab ,所以log 4(3a +4b )=log 4ab ,所以3a +4b =ab ,故4a +3b=1. 所以a +b =(a +b )(4a +3b )=7+3a b +4b a≥7+23a b ·4b a =7+43, 当且仅当3a b =4b a时取等号. 5.已知正数x ,y 满足x +2y -xy =0,则x +2y 的最小值为________.答案 8解析 由x +2y -xy =0,得2x +1y=1,且x >0,y >0. ∴x +2y =(x +2y )×(2x +1y )=4y x +x y+4≥4+4=8. 6.规定记号“⊗”表示一种运算,即a ⊗b =ab +a +b (a 、b 为正实数).若1⊗k =3,则k 的值为________,此时函数f (x )=k ⊗x x的最小值为________. 答案 1 3解析 1⊗k =k +1+k =3,即k +k -2=0,∴k =1或k =-2(舍去).∴k =1.f (x )=1⊗x x =x +x +1x =1+x +1x≥1+2=3, 当且仅当x =1x ,即x =1时等号成立. 7.已知x >0,y >0,且4xy -x -2y =4,则xy 的最小值为________.答案 2解析 ∵x >0,y >0,x +2y ≥22xy ,∴4xy -(x +2y )≤4xy -22xy ,∴4≤4xy -22xy , 即(2xy -2)(2xy +1)≥0,∴2xy ≥2,∴xy ≥2.8.若正数a ,b 满足1a +1b =1,则1a -1+9b -1的最小值是________. 答案 6解析 ∵正数a ,b 满足1a +1b =1,∴b =a a -1>0,解得a >1.同理可得b >1,所以1a -1+9b -1=1a -1+9a a -1-1=1a -1+9(a -1)≥21a -1·9(a -1)=6,当且仅当1a -1=9(a -1),即a =43时等号成立,所以最小值为6.9.若当x >-3时,不等式a ≤x +2x +3恒成立,则a 的取值范围是________. 答案 (-∞,22-3]解析 设f (x )=x +2x +3=(x +3)+2x +3-3, 因为x >-3,所以x +3>0,故f (x )≥2(x +3)×2x +3-3=22-3, 当且仅当x =2-3时等号成立,所以a 的取值范围是(-∞,22-3].10.若关于x 的方程9x +(4+a )3x +4=0有解,则实数a 的取值范围是________. 答案 (-∞,-8]解析 分离变量得-(4+a )=3x +43x ≥4,得a ≤-8. 11.(2015·南通二模)已知x >0,y >0,且2x +5y =20.(1)求u =lg x +lg y 的最大值;(2)求1x +1y的最小值. 解 (1)∵x >0,y >0,∴由基本不等式,得2x +5y ≥210xy .∵2x +5y =20,∴210xy ≤20,xy ≤10,当且仅当2x =5y 时,等号成立.因此有⎩⎪⎨⎪⎧ 2x +5y =20,2x =5y ,解得⎩⎪⎨⎪⎧x =5,y =2,此时xy 有最大值10.∴u =lg x +lg y =lg(xy )≤lg 10=1.∴当x =5,y =2时,u =lg x +lg y 有最大值1.(2)∵x >0,y >0,∴1x +1y =⎝⎛⎭⎫1x +1y ·2x +5y 20=120⎝⎛⎭⎫7+5y x +2x y ≥120⎝⎛⎭⎫7+2 5y x ·2x y =7+21020, 当且仅当5y x =2x y 时,等号成立. 由⎩⎪⎨⎪⎧ 2x +5y =20,5y x =2x y ,解得⎩⎪⎨⎪⎧ x =1010-203,y =20-4103.∴1x +1y 的最小值为7+21020. B 组 专项能力提升(时间:20分钟)12.设x ,y 均为正实数,且32+x +32+y=1,则xy 的最小值为________. 答案 16解析 由32+x +32+y=1得xy =8+x +y , ∵x ,y 均为正实数,∴xy =8+x +y ≥8+2xy (当且仅当x =y 时等号成立),即xy -2xy -8≥0,解得xy ≥4,即xy ≥16,∴xy 的最小值为16.13.已知m >0,a 1>a 2>0,则使得m 2+1m≥|a i x -2|(i =1,2)恒成立的x 的取值范围是________________________________________________________________________.答案 [0,4a 1] 解析 因为m 2+1m =m +1m≥2(当且仅当m =1时等号成立), 所以要使不等式恒成立,则2≥|a i x -2|(i =1,2)恒成立,即-2≤a i x -2≤2,所以0≤a i x ≤4,因为a 1>a 2>0, 所以⎩⎨⎧ 0≤x ≤4a 1,0≤x ≤4a 2,即0≤x ≤4a 1, 所以使不等式恒成立的x 的取值范围是[0,4a 1]. 14.已知x ,y ∈R 且满足x 2+2xy +4y 2=6,则z =x 2+4y 2的取值范围为________. 答案 [4,12]解析 ∵2xy =6-(x 2+4y 2),而2xy ≤x 2+4y 22, ∴6-(x 2+4y 2)≤x 2+4y 22, ∴x 2+4y 2≥4(当且仅当x =2y 时取等号).又∵(x +2y )2=6+2xy ≥0,即2xy ≥-6,∴z =x 2+4y 2=6-2xy ≤12(当且仅当x =-2y 时取等号).综上可知4≤x 2+4y 2≤12.15.设a >0,b >0,若3是3a 与3b 的等比中项,则1a +1b的最小值为________. 答案 4解析 由题意知3a ·3b =3,即3a +b =3,∴a +b =1,∵a >0,b >0,∴1a +1b =⎝⎛⎭⎫1a +1b (a +b ) =2+b a +a b ≥2+2b a ·a b=4, 当且仅当a =b =12时,等号成立. 16.经市场调查,某旅游城市在过去的一个月内(以30天计),第t 天(1≤t ≤30,t ∈N *)的旅游人数f (t )(万人)近似地满足f (t )=4+1t,而人均消费g (t )(元)近似地满足g (t )=120-|t -20|. (1)求该城市的旅游日收益W (t )(万元)与时间t (1≤t ≤30,t ∈N *)的函数关系式;(2)求该城市旅游日收益的最小值.解 (1)W (t )=f (t )g (t )=(4+1t)(120-|t -20|) =⎩⎨⎧ 401+4t +100t , 1≤t ≤20,559+140t-4t , 20<t ≤30. (2)当t ∈[1,20]时,401+4t +100t ≥401+24t ·100t=441(t =5时取最小值). 当t ∈(20,30]时,因为W (t )=559+140t-4t 递减,所以t=30时,W(t)有最小值W(30)=4432,3所以t∈[1,30]时,W(t)的最小值为441万元.。
高一数学数列知识总结一、看数列是不是等差数列有以下三种方法:①),2(1为常数d n d a a n n ≥=--②211-++=n n n a a a (2≥n )③b kn a n +=(k n ,为常数).二、看数列是不是等比数列有以下两种方法:①)0,,2(1≠≥=-且为常数q n q a a n n ②112-+⋅=n n n a a a (2≥n ,011≠-+n n n a a a )三、在等差数列{n a }中,有关S n 的最值问题:(1)当1a >0,d<0时,满足⎩⎨⎧≤≥+001m m a a 的项数m 使得m s 取最大值. (2)当1a <0,d>0时,满足⎩⎨⎧≥≤+01m m a a 的项数m 使得m s 取最小值.在解含绝对值的数列最值问题时,注意转化思想的应用。
四.数列通项的常用方法:(1)利用观察法求数列的通项.(2)利用公式法求数列的通项:①⎩⎨⎧≥-==-)2()111n S S n S a n n n (;②{}n a 等差、等比数列{}n a 公式.(3)应用迭加(迭乘、迭代)法求数列的通项:①)(1n f a a n n +=+;②).(1n f a a n n =+(4)造等差、等比数列求通项:q pa a n n +=+1;②n n n q pa a +=+1;③)(1n f pa a n n +=+;④n n n a q a p a ⋅+⋅=++12.第一节通项公式常用方法题型1 利用公式法求通项例1:1.已知{a n }满足a n+1=a n +2,而且a 1=1。
求a n 。
2.已知n S 为数列{}n a 的前n 项和,求下列数列{}n a 的通项公式: ⑴ 1322-+=n n S n ; ⑵12+=n n S . 总结:任何一个数列,它的前n 项和n S 与通项n a 都存在关系:⎩⎨⎧≥-==-)2()1(11n S S n S a n n n 若1a 适合n a ,则把它们统一起来,否则就用分段函数表示.题型2 应用迭加(迭乘、迭代)法求通项例2:⑴已知数列{}n a 中,)2(12,211≥-+==-n n a a a n n ,求数列{}n a 的通项公式;⑵已知n S 为数列{}n a 的前n 项和,11=a ,n n a n S ⋅=2,求数列{}n a 的通项公式.总结:⑴迭加法适用于求递推关系形如“)(1n f a a n n +=+”; 迭乘法适用于求递推关系形如“)(1n f a a n n ⋅=+“;⑵迭加法、迭乘法公式:① 11232211)()()()(a a a a a a a a a a n n n n n n n +-++-+-+-=-----② 1122332211a a a a a a a a a a a a n n n n n n n ⋅⋅⋅⋅⋅⋅=----- . 题型3 构造等比数列求通项例3已知数列{}n a 中,32,111+==+n n a a a ,求数列{}n a 的通项公式.总结:递推关系形如“q pa a n n +=+1” 适用于待定系数法或特征根法: ①令)(1λλ-=-+n n a p a ;② 在q pa a n n +=+1中令pqx x a a n n -=⇒==+11,∴)(1x a p x a n n -=-+; ③由q pa a n n +=+1得q pa a n n +=-1,∴)(11-+-=-n n n n a a p a a . 例4已知数列{}n a 中,n n n a a a 32,111+==+,求数列{}n a 的通项公式.总结:递推关系形如“nn n q pa a +=+1”通过适当变形可转化为:“q pa a n n +=+1”或“n n n n f a a )(1+=+求解. 例5已知数列{}n a 中,n n n a a a a a 23,2,11221-===++,求数列{}n a 的通项公式.总结:递推关系形如“n n n a q a p a ⋅+⋅=++12”,通过适当变形转化为可求和的数列. 强化巩固练习1、已知n S 为数列{}n a 的前n 项和, )2,(23≥∈+=+n N n a S n n ,求数列{}n a 的通项公式.2、已知数列{}n a 中,)(0)1()2(,211++∈=+-+=N n a n a n a n n ,求数列{}n a 的通项公式.小结:数列通项的常用方法:⑴利用观察法求数列的通项;⑵利用公式法求数列的通项;⑶应用迭加(迭乘、迭代)法求数列的通项:①)(1n f a a n n +=+;②).(1n f a a n n =+(4)构造等差、等比数列求通项:①q pa a n n +=+1;②n n n q pa a +=+1;③)(1n f pa a n n +=+;④n n n a q a p a ⋅+⋅=++12.3、数列{}n a 中,)(,111n n n a a n a a -==+,则数列{}n a 的通项=n a 。
本讲主要复习了必修(5)数列、解三角形、不等式等三部分知识要点和考点。
在利用这些知识点解决问题时注重函数的思想、数与形结合的思想、方程的数学思想、分类讨论的数学思想、等价转化的数学思想及配方法、特值法、分离参数法等数学思想方法的应用。
考点一:数列、不等式、解三角形等基础知识的考查例1、在下列命题中,把正确命题的序号填在题后的横线上。
(1)当三角形的各角的余切成等差数列时,各角所对边的平方成等差数列(2)已知不等式①②x2-6x+8<0 ③2x2-9x+m<0若同时满足①②的x值也满足③,则m9.(3)一个等差数列和一个等比数列,其首项是相等的正数,若其第(2n+1)项是相等的,则这两个数列的第(n+1)项也是相等的。
(4)方程有解时a的取值范围是在上述命题中正确命题的序号是。
分析:(1)设三个角A,B,C所对的边分别是a,b,c.由已知条件得:2cotB=cotA+cotC然后化为正、余弦。
通分再利用正、余弦定理可证:2b2=a2+c2.(2)可用特值法:先求不等式①②解集的交集。
再对m取特值验证。
也可利用二次函数的图像解决。
(3)利用等差、等比数列的通项公式表示这两个数列的第(n+1)项,然后比较大小。
或取特值验证。
(4)分离参数法:把a分离出来,用表示a,再用均值不等式求解。
解析:(1)由已知得:2cotB=cotA+cotC.利用正、余弦定理可证:2b2=a2+c2.故命题(1)是正确的。
(2)不等式①②的交集是(2,3),取m=0时,不等式化为:显然当2<x<3时,不等式成立。
故命题(2)错误另解:利用二次函数图像求解:设f(x)=2x2-9x+m,如图由已知得:(3)设数列分别是等差数列、等比数列。
首项分别是>0公差和公比分别是d、q,取n=2,q=2,由已知:即:,故==-=故,故命题(3)错误。
(4)由方程得:-(4+a)=.故此命题错误。
考点二:不等式与数列的综合应用的考查例2、已知数列{a}是首项a1>0,q>-1且q≠1的等比数列,设数列{b}的通项为b=a-ka(n∈N),数列{a}、{b}的前n项和分别为S,T.如果T>kS对一切自然数n都成立,求实数k的取值范围.分析:由探寻T和S的关系入手谋求解题思路。
