2020高考数学专项复习《三角函数大题压轴题练习》
- 格式:doc
- 大小:175.88 KB
- 文档页数:12
专题12三角函数(全题型压轴题)目录①三角函数的图象与性质 (1)②函数sin()y A x ωϕ=+的图象变换 (2)③三角函数零点问题(解答题) (3)④三角函数解答题综合 (6)①三角函数的图象与性质②函数sin()y A x ωϕ=+的图象变换③三角函数零点问题(解答题)(1)求()f x 的解析式;(2)将()f x 图像向左平移12个单位得到123,,x x x ,求()()123tan 2x x x π++的值④三角函数解答题综合专题12三角函数(全题型压轴题)目录①三角函数的图象与性质 (1)②函数sin()y A x ωϕ=+的图象变换 (9)③三角函数零点问题(解答题) (12)④三角函数解答题综合 (20)①三角函数的图象与性质设()t f x =,则方程()()2220f x af x ⎡+⎣+⎦=⎤可化为由图象可得:当2t =时,方程()t f x =有2个实数根;当322t <<时,方程()t f x =有4个实数根;①当22m-=时,即②当3-=时,即t=m③当3->时,即t<m②函数sin()y A x ωϕ=+的图象变换③三角函数零点问题(解答题)由图可知,当1t =或12t -≤<当112t ≤<时,()h x 在区间⎡⎢⎣当21t <-或1t >时,()h x 在区间令ππ2πZ 62,x k k-=+∈故两个零点12,x x关于x故()122πcos cos3x x+=7.(2023春·江西·高一统考期末)已知函数由图可知,30a -≤≤,且21πt t +=,所以()12121ππsin sin 466x x t t ⎛⎫+=-+- ⎪⎝⎭故a 的取值范围为()123,0,sin x x ⎡⎤-+⎣⎦8.(2023春·湖北咸宁·高一统考期末)已知(1)求()f x 的解析式;(2)将()f x 图像向左平移12个单位得到123,,x x x ,求()()123tan 2x x x π++的值④三角函数解答题综合(2)当11π0,12x ⎡⎤∈⎢⎥⎣⎦时,不等式()π02f x kf x ⎛⎫++> ⎪⎝⎭恒成立,求实数k 的取值范围.【答案】(1)43310-(2)()3,1--【详解】(1)由题意得,向量()1,3ON = 的相伴函数为()sin 3cos f x x x =+,所以()13πsin 3cos 2sin cos 2sin 223f x x x x x x ⎛⎫⎛⎫=+=+=+ ⎪ ⎪ ⎪⎝⎭⎝⎭∵()85f x =,∴π4sin 35x ⎛⎫+= ⎪⎝⎭.∵ππ,36x ⎛⎫∈- ⎪⎝⎭,∴ππ0,32x ⎛⎫+∈ ⎪⎝⎭,∴23cos 1s πin 335πx x ⎛⎫⎛⎫+=-+= ⎪ ⎪⎝⎭⎝⎭所以ππ1π3π433sin sin sin cos 33232310x x x x ⎡⎤-⎛⎫⎛⎫⎛⎫=+-=+-+= ⎪ ⎪ ⎪⎢⎥⎝⎭⎝⎭⎝⎭⎣⎦(2)向量()1,3ON = 的相伴函数为()πsin 3cos 2sin 3f x x x x ⎛⎫=+=+ ⎪⎝⎭当11π0,12x ⎡⎤∈⎢⎥⎣⎦时,()π2sin 2cos 03π2π3f x kf x x k x ⎛⎫⎛⎫⎛⎫++=+++> ⎪ ⎪ ⎪⎝⎭⎝⎭⎝⎭,即ππsin cos 033x k x ⎛⎫⎛⎫+++> ⎪ ⎪⎝⎭⎝⎭,cos sin π3π3k x x ⎛⎫⎛⎫+>-+ ⎪ ⎪⎝⎭⎝⎭恒成立.所以①当π06x ≤<,即πππ332x ≤+<时,πcos 03x ⎛⎫+> ⎪⎝⎭,所以πsin π3tan π3cos 3x k x x ⎛⎫+ ⎪⎛⎫⎝⎭>-=-+ ⎪⎛⎫⎝⎭+ ⎪⎝⎭,即max πtan 3k x ⎡⎤⎛⎫>-+ ⎪⎢⎥⎝⎭⎣⎦,由于πππ332x ≤+<,所以πtan 3x ⎛⎫+ ⎪⎝⎭的最小值为πtan 33=,所以max πtan 33k x ⎡⎤⎛⎫>-+=- ⎪⎢⎥⎝⎭⎣⎦;②当π6x =,ππ32x +=,不等式ππsin cos 033x k x ⎛⎫⎛⎫+++> ⎪ ⎪⎝⎭⎝⎭化为10>成立.③当π11π612x <≤,ππ5π234x <+≤时,πcos 03x ⎛⎫+< ⎪⎝⎭,。
完整)上海高中数学三角函数大题压轴题练习三角函数大题压轴题练1.已知函数$f(x)=\cos(2x-\frac{\pi}{3})+2\sin(x-\frac{\pi}{4})\sin(x+\frac{\pi}{4})$。
Ⅰ)求函数$f(x)$的最小正周期和图象的对称轴方程。
解:(1)$f(x)=\cos(2x-\frac{\pi}{3})+2\sin(x-\frac{\pi}{4})\sin(x+\frac{\pi}{4})$frac{1}{3}\cos(2x-\frac{\pi}{3})+\frac{4}{3}\sin x\cos x$frac{1}{3}(\cos^2x-\sin^2x-\frac{1}{2})+\frac{4}{3}\sin x\cos x$frac{1}{6}(3\cos2x-1)+\frac{4}{3}\sin x\cos x$frac{1}{6}(3\cos2x+2\sin x\cos x-\frac{2}{3})$frac{1}{6}(3\cos2x+\sin(2x-\frac{\pi}{3})-\frac{2}{3})$frac{1}{6}(3\cos2x+\sin2x\cos\frac{\pi}{3}-\cos2x\sin\frac{\pi}{3}-\frac{2}{3})$frac{1}{6}(2\cos2x+\sqrt{3}\sin2x-\frac{2}{3})$frac{1}{3}(\cos2x+\frac{\sqrt{3}}{2}\sin2x)-\frac{1}{3}$frac{2}{3}\sin(2x+\frac{\pi}{3})-\frac{1}{3}$所以,函数$f(x)$的最小正周期为$\pi$,图象的对称轴方程为$x=k\pi+\frac{\pi}{3}$($k\in Z$)。
2)在区间$[-\frac{5\pi}{6},\frac{\pi}{2}]$上,$f(x)$单调递增,而在区间$[\frac{\pi}{2},\frac{7\pi}{6}]$上单调递减。
【高中数学】单元《三角函数与解三角形》知识点归纳一、选择题1.已知πππsin()cos()0,322ααα++-=-<<则2πcos()3α+等于( )A B .35-C .45D .35【答案】C 【解析】 【分析】首先根据等式化简,得到4sin 65πα⎛⎫+=- ⎪⎝⎭,再利用诱导公式化简2cos 3πα⎛⎫+ ⎪⎝⎭求值. 【详解】解析:∵ππsin cos 32αα⎛⎫⎛⎫++-= ⎪ ⎪⎝⎭⎝⎭13sin sin sin 22225ααααα++=+=-65πα⎛⎫=+=-⎪⎝⎭ ∴π4sin 65()α+=-.又2ππππcos cos sin 32()())6(6ααα+=++=-+, ∴2π4co (s 35)α+=. 故选:C 【点睛】本题考查三角恒等变换,化简求值,重点考查转化与变形,计算能力,属于基础题型.2.已知函数()sin 26f x x π⎛⎫=-⎪⎝⎭,若方程()23f x =的解为12,x x (120x x π<<<),则()21sin x x -=( )A .23B .49C D 【答案】C 【解析】 【分析】 由已知可得2123x x π=-,结合x 1<x 2求出x 1的范围,再由()121122236sin x x sin x cos x ππ⎛⎫⎛⎫-=-=-- ⎪ ⎪⎝⎭⎝⎭求解即可. 【详解】因为0<x π<,∴112666x πππ⎛⎫-∈- ⎪⎝⎭,, 又因为方程()23f x =的解为x 1,x 2(0<x 1<x 2<π), ∴1223x x π+=,∴2123x x π=-, ∴()121122236sin x x sin x cos x ππ⎛⎫⎛⎫-=-=-- ⎪ ⎪⎝⎭⎝⎭, 因为122123x x x x π=-<,,∴0<x 13π<,∴12662x πππ⎛⎫-∈- ⎪⎝⎭,,∴由()112263f x sin x π⎛⎫=-= ⎪⎝⎭,得126cos x π⎛⎫-= ⎪⎝⎭,∴()12sin x x -=,故()21sin x x -故选C . 【点睛】本题考查了三角函数的恒等变换及化简求值和三角函数的图象与性质,属中档题.3.设当x θ=时,函数()sin 2cos f x x x =-取得最大值,则cos θ=()A .5-B .CD 【答案】B 【解析】 【分析】由辅助角公式可确定()max f x =sin 2cos θθ-=平方关系可构造出方程组求得结果. 【详解】()()sin 2cos f x x x x ϕ=-=+Q ,其中tan 2ϕ=- ()max f x ∴sin 2cos θθ-=又22sin cos 1θθ+= cos θ∴=【点睛】本题考查根据三角函数的最值求解三角函数值的问题,关键是能够确定三角函数的最值,从而得到关于所求三角函数值的方程,结合同角三角函数关系构造方程求得结果.4.已知函数()()πsin 06f x x ωω⎛⎫=-> ⎪⎝⎭,若()π02f f ⎛⎫=- ⎪⎝⎭在π0,2⎛⎫⎪⎝⎭上有且仅有三个零点,则ω= ( ) A .23B .2C .143D .263【答案】C 【解析】∵函数()()sin 06f x x πωω⎛⎫=-> ⎪⎝⎭,()02f f π⎛⎫=-⎪⎝⎭∴1sin()sin()6262πππω-=--=- ∴2266k πππωπ-=+或52,266k k Z πππωπ-=+∈ ∴243k ω=+或42,k k ω=+∈Z ∵函数()f x 在0,2π⎛⎫⎪⎝⎭上有且仅有三个零点 ∴(,)6626x ππωππω-∈-- ∴2326ωππππ<-≤∴131933ω<≤ ∴143ω=或6ω= 故选C.5.在ABC ∆中,角A 、B 、C 所对的边分别为a 、b 、c ,且222b c a bc +=+若2sin sin sin B C A ⋅=,则ABC ∆的形状是()A .等腰三角形B .直角三角形C .等边三角形D .等腰直角三角形【答案】C 【解析】 【分析】直接利用余弦定理的应用求出A 的值,进一步利用正弦定理得到:b =c ,最后判断出三角形的形状. 【详解】在△ABC 中,角A 、B 、C 所对的边分别为a 、b 、c , 且b 2+c 2=a 2+bc .则:2221222b c a bc cosA bc bc +-===,由于:0<A <π,故:A 3π=.由于:sin B sin C =sin 2A , 利用正弦定理得:bc =a 2, 所以:b 2+c 2﹣2bc =0, 故:b =c ,所以:△ABC 为等边三角形. 故选C . 【点睛】本题考查了正弦定理和余弦定理及三角形面积公式的应用,主要考查学生的运算能力和转化能力,属于基础题型.6.将函数()()sin 0,π2f x x ϕωϕω⎛⎫=+>< ⎪⎝⎭的图象向右平移6π个单位长度后,所得图象关于y 轴对称,且1π2f ω⎛⎫=- ⎪⎝⎭,则当ω取最小值时,函数()f x 的解析式为( )A .()sin 26f x x π⎛⎫=+⎪⎝⎭B .()sin 2π6f x x ⎛⎫=- ⎪⎝⎭C .()sin 4π6f x x ⎛⎫=+ ⎪⎝⎭D .()sin 4π6f x x ⎛⎫=- ⎪⎝⎭【答案】C 【解析】 【分析】由题意利用函数()sin y A x ωφ=+的图象变换规律,可得所得函数的解析式,由12f πω⎛⎫=- ⎪⎝⎭,求出φ,再根据所得图象关于y 轴对称求出ω,可得()f x 的解析式.【详解】解:将函数()()sin (0,)2f x x πωφωφ=+><的图象向右平移6π个单位长度后,可得sin 6y x ωπωφ⎛⎫=-+ ⎪⎝⎭的图象;∵所得图象关于y 轴对称,∴62k ωππφπ-+=+,k Z ∈.∵()1sin sin 2f ππφφω⎛⎫=-=+=- ⎪⎝⎭,即1sin 2φ=,26ππφφ<=,. ∴63k ωπππ-=+,620k ω=-->, 则当ω取最小值时,取1k =-,可得4ω=, ∴函数()f x 的解析式为()sin 46f x x π⎛⎫=+ ⎪⎝⎭. 故选C . 【点睛】本题主要考查函数()sin y A x ωφ=+的图象变换规律,正弦函数的性质,属于中档题.7.已知函数()()03f x x πωω⎛⎫=-> ⎪⎝⎭的最小正周期为π,若()()122f x f x ⋅=-,则12x x -的最小值为( )A .2π B .3π C .πD .4π【答案】A 【解析】 【分析】由正弦型函数的最小正周期可求得ω,得到函数解析式,从而确定函数的最大值和最小值;根据()()122f x f x ⋅=-可知1x x =和2x x =必须为最大值点和最小值点才能够满足等式;利用整体对应的方式可构造方程组求得()12122x x k k ππ-=-+,12,k k Z ∈;从而可知120k k -=时取最小值. 【详解】由()f x 最小正周期为π可得:2ππω= 2ω∴= ()23f x x π⎛⎫∴=- ⎪⎝⎭()max f x ∴,()min f x =()()122f x f x ⋅=-Q 1x x ∴=和2x x =分别为()f x 的最大值点和最小值点设1x x =为最大值点,2x x =为最小值点()1112222232,2232x k k k Z x k ππππππ⎧-=+⎪⎪∴∈⎨⎪-=-⎪⎩()12122x x k k ππ∴-=-+,当120k k -=时,12min2x x π-=本题正确选项:A 【点睛】本题考查正弦型函数性质的综合应用,涉及到正弦型函数最小正周期和函数值域的求解;关键是能够根据函数的最值确定1x 和2x 为最值点,从而利用整体对应的方式求得结果.8.在ABC ∆中,060,A BC D ∠==是边AB上的一点,CD CBD =∆的面积为1,则BD 的长为( )A .32B .4C .2D .1【答案】C 【解析】1sin 1sin 2BCD BCD ∠=∴∠=2242BD BD ∴=-=∴=,选C9.在ABC ∆中,60B ∠=︒,AD 是BAC ∠的平分线交BC 于D,BD =,1cos 4BAC ∠=,则AD =( ) A .2 BCD.2【答案】A 【解析】 【分析】先求出sin 4BAD ∠=,再利用正弦定理求AD. 【详解】∵21cos 12sin 4BAC BAD ∠=-∠=,∴sin BAD ∠=.在ABD ∆中,sin sin AD BD B BAD =∠,∴sin 2sin BAD BD BAD =⋅==∠. 【点睛】本题主要考查二倍角的余弦和正弦定理解三角形,意在考查学生对这些知识的理解掌握水平和分析推理能力.10.