初中数学计算题200道
- 格式:docx
- 大小:86.81 KB
- 文档页数:33
15.1.2.3. 计算题 c l+ ( n +3) o -3 27 + I5x+2 _ 3 x2+x =x+1 錘+丄=1 x-4 4-x4. x2-5x=05. x2-x-1=02 __6.化简3】9x +67.因式分解 x 4-8x2y2+16y 4 2 1 5 8.2x+1 +2x-1 =4x2-19.因式分解( 2x+y ) 2 -(x+2y) 10.因式分解11.因式分解 12.因式分解.3 -2 Ix 4 -2x1-8a2b+2a3+8ab2a 4-16 3ax2-6axy+8ab213.先化简,再带入求值(x+2) x2-2x+1 (x-1)^^ ,x= 314.(-‘3 )o- I -3 I +(-1)2015+(1)-11 1 a2-a(a-1 -a2-1 a2-116. 2(a+1) 2+(a+1)(1 -2a)2x-1x-217. (苻-x+1) ' X2+2X+1 18. (-3-1) X (- 2 )2-2-1 + (- 1 )320. (x+1) 2-(x+2)(x-2) 21. sin60 ° - I 1- 3 I + (扌)-1123. 若 n 为正整数且(m n )2 =9,求(f m 3n )3 (m2)2n 24. 因式分解 a2+ac-ab-bc 25. 因式分解 x2-5x+6 26. 因式分解(x+2)(x+3)+x 2-4 27. 因式分解(a2+1) 2-4a2 28. -12016+18 + (-3) XI -J I129. 先化简,再求值 3(x2+xy-1)-(3x 2-2xy),其中 x=1 , y= -5 30. 计算 3-4+5-(-6)-7131. 计算-12+(-4) 2XI -点 I -82 + (-4) 3 32. 计算 20- (-7) - I -2 I 1 5 1133. 计算(3 - 9 +12 )X (-36)19. 1 2x-13 4x - 222. (-5) 16X (-2)15 (结果以幕的形式表示)34. 计算(-1 )2-4 X [2- (-3) 2]x+3y=6解二元一次方程组 笃"-生严=-乙 ①「5y-x=3 ②解不等式 3 (x-1 )> 2x+22(X -2) 15化简 a(a-1) 2-(a+1)(a2-a+1)a b(a-b +b-a )35.36.37.38.39.40. 41.42. 43.44.解二元一次方程组 x-2y=1 ① 解不等式 3x+1 3 1当m= &2 ,求代数式 1 m+一m (2)-1- C. 2 -1)o +tan45o-cos60o-31 +cos30o tan60°先化简再求值x2-5x+6 3x2-3x (-法)・(1+总),其中x= 3 解二元一次方程组 x+2y=6 3x-2y=2先化简再求值 y2-x 2,其中x=-1 , y=2 解方程x2-3x=0-2-1+ (-3.14)o+3 -8 +cos245° 1计算(一 :3 )2+4 X( - ) -23 先化简,再求值(a+b ) (a-b)+b(b-2),其中 a= 2 ,b=-11 15+2 )0+(-2) 3"3-3tan230° +2 (sin45 ° -1)2计算-22+(3-3.14) o+3sin30 ° 计算(1 ) -1+ (2006- n ) o - 3 tan60°(a - 2) 2+4 (a - 1)-( a+2) (a - 2)45. 46. 47. 48.49. 50.51. 52. 53.54. 55. 56.57. 58. 59.60. 61. 62.6- (2)21计算2-1a化简[赢 +a(b-a)」• abb2] a+b计算 2013- ( n -3.14 )o + 1-3 I + (-1)22i - 1计算: 计算: 计算: 咼二1-〔一卜 丄 i ■ :■;-tan30fl X |i-^| - (5兀+2013) °X ( -1)_2U-计算: 计算:I- 1 "I : ' - : '- >1一-1s'| -4|+ ( -1 ) 2013 x (K -3 )1' " 2V4- C-3) Z +2013°- (j)(—1) 2°13—| — 7|+ [X \:打「丿 + () 51.. :丨.--计算: _!::■: ' 1 ' "1-解方程:: .x ~ 1 x+1计算:*> I ■ II : ■:〕:"求不等式组二二;.的整数解.2 先化简,再求值:(1-—)*——,其中x=^+1. x _1 1 - s I -!解方程: x _ z z _ X(-1) 2013 - |-7|+V9X (V?-兀)°+(4)_12 先化简,再求值:—+「,其中x=2二+1. X 2 -1X 2+2X H葢—163.64.65. 66. 67.68. 69.70. 71. 72.73.74. 75. 76. 77. 78. 79. 80.81.计算: Q) T-(兀-1) °+|-4| - (-1) 2013 -逅•计算: /L 、 2013c,L 、 2012,L 、 2011(1+丘) —2 (1+眉) —4 (1+頁)计算: (( - 2 ) 0+ ( - 0.1 ) 2013 X (10 ) 2013计算: _1 _兀 +(-) .解方程组:-2解方程:「丄—: 21- 4-3s-6 2解方程:计算:(—1 ) 3+ (匚+1) 0+ 7解不等式组: 2 (x- 1) <x+3厂一2x2 _xy _2y2 = 0先化简,再求值:x+1-丄片),其中 x=V^ - 2.X 1X _ 1-5 I +22-( '3 +1) o 2 X ( - 5) + 23 - 3 +182. 83. 84. 85.86.87.88. 89.90. 91. 92. 93.94.95.96. 97. 化简求值: 2m -2m 1, ’ m T 、2(m-1),其中33 - a 2a —4■- (a 25 a -2)a化简1 1 - l x / x2 + (— 1) +3—2 —(―2011)■ a a a2-b2 - a-b 2x 1 x2-4 - x-2 (a+b )2+b 1a-1 (a - _ ) ' a 丿+ a 匚1 ) x 2-1i 1 十一1 X 丿 xf.1I1 +< x -22(a - 1 +一) (a - b ).x 2-4 ,其中 x=- 5-(a 2+1),其中 a=』2 - 1 - 2a 1 a其中a —2-1.x 2- 2x + 1 3 r —2)5-2)0-| -引b. __________________b-a(11 a 12 a)-108.先化简,再求值(Jx -2x x -4x 4厂坛,其中“2107.(a 1)a -1a 2 _1a 2 -2a 1先化简再求值:a_1 a 2 -4a ・2l2-2a ・「a 七,其中a 满足298.化简:(-^Z_ 2 x —1严匸兰,其中x=2,2x -2x x 一4x+4 x +4xa =3-2 2,b =3、2 -3 .整数且—3v a v 2.106.99.化简并求值:?士 — b2,其中100.计算:■ a +1 4 ~2_ ~2<a -a a,2 2a —3-1101.先化简,再求值: 102.先化简再求值:3 2x~6x 弐一—,其中 x =— 6. x -2x 2-xa晋,其中a = 2+」2 .103.先化简,再求值:a — 1a2a 2— O 亡,其中a 为104.先化简,再求值:2x,其中-1,105.先化简,再求值:士 ^2 "2),其中x 冷109.先化简:(丄_a ・1)Q 竺,,并从0, -1, 2中选'a +1个合适的数作为a 的值代入求值。
初中数学计算题(200道)×(-9)-12÷(-4)56÷(-7)-2÷5+×29÷(-4)÷-(-50)÷2[+]×[(-5)-(-7)]÷[+]÷(1/4+1/5)×÷1/2÷(-2)+÷2-(-5)×24*(-3)+70*(-5)+5*(-3)+25 9999*3+101*11*(101-92)(23/4-3/4)*(3*6+2)3/7 × 49/9 - 4/38/9 × 15/36 + 1/2712× 5/6 –2/9 ×38× 5/4 + 1/46÷ 3/8 –3/8 ÷64/7 × 5/9 + 3/7 × 5/95/2 -( 3/2 + 4/5 )7/8 + ( 1/8 + 1/9 )9 × 5/6 + 5/63/4 × 8/9 - 1/37 × 5/49 + 3/146 ×( 1/2 + 2/3 )8 × 4/5 + 8 × 11/531 × 5/6 – 5/69/7 - ( 2/7 – 10/21 )5/9 × 18 –14 × 2/74/5 × 25/16 + 2/3 × 3/4 14 × 8/7 –5/6 × 12/15 17/32 –3/4 × 9/243 × 2/9 + 1/35/7 × 3/25 + 3/73/14 × 2/3 + 1/61/5 × 2/3 + 5/69/22 + 1/11 ÷ 1/25/3 × 11/5 + 4/345 × 2/3 + 1/3 × 157/19 + 12/19 × 5/61/4 + 3/4 ÷ 2/38/7 × 21/16 + 1/2101 × 1/5 –1/5 × 21 50+160÷40120-144÷18+35347+45×2-4160÷5237×(58+37)÷(64-9×5)已做95÷(64-45)178-145÷5×6+42812-700÷(9+31×11)85+14×(14+208÷26)120-36×4÷18+35(58+37)÷(64-9×5)× ÷×(×+)÷÷4= +÷ ×=×()=×()+×(6+÷)×[()×÷÷[×()+]12×6÷()-612×6÷×+×58+370)÷(64-45)420+580-64×21÷28136+6×(65-345÷23)×+(3-÷)×1× ÷×(×+)÷×6+(+)÷×+××()+×(6+÷)×[()×÷÷[×()+]12×6÷()-612×6÷-(-)÷76.(25%-695%-12%)*3677./4*3/5+3/4*2/54+8/9/7/979.+1/6/3/24+2/2180./15*3/581.3/4/9/10-1/682./3+1/2)/5/6-1/3]/1/783./5+3/5/2+3/484.(2-2/3/1/2)]*2/585.++456-52*8%+632588./2+1/3+1/489+456-785%+. 3/7 × 49/9 - 4/3 9 × 15/36 + 1/272× 5/6 –2/9 ×33× 5/4 + 1/494÷ 3/8 –3/8 ÷695/7 × 5/9 + 3/7 × 5/9 6/2 -( 3/2 + 4/5 )8 + ( 1/8 + 1/9 )8 × 5/6 + 5/61/4 × 8/9 - 1/310 × 5/49 + 3/14×( 1/2 + 2/3 )2/9 × 4/5 + 8 × 11/5 × 5/6 – 5/64/7 - ( 2/7 – 10/21 )19 × 18 –14 × 2/75 × 25/16 + 2/3 × 3/4 4 × 8/7 –5/6 × 12/15 7/32 –3/4 × 9/242/3÷1/2-1/4×2/52-6/13÷9/26-2/3 2/9+1/2÷4/5+3/8 10÷5/9+1/6×41/2×2/5+9/10÷9/20 5/9×3/10+2/7÷2/5 1/2+1/4×4/5-1/8 3/4×5/7×4/3-1/2 23-8/9×1/27÷1/27 8×5/6+2/5÷41/2+3/4×5/12×4/5 8/9×3/4-3/8÷3/4 5/8÷5/4+3/23÷9/11 ×+×××××(+)(27)×+××+×××4+++×3-()2×4×46+×54+×××8×28×(+)(4+×)8×7××99+(+)48×+50×××8×+(1010+309+4+681+6)×12 3×9146×782×6×854×7/8+3/7 × 49/9 - 4/38/9 × 15/36 + 1/2712× 5/6 –2/9 ×38× 5/4 + 1/46÷ 3/8 –3/8 ÷64/7 × 5/9 + 3/7 × 5/9 5/2 -( 3/2 + 4/5 )7/8 + ( 1/8 + 1/9 )9. 9 × 5/6 + 5/63/4 × 8/9 - 1/37 × 5/49 + 3/146 ×( 1/2 + 2/3 )8 × 4/5 + 8 × 11/531 × 5/6 – 5/69/7 - ( 2/7 – 10/21 )5/9 × 18 –14 × 2/74/5 × 25/16 + 2/3 × 3/414 × 8/7 –5/6 × 12/1517/32 –3/4 × 9/243 × 2/9 + 1/35/7 × 3/25 + 3/73/14 × 2/3 + 1/61/5 × 2/3 + 5/69/22 + 1/11 ÷ 1/25/3 × 11/5 + 4/345 × 2/3 + 1/3 × 157/19 + 12/19 × 5/61/4 + 3/4 ÷ 2/38/7 × 21/16 + 1/2101 × 1/5 –1/5 × 2150+160÷40 (58+370)÷(64-45)120-144÷18+35347+45×2-4160÷52(58+37)÷(64-9×5)95÷(64-45)178-145÷5×6+42 420+580-64×21÷28812-700÷(9+31×11)(136+64)×(65-345÷23)85+14×(14+208÷26)(284+16)×(512-8208÷18)120-36×4÷18+35(58+37)÷(64-9×5)× ÷×(×+)÷(2)×(+)÷÷4+÷×()×+×()+×(6+÷)×51.[()×÷()+]×6÷()-6 (4)12×6÷102×-(-3)×(-5) ÷2×+×(-2)+2-(-52)×(-1) ×5+87÷(-3)×(-1)××(20-)×〔(-3)×(-5)〕÷2××÷127+352+73+44×(-2)89×276+(-135)-3325×71+75÷29 -88÷(-2) 243+89+111+579405-2940÷28×21920-1680÷40÷7690+47×52-398148+3328÷64-75360×24÷32+7302100-94+48×5451+(2304-2042)×23 4215+(4361-716)÷81 (247+18)×27÷2536-720÷(360÷18)1080÷(63-54)×80(528+912)×5-61788528÷41×38-904264+318-8280÷69(174+209)×26- (9000^0) 814-(278+322)÷151406+735×9÷453168-7828÷38+504796-5040÷(630÷7)285+(3000-372)÷36 1+5/6-19/123x(-9)+7x(-9)(-54)x1/6x(-1/3)1.18.1+(3-÷)×12.3.0.12× ÷××+÷(-2)××(+)÷+6.7.2÷×7.6.5×()×+×8.10.15×9.5.8×()+×10.32.52-(6+÷)×11.[()×÷12.5.4÷[×()+]×6÷()-6×6÷15.33.02-(-)÷(-5)-252×(-78)(-6) ×(-2)+3÷(5+50)7-7+3-6-(-90)(-8)(-3)×(-8)×25(7+13) ÷(-616)÷(-28)(8+14-100-27)÷4(-15) ÷(-1)-101÷1016÷×(-8) ×+(-10) ×(-2) ×4÷{-9÷[6+]}(-18)(-4)2×[×9-32{-890-[79+] ×9}(-20)-23+(-9) ×(-24)×104÷(-5) ×[-|98|+76+(-87)]*23[56+(-75)-(7)]-(8+4+3) 5+21*8/2-6-5968/21-8-11*8+61-2/9-7/9-56(-3/4+1.6-4-3/4)1/2+3+5/6-7/12[23-4-18/1/8....+1000001/1+1/2+1/3+......1/501+1/2+1/4+1/8+1/16+......1/5123+9+27+81+243+ (9999)1+1/2+1/6+1/12+1/20+1/30+1/42+1/56+1/72+1/90 8-2×32-(-2×3)2–12 × (-3)2-(-1/2)2003×(-2)2002÷2/92)÷3/1×[-2-(-3)3]-∣1/8-∣[-38-(-1)7+(-3)8]×-53a^3-2b^3+ab(2a-b)-√a-b^215*(-8)+2b^2+(x^2+y^2)^2-4y(x^2+y^2)+4y^26-3a^8-(-5^2-6)(x^2+2x)^2+3(x^2+2x)+x^2+2x+3(a+1)(a+2)+(2a+1)(a-2)-12x^2(y+z)^2-2xy(x-z)(y+z)+y^2(x-z)^23(a+2)^2+28(a+2)-20(a+b)^2-(b-c)^2+a^2-c^28x(x+1)(x^2+x-1)-2x^2(x-1)^2-3(x^2-x)-5614a(a-b)+(a-b)^2(a-b)^+a(b-a)^2(x+2)-2x=5-4x(x+2a)-a=2(b-2x)+4a* (2)972**1/4[-|98|+76+(-87)]*23[56+(-75)-(7)]-(8+4+3)5+21*8/2-√121-5968/21-8-11*8+61-2/9-7/9-56(-3/4+1.6-4-3/4)1/2+3+5/6-7/12[23-4-18/1/821-8-116-4-34) 1/2+3+5/6-7/12[23-4-18/1/821-8-116-4-34) 1/2+3+5/6-7/12[23-4-18/1/8(+1-2*2*2*2-5^2+(6^2-5^2)-(-12++-1+8-7+5^7-(-5+√9)125*3+125*5+25*3+259999*3+101*11*(101-92) (23/4-3/4)*(3*6+2)3/7 × 49/9 - 4/38/9 × 15/36 + 1/2712x*5/6y–2/9y*|3x-2y|8×5/4+1/4*|-7-8|6÷ 3/8 –3/8 ÷64/7 × 5/9 + 3/7 × 5/95/2 -( 3/2 + 4/5 )7/8 + ( 1/8 + 1/9 )9 × 5/6 + 5/63/4 × 8/9 - 1/37 × 5/49 + 3/146 ×( 1/2 + 2/3 )8 × 4/5 + 8 × 11/531 × 5/6 – 5/69/7 - ( 2/7 – 10/21 )5/9 × 18 –14 × 2/74/5 × 25/16 + 2/3 × 3/4 14 × 8/7 –5/6 × 12/15 17/32 –3/4 × 9/243^45 × 2/9 + 1/35/7 × 3/25 + 3/73/14 ×2/3 + 1/61/5 × 2/3 + 5/65/3 × 11/5 + 4/39/22+1/11÷1/2-√16945^8 × 2/3 + 1/3 × 157/19 + 12/19 × 5/61/4 + 3/4 ÷ 2/38/7 × 21/16 + 1/2101^4×(-1/5–1/5×21)50+√160÷40^5120-144÷18+35347+45×2-4160÷5237^2(58+37)÷(64-9×5)95÷(64-45)178-145÷5×6+42812-700÷(9+31×11)85+14×(14+208÷26)120-36×4÷18+35(58+37)÷(64-9×5)× ÷×(×+)÷÷4= +÷ ×=×()=×()+×(6+÷)×[()×÷÷[×()+]12×6÷()-612×6÷×+×58+370)÷(64-45)420+580-64×21÷28136+6×(65-345÷23)×+(3-÷)×1× ÷×(×+)÷×6+(+)÷×+××()+×(6+÷)×[()×÷÷[×()+]12×6÷()-612×6÷-(-)÷76.(25%-695%-12%)*36 7/4*3/5+3/4*2/51-1/4+8/9/7/97+1/6/3/24+2/218/15*3/53/4/9/10-1/68/3+1/2)/5/6-1/3]/1/7 9/5+3/5/2+3/48^6(2-2/3/1/2)]*2/58+3+456-52*8%+63258/2+1/3+1/489+456-785%+. 3/7 × 49/9 - 4/3 9 × 15/36 + 1/272× 5/6 –2/9 ×33× 5/4 + 1/494÷ 3/8 –3/8 ÷695/7 × 5/9 + 3/7 × 5/9 6/2 -( 3/2 + 4/5 )8 + ( 1/8 + 1/9 )8 × 5/6 + 5/61/4 × 8/9 - 1/310× 5/49 + 3/14×( 1/2 + 2/3 )2/9 × 4/5 + 8 × 11/5 × 5/6 – 5/64/7 - ( 2/7 – 10/21 )19 × 18 –14 × 2/75 × 25/16 + 2/3 × 3/4 4 × 8/7 –5/6 × 12/15 7/32 –3/4 × 9/242/3÷1/2-1/4×2/52-6/13÷9/26-2/3 2/9+1/2÷4/5+3/8 10÷5/9+1/6×41/2×2/5+9/10÷9/20 5/9×3/10+2/7÷2/5 1/2+1/4×4/5-1/8 3/4×5/7×4/3-1/2 23-8/9×1/27÷1/27 18×5/6+2/5÷411/2+3/4×5/12×4/5 8/9×3/4-3/8÷3/4 5/8÷5/4+3/23÷9/11 ×+×××××(+)×+××+×××4+++×3-()2×4×46+×54+×××8×28×(+)(4+×)8×7××99+(+)48×+50×××8×+(1010+309+4+681+6)×12 3×9146×782×6×854×7/8+3/7 × 49/9 - 4/38/9 × 15/36 + 1/2712× 5/6 –2/9 ×38× 5/4 + 1/46÷ 3/8 –3/8 ÷64/7 × 5/9 + 3/7 × 5/9 5/2 -( 3/2 + 4/5 )7/8 + ( 1/8 + 1/9 )9 × 5/6 + 5/63/4 × 8/9 - 1/37 × 5/49 + 3/146 ×( 1/2 + 2/3 )8 × 4/5 + 8 × 11/531 × 5/6 – 5/69/7 - ( 2/7 – 10/21 )5/9 × 18 –14 × 2/74/5 × 25/16 + 2/3 × 3/414 × 8/7 –5/6 × 12/1517/32 –3/4 × 9/243 × 2/9 + 1/35/7 × 3/25 + 3/73/14 × 2/3 + 1/61/5 × 2/3 + 5/69/22 + 1/11 ÷ 1/25/3 × 11/5 + 4/345 × 2/3 + 1/3 × 157/19 + 12/19 × 5/61/4 + 3/4 ÷ 2/38/7 × 21/16 + 1/2101 × 1/5 –1/5 × 2150+160÷40 (58+370)÷(64-45)120-144÷18+35347+45×2-4160÷52(58+37)÷(64-9×5)95÷(64-45)178-145÷5×6+42 420+580-64×21÷28812-700÷(9+31×11)(136+64)×(65-345÷23)85+14×(14+208÷26)(284+16)×(512-8208÷18)120-36×4÷18+35(58+37)÷(64-9×5)× ÷×(×+)÷×(+)÷÷4= +÷ ×=×()= ×+××()+×(6+÷)×[()×÷÷[×()+]12×6÷()-6 (4)12×6÷102^2×+8^5-√529×+××8×(20-)127+352+73+4489+276+135+3325+71+75+29 +88243+89+111+579405-2940÷28×21920-1680÷40÷7690+47×52-398148+3328÷64-75360×24÷32+7302100-94+48×5451+(2304-2042)×23 4215+(4361-716)÷81 (247+18)×27÷2536-720÷(360÷18)1080÷(63-54)×80 (528+912)×5-6178 8528÷41×38-904264+318-8280÷69(174+209)×26- 9000 814-(278+322)÷15 1406+735×9÷453168-7828÷38+504796-5040÷(630÷7)285+(3000-372)÷36 1+5/6-19/123x(-9)+7x(-9 (-54)x1/6x(-1/3) +(3-÷)×1× ÷×(×+)÷×(+)÷+÷××()×+×××()+×(6+÷)×[()×÷÷[×()+]12×6÷()-612×6÷-(-)÷二.解方程2x=7(x-5)8(3x+3)=240+=+x)÷=115x-30=16(x-2)(-3)^3-3^3(-1)^2^2+3^3-4^4(2^4-3^2)^3-5^5[^2-2^3)]^2×2)^2-15^2(-15)^x=225,x=?[(-4)^2-4^2]×2^2[^2+3]^2[^2+^2]×(-1)^23x+28-x=56+6=2+=+=1918(x-35)=-36x+7-(-36+8^2)/2=8+7^4/3 a-7-98+7a=*5a89/2+35/6x=3*9+2^3/5+7x 3X+189/3=521/24Y+119*^3=22/113X*189=5*4^5/38Z/6=458/53X+77=594Y-6985=8187X*13=57Z/93=4115X+863-65X=5458Y*55=274897(2x-1)-3(4x-1)=4(3x+2)-1(5y+1)+ (1-y)= (9y+1)+ (1-3y) [-6(-7^4*8)-4]=x+220%+(1-20%)(320-x)=320×40%2(x-2)+2=x+12(x-2)-3(4x-1)=9(1-x)11x+64-2x=100-9x15-(8-5x)=7x+(4-3x)3(x-7)-2[9-4(2-x)]=223/2[2/3(1/4x-1)-2]-x=22x+7^2=1571)判断题:判断下列方程是否是一元一次方程:①-3x-6x2=7( )③5x+1-2x=3x-2 ( )④3y-4=2y+1. ( )判断下列方程的解法是否正确:①解方程3y-4=y+3解:3y-y=3+4,2y=7,y=②解方程:=+2解:+=2-3;=-1,x=-2③解方程解:5x+15-2x-2=10,3x=-3,x=-1;④解方程解:2x-4+5-5x=-1,-3x=-2,x= .( )2)填空题:(1)若2(3-a)x-4=5是关于x的一元一次方程,则a≠_(2)关于x的方程ax=3的解是自然数,则整数a的值为_(3)方程5x-2(x-1)=17 的解是_(4)x=2是方程2x-3=m- 的解,则m=_ .(5)若-2x2-5m+1=0 是关于x的一元一次方程,则m=_ .(6)当y=_ 时,代数式5y+6与3y-2互为相反数.(7)当m=_ 时,方程的解为0.(8)已知a≠0.则关于x的方程3ab-(a+b)x=(a-b)x的解为______ .3)选择题:(1)方程ax=b的解是().A.有一个解x= B.有无数个解C.没有解 D.当a≠0时,x=(2)解方程 ( x-1)=3,下列变形中,较简捷的是()A.方程两边都乘以4,得3( x-1)=12B.去括号,得x- =3C.两边同除以,得 x-1=4D.整理,得(3)方程2- 去分母得()(2x-4)=-(x-7) (2x-4)=-x-7(2x-4)=-(x-7) D.以上答案均不对(4)若代数式比大1,则x的值是().A.13 B. C.8 D.(5)x=是方程()的解.+2=2x-(-2-9)B.2{3[4(5x-1)-8]-2}=8+9 =6x+64)解答下列各题:(1)x等于什么数时,代数式的值相等?(2)y等于什么数时,代数式的值比代数式的值少3?(3)当m等于什么数时,代数式2m- 的值与代数式的值的和等于5?(4)解下列关于x的方程:①ax+b=bx+a;(a≠b);三.化简、化简求值化间求值:1、-9(x-2)-y(x-5)(1)化简整个式子。