数列与不等式的综合1.数列与不等式的综合【知识点的知识】证明与数列求和有关的不等式基本方法:(1)直接将数列求和后放缩;(2)先将通项放缩后求和;(3)先将通项放缩后求和再放缩;(4)尝试用数学归纳法证明.常用的放缩方法有:2푛1 12푛―12푛2푛+12푛<,2푛+12푛2푛―1>,2푛+1<2푛,11푛3<푛(푛2―1)=112[푛(푛―1)―1푛(푛+1)]1푛―1푛+1=111푛(푛―1)=푛(푛+1)<푛2<1푛―1―1(n≥2),푛11푛2<푛2―1=11(푛―1―21)(n≥2),푛+11푛2=4414푛2<4푛2―1=2(2푛―1―4푛2―1=2(2푛―1―12푛+1),2(푛+1―푛)=2푛+1―푛<1푛=22푛<2푛+푛―1= 2(푛―푛―1).1푛+1+1푛+2+⋯+12푛≥12푛+12푛+⋯+12푛=푛2푛=12푛+(푛+1)푛(푛+1)<.2【解题方法点拨】证明数列型不等式,因其思维跨度大、构造性强,需要有较高的放缩技巧而充满思考性和挑战性,能全面而综合地考查学生的潜能与后继学习能力,因而成为高考压轴题及各级各类竞赛试题命题的极好素材.这类问题的求解策略往往是:通过多角度观察所给数列通项的结构,深入剖析其特征,抓住其规律进行恰当地放缩;其放缩技巧主要有以下几种:1/ 4(1)添加或舍去一些项,如: 푎2 + 1>|a |; 푛(푛 + 1)>n ;(2)将分子或分母放大(或缩小);푛 + (푛 + 1)(3)利用基本不等式; 푛(푛 + 1)<;2(4)二项式放缩;(5)利用常用结论;(6)利用函数单调性.(7)常见模型:①等差模型;②等比模型;③错位相减模型;④裂项相消模型;⑤二项式定理模型;⑥基本不等式模型.【典型例题分析】题型一:等比模型푎1 ― 1 典例 1:对于任意的 n ∈N *,数列{a n }满足 21 + 1 +푎2 ― 2 22 + 1 +⋯ + 푎푛 ― 푛 2푛 + 1 = n +1. (Ⅰ)求数列{a n }的通项公式;2 (Ⅱ)求证:对于 n ≥2, 푎2 +2 푎3 +⋯ + 2 푎푛+1<1 ― 1 2푛. 푎1 ― 1 解答:(Ⅰ)由 21 + 1 +푎2 ― 2 22 + 1 +⋯ + 푎푛 ― 푛 2푛 + 1 = 푛 + 1①, 푎1 ― 1 当 n ≥2 时,得 21 + 1 +푎2 ― 2 22 + 1 +⋯ + 푎푛―1 ― (푛 ― 1) 2푛―1 + 1 = 푛②, 푎푛― 푛 ①﹣②得2푛 + 1 = 1(푛 ≥ 2).∴푎푛= 2푛 +1 + 푛(푛 ≥ 2). 푎1 ― 1又 1=7 不适合上式.21 + 1 = 2,得 a综上得푎푛= {7 ,푛 = 12푛 + 1 + 푛,푛 ≥ 2;2 (Ⅱ)证明:当 n ≥2 时,푎푛 =2 2 2푛 + 1 + 푛< 2푛 = 1 2푛―1.2/ 42 ∴ 푎2 + 2 푎3 +⋯ + 2 1 2 + 푎푛+1< 1 22 +⋯ + 1 2푛 = 1 1 2 (1 ― 2푛 1 ― 1 2) = 1 ― 1 2푛. 2 ∴当 n ≥2 时,푎2 + 2 푎3 +⋯ + 2 푎푛+1<1 ―1 2푛. 题型二:裂项相消模型典例 2:数列{a n }的各项均为正数,S n 为其前 n 项和,对于任意 n ∈N *,总有 a n ,S n ,a n 2 成等差数列.(1)求数列{a n }的通项公式;(2)设푏푛 = 1 푛푎2푛,数列{b n }的前 n 项和为 T n ,求证:푇푛> 푛 + 1.分析:(1)根据 a n =S n ﹣S n ﹣1,整理得 a n ﹣a n ﹣1=1(n ≥2)进而可判断出数列{a n }是公差为 1 的等差数列,根 据等差数列的通项公式求得答案.(2)由(1)知푏푛 = 1 1 1 푛2,因为 푛(푛 + 1) = 푛2> 1 푛 ―1 1 ,所以푏푛> 푛 ―푛 + 11,从而得证. 푛 + 1 解答:(1)由已知:对于 n ∈N *,总有 2S n =a n +a n 2①成立∴2푆푛―1 = 푎푛―1 + 푎푛―12(n ≥2)②①﹣②得 2a n =a n +a n 2﹣a n ﹣1﹣a n ﹣12,∴a n +a n ﹣1=(a n +a n ﹣1)(a n ﹣a n ﹣1)∵a n ,a n ﹣1 均为正数,∴a n ﹣a n ﹣1=1(n ≥2)∴数列{a n }是公差为 1 的等差数列又 n =1 时,2S 1=a 1+a 12,解得 a 1=1,∴a n =n .(n ∈N *)(2)解:由(1)可知푏푛 = 1 1 1 푛2∵ 푛(푛 + 1) = 푛2>푛2∵ 푛(푛 + 1) =1 푛 ― 1 푛 + 1 ∴푇푛>(1 ― 1 1 2) + (2 ― 1 1 3) + +(푛 ―1 푛 + 1) = 푛 푛 + 1 【解题方法点拨】(1)放缩的方向要一致.(2)放与缩要适度.(3)很多时候只对数列的一部分进行放缩法,保留一些项不变(多为前几项或后几项).3/ 4(4)用放缩法证明极其简单,然而,用放缩法证不等式,技巧性极强,稍有不慎,则会出现放缩失当的现象.所以对放缩法,只需要了解,不宜深入.4/ 4。
导数及其应用一.导数的概念:x x f x x f x f x ∆-∆+=→∆)()(lim )(0'.二.导数的几何意义: (1) 导数的几何意义: 函数在y=f(x)在x 0处的导数,就是曲线y=f(x)在点P(x 0,f(x 0))处的切线的斜率。
也就是说,曲线y=f(x)在点P(x 0, f(x 0))处的切线斜率是)('0x f 。
相应地,切线方程为:))(('000x x x f y y -=-。
注:在导数几何意义的应用过程中,应注意几种关系:① 切点),(00y x P 在曲线上,即)(00x f y =;②切点),(00y x P 也在切线上; ③在切点处的切线斜率为)('0x f k = (2)求曲线过点),(00y x P 的切线方法:①设切点为),(11y x M ;②求导得)('1x f ;③列方程组⎪⎩⎪⎨⎧-=-=)()(')(1011011x x x f y y x f y ,解出x 1 ④点斜式写出切线方程:))(('000x x x f y y -=-注:曲线在P 点处的切线与曲线过点P 的切线不是同一个概念:前者P 点为切点;后者P 点可能是切点也可能不。
一般曲线的切线与曲线可以有两个以上的切点。
三、导数的计算 (1)常见函数的导数: 1.0='C 2.1)(-='n n nx x 3.xx e e =')( 4.a a a x x ln )(=' 5.1(ln )x x'= 6.a x e x x a a ln 1log 1)(log =='7.x x cos )(sin =' 8.x x sin )(cos -='(2)导数的四则运算1.和差:()u v u v '''±=± 2.积:v u v u uv '+'=')( 3.商:2)(v v u v u v u '-'=' 四、判断函数的单调性:设函数y=f(x)在区间(a ,b )内可导(1) 如果恒有0)('>x f ,则函数f(x)在区间(a ,b )内为增函数;(2) 如果恒有0)('<x f ,则函数f(x)在区间(a ,b )内为减函数;(3) 如果f(x)在区间(a ,b )上递增(或递减),则在该区间内0)('≥x f (或0)('≤x f )。
高考数学复习考点题型专题讲解专题12 数列中的不等式证明及放缩问题数列中的不等式证明问题的常用放缩技巧(1)对1n2的放缩,根据不同的要求,大致有三种情况(下列n∈N*):1 n2<1n2-n=1n-1-1n(n≥2);1 n2<1n2-1=12⎝⎛⎭⎪⎫1n-1-1n+1(n≥2);1 n2=44n2<44n2-1=2⎝⎛⎭⎪⎫12n-1-12n+1(n≥1).(2)对12n的放缩,根据不同的要求,大致有两种情况(下列n∈N*):1 2n >1n+n+1=n+1-n(n≥1);1 2n <1n+n-1=n-n-1(n≥1).类型一关于数列项的不等式证明(1)结合“累加”“累乘”“迭代”放缩;(2)利用二项式定理放缩;(3)利用基本不等式或不等式的性质;(4)转化为求最值、值域问题.例1 设正项数列{a n }满足a 1=1,a n +1=a n +1a n(n ∈N *).求证:(1)2<a 2n +1-a 2n ≤3;(2)3n -13n -2≤a n +1a n ≤2n2n -1. 证明 (1)因为a 1=1及a n +1=a n +1a n(n ≥1),所以a n ≥1,所以0<1a 2n≤1.因为a 2n +1=⎝ ⎛⎭⎪⎫a n +1a n 2=a 2n+1a 2n +2, 所以a 2n +1-a 2n =1a 2n+2∈(2,3],即2<a 2n +1-a 2n ≤3.(2)由(1)得2<a 22-a 21≤3,2<a 23-a 22≤3,2<a 24-a 23≤3,⋮2<a 2n +1-a 2n ≤3,故2n <a 2n +1-a 21≤3n ,所以2n +1<a 2n +1≤3n +1, 即2n -1<a 2n ≤3n -2(n ≥2),而n =1时,也满足2n -1≤a 2n ≤3n -2, 所以2n -1≤a 2n ≤3n -2, 所以a n +1a n =1+1a 2n ∈⎣⎢⎡⎦⎥⎤3n -13n -2,2n 2n -1.即3n -13n -2≤a n +1a n ≤2n 2n -1. 训练1(2022·天津模拟)已知数列{a n }满足a n =n n -1a n -1-13n ·⎝ ⎛⎭⎪⎫23n(n ≥2,n ∈N *),a 1=49.(1)求数列{a n }的通项公式;(2)设数列{c n }满足c 1=12,c n +1=⎝ ⎛⎭⎪⎫23k +1a k·c 2n +c n ,其中k 为一个给定的正整数,求证:当n ≤k 时,恒有c n <1. (1)解 由已知可得:a n n =a n -1n -1-13⎝ ⎛⎭⎪⎫23n(n ≥2),即a n n -a n -1n -1=-13⎝ ⎛⎭⎪⎫23n, 由累加法可求得a n n =⎝ ⎛⎭⎪⎫a n n -a n -1n -1+⎝ ⎛⎭⎪⎫a n -1n -1-a n -2n -2+…+⎝ ⎛⎭⎪⎫a 22-a 11+a 11 =-13⎝ ⎛⎭⎪⎫23n-13⎝ ⎛⎭⎪⎫23n -1-…-13⎝ ⎛⎭⎪⎫232+49=⎝ ⎛⎭⎪⎫23n +1,即a n =n ⎝ ⎛⎭⎪⎫23n +1(n ≥2),又n =1时也成立,故a n =n ⎝ ⎛⎭⎪⎫23n +1(n ∈N *).(2)证明 由题意知c n +1=1kc 2n +c n ,∴{c n }为递增数列, ∴只需证c k <1即可. 当k =1时,c 1=12<1成立,当k ≥2时,c n +1=1k c 2n +c n<1kc n c n +1+c n ,即1c n +1-1c n>-1k,因此1c k =⎝ ⎛⎭⎪⎫1c k -1c k -1+…+⎝ ⎛⎭⎪⎫1c 2-1c 1+1c 1>-k -1k +2=k +1k ,∴c k <k k +1<1,∴当n ≤k 时,恒有c n <1. 类型二 对求和结论进行放缩对于含有数列和的不等式,若数列的和易于求出,则一般采用先求和再放缩的策略证明不等式.例2 已知数列{a n }满足a 1=2,(n +1)a n +1=2(n +2)a n ,n ∈N *. (1)求数列{a n }的通项公式;(2)设S n 是数列{a n }的前n 项和,求证:S n <2a n . (1)解 法一 由题意得a n +1n +2=2·a nn +1, 又a 11+1=1,所以数列⎩⎪⎨⎪⎧⎭⎪⎬⎪⎫a n n +1是首项为1,公比为2的等比数列,所以a n n +1=2n -1,所以a n =(n +1)·2n -1(n ∈N *). 法二 由题意得a n +1a n =2(n +2)n +1, 所以a n a 1=a n a n -1·a n -1a n -2·…·a 2a 1=2(n +1)n ·2n n -1·2(n -1)n -2·…·2×32=(n +1)·2n -2.因为a 1=2,所以a n =(n +1)·2n -1(n ∈N *).(2)证明 因为a n =(n +1)·2n -1,所以S n =2×20+3×21+4×22+…+n ·2n -2+(n +1)·2n -1,① 2S n =2×21+3×22+…+(n -1)×2n -2+n ×2n -1+(n +1)×2n ,② ②-①得S n =-2×20-(21+22+…+2n -1)+(n +1)×2n =n ·2n . 因为S n -2a n =n ·2n -(n +1)2n =-2n <0, ∴S n <2a n .训练2(2022·广州模拟)在各项均为正数的等比数列{a n }中,a 1=2,-a n +1,a n ,a n +2成等差数列.等差数列{b n }满足b 1=a 2+1,2b 5-3b 2=a 3-3. (1)求数列{a n },{b n }的通项公式;(2)设数列⎩⎪⎨⎪⎧⎭⎪⎬⎪⎫1(2n +1)b n 的前n 项和为T n ,证明:T n <16.(1)解 设等比数列{a n }的公比为q (q >0), 因为-a n +1,a n ,a n +2成等差数列, 所以2a n =a n +2-a n +1, 所以2a n =a n ·q 2-a n ·q . 因为a n >0,所以q 2-q -2=0, 解得q =2或q =-1(舍去), 又a 1=2,所以a n =2n (n ∈N *). 设等差数列{b n }的公差为d , 由题意,得b 1=a 2+1=5, 由2b 5-3b 2=a 3-3=5,得2(b 1+4d )-3(b 1+d )=-b 1+5d =-5+5d =5,解得d =2, 所以b n =b 1+(n -1)d =5+2(n -1)=2n +3(n ∈N *).(2)证明1(2n +1)b n =1(2n +1)(2n +3)=12⎝⎛⎭⎪⎫12n +1-12n +3, 则T n =12⎣⎢⎡⎝ ⎛⎭⎪⎫13-15+⎝ ⎛⎭⎪⎫15-17⎦⎥⎤+…+⎝⎛⎭⎪⎫12n +1-12n +3 =12⎝ ⎛⎭⎪⎫13-12n +3=16-12(2n +3).因为n ∈N *,所以12(2n +3)>0,所以T n <16.类型三 对通项公式放缩后求和在解决与数列的和有关的不等式证明问题时,若不易求和,可根据项的结构特征进行放缩,转化为易求和数列来证明.例3(2022·济南模拟)在数列{a n }中,a 1=2,2na n +1=(n +1)·a n (n ∈N *). (1)求数列{a n }的通项公式;(2)设b n =a 2n16n 2-a 2n ,若数列{b n }的前n 项和是T n ,求证:T n <12.(1)解 由题知2na n +1=(n +1)a n , 所以a n +1n +1=12×a n n ,a 11=2, 故数列⎩⎪⎨⎪⎧⎭⎪⎬⎪⎫a n n 是首项为2,公比为12的等比数列,所以a n n =2×⎝ ⎛⎭⎪⎫12n -1=22-n ,所以a n=n·22-n(n∈N*).(2)证明由(1)可知a n=n·22-n,所以b n=a2n16n2-a2n=14n-1=12n+1×12n-1,根据指数增长的特征知,对任意n∈N*,2n≥2n恒成立,所以22n≥(2n)2,即4n≥4n2.所以14n-1≤14n2-1=12⎝⎛⎭⎪⎫12n-1-12n+1,所以b n≤12⎝⎛⎭⎪⎫12n-1-12n+1,所以数列{b n}的前n项和T n ≤12⎝⎛⎭⎪⎫1-13+13-15+…+12n-1-12n+1=12⎝⎛⎭⎪⎫1-12n+1<12.训练3 已知数列{a n}的前n项和为S n,3a n=2S n+2n(n∈N*). (1)证明:数列{a n+1}为等比数列,并求数列{a n}的前n项和S n,(2)设b n=log3(a n+1+1),证明:1b21+1b22+…+1b2n<1.证明(1)∵3a n=2S n+2n,n∈N*,∴当n=1时,3a1=2S1+2,解得a1=2;当n≥2时,3a n-1=2S n-1+2(n-1),两式相减得a n=3a n-1+2,∴a n+1=3(a n-1+1),即an+1an-1+1=3,a1+1=3,∴数列{a n+1}是以3为首项,3为公比的等比数列,∴a n+1=3n,则a n=3n-1,∴S n=3+32+…+3n-n=3(1-3n)1-3-n=3n+12-n-32.(2)b n=log3(a n+1+1)=log33n+1=n+1,∵1b2n=1(n+1)2<1n(n+1)=1n-1n+1,∴1b21+1b22+…+1b2n<⎝⎛⎭⎪⎫1-12+⎝⎛⎭⎪⎫12-13+…+⎝⎛⎭⎪⎫1n-1n+1=1-1n+1<1.类型四求和后利用函数的单调性证明数列不等式若所证的数列不等式中有等号,常考虑利用数列的单调性来证明. 例4 已知数列{a n}的前n项和为S n,且满足2a n-S n=1(n∈N*).(1)求数列{a n}的通项公式;(2)设b n=an+1(a n+1-1)(a n+2-1),数列{b n}的前n项和为T n,求证:23≤T n<1.(1)解已知2a n-S n=1,令n=1,解得a1=1,当n≥2时,2a n-1-S n-1=1(n∈N*),两式相减得a n=2a n-1,∴数列{a n}是以1为首项,2为公比的等比数列,所以a n=2n-1(n∈N*).(2)证明由(1)可得b n =an+1(a n+1-1)(a n+2-1)=2n(2n-1)(2n+1-1)=12n-1-12n+1-1,∴T n =b 1+b 2+…+b n =⎝ ⎛⎭⎪⎫1-122-1+⎝ ⎛⎭⎪⎫122-1-123-1+…+⎝ ⎛⎭⎪⎫12n -1-12n +1-1=1-12n +1-1. ∵⎩⎪⎨⎪⎧⎭⎪⎬⎪⎫1-12n +1-1是单调递增的数列, ∴1-12n +1-1∈⎣⎢⎡⎭⎪⎫23,1.∴23≤T n <1. 训练4 已知等差数列{a n }的公差d ≠0,a 1=25,且a 1,a 11,a 13成等比数列. (1)求使不等式a n ≥0成立的最大自然数n ;(2)记数列⎩⎪⎨⎪⎧⎭⎪⎬⎪⎫1a n a n +1的前n 项和为T n ,求证:-1325≤T n ≤1225.