如图,在等腰直角ABC ∆中,D ,E 分别为斜边BC 的三等分点(D 靠近点B ),过E 作AD 的垂线,垂足为F ,则AF =u u u v( )A .3155AB AC +u u uv u u u vB .2155AB AC +u u uv u u u vC .481515AB AC +u u uv u u u v D .841515AB AC +u u uv u u u v 【答案】D 【解析】 【分析】设出等腰直角三角形ABC 的斜边长,由此结合余弦定理求得各边长,并求得cos DAE ∠,由此得到45AF AD =u u u r u u u r,进而利用平面向量加法和减法的线性运算,将45AF AD =u u u r u u u r 表示为以,AB AC u u u r u u u r为基底来表示的形式.【详解】设6BC =,则32,2AB AC BD DE EC =====,22π2cos4AD AE BD BA BD BA ==+-⋅⋅10=,101044cos 2105DAE +-∠==⨯, 所以45AF AF AD AE ==,所以45AF AD =u u u r u u u r . 因为()1133AD AB BC AB AC AB =+=+-u u u r u u u r u u u r u u u r u u u r u u u r 2133AB AC =+u u ur u u u r , 所以421845331515AF AB AC AB AC ⎛⎫=⨯+=+ ⎪⎝⎭u u u r u u u r u u u r u u u r u u u r. 故选:D 【点睛】本小题主要考查余弦定理解三角形,考查利用基底表示向量,属于中档题.11.已知函数()sin 3(0)f x x x ωωω=+>的图象关于直线8x π=对称,则ω的最小值为( )A .13B .23C .43D .83【答案】C 【解析】 【分析】利用辅助角公式将函数()y f x =的解析式化简为()2sin 3f x x πω⎛⎫=+⎪⎝⎭,根据题意得出()832k k Z πππωπ+=+∈,可得出关于ω的表达式,即可求出正数ω的最小值.【详解】()sin 2sin 3f x x x x πωωω⎛⎫=+=+ ⎪⎝⎭Q ,由于该函数的图象关于直线8x π=对称,则()832k k Z πππωπ+=+∈,得()483k k Z ω=+∈, 0ω>Q ,当0k =时,ω取得最小值43.故选:C. 【点睛】本题考查利用正弦型函数的对称性求参数,解题时要将三角函数的解析式利用三角恒等变换思想化简,并通过对称性列出参数的表达式求解,考查计算能力,属于中等题.12.若函数()y f x =同时满足下列三个性质:①最小正周期为π;②图象关于直线3x π=对称;③在区间,63ππ⎡⎤-⎢⎥⎣⎦上单调递增,则()y f x =的解析式可以是( ) A .sin 26y x π⎛⎫=- ⎪⎝⎭B .sin 26x y π⎛⎫=-⎪⎝⎭ C .cos 26y x π⎛⎫=- ⎪⎝⎭D .cos 23y x π⎛⎫=+⎪⎝⎭【答案】A 【解析】 【分析】利用性质①可排除B ,利用性质②可排除C ,利用性质③可排除D ,通过验证选项A 同时满足三个性质. 【详解】逐一验证,由函数()f x 的最小正周期为π,而B 中函数最小正周期为2412ππ=,故排除B ;又cos 2cos 0362πππ⎛⎫⨯-== ⎪⎝⎭,所以cos 26y x π⎛⎫=- ⎪⎝⎭的图象不关于直线3x π=对称,故排除C ; 若63x ππ-≤≤,则023x ππ≤+≤,故函数cos 23y x π⎛⎫=+ ⎪⎝⎭在,63ππ⎡⎤-⎢⎥⎣⎦上单调递减,故排除D ; 令2262x πππ-≤-≤,得63x ππ-≤≤,所以函数sin 26y x π⎛⎫=- ⎪⎝⎭在,63ππ⎡⎤-⎢⎥⎣⎦上单调递增.由周期公式可得22T ππ==,当3x π=时,sin(2)sin 1362πππ⨯-==, 所以函数sin 26y x π⎛⎫=- ⎪⎝⎭同时满足三个性质.故选A . 【点睛】本题考查了三角函数的周期性,对称性,单调性,属于中档题.13.在OAB ∆中,已知OB =u u u v 1AB u u u v=,45AOB ∠=︒,点P 满足(),OP OA OB λμλμ=+∈R u u u v u u u v u u u v ,其中λ,μ满足23λμ+=,则OP u u u v的最小值为( )ABCD.2【答案】A 【解析】 【分析】根据OB =u u u r,1AB =uu u r ,45AOB ∠=︒,由正弦定理可得OAB ∆为等腰直角三角形,进而求得点A 坐标.结合平面向量的数乘运算与坐标加法运算,用λ,μ表示出OP u u u r.再由23λμ+=,将OP u u u r 化为关于λ的二次表达式,由二次函数性质即可求得OP u u u r的最小值.【详解】在OAB ∆中,已知OB =u u u r,1AB =uu u r ,45AOB ∠=︒由正弦定理可得sin sin AB OBAOB OAB=∠∠u u u r u u u r代入22=,解得sin 1OAB ∠=即2OAB π∠=所以OAB ∆为等腰直角三角形以O 为原点,OB 所在直线为x 轴,以OB 的垂线为y 轴建立平面直角坐标系如下图所示:则点A 坐标为22,22⎛ ⎝⎭所以22OA =⎝⎭u u u r ,)2,0OB =u u u r因为(),OP OA OB λμλμ=+∈R u u u r u u u r u u u r则)222,022OP λμ⎛ =+ ⎝⎭u u u r 222,22λμλ⎛⎫⎪ ⎪⎝⎭= 则2222222OP λμλ⎛⎫=++⎛⎫⎪ ⎪ ⎪ ⎪⎝⎭⎝⎭u u u r2222λλμμ=++因为23λμ+=,则32μλ=- 代入上式可得()()22322232λλλλ+-+-218518λλ-=+299555λ⎛⎫=-+ ⎪⎝⎭所以当95λ=时, min9355OP ==u u u r故选:A 【点睛】本题考查了平面向量基本定理的应用,正弦定理判断三角形形状,平面向量的坐标运算,属于中档题.14.直线y a =与函数()tan (0)4f x x πωω⎛⎫=+> ⎪⎝⎭的图象的相邻两个交点的距离为2π,若()f x 在()(),0m m m ->上是增函数,则m 的取值范围是( )A .(0,]4πB .(0,]2πC .3(0,]4π D .3(0,]2π 【答案】B 【解析】 【分析】根据直线y a =与函数()f x 的图象的相邻两个交点的距离为一个周期,得到12ω=,则()1tan 24f x x π⎛⎫=+ ⎪⎝⎭,然后求得其单调增区间,再根据()f x 在()(),0m m m ->上是增函数,由(,)m m -是增区间的子集求解. 【详解】因为直线y a =与函数()f x 的图象的相邻两个交点的距离为一个周期, 所以12ω=,()1tan 24f x x π⎛⎫=+ ⎪⎝⎭,由12242k x k πππππ-<+<+,得322()22k x k k ππππ-<<+∈Z , 所以()f x 在3,22ππ⎛⎫-⎪⎝⎭上是增函数, 由3(,),22m m ππ⎛⎫-⊆- ⎪⎝⎭, 解得02m π<≤.故选:B 【点睛】本题主要考查正切函数的图象和性质,还考查了运算求解的能力,属于中档题15.我国古代数学家秦九韶在《数书九章》中记述了“三斜求积术”,用现代式子表示即为:在ABC ∆中,角,,A B C 所对的边分别为,,a b c ,则ABC ∆的面积S =根据此公式,若()cos 3cos 0a B b c A ++=,且2222a b c --=,则ABC ∆的面积为( )AB.CD.【答案】A 【解析】 【分析】根据()cos 3cos 0a B b c A ++=,利用正弦定理边化为角得sin cos cos sin 3sin cos 0A B A B C A ++=,整理为()sin 13cos 0C A +=,根据sin 0C ≠,得1cos 3A =-,再由余弦定理得3bc =,又2222a b c --=,代入公式=S . 【详解】由()cos 3cos 0a B b c A ++=得sin cos cos sin 3sin cos 0A B A B C A ++=, 即()sin 3sin cos 0A B C A ++=,即()sin 13cos 0C A +=, 因为sin 0C ≠,所以1cos 3A =-, 由余弦定理22222cos 23a b c bc A bc --=-==,所以3bc =, 由ABC ∆的面积公式得S ===故选:A 【点睛】本题主要考查正弦定理和余弦定理以及类比推理,还考查了运算求解的能力,属于中档题.16.函数()22sin 3cos 2f x x x =+-,2,36x ππ⎡⎤∈-⎢⎥⎣⎦的值域为( ) A .40,3⎡⎤⎢⎥⎣⎦B .41,3⎡⎤⎢⎥⎣⎦C .51,4⎡⎤⎢⎥⎣⎦D .50,4⎡⎤⎢⎥⎣⎦【答案】A 【解析】 【分析】化简得到()23sin 2sin 1f x x x =-++,设sin t x =,利用二次函数性质得到答案. 【详解】根据22sin cos 1x x +=,得()23sin 2sin 1f x x x =-++,2,36x ππ⎡⎤∈-⎢⎥⎣⎦, 令sin t x =,由2,36x ππ⎡⎤∈-⎢⎥⎣⎦,得1sin 1,2x ⎡⎤∈-⎢⎥⎣⎦, 故[]0,1t ∈,有2321y t t =-++,[]0,1t ∈,二次函数对称轴为13t =, 当13t =时,最大值43y =;当1t =时,最小值0y =, 综上,函数()f x 的值域为40,3⎡⎤⎢⎥⎣⎦. 故选:A . 【点睛】本题考查了三角函数值域,换元可以简化运算,是解题的关键.17.已知1F 、2F 分别为双曲线22146x y -=的左、右焦点,M 为双曲线右支上一点且满足120MF MF ⋅=u u u u v u u u u v ,若直线2MF 与双曲线的另一个交点为N ,则1MF N ∆的面积为( )A .12B .C .24D .【答案】C 【解析】 【分析】设1MF m =,2MF n =,根据双曲线的定义和12MF MF ⊥,可求出6m =,2n =,再设2NF t =,则14NF t =+根据勾股定理求出6t =即可求出三角形的面积. 【详解】解:设1MF m =,2MF n =,∵1F 、2F 分别为双曲线22146x y -=的左、右焦点,∴24m n a -==,122F F c ==∵120MF MF ⋅=u u u u v u u u u v,∴12MF MF ⊥,∴222440m n c +==, ∴()2222m n m n mn -=+-, 即2401624mn =-=, ∴12mn =, 解得6m =,2n =,设2NF t =,则124NF a t t =+=+, 在1Rt NMF ∆中可得()()222426t t +=++, 解得6t =, ∴628MN =+=, ∴1MF N ∆的面积111862422S MN MF =⋅=⨯⨯=. 故选C .【点睛】本题考查了双曲线的定义和向量的数量积和三角形的面积,考查了运算能力和转化能力,属于中档题.18.函数()sin()3)f x x x ωϕωϕ=+++(ω>0)的图像过点(1,2),若f (x )相邻的两个零点x 1,x 2满足|x 1-x 2|=6,则f (x )的单调增区间为( ) A .[-2+12k ,4+12k](k ∈Z ) B .[-5+12k ,1+12k](k ∈Z ) C .[1+12k ,7+12k](k ∈Z ) D .[-2+6k ,1+6k](k ∈Z )【答案】B 【解析】 【分析】由题意得()23f x sin x πωϕ⎛⎫=++⎪⎝⎭,根据相邻两个零点满足126x x -=得到周期为12T =,于是可得6π=ω.再根据函数图象过点()1,2求出2()k k Z ϕπ=∈,于是可得函数的解析式,然后可求出单调增区间. 【详解】由题意得()()()323f x sin x cos x sin x πωϕωϕωϕ⎛⎫=++=++ ⎪⎝⎭, ∵()f x 相邻的两个零点1x ,2x 满足126x x -=, ∴函数()f x 的周期为12T =,∴6π=ω, ∴()263f x sin x ππϕ⎛⎫=++⎪⎝⎭.又函数图象过点()1,2,∴2222632sin sin cos πππϕϕϕ⎛⎫⎛⎫++=+== ⎪ ⎪⎝⎭⎝⎭, ∴cos 1ϕ=, ∴2()k k Z ϕπ=∈, ∴()263f x sin x ππ⎛⎫=+ ⎪⎝⎭.由22,2632k x k k Z ππππππ-+≤+≤+∈,得512112,k x k k Z -+≤≤+∈,∴()f x 的单调增区间为[]()512,112k k k Z -++∈. 故选B . 【点睛】解答本题的关键是从题中所给的信息中得到相关数据,进而得到函数的解析式,然后再求出函数的单调递增区间,解体时注意整体代换思想的运用,考查三角函数的性质和应用,属于基础题.19.已知函数()sin()f x x ωϕ=+(0>ω,2πω<)的最小正周期为π,且其图象向左平移3π个单位后,得到函数()cos g x x ω=的图象,则函数()f x 的图象( ) A .关于直线12x π=对称B .关于直线512x π=对称 C .关于点(,0)12π对称D .关于点5(,0)12π对称 【答案】C 【解析】试题分析:依题意()()2,sin 2f x x ωϕ==+,平移后为2sin 2cos 2,36x x ππϕϕ⎛⎫++==- ⎪⎝⎭,()sin 26f x x π⎛⎫=- ⎪⎝⎭,关于,012π⎛⎫⎪⎝⎭对称.考点:三角函数图象与性质.20.在函数:①cos |2|y x =;②|cos |y x =;③cos 26y x π⎛⎫=+ ⎪⎝⎭;④tan 24y x π⎛⎫=- ⎪⎝⎭中,最小正周期为π的所有函数为( ) A .①②③ B .①③④C .②④D .①③【答案】A 【解析】逐一考查所给的函数:cos 2cos2y x x == ,该函数为偶函数,周期22T ππ== ; 将函数cos y x = 图象x 轴下方的图象向上翻折即可得到cos y x = 的图象,该函数的周期为122ππ⨯= ; 函数cos 26y x π⎛⎫=+ ⎪⎝⎭的最小正周期为22T ππ== ; 函数tan 24y x π⎛⎫=-⎪⎝⎭的最小正周期为22T ππ==;综上可得最小正周期为π的所有函数为①②③. 本题选择A 选项.点睛:求三角函数式的最小正周期时,要尽可能地化为只含一个三角函数的式子,否则很容易出现错误.一般地,经过恒等变形成“y =A sin(ωx +φ),y =A cos(ωx +φ),y =A tan(ωx +φ)”的形式,再利用周期公式即可.。