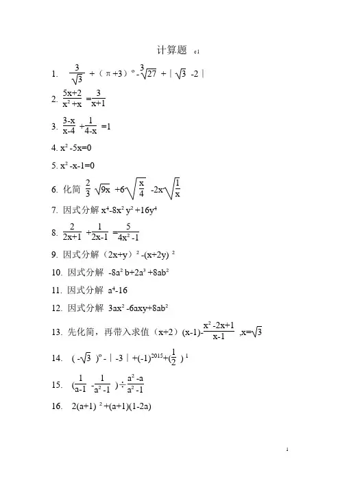
计算题 c l1.33+(π+3)º-327 +∣ 3 -2∣2. 5x+2x²+x=3x+13. 3-xx-4+14-x=14. x²-5x=05. x²-x-1=06. 化简239x +6x4-2x1x7. 因式分解x4-8x²y²+16y48.22x+1+12x-1=54x²-19. 因式分解(2x+y)²-(x+2y)²10. 因式分解-8a²b+2a³+8ab²11. 因式分解a4-1612. 因式分解3ax²-6axy+8ab²13. 先化简,再带入求值(x+2)(x-1)-x²-2x+1x-1,x= 314. ( - 3 )º-∣-3∣+(-1)2015+(1 2)-115. (1a-1-1a²-1)÷a²-aa²-116. 2(a+1)²+(a+1)(1-2a)17. (2x-1x+1-x+1)÷x-2x²+2x+118. (-3-1)×(- 32)²-2-1÷(-12)³19.12x-1=243-21x20. (x+1)²-(x+2)(x-2)21. sin60°-∣1- 3 ∣+(12)-122.(-5)16×(-2)15 (结果以幂的形式表示)23. 若n为正整数且(m n)²=9,求(13m3n)³(m²)2n24. 因式分解a²+ac-ab-bc25. 因式分解x²-5x+626. 因式分解(x+2)(x+3)+x²-427. 因式分解(a²+1)²-4a²28. -12016+18÷(-3)×∣-12∣29. 先化简,再求值3(x²+xy-1)-(3x²-2xy),其中x=1,y= - 1 530. 计算3-4+5-(-6)-731. 计算-1²+(-4)²×∣-18∣-8²÷(-4)³32.计算20-(-7)-∣-2∣33.计算(13-59+1112)×(-36)34.计算(-1)²- 14×[2- (-3)²]35. 解二元一次方程组x-2y=1 ①x+3y=6 ②36. 解二元一次方程组2(x-y)3-x+y4= -112①5y-x=3 ②37. 解二元一次方程组x+2y=6 ①3x-2y=2 ②38. 解不等式3(x-1)>2x+239. 解不等式3x+13-7x-35≤2+2(x-2)1540. 化简a(a-1)²-(a+1)(a²-a+1)41. (aa-b+bb-a)÷1a+b42. 当m=15-2,求代数式m+1m43. (12)-1 - ( 2 -1)º+∣-3∣+tan45º-cos60ºcos30º·tan60°44. 先化简再求值x²-5x+63x²-3x·(1-3x+1)·(1+2x-3),其中x= 345. 先化简再求值x-yy²-x²,其中x=-1,y=246. 解方程x²-3x=047. 6-(-2)²·2-1+(-3.14)º+3-8 +cos²45°48. 计算( 3 )²+4×(- 12)-2³49. 先化简,再求值(a+b)(a-b)+b(b-2),其中a= 2 ,b=-150. 计算 4 -(15+2)º+(-2)³÷3-151. 计算12-1- 3tan²30°+2(sin45°-1)²52. 化简[aa-b+b²a(b-a)]÷a+bab53. 计算- 2²+(3-3.14)º+3sin30°54. 计算(13)-1+(2006-π)º- 3 tan60°55. 计算2013-(π-3.14)º+∣-3∣+(-1)56.57.计算:﹣.58. 计算:.59. 计算:.60.计算:.61. 计算:.62. (a﹣2)2+4(a﹣1)﹣(a+2)(a﹣2)63. (﹣1)2013﹣|﹣7|+×+()﹣1;64. .65. 计算:.66. 解方程:.67. 计算:.68. 解方程:=﹣.69. 求不等式组的整数解.70. 先化简,再求值:(﹣)÷,其中x=+1.71. 解方程:72.73. 先化简,再求值:÷+,其中x=2+1.74. 解方程:.75. 计算:.76. 计算:(1+)2013﹣2(1+)2012﹣4(1+)2011.77. 计算:.78.0111()2π--+ .79. 解方程组: 22220x y x xy y -=-⎧⎨--=⎩.80. 计算:(﹣1)3+(+1)0+. 81. 解不等式组:.82. 先化简,再求值:÷(x+1﹣),其中x=﹣2.83. ∣-5∣+2²-( 3 +1)º84. 2×(-5)+23-3÷1285. 22+(-1)4+(5-2)0-|-3| 86.()()0332011422---+÷-87. a a²-b² -a a-b ÷b b-a88. 2x x ²-4- 1x-289. (a+b )2+b (a ﹣b ). 90. (a - 1a )÷a-1a91. 2111x x x -⎛⎫+÷ ⎪⎝⎭92.⎝ ⎛⎭⎪⎪⎫1+ 1 x -2÷ x 2-2x +1 x 2-4,其中x =-5.93. (a ﹣1+)÷(a 2+1),其中a=﹣1.94. 2121(1)1a a a a++-⋅+,其中a -1.95.)252(423--+÷--a a a a , 1-=a 96. 化简求值: 111(11222+---÷-+-m m m m m m ),其中m =3.97. 化简2111x x x -⎛⎫+÷ ⎪⎝⎭98.化简:xx x x x x x x x 416)44122(2222+-÷+----+, 其中22+=x 99. 化简并求值:221122a b a b a a b a -⎛⎫--+ ⎪-⎝⎭,其中33a b =-=-.100.计算:332141222+-+÷⎪⎭⎫ ⎝⎛---+a a a a a a a .101. 先化简,再求值:13x -·32269122x x x x x x x-+----,其中x =-6.102.先化简再求值:⎝ ⎛⎭⎪⎪⎫1-1a -1÷a 2-4a +4a 2-a ,其中a =2+ 2 .103. 先化简,再求值:a -1a +2·a 2+2a a 2-2a +1÷1a 2-1,其中a 为整数且-3<a <2.104. 先化简,再求值:222211yxy x x y x y x ++÷⎪⎪⎭⎫⎝⎛++-,其中1=x ,2-=y .105. 先化简,再求值:2222(2)42x x x x x x -÷++-+,其中12x =. 106.先化简,再求值222112()2442x x x x x x-÷--+-,其中2x =107. 22221(1)121a a a a a a +-÷+---+. 108.先化简再求值:1112421222-÷+--∙+-a a a a a a ,其中a 满足20a a -=.109. 先化简:144)113(2++-÷+-+a a a a a ,并从0,1-,2中选一个合适的数作为a 的值代入求值。
初中数学计算题(200道)(-1.5)×(-9)-12÷(-4)56÷(-7)-2÷5+0.43.57×29÷(-4)5.6÷(-2.8)-(-50)÷2[9.6+(-7.3)]×[(-5)-(-7)]12.3÷[5.6+(-1.2)](-75.6)÷(1/4+1/5)9.5×(-9.5)÷1/295.77÷(-2)+(-34.6)(-51.88)÷2-(-5)×241.25*(-3)+70*(-5)+5*(-3)+25 9999*3+101*11*(101-92)(23/4-3/4)*(3*6+2)3/7 × 49/9 - 4/38/9 × 15/36 + 1/2712× 5/6 – 2/9 ×38× 5/4 + 1/46÷ 3/8 – 3/8 ÷64/7 × 5/9 + 3/7 × 5/95/2 -( 3/2 + 4/5 )7/8 + ( 1/8 + 1/9 )9 × 5/6 + 5/63/4 × 8/9 - 1/37 × 5/49 + 3/146 ×( 1/2 + 2/3 )8 × 4/5 + 8 × 11/531 × 5/6 – 5/69/7 - ( 2/7 – 10/21 )5/9 × 18 – 14 × 2/74/5 × 25/16 + 2/3 × 3/4 14 × 8/7 – 5/6 × 12/15 17/32 – 3/4 × 9/243 × 2/9 + 1/35/7 × 3/25 + 3/73/14 × 2/3 + 1/61/5 × 2/3 + 5/69/22 + 1/11 ÷ 1/25/3 × 11/5 + 4/345 × 2/3 + 1/3 × 157/19 + 12/19 × 5/61/4 + 3/4 ÷ 2/38/7 × 21/16 + 1/2101 × 1/5 – 1/5 × 21 50+160÷40120-144÷18+35347+45×2-4160÷5237×(58+37)÷(64-9×5)95÷(64-45)178-145÷5×6+42812-700÷(9+31×11)85+14×(14+208÷26)120-36×4÷18+35(58+37)÷(64-9×5)(6.8-6.8×0.55)÷8.50.12× 4.8÷0.12×4.8(3.2×1.5+2.5)÷1.66-1.6÷4= 5.38+7.85-5.37=7.2÷0.8-1.2×5= 6-1.19×3-0.43= 6.5×(4.8-1.2×4)=5.8×(3.87-0.13)+4.2×3.74 32.52-(6+9.728÷3.2)×2.5 [(7.1-5.6)×0.9-1.15] ÷2.5 5.4÷[2.6×(3.7-2.9)+0.62]12×6÷(12-7.2)-612×6÷7.2-60.68×1.9+0.32×1.958+370)÷(64-45)420+580-64×21÷28136+6×(65-345÷23)15-10.75×0.4-5.718.1+(3-0.299÷0.23)×1 (6.8-6.8×0.55)÷8.50.12× 4.8÷0.12×4.8(3.2×1.5+2.5)÷1.63.2×6+(1.5+2.5)÷1.60.68×1.9+0.32×1.910.15-10.75×0.4-5.75.8×(3.87-0.13)+4.2×3.74 32.52-(6+9.728÷3.2)×2.5 [(7.1-5.6)×0.9-1.15] ÷2.5 5.4÷[2.6×(3.7-2.9)+0.62] 12×6÷(12-7.2)-612×6÷7.2-633.02-(148.4-90.85)÷2.576.(25%-695%-12%)*3677./4*3/5+3/4*2/578.1-1/4+8/9/7/979.+1/6/3/24+2/2180./15*3/581.3/4/9/10-1/682./3+1/2)/5/6-1/3]/1/783./5+3/5/2+3/484.(2-2/3/1/2)]*2/585.+5268.32-256986.3+456-52*887.5%+632588./2+1/3+1/489+456-785%+. 3/7 × 49/9 - 4/3 9 × 15/36 + 1/272× 5/6 – 2/9 ×33× 5/4 + 1/494÷ 3/8 – 3/8 ÷695/7 × 5/9 + 3/7 × 5/9 6/2 -( 3/2 + 4/5 )8 + ( 1/8 + 1/9 )8 × 5/6 + 5/61/4 × 8/9 - 1/310 × 5/49 + 3/141.5 ×( 1/2 + 2/3 )2/9 × 4/5 + 8 × 11/5 3.1 × 5/6 – 5/64/7 - ( 2/7 – 10/21 )19 × 18 – 14 × 2/75 × 25/16 + 2/3 × 3/4 4 × 8/7 – 5/6 × 12/15 7/32 – 3/4 × 9/242/3÷1/2-1/4×2/52-6/13÷9/26-2/32/9+1/2÷4/5+3/810÷5/9+1/6×41/2×2/5+9/10÷9/205/9×3/10+2/7÷2/51/2+1/4×4/5-1/83/4×5/7×4/3-1/223-8/9×1/27÷1/278×5/6+2/5÷41/2+3/4×5/12×4/58/9×3/4-3/8÷3/45/8÷5/4+3/23÷9/111.2×2.5+0.8×2.58.9×1.25-0.9×1.2512.5×7.4×0.89.9×6.4-(2.5+0.24)(27) 6.5×9.5+6.5×0.5 0.35×1.6+0.35×3.40.25×8.6×46.72-3.28-1.720.45+6.37+4.555.4+6.9×3-(25-2.5)2×41846-620-3804.8×46+4.8×540.8+0.8×2.51.25×3.6×8×2.5-12.5×2.4 28×12.5-12.5×2023.65-(3.07+3.65)(4+0.4×0.25)8×7×1.25 1.65×99+1.6527.85-(7.85+3.4)48×1.25+50×1.25×0.2×8 7.8×9.9+0.78(1010+309+4+681+6)×123×9146×782×6×8545.15×7/8+6.1-0.606253/7 × 49/9 - 4/38/9 × 15/36 + 1/2712× 5/6 – 2/9 ×38× 5/4 + 1/46÷ 3/8 – 3/8 ÷64/7 × 5/9 + 3/7 × 5/95/2 -( 3/2 + 4/5 )7/8 + ( 1/8 + 1/9 )9. 9 × 5/6 + 5/63/4 × 8/9 - 1/37 × 5/49 + 3/146 ×( 1/2 + 2/3 )8 × 4/5 + 8 × 11/531 × 5/6 – 5/69/7 - ( 2/7 – 10/21 )5/9 × 18 – 14 × 2/74/5 × 25/16 + 2/3 × 3/414 × 8/7 – 5/6 × 12/1517/32 – 3/4 × 9/243 × 2/9 + 1/35/7 × 3/25 + 3/73/14 × 2/3 + 1/61/5 × 2/3 + 5/69/22 + 1/11 ÷ 1/25/3 × 11/5 + 4/345 × 2/3 + 1/3 × 157/19 + 12/19 × 5/61/4 + 3/4 ÷ 2/38/7 × 21/16 + 1/2101 × 1/5 – 1/5 × 2150+160÷40 (58+370)÷(64-45)120-144÷18+35347+45×2-4160÷52(58+37)÷(64-9×5)95÷(64-45)178-145÷5×6+42 420+580-64×21÷28812-700÷(9+31×11)(136+64)×(65-345÷23)85+14×(14+208÷26)(284+16)×(512-8208÷18)120-36×4÷18+35(58+37)÷(64-9×5)(6.8-6.8×0.55)÷8.50.12× 4.8÷0.12×4.8(3.2×1.5+2.5)÷1.6 (2)3.2×(1.5+2.5)÷1.6 6-1.6÷45.38+7.85-5.377.2÷0.8-1.2×56-1.19×3-0.4347.6.5×(4.8-1.2×4)0.68×1.9+0.32×1.948.10.15-10.75×0.4-5.749.5.8×(3.87-0.13)+4.2×3.7450.32.52-(6+9.728÷3.2)×2.551.[(7.1-5.6)×0.9-1.15] ÷2.552.5.4÷[2.6×(3.7-2.9)+0.62]53.12×6÷(12-7.2)-6 (4)12×6÷7.2-6102×(-4.5)-(-3)×(-5) ÷27.8×6.9+2.2×6.9(-2)+2-(-52)×(-1) ×5+87÷(-3)×(-1)5.6×0.258×(20-1.25)(-7.1) ×〔(-3)×(-5)〕÷2-2.5×(-4.8)×(0.09)÷(-0.27) 127+352+73+44×(-2)89×276+(-135)-3325×71+75÷29 -88÷(-2)243+89+111+579405-2940÷28×21920-1680÷40÷7690+47×52-398148+3328÷64-75360×24÷32+7302100-94+48×5451+(2304-2042)×234215+(4361-716)÷81(247+18)×27÷2536-720÷(360÷18)1080÷(63-54)×80(528+912)×5-61788528÷41×38-904264+318-8280÷69(174+209)×26- (9000^0)814-(278+322)÷151406+735×9÷453168-7828÷38+504796-5040÷(630÷7)285+(3000-372)÷361+5/6-19/123x(-9)+7x(-9)(-54)x1/6x(-1/3)1.18.1+(3-0.299÷0.23)×12.(6.8-6.8×0.55)÷8.53.0.12×4.8÷0.12×4.843.2×1.5+2.5÷(-1.6)(-2)×3.2×(1.5+2.5)÷1.6 5.6-1.6÷4+(6.8-9)5.38+7.85-5.37÷896.7.2÷0.8-1.2×56-1.19×3-0.437.6.5×(4.8-1.2×4)0.68×1.9+0.32×1.98.10.15-10.75×0.4-5.79.5.8×(3.87-0.13)(-8.01)+4.2×3.7410.32.52-(6+9.728÷3.2)×2.511.[(7.1-5.6)×0.9-1.15] ÷2.512.5.4÷[2.6×(3.7-2.9)+0.62]13.12×6÷(12-7.2)-614.12×6÷7.2-615.33.02-(148.4-90.85)÷2.5(-5)-252×(-78)(-6) ×(-2)+3÷(5+50)7-7+3-6-(-90)(-8)(-3)×(-8)×25(7+13) ÷(-616)÷(-28)(8+14-100-27)÷4(-15) ÷(-1)-101÷1016÷0.21×(-8) ×(4.1+5.9)(-10) ×(-2) ×4÷{-9÷[6+(-5.67)]}(-18)(-4)2×[8.01×(-3.14)9-32{-890-[79+8.1] ×9}(-20)-23+(-9) ×9.42(-24)3.4×104÷(-5) ×200.96[-|98|+76+(-87)]*23[56+(-75)-(7)]-(8+4+3) 5+21*8/2-6-5968/21-8-11*8+61-2/9-7/9-564.6-(-3/4+1.6-4-3/4)1/2+3+5/6-7/12[2/3-4-1/4*(-0.4)]/1/3+222+(-4)+(-2)+4*3-2*8-8*1/2+8/1/8(2/3+1/2)/(-1/12)*(-12)(-28)/(-6+4)+(-1) +√92/(-2)+0/7-(-8)*(-2)(1/4-5/6+1/3+2/3)/1/218-6/(-3)*(-2) ×2^7(5+3/8*8/30/(-2)- √36(-84)/2*(-3)/(-6)1/2*(-4/15)/2/31+2+3+4+......+1000001/1+1/2+1/3+......1/501+1/2+1/4+1/8+1/16+......1/5123+9+27+81+243+ (9999)1+1/2+1/6+1/12+1/20+1/30+1/42+1/56+1/72+1/90 8-2×32-(-2×3)2–12 × (-3)2-(-1/2)2003×(-2)2002÷2/9 (0.5-3/2)÷3/1×[-2-(-3)3]-∣1/8-0.52∣[-38-(-1)7+(-3)8]×-53a^3-2b^3+ab(2a-b)-√a-b^215*(-8)+2b^2+(x^2+y^2)^2-4y(x^2+y^2)+4y^26-3a^8-(-5^2-6)(x^2+2x)^2+3(x^2+2x)+x^2+2x+3(a+1)(a+2)+(2a+1)(a-2)-12x^2(y+z)^2-2xy(x-z)(y+z)+y^2(x-z)^23(a+2)^2+28(a+2)-20(a+b)^2-(b-c)^2+a^2-c^28x(x+1)(x^2+x-1)-2x^2(x-1)^2-3(x^2-x)-5614a(a-b)+(a-b)^211.-ab(a-b)^+a(b-a)^212.3(x+2)-2x=5-4x13.5(x+2a)-a=2(b-2x)+4a3.14*3.42 (2)972*3.14*1/4[-|98|+76+(-87)]*23[56+(-75)-(7)]-(8+4+3) 5+21*8/2-√121-5968/21-8-11*8+61-2/9-7/9-564.6-(-3/4+1.6-4-3/4)1/2+3+5/6-7/12[2/3-4-1/4*(-0.4)]/1/3+222+(-4)+(-2)+4*3-2*8-8*1/2+8/1/8(2/3+1/2)/(-1/12)*(-12)(-28)/(-6+4)+(-1)2/(-2)+0/7-(-8)*(|-2|-5^4)(1/3+2/3)/1/2-|-9+(-5)|18-6/(-3)*(-2)-|-9|(5+3/8*8/30/(-2)-3(-84)/2*(-3)/(-6)1/2*(-4/15)/2/3|-3x+2y-5x-7y|-|-9x+2y| -5+21*8/2-6-5968/21-8-11*8+61-2/9-7/9-564.6-(-3/4+1.6-4-3/4)1/2+3+5/6-7/12[2/3-4-1/4*(-0.4)]/1/3+2 22+(-4)+(-2)+4*3-√64-5^2 -2*8-8*1/2+8/1/8(2/3+1/2)/(-1/12)*(-12) (-28)/(-6+4)+(-1)2/(-2)+0/7-(-8)*(-2)(1/4-5/6+1/3+2/3)/1/218-6/(-3)*(-2)(5+3/8*8/30/(-2)-3(-84)/2*(-3)/(-6)1/2*(-4/15)/2/3+√9-3x+2y-5x-7y+-5+21*8/2-6-5968/21-8-11*8+61-2/9-7/9-564.6-(-3/4+1.6-4-3/4)1/2+3+5/6-7/12[2/3-4-1/4*(-0.4)]/1/3+222+(-4)+(-2)+4*3-2*8-8*1/2+8/1/8(2/3+1/2)/(-1/12)*(-12) (-28)/(-6+4)+(-1)2/(-2)+0/7-(-8)*(-2)(1/4-5/6+1/3+2/3)/1/218-6/(-3)*(-2)(5+3/8*8/30/(-2)-3(-84)/2*(-3)/(-6)1/2*(-4/15)/2/3-3x+2y-5x-7y-(-3^2+5^7)-1+2-3+4-5+6-7+√9-50-28+(-24)-(-22)-19.8-(-20.3)-(+20.2)-10.8;0.25- +(-1 )-(+3 ).-1-23.33-(+76.76)1-2*2*2*2-5^2+(6^2-5^2) (-6-24.3)-(-12+9.1)+(0-2.1) -1+8-7+5^7-(-5+√9)125*3+125*5+25*3+259999*3+101*11*(101-92)(23/4-3/4)*(3*6+2)3/7 × 49/9 - 4/38/9 × 15/36 + 1/2712x*5/6y–2/9y*|3x-2y|8×5/4+1/4*|-7-8|6÷ 3/8 – 3/8 ÷64/7 × 5/9 + 3/7 × 5/9 5/2 -( 3/2 + 4/5 )7/8 + ( 1/8 + 1/9 )9 × 5/6 + 5/63/4 × 8/9 - 1/37 × 5/49 + 3/146 ×( 1/2 + 2/3 )8 × 4/5 + 8 × 11/531 × 5/6 – 5/69/7 - ( 2/7 – 10/21 )5/9 × 18 – 14 × 2/74/5 × 25/16 + 2/3 × 3/4 14 × 8/7 – 5/6 × 12/15 17/32 – 3/4 × 9/243^45 × 2/9 + 1/35/7 × 3/25 + 3/73/14 ×2/3 + 1/61/5 × 2/3 + 5/65/3 × 11/5 + 4/39/22+1/11÷1/2-√16945^8 × 2/3 + 1/3 × 157/19 + 12/19 × 5/61/4 + 3/4 ÷ 2/38/7 × 21/16 + 1/2101^4×(-1/5–1/5×21)50+√160÷40^5120-144÷18+35347+45×2-4160÷5237^2(58+37)÷(64-9×5)95÷(64-45)178-145÷5×6+42812-700÷(9+31×11)85+14×(14+208÷26)120-36×4÷18+35(58+37)÷(64-9×5)(6.8-6.8×0.55)÷8.50.12× 4.8÷0.12×4.8(3.2×1.5+2.5)÷1.66-1.6÷4= 5.38+7.85-5.37=7.2÷0.8-1.2×5= 6-1.19×3-0.43= 6.5×(4.8-1.2×4)=5.8×(3.87-0.13)+4.2×3.74 32.52-(6+9.728÷3.2)×2.5[(7.1-5.6)×0.9-1.15] ÷2.5 5.4÷[2.6×(3.7-2.9)+0.62] 12×6÷(12-7.2)-612×6÷7.2-60.68×1.9+0.32×1.958+370)÷(64-45)420+580-64×21÷28136+6×(65-345÷23)15-10.75×0.4-5.718.1+(3-0.299÷0.23)×1 (6.8-6.8×0.55)÷8.50.12× 4.8÷0.12×4.8(3.2×1.5+2.5)÷1.63.2×6+(1.5+2.5)÷1.60.68×1.9+0.32×1.910.15-10.75×0.4-5.75.8×(3.87-0.13)+4.2×3.74 32.52-(6+9.728÷3.2)×2.5 [(7.1-5.6)×0.9-1.15] ÷2.5 5.4÷[2.6×(3.7-2.9)+0.62] 12×6÷(12-7.2)-612×6÷7.2-633.02-(148.4-90.85)÷2.5 76.(25%-695%-12%)*367/4*3/5+3/4*2/51-1/4+8/9/7/97+1/6/3/24+2/218/15*3/53/4/9/10-1/68/3+1/2)/5/6-1/3]/1/79/5+3/5/2+3/48^6(2-2/3/1/2)]*2/58+5268.32-25693+456-52*887.5%+63258/2+1/3+1/489+456-785%+. 