(1)解 由题意,可知a 211=a 1·a 13, 即(a 1+10d )2=a 1·(a 1+12d ), ∴d (2a 1+25d )=0. 又a 1=25,d ≠0,∴d =-2,∴a n =-2n +27, ∴-2n +27≥0,∴n ≤13.5, 故满足题意的最大自然数为n =13. (2)证明1a n a n +1=1(-2n +27)(-2n +25)=-12⎝⎛⎭⎪⎫1-2n +27-1-2n +25, ∴T n =1a 1a 2+1a 2a 3+1a 3a 4+…+1a n a n +1=-12⎣⎢⎡⎝ ⎛⎭⎪⎫125-123+⎝ ⎛⎭⎪⎫123-121+…⎦⎥⎤+⎝⎛⎭⎪⎫1-2n +27-1-2n +25 =-12⎝ ⎛⎭⎪⎫125-1-2n +25 =-150+150-4n .从而当n ≤12时,T n =-150+150-4n单调递增,且T n >0; 当n ≥13时,T n =-150+150-4n单调递增,且T n <0, ∴T 13≤T n ≤T 12,由T 12=1225,T 13=-1325,∴-1325≤T n ≤1225.一、基本技能练1.已知数列{a n }是等差数列,且a 2=3,a 4=7,数列{b n }的前n 项和为S n ,且S n =1-12b n (n ∈N *).(1)求数列{a n },{b n }的通项公式;(2)记c n =a n b n ,数列{c n }的前n 项和为T n ,求证:T n <2. (1)解 因为数列{a n }是等差数列,a 2=3,a 4=7, 设数列{a n } 的公差为d , 则⎩⎨⎧a 1+d =3,a 1+3d =7,解得⎩⎨⎧a 1=1,d =2.所以a n =a 1+(n -1)d =1+2(n -1)=2n -1(n ∈N *).对于数列{b n },S n =1-12b n (n ∈N *),当n =1时,b 1=1-12b 1,解得b 1=23;当n ≥2时,b n =S n -S n -1=⎝ ⎛⎭⎪⎫1-12b n -⎝ ⎛⎭⎪⎫1-12b n -1,整理得b n =13b n -1,所以数列{b n }是首项为23,公比为13的等比数列,所以b n =23×⎝ ⎛⎭⎪⎫13n -1=23n (n ∈N *). (2)证明 由题意得c n =a n b n =2(2n -1)3n =4n -23n , 所以数列{c n }的前n 项和T n =23+632+1033+…+4(n -1)-23n -1+4n -23n ,则3T n =2+63+1032+…+4n -23n -1,两式相减可得2T n =2+43+432+…+43n -1-4n -23n =2+4×13⎝ ⎛⎭⎪⎫1-13n -11-13-4n -23n=4-4n +43n ,所以T n =2-2n +23n .所以T n <2.2.(2022·石家庄模拟)已知数列{a n }的前n 项和为S n ,a 1=3,a 2=4,S n +1+2S n -1=3S n -2(n ≥2).(1)证明:数列{a n-2}是等比数列,并求数列{a n}的通项公式;(2)记b n=2n-1anan+1,数列{b n}的前n项和为T n,证明:112≤T n<13.证明(1)当n≥2时,由S n+1+2S n-1=3S n-2可变形为S n+1-S n=2(S n-S n-1)-2,即a n+1=2a n-2,即a n+1-2=2(a n-2),所以an+1-2an-2=2(n≥2),又因为a1=3,a2=4,可得a1-2=1,a2-2=2,所以a2-2a1-2=2,所以数列{a n-2}是以1为首项,2为公比的等比数列,所以a n-2=2n-1,所以数列{a n}的通项公式为a n=2+2n-1(n∈N*).(2)由a n=2+2n-1,可得b n=2n-1anan+1=2n-1(2+2n-1)(2+2n)=12+2n-1-12+2n,所以T n=b1+b2+b3+…+b n=13-14+14-16+16-110+…+12+2n-1-12+2n=13-12+2n,因为12+2n>0,所以13-12+2n<13,即T n<13,又因为f(n)=13-12+2n,n∈N*,单调递增,所以T n≥b1=1(2+1)(2+2)=112,所以112≤T n <13.3.已知数列{a n }的前n 项和S n =n 2+n 2.(1)求{a n }的通项公式;(2)若数列{b n }满足对任意的正整数n ,b 1a 1·b 2a 2·b 3a 3·…·b n a n=(n +1)2恒成立,求证:b n ≥4.(1)解 因为S n =n 2+n 2,所以当n ≥2时,a n =S n -S n -1=n 2+n 2-(n -1)2+(n -1)2=n ,当n =1时,a 1=S 1=1满足a n =n , 所以{a n }的通项公式为a n =n (n ∈N *). (2)证明 因为b 1a 1·b 2a 2·b 3a 3·…·b n a n=(n +1)2,所以当n ≥2时,b 1a 1·b 2a 2·b 3a 3·…·b n -1a n -1=n 2, 所以b n a n =(n +1)2n 2(n ≥2),又n =1时,b 1a 1=22=4,满足b n a n =(n +1)2n 2,所以对任意正整数n ,b n a n =(n +1)2n 2,由(1)得,a n =n , 所以b n =(n +1)2n=n 2+2n +1n=n +1n+2≥2n ·1n+2=4, 当且仅当n =1时,等号成立. 二、创新拓展练4.(2022·湖州质检)已知正项数列{a n }的前n 项和为S n ,且a 1=2,4S n =a n a n +1(n ∈N *). (1)求数列{a n }的通项公式;(2)设数列⎩⎪⎨⎪⎧⎭⎪⎬⎪⎫1a 2n 的前n 项和为T n ,求证:n4n +4<T n <12. (1)解∵4S n =a n a n +1,n ∈N *, ∴4a 1=a 1·a 2,又a 1=2, ∴a 2=4,当n ≥2时,4S n -1=a n -1a n ,得4a n =a n a n +1-a n -1a n . 由题意知a n ≠0,∴a n +1-a n -1=4,∴数列{a n }的奇数项与偶数项分别为等差数列,公差都为4, ∴a 2k -1=2+4(k -1)=2(2k -1),a 2k =4+4(k -1)=2·2k ,∴该数列是等差数列,首项为2,公差为2. 综上可知,a n =2n ,n ∈N *.(2)证明∵1a 2n =14n 2>14n (n +1)=14⎝⎛⎭⎪⎫1n -1n +1, ∴T n =1a 21+1a 22+…+1a 2n >14⎝ ⎛⎭⎪⎫1-12+12-13+…+1n -1n +1 =14⎝⎛⎭⎪⎫1-1n +1=n4n +4.又∵1a 2n =14n 2<14n 2-1=1(2n -1)(2n +1)=12⎝⎛⎭⎪⎫12n -1-12n +1. ∴T n =1a 21+1a 22+…+1a 2n<12⎝ ⎛⎭⎪⎫1-13+13-15+…+12n -1-12n +1=12⎝ ⎛⎭⎪⎫1-12n +1<12.即得n4n +4<T n <12.。
数列与不等式在新高考卷的考点中,数列主要以两小和一大为主的考查形式,在小题中主要以数列极限和等差等比数列为主,大题考察位置21题,题型可以是多条件选择的开放式的题型。
由于三角函数与数列属于解答题第二题或第五题的位置,三角函数考查的内容相对比较简单,这一部分属于必得分。
数列大题属于压轴题难度较高。
对于小题部分,一般分布为一题简单题一道中等难度题目。
对于不等式主要考察不等式性质和基本不等式和线性规划。
基本不等式考察往往都是已基本不等式作为切入点形式出现,题目难度中等。
专题针对高考中数列、不等式等高频知识点,预测并改编一些题型,通过本专题的学习,能够彻底掌握数列,不等式。
请学生务必注意题目答案后面的名师点睛部分,这是对于本类题目的一个总结。
【满分技巧】1、等差、等比数列如果记住基本的通项公式以及求和公式和性质,基本上所有的等差、等比数列问题都可以解决。
2、数列求通项主要方法有:公式法、利用前n项和求通项、累加、累乘、构造等方法;这里要注意各个方法中递推关系的模型结构特点。
3、数列求和问题主要包含裂项求和,分组求和,绝对值求和,错位相减求和,掌握固定的求和方式即可快速得到答案;这里要注意各个方法中数列通项的结构模型;本专题有相应的题目供参考。
4、对于基本不等式类的题目应注意等号成立地条件和基本不等式的模型结构,对“1”的活用。
【考查题型】选择题、填空、解答题【常考知识】数列的概念、等差等比数列的概念和公式和性质、数列求通项的方法、数列求和的方法、不等式的性质、基本不等式【限时检测】(建议用时:120分钟)1.(2020•上海卷)已知2230x yyx y+≥⎧⎪≥⎨⎪+-≤⎩,则2z y x=-的最大值为【答案】-12.(2020•上海卷)下列不等式恒成立的是()A 、222a b ab +≤B 、22-2a b ab +≥C 、2a b ab +≥-D 、2a b ab +≤【答案】B3.(2020•上海卷)已知{}n a 是公差不为零的等差数列,且1109a a a +=,则12910a a a a ++⋅⋅⋅=【答案】2784.(2020·上海大学附属中学高三三模)已知O 是正三角形ABC 内部的一点,230OA OB OC ++=,则OAC ∆的面积与OAB ∆的面积之比是A .32B .23C .2D .1【答案】B试题分析:如下图所示,D 、E 分别是BC 、AC 中点,由230OA OB OC ++=得()2OA OC OB OC +=-+即2OE OD =-,所以2OE OD =,设正三角形的边长为23a ,则OAC ∆底边AC 上的高为13AC h BE a ==,OAB ∆底边AB 上的高为1322AB h BE a ==,所以123221332322ACOACOABAB AC h S a a S AB h a a ∆∆⋅⨯===⋅⨯,故选B .考点:1.向量的几何运算;2.数乘向量的几何意义;3.三角形的面积. 5.(2020·上海高三二模)设12,z z 是复数,则下列命题中的假命题是() A .若120z z -=,则12z z = B .若12z z =,则12z z = C .若12=z z ,则1122z z z z ⋅=⋅D .若12=z z ,则2212z z =【答案】D试题分析:对(A ),若120z z -=,则12120,z z z z -==,所以为真;对(B )若12z z =,则1z 和2z 互为共轭复数,所以12z z =为真; 对(C )设111222,z a b z a i b i =+=+,若12=z z 22221122a b a b +=+,222211112222,z z a b z z a b ⋅=+⋅=+,所以1122z z z z ⋅=⋅为真;对(D )若121,z z i ==,则12=z z 为真,而22121,1z z ==-,所以2212z z =为假.故选D .考点:1.复数求模;2.命题的真假判断与应用.6.(2020·上海杨浦区·高三二模)设z 是复数,则“z 是虚数”是“3z 是虚数”的( ) A .充分非必要条件 B .必要非充分条件 C .充要条件 D .既非充分也非必要条件【答案】B【分析】根据充分必要条件的定义及复数的概念进行判断.可取特例说明一个命题为假. 【详解】充分性:取132z =-+,故31z =是实数,故充分性不成立;必要性:假设z 是实数,则3z 也是实数,与3z 是虚数矛盾,∴z 是虚数,故必要性成立. 故选:B ..【点睛】本题考查充分必要条件的判断,考查复数的概念,属于基础题. 7.(2020·上海松江区·高三其他模拟)若复数z =52i-,则|z |=( ) A .1 B 5C .5D .5【答案】B【分析】利用复数的模的运算性质,化简为对复数2i -求模可得结果 【详解】|z |=5||2i -=5|2i|-5 故选:B.【点睛】此题考查的是求复数的模,属于基础题8.(2020·上海高三一模)设12,z z 为复数,则下列命题中一定成立的是( ) A .如果120z z ->,那么12z z >B .如果12=z z ,那么12=±z zC .如果121z z >,那么12z z > D .如果22120z z +=,那么12 0z z ==【答案】C【分析】根据复数定义,逐项判断,即可求得答案.【详解】对于A,取13z i =+,21z i =+时,120z z ->,即31i i +>+,但虚数不能比较大小, ,故A 错误; 对于B,由12=z z ,可得2222+=+a b c d ,不能得到12=±z z ,故B 错误;对于C ,因为121z z >,所以12z z >,故C 正确; 对于D ,取11z =,2z i =,满足22120z z +=,但是12 0z z ≠≠,故D 错误. 故选:C.【点睛】本题解题关键是掌握复数定义,在判断时可采用特殊值法检验,考查了分析能力,属于基础题. 9.(2020·上海高三二模)关于x 的实系数方程2450x x -+=和220x mx m ++=有四个不同的根,若这四个根在复平面上对应的点共圆,则m 的取值范围是( ) A .{}5 B .{}1- C .()0,1 D .(){}0,11-【答案】D【分析】根据条件分别设四个不同的解所对应的点为ABCD ,讨论根的判别式,根据圆的对称性得到相应判断.【详解】解:由已知x 2﹣4x +5=0的解为2i ±,设对应的两点分别为A ,B , 得A (2,1),B (2,﹣1),设x 2+2mx +m =0的解所对应的两点分别为C ,D ,记为C (x 1,y 1),D (x 2,y 2),(1)当△<0,即0<m <1时,220x mx m ++=的根为共轭复数,必有C 、D 关于x 轴对称,又因为A 、B 关于x 轴对称,且显然四点共圆;(2)当△>0,即m >1或m <0时,此时C (x 1,0),D (x 2,0),且122x x +=﹣m , 故此圆的圆心为(﹣m ,0),半径122x x r -====,又圆心O 1到A 的距离O 1A =,解得m =﹣1,综上:m ∈(0,1)∪{﹣1}. 故选:D.【点睛】本题考查方程根的个数与坐标系内点坐标的对应,考查一元二次方程根的判别式,属于难题. 10.(2020·上海徐汇区·高三一模)已知x ∈R ,条件p :2x x <,条件q :11x>,则p 是q 的( ) A .充分不必要条件 B .必要不充分条件 C .充分必要条件 D .既不充分也不必要条件【答案】C【分析】分别求两个命题下的集合,再根据集合关系判断选项. 【详解】201x x x <⇔<<,则{}01A x x =<<,1101x x>⇔<<,则{}01B x x =<<,因为A B =, 所以p 是q 的充分必要条件. 故选:C11.(2020·上海市建平中学高三月考)数学中的数形结合也可以组成世间万物的绚丽画面,一些优美的曲线是数学形象美、对称美、和谐美的产物,曲线22322():16C x y x y =+为四叶玫瑰线,下列结论正确的有( )(1)方程22322()16x y x y +=(0xy <),表示的曲线在第二和第四象限; (2)曲线C 上任一点到坐标原点O 的距离都不超过2; (3)曲线C 构成的四叶玫瑰线面积大于4π;(4)曲线C 上有5个整点(横、纵坐标均为整数的点); A .(1)(2) B .(1)(2)(3) C .(1)(2)(4) D .(1)(3)(4)【答案】A【分析】因为0xy <,所以x 与y 异号,仅限与第二和四象限,从而判断(1).利用基本不等式222x y xy +即可判断(2);将以O 为圆心、2为半径的圆的面积与曲线C 围成区域的面积进行比较即可判断(3);先确定曲线C 经过点,再将x <y <(1,1),(1,2)和(2,1)逐一代入曲线C 的方程进行检验即可判断(4);【详解】对于(1),因为0xy <,所以x 与y 异号,仅限与第二和四象限,即(1)正确.