【高中数学】数学高考《三角函数与解三角形》试题含答案一、选择题1.已知函数f (x )=sin 2x +sin 2(x 3π+),则f (x )的最小值为( ) A .12B .14CD【答案】A 【解析】 【分析】先通过降幂公式和辅助角法将函数转化为()11cos 223f x x π⎛⎫=-+ ⎪⎝⎭,再求最值. 【详解】已知函数f (x )=sin 2x +sin 2(x 3π+), =21cos 21cos 2322x x π⎛⎫-+⎪-⎝⎭+,=1cos 2111cos 22223x x π⎛⎛⎫-=-+ ⎪ ⎝⎭⎝⎭, 因为[]cos 21,13x π⎛⎫+∈- ⎪⎝⎭, 所以f (x )的最小值为12. 故选:A 【点睛】本题主要考查倍角公式及两角和与差的三角函数的逆用,还考查了运算求解的能力,属于中档题.2.在ABC ∆中,角,,A B C 所对的边分别为,,a b c 满足,222b c a bc +-=,0AB BC ⋅>u ur u u r u u,a =b c +的取值范围是( ) A .31,2⎛⎫ ⎪⎝⎭B.32⎫⎪⎪⎝⎭C .13,22⎛⎫⎪⎝⎭D .31,2⎛⎤ ⎥⎝⎦【答案】B 【解析】 【分析】利用余弦定理222cos 2b c a A bc+-=,可得3A π=,由|||cos()|0AB BC AB BC B π⋅=⋅->u u u u u u u u r u ur u r u r,可得B为钝角,由正弦定理可得sin sin(120)30)o o b c B B B ∴+=+-=+,结合B 的范围,可得解【详解】由余弦定理有:222cos 2b c a A bc+-=,又222b c a bc +-=故2221cos 222b c a bc A bc bc +-===又A 为三角形的内角,故3A π=又a=sin sin sin(120)ob c c B C B ==- 又|||cos()|0AB BC AB BC B π⋅=⋅->u u u u u u u u r u ur u r u r故cos 0B B <∴为钝角3sin sin(120)sin 30)22o o b c B B B B B ∴+=+-=+=+(90,120)o o B ∈Q ,可得130(120150)sin(30)(2o o o o B B +∈∴+∈,330))22o b c B ∴+=+∈ 故选:B 【点睛】本题考查了正弦定理、余弦定理和向量的综合应用,考查了学生综合分析,转化划归,数学运算能力,属于中档题3.函数()[]()cos 2,2f x x x ππ=∈-的图象与函数()sin g x x =的图象的交点横坐标的和为( ) A .53π B .2πC .76π D .π【答案】B 【解析】 【分析】根据两个函数相等,求出所有交点的横坐标,然后求和即可.【详解】令sin cos2x x =,有2sin 12sin x x =-,所以sin 1x =-或1sin 2x =.又[],2x ππ∈-,所以2x π=-或32x π=或6x π=或56x π=,所以函数()[]()cos 2,2f x x x ππ=∈-的图象与函数()sin g x x =的图象交点的横坐标的和3522266s πππππ=-+++=,故选B. 【点睛】本题主要考查三角函数的图象及给值求角,侧重考查数学建模和数学运算的核心素养.4.已知函数()()πsin 06f x x ωω⎛⎫=-> ⎪⎝⎭,若()π02f f ⎛⎫=- ⎪⎝⎭在π0,2⎛⎫⎪⎝⎭上有且仅有三个零点,则ω= ( ) A .23B .2C .143D .263【答案】C 【解析】∵函数()()sin 06f x x πωω⎛⎫=-> ⎪⎝⎭,()02f f π⎛⎫=-⎪⎝⎭∴1sin()sin()6262πππω-=--=- ∴2266k πππωπ-=+或52,266k k Z πππωπ-=+∈ ∴243k ω=+或42,k k ω=+∈Z ∵函数()f x 在0,2π⎛⎫⎪⎝⎭上有且仅有三个零点∴(,)6626x ππωππω-∈-- ∴2326ωππππ<-≤∴131933ω<≤ ∴143ω=或6ω= 故选C.5.在ABC ∆中,角A 、B 、C 所对的边分别为a 、b 、c ,且222b c a bc +=+若2sin sin sin B C A ⋅=,则ABC ∆的形状是()A .等腰三角形B .直角三角形C .等边三角形D .等腰直角三角形【答案】C 【解析】 【分析】直接利用余弦定理的应用求出A 的值,进一步利用正弦定理得到:b =c ,最后判断出三角形的形状. 【详解】在△ABC 中,角A 、B 、C 所对的边分别为a 、b 、c , 且b 2+c 2=a 2+bc .则:2221222b c a bc cosA bc bc +-===,由于:0<A <π,故:A 3π=.由于:sin B sin C =sin 2A , 利用正弦定理得:bc =a 2, 所以:b 2+c 2﹣2bc =0, 故:b =c ,所以:△ABC 为等边三角形. 故选C . 【点睛】本题考查了正弦定理和余弦定理及三角形面积公式的应用,主要考查学生的运算能力和转化能力,属于基础题型.6.已知πππsin()cos()0,322ααα++-=-<<则2πcos()3α+等于( )A B .35-C .45D .35【答案】C 【解析】 【分析】首先根据等式化简,得到4sin 65πα⎛⎫+=- ⎪⎝⎭,再利用诱导公式化简2cos 3πα⎛⎫+ ⎪⎝⎭求值. 【详解】解析:∵ππsin cos 32αα⎛⎫⎛⎫++-= ⎪ ⎪⎝⎭⎝⎭13sin sin sin 22225ααααα++=+=-433sin 6πα⎛⎫=+=-⎪⎝⎭∴π4sin 65()α+=-.又2ππππcos cos sin 32()())6(6ααα+=++=-+, ∴2π4co (s 35)α+=. 故选:C 【点睛】本题考查三角恒等变换,化简求值,重点考查转化与变形,计算能力,属于基础题型.7.小赵开车从A 处出发,以每小时40千米的速度沿南偏东40︒的方向直线行驶,30分钟后到达B 处,此时,小王发来微信定位,显示他自己在A 的南偏东70︒方向的C 处,且A 与C 的距离为153千米,若此时,小赵以每小时52千米的速度开车直线到达C 处接小王,则小赵到达C 处所用的时间大约为( )()7 2.6≈A .10分钟B .15分钟C .20分钟D .25分钟【答案】B 【解析】 【分析】首先根据题中所给的条件,得到30BAC ∠=︒,20AB =,153AC =,两边和夹角,之后应用余弦定理求得5713BC =≈(千米),根据题中所给的速度,进而求得时间,得到结果. 【详解】根据条件可得30BAC ∠=︒,20AB =,153AC =, 由余弦定理可得2222cos30175BC AB AC AB AC ︒=+-⋅⋅=, 则5713BC =≈(千米), 由B 到达C 所需时间约为130.2552=(时)15=分钟. 故选:B . 【点睛】该题是一道关于解三角形的实际应用题,解题的关键是掌握余弦定理的应用,属于简单题目.8.已知角α的终边与单位圆交于点34(,)55P -,则cos α的值为( ) A .35B .35-C .45D .45-【答案】B 【解析】 【分析】根据已知角α的终边与单位圆交于点34(,)55P -,结合三角函数的定义即可得到cos α的值. 【详解】因为角α的终边与单位圆交于点34(,)55P -, 所以34,,155x y r =-==, 所以3cos 5α=-, 故选B. 【点睛】该题考查的是有关已知角终边上一点求其三角函数值的问题,涉及到的知识点有三角函数的定义,属于简单题目.9.若函数()y f x =同时满足下列三个性质:①最小正周期为π;②图象关于直线3x π=对称;③在区间,63ππ⎡⎤-⎢⎥⎣⎦上单调递增,则()y f x =的解析式可以是( )A .sin 26y x π⎛⎫=- ⎪⎝⎭B .sin 26x y π⎛⎫=-⎪⎝⎭ C .cos 26y x π⎛⎫=- ⎪⎝⎭D .cos 23y x π⎛⎫=+⎪⎝⎭【答案】A 【解析】 【分析】利用性质①可排除B ,利用性质②可排除C ,利用性质③可排除D ,通过验证选项A 同时满足三个性质. 【详解】逐一验证,由函数()f x 的最小正周期为π,而B 中函数最小正周期为2412ππ=,故排除B ;又cos 2cos 0362πππ⎛⎫⨯-== ⎪⎝⎭,所以cos 26y x π⎛⎫=- ⎪⎝⎭的图象不关于直线3x π=对称,故排除C ; 若63x ππ-≤≤,则023x ππ≤+≤,故函数cos 23y x π⎛⎫=+ ⎪⎝⎭在,63ππ⎡⎤-⎢⎥⎣⎦上单调递减,故排除D ; 令2262x πππ-≤-≤,得63x ππ-≤≤,所以函数sin 26y x π⎛⎫=- ⎪⎝⎭在,63ππ⎡⎤-⎢⎥⎣⎦上单调递增.由周期公式可得22T ππ==,当3x π=时,sin(2)sin 1362πππ⨯-==, 所以函数sin 26y x π⎛⎫=- ⎪⎝⎭同时满足三个性质.故选A . 【点睛】本题考查了三角函数的周期性,对称性,单调性,属于中档题.10.已知函数()3cos(2)2f x x π=+,若对于任意的x ∈R ,都有12()()()f x f x f x 剟成立,则12x x -的最小值为( ) A .4 B .1C .12D .2【答案】D 【解析】 【分析】由题意得出()f x 的一个最大值为()2f x ,一个最小值为()1f x ,于此得出12x x -的最小值为函数()y f x =的半个周期,于此得出答案. 【详解】对任意的x ∈R ,()()()12f x f x f x 剟成立. 所以()()2min 3f x f x ==-,()()2max 3f x f x ==,所以12min22Tx x -==,故选D . 【点睛】本题考查正余弦型函数的周期性,根据题中条件得出函数的最值是解题的关键,另外就是灵活利用正余弦型函数的周期公式,考查分析问题的能力,属于中等题.11.ABC V 中,角A 、B 、C 的对边分别为a ,b ,c ,且tanC 3cos 3cos c a B b A =+,若27c =,4a =,则b 的值为( )A .6B .2C .5D .2【答案】A 【解析】 【分析】由正弦定理,两角和的正弦公式化简已知等式可得sin tan 3sin C C C =,结合sin 0C ≠,可求得tan 3C =,结合范围()0,C π∈,可求C ,从而根据余弦定理24120b b --=,解方程可求b 的值. 【详解】解:∵tan 3cos 3cos c C a B b A =+, ∴由正弦定理可得:()()sin tan 3sin cos sin cos 3sin 3sin C C A B B A A B C =+=+=,∵sin 0C ≠, ∴可得tan 3C =, ∵()0,C π∈, ∴3C π=,∵27c =,4a =,∴由余弦定理2222cos c a b ab C =+-,可得212816242b b =+-⨯⨯⨯,可得24120b b --=,∴解得6b =,(负值舍去). 故选:A . 【点睛】本题考查正弦定理、余弦定理的综合应用,其中着重考查了正弦定理的边角互化、余弦定理的解三角形,难度一般.利用边角互化求解角度值时,注意三角形内角对应的角度范围.12.若θ是第二象限角,则下列选项中能确定为正值的是( ) A .sin B .cosC .tanD .cos2θ【答案】C 【解析】 【分析】直接利用三角函数象限角的三角函数的符号判断即可. 【详解】由θ是第二象限角可得为第一或第三象限角,所以tan >0.故选C 【点睛】本题考查三角函数值的符号的判断,是基础题.13.在ABC V 中,角A ,B ,C 的对边分别为a ,b ,c ,若1b =,3c =,且2sin()cos 12cos sin B C C A C +=-,则ABC V 的面积是( )A 3B .12C 33D .14或12【答案】C 【解析】 【分析】根据已知关系求出1sin 2B =,根据余弦定理求出边a ,根据面积公式即可得解. 【详解】因为2sin()cos 12cos sin B C C A C +=-,所以2sin cos 12cos sin A C A C =-, 所以2sin cos 2cos sin 1A C A C +=,所以2sin()1A C +=,所以2sin 1B =,即1sin 2B =,因为b c <,所以B C <,所以角B 为锐角,所以23cos 1sin B B =-=, 由余弦定理2222cos b a c ac B =+-得231323a a =+-⨯, 整理可得2320a a -+=,解得1a =或2a =. 当1a =时,ABC V 的面积是1113sin 13222S ac B ==⨯=当2a =时,ABC V 的面积是1113sin 232222S ac B ==⨯=. 故选:C. 【点睛】此题考查根据余弦定理解三角形,关键在于熟练掌握定理公式,结合边角关系解方程,根据面积公式求解.14.在ABC ∆中,角A ,B ,C 所对的边分别为,,,3,3,sin a b c a c b A ===cos ,6a B b π⎛⎫+= ⎪⎝⎭则( )A .1B 2C 3D 5【答案】C 【解析】 【分析】将sin b A = cos 6a B π⎛⎫+ ⎪⎝⎭结合正弦定理化简,求得B ,再由余弦定理即可求得b . 【详解】因为sin b A = cos 6a B π⎛⎫+⎪⎝⎭,展开得sin b A =1?cos sin 2B a B -,由正弦定理化简得sin sinB A =1?cos sin 2B sinA B -= cos B即3tanB =,而三角形中0<B<π,所以π 6B =由余弦定理可得2222cos b a c ac B =+- ,代入(2223236b π=+-⨯⨯解得b =所以选C 【点睛】本题考查了三角函数式的化简,正弦定理与余弦定理的应用,属于基础题.15.在∆ABC 中,内角A ,B ,C 所对的边分别为a ,b ,c .则“sin >sin A B ”是“a b >”的( )A .充分而不必要条件B .必要而不充分条件C .充要条件D .既不充分也不必要条件【答案】C 【解析】由正弦定理得sin sin 22a bA B a b R R>⇔>⇔> ,所以“sin sin A B >”是“a b >”的充要条件,选C.16.已知函数()()sin x f x x R ωφ+=∈,,其中0ωπφπ>-<,≤.若函数()f x 的最小正周期为4π,且当23x π=时,()f x 取最大值,是( ) A .()f x 在区间[]2ππ--,上是减函数 B .()f x 在区间[]0π-,上是增函数 C .()f x 在区间[]0π,上是减函数 D .