3/7 × 49/9 - 4/3 9 × 15/36 + 1/272× 5/6 – 2/9 ×33× 5/4 + 1/494÷ 3/8 – 3/8 ÷695/7 × 5/9 + 3/7 × 5/9 6/2 -( 3/2 + 4/5 )8 + ( 1/8 + 1/9 )8 × 5/6 + 5/61/4 × 8/9 - 1/310× 5/49 + 3/142/9 × 4/5 + 8 × 11/5 3.1 × 5/6 – 5/64/7 - ( 2/7 – 10/21 )19 × 18 – 14 × 2/75 × 25/16 + 2/3 × 3/4 4 × 8/7 – 5/6 × 12/15 7/32 – 3/4 × 9/242/3÷1/2-1/4×2/52-6/13÷9/26-2/32/9+1/2÷4/5+3/810÷5/9+1/6×41/2×2/5+9/10÷9/205/9×3/10+2/7÷2/51/2+1/4×4/5-1/83/4×5/7×4/3-1/223-8/9×1/27÷1/2718×5/6+2/5÷411/2+3/4×5/12×4/58/9×3/4-3/8÷3/45/8÷5/4+3/23÷9/111.2×2.5+0.8×2.58.9×1.25-0.9×1.2512.5×7.4×0.86.5×9.5+6.5×0.50.35×1.6+0.35×3.40.25×8.6×46.72-3.28-1.720.45+6.37+4.555.4+6.9×3-(25-2.5)2×41846-620-3804.8×46+4.8×540.8+0.8×2.51.25×3.6×8×2.5-12.5×2.4 28×12.5-12.5×2023.65-(3.07+3.65)(4+0.4×0.25)8×7×1.25 1.65×99+1.6527.85-(7.85+3.4)48×1.25+50×1.25×0.2×8 7.8×9.9+0.78(1010+309+4+681+6)×123×9146×782×6×8545.15×7/8+6.1-0.606253/7 × 49/9 - 4/38/9 × 15/36 + 1/2712× 5/6 – 2/9 ×38× 5/4 + 1/46÷ 3/8 – 3/8 ÷64/7 × 5/9 + 3/7 × 5/9 5/2 -( 3/2 + 4/5 )7/8 + ( 1/8 + 1/9 )9 × 5/6 + 5/63/4 × 8/9 - 1/37 × 5/49 + 3/146 ×( 1/2 + 2/3 )8 × 4/5 + 8 × 11/531 × 5/6 – 5/69/7 - ( 2/7 – 10/21 )5/9 × 18 – 14 × 2/74/5 × 25/16 + 2/3 × 3/4 14 × 8/7 – 5/6 × 12/15 17/32 – 3/4 × 9/243 × 2/9 + 1/35/7 × 3/25 + 3/73/14 × 2/3 + 1/61/5 × 2/3 + 5/69/22 + 1/11 ÷ 1/25/3 × 11/5 + 4/345 × 2/3 + 1/3 × 157/19 + 12/19 × 5/61/4 + 3/4 ÷ 2/38/7 × 21/16 + 1/2101 × 1/5 – 1/5 × 2150+160÷40 (58+370)÷(64-45)120-144÷18+35347+45×2-4160÷52(58+37)÷(64-9×5)95÷(64-45)178-145÷5×6+42 420+580-64×21÷28812-700÷(9+31×11)(136+64)×(65-345÷23)85+14×(14+208÷26)(284+16)×(512-8208÷18)120-36×4÷18+35(58+37)÷(64-9×5)(6.8-6.8×0.55)÷8.50.12× 4.8÷0.12×4.8(3.2×1.5+2.5)÷1.63.2×(1.5+2.5)÷1.66-1.6÷4= 5.38+7.85-5.37=7.2÷0.8-1.2×5= 6-1.19×3-0.43=6.5×(4.8-1.2×4)= 0.68×1.9+0.32×1.9 10.15-10.75×0.4-5.75.8×(3.87-0.13)+4.2×3.7432.52-(6+9.728÷3.2)×2.5[(7.1-5.6)×0.9-1.15] ÷2.55.4÷[2.6×(3.7-2.9)+0.62]12×6÷(12-7.2)-6 (4)12×6÷7.2-6 102^2×4.5+8^5-√5297.8×6.9+2.2×6.95.6×0.258×(20-1.25)127+352+73+4489+276+135+3325+71+75+29 +88243+89+111+579405-2940÷28×21920-1680÷40÷7690+47×52-398148+3328÷64-75360×24÷32+7302100-94+48×5451+(2304-2042)×234215+(4361-716)÷81(247+18)×27÷2536-720÷(360÷18)1080÷(63-54)×80(528+912)×5-61788528÷41×38-904264+318-8280÷69(174+209)×26- 9000814-(278+322)÷151406+735×9÷453168-7828÷38+504796-5040÷(630÷7)285+(3000-372)÷361+5/6-19/123x(-9)+7x(-9(-54)x1/6x(-1/3)18.1+(3-0.299÷0.23)×1 (6.8-6.8×0.55)÷8.50.12× 4.8÷0.12×4.8(3.2×1.5+2.5)÷1.63.2×(1.5+2.5)÷1.65.6-1.6÷45.38+7.85-5.377.2÷0.8-1.2×56-1.19×3-0.436.5×(4.8-1.2×4)0.68×1.9+0.32×1.9115-10.75×0.4-5.75.8×(3.87-0.13)+4.2×3.7432.52-(6+9.728÷3.2)×2.5 [(7.1-5.6)×0.9-1.15] ÷2.5 5.4÷[2.6×(3.7-2.9)+0.62] 12×6÷(12-7.2)-612×6÷7.2-633.02-(148.4-90.85)÷2.5二.解方程2x=7(x-5)8(3x+3)=2404.74+4x-2.5x=8.1(2.81+x)÷2.81=115x-30=16(x-2)(-3)^3-3^3(-1)^2-5.62^2+3^3-4^4(2^4-3^2)^3-5^5[(1.6^2-2^3)-2.1]^2(5.66×2)^2-15^2(-15)^x=225,x=?[(-4)^2-4^2]×2^2[(-5.6)^2+3]^2[5.6^2+(-5.6)^2]×(-1)^23x+28-x=561.5x+6=3.752(3.6x+2.8)=-1.69.5x+9.5=1918(x-35)=-36x+7-(-36+8^2)/2=8+7^4/3a-7-98+7a=3.2*5a89/2+35/6x=3*9+2^3/5+7x3X+189/3=521/24Y+119*^3=22/113X*189=5*4^5/38Z/6=458/53X+77=594Y-6985=8187X*13=57Z/93=4115X+863-65X=5458Y*55=274897(2x-1)-3(4x-1)=4(3x+2)-1(5y+1)+ (1-y)= (9y+1)+ (1-3y) [-6(-7^4*8)-4]=x+220%+(1-20%)(320-x)=320×40% 2(x-2)+2=x+12(x-2)-3(4x-1)=9(1-x)11x+64-2x=100-9x15-(8-5x)=7x+(4-3x)3(x-7)-2[9-4(2-x)]=223/2[2/3(1/4x-1)-2]-x=22x+7^2=1571)判断题:判断下列方程是否是一元一次方程:①-3x-6x2=7( )③5x+1-2x=3x-2 ( )④3y-4=2y+1. ( )判断下列方程的解法是否正确:①解方程3y-4=y+3解:3y-y=3+4,2y=7,y=3.5②解方程:0.4x-3=0.1x+2解:0.4x+0.1x=2-3;0.5x=-1,x=-2③解方程解:5x+15-2x-2=10,3x=-3,x=-1;④解方程解:2x-4+5-5x=-1,-3x=-2,x= .( )2)填空题:(1)若2(3-a)x-4=5是关于x的一元一次方程,则a≠_ (2)关于x的方程ax=3的解是自然数,则整数a的值为_ (3)方程5x-2(x-1)=17 的解是_(4)x=2是方程2x-3=m- 的解,则m=_ .(5)若-2x2-5m+1=0 是关于x的一元一次方程,则m=_ . (6)当y=_ 时,代数式5y+6与3y-2互为相反数.(7)当m=_ 时,方程的解为0.(8)已知a≠0.则关于x的方程3ab-(a+b)x=(a-b)x的解为______ .3)选择题:(1)方程ax=b的解是().A.有一个解x= B.有无数个解C.没有解 D.当a≠0时,x=(2)解方程 ( x-1)=3,下列变形中,较简捷的是()A.方程两边都乘以4,得3( x-1)=12B.去括号,得x- =3C.两边同除以,得 x-1=4D.整理,得(3)方程2- 去分母得()A.2-2(2x-4)=-(x-7)B.12-2(2x-4)=-x-7C.12-2(2x-4)=-(x-7)D.以上答案均不对(4)若代数式比大1,则x的值是().A.13 B. C.8 D.(5)x=1.5是方程()的解.A.4x+2=2x-(-2-9)B.2{3[4(5x-1)-8]-2}=8C.4x+9 =6x+64)解答下列各题:(1)x等于什么数时,代数式的值相等?(2)y等于什么数时,代数式的值比代数式的值少3?(3)当m等于什么数时,代数式2m- 的值与代数式的值的和等于5?(4)解下列关于x的方程:①ax+b=bx+a;(a≠b);三.化简、化简求值化间求值:1、-9(x-2)-y(x-5)(1)化简整个式子。
初中数学计算题(200道)(-1.5)×(-9)-12÷(-4)56÷(-7)-2÷5+0.43.57×29÷(-4)5.6÷(-2.8)-(-50)÷2[9.6+(-7.3)]×[(-5)-(-7)]12.3÷[5.6+(-1.2)](-75.6)÷(1/4+1/5)9.5×(-9.5)÷1/295.77÷(-2)+(-34.6)(-51.88)÷2-(-5)×241.25*(-3)+70*(-5)+5*(-3)+25 9999*3+101*11*(101-92)(23/4-3/4)*(3*6+2)3/7 × 49/9 - 4/38/9 × 15/36 + 1/2712× 5/6 –2/9 ×38× 5/4 + 1/46÷ 3/8 –3/8 ÷64/7 × 5/9 + 3/7 × 5/95/2 -( 3/2 + 4/5 )7/8 + ( 1/8 + 1/9 )9 × 5/6 + 5/63/4 × 8/9 - 1/37 × 5/49 + 3/146 ×( 1/2 + 2/3 )8 × 4/5 + 8 × 11/531 × 5/6 – 5/69/7 - ( 2/7 – 10/21 )5/9 × 18 –14 × 2/74/5 × 25/16 + 2/3 × 3/4 14 × 8/7 –5/6 × 12/15 17/32 –3/4 × 9/243 × 2/9 + 1/35/7 × 3/25 + 3/73/14 × 2/3 + 1/61/5 × 2/3 + 5/69/22 + 1/11 ÷ 1/25/3 × 11/5 + 4/345 × 2/3 + 1/3 × 157/19 + 12/19 × 5/61/4 + 3/4 ÷ 2/38/7 × 21/16 + 1/2101 × 1/5 –1/5 × 21 50+160÷40120-144÷18+35347+45×2-4160÷5237×(58+37)÷(64-9×5)95÷(64-45)178-145÷5×6+42812-700÷(9+31×11)85+14×(14+208÷26)120-36×4÷18+35(58+37)÷(64-9×5)(6.8-6.8×0.55)÷8.50.12× 4.8÷0.12×4.8(3.2×1.5+2.5)÷1.66-1.6÷4= 5.38+7.85-5.37=7.2÷0.8-1.2×5= 6-1.19×3-0.43= 6.5×(4.8-1.2×4)=5.8×(3.87-0.13)+4.2×3.74 32.52-(6+9.728÷3.2)×2.5 [(7.1-5.6)×0.9-1.15] ÷2.5 5.4÷[2.6×(3.7-2.9)+0.62]12×6÷(12-7.2)-612×6÷7.2-60.68×1.9+0.32×1.958+370)÷(64-45)420+580-64×21÷28136+6×(65-345÷23)15-10.75×0.4-5.718.1+(3-0.299÷0.23)×1 (6.8- 6.8×0.55)÷8.50.12× 4.8÷0.12×4.8(3.2×1.5+2.5)÷1.63.2×6+(1.5+2.5)÷1.60.68×1.9+0.32×1.910.15-10.75×0.4-5.75.8×(3.87-0.13)+4.2×3.74 32.52-(6+9.728÷3.2)×2.5 [(7.1-5.6)×0.9-1.15] ÷2.5 5.4÷[2.6×(3.7-2.9)+0.62] 12×6÷(12-7.2)-612×6÷7.2-633.02-(148.4-90.85)÷2.576.(25%-695%-12%)*3677./4*3/5+3/4*2/578.1-1/4+8/9/7/979.+1/6/3/24+2/2180./15*3/581.3/4/9/10-1/682./3+1/2)/5/6-1/3]/1/783./5+3/5/2+3/484.(2-2/3/1/2)]*2/585.+5268.32-256986.3+456-52*887.5%+632588./2+1/3+1/489+456-785%+. 3/7 × 49/9 - 4/39 × 15/36 + 1/272× 5/6 –2/9 ×33× 5/4 + 1/494÷ 3/8 –3/8 ÷695/7 × 5/9 + 3/7 × 5/9 6/2 -( 3/2 + 4/5 )8 + ( 1/8 + 1/9 )8 × 5/6 + 5/61/4 × 8/9 - 1/310 × 5/49 + 3/141.5 ×( 1/2 + 2/3 )2/9 × 4/5 + 8 × 11/5 3.1 × 5/6 – 5/64/7 - ( 2/7 – 10/21 )19 × 18 –14 × 2/75 × 25/16 + 2/3 × 3/4 4 × 8/7 –5/6 × 12/15 7/32 –3/4 × 9/242/3÷1/2-1/4×2/52-6/13÷9/26-2/32/9+1/2÷4/5+3/810÷5/9+1/6×41/2×2/5+9/10÷9/205/9×3/10+2/7÷2/51/2+1/4×4/5-1/83/4×5/7×4/3-1/223-8/9×1/27÷1/278×5/6+2/5÷41/2+3/4×5/12×4/58/9×3/4-3/8÷3/45/8÷5/4+3/23÷9/111.2×2.5+0.8×2.58.9×1.25-0.9×1.2512.5×7.4×0.89.9×6.4-(2.5+0.24)(27) 6.5×9.5+6.5×0.5 0.35×1.6+0.35×3.40.25×8.6×46.72-3.28-1.720.45+6.37+4.555.4+6.9×3-(25-2.5)2×41846-620-3804.8×46+4.8×540.8+0.8×2.51.25×3.6×8×2.5-12.5×2.4 28×12.5-12.5×2023.65-(3.07+3.65)(4+0.4×0.25)8×7×1.25 1.65×99+1.6527.85-(7.85+3.4)48×1.25+50×1.25×0.2×8 7.8×9.9+0.78(1010+309+4+681+6)×123×9146×782×6×8545.15×7/8+6.1-0.606253/7 × 49/9 - 4/38/9 × 15/36 + 1/2712× 5/6 –2/9 ×38× 5/4 + 1/46÷ 3/8 –3/8 ÷64/7 × 5/9 + 3/7 × 5/95/2 -( 3/2 + 4/5 )7/8 + ( 1/8 + 1/9 )9. 9 × 5/6 + 5/63/4 × 8/9 - 1/37 × 5/49 + 3/146 ×( 1/2 + 2/3 )8 × 4/5 + 8 × 11/531 × 5/6 – 5/69/7 - ( 2/7 – 10/21 )5/9 × 18 –14 × 2/74/5 × 25/16 + 2/3 × 3/414 × 8/7 –5/6 × 12/1517/32 –3/4 × 9/243 × 2/9 + 1/35/7 × 3/25 + 3/73/14 × 2/3 + 1/61/5 × 2/3 + 5/69/22 + 1/11 ÷ 1/25/3 × 11/5 + 4/345 × 2/3 + 1/3 × 157/19 + 12/19 × 5/61/4 + 3/4 ÷ 2/38/7 × 21/16 + 1/2101 × 1/5 –1/5 × 2150+160÷40 (58+370)÷(64-45)120-144÷18+35347+45×2-4160÷52(58+37)÷(64-9×5)95÷(64-45)178-145÷5×6+42 420+580-64×21÷28812-700÷(9+31×11)(136+64)×(65-345÷23)85+14×(14+208÷26)(284+16)×(512-8208÷18)120-36×4÷18+35(58+37)÷(64-9×5)(6.8- 6.8×0.55)÷8.50.12× 4.8÷0.12×4.8(3.2×1.5+2.5)÷1.6 (2)3.2×(1.5+2.5)÷1.6 6-1.6÷45.38+7.85-5.377.2÷0.8-1.2×56-1.19×3-0.4347.6.5×(4.8-1.2×4)0.68×1.9+0.32×1.948.10.15-10.75×0.4-5.749.5.8×(3.87-0.13)+4.2×3.7450.32.52-(6+9.728÷3.2)×2.551.[(7.1-5.6)×0.9-1.15] ÷2.552.5.4÷[2.6×(3.7-2.9)+0.62]53.12×6÷(12-7.2)-6 (4)12×6÷7.2-6102×(-4.5)-(-3)×(-5) ÷27.8×6.9+2.2×6.9(-2)+2-(-52)×(-1) ×5+87÷(-3)×(-1)5.6×0.258×(20-1.25)(-7.1) ×〔(-3)×(-5)〕÷2 -2.5×(-4.8)×(0.09)÷(-0.27) 127+352+73+44×(-2)89×276+(-135)-3325×71+75÷29 -88÷(-2)243+89+111+579405-2940÷28×21920-1680÷40÷7690+47×52-398148+3328÷64-75360×24÷32+7302100-94+48×5451+(2304-2042)×234215+(4361-716)÷81(247+18)×27÷2536-720÷(360÷18)1080÷(63-54)×80(528+912)×5-61788528÷41×38-904264+318-8280÷69(174+209)×26- (9000^0)814-(278+322)÷151406+735×9÷453168-7828÷38+504796-5040÷(630÷7)285+(3000-372)÷361+5/6-19/123x(-9)+7x(-9)(-54)x1/6x(-1/3)1.18.1+(3-0.299÷0.23)×12.(6.8- 6.8×0.55)÷8.53.0.12×4.8÷0.12×4.843.2×1.5+2.5÷(-1.6)(-2)×3.2×(1.5+2.5)÷1.6 5.6-1.6÷4+(6.8-9)5.38+7.85- 5.37÷896.7.2÷0.8-1.2×56-1.19×3-0.437.6.5×(4.8-1.2×4)0.68×1.9+0.32×1.98.10.15-10.75×0.4-5.79.5.8×(3.87-0.13)(-8.01)+4.2×3.7410.32.52-(6+9.728÷3.2)×2.511.[(7.1-5.6)×0.9-1.15] ÷2.512.5.4÷[2.6×(3.7-2.9)+0.62]13.12×6÷(12-7.2)-614.12×6÷7.2-615.33.02-(148.4-90.85)÷2.5 (-5)-252×(-78)(-6) ×(-2)+3÷(5+50)7-7+3-6-(-90)(-8)(-3)×(-8)×25(7+13) ÷(-616)÷(-28)(8+14-100-27)÷4(-15) ÷(-1)-101÷1016÷0.21×(-8) ×(4.1+5.9)(-10) ×(-2) ×4÷{-9÷[6+(-5.67)]} (-18)(-4)2×[8.01×(-3.14)9-32{-890-[79+8.1] ×9}(-20)-23+(-9) ×9.42(-24)3.4×104÷(-5) ×200.96[-|98|+76+(-87)]*23[56+(-75)-(7)]-(8+4+3) 5+21*8/2-6-5968/21-8-11*8+61-2/9-7/9-564.6-(-3/4+1.6-4-3/4)1/2+3+5/6-7/12[2/3-4-1/4*(-0.4)]/1/3+222+(-4)+(-2)+4*3-2*8-8*1/2+8/1/8(2/3+1/2)/(-1/12)*(-12)(-28)/(-6+4)+(-1) +√92/(-2)+0/7-(-8)*(-2)(1/4-5/6+1/3+2/3)/1/218-6/(-3)*(-2) ×2^7(5+3/8*8/30/(-2)- √36(-84)/2*(-3)/(-6)1/2*(-4/15)/2/31+2+3+4+......+1000001/1+1/2+1/3+......1/501+1/2+1/4+1/8+1/16+......1/5123+9+27+81+243+ (9999)1+1/2+1/6+1/12+1/20+1/30+1/42+1/56+1/72+1/90 8-2×32-(-2×3)2–12 × (-3)2-(-1/2)2003×(-2)2002÷2/9 (0.5-3/2)÷3/1×[-2-(-3)3]-∣1/8-0.52∣[-38-(-1)7+(-3)8]×-53a^3-2b^3+ab(2a-b)-√a-b^215*(-8)+2b^2+(x^2+y^2)^2-4y(x^2+y^2)+4y^26-3a^8-(-5^2-6)(x^2+2x)^2+3(x^2+2x)+x^2+2x+3(a+1)(a+2)+(2a+1)(a-2)-12x^2(y+z)^2-2xy(x-z)(y+z)+y^2(x-z)^23(a+2)^2+28(a+2)-20(a+b)^2-(b-c)^2+a^2-c^28x(x+1)(x^2+x-1)-2x^2(x-1)^2-3(x^2-x)-5614a(a-b)+(a-b)^211.-ab(a-b)^+a(b-a)^212.3(x+2)-2x=5-4x13.5(x+2a)-a=2(b-2x)+4a3.14*3.42 (2)972*3.14*1/4[-|98|+76+(-87)]*23[56+(-75)-(7)]-(8+4+3) 5+21*8/2-√121-5968/21-8-11*8+61-2/9-7/9-564.6-(-3/4+1.6-4-3/4)1/2+3+5/6-7/12[2/3-4-1/4*(-0.4)]/1/3+222+(-4)+(-2)+4*3-2*8-8*1/2+8/1/8(2/3+1/2)/(-1/12)*(-12)(-28)/(-6+4)+(-1)2/(-2)+0/7-(-8)*(|-2|-5^4)(1/3+2/3)/1/2-|-9+(-5)|18-6/(-3)*(-2)-|-9|(5+3/8*8/30/(-2)-3(-84)/2*(-3)/(-6)1/2*(-4/15)/2/3|-3x+2y-5x-7y|-|-9x+2y|-5+21*8/2-6-5968/21-8-11*8+61-2/9-7/9-564.6-(-3/4+1.6-4-3/4)1/2+3+5/6-7/12[2/3-4-1/4*(-0.4)]/1/3+222+(-4)+(-2)+4*3-√64-5^2 -2*8-8*1/2+8/1/8(2/3+1/2)/(-1/12)*(-12)(-28)/(-6+4)+(-1)2/(-2)+0/7-(-8)*(-2)(1/4-5/6+1/3+2/3)/1/218-6/(-3)*(-2)(5+3/8*8/30/(-2)-3(-84)/2*(-3)/(-6)1/2*(-4/15)/2/3+√9-3x+2y-5x-7y+-5+21*8/2-6-5968/21-8-11*8+61-2/9-7/9-564.6-(-3/4+1.6-4-3/4)1/2+3+5/6-7/12[2/3-4-1/4*(-0.4)]/1/3+222+(-4)+(-2)+4*3-2*8-8*1/2+8/1/8(2/3+1/2)/(-1/12)*(-12) (-28)/(-6+4)+(-1)2/(-2)+0/7-(-8)*(-2)(1/4-5/6+1/3+2/3)/1/218-6/(-3)*(-2)(5+3/8*8/30/(-2)-3(-84)/2*(-3)/(-6)1/2*(-4/15)/2/3-3x+2y-5x-7y-(-3^2+5^7) -1+2-3+4-5+6-7+√9-50-28+(-24)-(-22)-19.8-(-20.3)-(+20.2)-10.8;0.25- +(-1 )-(+3 ).-1-23.33-(+76.76)1-2*2*2*2-5^2+(6^2-5^2) (-6-24.3)-(-12+9.1)+(0-2.1) -1+8-7+5^7-(-5+√9) 125*3+125*5+25*3+25 9999*3+101*11*(101-92) (23/4-3/4)*(3*6+2)3/7 × 49/9 - 4/38/9 × 15/36 + 1/2712x*5/6y–2/9y*|3x-2y|8×5/4+1/4*|-7-8|6÷ 3/8 –3/8 ÷64/7 × 5/9 + 3/7 × 5/95/2 -( 3/2 + 4/5 )7/8 + ( 1/8 + 1/9 )9 × 5/6 + 5/63/4 × 8/9 - 1/37 × 5/49 + 3/146 ×( 1/2 + 2/3 )8 × 4/5 + 8 × 11/531 × 5/6 – 5/69/7 - ( 2/7 – 10/21 )5/9 × 18 –14 × 2/74/5 × 25/16 + 2/3 × 3/4 14 × 8/7 –5/6 × 12/15 17/32 –3/4 × 9/243^45 × 2/9 + 1/35/7 × 3/25 + 3/73/14 ×2/3 + 1/61/5 × 2/3 + 5/65/3 × 11/5 + 4/39/22+1/11÷1/2-√16945^8 × 2/3 + 1/3 × 157/19 + 12/19 × 5/61/4 + 3/4 ÷ 2/38/7 × 21/16 + 1/2101^4×(-1/5–1/5×21)50+√160÷40^5120-144÷18+35347+45×2-4160÷5237^2(58+37)÷(64-9×5)95÷(64-45)178-145÷5×6+42812-700÷(9+31×11)85+14×(14+208÷26)120-36×4÷18+35(58+37)÷(64-9×5)(6.8- 6.8×0.55)÷8.50.12× 4.8÷0.12×4.8(3.2×1.5+2.5)÷1.66-1.6÷4= 5.38+7.85-5.37=7.2÷0.8-1.2×5= 6-1.19×3-0.43= 6.5×(4.8-1.2×4)=5.8×(3.87-0.13)+4.2×3.74 32.52-(6+9.728÷3.2)×2.5[(7.1-5.6)×0.9-1.15] ÷2.5 5.4÷[2.6×(3.7-2.9)+0.62] 12×6÷(12-7.2)-612×6÷7.2-60.68×1.9+0.32×1.958+370)÷(64-45)420+580-64×21÷28136+6×(65-345÷23)15-10.75×0.4-5.718.1+(3-0.299÷0.23)×1 (6.8- 6.8×0.55)÷8.50.12× 4.8÷0.12×4.8(3.2×1.5+2.5)÷1.63.2×6+(1.5+2.5)÷1.60.68×1.9+0.32×1.910.15-10.75×0.4-5.75.8×(3.87-0.13)+4.2×3.74 32.52-(6+9.728÷3.2)×2.5 [(7.1-5.6)×0.9-1.15] ÷2.5 5.4÷[2.6×(3.7-2.9)+0.62] 12×6÷(12-7.2)-612×6÷7.2-633.02-(148.4-90.85)÷2.5 76.