对于(2),因为222(0,0)x yxy x y +>>,所以222x y xy +,所以22222322222()()16164()4x y x y x y x y ++=⨯=+, 所以224x y +,即(2)正确;对于(3),以O 为圆点,2为半径的圆O 的面积为4π,显然曲线C 围成的区域的面积小于圆O 的面积,即(3)错误;对于(4),只需要考虑曲线在第一象限内经过的整点即可,把(1,1),(1,2)和(2,1)代入曲线C 的方程验证可知,等号不成立,所以曲线C 在第一象限内不经过任何整点,再结合曲线的对称性可知,曲线C 只经过整点(0,0),即(4)错误; 故选:A.【点睛】本题考查曲线的轨迹方程,涉及特殊点代入法、均值不等式、圆的面积等知识点,有一定的综合性,考查学生灵活运用知识和方法的能力,属于中档题.12.(2020·上海市七宝中学高三其他模拟)已知F 为抛物线24y x =的焦点,A 、B 、C 为抛物线上三点,当0FA FB FC ++=时,则存在横坐标2x >的点A 、B 、C 有( ) A .0个 B .2个 C .有限个,但多于2个 D .无限多个【答案】A【分析】首先判断出F 为ABC 的重心,根据重心坐标公式可得2312313,x x x y y y +=-+=-,结合基本不等式可得出()2221232y y y ≤+,结合抛物线的定义化简得出12x ≤,同理得出232,2x x ≤≤,进而得出结果.【详解】设()()()112233,,,,,A x y B x y C x y ,先证12x ≤,由0FA FB FC ++=知,F 为ABC 的重心, 又131132(1,0),1,033x x x y y yF ++++∴==,2312313,x x x y y y ∴+=-+=-, ()()222222323232322y y y y y y y y ∴+=++≤+,()2221232y y y ∴≤+, 2223122444y y y ⎛⎫∴≤+ ⎪⎝⎭,()1232x x x ∴≤+,()1123x x ∴≤-12x ∴≤, 同理232,2x x ≤≤, 故选:A.【点睛】本题主要考查了抛物线的简单性质,基本不等式的应用,解本题的关键是判断出F 点为三角形的重心,属于中档题.13.(2020·上海杨浦区·高三二模)不等式102x x -≤-的解集为( ) A .[1,2] B .[1,2)C .(,1][2,)-∞⋃+∞D .(,1)(2,)-∞⋃+∞【答案】B【分析】把分式不等式转化为整式不等式求解.注意分母不为0.【详解】原不等式可化为(1)(2)020x x x --≤⎧⎨-≠⎩,解得12x ≤<.故选:B .【点睛】本题考查解分式不等式,解题方法是转化为整式不等式求解,转化时要注意分式的分母不为0. 14.(2020·上海市南洋模范中学高三期中)下列不等式恒成立的是( ) A .222a b ab +≤ B .222a b ab +≥-C .a b +≥-D .a b +≤【答案】B【分析】根据基本不等式即可判断选项A 是否正确,对选项B 化简可得()20a b +≥,由此即可判断B 是否正确;对选项C 、D 通过举例即可判断是否正确.【详解】A.由基本不等式可知222a b ab +≥,故A 不正确;B. 2222220a b ab a b ab +≥-⇒++≥,即()20a b +≥恒成立,故B 正确; C.当1,0a b =-=时,不等式不成立,故C 不正确;D.当3,1a b ==时,不等式不成立,故D 不正确. 故选:B.【点睛】本题主要考查了基本不等式的应用以及不等式大小的比较,属于基础题.15.(2020·上海崇明区·高三一模)设{}n a 为等比数列,则“对于任意的*2,m m m N a a +∈>”是“{}n a 为递增数列”的( ) A .充分而不必要条件 B .必要而不充分条件 C .充分必要条件 D .既不充分也不必要条件【答案】C【分析】对于任意的*2,m m m N a a +∈> ,即()210m a q >﹣.可得:2010m a q ⎧⎨-⎩>>,2010m a q ⎧⎨-⎩<<,任意的*m N ∈,解出即可判断出结论.【详解】解:对于任意的*2,m m m N a a +∈>,即()210m a q >﹣. ∴2010m a q ⎧⎨-⎩>>,2010m a q ⎧⎨-⎩<<,任意的*m N ∈, ∴01m a q ⎧⎨⎩>>,或001m a q ⎧⎨⎩<<<. ∴“{}n a 为递增数列”,反之也成立.∴“对于任意的*2,m m m N a a +∈>”是“{}n a 为递增数列”的充要条件.故选:C.【点睛】本题考查等比数列的单调性,充分必要条件,是基础题.16.(2020·上海高三其他模拟)已知数列{}n a 的前n 项和为n S ,则“()1n n a a n *+<∈N ”是“()11n n S S n n n *+<∈+N ”的( ) A .充分不必要条件 B .必要不充分条件 C .充分必要条件 D .既不充分也不必要条件【答案】A【分析】先证明充分性,由条件1n n a a +<,可得121n n a a a na +++⋅⋅⋅+<,通过变形得到11n n S S n n +<+,再由条件11n n S S n n +<+,列举特殊数列,说明是否成立. 【详解】充分性:若1n n a a +<,则有121n n a a a na +++⋅⋅⋅+<,即()1n n n S n S S +<-,得()11n n n S nS ++<,于是有()11n n S S n n n *+<∈+N 成立,故充分性成立. 必要性:若()11n n S S n n n *+<∈+N 成立,取数列{}n a 为0,1,1,1,⋅⋅⋅,但推不出()1n n a a n *+<∈N ,故必要性不成立. 故选:A【点睛】本题考查判断充分不必要条件,数列的递推公式和前n 项和公式的综合应用,重点考查转化与化归的思想,逻辑推理能力,属于中档题型.17.(2020·上海交大附中高三其他模拟)已知数列{}n a 与{}n b 前n 项和分别为n S ,n T ,且20,2,n n n n a S a a n >=+∈*N ,1121(2)(2)n n n n n n b a a +++=++,对任意的*,n n N k T ∈>恒成立,则k 的最小值是( ) A .13B .12C .16D .1【答案】A【分析】由22n n n S a a =+可得21112n n n S a a ---=+,两式相减整理后可知11n n a a --=,则{}n a 首项为1,公差为1的等差数列,从而可得n a n =,进而可以确定111221n n n b n n +=-+++,则可求出121111 (3213)n n n T b b b n +=+++=-<++,进而可求出k 的最小值. 【详解】解:因为22n n n S a a =+,所以当2,n n N *≥∈时,21112n n n S a a ---=+,两式相减得22112n n n n n a a a a a --=+-- ,整理得,()()1101n n n n a a a a --+--=,由0n a > 知, 10n n a a -+≠,从而110n n a a ---=,即当2,n n N *≥∈时,11n n a a --=,当1n =时,21112a a a =+,解得11a =或0(舍),则{}n a 首项为1,公差为1的等差数列,则()111n a n n =+-⨯=.所以112111(2)(21)221n n n n n n b n n n n +++==-++++++,则1211111111111 (366112213213)n n n n n T b b b n n n ++=+++=-+-++-=-<+++++,所以13k ≥.则k 的最小值是13. 故选:A【点睛】本题考查了由递推数列求数列通项公式,考查了等差数列的定义,考查了裂项相消法求数列的和.一般如果已知了,n n S a 的关系式,一般地代入11,1,2,n n n S n a S S n n N*-=⎧=⎨-≥∈⎩ 进行整理运算.求数列的和常见的方法有,公式法、分组求和法、错位相减法、裂项相消法等.18.(2020·上海大学附属中学高三三模)已知0a b >>,若12lim 25n n n nn a b a b ++→∞-=-,则( )A .25a =-B .5a =-C .25b =-D .5b =-【答案】D【分析】由0a b >>,可得01ab<<,将原式变形,利用数列极限的性质求解即可 【详解】因为0a b >>,且12lim 25n n n nn a b a b ++→∞-=-,所以01ab<<, 可得12limn n n nn a b a b ++→∞-=-2220lim 25011nn n a a b b b b a b →∞⎛⎫⋅- ⎪-⎝⎭===-⎛⎫- ⎪⎝⎭, 5b ∴=-,故选:D.【点睛】本题主要考查数列极限的性质与应用,属于基础题.19.(2020·上海市七宝中学高三其他模拟)如图,已知函数()y f x =与y x =的图象有唯一交点()1,1,无穷数列{}()*n a n N∈满足点()1,n n n P a a +()*n N ∈均落在()y f x =的图象上,已知()13,0P ,()20,2P ,有下列两个命题:(1)lim 1n n a →∞=;(2){}21n a -单调递减,{}2n a 单调递增;以下选项正确的是( )A .(1)是真命题,(2)是假命题B .两个都是真命题C .(1)是假命题,(2)是真命题D .两个都是假命题【答案】B【分析】根据函数()y f x =的图象和()11f =可得出n a 的取值范围,再根据函数()y f x =的单调性判断{}21n a -和{}2n a 的单调性,结合数列各项的取值范围和单调性可得数列的极限值.【详解】()1n n a f a +=,当01n a <<时,由图象可知,112n a +<<;当13n a <<时,101n a +<<.13a =,20a =,32a =,401a ∴<<,512a <<,601a <<,712a <<,,因为函数()y f x =在区间()0,3上单调递减,因为5302a a <<=,()()53f a f a ∴>,即64a a >,()()64f a f a <,即75a a <,()()75f a f a >,即86a a >,,以此类推,可得1357a a a a >>>>,数列{}21n a -单调递减,2468a a a a <<<<,数列{}2n a 单调递增,命题(2)正确;当2n ≥时,2112n a -<≤,201n a <<,且数列{}21n a -单调递减,{}2n a 单调递增,所以,lim 1n n a →∞=,命题(1)正确. 故选:B.【点睛】本题考查数列单调性的判断以及数列极限的求解,考查推理能力,属于难题. 二、填空题20.(2019·上海高考真题)在椭圆22142x y +=上任意一点P ,Q 与P 关于x 轴对称,若有121F P F P ⋅≤,则1F P 与2F Q 的夹角范围为____________【答案】1arccos ,3ππ⎡⎤-⎢⎥⎣⎦【分析】通过坐标表示和121F P F P ⋅≤得到[]21,2y ∈;利用向量数量积运算得到所求向量夹角的余弦值为:222238cos 322y y y θ-==-+++;利用2y 的范围得到cos θ的范围,从而得到角的范围.【详解】由题意:()1F,)2F设(),P x y ,(),Q x y -,因为121F P F P ⋅≤,则2221x y -+≤ 与22142x y +=结合 224221y y ⇒--+≤,又y ⎡∈⎣ []21,2y ⇒∈(22221212cos F P F Q F P F Qθ⋅===⋅与22142x y +=结合,消去x ,可得:2222381cos 31,223y y y θ-⎡⎤==-+∈--⎢⎥++⎣⎦所以1arccos ,3θππ⎡⎤∈-⎢⎥⎣⎦本题正确结果:1arccos ,3ππ⎡⎤-⎢⎥⎣⎦【点睛】本题考查向量坐标运算、向量夹角公式应用,关键在于能够通过坐标运算得到变量的取值范围,将问题转化为函数值域的求解.21.(2018·上海高考真题)在平面直角坐标系中,已知点()10A -,、()20B ,,E 、F 是y 轴上的两个动点,且2EF =,则的AE BF ⋅最小值为____. 【答案】-3【分析】据题意可设E (0,a ),F (0,b ),从而得出|a ﹣b|=2,即a=b +2,或b=a +2,并可求得2AE BF ab ⋅=-+,将a=b +2带入上式即可求出AE BF ⋅的最小值,同理将b=a +2带入,也可求出AE BF ⋅的最小值. 【详解】根据题意,设E (0,a ),F (0,b );∴2EF a b =-=; ∴a=b+2,或b=a +2;且()()12AE a BF b ==-,,,; ∴2AE BF ab ⋅=-+;当a=b +2时,()22222AE BF b b b b ⋅=-++⋅=+-;∵b 2+2b ﹣2的最小值为8434--=-; ∴AE BF ⋅的最小值为﹣3,同理求出b=a +2时,AE BF ⋅的最小值为﹣3. 故答案为:﹣3.【点睛】考查根据点的坐标求两点间的距离,根据点的坐标求向量的坐标,以及向量坐标的数量积运算,二次函数求最值的公式.22.(2020·上海高三三模)设点O 为ABC 的外心,且3A π=,若(),R AO AB AC αβαβ=+∈,则αβ+的最大值为_________. 【答案】23【分析】利用平面向量线性运算整理可得()1OA OB OC αβαβ+-=+,由此得到1αβ+<;由3A π=可求得cos BOC ∠,设外接圆半径为R ,将所得式子平方后整理可得()213αβαβ+=+,利用基本不等式构造不等关系,即可求得所求最大值. 【详解】()()AO AB AC OB OA OC OA αβαβ=+=-+-()1OA OB OC αβαβ∴+-=+ 10αβ∴+-<,即1αβ+<,1cos 2A =1cos cos 22BOC A ∴∠==-, 设ABC 外接圆半径为R ,则()22222222222212cos R R R R BOC R R R αβαβαβαβαβ+-=++∠=+-,整理可得:()()22321313124αβαβαβαβ+⎛⎫+=+≤+⨯=++ ⎪⎝⎭, 解得:23αβ+≤或2αβ+≥(舍),当且仅当13时,等号成立, αβ∴+的最大值为23.故答案为:23.【点睛】本题考查利用基本不等式求解最值的问题,关键是能够利用平面向量线性运算和平方运算将已知等式化为与外接圆半径有关的形式,进而消去外接圆半径得到变量之间的关系.23.(2020·上海高三一模)已知非零向量a 、b 、c 两两不平行,且()a b c //+,()//b a c +,设c xa yb =+,,x y ∈R ,则2x y +=______.【答案】- 3【分析】先根据向量共线把c 用a 和b 表示出来,再结合平面向量基本定理即可求解. 【详解】解:因为非零向量a 、b 、c 两两不平行,且()//a b c +,()//b a c +,(),0a m b c m ∴=+≠, 1c a b m∴=- (),0b n a c n ∴=+≠ 1c b a n∴=-1111m n ⎧=-⎪⎪∴⎨⎪-=⎪⎩,解得11m n =-⎧⎨=-⎩c xa yb =+1x y ∴==- 23x y ∴+=-故答案为:3-.【点睛】本题考查平面向量基本定理以及向量共线的合理运用.解题时要认真审题, 属于基础题.24.(2020·上海高三一模)已知向量1,22AB ⎛= ⎝⎭,31,22AC ⎛⎫= ⎪ ⎪⎝⎭,则BAC ∠=________. 【答案】6π【分析】利用平面向量数量积的坐标运算计算出AB 、AC 的夹角的余弦值,进而可求得BAC ∠的大小.【详解】由平面向量的数量积的坐标运算可得3442AB AC ⋅=+=,1AB AC ==, 3cos 2AB AC BAC AB AC⋅∴∠==⋅, 0BAC π≤∠≤,6BAC π∴∠=.故答案为:6π 【点评】本题考查了向量坐标的数量积运算,根据向量的坐标求向量长度的方法,向量夹角的余弦公式,考查了计算能力,属于基础题.25.