()f x 在区间[]02π,上是增函数【答案】B【解析】【分析】先根据题目所给已知条件求得()f x 的解析式,然后求函数的单调区间,由此得出正确选项.【详解】由于函数()f x 的最小正周期为4π,故2π14π2ω==,即()1sin 2f x x φ⎛⎫=+ ⎪⎝⎭,2ππsin 1,33π6f φφ⎛⎫⎛⎫=+= ⎪ ⎪⎝⎭=⎭⎝.所以()1πsin 26f x x ⎛⎫=+ ⎪⎝⎭.由π1ππ2π2π2262k x k -≤+≤+,解得4π2π4π4π33k x k -≤≤+,故函数的递增区间是4π2π4π,4π33k k ⎡⎤-+⎢⎥⎣⎦,令0k =,则递增区间为4π2π,33⎡⎤-⎢⎥⎣⎦,故B 选项正确.所以本小题选B.【点睛】本小题主要考查三角函数解析式的求法,考查三角函数单调区间的求法,属于基础题.17.某船开始看见灯塔A 时,灯塔A 在船南偏东30o 方向,后来船沿南偏东60︒的方向航行45km 后,看见灯塔A 在船正西方向,则这时船与灯塔A 的距离是( )A .152kmB .30kmC .15kmD .153km 【答案】D【解析】【分析】如图所示,设灯塔位于A 处,船开始的位置为B ,船行45km 后处于C ,根据题意求出BAC ∠与BAC ∠的大小,在三角形ABC 中,利用正弦定理算出AC 的长,可得该时刻船与灯塔的距离.【详解】设灯塔位于A 处,船开始的位置为B ,船行45km 后处于C ,如图所示,可得60DBC ∠=︒,30ABD ∠=︒,45BC =30ABC ∴∠=︒,120BAC ∠=︒在三角形ABC 中,利用正弦定理可得:sin sin AC BC ABC BAC =∠∠, 可得sin 1153sin 23BC ABC AC km BAC ∠==⨯=∠ 故选D【点睛】本题主要考查的是正弦定理,以及特殊角的三角函数值,熟练掌握正弦定理是解决本题的关键,属于基础题.18.在ABC V 中,角A 的平分线交边BC 于D ,4AB =,8AC =,2BD =,则ABD △的面积是( )A .15B .315C .1D .3【答案】A【解析】【分析】先根据正弦定理求得DC ,再结合余弦定理求得cos B ,进而求出ABD S V ,即可求得结论.【详解】如图:()sin sin sin ADC ADB ADB π∠=-∠=∠,在ABD △中,由正弦定理得sin sin BD AB BAD ADB=∠∠,同理可得sin sin CD AC CAD ADC=∠∠, 因为ABC V 中,角A 的平分线交边BC 于D ,上述两个等式相除得BD AB CD AC =, 4AB =Q ,8AC =,2BD =,8244AC BD CD AB ⋅⨯∴===,6BC ∴=. 2222224681cos 22464AB BC AC B AB BC +-+-∴===-⋅⨯⨯,2115sin 144B ⎛⎫=--= ⎪⎝⎭. 1sin 152ABD S AB BD B ∴=⋅⋅=V故选:A .【点睛】本题考查三角形面积的求法以及角平分线的性质应用,是中档题,解题时要注意余弦定理的合理运用,考查计算能力,属于中等题.19.在函数:①cos |2|y x =;②|cos |y x =;③cos 26y x π⎛⎫=+ ⎪⎝⎭;④tan 24y x π⎛⎫=-⎪⎝⎭中,最小正周期为π的所有函数为( ) A .①②③B .①③④C .②④D .①③【答案】A【解析】逐一考查所给的函数: cos 2cos2y x x == ,该函数为偶函数,周期22T ππ== ; 将函数cos y x = 图象x 轴下方的图象向上翻折即可得到cos y x = 的图象,该函数的周期为122ππ⨯= ; 函数cos 26y x π⎛⎫=+⎪⎝⎭的最小正周期为22T ππ== ; 函数tan 24y x π⎛⎫=- ⎪⎝⎭的最小正周期为22T ππ== ;综上可得最小正周期为π的所有函数为①②③.本题选择A 选项.点睛:求三角函数式的最小正周期时,要尽可能地化为只含一个三角函数的式子,否则很容易出现错误.一般地,经过恒等变形成“y =A sin(ωx +φ),y =A cos(ωx +φ),y =A tan(ωx +φ)”的形式,再利用周期公式即可.20.在极坐标系中,曲线4sin 6πρθ⎛⎫=+⎪⎝⎭关于( ) A .直线3πθ=对称 B .直线6πθ=对称 C .点2,6π⎛⎫ ⎪⎝⎭对称 D .极点对称 【答案】A【解析】【分析】由4sin 6πρθ⎛⎫=+ ⎪⎝⎭,得直角坐标方程:2220x x y -+-= ,圆心为( ,又因为直线3πθ=即:y = 过点(,由此便可得出答案. 【详解】 由曲线4sin 6πρθ⎛⎫=+ ⎪⎝⎭,即:24sin 6πρρθ⎛⎫=+ ⎪⎝⎭,又因为cos sin x y ρθρθ=⎧⎨=⎩,化简得曲线的直角坐标方程:2220x x y -+-= ,故圆心为( .又因为直线3πθ=,直角坐标方程为:y = ,直线y =过点(,故曲线关于直线3πθ=对称故选:A.【点睛】本题主要考查曲线及直线的极坐标方程与直角坐标方程的转化,以及圆关于过圆心的直线对称的知识,属于中等难度题目.。
2019-2020 年高考数学大题专题练习 —— 三角函数(一)1. 【山东肥城】 已知函数 f ( x) 2sin 2 x 2sin 2 ( x) , x R .( 1)求函数 yf ( x) 的对称中心;6( 2)已知在 △ABC 中,角 A 、B 、C 所对的边分别为 a , b , c ,且f (B6 ) b c, ABC 的外接圆半径为 3 ,求 △ABC 周长的最大值 . 22a【解析】f ( x) 1 cos2 x1 cos2( x) cos(2 x) cos2 x6313 sin 2x cos 2xcos2x223sin 2x1cos2x sin(2 x 6 ) . 22(1)令 2xk ( k Z ),则 xk( kZ ),6212所以函数 yf ( x) 的对称中心为 (k,0) k Z ;212(2)由 f (B)b c,得 sin( B ) bc ,即 3 sin B 1cos B b c ,262a6 2a 2 2 2a整理得 3a sin B a cos B b c ,由正弦定理得:3 sin A sin B sin A cos B sin B sin C ,化简得 3 sin A sin B sin B cos Asin B ,又因为 sin B0 ,所以 3 sin A cos A1,即sin( A1 ,6 )2由 0A,得A5 ,6 66所以 A,即 A3 ,6 6又 ABC 的外接圆的半径为3 ,所以 a 2 3 sin A 3 ,由余弦定理得222222232(b c) 2abc2bc cos A bcbc (b c)3bc (b c)(b c)44,即 ,当且仅当 bc 时取等号,所以周长的最大值为 9.2.【河北衡水】 已知函数 f x2a sin x cosx2b cos 2 x c a 0,b 0 ,满足 f 0 ,且当 x0,时, f x 在 x 取得最大值为 5.26 2( 1)求函数 f x 在 x0, 的单调递增区间;( 2)在锐角 △ABC 的三个角 A ,B ,C 所对的边分别为 a ,b ,c ,且2 22 f C3,求a2b 2c 2 的取值范围 .2ab c【解析】(1)易得 f x5sin 2x 5,整体法求出单调递增区间为0, , 2 ,;3 666 3 (2)易得 C,则由余弦定理可得 a2b 2c 2 2a 2 2b 2 ab2 b a 1,3a 2b 2c 2aba bbsin 2 A3 1 1由正弦定理可得sin B 3,所以asin Asin A2tan A2 ,22a 2b 2c 23,4 .a2b2c2rcos x, 1 r( 3 sin x,cos 2x) , xR ,设函数3.【山东青岛】 已知向量 a, b 2r rf ( x) a b .( 1)求 f(x)的最小正周期;( 2)求函数 f(x)的单调递减区间;( 3)求 f(x)在 0,上的最大值和最小值 . 2【解析】f (x) cos x, 1( 3 sin x,cos 2x) 23 cos x sin x 1cos2x 23sin 2 x 1cos 2x2 2cos sin 2x sin cos 2x6 6sin 2x.6(1)f ( x)的最小正周期为T 2 2,即函数f ( x) 的最小正周期为.2(2)函数y sin(2 x ) 单调递减区间:62k 2x 32k , k Z ,2 6 2得:k x 5 k , k Z ,63∴所以单调递减区间是3 k ,5k , k Z .6(3)∵0 x ,2∴2x 5.6 6 6 由正弦函数的性质,当 2x6 2 ,即 x 时, f (x) 取得最大值1.3当x x 0 f (0) 1,即时,,6 6 2当 2x6 5 ,即 x2时, f21 ,6 2∴ f (x) 的最小值为1. 2因此, f (x) 在 0, 上的最大值是1,最小值是1 .2 224.【浙江余姚】已知函数 f ( x) sin x sin x cos( x ) .( 1)求函数 f(x)的最小正周期;( 2)求 f(x)在 0,上的最大值和最小值.2【解析】( 1) 由题意得 f ( x) sin 2 x sin x cos x6sin 2 xsin x( 3 cos x 1sin x)2 23sin 2x3sin x cos x223(1 cos 2x)3sin 2x443 ( 1sin 2x3cos2x)3 2 2243sin( 2x) 32 34f (x) 的最小正周期为( 2) x0, ,22x23 3 3当 2x,即 x0时, f ( x) min0 ;33当 2x5 时, f ( x) max2 3 33,即 x4212综上,得 x0时, f ( x) 取得最小值,为 0;当 x5 2 3 3时, f ( x) 取得最大值,为4125.【山东青岛】 △ABC 的内角 A ,B ,C 的对边分别为a ,b ,c ,已知 b cos A 3a c .3( 1)求 cosB ;( 2)如图, D 为 △ABC 外一点,若在平面四边形ABCD中, D 2 B ,且 AD 1, CD3 , BC 6 ,求 AB 的长.【解析 】解:( 1)在ABC 中,由正弦定理得 sin B cos A3sin Asin C ,3又 C( A B) ,所以 sin B cos A3sin Asin( A B) ,3故 sin B cos A3sin Acos B cos Asin B ,sin A3所以 sin Acos B3sin A ,3又 A(0, ) ,所以 sin A30 ,故 cos B3(2) QD 2 B , cos D2cos 2 B 113又在ACD 中, AD 1, CD 3∴由余弦定理可得 AC2AD2CD22AD CD cosD 19 2 3 ( 1) 12 ,3∴ AC2 3 ,在 ABC 中, BC6 , AC 2 3 , cosB3,3∴由余弦定理可得 AC2AB 2 BC 2 2 AB BCcosB ,即 12 AB 2 6 2 AB63 ,化简得 AB 2 2 2 AB 6 0 ,解得 AB 3 2 .3故 AB 的长为 32 .6. 【江苏泰州】如图,在△ABC 中,ABC,2ACB, BC 1.P 是△ ABC 内一点,且BPC.3 2(1)若ABP,求线段AP的长度;6(2)若APB 2,求△ ABP 的面积 .3【解析】(1)因为PBC ,所以在 Rt PBC 中,6BPC , BC 1,PBC3 ,所以 PB 1 ,2 2在 APB 中,ABP , BP 13 ,所以, AB6 2AP2 AB 2 BP2 2AB BP cos PBA3 1 2 13 37,所以 AP 7 ;4 2 2 4 2(2)设PBA ,则PCB ,在 Rt PBC 中,BPC , BC 1,2PCB ,所以 PB sin ,在 APB 中,ABP , BP sin , AB 3 ,APB 2,3由正弦定理得:sin 3 1sin3cos1sinsin sin 2 2 2 23 3sin 3 cos ,又 sin 2 cos2 1 sin2 32 7SABP 1AB BP sin ABP 1 3 sin 2 3 3 .2 2 148.【辽宁抚顺】已知向量m sin x,1 , n cos x,3, f x m n4 4( 1)求出 f(x)的解析式,并写出f(x)的最小正周期,对称轴,对称中心;( 2)令 h xf x6,求 h(x)的单调递减区间;( 3)若 m // n ,求 f(x)的值.【解析】(1) f xm nsin x4cos x341sin 2 x4 3 1sin 2x231cos2x 3222所以 f x 的最小正周期 T ,对称轴为 xk , kZ2对称中心为k ,3 , kZ42(2) h xf x1 cos2 x 32 36令2k2x32k , kZ 得k x6k ,k Z3所以 h x 的单调减区间为3k ,k ,k Z6(3)若 m // n ,则 3sinxcos x即 tan x13444tan x 2f x1cos2x 3 1sin 2 x231 sin2 x cos 2 xcos x2 sin 2 xcos 2 322 x1 tan2 x 1 332 tan 2 x 31109.【辽宁抚顺】已知函数 f x 2 3 sin x cos x 2cos 2 x 1 , x R .( 1)求函数 f x 的最小正周期及在区间0,2 上的最大值和最小值;( 2)若 f x 06,x 0, 2 ,求 cos 2x 0 的值.54【解析】( 1) 由 f(x)= 2 3 sin xcos x + 2cos 2x - 1,得 f(x)= 3 (2sin xcos x)+(2cos2x-1)= 3 sin 2x+cos 2x=2sin 2x ,6所以函数 f(x)的最小正周期为π0 x , 2 x6 7 , 1 sin 2 x 12 6 6 2 6所以函数 f(x)在区间 0, 上的最大值为2,最小值为- 12( 2)由(1)可知f(x0)=2sin 2 x6又因为 f(x0 )=6,所以 sin 2 x6=3 .5 5由 x0∈, ,得 2x0+∈ 2,74 2 6 3 6从而 cos 2 x0 = 1 sin 2 2 x06 =-46 5所以 cos 2x0= cos 2 x06 6 = cos 2x0 cos + sin 2x06sin6 6 6=3 4 31010.【广西桂林】已知f x 4sin 24 x sin x cosx sin x cosx sin x 1 . 2( 1)求函数 f x 的最小正周期;( 2)常数0 ,若函数 y f x 在区间, 2上是增函数,求的取值2 3范围;( 3)若函数 g x 1 f 2 x af x af x a 1在,的最大值为2 2 4 22,求实数的值 .