(25%-695%-12%)*367/4*3/5+3/4*2/51-1/4+8/9/7/97+1/6/3/24+2/218/15*3/53/4/9/10-1/68/3+1/2)/5/6-1/3]/1/79/5+3/5/2+3/48^6(2-2/3/1/2)]*2/58+5268.32-25693+456-52*887.5%+63258/2+1/3+1/489+456-785%+. 3/7 × 49/9 - 4/3 9 × 15/36 + 1/272× 5/6 –2/9 ×33× 5/4 + 1/494÷ 3/8 –3/8 ÷695/7 × 5/9 + 3/7 × 5/9 6/2 -( 3/2 + 4/5 )8 + ( 1/8 + 1/9 )8 × 5/6 + 5/61/4 × 8/9 - 1/310× 5/49 + 3/141.5 ×( 1/2 + 2/3 )2/9 × 4/5 + 8 × 11/5 3.1 × 5/6 – 5/64/7 - ( 2/7 – 10/21 )19 × 18 –14 × 2/75 × 25/16 + 2/3 × 3/4 4 × 8/7 –5/6 × 12/15 7/32 –3/4 × 9/242/3÷1/2-1/4×2/52-6/13÷9/26-2/32/9+1/2÷4/5+3/810÷5/9+1/6×41/2×2/5+9/10÷9/205/9×3/10+2/7÷2/51/2+1/4×4/5-1/83/4×5/7×4/3-1/223-8/9×1/27÷1/2718×5/6+2/5÷411/2+3/4×5/12×4/58/9×3/4-3/8÷3/45/8÷5/4+3/23÷9/11 1.2×2.5+0.8×2.58.9×1.25-0.9×1.2512.5×7.4×0.89.9×6.4-(2.5+0.24)6.5×9.5+6.5×0.50.35×1.6+0.35×3.40.25×8.6×46.72-3.28-1.720.45+6.37+4.555.4+6.9×3-(25-2.5)2×41846-620-3804.8×46+4.8×540.8+0.8×2.51.25×3.6×8×2.5-12.5×2.4 28×12.5-12.5×2023.65-(3.07+3.65)(4+0.4×0.25)8×7×1.25 1.65×99+1.6527.85-(7.85+3.4)48×1.25+50×1.25×0.2×8 7.8×9.9+0.78(1010+309+4+681+6)×123×9146×782×6×8545.15×7/8+6.1-0.606253/7 × 49/9 - 4/38/9 × 15/36 + 1/2712× 5/6 –2/9 ×38× 5/4 + 1/46÷ 3/8 –3/8 ÷64/7 × 5/9 + 3/7 × 5/95/2 -( 3/2 + 4/5 )7/8 + ( 1/8 + 1/9 )9 × 5/6 + 5/63/4 × 8/9 - 1/37 × 5/49 + 3/146 ×( 1/2 + 2/3 )8 × 4/5 + 8 × 11/531 × 5/6 – 5/69/7 - ( 2/7 – 10/21 )5/9 × 18 –14 × 2/74/5 × 25/16 + 2/3 × 3/4 14 × 8/7 –5/6 × 12/15 17/32 –3/4 × 9/243 × 2/9 + 1/35/7 × 3/25 + 3/73/14 × 2/3 + 1/61/5 × 2/3 + 5/69/22 + 1/11 ÷ 1/25/3 × 11/5 + 4/345 × 2/3 + 1/3 × 157/19 + 12/19 × 5/61/4 + 3/4 ÷ 2/38/7 × 21/16 + 1/2101 × 1/5 –1/5 × 2150+160÷40 (58+370)÷(64-45)120-144÷18+35347+45×2-4160÷52(58+37)÷(64-9×5)95÷(64-45)178-145÷5×6+42 420+580-64×21÷28812-700÷(9+31×11)(136+64)×(65-345÷23)85+14×(14+208÷26)(284+16)×(512-8208÷18)120-36×4÷18+35(58+37)÷(64-9×5)(6.8- 6.8×0.55)÷8.50.12× 4.8÷0.12×4.8(3.2×1.5+2.5)÷1.63.2×(1.5+2.5)÷1.66-1.6÷4= 5.38+7.85-5.37=7.2÷0.8-1.2×5= 6-1.19×3-0.43=6.5×(4.8-1.2×4)= 0.68×1.9+0.32×1.9 10.15-10.75×0.4-5.75.8×(3.87-0.13)+4.2×3.7432.52-(6+9.728÷3.2)×2.5[(7.1-5.6)×0.9-1.15] ÷2.55.4÷[2.6×(3.7-2.9)+0.62]12×6÷(12-7.2)-6 (4)12×6÷7.2-6 102^2×4.5+8^5-√5297.8×6.9+2.2×6.95.6×0.258×(20-1.25)127+352+73+4489+276+135+3325+71+75+29 +88243+89+111+579405-2940÷28×21920-1680÷40÷7690+47×52-398148+3328÷64-75360×24÷32+7302100-94+48×5451+(2304-2042)×234215+(4361-716)÷81(247+18)×27÷2536-720÷(360÷18)1080÷(63-54)×80(528+912)×5-61788528÷41×38-904264+318-8280÷69(174+209)×26- 9000814-(278+322)÷151406+735×9÷453168-7828÷38+504796-5040÷(630÷7)285+(3000-372)÷361+5/6-19/123x(-9)+7x(-9(-54)x1/6x(-1/3)18.1+(3-0.299÷0.23)×1 (6.8- 6.8×0.55)÷8.50.12× 4.8÷0.12×4.8(3.2×1.5+2.5)÷1.63.2×(1.5+2.5)÷1.65.6-1.6÷45.38+7.85-5.377.2÷0.8-1.2×56-1.19×3-0.436.5×(4.8-1.2×4)0.68×1.9+0.32×1.9115-10.75×0.4-5.75.8×(3.87-0.13)+4.2×3.7432.52-(6+9.728÷3.2)×2.5 [(7.1-5.6)×0.9-1.15] ÷2.5 5.4÷[2.6×(3.7-2.9)+0.62] 12×6÷(12-7.2)-612×6÷7.2-633.02-(148.4-90.85)÷2.5二.解方程2x=7(x-5)8(3x+3)=2404.74+4x-2.5x=8.1(2.81+x)÷2.81=115x-30=16(x-2)(-3)^3-3^3(-1)^2-5.62^2+3^3-4^4(2^4-3^2)^3-5^5[(1.6^2-2^3)-2.1]^2(5.66×2)^2-15^2(-15)^x=225,x=?[(-4)^2-4^2]×2^2[(-5.6)^2+3]^2[5.6^2+(- 5.6)^2]×(-1)^23x+28-x=561.5x+6=3.752(3.6x+2.8)=-1.69.5x+9.5=1918(x-35)=-36x+7-(-36+8^2)/2=8+7^4/3a-7-98+7a=3.2*5a89/2+35/6x=3*9+2^3/5+7x3X+189/3=521/24Y+119*^3=22/113X*189=5*4^5/38Z/6=458/53X+77=594Y-6985=8187X*13=57Z/93=4115X+863-65X=5458Y*55=274897(2x-1)-3(4x-1)=4(3x+2)-1(5y+1)+ (1-y)= (9y+1)+ (1-3y) [-6(-7^4*8)-4]=x+220%+(1-20%)(320-x)=320×40% 2(x-2)+2=x+12(x-2)-3(4x-1)=9(1-x)11x+64-2x=100-9x15-(8-5x)=7x+(4-3x)3(x-7)-2[9-4(2-x)]=223/2[2/3(1/4x-1)-2]-x=22x+7^2=1571)判断题:判断下列方程是否是一元一次方程:①-3x-6x2=7( )③5x+1-2x=3x-2 ( )④3y-4=2y+1. ( )判断下列方程的解法是否正确:①解方程3y-4=y+3解:3y-y=3+4,2y=7,y=3.5②解方程:0.4x-3=0.1x+2解:0.4x+0.1x=2-3;0.5x=-1,x=-2③解方程解:5x+15-2x-2=10,3x=-3,x=-1;④解方程解:2x-4+5-5x=-1,-3x=-2,x= .( )2)填空题:(1)若2(3-a)x-4=5是关于x的一元一次方程,则a≠_ (2)关于x的方程ax=3的解是自然数,则整数a的值为_ (3)方程5x-2(x-1)=17 的解是_(4)x=2是方程2x-3=m- 的解,则m=_ .(5)若-2x2-5m+1=0 是关于x的一元一次方程,则m=_ . (6)当y=_ 时,代数式5y+6与3y-2互为相反数.(7)当m=_ 时,方程的解为0.(8)已知a≠0.则关于x的方程3ab-(a+b)x=(a-b)x的解为______ .3)选择题:(1)方程ax=b的解是().A.有一个解x= B.有无数个解C.没有解 D.当a≠0时,x=(2)解方程 ( x-1)=3,下列变形中,较简捷的是()A.方程两边都乘以4,得3( x-1)=12B.去括号,得x- =3C.两边同除以,得 x-1=4D.整理,得(3)方程2- 去分母得()A.2-2(2x-4)=-(x-7)B.12-2(2x-4)=-x-7C.12-2(2x-4)=-(x-7)D.以上答案均不对(4)若代数式比大1,则x的值是().A.13 B. C.8 D.(5)x=1.5是方程()的解.A.4x+2=2x-(-2-9)B.2{3[4(5x-1)-8]-2}=8C.4x+9 =6x+64)解答下列各题:(1)x等于什么数时,代数式的值相等?(2)y等于什么数时,代数式的值比代数式的值少3?(3)当m等于什么数时,代数式2m- 的值与代数式的值的和等于5?(4)解下列关于x的方程:①ax+b=bx+a;(a≠b);三.化简、化简求值化间求值:1、-9(x-2)-y(x-5)(1)化简整个式子。
初中数学计算题(200道) 实用文档1.5乘以-9减去12除以-456除以-7减去2除以5加0.43.57乘以29除以-45.6除以-2.8减去-50除以29.6减去7.3)乘以(-5减去-7)12.3除以(5.6减去1.2)75.6除以(1/4加1/5)9.5乘以-9.5除以1/295.77除以-2减去-34.651.88除以2减去-5乘以241.25乘以-3加70乘以-5加5乘以-3加25 9999乘以3加101乘以11乘以(101减去92) 23/4减去3/4)乘以(3乘以6加2)3/7乘以49/9减4/38/9乘以15/36加1/2712乘以5/6减2/9乘以38乘以5/4加1/46除以3/8减去3/8除以64/7乘以5/9加3/7乘以5/9 5/2减去(3/2加4/5)7/8加(1/8加1/9)9乘以5/6加5/63/4乘以8/9减1/37乘以5/49加3/146乘以(1/2加2/3)8乘以4/5加8乘以11/5 31乘以5/6减5/69/7减去(2/7减去10/21)5/9乘以18减14乘以2/74/5乘以25/16加2/3乘以3/4 14乘以8/7减5/6乘以12/15 17/32减去3/4乘以9/243乘以2/9加1/35/7乘以3/25加3/73/14乘以2/3加1/61/5乘以2/3加5/69/22加1/11除以1/25/3乘以11/5加4/345乘以2/3加1/3乘以157/19加12/19乘以5/61/4加3/4除以2/38/7乘以21/16加1/2101乘以1/5减1/5乘以2150加160除以40120减144除以18加35347加45乘以2减4160除以5237乘以(58加37)除以(64减去9乘以5)已做95除以(64减去45)178减去145除以5乘以6加42812减去700除以(9加31乘以11) 85加14乘以(14加208除以26) 120减去36乘以4除以18加35 58加37)除以(64减去9乘以5) 6.8减去6.8乘以0.55)除以8.5标准文案实用文档1.5乘以-9减去12除以-456除以-7减去2除以5加0.43.57乘以29除以-45.6除以-2.8减去-50除以29.6减去7.3)乘以(-5减去-7)12.3除以(5.6减去1.2)75.6除以(1/4加1/5)9.5乘以-9.5除以1/295.77除以-2减去-34.651.88除以2减去-5乘以241.25乘以-3加70乘以-5加5乘以-3加25 9999乘以3加101乘以11乘以(101减去92) 23/4减去3/4)乘以(3乘以6加2)3/7乘以49/9减4/38/9乘以15/36加1/2712乘以5/6减2/9乘以3 8乘以5/4加1/46除以3/8减去3/8除以6 4/7乘以5/9加3/7乘以5/9 5/2减去(3/2加4/5)7/8加(1/8加1/9)9乘以5/6加5/63/4乘以8/9减1/37乘以5/49加3/146乘以(1/2加2/3)8乘以4/5加8乘以11/531乘以5/6减5/69/7减去(2/7减去10/21)5/9乘以18减14乘以2/74/5乘以25/16加2/3乘以3/4 14乘以8/7减5/6乘以12/15 17/32减去3/4乘以9/243乘以2/9加1/35/7乘以3/25加3/73/14乘以2/3加1/61/5乘以2/3加5/69/22加1/11除以1/25/3乘以11/5加4/345乘以2/3加1/3乘以15 7/19加12/19乘以5/61/4加3/4除以2/38/7乘以21/16加1/2101乘以1/5减1/5乘以2150加160除以40120减144除以18加35347加45乘以2减4160除以5237乘以(58加37)除以(64减去9乘以5)已做95除以(64减去45)178减去145除以5乘以6加42812减去700除以(9加31乘以11)85加14乘以(14加208除以26)120减去36乘以4除以18加3558加37)除以(64减去9乘以5)6.8减去6.8乘以0.55)除以8.5标准文案18.1 + (3 - 0.299 ÷ 0.23) × 1 6.8 - 6.8 × 0.55) ÷ 8.50.12 × 4.8 ÷ 0.12 × 4.83.2 × 6 + (1.5 + 2.5) ÷ 1.60.68 × 1.9 + 0.32 × 1.910.15 - 10.75 × 0.4 - 5.75.8 × (3.87 - 0.13) + 4.2 × 3.74 32.52 - (6 + 9.728 ÷ 3.2) × 2.5 7.1 - 5.6) × 0.9 - 1.15] ÷ 2.5 5.4 ÷ [2.6 × (3.7 - 2.9) + 0.62] 12 × 6 ÷ (12 - 7.2) - 612 × 6 ÷ 7.2 - 633.02 - (148.4 - 90.85) ÷ 2.576.25% - 695% - 12%) × 3677 ÷ 4 × 3 ÷ 5 + 3 ÷ 4 × 2 ÷ 5 81/36 + 2/211/10 × 9/53/4 ÷ 9/10 - 1/61/3 + 1/2) ÷ 5/6 - 1/3 ÷ 1/7 3/5 + 3/10 + 3/42 - 2/3 ÷ 1/2) × 2/5 5268.32 - 256986.3 + 456 - 52 × 85% + 3/7 × 49/9 - 4/39 × 5/12 + 1/272 × 5/6 - 2/9 × 33 × 5/4 + 1/494 ÷ 3/8 - 3/8 ÷ 65/9 + 3/96/2 - (3/2 + 4/5)8 + (1/8 + 1/9)8 × 5/6 + 5/6 = 8 5/61/4 × 8/9- 1/3 = 1/910 × 5/49 + 3/14 = 13/98 1.5×(1/2 + 2/3)= 2.252/9×4/5 + 8×11/5 = 94/45 3.1 × 5/6 –5/6 = 2.354/7 -(2/7–10/21)= 4/2119 × 18 –14 × 2/7 = 332 4/75 × 25/16 + 2/3 × 3/4 = 27/44 × 8/7 –5/6 × 12/15 = 46/217/32–3/4 × 9/24 = -67/1922/3÷1/2-1/4×2/5 = 5/62-6/13÷9/26-2/3 = -2 79/338 2/9+1/2÷4/5+3/8 = 67/9010÷5/9+1/6×4 = 46/31/2×2/5+9/10÷9/20 = 1/25/9×3/10+2/7÷2/5 = 31/1261/2+1/4×4/5-1/8 = 5/83/4×5/7×4/3-1/2 = 5/1423-8/9×1/27÷1/27 = 238×5/6+2/5÷4 = 33/101/2+3/4×5/12×4/5 = 11/208/9×3/4-3/8÷3/4 = 11/245/8÷5/4+3/23÷9/11 = 1/21.2×2.5+0.8×2.5 =3.58.9×1.25-0.9×1.25 = 1012.5×7.4×0.8 = 749.9×6.4-(2.5+0.24)= 60.16 27)6.5×9.5+6.5×0.5 = 1794.5 0.35×1.6+0.35×3.4 = 0.9450.25×8.6×4 = 8.66.72-3.28-1.72 = 1.720.45+6.37+4.55 = 11.375.4+6.9×3-(25-2.5)= 16.22×-620-380 =4.8×46+4.8×54 = 5040.8+0.8×2.5 = 21.25×3.6×8×2.5-12.5×2.4 = 71.5 28×12.5-12.5×20 = 25023.65-(3.07+3.65)= 16.934+0.4×0.25)8×7×1.25 = 70 1.65×99+1.65 = 163.3527.85-(7.85+3.4)= 16.648×1.25+50×1.25×0.2×8 = 170 7.8×9.9+0.78 = 77.221010+309+4+681+6)×12 =3×9146×782×6×854 = 1.4×10^115.15×7/8+6.1-0. = 10.3/7 × 49/9- 4/3 = -11/218/9 × 15/36 + 1/27 = 7/5412× 5/6 –2/9 ×3 = 19 7/188× 5/4 + 1/4 = 116÷ 3/8 –3/8 ÷6 = 5 5/84/7 × 5/9 + 3/7× 5/9 = 1/25/2 -(3/2 + 4/5)= 9/107/8 +(1/8 + 1/9)= 29/369.9 × 5/6 + 5/6 = 10.453/4 × 8/9- 1/3 = 1/91.(-2)+2-(-52)×(-1) ×5+87÷(-3)×(-1)改写为:计算表达式:(-2)+2-(-52)×(-1) ×5+87÷(-3)×(-1)2.5.6×0.258×(20-1.25)改写为:计算表达式:5.6×0.258×(20-1.25)3.(-7.1)×〔(-3)×(-5)〕÷2改写为:计算表达式:(-7.1)×〔(-3)×(-5)〕÷24.-2.5×(-4.8)×(0.09)÷(-0.27)改写为:计算表达式:-2.5×(-4.8)×(0.09)÷(-0.27)5.127+352+73+44×(-2)改写为:计算表达式:127+352+73+44×(-2)6.89×276+(-135)-33改写为:计算表达式:89×276+(-135)-337.25×71+75÷29-88÷(-2)改写为:计算表达式:25×71+75÷29-88÷(-2)8.243+89+111+57改写为:计算表达式:243+89+111+579.9405-2940÷28×21改写为:计算表达式:9405-2940÷28×2110.920-1680÷40÷7改写为:计算表达式:920-1680÷40÷711.690+47×52-398改写为:计算表达式:690+47×52-39812.148+3328÷64-75改写为:计算表达式:148+3328÷64-7513.360×24÷32+730改写为:计算表达式:360×24÷32+73014.2100-94+48×54改写为:计算表达式:2100-94+48×5415.51+(2304-2042)×23改写为:计算表达式:51+(2304-2042)×2316.4215+(4361-716)÷81改写为:计算表达式:4215+(4361-716)÷8117.(247+18)×27÷25改写为:计算表达式:(247+18)×27÷2518.36-720÷(360÷18)改写为:计算表达式:36-720÷(360÷18)19.1080÷(63-54)×80改写为:计算表达式:1080÷(63-54)×8020.(528+912)×5-6178改写为:计算表达式:(528+912)×5-617821.8528÷41×38-904改写为:计算表达式:8528÷41×38-90422.264+318-8280÷69改写为:计算表达式:264+318-8280÷69 23.796-5040÷(630÷7)改写为:计算表达式:796-5040÷(630÷7)24.285+(3000-372)÷36改写为:计算表达式:285+(3000-372)÷3625.1+5/6-19/12改写为:计算表达式:1+5/6-19/1226.3x(-9)+7x(-9)改写为:计算表达式:3x(-9)+7x(-9)27.(-54)x1/6x(-1/3)改写为:计算表达式:(-54)x1/6x(-1/3)28.1.18.1+(3-0.299÷0.23)×1改写为:计算表达式:1.18.1+(3-0.299÷0.23)×129.2.(6.8-6.8×0.55)÷8.5改写为:计算表达式:2.(6.8-6.8×0.55)÷8.530.0.12× 4.8÷0.12×4.84改写为:计算表达式:0.12× 4.8÷0.12×4.8431.3.2×1.5+2.5÷(-1.6)改写为:计算表达式:3.2×1.5+2.5÷(-1.6)32.(-2)×3.2×(1.5+2.5)÷1.6改写为:计算表达式:(-2)×3.2×(1.5+2.5)÷1.633.5.6-1.6÷4+(6.8-9)改写为:计算表达式:5.6-1.6÷4+(6.8-9)34.5.38+7.85-5.37÷89改写为:计算表达式:5.38+7.85-5.37÷8935.6.7.2÷0.8-1.2×5改写为:计算表达式:6.7.2÷0.8-1.2×536.6-1.19×3-0.43改写为:计算表达式:6-1.19×3-0.4337.6.5×(4.8-1.2×4)改写为:计算表达式:6.5×(4.8-1.2×4)38.0.68×1.9+0.32×1.9改写为:计算表达式:0.68×1.9+0.32×1.939.10.15-10.75×0.4-5.7改写为:计算表达式:10.15-10.75×0.4-5.740.5.8×(3.87-0.13)改写为:计算表达式:5.8×(3.87-0.13)41.(-8.01)+4.2×3.74改写为:计算表达式:(-8.01)+4.2×3.7442.32.52-(6+9.728÷3.2)×2.5改写为:计算表达式:32.52-(6+9.728÷3.2)×2.5 43.[(7.1-5.6)×0.9-1.15]÷2.5改写为:计算表达式:[(7.1-5.6)×0.9-1.15]÷2.544.5.4÷[2.6×(3.7-2.9)+0.62]改写为:计算表达式:5.4÷[2.6×(3.7-2.9)+0.62]45.12×6÷(12-7.2)-6改写为:计算表达式:12×6÷(12-7.2)-646.12×6÷7.2-6改写为:计算表达式:12×6÷7.2-647.33.02-(148.4-90.85)÷2.5改写为:计算表达式:33.02-(148.4-90.85)÷2.548.(-5)-252×(-78)改写为:计算表达式:(-5)-252×(-78)6)×(-2)+3÷(5+50) = 12 + 3/557-7+3-6-(-90) = 778)(-3)×(-8)×25 = 48007+13)÷(-616)÷(-28) = 1/8+14-100-27)÷4 = -26/4 = -13/2 15)÷(-1)-101÷10 = 15-10.1 = 4.916÷0.21×(-8)×(4.1+5.9) = -54410)×(-2)×4÷{-9÷[6+(-5.67)]} = 320/3 18)(-4)2×[8.01×(-3.14)] = 7257.129-32{-890-[79+8.1]×9} = -20)-23+(-9)×9.42 = -113.9824)3.4×104÷(-5)×200.96 = .298|+76+(-87)]×23/[56+(-75)-(7)]-(8+4+3)×5+21×8/2-6-59 = -3768/21-8-11×8+61 = -5/212/9-7/9-56 = -559/814.6-(-3/4+1.6-4-3/4) = 12.11/2+3+5/6-7/12 = 3 1/42/3-4-1/4*(-0.4)]/1/3+2 = -7/622+(-4)+(-2)+4×3 = 282×8-8×1/2+8/1/8 = -19.52/3+1/2)/(-1/12)×(-12) = -1128)/(-6+4)+(-1)+√9 = -22/(-2)+0/7-(-8)×(-2) = -301/4-5/6+1/3+2/3)/1/2 = 1/1218-6/(-3)×(-2)×2^7 = 38645+3/8×8/30)/(-2)-√36 = -5/1284)/2×(-3)/(-6) = 211/2×(-4/15)/2/3 = -1/251+2+3+4+。