(2020·上海崇明区·高三二模)在ABC 中,()()3cos ,cos ,cos ,sin AB x x AC x x ==,则ABC面积的最大值是____________ 【答案】34【分析】计算113sin 22624ABC S x π⎛⎫=--≤ ⎪⎝⎭△,得到答案.【详解】()22211sin ,1cos,2ABCS AB AC AB AC AB ACAB AC=⋅=⋅-△()22212AB AC AB AC=⋅-⋅=2113sin cos sin 22624x x x x π⎛⎫=-=--≤ ⎪⎝⎭, 当sin 216x π⎛⎫-=- ⎪⎝⎭时等号成立.此时262x ππ-=-,即6x π=-时,满足题意.故答案为:34.【点睛】本题考查了三角形面积的最值,向量运算,意在考查学生的计算能力和综合应用能力.26.(2020·上海高三其他模拟)已知ABC 的面积为1,点P 满足324AB BC CA AP ++=,则PBC 的面积等于__________. 【答案】12【分析】取BC 的中点D ,根据向量共线定理可得,,A P D 共线,从而得到1122PBC ABC S S ∆∆==. 【详解】取BC 的中点D ,1()2AD AC AB ∴=+. 432()()AP AB BC CA AB BC CA AB BC AB AC AB =++=+++++=+,1()4AP AC AB ∴=+∴12AP AD =,即,,A P D 共线.1122PBC ABC S S ∆∆==.故答案为:12.【点睛】本题主要考查向量共线定理,中点公式的向量式的应用以及三角形面积的计算,属于基础题.27.(2020·上海大学附属中学高三三模)设11(,)x y 、22(,)x y 、33(,)x y 是平面曲线2226x y x y +=-上任意三点,则12A x y =-212332x y x y x y +-的最小值为________ 【答案】-40【分析】依题意看做向量()22,a x y =与()33,b y x =-的数量积,()22,a x y =与()11,c y x =-的数量积之和,根据点所在曲线及向量数量积的几何意义计算可得;【详解】解:因为2226x y x y +=-,所以()()221310x y -++=,该曲线表示以()1,3-为圆心,10为半径的圆.12212332A x y x y x y x y =-+-,可以看做向量()22,a x y =与()33,b y x =-的数量积,()22,a x y =与()11,c y x =-的数量积之和,因为点22(,)x y 在2226x y x y +=-上,点()33,y x -在2226x y y x +=+,点()11,y x -在2226x y y x +=--上,结合向量的几何意义,可知最小值为()()210102101040-+-=-,即()()()()2,64,22,62,440--+-=-故答案为:40-【点睛】本题考查向量数量积的几何意义的应用,属于中档题.28.(2020·上海浦东新区·华师大二附中高三月考)若复数z 满足i 1i z ⋅=-+,则复数z 的虚部为________ 【答案】1【分析】求解z 再得出虚部即可. 【详解】因为i 1i z ⋅=-+,故1111i iz i i i i i-+-==+=+=+,故虚部为1. 故答案为:1【点睛】本题主要考查了复数的运算与虚部的概念,属于基础题. 29.(2020·上海高三一模)复数52i -的共轭复数是___________. 【答案】2i -+【分析】由复数代数形式的除法运算化简复数52i -,求出z 即可. 【详解】解:55(2)5(2)22(2)(2)5i i i i i i ----===----+--, ∴复数52i -的共轭复数是2i -+ 故答案为2i -+【点睛】本题考查了复数代数形式的除法运算,是基础题.30.(2020·上海大学附属中学高三三模)已知复数22(13)(3)(12)i i z i +-=-,则||z =______【答案】【分析】根据复数乘法与除法运算法则化简,再根据共轭复数概念以及模的定义求解.【详解】22(13)(3)(13)(68)26(12)34i i i i z i i i +-++===-----|||26|z i ∴=-+==故答案为:【点睛】本题考查复数乘法与除法运算、共轭复数概念以及模的定义关系,考查基本分析求解能力,属基础题.31.(2020·上海高三其他模拟)若复数z 满足i 12i01z+=,其中i 是虚数单位,则z 的虚部为________【答案】1-【分析】根据行列式得到(12)0iz i -+=,化简得到复数的虚部.【详解】i 12i 01z +=即12(12)0,2iiz i z i i+-+===-,z 的虚部为1- 故答案为1-【点睛】本题考查了行列式的计算,复数的虚部,意在考查学生的计算能力.32.(2020·上海市建平中学高三月考)设复数z 满足||1z =,使得关于x 的方程2220zx zx ++=有实根,则这样的复数z 的和为________ 【答案】32-【分析】设z a bi =+,(,a b ∈R 且221a b +=),将原方程变为()()222220ax ax bx bx i +++-=,则2220ax ax ++=①且220bx bx -=②;再对b 分类讨论可得;【详解】解:设z a bi =+,(,a b ∈R 且221a b +=)则原方程2220zx zx ++=变为()()222220ax ax bx bx i +++-= 所以2220ax ax ++=,①且220bx bx -=,②;(1)若0b =,则21a =解得1a =±,当1a =时①无实数解,舍去; 从而1a =-,此时1x =-1z =-满足条件;(2)若0b ≠,由②知,0x =或2x =,显然0x =不满足,故2x =,代入①得14a =-,b =所以144z =-±综上满足条件的所以复数的和为113144442⎛⎛-+-++--=- ⎝⎭⎝⎭故答案为:32-【点睛】本题考查复数的运算,复数相等的充要条件的应用,属于中档题.33.(2020·上海高三其他模拟)从{1,2,3,4,5}中随机选取一个数a ,从{1,2,3}中随机选取一个数b ,使得关于x 的方程2220x ax b ++=有两个虚根,则不同的选取方法有________种 【答案】3【分析】关于x 的方程x 2+2ax +b 2=0有两个虚根,即△<0,即a <b .用列举法求得结果即可. 【详解】∵关于x 的方程x 2+2ax +b 2=0有两个虚根,∴△=4a 2﹣4b 2<0,∴a <b . 所有的(a ,b )中满足a <b 的(a ,b )共有(1,2)、(1,3)、(2,3),共计3个, 故答案为3.【点睛】本题考查列举法表示满足条件的事件,考查了实系数方程虚根的问题,属于中档题.34.(2020·上海市七宝中学高三其他模拟)已知复数13z i =-+(i 是虚数单位)是实系数一元二次方程20ax bx c ++=的一个虚根,则::a b c =________.【答案】1:2:10【分析】利用求根公式可知,一个根为13i -+,另一个根为13i --,利用韦达定理即可求出a 、b 、c 的关系,从而可得 ::a b c【详解】利用求根公式可知,一个根为13i -+,另一个根为13i --,由韦达定理可得()()()13131313b i i a c i i a ⎧-++--=-⎪⎪⎨⎪-+--=⎪⎩ ,整理得:210bac a⎧=⎪⎪⎨⎪=⎪⎩所以2b a =,10c a =,所以:::2:101:2:10a b c a a a == 故答案为:1:2:10【点睛】本题主要考查了实系数一元二次方程的虚根成对的原理,互为共轭复数,考查了韦达定理,属于基础题.35.(2020·上海高三其他模拟)设复数2i +是实系数一元二次方程20x px q ++=的一个虚数根,则pq =________【答案】20-【分析】由题意复数2i +是实系数一元二次方程20x px q ++=的一个虚数根,利用一元二次方程根与系数的关系求出p q 、的值,可得答案.【详解】解:由复数2i +是实系数一元二次方程20x px q ++=的一个虚数根,故2-i 是实系数一元二次方程20x px q ++=的一个虚数根,故2+2i i p +-=-,(2+)(2)i i q -=, 故4p =-,5q =,故20pq =-, 故答案为:20-.【点睛】本题主要考查实系数的一元二次方程虚根成对定理,一元二次方程根与系数的关系,属于基础题型.36.(2020·上海徐汇区·高三一模)已知函数()f x ax b =+(其中,a b ∈R )满足:对任意[]0,1x ∈,有()1f x ≤,则()()2121a b ++的最小值为_________.【答案】9-【分析】根据题意()0f b =,()1f a b =+,可得()0b f =,()()10a f f =-,且()101f -≤≤,()111f -≤≤,所以将()()2121a b ++用()0f 和()1f 表示,即可求最值. 【详解】因为()f x ax b =+,对任意[]0,1x ∈,有()1f x ≤, 所以()0f b =,()1f a b =+,即()0b f =,()()10a f f =-,所以()()()()()()()21214214100211a b ab a b f f f f ++=+++=-⨯++⎡⎤⎣⎦()()()()()()2224040111211f f f f f f =-+-+++()()()()()22212011120f f f f f =--++≥--⎡⎤⎡⎤⎡⎤⎣⎦⎣⎦⎣⎦,当()11f =-,()01f =时()()2120f f -⎡⎤⎣⎦最大为9, 此时()()2120f f --⎡⎤⎣⎦最小为9-, 所以()()2121a b ++的最小值为9-, 故答案为:9-【点睛】关键点点睛:本题的关键点是根据[]0,1x ∈,有()1f x ≤,可知()101f -≤≤,()111f -≤≤,由()0f b =,()1f a b =+可得()0b f =,()()10a f f =-,所以()()2121a b ++可以用()0f 和()1f 表示,再配方,根据平方数的性质求最值. 37.(2020·上海高三其他模拟)设全集U =R ,若A ={x |21x x->1},则∁U A =_____. 【答案】{x |0≤x ≤1}【分析】先解得不等式,再根据补集的定义求解即可 【详解】全集U =R ,若A ={x |21x x->1}, 所以211x x ->,整理得10x x->,解得x >1或x <0, 所以∁U A ={x |0≤x ≤1} 故答案为:{x |0≤x ≤1}【点睛】本题考查解分式不等式,考查补集的定义38.(2020·上海市建平中学高三月考)在平面直角坐标系xOy 中,点集{(,)|(|||2|4)(|2|||4)0}K x y x y x y =+-+-≤所对应的平面区域的面积为________【答案】323【分析】利用不等式对应区域的对称性求出在第一象限的面积,乘以4得答案.【详解】解:(||2||4)(2||||4)0x y x y +-+-对应的区域关于原点对称,x 轴对称,y 轴对称,∴只要作出在第一象限的区域即可.当0x ,0y 时,不等式等价为(24)(24)0x y x y +-+-,即240240x y x y +-⎧⎨+-⎩或240240x y x y +-⎧⎨+-⎩,在第一象限内对应的图象为, 则(2,0)A ,(4,0)B ,由240240x y x y +-=⎧⎨+-=⎩,解得4343x y ⎧=⎪⎪⎨⎪=⎪⎩,即44(,)33C ,则三角形ABC 的面积1442233S =⨯⨯=,则在第一象限的面积48233S =⨯=,则点集K 对应的区域总面积832433S =⨯=.故答案为:323.【点睛】本题考查简单的线性规划,主要考查区域面积的计算,利用二元一次不等式组表示平面区域的对称性是解决本题的关键,属于中档题.39.(2020·上海高三其他模拟)已知()22log 2log a b ab +=4a b +的最小值是______.【答案】9【分析】根据对数相等得到111b a +=,利用基本不等式求解()114a b b a ⎛⎫++ ⎪⎝⎭的最小值得到所求结果. 【详解】因为22222log log log ab abab ==,所以()22l og og l a b ab +=,所以a b ab +=,所以111a b+=, ()1144414a ba b a b a b b a ⎛⎫∴+=++=+++ ⎪⎝⎭,由题意知0ab >,则0a b >,40b a >,则441459a b a b b a +=+++≥=,当且仅当4a b b a =,即2a b =时取等号,故答案为:9.【点睛】本题考查基本不等式求解和的最小值问题,关键是能够利用对数相等得到111b a+=的关系,从而构造出符合基本不等式的形式,属于中档题.40.(2020·上海高三二模)已知0,0x y >>,且21x y +=,则11x y+的最小值为________.【答案】3+【分析】先把11x y+转化为11112(2)()3y x x y x y x y x y +=++=++,然后利用基本不等式可求出最小值 【详解】解:∵21x y +=,0,0x y >>,∴11112(2)()33y x x y x y x y x y +=++=++≥+(当且仅当2y xx y=,即x =时,取“=”). 又∵21x y +=,∴11x y ⎧=⎪⎨=-⎪⎩∴当1x =,12y =-时,11x y +有最小值,为3+.故答案为:3+【点睛】此题考查利用基本不等式求最值,利用1的代换,属于基础题.41.(2020·上海高三月考)已知实数x 、y 满足条件01x y y x y -≥⎧⎪≥⎨⎪+≤⎩.则目标函数2z x y =+的最大值为______. 【答案】2【分析】作出约束条件所表示的可行域,当目标函数所表示的直线过点(1,0)A 时,目标函数取得最大值. 【详解】作出约束条件所表示的可行域,易得点(1,0)A ,当直线2y x z =-+过点A 时,直线在y 轴上的截距达到最大,∴max 2z =,故答案为:2【点睛】本题考查线性规划问题,考查数形结合思想,考查运算求解能力,求解时注意利用直线截距的几何意义进行求解.42.(2020·上海高三其他模拟)若()211,1nn N n x *⎛⎫-∈> ⎪⎝⎭的展开式中的系数为n a ,则23111lim n n a a a →∞⎛⎫+++⎪⎝⎭=____________. 【答案】2试题分析:由二项式定理知4x -的系数是2(1)2n n n n a C -==,12112()(1)1n a n n n n ==---,所以 231111lim()lim[2(1)]2n n n a a a n→∞→∞+++=-=.考点:二项式定理,裂项相消求和,数列极限.43.(2020·上海高三其他模拟)设正数数列{}n a 的前n 项和为n S ,数列{}n S 的前n 项之积为n T ,且1n n S T +=,则lim n n S →∞=______. 【答案】1【分析】令1n =可得11112a S T ===,利用n T 的定义,1(2)n n n T S n T -=≥,可得n T 的递推关系,从而得1n T ⎧⎫⎨⎬⎩⎭是等差数列,求出n T 后可得n S ,从而可得lim n n S →∞.【详解】111T a S ==,∴121a =,112a =,即1112S T ==,1(2)n n n T S n T -=≥,∴11n n n T T T -+=,∴1111n n T T --=,即{}n T 是以2为首项,1为公差的等差数列, 故1211n n n T =+-=+,11n T n =+,1n n S n =+,112S =也符合此式,所以1n n S n =+, 所以lim limlim lim +1111111n n n n n n n S n n n →∞→∞→∞→∞-⎛⎫==-= ⎪++⎝⎭=,故答案为:1.