【解析】(1)f x 2 1 cos x sin x cos2 x sin 2 x 1 22 2sin x sin x 1 2sin 2 x 1 2sin x .∴ T 2 .(2) f x 2sinx .由 2kx 2k2kx2k2 得, k Z ,222 ∴ fx 的递增区间为2k2, 2k, k Z2∵ fx 在,2上是增函数,23∴当 k0 时,有2, 22,.320,∴, 解得 03242 22 ,3∴ 的取值范围是0,3.4(3) gx sin 2x a sin xa cos x 1 a 1.2 令 sin xcos x t ,则 sin 2x1 t2 .112a21 2att2aa∴ y 1 ta 1at2 t4a .222∵ t sin x cos x2 sin x,由x 得x,4 42244∴ 2 t 1 .①当a2 ,即 a2 2 时,在 t2 处 y max2 1 a 2 .22由21 a2 2 ,解得 a8 8 2 2 12 2 (舍去 ).22 2 1 7②当2 a 1,即2 2 a2 时, y maxa 21 a ,由 a 21a 22424 2得 a 2 2a 8 0 解得 a2 或 a 4 (舍去) .③当a1,即a 2 时,在 t 1处y max a 1 ,由a1 2 得a 6.2 2 2综上, a 2 或 a 6 为所求.11.【江苏无锡】如图所示,△ ABC 是临江公园内一个等腰三角形形状的小湖.....(假设湖岸是笔直的),其中两腰CA CB 60 米,cos CAB 2.为了给市民3营造良好的休闲环境,公园管理处决定在湖岸AC,AB 上分别取点E,F(异于线段端点),在湖上修建一条笔直的水上观光通道EF(宽度不计),使得三角形AEF 和四边形 BCEF 的周长相等 .(1)若水上观光通道的端点 E 为线段 AC 的三等分点(靠近点 C),求此时水上观光通道 EF 的长度;(2)当 AE 为多长时,观光通道 EF 的长度最短?并求出其最短长度 .【解析】(1)在等腰ABC 中,过点 C 作 CH AB 于 H ,在 Rt ACH 中,由 cosAH AH 240 , AB 80 ,CAB ,即,∴ AHAC 60 3∴三角形 AEF 和四边形 BCEF 的周长相等.∴ AE AF EF CE BC BF EF ,即 AE AF 60 AE 60 80 AF ,∴AE AF 100.∵ E 为线段 AC 的三等分点(靠近点 C ),∴ AE 40, AF 60,在AEF 中,EF 2 AE 2 AF 2 2 AE AF cos CAB 402 602 2 40 60 2 200 ,3∴ EF 2000 20 5 米.即水上观光通道EF 的长度为20 5米.(2)由( 1)知,AE AF 100 ,设 AE x ,AF y ,在AEF 中,由余弦定理,得EF 2 x2 y2 2x y cos CAB x2 y 24xy x y10xy .23 3∵ xy x y 2 1002 10 502 2 502 .502,∴EF22 3 350 6∴EF,当且仅当x y取得等号,3所以,当 AE 50 米时,水上观光通道EF 的长度取得最小值,最小值为50 6米.312.【江苏苏州】如图,长方形材料ABCD 中,已知AB 2 3 , AD4 .点P为材料ABCD 内部一点,PE AB 于 E , PF AD 于 F ,且 PE1 ,PF 3 .现要在长方形材料ABCD中裁剪出四边形材料AMPN,满足MPN 150 ,点M、N分别在边AB,AD上.( 1)设FPN,试将四边形材料AMPN 的面积表示为的函数,并指明的取值范围;(2)试确定点 N 在 AD 上的位置,使得四边形材料 AMPN 的面积 S 最小,并求出其最小值 .【解析】(1)在直角NFP 中,因为 PF 3 ,FPN ,所以 NF 3 tan ,所以 S NAP 1NA PF 1 1 3 tan 3 ,2 2在直角 MEP 中,因为 PE 1,EPM3,所以MEtan,3所以 S AMP1AM PE 1 3 tan31,2 2所以 SSNAPSAMP3tan1tan33 ,0, .2 23(2)因为S 3 1 tan33 tan3,tan2 33tan2 13 tan22令 t 13 tan,由0, ,得 t1,4,3所以S3 3t24t 4 3 t 43 3 t4 3 23 ,2 3t 2 3t 323t33当且仅当t2 3233 时,即 tan时等号成立,3此时,AN 2 3233,Smin3 ,答:当AN 2 3AMPN 的面积 S 最小,最小值为 233 时,四边形材料.313.【江苏苏州】 如图,在平面四边形ABCD 中, ABC3AD ,, AB4AB=1.uuur uuur3 ,求 △的面积;( 1)若 AB BCABCg( 2)若 BC 2 2 , AD 5 ,求 CD 的长度 .【解析】uuur uuur3 ,所以 uuur uuur,(1)因为 AB BCBAgBC 3guuur uuurABC3 ,即 BA BC cosABC 3 , AB 1 ,所以 1 uuur3 uuur3 2 ,又因为BC cos 3,则 BC44 1 uuur uuur ABC 3所以 S ABC AB BC sin .2 2(2)在 ABC 中,由余弦定理得:AC 2AB 2 BC 2 2 AB BC cos31 8 21 2 22 13 ,42解得: AC 13 ,在ABC 中,由正弦定理得:ACBC2 13sin ABC sin,即sin BAC,BAC13所以 cos CADcosBACsin BAC2 13 ,213在ACD 中,由余弦定理得:CD 2AD 2 AC 2 2AD AC cos CAD ,即 CD3 2 .14.【山东栖霞】 已知函数 f xA sin xA 0,0,的部分图象222如图所示, B , C 分别是图象的最低点和最高点,BC4 .4(1)求函数 f(x)的解析式; (2)将函数y f x 的图象向左平移个单位长度,再把所得图象上各点横坐标伸长到3原来的 2 倍(纵坐标不变)得到函数 yg x 的图象,求函数 yg 2 x 的单调递增区间 .13【解析】(1)由图象可得:3 T 5 ( ) ,所以 f (x) 的周期 T .4 12 3于是2,得2 ,C 524 A 22又 B, A , , A ∴ BC 4 ∴ A 1,12 1224又将 C (5,1) 代入 f (x)sin(2 x) 得, sin(2 5) 1,1212所以 25=2k,即=2k( k R ) ,1223由2 得, ,23∴ f (x)sin(2 x) .3(2)将函数 yf (x) 的图象沿 x 轴方向向左平移个单位长度,3得到的图象对应的解析式为:y sin(2 x) ,3再把所得图象上各点横坐标伸长到原来的 2 倍(纵坐标不变),得到的图象对应的解析式为 g( x)sin( x3 ) ,cos(2x2 )22(x13y g ( x) sin 3 )22由 2k22k, kZ 得, kx k , k Z ,2x336∴函数 yg 2 ( x) 的单调递增区间为 k,k (kZ ) .3615.【山东滕州】 已知函数 f ( x)Asin( x ) ( A 0, 0,) 的部分图象如 2图所示 .( 1)求函数 f (x) 的解析式;( 2)把函数 y f ( x) 图象上点的横坐标扩大到原来的 2 倍(纵坐标不变),再向左平移个单位,得到函数y g (x) 的图象,求611关于 x 的方程 g ( x) m(0 m 2) 在 x [,] 时3 3所有的实数根之和 .【解析】2(1)由图象知,函数 f ( x) 的周期T,故 2 .T点 (, A) 在函数图象上,6∴ Asin(26) A,∴ sin(3) 1,解得:3 2k2, k Z ,即2k6, k Z ,又2 ,从而.6点 (0,1) 在函数图象上,可得:Asin(2 0 ) 1 ,6∴ A 2 .故函数 f (x) 的解析式为: f ( x) 2sin(2 x ) .6 (2)依题意,得g (x) 2sin( x ) .3∵ g( x) 2sin( x ) 的周期T ,3∴ g( x) 2sin( x ) 在 x [11] 内有2个周期. ,3 3 3令x3 k , k Z ,2解得 x k , k Z ,6即函数 g (x) 2sin( x ) 的对称轴为 x k , k Z .3 6又 x [3 ,11 ] ,则 x3[0,4 ] ,3所以 g(x) m(0 m 2) 在 x [ , 11 ] 内有4个实根,3 3不妨从小到大依次设为x i (i 1,2,3, 4) .则x1x2 , x3 x4 13 ,2 6 2 6故 g( x) m(0 m 2) 在x [3 ,11 ] 时所有的实数根之和为:3x1 x2 x3 x4 14. 3。
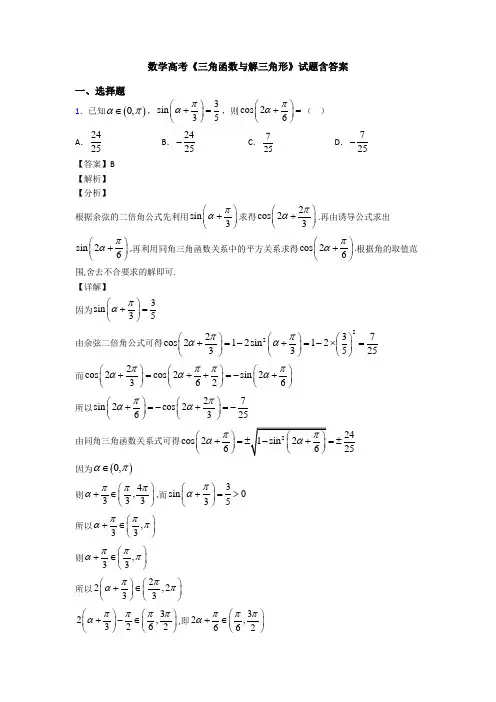
数学高考《三角函数与解三角形》试题含答案一、选择题1.已知()0,απ∈,3sin 35πα⎛⎫+= ⎪⎝⎭,则cos 26πα⎛⎫+= ⎪⎝⎭( ) A .2425B .2425-C .725D .725-【答案】B 【解析】 【分析】根据余弦的二倍角公式先利用sin 3πα⎛⎫+ ⎪⎝⎭求得2cos 23πα⎛⎫+ ⎪⎝⎭.再由诱导公式求出sin 26πα⎛⎫+ ⎪⎝⎭,再利用同角三角函数关系中的平方关系求得cos 26πα⎛⎫+ ⎪⎝⎭.根据角的取值范围,舍去不合要求的解即可. 【详解】 因为3sin 35πα⎛⎫+= ⎪⎝⎭ 由余弦二倍角公式可得22237cos 212sin 1233525ππαα⎛⎫⎛⎫⎛⎫+=-+=-⨯= ⎪ ⎪ ⎪⎝⎭⎝⎭⎝⎭ 而2cos 2cos 2sin 23626ππππααα⎛⎫⎛⎫⎛⎫+=++=-+ ⎪ ⎪ ⎪⎝⎭⎝⎭⎝⎭所以27sin 2cos 26325ππαα⎛⎫⎛⎫+=-+=- ⎪⎪⎝⎭⎝⎭由同角三角函数关系式可得24cos 2625πα⎛⎫+==± ⎪⎝⎭ 因为()0,απ∈ 则4,333πππα⎛⎫+∈ ⎪⎝⎭,而3sin 035πα⎛⎫+=>⎪⎝⎭ 所以,33ππαπ⎛⎫+∈ ⎪⎝⎭则,33ππαπ⎛⎫+∈ ⎪⎝⎭所以22,233ππαπ⎛⎫⎛⎫+∈ ⎪ ⎪⎝⎭⎝⎭32,3262ππππα⎛⎫⎛⎫+-∈ ⎪ ⎪⎝⎭⎝⎭,即32,662πππα⎛⎫+∈ ⎪⎝⎭又因为7sin 20625πα⎛⎫+=-< ⎪⎝⎭,所以32,62ππαπ⎛⎫+∈ ⎪⎝⎭故cos 206πα⎛⎫+< ⎪⎝⎭所以24cos 2625πα⎛⎫+=- ⎪⎝⎭ 故选:B 【点睛】本题考查了同角三角函数关系式及诱导公式的化简应用,三角函数恒等变形及角的范围确定,综合性较强,属于中档题.2.如图,直三棱柱ABC A B C '''-的侧棱长为3,AB BC ⊥,3AB BC ==,点E ,F 分别是棱AB ,BC 上的动点,且AE BF =,当三棱锥B EBF '-的体积取得最大值时,则异面直线A F '与AC 所成的角为( )A .2πB .3π C .4π D .6π 【答案】C 【解析】 【分析】设AE BF a ==,13B EBF EBFV S B B '-'=⨯⨯,利用基本不等式,确定点E ,F 的位置,然后根据//EF AC ,得到A FE '∠即为异面直线A F '与AC 所成的角,再利用余弦定理求解. 【详解】设AE BF a ==,则()()23119333288B EBFa a V a a '-+-⎡⎤=⨯⨯⨯-⨯≤=⎢⎥⎣⎦,当且仅当3a a =-,即32a =时等号成立, 即当三棱锥B EBF '-的体积取得最大值时,点E ,F 分别是棱AB ,BC 的中点, 方法一:连接A E ',AF ,则352A E '=352AF =2292A F AA AF ''=+=,1322EF AC ==,因为//EF AC ,所以A FE '∠即为异面直线A F '与AC 所成的角,由余弦定理得222819452424cos 93222222A F EF A E A FE A F EF +-''+-'∠==='⋅⋅⨯⨯, ∴4A FE π'∠=.方法二:以B 为坐标原点,以BC 、BA 、BB '分别为x 轴、y 轴、z 轴建立空间直角坐标系,则()0,3,0A ,()3,0,0C ,()0,3,3A ',3,0,02F ⎛⎫ ⎪⎝⎭, ∴3,3,32A F ⎛⎫'=--⎪⎝⎭,()3,3,0AC =-, 所以9922cos ,92322A F AC A F AC A F AC +'⋅'==='⋅⨯,所以异面直线A F '与AC 所成的角为4π. 故选:C 【点睛】本题主要考查异面直线所成的角,余弦定理,基本不等式以及向量法求角,还考查了推理论证运算求解的能力,属于中档题.3.函数()[]()cos 2,2f x x x ππ=∈-的图象与函数()sin g x x =的图象的交点横坐标的和为( ) A .53π B .2πC .76π D .π【答案】B 【解析】 【分析】根据两个函数相等,求出所有交点的横坐标,然后求和即可. 【详解】令sin cos2x x =,有2sin 12sin x x =-,所以sin 1x =-或1sin 2x =.又[],2x ππ∈-,所以2x π=-或32x π=或6x π=或56x π=,所以函数()[]()cos 2,2f x x x ππ=∈-的图象与函数()sin g x x =的图象交点的横坐标的和3522266s πππππ=-+++=,故选B. 【点睛】本题主要考查三角函数的图象及给值求角,侧重考查数学建模和数学运算的核心素养.4.函数sin 26y x π⎛⎫=+ ⎪⎝⎭的图象可由函数2cos 2y x x =-的图象( ) A .向右平移3π个单位,再将所得图象上所有点的纵坐标伸长到原来的2倍,横坐标不变得到 B .向右平移6π个单位,再将所得图象上所有点的纵坐标伸长到原来的2倍,横坐标不变得到 C .向左平移3π个单位,再将所得图象上所有点的纵坐标缩短到原来的12,横坐标不变得到 D .向左平移6π个单位,再将所得图象上所有点的纵坐标缩短到原来的12,横坐标不变得到 【答案】D 【解析】 【分析】合并cos2y x x =-得:2sin 26y x π⎛⎫=- ⎪⎝⎭,利用平移、伸缩知识即可判断选项。