(完整版)初中精选数学计算题200道4. x2-5x=05. x2-x-1=06. 化简3寸反+6、^言-2x7. 因式分解 x 4-8x2y2+16y 42 1 _ 5 8. 2x+1 +2x-1 =4x2-1 9. 因式分解(2x+y) 2 -(x+2y) 2 10. 因式分解-8a2b+2a3+8ab2 11. 因式分解a 4-161 14. ( -V3 )o- I -3 I +(-1)2015+(2 )-1计算题1.2. 5x+2 3 x2+x ~x+13.会+工=1 x-4 4-x 1* *12.因式分解3ax2-6axy+8ab213.先化简,再带入求值(x+2)x2-2x+1(x-1)-,x= 33 ,,118. (-3-1) X (- 2 )2-2-1 + (- 2 )320. (x+1) 2-(x+2)(x-2) — 1』21. sin60 - I 1-V 3 I + (2 ) -1 22.(-5) 16x (-2)15(结果以幕的形式表示)23. 若 n 为正整数且(m n ) 2 =9,求(1 m 3n ) 3 (m2)2n3 24. 因式分解 a2+ac-ab-bc 25. 因式分解 x2-5x+6 26. 因式分解(x+2)(x+3)+x 2-4 27. 因式分解(a2+1) 2-4a2 128. -12016+18 + (-3) X I -2 I17. 2x-1 (x+1 x-2 -x+1)/ x2+2x+1 19.1 2x-1 34x 2、一 134.计算(-1) 2 - 4 X [2- (-3) 2]35. 解二元一次方程组x-2y=136. 解二元一次方程组37. 解二元一次方程组38.39.40. 虹x+3y=6 2(x-y)3匚5y-x=3x+2y=6 I 3x-2y=2解不等式 3 (x-1) >2x+23x+1 7x-3 解不等式飞3x+y4122(x-2)5 v 20化简a(a-1) 2-(a+1)(a2-a+1)a 41. (a-b_b_+ b-a)1a+b一 - 142.当m*,求代数式1 m+一m143. (2 ) -1-(也-1) o + -3 Itan45o-cos60o+ cos30o tan60山x2-5x+6 44.先化简再求值总寂3.(1奇2)(1+x-3 ),其中x^/345-先化简再求值悬’其中x =-1,y =246. 解方程 x2-3x=047. 6-」(-2)2 - 2-1+ (-3.14) o+拒 +cos245148.计算(A /3 ) 2+4X (- 2 ) -2349.先化简,再求值(a+b) (a-b)+b(b-2),其中 a 淄 ,b=-1a b2 a+b52. 化间 [a-b +a(b-a) ] 无53. 计算-22+(3-3.14) o+3sin30 54.计算(1 ) -1+ (2006-兀)o - V3 tan60 355. 计算 2013-(兀-3.14) o+l-3 I + (-1) 56.157. 计算:-2斗1-3.14|+ (-洞2X 表)颂、3七、「苹 tan 疗 111-Vsl-(5兀+2013)。
初中数学计算题(200道)(-1.5)×(-9)-12÷(-4)56÷(-7)-2÷5+0.43.57×29÷(-4)5.6÷(-2.8)-(-50)÷2[9.6+(-7.3)]×[(-5)-(-7)]12.3÷[5.6+(-1.2)](-75.6)÷(1/4+1/5)9.5×(-9.5)÷1/295.77÷(-2)+(-34.6)(-51.88)÷2-(-5)×241.25*(-3)+70*(-5)+5*(-3)+25 9999*3+101*11*(101-92)(23/4-3/4)*(3*6+2)3/7 × 49/9 - 4/38/9 × 15/36 + 1/2712× 5/6 –2/9 ×38× 5/4 + 1/46÷ 3/8 –3/8 ÷64/7 × 5/9 + 3/7 × 5/95/2 -( 3/2 + 4/5 )7/8 + ( 1/8 + 1/9 )9 × 5/6 + 5/63/4 × 8/9 - 1/37 × 5/49 + 3/146 ×( 1/2 + 2/3 )8 × 4/5 + 8 × 11/531 × 5/6 – 5/69/7 - ( 2/7 – 10/21 )5/9 × 18 –14 × 2/74/5 × 25/16 + 2/3 × 3/4 14 × 8/7 –5/6 × 12/15 17/32 –3/4 × 9/243 × 2/9 + 1/35/7 × 3/25 + 3/73/14 × 2/3 + 1/61/5 × 2/3 + 5/69/22 + 1/11 ÷ 1/25/3 × 11/5 + 4/345 × 2/3 + 1/3 × 157/19 + 12/19 × 5/61/4 + 3/4 ÷ 2/38/7 × 21/16 + 1/2101 × 1/5 –1/5 × 21 50+160÷40120-144÷18+35347+45×2-4160÷5237×(58+37)÷(64-9×5)95÷(64-45)178-145÷5×6+42812-700÷(9+31×11)85+14×(14+208÷26)120-36×4÷18+35(58+37)÷(64-9×5)(6.8-6.8×0.55)÷8.50.12× 4.8÷0.12×4.8(3.2×1.5+2.5)÷1.66-1.6÷4= 5.38+7.85-5.37=7.2÷0.8-1.2×5= 6-1.19×3-0.43= 6.5×(4.8-1.2×4)=5.8×(3.87-0.13)+4.2×3.74 32.52-(6+9.728÷3.2)×2.5 [(7.1-5.6)×0.9-1.15] ÷2.5 5.4÷[2.6×(3.7-2.9)+0.62]12×6÷(12-7.2)-612×6÷7.2-60.68×1.9+0.32×1.958+370)÷(64-45)420+580-64×21÷28136+6×(65-345÷23)15-10.75×0.4-5.718.1+(3-0.299÷0.23)×1 (6.8-6.8×0.55)÷8.50.12× 4.8÷0.12×4.8(3.2×1.5+2.5)÷1.63.2×6+(1.5+2.5)÷1.60.68×1.9+0.32×1.910.15-10.75×0.4-5.75.8×(3.87-0.13)+4.2×3.74 32.52-(6+9.728÷3.2)×2.5 [(7.1-5.6)×0.9-1.15] ÷2.5 5.4÷[2.6×(3.7-2.9)+0.62] 12×6÷(12-7.2)-612×6÷7.2-633.02-(148.4-90.85)÷2.576.(25%-695%-12%)*3677./4*3/5+3/4*2/578.1-1/4+8/9/7/979.+1/6/3/24+2/2180./15*3/581.3/4/9/10-1/682./3+1/2)/5/6-1/3]/1/783./5+3/5/2+3/484.(2-2/3/1/2)]*2/585.+5268.32-256986.3+456-52*887.5%+632588./2+1/3+1/489+456-785%+. 3/7 × 49/9 - 4/3 9 × 15/36 + 1/272× 5/6 –2/9 ×33× 5/4 + 1/494÷ 3/8 –3/8 ÷695/7 × 5/9 + 3/7 × 5/9 6/2 -( 3/2 + 4/5 )8 + ( 1/8 + 1/9 )8 × 5/6 + 5/61/4 × 8/9 - 1/310 × 5/49 + 3/141.5 ×( 1/2 + 2/3 )2/9 × 4/5 + 8 × 11/5 3.1 × 5/6 – 5/64/7 - ( 2/7 – 10/21 )19 × 18 –14 × 2/75 × 25/16 + 2/3 × 3/4 4 × 8/7 –5/6 × 12/15 7/32 –3/4 × 9/242/3÷1/2-1/4×2/52-6/13÷9/26-2/32/9+1/2÷4/5+3/810÷5/9+1/6×41/2×2/5+9/10÷9/205/9×3/10+2/7÷2/51/2+1/4×4/5-1/83/4×5/7×4/3-1/223-8/9×1/27÷1/278×5/6+2/5÷41/2+3/4×5/12×4/58/9×3/4-3/8÷3/45/8÷5/4+3/23÷9/111.2×2.5+0.8×2.58.9×1.25-0.9×1.2512.5×7.4×0.89.9×6.4-(2.5+0.24)(27) 6.5×9.5+6.5×0.5 0.35×1.6+0.35×3.40.25×8.6×46.72-3.28-1.720.45+6.37+4.555.4+6.9×3-(25-2.5)2×41846-620-3804.8×46+4.8×540.8+0.8×2.51.25×3.6×8×2.5-12.5×2.4 28×12.5-12.5×2023.65-(3.07+3.65)(4+0.4×0.25)8×7×1.25 1.65×99+1.6527.85-(7.85+3.4)48×1.25+50×1.25×0.2×8 7.8×9.9+0.78(1010+309+4+681+6)×123×9146×782×6×8545.15×7/8+6.1-0.606253/7 × 49/9 - 4/38/9 × 15/36 + 1/2712× 5/6 –2/9 ×38× 5/4 + 1/46÷ 3/8 –3/8 ÷64/7 × 5/9 + 3/7 × 5/95/2 -( 3/2 + 4/5 )7/8 + ( 1/8 + 1/9 )9. 9 × 5/6 + 5/63/4 × 8/9 - 1/37 × 5/49 + 3/146 ×( 1/2 + 2/3 )8 × 4/5 + 8 × 11/531 × 5/6 – 5/69/7 - ( 2/7 – 10/21 )5/9 × 18 –14 × 2/74/5 × 25/16 + 2/3 × 3/414 × 8/7 –5/6 × 12/1517/32 –3/4 × 9/243 × 2/9 + 1/35/7 × 3/25 + 3/73/14 × 2/3 + 1/61/5 × 2/3 + 5/69/22 + 1/11 ÷ 1/25/3 × 11/5 + 4/345 × 2/3 + 1/3 × 157/19 + 12/19 × 5/61/4 + 3/4 ÷ 2/38/7 × 21/16 + 1/2101 × 1/5 –1/5 × 2150+160÷40 (58+370)÷(64-45)120-144÷18+35347+45×2-4160÷52(58+37)÷(64-9×5)95÷(64-45)178-145÷5×6+42 420+580-64×21÷28812-700÷(9+31×11)(136+64)×(65-345÷23)85+14×(14+208÷26)(284+16)×(512-8208÷18)120-36×4÷18+35(58+37)÷(64-9×5)(6.8-6.8×0.55)÷8.50.12× 4.8÷0.12×4.8(3.2×1.5+2.5)÷1.6 (2)3.2×(1.5+2.5)÷1.6 6-1.6÷45.38+7.85-5.377.2÷0.8-1.2×56-1.19×3-0.4347.6.5×(4.8-1.2×4)0.68×1.9+0.32×1.948.10.15-10.75×0.4-5.749.5.8×(3.87-0.13)+4.2×3.7450.32.52-(6+9.728÷3.2)×2.551.[(7.1-5.6)×0.9-1.15] ÷2.552.5.4÷[2.6×(3.7-2.9)+0.62]53.12×6÷(12-7.2)-6 (4)12×6÷7.2-6102×(-4.5)-(-3)×(-5) ÷27.8×6.9+2.2×6.9(-2)+2-(-52)×(-1) ×5+87÷(-3)×(-1)5.6×0.258×(20-1.25)(-7.1) ×〔(-3)×(-5)〕÷2-2.5×(-4.8)×(0.09)÷(-0.27) 127+352+73+44×(-2)89×276+(-135)-3325×71+75÷29 -88÷(-2)243+89+111+579405-2940÷28×21920-1680÷40÷7690+47×52-398148+3328÷64-75360×24÷32+7302100-94+48×5451+(2304-2042)×234215+(4361-716)÷81(247+18)×27÷2536-720÷(360÷18)1080÷(63-54)×80(528+912)×5-61788528÷41×38-904264+318-8280÷69(174+209)×26- (9000^0)814-(278+322)÷151406+735×9÷453168-7828÷38+504796-5040÷(630÷7)285+(3000-372)÷361+5/6-19/123x(-9)+7x(-9)(-54)x1/6x(-1/3)1.18.1+(3-0.299÷0.23)×12.(6.8-6.8×0.55)÷8.53.0.12×4.8÷0.12×4.843.2×1.5+2.5÷(-1.6)(-2)×3.2×(1.5+2.5)÷1.6 5.6-1.6÷4+(6.8-9)5.38+7.85-5.37÷896.7.2÷0.8-1.2×56-1.19×3-0.437.6.5×(4.8-1.2×4)0.68×1.9+0.32×1.98.10.15-10.75×0.4-5.79.5.8×(3.87-0.13)(-8.01)+4.2×3.7410.32.52-(6+9.728÷3.2)×2.511.[(7.1-5.6)×0.9-1.15] ÷2.512.5.4÷[2.6×(3.7-2.9)+0.62]13.12×6÷(12-7.2)-614.12×6÷7.2-615.33.02-(148.4-90.85)÷2.5(-5)-252×(-78)(-6) ×(-2)+3÷(5+50)7-7+3-6-(-90)(-8)(-3)×(-8)×25(7+13) ÷(-616)÷(-28)(8+14-100-27)÷4(-15) ÷(-1)-101÷1016÷0.21×(-8) ×(4.1+5.9)(-10) ×(-2) ×4÷{-9÷[6+(-5.67)]}(-18)(-4)2×[8.01×(-3.14)9-32{-890-[79+8.1] ×9}(-20)-23+(-9) ×9.42(-24)3.4×104÷(-5) ×200.96[-|98|+76+(-87)]*23[56+(-75)-(7)]-(8+4+3) 5+21*8/2-6-5968/21-8-11*8+61-2/9-7/9-564.6-(-3/4+1.6-4-3/4)1/2+3+5/6-7/12[2/3-4-1/4*(-0.4)]/1/3+222+(-4)+(-2)+4*3-2*8-8*1/2+8/1/8(2/3+1/2)/(-1/12)*(-12)(-28)/(-6+4)+(-1) +√92/(-2)+0/7-(-8)*(-2)(1/4-5/6+1/3+2/3)/1/218-6/(-3)*(-2) ×2^7(5+3/8*8/30/(-2)- √36(-84)/2*(-3)/(-6)1/2*(-4/15)/2/31+2+3+4+......+1000001/1+1/2+1/3+......1/501+1/2+1/4+1/8+1/16+......1/5123+9+27+81+243+ (9999)1+1/2+1/6+1/12+1/20+1/30+1/42+1/56+1/72+1/90 8-2×32-(-2×3)2–12 × (-3)2-(-1/2)2003×(-2)2002÷2/9 (0.5-3/2)÷3/1×[-2-(-3)3]-∣1/8-0.52∣[-38-(-1)7+(-3)8]×-53a^3-2b^3+ab(2a-b)-√a-b^215*(-8)+2b^2+(x^2+y^2)^2-4y(x^2+y^2)+4y^26-3a^8-(-5^2-6)(x^2+2x)^2+3(x^2+2x)+x^2+2x+3(a+1)(a+2)+(2a+1)(a-2)-12x^2(y+z)^2-2xy(x-z)(y+z)+y^2(x-z)^23(a+2)^2+28(a+2)-20(a+b)^2-(b-c)^2+a^2-c^28x(x+1)(x^2+x-1)-2x^2(x-1)^2-3(x^2-x)-5614a(a-b)+(a-b)^211.-ab(a-b)^+a(b-a)^212.3(x+2)-2x=5-4x13.5(x+2a)-a=2(b-2x)+4a3.14*3.42 (2)972*3.14*1/4[-|98|+76+(-87)]*23[56+(-75)-(7)]-(8+4+3) 5+21*8/2-√121-5968/21-8-11*8+61-2/9-7/9-564.6-(-3/4+1.6-4-3/4)1/2+3+5/6-7/12[2/3-4-1/4*(-0.4)]/1/3+222+(-4)+(-2)+4*3-2*8-8*1/2+8/1/8(2/3+1/2)/(-1/12)*(-12)(-28)/(-6+4)+(-1)2/(-2)+0/7-(-8)*(|-2|-5^4)(1/3+2/3)/1/2-|-9+(-5)|18-6/(-3)*(-2)-|-9|(5+3/8*8/30/(-2)-3(-84)/2*(-3)/(-6)1/2*(-4/15)/2/3|-3x+2y-5x-7y|-|-9x+2y| -5+21*8/2-6-5968/21-8-11*8+61-2/9-7/9-564.6-(-3/4+1.6-4-3/4)1/2+3+5/6-7/12[2/3-4-1/4*(-0.4)]/1/3+2 22+(-4)+(-2)+4*3-√64-5^2 -2*8-8*1/2+8/1/8(2/3+1/2)/(-1/12)*(-12) (-28)/(-6+4)+(-1)2/(-2)+0/7-(-8)*(-2)(1/4-5/6+1/3+2/3)/1/218-6/(-3)*(-2)(5+3/8*8/30/(-2)-3(-84)/2*(-3)/(-6)1/2*(-4/15)/2/3+√9-3x+2y-5x-7y+-5+21*8/2-6-5968/21-8-11*8+61-2/9-7/9-564.6-(-3/4+1.6-4-3/4)1/2+3+5/6-7/12[2/3-4-1/4*(-0.4)]/1/3+222+(-4)+(-2)+4*3-2*8-8*1/2+8/1/8(2/3+1/2)/(-1/12)*(-12) (-28)/(-6+4)+(-1)2/(-2)+0/7-(-8)*(-2)(1/4-5/6+1/3+2/3)/1/218-6/(-3)*(-2)(5+3/8*8/30/(-2)-3(-84)/2*(-3)/(-6)1/2*(-4/15)/2/3-3x+2y-5x-7y-(-3^2+5^7)-1+2-3+4-5+6-7+√9-50-28+(-24)-(-22)-19.8-(-20.3)-(+20.2)-10.8;0.25- +(-1 )-(+3 ).-1-23.33-(+76.76)1-2*2*2*2-5^2+(6^2-5^2) (-6-24.3)-(-12+9.1)+(0-2.1) -1+8-7+5^7-(-5+√9)125*3+125*5+25*3+259999*3+101*11*(101-92)(23/4-3/4)*(3*6+2)3/7 × 49/9 - 4/38/9 × 15/36 + 1/2712x*5/6y–2/9y*|3x-2y| 8×5/4+1/4*|-7-8|6÷ 3/8 –3/8 ÷64/7 × 5/9 + 3/7 × 5/95/2 -( 3/2 + 4/5 )7/8 + ( 1/8 + 1/9 )9 × 5/6 + 5/63/4 × 8/9 - 1/37 × 5/49 + 3/146 ×( 1/2 + 2/3 )8 × 4/5 + 8 × 11/531 × 5/6 – 5/69/7 - ( 2/7 – 10/21 )5/9 × 18 –14 × 2/74/5 × 25/16 + 2/3 × 3/4 14 × 8/7 –5/6 × 12/15 17/32 –3/4 × 9/243^45 × 2/9 + 1/35/7 × 3/25 + 3/73/14 ×2/3 + 1/61/5 × 2/3 + 5/65/3 × 11/5 + 4/39/22+1/11÷1/2-√16945^8 × 2/3 + 1/3 × 157/19 + 12/19 × 5/61/4 + 3/4 ÷ 2/38/7 × 21/16 + 1/2101^4×(-1/5–1/5×21)50+√160÷40^5120-144÷18+35347+45×2-4160÷5237^2(58+37)÷(64-9×5)95÷(64-45)178-145÷5×6+42812-700÷(9+31×11)85+14×(14+208÷26)120-36×4÷18+35(58+37)÷(64-9×5)(6.8-6.8×0.55)÷8.50.12× 4.8÷0.12×4.8(3.2×1.5+2.5)÷1.66-1.6÷4= 5.38+7.85-5.37=7.2÷0.8-1.2×5= 6-1.19×3-0.43= 6.5×(4.8-1.2×4)=5.8×(3.87-0.13)+4.2×3.74 32.52-(6+9.728÷3.2)×2.5[(7.1-5.6)×0.9-1.15] ÷2.5 5.4÷[2.6×(3.7-2.9)+0.62] 12×6÷(12-7.2)-612×6÷7.2-60.68×1.9+0.32×1.958+370)÷(64-45)420+580-64×21÷28136+6×(65-345÷23)15-10.75×0.4-5.718.1+(3-0.299÷0.23)×1 (6.8-6.8×0.55)÷8.50.12× 4.8÷0.12×4.8(3.2×1.5+2.5)÷1.63.2×6+(1.5+2.5)÷1.60.68×1.9+0.32×1.910.15-10.75×0.4-5.75.8×(3.87-0.13)+4.2×3.74 32.52-(6+9.728÷3.2)×2.5 [(7.1-5.6)×0.9-1.15] ÷2.5 5.4÷[2.6×(3.7-2.9)+0.62] 12×6÷(12-7.2)-612×6÷7.2-633.02-(148.4-90.85)÷2.5 76.(25%-695%-12%)*367/4*3/5+3/4*2/51-1/4+8/9/7/97+1/6/3/24+2/218/15*3/53/4/9/10-1/68/3+1/2)/5/6-1/3]/1/7 9/5+3/5/2+3/48^6(2-2/3/1/2)]*2/58+5268.32-25693+456-52*887.5%+63258/2+1/3+1/489+456-785%+. 3/7 × 49/9 - 4/3 9 × 15/36 + 1/272× 5/6 –2/9 ×33× 5/4 + 1/494÷ 3/8 –3/8 ÷695/7 × 5/9 + 3/7 × 5/9 6/2 -( 3/2 + 4/5 )8 + ( 1/8 + 1/9 )8 × 5/6 + 5/61/4 × 8/9 - 1/310× 5/49 + 3/142/9 × 4/5 + 8 × 11/5 3.1 × 5/6 – 5/64/7 - ( 2/7 – 10/21 )19 × 18 –14 × 2/75 × 25/16 + 2/3 × 3/4 4 × 8/7 –5/6 × 12/15 7/32 –3/4 × 9/242/3÷1/2-1/4×2/52-6/13÷9/26-2/32/9+1/2÷4/5+3/810÷5/9+1/6×41/2×2/5+9/10÷9/205/9×3/10+2/7÷2/51/2+1/4×4/5-1/83/4×5/7×4/3-1/223-8/9×1/27÷1/2718×5/6+2/5÷411/2+3/4×5/12×4/58/9×3/4-3/8÷3/45/8÷5/4+3/23÷9/11 1.2×2.5+0.8×2.58.9×1.25-0.9×1.2512.5×7.4×0.86.5×9.5+6.5×0.50.35×1.6+0.35×3.40.25×8.6×46.72-3.28-1.720.45+6.37+4.555.4+6.9×3-(25-2.5)2×41846-620-3804.8×46+4.8×540.8+0.8×2.51.25×3.6×8×2.5-12.5×2.4 28×12.5-12.5×2023.65-(3.07+3.65)(4+0.4×0.25)8×7×1.25 1.65×99+1.6527.85-(7.85+3.4)48×1.25+50×1.25×0.2×8 7.8×9.9+0.78(1010+309+4+681+6)×123×9146×782×6×8545.15×7/8+6.1-0.606253/7 × 49/9 - 4/38/9 × 15/36 + 1/2712× 5/6 –2/9 ×38× 5/4 + 1/46÷ 3/8 –3/8 ÷64/7 × 5/9 + 3/7 × 5/95/2 -( 3/2 + 4/5 )7/8 + ( 1/8 + 1/9 )9 × 5/6 + 5/63/4 × 8/9 - 1/37 × 5/49 + 3/146 ×( 1/2 + 2/3 )8 × 4/5 + 8 × 11/531 × 5/6 – 5/69/7 - ( 2/7 – 10/21 )5/9 × 18 –14 × 2/74/5 × 25/16 + 2/3 × 3/4 14 × 8/7 –5/6 × 12/15 17/32 –3/4 × 9/243 × 2/9 + 1/35/7 × 3/25 + 3/73/14 × 2/3 + 1/61/5 × 2/3 + 5/69/22 + 1/11 ÷ 1/25/3 × 11/5 + 4/345 × 2/3 + 1/3 × 157/19 + 12/19 × 5/61/4 + 3/4 ÷ 2/38/7 × 21/16 + 1/2101 × 1/5 –1/5 × 2150+160÷40 (58+370)÷(64-45)120-144÷18+35347+45×2-4160÷52(58+37)÷(64-9×5)95÷(64-45)178-145÷5×6+42 420+580-64×21÷28812-700÷(9+31×11)(136+64)×(65-345÷23)85+14×(14+208÷26)(284+16)×(512-8208÷18)120-36×4÷18+35(58+37)÷(64-9×5)(6.8-6.8×0.55)÷8.50.12× 4.8÷0.12×4.8(3.2×1.5+2.5)÷1.63.2×(1.5+2.5)÷1.66-1.6÷4= 5.38+7.85-5.37=7.2÷0.8-1.2×5= 6-1.19×3-0.43=6.5×(4.8-1.2×4)= 0.68×1.9+0.32×1.9 10.15-10.75×0.4-5.75.8×(3.87-0.13)+4.2×3.7432.52-(6+9.728÷3.2)×2.5[(7.1-5.6)×0.9-1.15] ÷2.55.4÷[2.6×(3.7-2.9)+0.62]12×6÷(12-7.2)-6 (4)12×6÷7.2-6 102^2×4.5+8^5-√5297.8×6.9+2.2×6.95.6×0.258×(20-1.25)127+352+73+4489+276+135+3325+71+75+29 +88243+89+111+579405-2940÷28×21920-1680÷40÷7690+47×52-398148+3328÷64-75360×24÷32+7302100-94+48×5451+(2304-2042)×234215+(4361-716)÷81(247+18)×27÷2536-720÷(360÷18)1080÷(63-54)×80(528+912)×5-61788528÷41×38-904264+318-8280÷69(174+209)×26- 9000814-(278+322)÷151406+735×9÷453168-7828÷38+504796-5040÷(630÷7)285+(3000-372)÷361+5/6-19/123x(-9)+7x(-9(-54)x1/6x(-1/3)18.1+(3-0.299÷0.23)×1 (6.8-6.8×0.55)÷8.50.12× 4.8÷0.12×4.8(3.2×1.5+2.5)÷1.63.2×(1.5+2.5)÷1.65.6-1.6÷45.38+7.85-5.377.2÷0.8-1.2×56-1.19×3-0.436.5×(4.8-1.2×4)0.68×1.9+0.32×1.9115-10.75×0.4-5.75.8×(3.87-0.13)+4.2×3.7432.52-(6+9.728÷3.2)×2.5 [(7.1-5.6)×0.9-1.15] ÷2.5 5.4÷[2.6×(3.7-2.9)+0.62] 12×6÷(12-7.2)-612×6÷7.2-633.02-(148.4-90.85)÷2.5二.解方程2x=7(x-5)8(3x+3)=2404.74+4x-2.5x=8.1(2.81+x)÷2.81=115x-30=16(x-2)(-3)^3-3^3(-1)^2-5.62^2+3^3-4^4(2^4-3^2)^3-5^5[(1.6^2-2^3)-2.1]^2(5.66×2)^2-15^2(-15)^x=225,x=?[(-4)^2-4^2]×2^2[(-5.6)^2+3]^2[5.6^2+(-5.6)^2]×(-1)^23x+28-x=561.5x+6=3.752(3.6x+2.8)=-1.69.5x+9.5=1918(x-35)=-36x+7-(-36+8^2)/2=8+7^4/3a-7-98+7a=3.2*5a89/2+35/6x=3*9+2^3/5+7x3X+189/3=521/24Y+119*^3=22/113X*189=5*4^5/38Z/6=458/53X+77=594Y-6985=8187X*13=57Z/93=4115X+863-65X=5458Y*55=274897(2x-1)-3(4x-1)=4(3x+2)-1(5y+1)+ (1-y)= (9y+1)+ (1-3y) [-6(-7^4*8)-4]=x+220%+(1-20%)(320-x)=320×40%2(x-2)+2=x+12(x-2)-3(4x-1)=9(1-x)11x+64-2x=100-9x15-(8-5x)=7x+(4-3x)3(x-7)-2[9-4(2-x)]=223/2[2/3(1/4x-1)-2]-x=22x+7^2=1571)判断题:判断下列方程是否是一元一次方程:①-3x-6x2=7( )③5x+1-2x=3x-2 ( )④3y-4=2y+1. ( )判断下列方程的解法是否正确:①解方程3y-4=y+3解:3y-y=3+4,2y=7,y=3.5②解方程:0.4x-3=0.1x+2解:0.4x+0.1x=2-3;0.5x=-1,x=-2③解方程解:5x+15-2x-2=10,3x=-3,x=-1;④解方程解:2x-4+5-5x=-1,-3x=-2,x= .( )2)填空题:(1)若2(3-a)x-4=5是关于x的一元一次方程,则a≠_ (2)关于x的方程ax=3的解是自然数,则整数a的值为_ (3)方程5x-2(x-1)=17 的解是_(4)x=2是方程2x-3=m- 的解,则m=_ .(5)若-2x2-5m+1=0 是关于x的一元一次方程,则m=_ . (6)当y=_ 时,代数式5y+6与3y-2互为相反数.(7)当m=_ 时,方程的解为0.(8)已知a≠0.则关于x的方程3ab-(a+b)x=(a-b)x的解为______ .3)选择题:(1)方程ax=b的解是().A.有一个解x= B.有无数个解C.没有解 D.当a≠0时,x=(2)解方程 ( x-1)=3,下列变形中,较简捷的是()A.方程两边都乘以4,得3( x-1)=12B.去括号,得x- =3C.两边同除以,得 x-1=4D.整理,得(3)方程2- 去分母得()A.2-2(2x-4)=-(x-7)B.12-2(2x-4)=-x-7C.12-2(2x-4)=-(x-7)D.以上答案均不对(4)若代数式比大1,则x的值是().A.13 B. C.8 D.(5)x=1.5是方程()的解.A.4x+2=2x-(-2-9)B.2{3[4(5x-1)-8]-2}=8C.4x+9 =6x+64)解答下列各题:(1)x等于什么数时,代数式的值相等?(2)y等于什么数时,代数式的值比代数式的值少3?(3)当m等于什么数时,代数式2m- 的值与代数式的值的和等于5?(4)解下列关于x的方程:①ax+b=bx+a;(a≠b);三.化简、化简求值化间求值:1、-9(x-2)-y(x-5)(1)化简整个式子。