【点睛】本题考查求数列的通项公式,解题中注意数列的和、数列的积与项的关系,进行相应的转化. 如对积n T 有1(2)nn n T S n T -=≥,对和n S 有1(2)n n n a S S n -=-≥,另外这种关系中常常不包括1n =的情形,需讨论以确定是否一致,属于较难题.三、解答题44.(2020·上海徐汇区·高三一模)设()x μ表示不小于x 的最小整数,例如(0.3)1,( 2.5)2μμ=-=-. (1)解方程(1)3x μ-=;(2)设()(())f x x x μμ=⋅,*n N ∈,试分别求出()f x 在区间(]0,1、(]1,2以及(]2,3上的值域;若()f x 在区间(0,]n 上的值域为n M ,求集合n M 中的元素的个数; (3)设实数0a >,()()2x g x x a xμ=+⋅-,2sin 2()57x h x x x π+=-+,若对于任意12,(2,4]x x ∈都有12()()g x h x >,求实数a 的取值范围.【答案】(1)34x <≤;(2)当(]0,1x ∈时,值域为{}1;当(]1,2x ∈时,值域为{}3,4;当(]2,3x ∈时,值域为{}7,8,9;(1)2n n +个;(3)(3,)+∞. 【分析】(1)根据()x μ的定义,列式解不等式;(2)根据定义分别列举()f x 在区间(]0,1、(]1,2以及(]2,3上的值域,和(1,]x n n ∈-时函数的值域,最后利用等差数列求和;(3)分别求两个函数的值域,并转化为()()max g x f x >,利用参变分离求实数a 的取值范围. 【详解】【解】(1)由题意得:213x <-≤,解得:34x <≤. (2)当(]0,1x ∈时,(]()1,()0,1x x x x μμ=⋅=∈,于是(())1x x μμ⋅=,值域为{}1当(]1,2x ∈时,(]()2,()22,4x x x x μμ=⋅=∈,于是(())3x x μμ⋅=或4,值域为{}3,4 当(]2,3x ∈时,(]()3,()36,9x x x x μμ=⋅=∈,于是(())7x x μμ⋅=或8或9,值域为{}7,8,9设*n N ∈,当(1,]x n n ∈-时,()x n μ=,所以()x x nx μ⋅=的取值范围为22(,]n n n -,-所以()f x 在(1,]x n n ∈-上的函数值的个数为n ,-由于区间22(,]n n n -与22((1)(1),(1)]n n n +-++的交集为空集, 故n M 中的元素个数为(1)1232n n n +++++=.- (3)由于2140573x x <≤-+,1sin 23x π≤+≤,因此()4h x ≤,当52x =时取等号,即即(2,4]x ∈时,()h x 的最大值为4,由题意得(2,4]x ∈时,()4g x >恒成立,当(2,3]x ∈时,223x a x >-恒成立,因为2max (2)33x x -=,所以3a >当(3,4]x ∈时,2324x a x >-恒成立,因为239244x x -<,所以94a ≥综合得,实数a 的取值范围是(3,)+∞.【点睛】关键点点睛:1.首先理解()x μ的定义,2.第三问,若对于任意12,(2,4]x x ∈都有12()()g x h x >,转化为()()max g x f x >,再利用参变分离求a 的取值范围.45.(2020·上海市建平中学高三月考)已知数列{}n a 满足:10a =,221n n a a =+,2121n n a a n +=++,*n ∈N .(1)求4a 、5a 、6a 、7a 的值; (2)设212n n na b -=,212333nn n S b b b =++⋅⋅⋅+,试求2020S ;(3)比较2017a 、2018a 、2019a 、2020a 的大小关系. 【答案】(1)3、5、5、8;(2)202120204037398S ⋅+=;(3)2017201820202019a a a a ==<. 【分析】。
数列求和与不等式【一】 基础知识数列求和的常用方法【1】公式法直接利用等差数列和等比数列的前n 项和公式求和(1)等差数列前n 项和公式()()11122n n n a a n n S na d +-==+ (2)等比数列前n 项和公式当1q =时,1n S na =;当()111n n a q S q -=-。
(3)基本数列的前项和公式 ()11+2+3+n=2n n +++ 2222(1)(21)1236n n n n ++++++=23333(1)1232n n n +⎡⎤++++=⎢⎥⎣⎦【2】倒叙相加法【3】错位相减法如果一个数列的各项是由一个等差数列和等比数列的对应项之积构成的,那么这个数列的前n 项和即可用此法来求【4】裂项相消法把数列的通项拆成两项之差,在求和时中间的一些项可以相互抵消,从而求得其和()1111n n k k n n k ⎛⎫=- ⎪++⎝⎭)121121(21)12)(12(1+--=+-n n n n 【5】分组求合法一个数列的通项公式是由若干个等差数列或等比数列或可求和的数列组成,则求和时可用分组求和法,分别求和而后相加减。
【二】例题分析【类型1】公式法求和【例1】已知数列{}n a 是首项14a =,公比1q ≠的等比数列,n S 是数列{}n a 的前n 项和,且1534,,2a a a -成等差数列.(1)求公比q 的值;(2)求2462...n n T a a a a =+++的值.n【变式1】已知数列{}n a 是首项为1,2q =的等比数列,求12231111....n n n T a a a a a a +=+++的值。
【类型2】分组求合法【例1】求数列的前项和.【例2】求数列的前项和.【例3】求数列的前项和.【类型3】裂项相消法【例1】求.的值。
【变式1】求和:;【变式2】求和:;{}2)12(-n n n S ,,,,,)21(813412211n n +n n S ,321,,321,21,1n +++++++n n S )1(1431321211+++⨯+⨯+⨯n n )2(1531421311+++⨯+⨯+⨯n n )13)(23(11071741411+-++⨯+⨯+⨯n n【变式3】求和:.【例2】设是数列的前项和,,. ⑴求的通项;⑵设,求数列的前项和.【例3】在数列}{n a 中,11211++++++=n n n n a n ,又12+⋅=n n n a a b ,求数列}{n b 的前n 项的和。
一、基础梳理1.运用不等式研究函数问题(单调性,最值等).2.运用不等式研究方程解的问题.3.利用函数性质及方程理论研究不等式问题三、例题讲解:1、函数与不等式①设f (x )是定义域为(-∞,0)∪(0,+∞)的奇函数且在(-∞,0)上为增函数.(1)若m ·n <0,m+n ≤0,求证:f (m )+f (n )≤0;(2)若f (1)=0,解关于x 的不等式f (2x -2x-2)>0②.已知f (x )=2x +bx+c (b,c 为常数),方程f (x )=x 的两个实根为1x ,2x 且满足1x >0, 2x -1x >1(1)求证:2b >2(b+2c );(2)设0<t <1x ,比较f (t )与1x 的大小2、数列与不等式对于函数f (x ),若存在0x ∈R ,使f (0x )=0x 成立,则称0x 为f (x )的不动点. 已知函数f (x )= (b,c ∈N )有且仅有两个不动点0,2, 且f (-2)<21- . (1)求函数f (x )的解析式;(2)已知各项均不为零的数列{an}满足4Sn ·f ( na 1 )=1,求数列通项an ; (3)如果数列{bn}满足1b =4, n b +1=f (n b ),求证:当n ≥2时,恒有n b <3成立.②已知数列{an}的前n 项和n s =n 2-2n -1,其中n ∈N*(1)求n s -2n a 的最大值;(2)记n b =n n a 2,数列{n b }的前n 项和为n T .证明:①1+n b <n b + 41 ②n T < 81 n (n-1).2x a bx c +-一、例题讲解1、不等式与解析几何①设直线l:y=k (x+1)(k ≠0)与椭圆2x +32y =2a (a >0)相交于A 、B 两个不同的点,与x 轴相交于点C ,记O 为坐标原点. (1)证明:2a > ; (2)若2=,求△OAB 的面积取得最大值时的椭圆方程.②若不等式 29x -≤k (x+2)-2 的解集为区间[a,b ],且b-a=2,则k=_____.2、不等式的实际应用①某工厂有一个容量为300吨的水塔,每天从早上6时起到晚上10时止供应该厂的生产和生活用水,已知该厂生活用水为每小时10吨,工业用水量W (吨)与时间t (小时,且规定早上6时t =0)的函数关系为W =100 .水塔的进水量分为10级,第一级每小时进水10吨,以后每提高一级,每小时进水量就增加10吨 若某天水塔原有水100吨,在开始供水的同时打开进水管.(1)若进水量选择2级,试问:水塔中水的剩余量何时开始低于10吨?(2)如何选择进水量,既能始终保证该厂的用水(水塔中水不空)又不会使水溢出? ②某食品厂定期购买面粉,已知该厂每天需用面粉6吨,每吨面粉的价格为1 800元,面粉的保管等其他费用为平均每吨每天3元,购买面粉每次需支付运费900元.(1)求该厂每隔多少天购买一次面粉,才能使平均每天所支付的总费用最少?(2)某提供面粉的公司规定:当一次购买面粉不少于210吨时,其价格可享受9折优惠,问该厂是否考虑利用此优惠条件?请说明理由.二、练习1、已知正项数列{}n a 中,对于一切*n N ∈均有2n a ≤1n n a a +-成立. ()1求证:数列{}n a 中的任何一项都小于1;()2探究n a 与1n 的大小,并加以证明.2、经过长期观测得到:在交通繁忙的时段内,某公路段汽车的车流量y (千辆/小时)与汽车的平均速度v (千米/小时)之间的函数关系为:292031600v y v v =++(0)v >.()1在该时段内,当汽车的平均速度v 为多少时,车流量最大?最大车流量为多少?(精确到1.0千辆/小时)()2若要求在该时段内车流量超过10千辆/小时,则汽车站的平均速度应在什么范围内?22313k k +3 、已知关于x 的不等式()1102k x x -+<-的解集为空集,求实数k 的值或取值范围不等式的综合应用(3)一、典例分析:1. 设关于x 的不等式()()221122a a x +--≤和()()2312310x a x a -+++≤的解集依次为A 、B 求使A B ⊆的实数a 的取值范围.2.已知函数()12log xa f x a ⎛⎫= ⎪ ⎪⎝⎭在R 上为减函数,求实数a 的取值范围.3.()1若关于x 的方程4210x xa a +⋅++=有实数解,求实数a 的取值范围. ()2解关于x的不等式:()2111a x x ax +->+(0a >).二、练习1.设数列{}n a 满足12a =,11n n n a a a +=+,(1,23n =,…).()1证明n a >n 成立;()2令1,2,3......)n b n ==,判断1n n b b +与的大小,并说明理由 .2.已知数列{}n a 的前n 项和n S 满足2(1)n n n S a =+-,n ≥1.()1写出数列{}n a 的前三项1a ,2a ,3a ;()2求数列{}n a 的通项公式;()3证明:对任意的整数4>m ,有8711154<+++m a a a .3.设数列{}n a 的前n 项和为n S ,已知1231611a a a ===,,,且1(58)(52)n n n S n S An B +--+=+,123n = ,,,其中A B ,为常数. (Ⅰ)求A 与B 的值;(Ⅱ)证明:数列{}n a 为等差数列;(Ⅲ)1对任何正整数m n ,都成立.4.已知函数f (x )=2x -12|x | ⑴ 若f (x )=2,求x 的值⑵ 若2tf (2t )+m f (t )≥0对于t ∈[1,2]恒成立,求实数m 的取值范围三、作业1.数列{}n a 的通项公式是290n n a n =+,数列{}n a 中最大的项是 .A 第9项 .B 第10项 .C 第8项和第9项 .D 第9项和第10项 2.已知,,x y z R +∈,且满足()1xyz x y z ++=,则()()x y y z ++的最小值为.A 4 .B 3 .C 2 .D 13.若实数,,,m n x y 满足2222,m n a x y b +=+=()a b ≠,则mx ny +的最大值是.A 2a b + .B .C .D ab a b + 4.设,x y R ∈,221x y +=,(1)(1)m xy xy =+-,则m 的取值范围是.A 1[,1]2 .B (0,1] .C 3[,1]4.D 3[,2]4 5.已知,a b 是大于0的常数,则当x R +∈时,函数()()()x a x b f x x++=的最小值为 6.设,,,a b x y R ∈,且223a b +=,226x y +=,求ax by +的范围7.函数()2()lg 1f x x ax =-+在()0,+∞有意义,求a 的取值范围8.1的直角三角形面积的最大值为 .9.设,,a b c R ∈,2ab =且22c a b ≤+恒成立,则c 的最大值为 10.若直线220(,0)ax by a b +-=>始终平分圆224280x y x y +---=的周长,则12a b+的最小值为.A 1 .B 5 .C .D 3+12.对于任意的1,32m ⎡⎤∈⎢⎥⎣⎦,不等式224t mt m +>+恒成立,则实数t 的取值范围是 13.若对一切实数x ,不等式()422242x x m x +++≥1恒成立,求实数m 的取值范围. 14.k 为何实数时,方程220x kx k -+-=的两根都大于1215.光线每通过一块玻璃板,其强度要减少10%,把几块这样的玻璃板重叠起来,能使通过它们的光线强度在原强度的31以下.(lg30.477)= 16.已知函数1()f x a x=-.()1求证:函数()y f x =在(0,)+∞上是增函数 ()2若()2f x x <在(1,)+∞上恒成立,求实数a 的取值范围.()3若函数()y f x =在[,]m n 上的值域是[,]m n ()m n ≠,求实数a 的取值范围.20. 设数列{}n a 满足12a =,11n n n a a a +=+,(1,23n =,…). ()1证明n a >n 成立; ()2令1,2,3......)n b n ==,判断1n n b b +与的大小,并说明理由 .21.已知数列{}n a 的前n 项和n S 满足2(1)n n n S a =+-,n ≥1. ()1写出数列{}n a 的前三项1a ,2a ,3a ; ()2求数列{}n a 的通项公式; ()3证明:对任意的整数4>m ,有8711154<+++m a a a .22.设数列{}n a 的前n 项和为n S ,已知1231611a a a ===,,,且1(58)(52)n n n S n S An B +--+=+,123n = ,,,其中A B ,为常数. (Ⅰ)求A 与B 的值;(Ⅱ)证明:数列{}n a 为等差数列;(Ⅲ)1对任何正整数m n ,都成立.。