4 2 ) 三角函数1.已知函数 f (x ) = 4 c os x s in(x +(Ⅰ)求 f (x ) 的最小正周期;) -1.6(Ⅱ)求 f (x ) 在区间[- , ] 上的最大值和最小值.6 42、已知函数 f (x ) = sin(2x + ) 3+ sin(2x - 3 + 2 cos 2 x - 1, x ∈ R .(Ⅰ)求函数 f (x ) 的最小正周期;(Ⅱ)求函数 f (x ) 在区间[- , ] 上的最大值和最小值.4 43、已知函数 f (x ) = tan(2x +),4(Ⅰ)求 f (x ) 的定义域与最小正周期;⎛ ⎫(II )设∈ 0, ⎪ ,若 f ( ) = 2 cos 2, 求的大小⎝ ⎭4、已知函数 f (x ) =(sin x - cos x ) sin 2x.sin x(1) 求 f (x ) 的定义域及最小正周期;(2) 求 f (x ) 的单调递减区间.5、 设函数 f (x ) = cos(2x + + sin 2x .24(I )求函数 f (x ) 的最小正周期;( II ) 设 函 数 1g (x ) 对 任 意 x ∈ R , 有g (x + 2 = g (x ) , 且 当x ∈[0, ] 时 , 2g (x ) = - f (x ) ,求函数 g (x ) 在[-, 0] 上的解析式.22 ) )3 + = 6、函数 f (x ) = A sin(x -称轴之间的距离为 ,2) +1(A > 0,> 0 )的最大值为 3, 其图像相邻两条对 6(1)求函数 f (x ) 的解析式;(2)设∈(0, ) ,则 f ( ) = 2 ,求的值.2 27、设 f ( x ) = 4cos( ωx -π)sin ωx + cos 2ωx ,其中> 0.6(Ⅰ)求函数 y = f ( x ) 的值域(Ⅱ)若 y = f ( x ) 在区间⎡- 3π ,π⎤上为增函数,求 的最大值.⎣⎢ 2 2 ⎥⎦8、函数 f (x ) = 6 cos 2x + 23 cos x - 3(> 0) 在一个周期内的图象如图所示, A 为 图象的最高点, B 、C 为图象与 x 轴的交点,且∆ABC 为正三角形.(Ⅰ)求的值及函数 f (x ) 的值域;8 3 (Ⅱ)若 f (x 0 ) 5,且 x 0 ∈(- 10 2, ) ,求 f (x 0 1) 的值.3 39、已知 a , b , c 分别为∆ABC 三个内角 A , B , C 的对边, a cos C + 3a sin C - b - c = 0(1)求 A ;(2)若 a = 2 , ∆ABC 的面积为 ;求b , c .10、在 ∆ ABC 中,内角 A ,B ,C 的对边分别为 a ,b ,c .已知 cos A cos C .= 2,sin B = 53(Ⅰ)求 tan C 的值; (Ⅱ)若 a = 2 ,求∆ ABC 的面积.3 2 2 ) max+ = - (x )答案1、【思路点拨】先利用和角公式展开,再利用降幂公式、化一公式转化为正弦型函数,最后求周期及闭区间上的最值.【精讲精析】(Ⅰ)因为 f (x ) = 4 cos x sin(x + 1) -1 = 4 cos x ( sin x + cos x ) -1622= 3 sin 2x + 2 cos 2 x -1 = 3 sin 2x + cos 2x = 2 s in(2x +,所以 f (x ) 的最小正周期为.62(Ⅱ)因为- ≤ x ≤ 6 4 ,所以- ≤ 2x + ≤ 6 6 3 .于是,当2x + = 6 2 ,即 x =6时, f (x ) 取得最大值 2;当2x + = - 6 6 ,即 x = - 时, f (x ) 取得最小值-1.62、【解析】 (1)2f (x )= sin (2x + )+sin(2x - )+2cos x -1 = 2 s in 2x cos + cos 2x = 2 sin(2x + )3 3 3 42函数 f (x ) 的最小正周期为T = =23 (2) - ≤ x ≤ ⇒ - ≤ 2x + ≤ ⇒ - ≤ sin(2x +4 4 4 4 4 2 4) ≤ 1 ⇔ -1 ≤ f (x ) ≤当 2x + = (x = ) 时 , 4 2 8 f (x )min = -1f (x ) = , 当 2x = - 时 , 4 4 4【点评】该试题关键在于将已知的函数表达式化为 y =A sin (x +) 的数学模型,再根据此三角模型的图像与性质进行解题即可.3、【思路点拨】1、根据正切函数的有关概念和性质;2、根据三角函数的有关公式进行变换、化简求值.k【精讲精析】(I)【解析】由2x +≠ + k , k ∈ Z , 得 x ≠ + , k ∈ Z . 4 2 8 2k为 .2所以 f (x ) 的定义域为{x ∈ R | x ≠ + 8 2, k ∈ Z } , f (x ) 的最小正周期(II)【解析】由 f ( ) = 2 cos 2, 得tan(+2) = 2 cos 2,42) ) )1 sin(+ 4 = 2(cos2 - s in 2 ), cos(+整理得4 sin + coscos - sin= 2(cos + sin )(cos - sin ). 21 1 因为∈(0, ) ,所以sin + cos ≠ 0.因此(cos - s in ) 4= ,即sin 2= .2 2由∈(0, ) ,得2∈(0, ) .所以2= ,即= .4 2 6 124、解(1): sin x ≠ 0 ⇔ x ≠ k(k ∈ Z ) 得:函数 f (x ) 的定义域为{x x ≠ k , k ∈ Z }f (x ) =(sin x - cos x ) sin 2x= (sin x - cos x ) ⨯ 2 cos xsin x= sin 2x - (1+ cos 2x ) = 2 sin(2x --14 2得: f (x ) 的最小正周期为T = = ;2(2)函数 y = sin x 的单调递增区间为[2k - , 2k + 2 2](k ∈ Z )3则2k - ≤ 2x - ≤ 2k + ⇔ k - ≤ x ≤ k +2 4 2 8 8得: f (x ) 的单调递增区间为[k - , k ),(k , k + 3](k ∈ Z )8 85、本题考查两角和与差的三角函数公式、二倍角公式、三角函数的周期等性质、分段函数解析式等基础知识,考查分类讨论思想和运算求解能力.【 解 析 】1 1f (x ) = cos(2x + + sin 2 x = 1 cos 2x - 1 sin 2x + 1 (1- cos 2x )2 4 2 2 2= - sin 2x , 2 22(I )函数 f (x ) 的最小正周期T = =21 1(II )当 x ∈[0, ] 时, g (x ) = - f (x ) = sin 2x2 当 x ∈[-2 21 1 sin 2x 当 x ∈[-, - ) 时, (x +) ∈[0, )2 2 g (x ) = g (x +) = sin 2(x +) = 2 2sin 2x⎧- 1 sin 2x (x ≤ 0) - ≤ ⎪ 22 得函数 g (x ) 在[-, 0] 上的解析式为 g (x ) = ⎨ .⎪ sin 2x (-≤ x <⎩⎪ 2 22 ) ) , 0] 时, (x + ) ∈[0, ] g (x ) = g (x + ) = 1 sin 2(x + ) = - 1 2 2 2 2 2 2 23 ⎢ ⎥ 6、【解析】(1)∵函数 f ( x ) 的最大值是 3,∴ A +1 = 3,即 A = 2 .∵函数图像的相邻两条对称轴之间的距离为 ,∴最小正周期T =,∴= 2 .2故函数 f ( x ) 的解析式为 f (x ) = 2 s in(2x -) +1.61(2)∵ f ( ) = 2 s in(- 2) +1 = 2 ,即sin(- 6 ) = ,6 2∵ 0 << ,∴ - <- < ,∴- = ,故= .2 6 63 6 6 3⎛ 3 1⎫ 7、解:(1) f ( x ) = 4 2 cos x + 2 sin x ⎪⎪s in x + cos 2x ⎝ ⎭= 2 3 sin x cos x + 2 sin 2 x + cos 2 x - sin 2 x =3 sin 2x +1因-1 ≤ sin 2x ≤ 1,所以函数 y = f ( x ) 的值域为⎡1- 3,1+ 3⎤⎣⎦⎡ ⎤(2)因 y = sin x 在每个闭区间 ⎢⎣2k - 2 , 2k + 2 ⎥⎦ (k ∈ Z ) 上为增函数,故 f ( x ) = 3 sin 2x +1 (> 0) 在每个闭区间⎡ k - 4 , k + ⎤(k ∈ Z ) 上 4为增函数.⎡ 3 ⎤⎡ kk ⎤⎣⎦依题意知⎢- , ⎥ ⊆ ⎢ -, + ⎥ 对某个 k ∈ Z 成立,此时必有 k = 0 ,于是 ⎣ 2 2 ⎦ ⎣ 4 4⎦⎧- 3≥ -⎪ 2 41 1⎨⎪ ≤⎩ 2 4,解得≤ ,故的最大值为 . 6 6 8. 本题主要考查三角函数的图像与性质、同角三角函数的关系、两角和差公式,倍角公式等基础知识,考查基本运算能力,以及数形结合思想,化归与转化思想. [解析](Ⅰ)由已知可得: f (x ) = 6 cos2x+ 23 cos x - 3(> 0)=3cosωx+ 3 sin x = 2 3 s in(x + )3又由于正三角形 ABC 的高为 2 ,则 BC=42 所以,函数 f (x )的周期T = 4 ⨯ 2 = 8,即= 8,得= 4所以,函数 f (x )的值域为[-2 3,2 3] .......................... 6 分 (Ⅱ)因为 f (x 0 ) =853,由(Ⅰ)有1 - ( 4)2 57 6 53 1 c os 2A5 561f (x ) = x 08 3x 0 42 3sin( 4 + ) =3 , 即sin( 54 + ) = 35 由 x 0∈(- 10 2x 0 + ∈ (-,),得( ) , )3 34 3 2 2所以,即 x 0 3 cos( 4 + ) = =3 5 故 f (x + 1) = x 0= x 0 + + 02 3sin( = 4 x 0 + + ) 2 4 33sin[( ) ] 4 3 4x 0 2 3[sin( 4 + ) cos 3 4 + cos( 4 + ) s in3 4 = 2 3( 4⨯ 2 + 3 ⨯ 2 )5 2 5 2=12 分9..解:(1)由正弦定理得:a cos C + 3a sin C -b -c = 0 ⇔ sin A c os C - 3 sin A sin C = sin B + sin C⇔ sin A cos C + 3 sin A sin C = sin(a + C ) + sin C⇔ 3 sin A - cos A = 1 ⇔ sin( A - 30︒ ) = 12⇔ A - 30︒ = 30︒ ⇔ A = 60︒(2) S = bc sin A = ⇔ bc = 4 , 2a 2 =b 2 +c 2 - 2bc cos A ⇔ b + c = 410. 本题主要考查三角恒等变换,正弦定理,余弦定理及三角形面积求法等知识点.(Ⅰ)∵cos A 2 0,∴sin A = ,= >33又2 sin C .35 cos C =sin B =sin(A +C )=sin A cos C +sin C cos A =5 cos C +3整理得:tan C = 5 .(Ⅱ) 由图辅助三角形知: sin C =. 又由正弦定理知:a sin A c ,sin C故c 3 . (1)b 2c 2 a 2 2对角 A 运用余弦定理:cos A =2bc . (2) 3 解(1) (2)得: b 3 or b = 3 (舍去). ∴∆ ABC 的面积为:S = 5. 3 2。
(一)三角函数与解三角形1xfxxx.)+1.(2019·余高、缙中、长中模拟)已知函数(cos)=cos-(sin2xf求函数)(的单调增区间;(1)ππ32????f,,求cos2αα),=α∈(2)若的值.(??886x1+cos211xfx+=(1)解 sin2(-)222π2??x??+2 ,sin=??42πππkkxk∈2,π≤2Z+≤+2,得π由-+2423π??kk??kfxπ-π++π,.函数,(Z)的单调增区间是∈??88π21????f+α2 =由(2)sin(α),=得??463ππ3????,因为α∈,??88ππ????π,∈,所以2α+??24π22????+α2 所以cos=-,??43ππ42-??????+α2??-.所以cos2α=cos=??4??46πππ2xxxxf. )=sincos)已知函数(-3sin2.(2019·杭州二中高考热身考444xfx的值;求(1))(的最大值及此时fff (2019)++…+(2)的值.(2)求(1)ππ311xfxx (1)(sin)=-cos-解22222ππ1??x??+,-=sin??262πππkkx,Zπ,∈2=-令++2264kxk-Z4,,∈=得334xfxkk.时,)∈(4=∴当-Z(=)max23.31fT,,(1)=(2)由(1)知函数的周期-=422131111fff(4)=,-,(2)=+,=(3)+2222221131kfkf+2)∴=(4++1)=-,,(422221113kkff+3)=+(4,+4)=,-(42222kfkfkfkf,++2)+4)(4=+∴3)(4++1)+2(4(4fff(2019) ++…+∴(2)(1)fff1010.(3)(2)=504×2++(1)+=ACabcbABCAB sin,,且,,,3.(2019·余高等三校联考)设△所对边的长分别是的内角Ba0. cos3=-B (1)求角的大小;ACca=3(2)若,求+边上中线长的最小值.BBAA sincossin,=-3sin0解 (1)由正弦定理得,A∵sin≠0,B∴tan3,=B是三角形的内角,∵B=60°.∴bb??222??AccBAEACEBE+··cos-,在△中,由余弦定理得,2方法一(2) 设=边上的中点为,??22222acb-+222acbAac,+=2·cos60°-又cos,=bc2ca+??2??-92222222222??2acacacbccaabaaccb--+?-?2+2+-9++22cBE=+∴====≥=-442444427 ,16ca时取到“=”,当且仅当=33AC. 边上中线长的最小值为∴4ACE,设边上的中点为方法二1→→→BCBEBA+(,)=222acca++1→→→22BCBEBA ||=,=+||44.以下同方法一.π??2x??xxxfxx+.-·cos+已知3sin()=2cossin·sin4.(2019·浙大附中考试)??6xxyf的单调递增区间;(1)求函数<=π())(0<→→ADBCABAfAACABC满足边上的高()=2的内角,而,求·长的最大值.=(2)设△3πππ??????xxx??????xxxf++2+.+解 (1)2sin()=2cos=·sin·cos2sin??????666πππkkxkπ≤2∈+≤+2Z π,,由-+2226ππkxkk.≤∈π+π-≤,Z解得63ππ2????????xxyfπ0,,.∴当0<<π时,函数)=的单调递增区间是(和????36Af(2)(2)∵=,ππ??A??A+2 =,∴,∴2sin=2??66→→ACAB·=3∵,bcbcA=3,∴,=∴2·cos11AbcS sin∴,==ABC△2222cbcbbcbca=,当且仅当2≥?