.WORD. 格式 .计算题 c l3+( π +3)o -327 +∣ 3 -2∣1.35x+232. x2+x =x+1 3-x 13. x-4+4-x=14. x2-5x=05. x2-x-1=06. 化简29x +6x-2x1 3 4 x7. 因式分解 x 4-8x 2y2+16y42158.2x+1+2x-1 =4x2-19. 因式分解( 2x+y )2-(x+2y) 2 10. 因式分解 -8a2b+2a3+8ab2 11. 因式分解 a 4-1612. 因式分解 3ax2-6axy+8ab213. 先化简,再带入求值(x+2 )(x-1)- x2-2x+1,x= 3x-114. ( - 3 )o-∣ -3∣ +(-1)2015+(1)-1211a2-a15.(a-1 -a2-1 )÷ a2-116. 2(a+1) 2+(a+1)(1-2a).WORD. 格式 .2x-1x-217.(x+1 -x+1) ÷ x2+2x+118. (-3-1) × (- 3 )2-2-1÷ (- 1 )32211 319.2x-1 = 2 - 4 x 220. (x+1) 2-(x+2)(x-2)21. sin60°-∣ 1- 3 ∣ +( 12 ) -122.(-5) 16× (-2)15(结果以幂的形式表示 )23. 若 n 为正整数且( m n)2=9, 求(13 m3n)3(m2)2n24. 因式分解 a2+ac-ab-bc25. 因式分解 x2-5x+626. 因式分解 (x+2)(x+3)+x 2-427. 因式分解 (a2+1) 2-4a22016128. -1 +18÷ (-3) ×∣ - ∣129. 先化简,再求值3(x2+xy-1)-(3x 2-2xy), 其中x=1 ,y= - 530. 计算 3-4+5-(-6)-7131. 计算 -12+(-4) 2×∣ -8 ∣ -82÷ (-4) 332.计算 20-( -7)-∣-2∣1 5 1133.计算( 3 - 9 +12 )× (-36).专业资料 . 整理分享 .134.计算( -1)2- 4 ×[2- (-3) 2]35. 解二元一次方程组x-2y=1 ① x+3y=6②2(x-y)x+y 136. 解二元一次方程组3 -4 =- 12 ①5y-x=3 ②37. 解二元一次方程组x+2y=6 ①3x-2y=2 ②38. 解不等式3( x-1)> 2x+23x+17x-3 2(x-2)39. 解不等式 3 - 5 ≤2+15 40. 化简 a(a-1) 2-(a+1)(a2-a+1)41. (a+b) ÷ 1a-bb-a a+b1142. 当 m=5-2,求代数式 m+m1 )-1- (tan45o-cos60o43. ( 2 2 -1)o +∣ -3∣ + cos30o· tan60°x2-5x+6 3 244. 先化简再求值3x2-3x·(1-x+1 )·(1+ x-3 ),其中 x= 3x-y45. 先化简再求值 y2-x2 ,其中 x=-1 , y=246. 解方程 x2-3x=047. 6- (-2)2 · 2-1+(-3.14)o + 3-8 +cos245°148. 计算(3 )2+4×( - 2 )-2349. 先化简,再求值( a+b ) (a-b)+b(b-2), 其中 a= 2 ,b=-1 50. 计算 4-(1 )o +(-2) 3÷3-15+251. 1 - 3tan230°+2 (sin45° -1)2计算2-1ab2 a+b52.化简 [ a-b +a(b-a) ] ÷ ab53. 计算 - 22+(3-3.14) o+3sin30°54. 1-1+( 2006-π )o - 3 tan60° 计算(3)55. 计算 2013-( π -3.14)o +∣ -3∣ +( -1) 56.57. 计算:﹣.58. 计算: .59. 计算:. 60. 计算:.61. 计算:.62. ( a ﹣ 2)2+4(a ﹣1)﹣( a+2)( a ﹣ 2)63.(﹣ 1)2013﹣ | ﹣ 7|+×0+()﹣1;64..65.计算:.66.解方程:.67.计算:.68.解方程:=﹣.69.求不等式组的整数解.70. 先化简,再求值:(﹣)÷,其中x=+1.71.解方程:72.73.先化简,再求值:÷+ ,其中 x=2 +1.74.解方程:.75.计算:.76.计算:(1+ )2013﹣ 2( 1+ )2012﹣4( 1+ )2011.77.计算:.78.计算: 8 2 10(1)1.279.解方程组:x y2.x2xy2y2080.计算:(﹣ 1)3+( +1)0+ .81.解不等式组:.82. 先化简,再求值: ÷( x+1﹣),其中 x= ﹣2.83. ∣ -5∣+22-( 3+1) o84. 2× ( - 5) + 23-3÷ 12 85. 22+( -1) 4+( 5- 2) 0-| - 3|86.3 0 43220112aab87. a2- b2 -a-b÷b-a2x 188.x 2-4 - x-289. ( a+b ) 2+b (a ﹣ b ).1 a-1 90. (a - a )÷ a1 x 21 91.1xx92. 1+1÷x2- 2 + 1x - 22 x,其中 x =- 5.x -493. ( a ﹣ 1+ )÷( a 2+1),其中 a= ﹣1.94. (11 ) a 22a 1,其中 a = 2 -1.a 1a95.3 a (a 25 ) , a 12a 4a 296. 化简求值:m22m 1m 1 ) , 其中 m = 3 .m 21(m 1m 1297. 化简 11x1x x98. 化简: (x 2x 1 ) x 216 , 其中x 2 2x2 2 x x 24x4x2 4x99.化简并求值:1 1 b a b a 2b2,其中2a a2aa 3 2 2, b3 2 3 .100. 计算:a 14a22a 3 .a2a a 21a 3101. 先化简,再求值:1 · x36x29x 1 x,其中 x =- 6. x 3x 22x 2 x1 a 2- 4a + 4102. 先化简再求值: 1-a - 1 ÷ a 2-a ,其中 a = 2+ 2 .a - 1a 2+2a1103.先化简,再求值:a + 2· a 2- 2a +1÷ a 2- 1,其中 a 为整数且- 3< a < 2.104. 先化简,再求值:112 x,其中 x 1 ,x y x yx22xy y2y2 .21 .105. 先化简,再求值:x 2 2x 2x ( x 2) ,其中 xx 4x 22106.先化简,再求值 (x2 11)2,其中 x 22xx24x 4 x22x107.2a 2 (a1)2a 21 .a 1a 2a 1108. 先化简再求值:a 1 2 a 24 121,其中 a 满足a 2 a 2a a1a2a0 .109. 先化简:(3a 1)a24a 4,并从 0,1,2 中选一a 1 a 1个合适的数作为 a 的值代入求值。
初中数学计算题(200道)(-1.5) × (-9)-12 ÷ (-4)56÷ (-7)-2 ÷ 5+0.43.57 × 29÷ (-4)5.6 ÷ (-2.8)-(-50) ÷ 2[9.6+(-7.3)] × [(-5)-(-7)]12.3 ÷ [5.6+(-1.2)](-75.6) ÷ (1/4+1/5)9.5 × (-9.5) ÷ 1/295.77 ÷ (-2)+(-34.6)(-51.88) ÷ 2-(-5) × 241.25* (-3 ) +70* (-5 ) +5* (-3 ) +25 9999*3+101*11*(101-92)(23∕4-3∕4)*(3*6+2)3/7 × 49/9 - 4/38/9 × 15/36 + 1/2712× 5/6 - 2/9 × 38× 5/4 + 1/46÷ 3/8 - 3/8 ÷64/7 × 5/9 + 3/7 × 5/97/8 + ( 1/8 + 1/9 )9 × 5/6 + 5/65/2 - ( 3/2 + 4/5 )3/4 × 8/9 - 1/37 × 5/49 + 3/146 ×( 1/2 + 2/3 )8 × 4/5 + 8 × 11/531 × 5/6 - 5/69/7 - ( 2/7 - 10/21 ) 5/9 × 18 - 14 × 2/74/5 × 25/16 + 2/3 × 3/4 14 × 8/7 - 5/6 × 12/15 17/32 - 3/4 × 9/243 × 2/9 + 1/35/7 × 3/25 + 3/73/14 × 2/3 + 1/61/5 × 2/3 + 5/69/22 + 1/11 ÷ 1/25/3 × 11/5 + 4/345 × 2/3 + 1/3 × 157/19 + 12/19 × 5/61/4 + 3/4 ÷ 2/38/7 × 21/16 + 1/2101 × 1/5 —1/5 × 21 120-144 ÷ 18+35347+45× 2-4160 ÷ 5250+ 160÷ 40120-144 ÷ 18+35 347+45× 2-4160 ÷ 5237×( 58+37)÷( 64-9 × 5)已做95÷( 64-45)178-145 ÷5× 6+42812-700 ÷( 9+31 × 11)85+14×( 14+208÷ 26)120-36 × 4÷ 18+35(58+37)÷( 64-9 × 5)(6.8-6.8 × 0.55) ÷ 8.50.12 × 4.8 ÷ 0.12 × 4.8(3.2 × 1.5+2.5 ) ÷ 1.66-1.6 ÷ 4= 5.38+7.85-5.37=7.2 ÷ 0.8-1.2 × 5= 6-1.19 × 3-0.43=6.5 ×( 4.8-1.2 × 4)=5.8 ×( 3.87-0.13 ) +4.2 × 3.7432.52- (6+9.728 ÷ 3.2 ) × 2.5[(7.1-5.6 ) × 0.9-1.15] ÷ 2.55.4 ÷ [2.6 ×( 3.7-2.9 ) +0.62]12×6÷( 12-7.2 ) -612× 6÷ 7.2-60.68 × 1.9+0.32 × 1.958+370) ÷( 64-45 )420+580-64 × 21÷ 2815-10.75 × 0.4-5.7136+6×( 65-345 ÷ 23 ) 15-10.75 × 0.4-5.718.1 +( 3—0.299 ÷ 0.23 ) × 1 (6.8-6.8 × 0.55) ÷ 8.50.12 × 4.8 ÷ 0.12 × 4.8(3.2 × 1.5+2.5 ) ÷ 1.63.2 × 6+ (1.5+2.5 ) ÷ 1.60.68 × 1.9+0.32 × 1.910.15-10.75 × 0.4-5.75.8 ×( 3.87-0.13 ) +4.2 × 3.74 32.52- (6+9.728 ÷ 3.2 ) × 2.5 [(7.1-5.6 ) × 0.9-1.15] ÷ 2.5 5.4 ÷ [2.6 ×( 3.7-2.9 ) +0.62]12×6÷( 12-7.2 ) -612× 6÷ 7.2-633.02 —(148.4 —90.85) ÷ 2.576. (25%-695%-12%)*3677. ∕4*3∕5+3∕4*2∕578.1-1/4+8/9/7/979. +1/6/3/24+2/2180. /15*3/581.3/4/9/10-1/682. /3+1/2)/5/6-1/3]/1/783. /5+3/5/2+3/484. (2-2/3/1/2)]*2/585. +5268.32-256986.3+456-52*887.5%+632588./2+1/3+1/489+456-785%+. 3/7 × 49/9 -4/39 × 15/36 + 1/272× 5/6 - 2/9 × 33× 5/4 + 1/494 ÷ 3/8 - 3/8 ÷ 695/7 × 5/9 + 3/7 × 5/9 6/2 - ( 3/2 + 4/5 )8 + ( 1/8 + 1/9 )8 × 5/6 + 5/61/4 × 8/9 - 1/310 × 5/49 + 3/141.5 ×( 1/2 + 2/3 )2/ 9 × 4/5 + 8 × 11/5 3.1 × 5/6 - 5/64/7 - ( 2/7 -10/21 ) 19 × 18 - 14 × 2/75 × 25/16 + 2/3 × 3/4 4 × 8/7 - 5/6 × 12/15 7/32 —3/4 × 9/242/3 ÷ 1/2 - 1/4 × 2/52 —6/13 ÷ 9/26 —2/32/9 + 1/2 ÷ 4/5 + 3/810÷5/9 + 1/6 ×41/2 × 2/5 + 9/10 ÷ 9/205/9 × 3/10 + 2/7 ÷ 2/51/2 + 1/4 × 4/5 —1/83/4 × 5/7 × 4/3 —1/223 —8/9 × 1/27 ÷ 1/278× 5/6 + 2/5 ÷41/2 + 3/4 × 5/12 × 4/58/9 × 3/4 —3/8 ÷ 3/45/8 ÷ 5/4 + 3/23 ÷ 9/11 1.2 × 2.5+0.8 × 2.58.9 × 1.25-0.9 × 1.25 12.5 × 7.4 × 0.89.9 × 6.4- (2.5+0.24 ) (27) 6.5 × 9.5+6.5 × 0.5 0.35 × 1.6+0.35 × 3.40.25 × 8.6 × 46.72-3.28-1.720.45+6.37+4.555.4+6.9 × 3- (25-2.5 )2× 41846-620-3804.8 × 46+4.8 × 540.8+0.8 × 2.51.25 × 3.6 × 8×2.5-12.5 × 2.4 28× 12.5-12.5 × 2023.65- (3.07+3.65 )(4+0.4 × 0.25 ) 8× 7× 1.25 1.65 × 99+1.6527.85- (7.85+3.4 )48 × 1.25+50 × 1.25 × 0.2 × 8 7.8 × 9.9+0.78(1010+309+4+681+6× 123× 9146× 782× 6× 8545.15 × 7/8+6.1-0.606253/7 × 49/9 - 4/38/9 × 15/36 + 1/2712× 5/6 - 2/9 × 38× 5/4 + 1/46÷ 3/8 - 3/8 ÷64/7 × 5/9 + 3/7 × 5/95/2 - ( 3/2 + 4/5 )7/8 + ( 1/8 + 1/9 )9. 9 × 5/6 + 5/67 × 5/49 + 3/146 ×( 1/2 + 2/3 )3/4 × 8/9 - 1/37 × 5/49 + 3/146 ×( 1/2 + 2/3 )实用文档8 × 4/5 + 8 × 11/531 × 5/6 - 5/69/7 - ( 2/7 - 10/21 )5/9 × 18 - 14 × 2/74/5 × 25/16 + 2/3 × 3/414 × 8/7 - 5/6 × 12/1517/32 - 3/4 × 9/243 × 2/9 + 1/35/7 × 3/25 + 3/73/14 × 2/3 + 1/61/5 × 2/3 + 5/69/22 + 1/11 ÷ 1/25/3 × 11/5 + 4/345 × 2/3 + 1/3 × 157/19 + 12/19 × 5/61/4 + 3/4 ÷ 2/38/7 × 21/16 + 1/2101 × 1/5 —1/5 × 2150+ 160÷40 (58+370)÷( 64-45)120-144 ÷ 18+35347+45× 2-4160 ÷ 52(58+37)÷( 64-9 × 5)95÷( 64-45) 178-145 ÷5× 6+42 420+580-64 × 21÷ 28实用文档812-700 ÷( 9+31 × 11) (136+64)×( 65-345 ÷ 23) 85+14×( 14+208÷ 26)(284+16)×( 512-8208 ÷ 18)120-36 × 4÷ 18+35(58+37)÷( 64-9 × 5)(6.8-6.8 × 0.55) ÷ 8.50.12 × 4.8 ÷ 0.12 × 4.8(3.2 × 1.5+2.5 ) ÷ 1.6 (2) 3.2 ×( 1.5+2.5 ) ÷ 1.6 6- 1.6 ÷ 45.38+7.85-5.377.2 ÷ 0.8-1.2 × 56-1.19 × 3-0.4347.6.5 ×( 4.8-1.2 × 4)0.68 × 1.9+0.32 × 1.948.10.15-10.75 × 0.4-5.749.5.8 ×( 3.87-0.13 ) +4.2 × 3.7450.32.52- (6+9.728 ÷ 3.2 ) × 2.551.[ ( 7.1-5.6 ) × 0.9-1.15] ÷ 2.552.5.4 ÷ [2.6 ×( 3.7-2.9 ) +0.62]53.12 × 6÷( 12-7.2 ) -6 (4 ) 12× 6÷7.2-6102× (-4.5)-(-3) × (-5) ÷27.8 × 6.9 + 2.2 × 6.95.6 × 0.258 ×( 20—1.25)(-2)+2-(-52) × (-1) × 5+87÷ (-3) × (-1)(-7.1) ×[ (-3) × (-5) J ÷ 2-2.5 × (-4.8) × (0.09) ÷ (-0.27) 127+352+73+44X (-2) 89 × 276+(-135)-3325 × 71+75÷ 29 -88 ÷ (-2)243+89+111+579405-2940÷ 28× 21920-1680 ÷ 40 ÷ 7690+47× 52-398148+3328+ 64-75360 × 24 ÷ 32+7302100-94+48 × 5451+ (2304-2042) × 234215+ (4361-716) ÷ 81(247+18)× 27÷ 2536-720 ÷( 360÷ 18)1080+( 63-54) × 80(528+912)× 5-61788528÷ 41× 38-904264+318-8280 ÷ 69(174+209)× 26- (9000^0)1406+735× 9÷453168-7828 ÷ 38+504814- ( 278+322)÷ 151406+735× 9÷45 3168-7828 ÷ 38+504796-5040 ÷( 630÷ 7)285+( 3000-372) ÷ 361+5/6-19/123x(-9)+7x(-9)(-54)x1∕6x(-1∕3)I. 18.1 + ( 3-0.299 ÷ 0.23 ) × 12. (6.8-6.8 × 0.55) ÷ 8.53.0.12 ×4.8 ÷ 0.12 × 4.843.2 × 1.5+2.5 ÷ (-1.6)(-2) × 3.2 ×( 1.5+2.5 ) ÷ 1.65.6- 1.6 ÷4+(6.8-9)5.38+7.85-5.37 ÷ 896.7.2 ÷ 0.8-1.2 × 56-1.19 × 3-0.437.6.5 ×( 4.8-1.2 × 4)0.68 × 1.9+0.32 × 1.98.10.15-10.75 × 0.4-5.79.5.8 ×( 3.87-0.13 )(-8.01)+4.2 × 3.7410.32.52- (6+9.728 ÷ 3.2 ) × 2.5 II. [ ( 7.1-5.6 ) × 0.9-1.15] ÷ 2.512.5.4 ÷ [2.6 ×( 3.7-2.9 ) +0.62]13.12 × 6÷( 12-7.2 ) -614.12 × 6÷ 7.2-615.33.02 —( 148.4 —90.85 ) ÷ 2.5(-5)-252 ×( -78)(-6) × (-2)+3 ÷( 5+50)7- 7+3-6- (-90)(-8)(-3) × (-8) × 25(7+13) ÷ (-616) ÷ (-28)(8+14-100-27 ) ÷ 4(-15) ÷ (-1)-101 ÷ 1016÷0.21 × (-8) × (4.1+5.9)(-10) × (-2) × 4÷{-9 ÷ [6+(-5.67)]}(-18)(-4)2 × [8.01 × (-3.14)9-32{-890-[79+8.1] × 9}(-20)-23+(-9) × 9.42(-24)3.4 × 104÷ (-5) × 200.96[-∣98∣+76+(-87)]*23[56+(-75)-(7)]-(8+4+3) 5+21*8/2-6-5968/21-8-11*8+61-2/9-7/9-564.6- (-3/4+1.6-4-3/4)1/2+3+5/6-7/12[2∕3-4-1∕4*(-0.4)]∕1∕3+222+(-4)+(-2)+4*3-2*8-8*1∕2+8∕1∕8(2/3+1/2)/(-1/12)*(-12)(-28)/(-6+4)+(-1) + √ 92∕(-2)+0∕7-(-8)*(-2)(1/4-5/6+1/3+2/3)/1/218-6∕(-3)*(-2) × 2^7(5+3∕8*8∕30∕(-2)- √ 36(-84)∕2*(-3)∕(-6)1∕2*(-4∕15)∕2∕31+2+3+4+……+1OOOOO1/1 + 1/2+1/3+……1/501 + 1/2+1/4+1/8+1/16+……1/5123+9+27+81+243+ (9999)1 + 1/2+1/6+1/12+1/20+1/30+1/42+1/56+1/72+1/908- 2× 32- (-2 × 3)2—12 × (-3)2 —(-1/2)2003 × (-2)2002 ÷ 2/9 (0.5-3/2) ÷ 3/1 × [-2-(-3)3] -I 1/8 —0.52 ∣[-38-(-1)7+(-3)8] × -53a^3-2b^3+ab(2a-b)- √a-b^215*(-8)+2b^2+(x^2+y^2)^2-4y(x^2+y^2)+4y^26-3a^8-(-5^2-6) (XΛ2+2X)Λ2+3(XΛ2+2X)+XΛ2+2X+3(a+1)(a+2)+(2a+1)(a-2)-12 x^2(y+z)^2-2xy(x-z)(y+z)+y^2(x-z)Λ2 3(a+2)^2+28(a+2)-20(a+b)^2-(b-c)^2+a^2-c^28x(x+1)(x^2+x-1)-2x^2(x-1)^2-3(x^2-x)-5614a(a-b)+(a-b)^211.