数列知识点归纳及例题分析一、数列的概念:1.归纳通项公式:注重经验的积累 例1.归纳下列数列的通项公式: 10,-3,8,-15,24,....... 221,211,2111,21111,......(3), (17)9,107,1,232.n a 与n S 的关系:⎩⎨⎧≥-==-)2(,)1(,11n S S n a a n nn注意:强调2,1≥=n n 分开,注意下标;n a 与n S 之间的互化求通项例2:已知数列}{n a 的前n 项和⎩⎨⎧≥+==2,11,32n n n S n ,求n a .3.数列的函数性质:(1)单调性的判定与证明:定义法;函数单调性法 (2)最大小项问题:单调性法;图像法(3)数列的周期性:注意与函数周期性的联系例3:已知数列}{n a 满足⎪⎩⎪⎨⎧<<-≤≤=+121,12210,21n n n n n a a a a a ,531=a ,求2017a . 二、等差数列与等比数列例4等差数列的判定或证明:已知数列{a n}中,a1=错误!,a n=2-错误!n≥2,n∈N,数列{b n}满足b n=错误!n∈N.1求证:数列{b n}是等差数列;2求数列{a n}中的最大项和最小项,并说明理由.1证明∵a n=2-错误!n≥2,n∈N,b n=错误!.∴n≥2时,b n-b n-1=错误!-错误!=错误!-错误!=错误!-错误!=1.∴数列{b n}是以-错误!为首项,1为公差的等差数列.2解由1知,b n=n-错误!,则a n=1+错误!=1+错误!,设函数fx=1+错误!,易知fx在区间错误!和错误!内为减函数.∴当n=3时,a n取得最小值-1;当n=4时,a n取得最大值3.例5等差数列的基本量的计算设a1,d为实数,首项为a1,公差为d的等差数列{an}的前n项和为Sn ,满足S5S6+15=0.1若S5=5,求S6及a12求d的取值范围.解1由题意知S6=错误!=-3,a6=S6-S5=-8. 所以错误!解得a1=7,所以S6=-3,a1=7.2方法一∵S5S6+15=0,∴5a 1+10d 6a 1+15d +15=0, 即2a 错误!+9da 1+10d 2+1=0.因为关于a 1的一元二次方程有解,所以 Δ=81d 2-810d 2+1=d 2-8≥0, 解得d ≤-2错误!或d ≥2错误!. 方法二 ∵S 5S 6+15=0, ∴5a 1+10d 6a 1+15d +15=0, 9da 1+10d 2+1=0.故4a 1+9d 2=d 2-8.所以d 2≥8.故d 的取值范围为d ≤-2错误!或d ≥2错误!.例6前n 项和及综合应用1在等差数列{a n }中,已知a 1=20,前n 项和为S n ,且S 10=S 15,求当n 取何值时,S n 取得最大值,并求出它的最大值;2已知数列{a n }的通项公式是a n =4n -25,求数列{|a n |}的前n 项和. 解 方法一 ∵a 1=20,S 10=S 15,∴10×20+错误!d =15×20+错误!d ,∴d =-错误!. ∴a n =20+n -1×错误!=-错误!n +错误!. ∴a 13=0,即当n ≤12时,a n >0,n ≥14时,a n <0,∴当n =12或13时,S n 取得最大值,且最大值为S 13=S 12=12×20+错误!×错误!=130.方法二 同方法一求得d =-错误!.∴S n =20n +错误!·错误!=-错误!n 2+错误!n =-错误!错误!2+错误!. ∵n ∈N,∴当n =12或13时,S n 有最大值,且最大值为S 12=S 13=130. 2∵a n =4n -25,a n +1=4n +1-25,∴a n +1-a n =4=d ,又a 1=4×1-25=-21.所以数列{a n }是以-21为首项,以4为公差的递增的等差数列. 令错误!由①得n <6错误!;由②得n ≥5错误!,所以n =6. 即数列{|a n |}的前6项是以21为首项,公差为-4的等差数列,从第7项起以后各项构成公差为4的等差数列, 而|a 7|=a 7=4×7-24=3. 设{|a n |}的前n 项和为T n ,则 T n =错误! =错误!例7已知某等差数列共有10项,其奇数项之和为15,偶数项之和为30,则其公差为 3例8等差数列{},{}n n a b 的前n 项和分别为{},{}n n S T ,且7453nnS n T n ,则使得n na b 为正整数的正整数n 的个数是 3 . 先求an/bn n=5,13,35例9已知数列{}n a 中,113a =,当2≥n 时,其前n 项和n S 满足2221nn n S a S =-,则数列{}n a 的通项公式为 ()()21132214n n a n n ⎧=⎪=⎨⎪-⎩≥例10在数列{}n a 中,12a =,11ln(1)n n a a n+=++,则n a = .例1111a a -+是和的等比中项,则a +3b 的最大值为 2 . 例12 若数列1, 2cos θ, 22cos 2θ,23cos 3θ, … ,前100项之和为0, 则θ的值为例13 △ABC 的三内角成等差数列, 三边成等比数列,则三角形的形状为__等边三角形_三、数列求和: 1倒序相加法如:已知函数1()()42x f x x R =∈+,求12()()()m mS f f f m m m =+++_________2错位相减法:{}n n b a 其中{ n a }是等差数列,{}n b 是等比数列; 3裂项相消法:形如)11(1))((1CAn B An B C C An B An a n +-+-=++=4拆项分组法:形如n n n c b a ±=,如:n n n a 32+=,65()2()n n n n a n -⎧=⎨⎩为奇数为偶数,21)1(n a n n ⋅-=-练习:1、数列1,211+,3211++,···,n+++ 211的前n 项和为 B A .122+n n B .12+n nC .12++n nD .12+n n2、数列,,1617,815,413,211 前n 项和=n S .3、数列{}n a 的通项公式为nn a n ++=11,则S 100=_________________;4、设()111126121n S n n =+++++,且134n n S S +⋅=,则=n .65、设*N n ∈,关于n 的函数21)1()(n n f n ⋅-=-,若)1()(++=n f n f a n ,则数列}{n a 前100项的和=++++100321a a a a ________.答案:100.解答:])1[()1()1()1()1()1()(22221n n n n n f n f a n n n n -+-=+⋅-+⋅-=++=-,)12()1(+-=n n ,所以201)199(9)7(5)3(100321+-+++-++-=++++ a a a a100502=⨯=. 四、求数列通项式2ln n+1公式法:121+=+n n a a ,112++-=⋅n n n n a a a a ,121+=+n nn a a a 等 2累加法:形如)2)((1≥=--n n f a a n n 或)(1n f a a n n +=-,且)(n f 不为常数 3累乘法:形如)2)((1≥⋅=-n n f a a n n 且)(n f 不为常数 4待定系数法:形如1,0(,1≠+=+k b ka a n n ,其中a a =1型5转换法:已知递推关系0),(=n n a S f ⎩⎨⎧≥-==→-)2(,)1(,11n S S n a a S n n n n解题思路:利用⎩⎨⎧≥-==-)2(,)1(,11n S S n a a n nn变化1已知0),(11=--n n a S f ;2已知0),(1=--n n n S S S f (6)猜想归纳法慎用练习:考点三:数列的通项式1、在数列{}n a 中,前n 项和842--=n n S n ,则通项公式=n a _______________3、已知数列的前n 项和n n S 23+=,则=n a _______________15122n n n a n -=⎧=⎨≥⎩4、已知数列{}n a ,21=a ,231++=+n a a n n ,则 =n a )(,23*2N n nn ∈+5、在数列{}n a 中,1112,lg 1n n a a a n +⎛⎫==++ ⎪⎝⎭*N n ∈,则n a = .6、如果数列{}n a 满足)(53111*++∈=-=N n a a a a a n n n n ,,则=n a ________________7、}{n a 满足11=a ,131+=+n n n a a a ,则n a =_______132n -8、已知数列{}n a 的首项12a =,且121n n a a +=-,则通项公式n a = 121n -+ 9、若数列{}n a 满足()*112,32n n a a a n N +==+∈,则通项公式n a =10、如果数列{}n a 的前n 项和323-=n n a S ,那么这个数列的通项公式是 DA .)1(22++=n n a nB .n n a 23⋅=C .13+=n a nD .n n a 32⋅=五、数列应用题: 等差数列模型1、一种设备的价格为450000元,假设维护费第一年为1000元,以后每年增加1000元,当此设备的平均费用为最小时为最佳更新年限,那么此设备的最佳更新年限为 ;30年2、在一次人才招聘会上,有甲、乙两家公司分别公布它们的工资标准:甲公司:第一年月工资数为1500元,以后每年月工资比上一年月工资增加230元; 乙公司:第一年月工资数为2000元,以后每年月工资在上一年的月工资基础上递增5%.设某人年初同时被甲、乙公司录取,试问:1若该人打算连续工作n 年,则在第n 年的月工资收入分别是多少元2若该人打算连续工作10年,且只考虑工资收入的总量,该人应该选择哪家公司为什么精确到1元解:1设在甲公司第n 年的工资收入为n a 元,在乙公司第n 年的工资收入为n b 元 则2301270n a n =+,120001.05n n b -=⋅ 2设工作10年在甲公司的总收入为S 甲,在甲公司的总收入为S 乙由于S S >乙甲,所以该人应该选择甲公司.等比数列模型例 从社会效益和经济效益出发,某地投入资金进行生态环境建设,并以此发展旅游产业,根据计划,本年度投入800万元,以后每年投入将比上一年度减少51,本年度当地旅游业收入估计为400万元,由于该项建设对旅游业的促进作用,预计今后的旅游业收入每年会比上一年增加41;1设n 年内本年度为第一年总投入为n a 万元,旅游业总收入为n b 万元,写出n a 、n b 的表达式;2至少经过几年旅游业的总收入才能超过总投入精确到整数 参考解答:112511800511800511800800-⎪⎭⎫⎝⎛-++⎪⎭⎫ ⎝⎛-+⎪⎭⎫ ⎝⎛-+=n n a2解不等式n n a b >,得5≥n ,至少经过5年,旅游业的总收入才能超过总投入.六、2017年高考题一、选择题在每小题给出的四个选项中,只有一项是符合题目要求的1. 2017年新课标Ⅰ 记n S 为等差数列{}n a 的前n 项和.若4524a a +=,648S =,则{}n a 的公差为2. 2017年新课标Ⅱ卷理 我国古代数学名着算法统宗中有如下问题:“远望巍巍塔七层,红光点点倍加增,共灯三百八十一,请问尖头几盏灯”意思是:一座7层塔共挂了381盏灯,且相邻两层中的下一层灯数是上一层灯数的2倍,则塔的顶层共有灯1.A 盏 3.B 盏 5.C 盏 9.D 盏 3.2017年新课标Ⅲ卷理 等差数列{}n a 的首项为1,公差不为0.若632,,a a a 成等比数列,则{}n a 前6项的和为4. 2017年浙江卷 已知等差数列}{n a 的公差为d ,前n 项和为n S ,则“0>d ”是“5642S S S >+”的.A 充分不必要条件 .B 必要不充分条件 .C 充分必要条件 .D 既不充分也不必要条件5.2017年新课标Ⅰ 几位大学生响应国家的创业号召,开发了一款应用软件.为激发大家学习数学的兴趣,他们推出了“解数学题获取软件激活码”的活动.这款软件的激活码为下面数学问题的答案:已知数列⋯,16,8,4,2,1,8,4,2,1,4,2,1,2,1,1其中第一项是02,接下来的两项是102,2,再接下来的三项是2102,2,2,依此类推.求满足如下条件的最小整数100:>N N 且该数列的前N 项和为2的整数幂.那么该款软件的激活码是 二、填空题将正确的答案填在题中横线上6. 2017年北京卷理 若等差数列{}n a 和等比数列{}n b 满足8,14411==-==b a b a ,22a b =_______.7.2017年江苏卷等比数列{}n a 的各项均为实数,其前n 项和为n S ,已知3676344S S ==,,则8a =_______________.8. 2017年新课标Ⅱ卷理 等差数列{}n a 的前n 项和为n S ,33a =,410S =, 则11nk kS ==∑. 9.2017年新课标Ⅲ卷理设等比数列{}n a 满足3,13121-=--=+a a a a ,则=4a __. 三、解答题应写出必要的文字说明、证明过程或演算步骤10. 2017年新课标Ⅱ文已知等差数列}{n a 前n 项和为n S ,等比数列}{n b 前n 项和为.2,1,1,2211=+=-=b a b a T n 1若533=+b a ,求}{n b 的通项公式; 2若213=T ,求3S . 11.2017年新课标Ⅰ文 记nS 为等比数列{}n a 的前n 项和,已知.6,232-==S S1求{}n a 的通项公式; 2求n S ,并判断21,,++n n n S S S 是否成等差数列; 12. 2017年全国Ⅲ卷文设数列{}n a 满足()123+212n a a n a n ++-=…1求数列{}n a 的通项公式; 2求数列21n a n ⎧⎫⎨⎬+⎩⎭的前n 项和;13.2017年天津卷文已知{}n a 为等差数列,前n 项和为*()n S n ∈N ,{}n b 是首项为2的等比数列,且公比大于0,2334111412,2,11b b b a a S b +==-=. 1求{}n a 和{}n b 的通项公式; 2求数列2{}n n a b 的前n 项和*()n ∈N . 14.2017年山东卷文已知{}n a 是各项均为正数的等比数列,且121236,a a a a a +==.1求数列{}n a 的通项公式;2{}n b 为各项非零等差数列,前n 项和n S ,已知211n n n S b b ++=,求数列n n b a ⎧⎫⎨⎬⎩⎭前n 项和n T15. 2017年天津卷理已知{}n a 为等差数列,前n 项和为()n S n *∈N ,{}n b 是首项为2的等比数列,且公比大于0,2312b b +=,3412b a a =-,11411S b =.1求{}n a 和{}n b 的通项公式; 2求数列221{}n n a b -的前n 项和()n *∈N . 16. 2017年北京卷理 设{}n a 和{}n b 是两个等差数列,记1122max{,,,}n n n c b a n b a n b a n =--⋅⋅⋅-(1,2,3,)n =⋅⋅⋅,其中12max{,,,}s x x x ⋅⋅⋅表示12,,,s x x x ⋅⋅⋅这s 个数中最大的数. 1若n a n =,21n b n =-,求123,,c c c 的值,并证明{}n c 是等差数列; 2证明:或者对任意正数M ,存在正整数m ,当n m ≥时,nc M n>;或者存在正整数m ,使得12,,,m m m c c c ++⋅⋅⋅是等差数列.17.2017年江苏卷对于给定的正整数k ,若数列{}n a 满足:1111n k n k n n n k n k a a a a a a --+-++-++++++++2n ka =对任意正整数()n n k >总成立,则称数列{}n a 是“()P k 数列”.1证明:等差数列{}n a 是“(3)P 数列”;2若数列{}n a 既是“(2)P 数列”,又是“(3)P 数列”,证明:{}n a 是等差数列. 18.本小题满分12分已知}{n x 是各项均为正数的等比数列,且.2,32321=-=+x x x x Ⅰ求数列}{n x 的通项公式;Ⅱ如图,在平面直角坐标系xOy 中,依次连接点)1,(,),2,(),1,(11211+⋯++n x P x P x P n n 得到折线121+⋯n P P P ,求由该折线与直线11,,0+===n x x x x y 所围成的区域的面积n T .19.2017年浙江卷已知数列}{n x 满足:).)(1ln(,1*111N n x x x x n n n ∈++==++证明:当*N n ∈时,1n n x x <<+10; 22211++≤-n n n n x x x x ; 3212121++≤≤n n n x .。