时等号成立-3?)=而3-=+1(-313+ADBC,∴所求≤边上的高213+AD. 即的最大值为2ABcCCABCABab. 3sin,,,已知的对边分别为sin,=,5.在△+中,角sin222BBBCAAA的值;+sinsin+,求sin(1)若cossin=sin+cos ABCc面积的最大值.2(2)若,求△=222BABCA,+解 (1)∵cossin=sin+cossin222BABAC sin+,+1-sinsin ∴1-sinsin=222BBACA sin∴sin+sinsin-,=-sin222abcba=--∴由正弦定理,得,+222cba1-+C==-cos,∴由余弦定理,得ab222πCC=,π0<又<,∴3.32πCAB.==3sin∴sin3sin+sin=23ccab=33(2)若2=,则=+,222222cbcababa4-?-++2-?C===-1∴cos,ababab224??22??CC1-=1-cos1∴sin-=ab??48??2??=,-+ab??ab4811??2??ababCS sin-=∴+=ab??ab221ab. -168=+2abba≥2,=2∵3+baab=≤3,当且仅当3时等号成立,即0<=11abS 2+8,≤-∴16=+8×3=-1622ABC2.∴△面积的最大值为1m·nfxx m xx n xx且(-,cos,-ω))(ω>0,=∈6.已知(=3sinωR,cos ω),)=(cosω2πxf.(的图象上相邻两条对称轴之间的距离为)2xf (的单调递增区间;)(1)求函数afBCAABCaABCbcb,,若△中内角)=,0,sin的对边分别为,,求,=且7=,3sin((2)ABCc的值及△的面积.1m·nfx-解) (1)=(212xxx-ω-cosωcosω=3sin231xx-1 cos2sin2ωω=-22π??x??-ω2-1.=sin??6πfx)的图象上相邻两条对称轴之间的距离为(,∵2π2π??x??xTf-2-1sin)1ωπ∴==,∴=,∴(=,??6ω2.πππkkkx,,≤2∈-≤2Zπ令2+π-262ππkkkx,∈≤Zπ+,则≤π-36xf )的单调递增区间为∴(ππ??kk??k+,ππ-.,Z∈??36π??B??Bf-2 知,0(,)=sin-1=(2)由(1)??6ππ11πBB <2,-∵0<<<π,∴-666πππBB,∴,∴2=-=326cACa=3sin3及正弦定理,得,由sin=ABC在△中,由余弦定理,可得222222cbaccc19710-+-7+-B,==cos ==22ccac2266ac,1,=∴3=31133BSac.=×3×1×==∴sin ABC△4222。
2020年高考理科数学《三角函数》题型归纳与训练【题型归纳】题型一 三角函数的概念、诱导公式及同角关系式例1 (1)点P 从(1,0)出发,沿单位圆x 2+y 2=1逆时针方向运动2π3弧长到达Q 点,则Q 点的坐标为( )A .(-12,32)B .(-32,-12) C .(-12,-32)D .(-32,12) (2)已知角α的顶点与原点重合,始边与x 轴的正半轴重合,终边上一点P(-4,3),则cos()sin()2119cos()sin()22παπαππαα+---+的值为________. 【答案】(1)A (2)-34【解析】(1)设Q 点的坐标为(x ,y), 则x =cos 2π3=-12,y =sin 2π3=32.∴Q 点的坐标为(-12,32).(2)原式=-sin α·sin α-sin α·cos α=tan α.根据三角函数的定义, 得tan α=y x =-34,∴原式=-34.【易错点】诱导公式和三角函数定义不熟练【思维点拨】(1)涉及与圆及角有关的函数建模问题(如钟表、摩天轮、水车等),常常借助三角函数的定义求解.应用定义时,注意三角函数值仅与终边位置有关,与终边上点的位置无关.(2)应用诱导公式时要弄清三角函数在各个象限内的符号;利用同角三角函数的关系化简过程要遵循一定的原则,如切化弦、化异为同、化高为低、化繁为简等. 题型二 三角函数的图象及应用例1已知曲线1cos C y x =:,22πsin 23C y x ⎛⎫=+⎪⎝⎭:,则下面结正确的是( ).A.把1C 上各点的横坐标伸长到原来的2倍,纵坐标不变,再把得到的曲线向右平移π6个单位长度,得到曲线2CB.把1C 上各点的横坐标伸长到原来的2倍,纵坐标不变,再把得到的曲线向左平移π12个单位长度,得到曲线2CC.把1C 上各点的横坐标缩短到原来的12倍,纵坐标不变,再把得到的曲线向右平移π6个单位长度,得到曲线2CD.把1C 上各点的横坐标缩短到原来的12倍,纵坐标不变,再把得到的曲线向左平移π12个单位长度,得到曲线2C 【答案】D【解析】(1) 1:cos C y x =,22π:sin 23⎛⎫=+ ⎪⎝⎭C y x ,首先曲线1C 、2C 统一为一三角函数名,可将1:cos C y x =用诱导公式处理.πππcos cos sin 222⎛⎫⎛⎫==+-=+ ⎪ ⎪⎝⎭⎝⎭y x x x .横坐标变换需将1=ω变成2=ω,即112πππsin sin 2sin 2224y x y x x ⎛⎫⎛⎫⎛⎫=+−−−−−−−−→=+=+→ ⎪ ⎪ ⎪⎝⎭⎝⎭⎝⎭C 上各坐短它原点横标缩来2ππsin 2sin 233y x x ⎛⎫⎛⎫=+=+ ⎪ ⎪⎝⎭⎝⎭. 注意ω的系数,在右平移需将2=ω提到括号外面,这时π4+x 平移至π3+x ,根据“左加右减”原则,“π4+x ”到“π3+x ”需加上π12,即再向左平移π12.故选D. 【易错点】函数图像水平方向平移容易出错 【思维点拨】平移变换理论 (1)平移变换:①沿x 轴平移,按“左加右减”法则; ②沿y 轴平移,按“上加下减”法则. (2)伸缩变换:①沿x 轴伸缩时,横坐标x 伸长(0<ω<1)或缩短(ω>1)为原来的 倍(纵坐标y 不变); ②沿y 轴伸缩时,纵坐标y 伸长(A>1)或缩短(0<A<1)为原来的A 倍(横坐标x 不变). 2.注意平移前后两个函数的名称是否一致,若不一致,应用诱导公式化为同名函数再平移.例2函数sin 21cos xy x=-的部分图像大致为( ).【答案】C【解析】由题意知,函数sin 21cos xy x =-为奇函数,故排除B ;当x =π时,0y =,排除D ;当1x =时,sin 21cos 2y =>-,排除A.故选C.【易错点】函数图形判断通过过排除法 【思维点拨】例3函数f(x)=2sin(ωx +φ)⎝⎛⎭⎫ω>0,-π2<φ<π2的部分图象如图所示,则ω,φ的值分别是( ) A .2,-π3B .2,-π6C .4,-π6D .4,π3【答案】A【解析】 (1)因为T 2=11π12-5π12,所以T =π.又T =2πω(ω>0),所以2πω=π,所以ω=2.又2×5π12+φ=π2+2kπ(k ∈Z ),且-π2<φ<π2,故φ=-π3.【易错点】求φ时,容易忽略讨论k 【思维点拨】题型三 三角函数性质例1 (1)已知函数f(x)=sin(ωx +φ)+3cos(ωx +φ)(ω>0,0<|φ|<π2)为奇函数,且函数y =f(x)的图象的两相邻对称轴之间的距离为π2.(1)求f(π6)的值;(2)将函数y =f(x)的图象向右平移π6个单位后,得到函数y =g(x)的图象,求函数g(x)的单调递增区间.【答案】(1)f(π6)=2sin π3=3(2)[kπ-π12,kπ+5π12](k ∈Z ).【解析】(1)f(x)=sin(ωx +φ)+3cos(ωx +φ) =2[12sin(ωx +φ)+32cos(ωx +φ)]=2sin(ωx +φ+π3).因为f(x)为奇函数,所以f(0)=2sin(φ+π3)=0,又0<|φ|<π2,可得φ=-π3,所以f(x)=2sin ωx ,由题意得2πω=2·π2,所以ω=2.故f(x)=2sin 2x. 因此f(π6)=2sin π3= 3.(2)将f(x)的图象向右平移π6个单位后,得到f(x -π6)的图象,所以g(x)=f(x -π6)=2sin[2(x -π6)]=2sin(2x -π3).当2kπ-π2≤2x -π3≤2kπ+π2(k ∈Z ),即kπ-π12≤x≤kπ+5π12(k ∈Z )时,g(x)单调递增,因此g(x)的单调递增区间为[kπ-π12,kπ+5π12](k ∈Z ).【易错点】 【思维点拨】题型四三角函数范围问题例1函数()23sin 0,42f x x x x ⎛π⎫⎡⎤=-∈ ⎪⎢⎥⎣⎦⎝⎭的最大值是 . 【答案】1【解析】()2233πsin 1cos 0442f x x x x x x ⎛⎫⎡⎤=+-=--∈ ⎪⎢⎥⎣⎦⎝⎭,,令cos x t =且[]01t ∈,,214y t =-+21t ⎛=-+ ⎝⎭,则当t =时,()f x 取最大值1. 【易错点】换元之后转化为二次函数在定区间上的定义域及最值 【思维点拨】 例2函数()cos sin =2+fx x x 的最大值为 .【解析】2()21f x +=【易错点】【思维点拨】辅助角公式运用 例3【2017年Ⅲ】函数()1ππsin cos 536f x x x ⎛⎫⎛⎫=++- ⎪ ⎪⎝⎭⎝⎭的最大值为( ). A .65B .1C .35D .15【答案】A 【解析】11()sin sin sin sin 5362533f x x x x x πππππ⎛⎫⎛⎫⎛⎫⎛⎫=++-+=+++= ⎪ ⎪ ⎪ ⎪⎝⎭⎝⎭⎝⎭⎝⎭ 6sin 53x π⎛⎫+ ⎪⎝⎭.故选A. 【易错点】本题属于中档题,基础差一点的学生在解题思路方面可能会存在一定问题,三角恒等变换中公式的选择对于学生来说是一个难点,对于老师教学来说是一个重点,选择合适的公式能起到事半功倍的效果!【思维点拨】题型五三角函数求值问题 例1已知π0,2α⎛⎫∈ ⎪⎝⎭,tan 2α=,则πcos 4α⎛⎫-= ⎪⎝⎭ .【解析】由tan 2sin 2cos ααα==得 又22sin cos 1αα+=,所以21cos 5α=.因为0,2απ⎛⎫∈ ⎪⎝⎭,所以cos 5α=,sin 5α=.因为cos cos cos sin sin 44αααππ⎛⎫-=π+ ⎪⎝⎭,所以cos 4525210πα⎛⎫-=+⨯= ⎪⎝⎭. 【易错点】【思维点拨】例2(1)若3tan 4α=,则2cos 2sin 2αα+=( ) (A)6425 (B) 4825 (C) 1 (D)1625(2)sin 20cos10cos160sin10-=( )A .-B C .12- D .12【答案】(1)A (2)12【解析】(1)由sin 3tan cos 4ααα==,22cos sin 1αα+=,得3sin 5α=,4cos 5α=或3sin 5α=-, 4cos 5α=-,所以24sin 22sin cos 25ααα==,则2164864cos 2sin 2252525αα+=+=,故选A(2)原式=1sin 20cos10cos 20sin10sin(2010)sin 302+=+==【易错点】 【思维点拨】例3已知函数f(x)=sin ⎝⎛⎭⎫π2-x sin x -3cos 2x. (1)求f(x)的最小正周期和最大值; (2)讨论f(x)在⎣⎡⎦⎤π6,2π3上的单调性.【答案】(1)f(x)的最小正周期为π,最大值为2-32,(2)f(x)在⎣⎡⎦⎤π6,5π12上单调递增;在⎣⎡⎦⎤5π12,2π3上单调递减【解析】 (1)f(x)=sin ⎝⎛⎭⎫π2-x sin x -3cos 2x =cos xsin x -32(1+cos 2x)=12sin 2x -32cos 2x -32=sin ⎝⎛⎭⎫2x -π3-32, 因此f(x)的最小正周期为π,最大值为2-32.(2)当x ∈⎣⎡⎦⎤π6,2π3时,0≤2x -π3≤π,从而当0≤2x -π3≤π2,即π6≤x≤5π12时, f(x)单调递增,当π2≤2x -π3≤π,即5π12≤x≤2π3时, f(x)单调递减.综上可知,f(x)在⎣⎡⎦⎤π6,5π12上单调递增;在⎣⎡⎦⎤5π12,2π3上单调递减. 【易错点】【思维点拨】解答技巧,方法策略等 题型六 简单的三角恒等变换 例1(2018·新疆第二次适应性检测)cos10(13tan 30)cos50︒+︒︒的值是________.【答案】2【解析】依题意得cos 10°1+3tan 10°cos 50°=cos 10°+3sin 10°cos 50°=2sin 10°+30°cos 50°=2sin 40°sin 40°=2.【易错点】【思维点拨】解答技巧,方法策略等 例2已知tan α=2. (1)求tan ⎝⎛⎭⎫α+π4的值; (2)求sin 2αsin 2α+sin αcos α-cos 2α-1的值.【答案】(1)-3(2)1【解析】(1)tan ⎝⎛⎭⎫α+π4=tan α+tanπ41-tan αtanπ4=2+11-2×1=-3. (2)sin 2αsin 2α+sin αcos α-cos 2α-1 =2sin αcos αsin 2α+sin αcos α-2cos 2α=2tan αtan 2α+tan α-2=2×24+2-2=1.【易错点】 【思维点拨】解三角函数的给值求值问题的基本步骤 (1)先化简所求式子或所给条件; (2)观察已知条件与所求式子之间的联系; (3)将已知条件代入所求式子,化简求值. 例3若sin 2α=55,sin(β-α)=1010,且α∈⎣⎡⎦⎤π4,π,β∈⎣⎡⎦⎤π,3π2,则α+β的值是( ) A.7π4 B.9π4 C.5π4或7π4 D.5π4或9π4【答案】A【解析】选A ∵α∈⎣⎡⎦⎤π4,π,∴2α∈⎣⎡⎦⎤π2,2π,∵sin 2α=55,∴2α∈⎣⎡⎦⎤π2,π. ∴α∈⎣⎡⎦⎤π4,π2且cos 2α=-255,又∵sin(β-α)=1010,β∈⎣⎡⎦⎤π,3π2,∴β-α∈⎣⎡⎦⎤π2,5π4,cos(β-α)=-31010, ∴cos(α+β)=cos[(β-α)+2α]=cos(β-α)cos 2α-sin(β-α)sin 2α=⎝⎛⎭⎫-31010×⎝⎛⎭⎫-255-1010×55=22,又α+β∈⎣⎡⎦⎤5π4,2π,所以α+β=7π4. 【易错点】 【思维点拨】对于给值求角问题,通过先求角的某个三角函数值来求角,在选取函数时,遵循以下原则: (1)已知正切函数值,选正切函数.(2)已知正、余弦函数值,选正弦或余弦函数.若角的范围是⎝⎛⎭⎫0,π2,选正弦或余弦函数皆可;若角的范围是(0,π),选余弦函数较好;若角的范围为⎝⎛⎭⎫-π2,π2,选正弦函数较好.【巩固训练】题型一 三角函数的概念、诱导公式及同角关系式1. 