-ab(a-b)^+a(b-a)^212.3 (x+2)—2x=5-4x13.5 (x+2a) -a=2 (b-2x) +4a3.14*3.42 (2)972*3.14*1/4[-∣98∣+76+(-87)]*23[56+(-75)-(7)]-(8+4+3) 5+21*8/2- √ 121-5968/21-8-11*8+61-2/9-7/9-564.6- (-3/4+1.6-4-3/4)1/2+3+5/6-7/12 [2∕3-4-1∕4*(-0.4)]∕1∕3+222+(-4)+(-2)+4*3-2*8-8*1/2+8/1/8 (2/3+1/2)/(-1/12)*(-12)(-28)/(-6+4)+(-1)2∕(-2)+0∕7-(-8)*(∣-2∣-5^4)(1/3+2/3)/1/2-|-9+(-5)|18-6/(-3)*(-2)-|-9|(5+3∕8*8∕30∕(-2)-3(-84)∕2*(-3)∕(-6)实用文档1∕2*(-4∕15)∕2∕3 ∣-3x+2y-5x-7y∣-∣-9x+2y∣ -5+21*8/2-6-59 68/21-8-11*8+61-2/9-7/9-564.6- (-3/4+1.6-4-3/4)1/2+3+5/6-7/12[2∕3-4-1∕4*(-0.4)]∕1∕3+222+(-4)+(-2)+4*3- √ 64-5^2-2*8-8*1∕2+8∕1∕8(2∕3+1∕2)∕(-1∕12)*(-12) (-28)/(-6+4)+(-1) 2∕(-2)+0∕7-(-8)*(-2) (1/4-5/6+1/3+2/3)/1/218-6∕(-3)*(-2)(5+3∕8*8∕30∕(-2)-3(-84)∕2*(-3)∕(-6)1∕2*(-4∕15)∕2∕3+√ 9-3x+2y-5x-7y+-5+21*8/2-6-5968/21-8-11*8+61-2/9-7/9-56[2∕3-4-1∕4*(-0.4)]∕1∕3+222+(-4)+(-2)+4*3-2*8-8*1∕2+8∕1∕84.6-(-3/4+1.6-4-3/4)1/2+3+5/6-7/12实用文档(2∕3+1∕2)∕(-1∕12)*(-12) (-28)∕(-6+4)+(-1)2∕(-2)+0∕7-(-8)*(-2) (1/4-5/6+1/3+2/3)/1/2 18-6∕(-3)*(-2) (5+3∕8*8∕30∕(-2)-3 (-84)∕2*(-3)∕(-6)1∕2*(-4∕15)∕2∕3 -3x+2y-5x-7y-(-3^2+5^7) -1+2-3+4-5+6-7+ √ 9-50-28+(-24)-(-22)-19.8-(-20.3)-(+20.2)-10.8;0.25- +(-1 )-(+3 ). -1-23.33-(+76.76) 1-2*2*2*2-5^2+(6^2-5^2) (-6-24.3)-(-12+9.1)+(0-2.1) -1+8-7+5^7-(-5+ √ 9) 125*3+125*5+25*3+25 9999*3+101*11*(101-92) (23∕4-3∕4)*(3*6+2)3/7 × 49/9 - 4/3实用文档8/9 × 15/36 + 1/2712x*5∕6y —2∕9y*∣3x-2y∣8× 5∕4+1∕4*∣-7-8∣6÷ 3/8 - 3/8 ÷64/7 × 5/9 + 3/7 × 5/95/2 - ( 3/2 + 4/5 )7/8 + ( 1/8 + 1/9 )9 × 5/6 + 5/63/4 × 8/9 - 1/37 × 5/49 + 3/146 ×( 1/2 + 2/3 )8 × 4/5 + 8 × 11/531 × 5/6 - 5/69/7 - ( 2/7 - 10/21 )5/9 × 18 - 14 × 2/74/5 × 25/16 + 2/3 × 3/414 × 8/7 - 5/6 × 12/1517/32 - 3/4 × 9/243^45 × 2/9 + 1/3 5/7 × 3/25 + 3/73/14 × 2/3 + 1/61/5 × 2/3 + 5/645^8 × 2/3 + 1/3 × 155/3 × 11/5 + 4/39/22+1/11 ÷ 1/2- √ 1697/19 + 12/19 × 5/61/4 + 3/4 ÷ 2/38/7 × 21/16 + 1/2101^4× (-1/5 —1/5 × 21)50+ √ 160÷ 40^5120-144 ÷ 18+35347+45× 2-4160 ÷ 5237^2 ( 58+37)÷( 64-9 × 5)95÷( 64-45)178-145 ÷5× 6+42812-700 ÷( 9+31 × 11)85+14×( 14+208÷ 26)120-36 × 4÷ 18+35(58+37)÷( 64-9 × 5)(6.8-6.8 × 0.55) ÷ 8.50.12 × 4.8 ÷ 0.12 × 4.8(3.2 × 1.5+2.5 ) ÷ 1.66-1.6 ÷ 4= 5.38+7.85-5.37=7.2 ÷ 0.8-1.2 × 5= 6-1.19 × 3-0.43= 6.5 ×( 4.8-1.2 × 4)=5.8 ×( 3.87-0.13 ) +4.2 × 3.74 32.52- (6+9.728 ÷ 3.2 ) × 2.5[(7.1-5.6 ) × 0.9-1.15] ÷ 2.55.4 ÷ [2.6 ×( 3.7-2.9 ) +0.62]12×6÷( 12-7.2 ) -612× 6÷ 7.2-60.68 × 1.9+0.32 × 1.958+370)÷( 64-45)420+580-64 × 21÷ 28136+6×( 65-345 ÷ 23)15-10.75 × 0.4-5.718.1 +( 3-0.299 ÷0.23 ) × 1 (6.8-6.8 × 0.55) ÷ 8.50.12 × 4.8 ÷ 0.12 × 4.8(3.2 × 1.5+2.5 ) ÷ 1.63.2 × 6+ (1.5+2.5 ) ÷ 1.60.68 × 1.9+0.32 × 1.910.15-10.75 × 0.4-5.75.8 ×( 3.87-0.13 ) +4.2 × 3.74 32.52- (6+9.728 ÷ 3.2 ) × 2.5 [(7.1-5.6 ) × 0.9-1.15] ÷ 2.5 5.4 ÷ [2.6 ×( 3.7-2.9 ) +0.62]12×6÷( 12-7.2 ) -612× 6÷ 7.2-633.02 -(148.4 —90.85) ÷ 2.5 76.(25%-695%-12%)*367∕4*3∕5+3∕4*2∕5实用文档1-1/4+8/9/7/97+1/6/3/24+2/218/15*3/53/4/9/10-1/6 8∕3+1∕2)∕5∕6-1∕3]∕1∕7 9/5+3/5/2+3/4 8^6(2-2∕3∕1∕2)]*2∕5 8+5268.32-2569 3+456-52*8 87.5%+6325 8/2+1/3+1/4 89+456-78 5%+. 3/7 × 49/9 - 4/39 × 15/36 + 1/272× 5/6 - 2/9 × 33× 5/4 + 1/494 ÷ 3/8 - 3/8 ÷ 695/7 × 5/9 + 3/7 × 5/96/2 - ( 3/2 + 4/5 )8 + ( 1/8 + 1/9 )8 × 5/6 + 5/61/4 × 8/9 - 1/310× 5/49 + 3/141.5 ×( 1/2 + 2/3 )2/ 9 × 4/5 + 8 × 11/5 3.1 × 5/6 - 5/64/7 - ( 2/7 - 10/21 ) 19 × 18 - 14 × 2/75 × 25/16 + 2/3 × 3/44 × 8/7 - 5/6 × 12/15 7/32 - 3/4 × 9/242/3 ÷ 1/2 - 1/4 × 2/52-6/13 ÷9/26 - 2/32/9 + 1/2 ÷ 4/5 + 3/810÷5/9 + 1/6 ×41/2 × 2/5 + 9/10 ÷ 9/205/9 × 3/10 + 2/7 ÷ 2/51/2 + 1/4 × 4/5 - 1/83/4 × 5/7 × 4/3 - 1/223-8/9 × 1/27 ÷ 1/2718× 5/6 + 2/5 ÷411/2 + 3/4 × 5/12 × 4/58/9 × 3/4 - 3/8 ÷ 3/45/8 ÷ 5/4 + 3/23 ÷ 9/111.2 ×2.5+0.8 × 2.58.9 × 1.25-0.9 × 1.2512.5 × 7.4 × 0.812.5 × 7.4 × 0.80.35 × 1.6+0.35 × 3.40.25 × 8.6 × 46.72-3.28-1.720.45+6.37+4.555.4+6.9 × 3- (25-2.5 )2× 41846-620-3804.8 × 46+4.8 × 540.8+0.8 × 2.51.25 × 3.6 × 8×2.5-12.5 × 2.4 28× 12.5-12.5 × 2023.65- (3.07+3.65 )(4+0.4 × 0.25 ) 8× 7× 1.25 1.65 × 99+1.6527.85- (7.85+3.4 )48 × 1.25+50 × 1.25 × 0.2 × 8 7.8 × 9.9+0.78(1010+309+4+681+6× 123× 9146× 782× 6× 8545.15 × 7/8+6.1-0.606253/7 × 49/9 - 4/312× 5/6 - 2/9 × 38× 5/4 + 1/46÷ 3/8 - 3/8 ÷64/7 × 5/9 + 3/7 × 5/95/2 - ( 3/2 + 4/5 )7/8 + ( 1/8 + 1/9 )9 × 5/6 + 5/63/4 × 8/9 - 1/37 × 5/49 + 3/146 ×( 1/2 + 2/3 )8 × 4/5 + 8 × 11/531 × 5/6 - 5/69/7 - ( 2/7 - 10/21 ) 5/9 × 18 - 14 × 2/74/5 × 25/16 + 2/3 × 3/4 14 × 8/7 - 5/6 × 12/15 17/32 - 3/4 × 9/243 × 2/9 + 1/35/7 × 3/25 + 3/73/14 × 2/3 + 1/61/5 × 2/3 + 5/69/22 + 1/11 ÷ 1/27/19 + 12/19 × 5/61/4 + 3/4 ÷ 2/345 × 2/3 + 1/3 × 157/19 + 12/19 × 5/61/4 + 3/4 ÷ 2/3101 × 1/5 —1/5 × 2150+ 160÷40 (58+370)÷( 64-45)120-144 ÷ 18+35347+45× 2-4160 ÷ 52(58+37)÷( 64-9 × 5)95÷( 64-45)178-145 ÷5× 6+42 420+580-64 × 21÷ 28 812-700 ÷( 9+31 × 11)(136+64)×( 65-345 ÷ 23)85+14×( 14+208÷ 26)(284+16)×( 512-8208 ÷ 18)120-36 × 4÷ 18+35(58+37) ÷( 64-9 × 5)(6.8-6.8 × 0.55) ÷ 8.50.12 × 4.8 ÷ 0.12 × 4.8(3.2 × 1.5+2.5 ) ÷ 1.63.2 ×( 1.5+2.5 ) ÷ 1.66-1.6 ÷ 4= 5.38+7.85-5.37=7.2 ÷ 0.8-1.2 × 5= 6-1.19 × 3-0.43=6.5 ×( 4.8-1.2 × 4) = 0.68 × 1.9+0.32 × 1.9 10.15-10.75 × 0.4-5.75.8 ×( 3.87-0.13 ) +4.2 × 3.7432.52- (6+9.728 ÷ 3.2 ) × 2.5[(7.1-5.6 ) × 0.9-1.15] ÷ 2.55.4 ÷ [2.6 ×( 3.7-2.9 ) +0.62]12×6÷( 12-7.2 ) -6 (4) 12×6÷7.2-6 102^2 × 4.5+8^5- √5297.8 × 6.9 + 2.2 × 6.95.6 × 0.258×( 20—1.25 )127+352+73+4489+276+135+3325+71+75+29 +88243+89+111+579405-2940÷ 28× 21920-1680 ÷ 40 ÷ 7690+47× 52-398148+3328+ 64-75360 × 24 ÷ 32+7302100-94+48 × 5451+ (2304-2042) × 234215+ (4361-716) ÷ 81(247+18) × 27÷ 2536-720 ÷( 360÷ 18)1080+( 63-54) × 80(528+912) × 5-6178 8528÷ 41× 38-904 264+318-8280 ÷ 69(174+209)× 26- 9000814- ( 278+322)÷ 151406+735× 9÷453168-7828 ÷ 38+504796-5040 ÷( 630÷ 7)285+ ( 3000-372) ÷ 361+5/6-19/123x(-9)+7x(-9(-54)x1∕6x(-1∕3)18.1 +( 3-0.299 ÷0.23 ) × 1(6.8-6.8 × 0.55) ÷ 8.50.12 × 4.8 ÷ 0.12 × 4.8(3.2 × 1.5+2.5 ) ÷ 1.63.2 ×( 1.5+2.5 ) ÷ 1.65.6-1.6 ÷ 45.38+7.85-5.377.2 ÷ 0.8-1.2 × 56-1.19 × 3-0.436.5 ×( 4.8-1.2 × 4)0.68 × 1.9+0.32 × 1.9115-10.75 × 0.4-5.75.8 ×( 3.87-0.13 ) +4.2 × 3.74 32.52- (6+9.728 ÷ 3.2 ) × 2.5实用文档[(7.1-5.6 ) × 0.9-1.15] ÷ 2.55.4 ÷ [2.6 ×( 3.7-2.9 ) +0.62]12×6÷( 12-7.2 ) -612× 6÷ 7.2-633.02 —(148.4 —90.85) ÷ 2.5二.解方程2x=7(x-5)8(3x+3)=2404.74+4x-2.5x=8.1(2.81+x) ÷ 2.81 = 115x-30=16(x-2)(-3)^3-3^3(-1)^2-5.62^2+3^3-4^4(2^4-3^2)^3-5^5[(1.6^2-2^3)-2.1]^2(5.66 × 2)^2-15^2(-15)^x=225,x=?[(-4)^2-4^2] × 2^2[(-5.6)^2+3]^2[5.6^2+(-5.6)^2] × (-1)^23x+28-x=561.5x+6=3.752(3.6x+2.8)=-1.6实用文档9.5x+9.5=1918(x-35)=-36x+7-(-36+8^2)∕2=8+7^4∕3a-7-98+7a=3.2*5a89∕2+35∕6x=3*9+2^3∕5+7x 3X+189∕3=521∕2 4Y +119*^3=22∕113X*189=5*4^5∕38Z∕6=458∕53X+77=594Y-6985=8187X*13=57Z∕93=4115X+863-65X=5458Y *55=274897(2x-1)-3(4x-1)=4(3x+2)-1(5y+1)+ (1-y)= (9y+1)+ (1-3y)[-6(-7^4*8)-4]=x+220%+(1-20%)(320-x)=320 × 40%2(x-2)+2=x+12(x-2)-3(4x-1)=9(1-x)11x+64-2x=100-9x15-(8-5x)=7x+(4-3x)3(x-7)-2[9-4(2-x)]=223∕2[2∕3(1∕4x-1)-2]-x=22x+7^2=1571) 判断题:判断下列方程是否是一元一次方程:①-3x-6x2=7()③5x+1-2x=3x-2 ()④3y-4=2y+1.()判断下列方程的解法是否正确:①解方程3y-4=y+3解:3y-y=3+4,2y=7,y=3.5②解方程:0.4x-3=0.1x+2解:0.4x+0.1x=2-3;0.5x=-1,x=-2③解方程解:5x+15-2x-2=10,3x=-3,x=-1;④解方程解:2x-4+5-5x=-1,-3x=-2,x=.()2) 填空题:(1)若2(3-a)x-4=5是关于X的一元一次方程,则a≠_(2)关于X的方程ax=3的解是自然数,则整数a的值为_(3)方程5x-2(x-1)=17 的解是_(4)x=2 是方程2x-3=m-的解,贝U m=_ .(5)若-2x2-5m+1=0是关于X的一元一次方程,则m=_ .(6)当y=_时,代数式5y+6与3y-2互为相反数.(7)当m=_时,方程的解为0.(8)已知a≠0.则关于X 的方程3ab-(a+b)x=(a-b)x的解为______ 3) 选择题:(1)方程ax=b的解是().A. 有一个解X= B .有无数个解C.没有解D .当a≠0时,X=(2)解方程(x-1)=3,下列变形中,较简捷的是(A. 方程两边都乘以4,得3 ( x-1 ) =12B. 去括号,得X- =3C. 两边同除以,得X-仁4D. 整理,得A.2-2(2x-4)=-(x-7)B.12-2(2x-4)=-x-7(3)方程2-去分母得()A.2-2(2x-4)=-(x-7)B.12-2(2x-4)=-x-7C.12-2(2x-4)=-(x-7)D. 以上答案均不对(4)若代数式比大1,则X的值是().A. 13 B . C . 8 D.(5)x=1.5是方程()的解.A. 4x+2=2x-(-2-9)B. 2{3[4(5x-1)-8]-2}=8C. 4x+9 =6x+64) 解答下列各题:(1) X等于什么数时,代数式的值相等?(2) y等于什么数时,代数式的值比代数式的值少3?(3) 当m等于什么数时,代数式2m-的值与代数式的值的和等于5?(4) 解下列关于X的方程:①ax+b=bx+a;(a ≠ b);三.化简、化简求值化间求值:1、-9(x-2)-y(x-5)(1)化简整个式子。
计算题 c l1.33+(π+3)º-327 +∣ 3 -2∣2. 5x+2x²+x=3x+13. 3-xx-4+14-x=14. x²-5x=05. x²-x-1=06. 化简239x +6x4-2x1x7. 因式分解x4-8x²y²+16y48.22x+1+12x-1=54x²-19. 因式分解(2x+y)²-(x+2y)²10. 因式分解-8a²b+2a³+8ab²11. 因式分解a4-1612. 因式分解3ax²-6axy+8ab²13. 先化简,再带入求值(x+2)(x-1)-x²-2x+1x-1,x= 314. ( - 3 )º-∣-3∣+(-1)2015+(1 2)-115. (1a-1-1a²-1)÷a²-aa²-116. 2(a+1)²+(a+1)(1-2a)17. (2x-1x+1-x+1)÷x-2x²+2x+118. (-3-1)×(- 32)²-2-1÷(-12)³19.12x-1=243-21x20. (x+1)²-(x+2)(x-2)21. sin60°-∣1- 3 ∣+(12)-122.(-5)16×(-2)15 (结果以幂的形式表示)23. 若n为正整数且(m n)²=9,求(13m3n)³(m²)2n24. 因式分解a²+ac-ab-bc25. 因式分解x²-5x+626. 因式分解(x+2)(x+3)+x²-427. 因式分解(a²+1)²-4a²28. -12016+18÷(-3)×∣-12∣29. 先化简,再求值3(x²+xy-1)-(3x²-2xy),其中x=1,y= - 1 530. 计算3-4+5-(-6)-731. 计算-1²+(-4)²×∣-18∣-8²÷(-4)³32.计算20-(-7)-∣-2∣33.计算(13-59+1112)×(-36)34.计算(-1)²- 14×[2- (-3)²]35. 解二元一次方程组x-2y=1 ①x+3y=6 ②36. 解二元一次方程组2(x-y)3-x+y4= -112①5y-x=3 ②37. 解二元一次方程组x+2y=6 ①3x-2y=2 ②38. 解不等式3(x-1)>2x+239. 解不等式3x+13-7x-35≤2+2(x-2)1540. 化简a(a-1)²-(a+1)(a²-a+1)41. (aa-b+bb-a)÷1a+b42. 当m=15-2,求代数式m+1m43. (12)-1 - ( 2 -1)º+∣-3∣+tan45º-cos60ºcos30º·tan60°44. 先化简再求值x²-5x+63x²-3x·(1-3x+1)·(1+2x-3),其中x= 345. 先化简再求值x-yy²-x²,其中x=-1,y=246. 解方程x²-3x=047. 6-(-2)²·2-1+(-3.14)º+3-8 +cos²45°48. 计算( 3 )²+4×(- 12)-2³49. 先化简,再求值(a+b)(a-b)+b(b-2),其中a= 2 ,b=-150. 计算 4 -(15+2)º+(-2)³÷3-151. 计算12-1- 3tan²30°+2(sin45°-1)²52. 化简[aa-b+b²a(b-a)]÷a+bab53. 计算- 2²+(3-3.14)º+3sin30°54. 计算(13)-1+(2006-π)º- 3 tan60°55. 计算2013-(π-3.14)º+∣-3∣+(-1)56.57.计算:﹣.58. 计算:.59. 计算:.60.计算:.61. 计算:.62. (a﹣2)2+4(a﹣1)﹣(a+2)(a﹣2)63. (﹣1)2013﹣|﹣7|+×+()﹣1;64. .65. 计算:.66. 解方程:.67. 计算:.68. 解方程:=﹣. 69. 求不等式组的整数解. 70. 先化简,再求值:(﹣)÷,其中x=+1.71. 解方程:72.73. 先化简,再求值:÷+,其中x=2+1.74. 解方程:.75. 计算:.76. 计算:(1+)2013﹣2(1+)2012﹣4(1+)2011.77. 计算:.78. 计算:011821()2π-+--+ .79. 解方程组: 22220x y x xy y -=-⎧⎨--=⎩.80. 计算:(﹣1)3+(+1)0+. 81. 解不等式组:.82. 先化简,再求值:÷(x+1﹣),其中x=﹣2.83. ∣-5∣+2²-( 3 +1)º84. 2×(-5)+23-3÷1285. 22+(-1)4+(5-2)0-|-3| 86.()()0332011422---+÷-87. a a ²-b² -a a-b ÷b b-a88. 2x x ²-4- 1x-289. (a+b )2+b (a ﹣b ). 90. (a - 1a )÷a-1a91. 2111x x x -⎛⎫+÷ ⎪⎝⎭92.⎝ ⎛⎭⎪⎪⎫1+ 1 x -2÷ x 2-2x +1 x 2-4,其中x =-5.93. (a ﹣1+)÷(a 2+1),其中a=﹣1.94. 2121(1)1a a a a++-⋅+,其中a 2-1.95.)252(423--+÷--a a a a , 1-=a 96. 化简求值: 111(11222+---÷-+-m m m m m m ),其中m =3.97. 化简2111x x x -⎛⎫+÷ ⎪⎝⎭98.化简:xx x x x x x x x 416)44122(2222+-÷+----+, 其中22+=x 99. 化简并求值:221122a b a b a a b a -⎛⎫--+ ⎪-⎝⎭,其中33a b =-=-.100.计算:332141222+-+÷⎪⎭⎫ ⎝⎛---+a a a a a a a .101. 先化简,再求值:13x -·32269122x x x x x x x-+----,其中x =-6.102.先化简再求值:⎝ ⎛⎭⎪⎪⎫1-1a -1÷a 2-4a +4a 2-a ,其中a =2+ 2 .103. 先化简,再求值:a -1a +2·a 2+2a a 2-2a +1÷1a 2-1,其中a 为整数且-3<a <2.104. 先化简,再求值:222211yxy x x y x y x ++÷⎪⎪⎭⎫⎝⎛++-,其中1=x ,2-=y .105. 先化简,再求值:2222(2)42x x x x x x -÷++-+,其中12x =. 106.先化简,再求值222112()2442x x x x x x-÷--+-,其中2x =107. 22221(1)121a a a a a a +-÷+---+. 108.先化简再求值:1112421222-÷+--•+-a a a a a a ,其中a 满足20a a -=.109. 先化简:144)113(2++-÷+-+a a a a a ,并从0,1-,2中选一个合适的数作为a 的值代入求值。
初中数学计算题(200 道)初中数学计算题(200 道)(-1.5) X(-9)- 12+(-4)56+(-7)- 2-5+0.43.57 X 29+(-4)5.6+(-2.8)-(- 50)+2[9.6+(- 7.3)] X [( -5)-(-7)]12.3+[5.6+( -1.2)](- 75.6) +(1/4+1/5)9.5X(-9.5) +1/2 95.77+(-2)+(-34.6)(- 51.88) +2-(- 5)X241.25* (-3)+70*(-5)+5*(-3)+259999*3+101*11*(101-92)(23/4-3/4)*(3*6+2)3/7 X 49/9 - 4/38/9 X 15/36 + 1/2712X 5/6 - 2/9 X 38X 5/4 + 1/46+ 3/8 —3/8 + 64/7 X 5/9 + 3/7 X 5/95/2 - (3/2 + 4/5 )7/8 + (1/8 + 1/9 )9 X 5/6 + 5/6初中数学计算题(200 道)3/4 X 8/9 - 1/37 X 5/49 + 3/146 X(1/2 + 2/3 )8 X 4/5 + 8 X 11/531 X 5/6 - 5/69/7 - ( 2/7 - 10/21 )5/9 X 18 - 14 X 2/74/5 X 25/16 + 2/3 X 3/414 X 8/7 - 5/6 X 12/1517/32 —3/4 X 9/243 X 2/9 + 1/35/7 X 3/25 + 3/73/14 X 2/3 + 1/61/5 X 2/3 + 5/69/22 + 1/11 - 1/25/3 X 11/5 + 4/345 X 2/3 + 1/3 X 157/19 + 12/19 X 5/61/4 + 3/4 - 2/38/7 X 21/16 + 1/2101 X 1/5 —1/5 X 2150+ 160-40120-144- 18+35347+45X2-4160- 5237X( 58+37) + ( 64-9 X 5)95+( 64-45)178-145- 5X 6+42 812-700+( 9+31X 11)85+14X( 14+208+ 26)120-36X 4+18+35(58+37)+( 64-9X 5)(6.8-6. 8X 0.55) + 8.50.12 X 4.8 + 0.12 X 4.8( 3.2 X 1.5+2.5 )+ 1.66-1.6 + 4= 5.38+7.85 -5.37=7.2 +0.8 -1.2X 5= 6-1.19 X3-0.43= 6.5 X( 4.8-1.2 X 4)=5.8 X( 3.87-0.13 )+4.2X 3.7432.52- (6+9.728+3.2 )X 2.5[ ( 7.1-5.6 )X 0.9-1.15] + 2.5 5.4 + [2.6 X( 3.7-2.9 )+0.62]12X 6+( 12-7.2 )-612X 6+ 7.2 -60.68 X 1.9+0.32 X 1.958+370)+( 64-45)420+580-64X 21+28136+6X( 65-345+23)15-10.75 X 0.4-5.718.1 +( 3-0.299 - 0.23 ) X 1 (6.8- 6.8 X 0.55) - 8.50.12 X 4.8 - 0.12 X 4.8(3.2 X 1.5+2.5 ) - 1.63.2 X 6+ (1.5+2.5 ) - 1.60.68 X 1.9+0.32 X 1.910.15- 10.75X 0.4 -5.75.8 X( 3.87-0.13 )+4.2X 3.74 32.52- (6+9.728 - 3.2 ) X 2.5 [(7.1-5.6 ) X 0.9-1.15] - 2.5 5.4 - [2.6 X( 3.7-2.9 ) +0.62]12X6-( 12-7.2 ) -612X 6-7.2 -633.02-( 148.4 - 90.85 - 2.576. (25%-695%-12%)*3677. /4*3/5+3/4*2/578.1-1/4+8/9/7/979. +1/6/3/24+2/2180. /15*3/581.3/4/9/10-1/682. /3+1/2)/5/6-1/3]/1/783. /5+3/5/2+3/484. (2-2/3/1/2)]*2/5初中数学计算题(200 道)85.+5268.32-256986.3+456-52*887.5%+632588./2+1/3+1/489+456-785%+. 