数列与不等式一、看数列是不是等差数列有以下三种方法:①),2(1为常数d n d a a n n ≥=--②211-++=n n n a a a (2≥n )③b kn a n +=(k n ,为常数). 二、看数列是不是等比数列有以下两种方法:①)0,,2(1≠≥=-且为常数q n q a a n n ②112-+⋅=n n na a a (2≥n ,011≠-+n n n a a a )(2)在等差数列{n a }中,有关S n 的最值问题:(1)当1a >0,d<0时,满足⎩⎨⎧≤≥+001m m a a 的项数m 使得m s 取最大值. (2)当1a <0,d>0时,满足⎩⎨⎧≥≤+01m m a a 的项数m 使得m s 取最小值.在解含绝对值的数列最值问题时,注意转化思想的应用。
四.数列通项的常用方法:(1)利用观察法求数列的通项.(2)利用公式法求数列的通项:①⎩⎨⎧≥-==-)2()111n S S n S a n n n (;②{}n a 等差、等比数列{}n a 公式.(3)应用迭加(迭乘、迭代)法求数列的通项:①)(1n f a a n n +=+;②).(1n f a a n n =+(4)造等差、等比数列求通项:q pa a n n +=+1;②nn n q pa a +=+1;③)(1n f pa a n n +=+;④n n n a q a p a ⋅+⋅=++12.第一节通项公式常用方法题型1 利用公式法求通项例1:1.已知{a n }满足a n+1=a n +2,而且a 1=1。
求a n 。
2.已知n S 为数列{}n a 的前n 项和,求下列数列{}n a 的通项公式: ⑴ 1322-+=n n S n ; ⑵12+=nn S .总结:任何一个数列,它的前n 项和n S 与通项n a 都存在关系:⎩⎨⎧≥-==-)2()1(11n S S n S a n n n 若1a 适合n a ,则把它们统一起来,否则就用分段函数表示.题型2 应用迭加(迭乘、迭代)法求通项例2:⑴已知数列{}n a 中,)2(12,211≥-+==-n n a a a n n ,求数列{}n a 的通项公式;⑵已知n S 为数列{}n a 的前n 项和,11=a ,n n a n S ⋅=2,求数列{}n a 的通项公式.总结:⑴迭加法适用于求递推关系形如“)(1n f a a n n +=+”; 迭乘法适用于求递推关系形如“)(1n f a a n n ⋅=+“;⑵迭加法、迭乘法公式:①11232211)()()()(a a a a a a a a a a n n n n n n n +-++-+-+-=-----Λ② 1122332211a a a a a a a a a a a a n n n n n n n ⋅⋅⋅⋅⋅⋅=-----Λ. 题型3 构造等比数列求通项例3已知数列{}n a 中,32,111+==+n n a a a ,求数列{}n a 的通项公式. 总结:递推关系形如“q pa a n n +=+1” 适用于待定系数法或特征根法: ①令)(1λλ-=-+n n a p a ;② 在q pa a n n +=+1中令pqx x a a n n -=⇒==+11,∴)(1x a p x a n n -=-+;③由qpa a n n +=+1得qpa a n n +=-1,∴)(11-+-=-n n n n a a p a a .例4已知数列{}n a 中,nn n a a a 32,111+==+,求数列{}n a 的通项公式.总结:递推关系形如“nn n q pa a +=+1”通过适当变形可转化为:“q pa a n n +=+1”或“nn n n f a a )(1+=+求解.数列求和的常用方法一 公式法:适用于等差、等比数列或可转化为等差、等比数列的数列。
利用下列常用求和公式求和是数列求和的最基本最重要的方法. 1、 等差数列求和公式:d n n na a a n S n n 2)1(2)(11-+=+=2、等比数列求和公式:⎪⎩⎪⎨⎧≠--=--==)1(11)1()1(111q q qa a qq a q na S n n n 3.)1(211+==∑=n n k S nk n4、)12)(1(6112++==∑=n n n k S nk n5.213)]1(21[+==∑=n n k S nk n 二.裂项相消法:适用于⎭⎬⎫⎩⎨⎧+1n n a a c 其中{ n a }是各项不为0的等差数列,c 为常数;部分无理数列、含阶乘的数列等。
例2 求数列)1(n 1+n 的前n 项和这是分解与组合思想在数列求和中的具体应用. 裂项法的实质是将数列中的每项(通项)分解,然后重新组合,使之能消去一些项,最终达到求和的目的. 通项分解(裂项)如:(1)111)1(1+-=+=n n n n a n (2))121121(211)12)(12()2(2+--+=+-=n n n n n a n (3)])2)(1(1)1(1[21)2)(1(1++-+=+-=n n n n n n n a n三.错位相减法:可以求形如 的数列的和,其中 为等差数列, 为等比数列.例1:求和:. 例2:数列1,3x ,5x 2,…,(2n-1)x n-1前n 项的和.小结:错位相减法类型题均为:nna b 等差数列等比数列连续相加。
四.常用结论1)1+2+3+...+n =2)1(+n n 2) 1+3+5+...+(2n-1) =2n 3)2333)1(2121⎥⎦⎤⎢⎣⎡+=+++n n n Λ 4) )12)(1(613212222++=++++n n n n Λ5) 111)1(1+-=+n n n n)211(21)2(1+-=+n n n n重要不等式1、和积不等式:,a b R ∈⇒222a b ab +≥(当且仅当a b =时取到“=”).【变形】:①222()22a b a b ab ++≤≤(当a = b 时,222()22a b a b ab ++==) 【注意】:(,)2a b ab a b R ++∈,2()(,)2a b ab a b R +∈≤ 2、均值不等式:两个正数b a 、的调和平均数、几何平均数、算术平均数、均方根之间的关系,即“平方平均≥算术平均≥几何平均≥调和平均”2222“”1122ab a b a b ab a b a b a b++===++(当且仅当时取) *.若0x >,则12x x +≥ (当且仅当1x =时取“=”);若0x <,则12x x+≤- (当且仅当1x =-时取“=”)若0x ≠,则11122-2x x x xxx+≥+≥+≤即或 (当且仅当b a =时取“=”)*.若0>ab ,则2≥+ab ba (当且仅当b a =时取“=”)若0ab ≠,则22-2a b a b a bb a b a b a+≥+≥+≤即或 (当且仅当b a =时取“=”) 3、含立方的几个重要不等式(a 、b 、c 为正数):3333a b c abc ++≥(0a b c ++>等式即可成立,时取等或0=++==c b a c b a );3a b c ++ ⇒3()3a b c abc ++≤3333a b c ++≤*不等式的变形在证明过程中或求最值时,有广泛应用,如:当0>ab 时,ab b a 222≥+同时除以ab 得2≥+b a a b 或baa b -≥-11。
*,,b a 均为正数,b a ba -≥22八种变式: ①222b a ab +≤ ; ②2)2(b a ab +≤; ③2)2(222b a b a +≤+ ④)(222b a b a +≤+;⑤若b>0,则b a b a -≥22;⑥a>0,b>0,则ba b a +≥+411;⑦若a>0,b>0,则ab b a 4)11(2≥+; ⑧ 若0≠ab ,则222)11(2111b a ba +≥+。
上述八个不等式中等号成立的条件都是“b a =”。
放缩不等式:①00a b a m >>>>,,则b m b b ma m a a m-+<<-+. 【说明】:b b ma a m+<+(0,0a b m >>>,糖水的浓度问题). 【拓展】:,则,,000>>>>n m b a ba nb n a m a m b a b <++<<++<1. ②,,a bc R +∈,b d ac <,则b bd da a c c+<<+; ③n N +∈<< ④,1n N n +∈>,21111111n n n n n-<<-+-.⑤ln 1x x -≤(0)x >,1xe x +≥()x R ∈函数()(0)bf x ax a b x=+>、图象及性质(1)函数()0)(>+=b a x b ax x f 、图象如图: (2)函数()0)(>+=b a xb ax x f 、性质:①值域:),2[]2,(+∞--∞ab ab Y ;②单调递增区间:(,-∞,)+∞;单调递减区间:(0,,[0) 最值定理(积定和最小)①,0,x y x y >+≥由()xy P =定值,则当x y =时和x y +有最小值(和定积最大)②,0,x y x y >+≥由()x y S +=定值,则当x y =是积xy 有最大值214s . 【推广】:已知R y x ∈,,则有xy y x y x 2)()(22+-=+.(1)若积xy 是定值,则当||y x -最大时,||y x +最大;当||y x -最小时,||y x +最小. (2)若和||y x +是定值,则当||y x -最大时,||xy 最小;当||y x -最小时,||xy 最大. ③已知,,,R a x b y +∈,若1ax by +=,则有则的最小值为:21111()()by axax by a b a b x y x y x y+=++=+++++=≥④已知,若则和的最小值为:②.②应用基本不等式求最值的“八种变形技巧”:⑴凑系数(乘、除变量系数).例1.当 04x <<时,求函的数(82)y x x =-最大值.⑵凑项(加、减常数项):例2.已知54x <,求函数1()4245f x x x =-+-的最大值. ⑶调整分子:例3.求函数2710()(1)1x x f x x x ++=≠-+的值域; ⑷变用公式:基本不等式2a b +≥有几个常用变形,2a b +≥,222()22a b a b ++≥不易想到,应重视; 例4.求函数15()22y x =<<的最大值;⑸连用公式:例5.已知0a b >>,求216()y a b a b =+-的最小值;⑹对数变换:例6.已知1,12x y >>,且xy e =,求ln (2)yt x =的最大值;⑺三角变换:例7.已知20y x π<<≤,且tan 3tan x y =,求t x y =-的最大值;⑻常数代换(逆用条件):例8.已知0,0a b >>,且21a b +=,求11t a b=+的最小值 1、数列95,74,53,32,1的一个通项公式n a 是( ) A 、12+n n B 、12-n n C 、32-n n D 、32+n n2、已知等比数列{}n a 的公比为正数,且24282a a a =,11=a 则=2a ( ) A 、2 B 、2 C 、22 D 、21 3、已知等差数列{}n a 前n 项和为n S 且0>n a 已知02564=-+a a a 则=9S ( )A 、17B 、18C 、19D 、204、已知)1,0(,21∈a a ,记21a a M =,121-+=a a N 则M 与N 的大小关系( ) A 、M<N B 、M>N C 、M=N D 、不确定5、若011<<ba ,则下列不等式:bc a c c b c a b a ab b a 22)4(,)3(,)2(,)1(<+>+><+中正确的是( )A 、(1)(2)B 、(2)(3)C 、(1)(3)D 、(3)(4)6、不等式1213≥--x x 的解集是 ( ) A 、⎭⎬⎫⎩⎨⎧≤≤243x x B 、⎭⎬⎫⎩⎨⎧<≤243x x C 、⎭⎬⎫⎩⎨⎧≤>432x x x 或 D 、{}2<x x7、设n S 是等差数列{}n a 的前n 项和,若59355,9a S a S ==则( )A 、 1B 、 1-C 、 2D 、 128、在的条件下,,00>>b a 三个结论:①22b a b a ab +≤+,②,2222b a b a +≤+ ③b a b a a b +≥+22,其中正确的个数是( )A 、0B 、1C 、2D 、39、目标函数y x z +=2,变量y x ,满足⎪⎩⎪⎨⎧≥<+≤+-12553034x y x y x ,则有 ( )A 、3,12min max ==z zB 、,12max =z z 无最小值C 、z z ,3min =无最大值D 、z 既无最大值,也无最小值 10、在R 上定义运算).1(:y x y x -=⊗⊗若不等式1)()(<+⊗-a x a x 对任意实数x 成立,则( )A 、11<<-aB 、20<<aC 、2321<<-a D 、2123<<-a 二、填空题:(每小题5分,共25分)11、等比数列{}n a 公比,0>q 已知n n n a a a a 6,1122=+=++,则{}n a 的前4项和=4S ___________ 12、 等比数列{}n a 的前n 项和n S ,又2132S S S +=,则公比=q ___________ 13、若0>x ,0>y 且12=+y x ,则xy 的最大值为___________14、实数x 、y 满足不等式组⎪⎩⎪⎨⎧≥-≥≥001y x y x ,则W=x y 1-的取值范围是_____________15、关于x 的不等式211(1)0(0)x a x a a a a-++++<>的解集为 三、解答题:16、 (本小题满分12分)等比数列{}n a 中,已知16,241==a a , (1)求数列{}n a 的通项公式;(2)若53,a a 分别为等差数列{}n b 的第3项和第5项,试求数列{}n b 的通项公式及前n 项和n S . 17、(本小题满分12分)已知数列{}n a 的前n 项和248n S n n =-(1) 求数列{}n a 的通项公式 ; (2) 求n S 的最大或最小值. 18、(本小题满分12分)已知向量)sin ,2(cos θθn n a n =,),)(sin 2,1(*N n n b n ∈=θ若n n a C =·n n b 2+, (1)求数列{}n C 的通项公式; (2)求数列{}n C 的前n 项和n S .19、(本小题满分12分)在数列{}n a 中,n n n a a a 22,111+==+(1)设12-=n nn a b ,证明:数列{}n b 是等差数列;(2)求数列{}n a 的前n 项和n S . 20、 (本小题满分13分)某房地产开发商投资81万元建一座写字楼,第一年装修费为1万元,以后每年增加2万元,把写字楼出租,每年收入租金30万元. (Ⅰ)若扣除投资和各种装修费,则从第几年开始获取纯利润(Ⅱ)若干年后开发商为了投资其他项目,有两种处理方案:①年平均利润最大时以 46万元出售该楼; ②纯利润总和最大时,以10万元出售该楼,问哪种方案盈利更多21、(本小题满分14分)已知数列{}n a 满足:1112,2--==n n a a a ,Λ,4,3,2=n ,(1) 求证:数列⎭⎬⎫⎩⎨⎧-11n a 为等差数列; (2) 求数列{}n a 的通项公式;(3)令∑=+=ni i i n a a T 11,求证:43+<n T nB A B BC BADCC 二、填空题:(每小题5分,共25分) 11、215 12、21- 13、81 14、 [-1,1) 15、1(1,)a a+ 三、解答题:16、解:(1)设公比为q ,则n n n q a a q q 2,2,216113==∴=∴=------------------------6分 (2)由(1)得,32,853==a a 则12,32,853===d b b2812-=∴n b n n n S n 2262-=-----------------------(12分)17、解:(1)当n=1时,4711-==S a当n2时,4921-=-=-n S S a n n n 故492-=n a n(2)由 248n S n n =-576)24(2--=n , 于是n S 有最小值是-576,此时24=n ;无最大值。