3/7 X 49/9 - 4/39 X 15/36 + 1/272X 5/6 - 2/9 X33X 5/4 + 1/494 - 3/8 - 3/8 -695/7 X 5/9 + 3/7 X 5/96/2 - (3/2 + 4/5 )8 + (1/8 + 1/9 )8 X 5/6 + 5/61/4 X 8/9 - 1/310 X 5/49 + 3/141.5 X(1/2 + 2/3 )2/9 X 4/5 + 8 X 11/53.1 X 5/6 - 5/64/7 - ( 2/7 -10/21 )19 X 18 - 14 X 2/75 X 25/16 + 2/3 X 3/44 X 8/7 - 5/6 X 12/157/32 —3/4 X 9/242/3 -1/2 —1/4 X 2/52 -6/13 - 9/26 —2/32/9 + 1/2 - 4/5 + 3/810 -5/9 + 1/6 X 41/2 X 2/5 + 9/10 - 9/205/9 X 3/10 + 2/7 - 2/51/2 + 1/4 X 4/5 —1/83/4 X 5/7 X 4/3 —1/223 —8/9 X 1/27 - 1/278X 5/6 + 2/5 -41/2 + 3/4 X 5/12 X 4/58/9 X 3/4 —3/8 - 3/45/8 - 5/4 + 3/23 - 9/111.2 X2.5+0.8 X 2.58.9X1.25-0.9X1.2512.5X 7.4X 0.89.9 X 6.4- (2.5+0.24 )(27)6.5 X 9.5+6.5 X 0.5 0.35 X 1.6+0.35 X 3.40.25 X 8.6 X 46.72-3.28-1.720.45+6.37+4.555.4+6.9 X 3- (25-2.5 )2X 41846-620-3804.8 X 46+4.8 X 540.8+0.8 X 2.51.25X3.6X8X2.5 -12.5X2.428X12.5-12.5X2023.65- (3.07+3.65 )(4+0.4X0.25)8X7X1.251.65X 99+1.6527.85- (7.85+3.4 )48X1.25+50X1.25X0.2X87.8X9.9+0.78 (1010+309+4+681+6)X 12 3X 9146X 782X 6X 8545.15X7/8+6.1 -0.606253/7 X 49/9 - 4/38/9 X 15/36 + 1/2712X 5/6 - 2/9 X 38X 5/4 + 1/46- 3/8 —3/8 - 64/7 X 5/9 + 3/7 X 5/95/2 - (3/2 + 4/5 )7/8 + (1/8 + 1/9 )9. 9 X 5/6 + 5/63/4 X 8/9 - 1/37 X 5/49 + 3/14初中数学计算题(200 道)6 X( 1/2 + 2/3 )8 x 4/5 + 8 x 11/531 x 5/6 - 5/69/7 - ( 2/7 - 10/21 )5/9 x 18 - 14 x 2/74/5 x 25/16 + 2/3 x 3/414 x 8/7 - 5/6 x 12/1517/32 —3/4 x 9/243 x 2/9 + 1/35/7 x 3/25 + 3/73/14 x 2/3 + 1/61/5 x 2/3 + 5/69/22 + 1/11 - 1/25/3 x 11/5 + 4/345 x 2/3 + 1/3 x 157/19 + 12/19 x 5/61/4 + 3/4 - 2/38/7 x 21/16 + 1/2101 x 1/5 —1/5 x 2150+ 160-40 (58+370) + ( 64-45)120-144- 18+35347+45x2-4160- 52(58+37)-( 64-9 x 5)95-( 64-45)8 / 33178-145+ 5X 6+42 420+580-64 X 21-28812-700 -( 9+31X 11) (136+64)X( 65-345 - 23) 85+14X( 14+208- 26)(284+16)X( 512-8208 - 18)120-36 X 4-18+35(58+37)-( 64-9 X 5)(6.8- 6.8 X 0.55) - 8.50.12 X 4.8 - 0.12 X 4.8(3.2 X 1.5+2.5 ) - 1.6 (2) 3.2 X( 1.5+2.5 ) - 1.6 6-1.6 - 45.38+7.85-5.377.2 - 0.8-1.2 X 56-1.19X3-0.4347.6.5 X(4.8-1.2 X 4)0.68X1.9+0.32 X1.948.10.15- 10.75X0.4-5.749.5.8 X(3.87-0.13 )+4.2X 3.7450.32.52- (6+9.728 - 3.2 ) X 2.551.[ (7.1-5.6 ) X 0.9-1.15] -2.552.5.4 - [2.6 X( 3.7-2.9 ) +0.62]53.12 X 6-( 12-7.2 ) -6 (4 ) 12X 6-7.2-6102X(-4.5)-(- 3) X(-5) -27.8X6.9+2.2X6.9(-2)+2-(- 52)X(-1) X5+87-(-3)X(-1)5.6 X 0.258 X( 20- 1.25 )(-7.1) X〔(-3) X (-5)丨+ 2 -2.5 X(-4.8) X (0.09) -(-0.27) 127+352+73+44X( -2) 89X276+(-135)-3325X 71+75-29 -88-(-2)243+89+111+579405-2940- 28X 21920-1680- 40- 7690+47X 52-398148+3328- 64-75360X 24- 32+7302100-94+48X 5451+(2304-2042)X 234215+( 4361-716)- 81( 247+18)X 27- 2536-720- (360-18)1080-( 63-54)X 80( 528+912)X 5-61788528-41X 38-904264+318-8280- 69(174+209)X 26- (9000八0)814- (278+322) -151406+735X 9- 453168-7828+ 38+504796-5040 -( 630- 7)285+ (3000-372) - 361+5/6-19/123x(-9)+7x(-9)(-54)x1/6x(-1/3)I. 18.1 + ( 3-0.299 - 0.23 ) X 12.(6.8- 6.8 X 0.55) - 8.53.0.12 X4.8 - 0.12 X 4.843.2 X 1.5+2.5 + (-1.6)(-2 ) X 3.2 X( 1.5+2.5 ) - 1.65.6- 1.6 -4+(6.8 -9)5.38+7.85- 5.37 - 896.7.2 - 0.8-1.2 X 56-1.19X3-0.437.6.5 X(4.8-1.2 X4)0.68X1.9+0.32 X1.98.10.15- 10.75X0.4-5.79.5.8 X(3.87-0.13 )(- 8.01)+4.2 X3.7410.32.52- (6+9.728 - 3.2 ) X 2.5 II. [ (7.1-5.6 ) X 0.9-1.15] -2.512.5.4 - [2.6 X( 3.7-2.9 ) +0.62]13.12 X 6-( 12-7.2 ) -614.12 X 6-7. 2-615.33.02 —( 148.4 —90.85 ) - 2.5(-5)-252 X(-78 )(-6) X (-2)+3 -( 5+50)7-7+3-6- ( -90 )(-8)(- 3)X(-8)X25(7+13) -(-616) + (-28)(8+14-100-27 ) - 4(- 15) -(-1)- 101-1016-0.21 X(-8) X(4.1+5.9)(- 10) X(-2) X 4-{-9-[6+( -5.67)]}(-18)(- 4)2X[8.01 X( -3.14)9-32{-890- [79+8.1] X9}(-20)-23+(- 9) X 9.42(- 24)3.4 X104-(-5) X200.96[-|98|+76+(-87)]*23[56+(-75)-(7)]-(8+4+3) 5+21*8/2-6-59 68/21-8-11*8+61-2/9-7/9-564.6- (-3/4+1.6-4-3/4)1/2+3+5/6-7/12[2/3-4-1/4*(-0.4)]/1/3+222+(-4)+(-2)+4*3-2*8-8*1/2+8/1/8(2/3+1/2)/(-1/12)*(-12)(-28)/(-6+4)+(-1) + V 92/(-2)+0/7-(-8)*(-2) (1/4-5/6+1/3+2/3)/1/2 18-6/(-3)*(- 2) X 2A7(5+3/8*8/30/(-2)- V36 (-84)/2*(-3)/(-6) 1/2*(-4/15)/2/31+2+3+4+ .... +1000001/1+1/2+1/3+ ..... 1/501+1/2+1/4+1/8+1/16+ .... 1/5123+9+27+81+243+ (9999)1+1/2+1/6+1/12+1/20+1/30+1/42+1/56+1/72+1/90 8-2X 32-(-2 X 3)2—12 X (-3)2 —(-1/2)2003 X (-2)2002 - 2/9 (0.5-3/2) - 3/1 X [-2-(-3)3] —I 1/8 —0.52 I[-38-(-1)7+(- 3)8] X -53aA3-2bA3+ab(2a-b)- V a-bA2 15*(-8)+2bA2+(xA2+yA2)A2-4y(xA2+yA2)+4yA26-3aA8-(-5A2-6) (xA2+2x)A2+3(xA2+2x)+xA2+2x+3(a+1)(a+2)+(2a+1)(a-2)-12 xA2(y+z)A2-2xy(x-z)(y+z)+yA2(x-z)A23(a+2)八2+28(a+2)-20(a+b)A2-(b-c)A2+a A2-c A28x(x+1)(x A2+x-1)-2xA2(x-1F2-3(xA2-x)-5614a(a-b)+(a-bF211.-ab(a-b)A+a(b-a)A212.3 (x+2)-2x=5-4x13.5 (x+2a)-a=2(b-2x )+4a3.14*3.42 (2)972*3.14*1/4 [-|98|+76+(-87)]*23[56+(-75)-(7)]-(8+4+3) 5+21*8/2- V121-5968/21-8-11*8+61-2/9-7/9-564.6- (-3/4+1.6-4-3/4)1/2+3+5/6-7/12[2/3-4-1/4*(-0.4)]/1/3+222+(-4)+(-2)+4*3-2*8-8*1/2+8/1/8(2/3+1/2)/(-1/12)*(-12)(-28)/(-6+4)+(-1)2/(-2)+0/7-(-8)*(|-2|-5A4)(1/3+2/3)/1/2-|-9+(-5)|18-6/(-3)*(-2)-|-9|(5+3/8*8/30/(-2)-3(-84)/2*(-3)/(-6) 1/2*(-4/15)/2/3 |-3x+2y-5x-7y|-|-9x+2y| -5+21*8/2-6-59 68/21-8-11*8+61 -2/9-7/9-564.6- (-3/4+1.6-4-3/4) 1/2+3+5/6-7/12 [2/3-4-1/4*(-0.4)]/1/3+2 22+(-4)+(-2)+4*3- V 64-5八2-2*8-8*1/2+8/1/8(2/3+1/2)/(-1/12)*(-12) (-28)/(-6+4)+(-1) 2/(-2)+0/7-(-8)*(-2) (1/4-5/6+1/3+2/3)/1/2 18-6/(-3)*(-2) (5+3/8*8/30/(-2)-3 (-84)/2*(-3)/(-6) 1/2*(-4/15)/2/3+ V9-3x+2y-5x-7y+ -5+21*8/2-6-5968/21-8-11*8+61 -2/9-7/9-564.6- (-3/4+1.6-4-3/4)1/2+3+5/6-7/12 [2/3-4-1/4*(-0.4)]/1/3+2 22+(-4)+(-2)+4*3 -2*8-8*1/2+8/1/8 (2/3+1/2)/(-1/12)*(-12) (-28)/(-6+4)+(-1)2/(-2)+0/7-(-8)*(-2) (1/4-5/6+1/3+2/3)/1/2 18-6/(-3)*(-2) (5+3/8*8/30/(-2)-3 (-84)/2*(-3)/(-6) 1/2*(-4/15)/2/3-3x+2y-5x-7y-(-3八2+5八7) -1+2-3+4-5+6-7+ V 9 -50-28+(-24)-(-22) -19.8-(-20.3)-(+20.2)-10.8; 0.25- +(-1 )-(+3 ). -1-23.33-(+76.76) 1-2*2*2*2-5A2+(6A2-5A2) (-6-24.3)-(-12+9.1)+(0-2.1) -1+8-7+5A7-(-5+ V9)125*3+125*5+25*3+25 9999*3+101*11*(101-92) (23/4-3/4)*(3*6+2)3/7 X 49/9 - 4/38/9 X 15/36 + 1/2712x*5/6y - 2/9y*|3x-2y|8X 5/4+1/4*| -7-8|6- 3/8 —3/8 - 64/7 X 5/9 + 3/7 X 5/95/2 - (3/2 + 4/5 )7/8 + (1/8 + 1/9 )9 X 5/6 + 5/63/4 X 8/9 - 1/37 X 5/49 + 3/146 X(1/2 + 2/3 )8 X 4/5 + 8 X 11/531 X 5/6 - 5/69/7 - ( 2/7 - 10/21 ) 5/9 X 18 - 14 X 2/74/5 X 25/16 + 2/3 X 3/4 14 X 8/7 - 5/6 X 12/15 17/32 —3/4 X 9/243A45 X 2/9 + 1/35/7 X 3/25 + 3/73/14 X 2/3 + 1/61/5 X 2/3 + 5 /65/3 X 11/5 + 4/39/22+1/11 - 1/2- V16945八8 X 2/3 + 1/3 X 15 7/19 + 12/19 X 5/61/4 + 3/4 - 2/38/7 X 21/16 + 1/2101A4X(-1/5 —1/5 X21)50+ V160- 40A5120-144- 18+35347+45X2-4160- 5237八2 (58+37) + ( 64-9 X 5)95+( 64-45)178-145- 5X 6+42812-700+ ( 9+31X 11)85+14X( 14+208+ 26)120-36X 4+18+35(58+37)+( 64-9X 5)(6.8- 6.8 X 0.55) + 8.50.12 X 4.8 + 0.12 X 4.8( 3.2 X 1.5+2.5 )+ 1.66-1.6 + 4= 5.38+7.85 -5.37=7.2 +0.8 -1.2X 5= 6-1.19 X3-0.43=6.5 X( 4.8-1.2 X 4)=5.8 X( 3.87-0.13 )+4.2X 3.7432.52- (6+9.728+3.2 )X 2.55.4 - [2.6 X( 3.7-2.9 ) +0.62] 12X6-( 12-7.2 ) -6 12X 6-7.2 -6 0.68X1.9+0.32X1.9 58+370)-( 64-45)420+580-64X21-28 136+6X(65-345-23)15-10.75X0.4-5.718.1 +(3-0.299-0.23)X1 (6.8- 6.8 X 0.55) - 8.5 0.12X初中数学计算题 (200 道 )[(7.1-5.6 ) X 0.9-1.15]- 2.518 / 334.8 -0.12X 4.8 (3.2X 1.5+2.5)-1.6 3.2X 6+(1.5+2.5 )-1.60.68X 1.9+0.32X 1.9 10.15-10.75X 0.4-5.7 5.8X(3.87-0.13 )+4.2X 3.74 32.52- (6+9.728-3.2)X 2.5 [(7.1-5.6 )X 0.9-1.15] -2.55.4-[2.6 X (3.7-2.9 )+0.62] 12X 6-( 12-7.2 )-6 12X 6-7.2 -6 33.02-(148.4-90.85)-2.5 76.(25%-695%-12%)*36初中数学计算题(200 道)7/4*3/5+3/4*2/51-1/4+8/9/7/97+1/6/3/24+2/218/15*3/53/4/9/10-1/68/3+1/2)/5/6-1/3]/1/79/5+3/5/2+3/48八6(2-2/3/1/2)]*2/58+5268.32-25693+456-52*887.5%+63258/2+1/3+1/489+456-785%+. 3/7 X 49/9 - 4/39 X 15/36 + 1/272X 5/6 - 2/9 X33X 5/4 + 1/494 - 3/8 - 3/8 - 695/7 X 5/9 + 3/7 X 5/96/2 - (3/2 + 4/5 )8 + (1/8 + 1/9 )1/4 X 8/9 - 1/310X 5/49 + 3/14初中数学计算题(200 道)1.5 X( 1/2 + 2/3 )8 X 5/6 + 5/62/ 9 X 4/5 + 8 X 11/53.1 X 5/6 - 5/64/7 - ( 2/7 - 10/21 )19 X 18 - 14 X 2/75 X 25/16 + 2/3 X 3/44 X 8/7 - 5/6 X 12/157/32 —3/4 X 9/242/3 -1/2 —1/4 X 2/52 -6/13 - 9/26 —2/32/9 + 1/2 - 4/5 + 3/810 -5/9 + 1/6 X 41/2 X 2/5 + 9/10 - 9/205/9 X 3/10 + 2/7 - 2/51/2 + 1/4 X 4/5 —1/83/4 X 5/7 X 4/3 —1/223 —8/9 X 1/27 - 1/2718X5/6 + 2/5 -411/2+3/4X 5/12X4/58/9 X 3/4 —3/8 - 3/45/8 - 5/4 + 3/23 - 9/1112.5X7.4X0.820 / 33初中数学计算题(200 道)1.5 X( 1/2 + 2/3 )1.2X2.5+0.8 X 2.58.9X1.25-0.9X1.2512.5X7.4X0.821 / 33初中数学计算题(200 道)9.9 X 6.4- (2.5+0.24 )6.5 X 9.5+6.5 X 0.50.35X1.6+0.35 X3.40.25X8.6X46.72-3.28-1.720.45+6.37+4.555.4+6.9 X3-(25-2.5 )2X 41846-620-3804.8X 46+4.8X 540.8+0.8 X2.51.25X3.6X8X2.5 -12.5X2.428X12.5-12.5X2023.65- (3.07+3.65 )( 4+0.4X 0.25 )8X 7X 1.251.65 X 99+1.6527.85- (7.85+3.4 )48X1.25+50X1.25X0.2X87.8 X 9.9+0.78(1010+309+4+681+6)X 123X 9146X 782X 6X 8545.15X7/8+6.1 -0.606253/7 X 49/9 - 4/38/9 X 15/36 + 1/2712X 5/6 - 2/9 X 3初中数学计算题(200 道)8X 5/4 + 1/46- 3/8 —3/8 - 64/7 X 5/9 + 3/7 X 5/95/2 - (3/2 + 4/5 )7/8 + (1/8 + 1/9 )9 X 5/6 + 5/63/4 X 8/9 - 1/37 X 5/49 + 3/146 X(1/2 + 2/3 )8 X 4/5 + 8 X 11/531 X 5/6 - 5/69/7 - ( 2/7 - 10/21 )5/9 X 18 - 14 X 2/74/5 X 25/16 + 2/3 X 3/414 X 8/7 - 5/6 X 12/1517/32 —3/4 X 9/243 X 2/9 + 1/35/7 X 3/25 + 3/73/14 X 2/3 + 1/61/5 X 2/3 + 5/69/22 + 1/11 - 1/25/3 X 11/5 + 4/345 X 2/3 + 1/3 X 157/19 + 12/19 X 5/6初中数学计算题 (200 道 )1/4 + 3/4 - 2/3 24 / 338/7 X 21/16 + 1/2101 X 1/5— 1/5 X 21 50+ 160-40 (58+370) + ( 64-45)120-144 - 18+35347+45X2-4160- 52(58+37)-( 64-9 X 5)95-( 64-45)178-145- 5X 6+42 420+580-64 X 21-28812-700-(9+31X 11)(136+64)X( 65-345-23)85+14X( 14+208- 26)(284+16)X( 512-8208-18)120-36X 4-18+35(58+37)-( 64-9X 5)(6.8- 6.8 X 0.55) - 8.50.12 X 4.8 - 0.12 X 4.8( 3.2 X 1.5+2.5 )- 1.63.2 X( 1.5+2.5 )- 1.66-1.6 - 4= 5.38+7.85 -5.37=7.2-0.8-1.2X 5= 6-1.19X3-0.43=6.5 X( 4.8-1.2 X 4)= 0.68 X 1.9+0.32 X 1.910.15- 1 0.75 X 0.4 -5.75.8 X( 3.87-0.13 )+4.2X 3.7432.52- (6+9.728 - 3.2 ) X 2.5[(7.1-5.6 ) X 0.9-1.15] - 2.55.4 - [2.6 X( 3.7-2.9 ) +0.62]12X6-( 12-7.2 ) -6 (4) 12X6-7.2-6 102八2 X 4.5+8八5- V5297.8 X 6.9 +2.2X 6.95.6X 0.258X( 20-1.25 )127+352+73+4489+276+135+3325+71+75+29 +88243+89+111+579405-2940- 28X 21920-1680-40-7690+47X 52-398148+3328- 64-75360X 24- 32+7302100-94+48X 5451+( 2304-2042 )X 234215+( 4361-716 )- 81( 247+18)X 27- 2536-720- ( 360- 18)1080-( 63-54 )X 80( 528+912)X 5-61788528+ 41 X 38-904264+318-8280+ 69 (174+209)X 26- 9000 814- (278+322)+ 15 1406+735X 9+ 45 3168-7828+ 38+504 796-5040+(630+ 7)285+(3000-372)+ 36 1+5/6-19/12 3x(-9)+7x(-9 (-54)x1/6x(-1/3)18.1 +(3-0.299 + 0.23 )X 1 (6.8- 6.8 X 0.55) + 8.50.12 X 4.8 + 0.12 X 4.8 (3.2 X 1.5+2.5 )+ 1.63.2 X(1.5+2.5 )+ 1.6 5.6- 1.6 + 4 5.38+7.85-5.377.2 + 0.8 -1.2 X 56-1.19 X3-0.436.5 X(4.8-1.2 X 4)0.68 X 1.9+0.32 X 1.9 115-10.75 X 0.4 -5.75.8 X(3.87-0.13 )+4.2 X 3.7432.52- (6+9.728 - 3.2 ) X 2.5[(7.1-5.6 ) X 0.9-1.15] - 2.55.4 - [2.6 X( 3.7-2.9 ) +0.62]12X6-( 12-7.2 ) -612X 6-7.2 -633.02-(148.4-90.85)-2.5二. 解方程2x=7(x-5)8(3x+3)=2404.74+4x-2.5x=8.1(2.81+x) -2.81=115x-30=16(x-2)(-3)A3-3A3(-1)八2-5.62八2+3八3-4八4(2八4-3八2)八3-5八5[(1.6八2-2八3)-2.1]八2(5.66 X2)A2 -15A2(-15)Ax=225,x=?[(-4)A2- 4A2] X 2A2[(-5.6)A2+3]A2[5.6A2+(- 5.6)A2] X(-1)A23x+28-x=561.5x+6=3.752(3.6x+2.8)=-1.69.5x+9.5=1918(x-35)=-36x+7-(-36+8八2)/2=8+7八4/3a-7-98+7a=3.2*5a89/2+35/6x=3*9+2八3/5+7X 3X+189/3=521/2 4Y +119杯3=22/113X*189=5*4A5/38Z/6=458/53X+77=594Y-6985=8187X*13=5 7Z/93=41 15X+863-65X=54 58Y*55=274897(2x-1)-3(4x-1)=4(3x+2)-1 (5y+1)+ (1-y)= (9y+1)+ (1-3y) [-6(-7A4*8)-4]=x+2 20%+(1-20%)(320-x)=320 X 40% 2(x-2)+2=x+12(x-2)-3(4x-1)=9(1-x) 11x+64-2x=100-9x 15-(8-5x)=7x+(4-3x) 3(x-7)-2[9-4(2-x)]=223/2[2/3(1/4x-1)-2]-x=22x+7八2=1571) 判断题:判断下列方程是否是一元一次方程:①-3x-6x2=7()③5x+1-2x=3x-2 ()④3y-4=2y+1.()判断下列方程的解法是否正确:①解方程3y-4=y+3解:3y-y=3+4,2y=7,y=3.5②解方程:0.4x-3=0.1x+2解:0.4x+0.1x=2-3;0.5x=-1,x=-2③解方程解:5x+15-2x-2=10,3x=-3,x=-1;④解方程解:2x-4+5-5x=-1,-3x=-2,x= .( )2) 填空题:(1)若2 (3-a) x-4=5是关于x的一元一次方程,则_(2)关于x 的方程ax=3 的解是自然数,则整数 a 的值为_(3)方程5x-2(x-1)=17 的解是_(4)x=2 是方程2x-3=m- 的解,则m=_ .(5)若-2x2-5m+1=0是关于x的一元一次方程,则m=_ . ( 6)当y=_ 时,代数式5y+6 与3y-2 互为相反数.(7)当m=_ 时,方程的解为0.(8)已知0.则关于x 的方程3ab-(a+b)x=(a-b)x的解为_____ 3) 选择题:(1)方程ax=b 的解是( ) .A. 有一个解x= B .有无数个解C. 没有解D .当0时,x=( 2)解方程( x-1)=3, 下列变形中,较简捷的是(A. 方程两边都乘以4,得3( x-1 ) =12B. 去括号,得x- =3C .两边同除以,得x-1=4D. 整理,得( 3)方程2- 去分母得( )A.2-2(2x-4)=-(x-7)B.12-2(2x-4)=-x-7C. 12-2(2x-4)=-(x-7)D. 以上答案均不对( 4)若代数式比大1,则x 的值是( ).A.13 B.C.8 D.(5)x=1.5 是方程( )的解.A.4x+2=2x-(-2-9)B.2{3[4(5x-1)-8]-2}=8C.4x+9 =6x+64) 解答下列各题:(1)x 等于什么数时,代数式的值相等?( 2)y 等于什么数时,代数式的值比代数式的值少3?(3)当m等于什么数时,代数式2m-的值与代数式的值的和等于5? (4)解下列关于x 的方程:①ax+b二bx+a;(a 工b);三. 化简、化简求值化间求值:1、-9(x-2)-y(x-5)(1)化简整个式子。