已知角θ的顶点为坐标原点,始边为x 轴的正半轴,若()4,P y 是角θ终边上一点,且sin θ=则y = . 【答案】-8.【解析】由tan ⎝⎛⎭⎫π4-θ=1-tanθ1+tanθ=12,得tanθ=13,∴sinθcosθ=sinθcosθsin 2θ+cos 2θ=tanθtan 2θ+1=1319+1=310.故填310. 2. (1)已知tan α=2,求值: ①2sin α-3cos α4sin α-9cos α;②4sin 2α-3sin αcos α-5cos 2α.(2)已知θ∈(0,π),且sin θ+cos θ=13,求sin θ-cos θ的值.【答案】(1)①-1②1(2)173【解析】(1)①2sin α-3cos α4sin α-9cos α=2tan α-34tan α-9=2×2-34×2-9=-1.②4sin 2α-3sin αcos α-5cos 2α=4sin 2α-3sin αcos α-5cos 2αsin 2α+cos 2α=4tan 2α-3tan α-5tan 2α+1=4×4-3×2-54+1=1.(2)∵sin θ+cos θ=13,∴(sin θ+cos θ)2=1+2sin θcos θ=19,∴sin θcos θ=-49.∵θ∈(0,π),θ∈⎝⎛⎭⎫π2,θ, ∴sin θ>0>cos θ,sin θ-cos θ>0.由(sin θ-cos θ)2=1-2sin θcos θ=1+89=179,得sin θ-cos θ=173.3.若cos(π-α)=53且α∈⎝⎛⎭⎫π2,π,则sin(π+α)=( ) A .-53B .-23C .-13D .±23【答案】B【解析】cos (π-α)=-cos α=53,∴cos α=-53. 又∵α∈⎝⎛⎭⎫π2,π,∴sin α=1-cos 2α=1-⎝⎛⎭⎫-532=23, ∴sin (π+α)=-sin α=-23,故选B .题型二 三角函数图像1.为了得到函数y =sin 3x +cos 3x 的图象,可以将函数y =2cos 3x 的图象( A ) A .向右平移π12个单位B .向右平移π4个单位C .向左平移 π12个单位 D .向左平移π4个单位【答案】A【解析】因为y =sin 3x +cos 3x =2cos ⎝⎛⎭⎫3x -π4,所以将y =2cos 3x 的图象向右平移π12个单位后可得到y =2cos ⎝⎛⎭⎫3x -π4的图象. 2.函数f(x)=Asin(ωx +φ)⎝⎛⎭⎫A>0,ω>0,|φ|<π2的部分图象如图所示,若x 1,x 2∈⎝⎛⎭⎫-π6,π3,且f(x 1)=f(x 2),则f(x 1+x 2)=( )A .1B .12C .22D .32【答案】D【解析】 观察图象可知,A =1,T =π,∴ω=2,f(x)=sin(2x +φ). 将⎝⎛⎭⎫-π6,0代入上式得sin ⎝⎛⎭⎫-π3+φ=0. 由|φ|<π2,得φ=π3,则f(x)=sin ⎝⎛⎭⎫2x +π3.函数图象的对称轴为x =-π6+π32=π12.又x 1,x 2∈⎝⎛⎭⎫-π6,π3,且f(x 1)=f(x 2),∴x 1+x 22=π12, ∴x 1+x 2=π6,∴f(x 1+x 2)=sin ⎝⎛⎭⎫2×π6+π3=32,故选D . 3.已知函数f(x)=2sin ⎝⎛⎭⎫2ωx +π4(ω>0)的最小正周期为π. (1)求ω的值;(2)讨论f(x)在区间⎣⎡⎦⎤0,π2上的单调性. 【答案】(1) ω=1(2) f(x)在区间⎣⎡⎦⎤0,π8上单调递增, 在区间⎝⎛⎦⎤π8,π2上单调递减.【解析】 (1)因为f(x)=2sin ⎝⎛⎭⎫2ωx +π4的最小正周期为π,且ω>0.从而有2π2ω=π,故ω=1. (2)因为f(x)=2sin ⎝⎛⎭⎫2x +π4. 若0≤x≤π2,则π4≤2x +π4≤5π4.当π4≤2x +π4≤π2,即0≤x≤π8时,f(x)单调递增; 当π2<2x +π4≤5π4,即π8<x≤π2时,f(x)单调递减. 综上可知,f(x)在区间⎣⎡⎦⎤0,π8上单调递增, 在区间⎝⎛⎦⎤π8,π2上单调递减. 题型三 三角函数性质1. 已知ω>0,函数f(x)=sin ⎝⎛⎭⎫ωx +π4在⎝⎛⎭⎫π2,π上单调递减,则ω的取值范围是( ) A .⎣⎡⎦⎤12,54 B .⎣⎡⎦⎤12,34 C .⎣⎡⎦⎤0,12 D .[0,2]【答案】A【解析】由π2<x<π,ω>0得,ωπ2+π4<ωx +π4<ωπ+π4.又y =sin x 在⎝⎛⎭⎫π2,3π2上递减,所以⎩⎨⎧ωπ2+π4≥π2,ωπ+π4≤3π2,解得12≤ω≤54,故选A .2.设函数f(x)=cos ⎝⎛⎭⎫x +π3,则下列结论错误的是( ) A .f(x)的一个周期为-2πB .y =f(x)的图象关于直线x =8π3对称C .f(x +π)的一个零点为x =π6D .f(x)在⎝⎛⎭⎫π2,π单调递减 【答案】D【解析】根据函数解析式可知函数f(x)的最小正周期为2π,所以函数一个周期为-2π,A 项正确;当x =8π3时,x +π3=3π,所以cos ⎝⎛⎭⎫x +π3=-1,所以B 项正确;f(x +π)=cos ⎝⎛⎭⎫x +π+π3=cos ⎝⎛⎭⎫x +4π3,当x =π6时,x +4π3=3π2,所以f(x +π)=0,所以C 项正确;函数f(x)=cos ⎝⎛⎭⎫x +π3在⎝⎛⎭⎫π2,23π上单调递减,在⎝⎛⎭⎫23π,π上单调递增,故D 项不正确,故选D .3.已知函数①y =sin x +cos x ,②y =22sin xcos x ,则下列结论正确的是( ) A .两个函数的图象均关于点⎝⎛⎭⎫-π4,0中心对称 B .两个函数的图象均关于直线x =-π4对称C .两个函数在区间⎝⎛⎭⎫-π4,π4上都是单调递增函数 D .将函数②的图象向左平移π4个单位得到函数①的图象【答案】C【解析】函数①y =sin x +cos x =2sin ⎝⎛⎭⎫x +π4,②y =22·sin xcos x =2sin 2x ,由于①的图象关于点⎝⎛⎭⎫-π4,0中心对称,②的图象不关于点⎝⎛⎭⎫-π4,0中心对称,故A 项不正确;由于函数①的图象不可能关于直线x =-π4对称,故B 项不正确;由于这两个函数在区间⎝⎛⎭⎫-π4,π4上都是单调递增函数,故C 项正确;将函数②的图象向左平移π4个单位得到函数y =2sin ⎣⎡⎦⎤2⎝⎛⎭⎫x +π4的图象,而y =2sin ⎣⎡⎦⎤2⎝⎛⎭⎫x +π4≠2sin ⎝⎛⎭⎫x +π4,故D 项不正确,故选C .题型四三角函数范围问题1.已知函数f(x)=2sin x+sin 2x,则f(x)的最小值是 .【答案】3√32【解析】由题意可得T=2π是f(x)=2sin x+sin 2x 的一个周期,所以求f(x)的最小值可考虑求f(x)在[0,2π)上的值域.由f(x)=2sin x+sin 2x,得f'(x)=2cos x+2cos 2x=4cos 2x+2cos x -2.令f'(x)=0,可得cos x=12或cos x=-1,x ∈[0,2π)时,解得x=π3或x=5π3或x=π.因为f(x)=2sin x+sin 2x 的最值只能在x=π3,x=5π3,x=π或x=0时取到,且f (π3)=3√32,f (5π3)=-3√32,f(π)=0,f(0)=0,所以函数f(x)的最小值为-3√32.2.已知y =3-sin x -2cos 2x ,x ∈⎣⎡⎦⎤π6,7π6,求y 的最大值与最小值之和. 【答案】238【解析】 ∵x ∈⎣⎡⎦⎤π6,7π6,∴sin x ∈⎣⎡⎦⎤-12,1. 又y =3-sin x -2cos 2x =3-sin x -2(1-sin 2x) =2⎝⎛⎭⎫sin x -142+78, ∴当sin x =14时,y min =78;当sin x =-12或sin x =1时,y max =2.故函数的最大值与最小值的和为2+78=238.3.已知函数f(x)=sin(ωx +φ)(0<ω<1,0≤φ≤π)是R 上的偶函数,其图象关于点M ⎝⎛⎭⎫3π4,0对称. (1)求ω,φ的值; (2)求f(x)的单调递增区间;(3)若x ∈⎣⎡⎦⎤-3π4,π2,求f(x)的最大值与最小值, 【答案】(1)ω=23.(2) ⎣⎡⎦⎤3kπ-3π2,3kπ,k ∈Z (3) 函数f(x)的最大值为1,最小值为0. 【解析】(1)因为f(x)=sin(ωx +φ)是R 上的偶函数,所以φ=π2+kπ,k ∈Z ,且0≤φ≤π,则φ=π2,即f(x)=cos ωx.因为图象关于点M ⎝⎛⎭⎫34π,0对称, 所以ω×34π=π2+mπ,m ∈Z ,ω=23+4m3,又0<ω<1,所以ω=23.(2)由(1)得f(x)=cos 23x ,由-π+2kπ≤23x≤2kπ,且 k ∈Z 得,3kπ-3π2≤x≤3kπ,k ∈Z ,所以函数的递增区间是⎣⎡⎦⎤3kπ-3π2,3kπ,k ∈Z . (3)因为x ∈⎣⎡⎦⎤-3π4,π2,所以23x ∈⎣⎡⎦⎤-π2,π3, 当23x =0时,即x =0,函数f(x)的最大值为1, 当23x =-π2时,即x =-3π4,函数f(x)的最小值为0.题型五三角函数求值问题 1.设α,β为钝角,且sin α=55,cos β=-31010,则α+β的值为( ) A .3π4B .5π4C .7π4D .5π4或7π4【答案】 C【解析】∵α,β为钝角,sin α=55,cos β=-31010,∴cos α=-255,sin β=1010, ∴cos(α+β)=cos αcos β-sin αsin β=22>0. 又α+β∈(π,2π),∴α+β∈⎝⎛⎭⎫3π2,2π,∴α+β=7π4. 2.已知函数f(x)=2cos 2ωx -1+23sin ωxcos ωx(0<ω<1),直线x =π3是函数f(x)的图象的一条对称轴.(1)求函数f(x)的单调递增区间;(2)已知函数y =g(x)的图象是由y =f(x)的图象上各点的横坐标伸长到原来的2倍,然后再向左平移2π3个单位长度得到的,若g ⎝⎛⎭⎫2α+π3=65,α∈⎝⎛⎭⎫0,π2,求sin α的值. 【答案】(1)f(x)的单调递增区间为⎣⎡⎦⎤2kπ-2π3,2kπ+π3(k ∈Z )(2) 【解析】 (1)f(x)=cos 2ωx +3sin 2ωx =2sin ⎝⎛⎭⎫2ωx +π6,(2)43-310由于直线x =π3是函数f(x)=2sin ⎝⎛⎭⎫2ωx +π6的图象的一条对称轴,所以sin ⎝⎛⎭⎫2π3ω+π6=±1,因此2π3ω+π6=kπ+π2(k ∈Z ),解得ω=32k +12(k ∈Z ),又0<ω<1,所以ω=12,所以f(x)=2sin ⎝⎛⎭⎫x +π6.由2kπ-π2≤x +π6≤2kπ+π2(k ∈Z ),得2kπ-2π3≤x≤2kπ+π3(k ∈Z ), 所以函数f(x)的单调递增区间为⎣⎡⎦⎤2kπ-2π3,2kπ+π3(k ∈Z ). (2)由题意可得g(x)=2sin ⎣⎡⎦⎤12⎝⎛⎭⎫x +2π3+π6,即g(x)=2cos x 2, 由g ⎝⎛⎭⎫2α+π3=2cos ⎣⎡⎦⎤12⎝⎛⎭⎫2α+π3=2cos ⎝⎛⎭⎫α+π6=65,得cos ⎝⎛⎭⎫α+π6=35, 又α∈⎝⎛⎭⎫0,π2,故π6<α+π6<2π3,所以sin ⎝⎛⎭⎫α+π6=45, 所以sin α=sin ⎣⎡⎦⎤⎝⎛⎭⎫α+π6-π6=sin ⎝⎛⎭⎫α+π6cos π6-cos ⎝⎛⎭⎫α+π6sin π6=45×32-35×12=43-310.3.已知cos ⎝⎛⎭⎫π6-α=33,求cos ⎝⎛⎭⎫5π6+α-sin 2⎝⎛⎭⎫α-π6的值. 【答案】-3+23 【解析】 cos ⎝⎛⎭⎫56π+α-sin 2⎝⎛⎭⎫α-π6 =cos ⎣⎡⎦⎤π-⎝⎛⎭⎫π6-α-sin 2⎝⎛⎭⎫π6-α =-cos ⎝⎛⎭⎫π6-α-⎣⎡⎦⎤1-cos 2⎝⎛⎭⎫π6-α =-33-⎝⎛⎭⎫1-13=-3+23. 题型六 简单的三角恒等变换1.已知sin ⎝⎛⎭⎫π6-α=cos ⎝⎛⎭⎫π6+α,则cos 2α=( ) A .1 B .-1 C.12D .0【答案】选D【解析】 ∵sin ⎝⎛⎭⎫π6-α=cos ⎝⎛⎭⎫π6+α, ∴12cos α-32sin α=32cos α-12sin α,即⎝⎛⎭⎫12-32sin α=-⎝⎛⎭⎫12-32cos α, ∴tan α=sin αcos α=-1,∴cos 2α=cos 2α-sin 2α=cos 2α-sin 2αsin 2α+cos 2α=1-tan 2αtan 2α+1=0.2.计算cos 10°-3cos -100°r(1-sin 10°)=________(用数字作答).【答案】2【解析】cos 10°-3cos -100°r(1-sin 10°)=cos 10°+3cos 80°1-cos 80°=cos 10°+3sin 10°2sin 40°=2sin10°+30°r(2sin 40°)=2.3.已知cos α=17,cos(α-β)=1314,且0<β<α<π2,则β=________.【答案】π3【解析】由cos α=17,0<α<π2,得sin α=1-cos 2α=1-⎝⎛⎭⎫172=437,由0<β<α<π2,得0<α-β<π2,又∵cos(α-β)=1314,∴sin(α-β)=1-cos 2α-β=1-⎝⎛⎭⎫13142=3314.由β=α-(α-β),得cos β=cos[α-(α-β)] =cos αcos(α-β)+sin αsin(α-β) =17×1314+437×3314=12. ∴β=π3.。
压轴题03三角函数压轴题题型/考向一:三角函数的图像与性质题型/考向二:三角恒等变换题型/考向三:三角函数综合应用一、三角函数的图像与性质热点一三角函数图象的变换1.沿x轴平移:由y=f(x)变为y=f(x+φ)时,“左加右减”,即φ>0,左移;φ<0,右移.沿y轴平移:由y=f(x)变为y=f(x)+k时,“上加下减”,即k>0,上移;k<0,下移.2.沿x轴伸缩:若ω>0,A>0,由y=f(x)变为y=f(ωx)时,点的纵坐标不变,横坐标变为原来的1ω倍.沿y轴伸缩:由y=f(x)变为y=Af(x)时,点的横坐标不变,纵坐标变为原来的A 倍.热点二三角函数的图象与解析式已知图象求函数y =A sin(ωx +φ)+B (A >0,ω>0)的解析式时,常用的方法是待定系数法.由图中的最高点、最低点或特殊点求A ,B ;由函数的周期确定ω;确定φ常根据“五点法”中的五个点求解,其中一般把第一个零点作为突破口,可以从图象的升降找准第一个零点的位置.热点三三角函数的性质1.单调性:由-π2+2k π≤ωx +φ≤π2+2k π(k ∈Z )可得单调递增区间;由π2+2k π≤ωx+φ≤3π2+2k π(k ∈Z )可得单调递减区间.2.对称性:由ωx +φ=k π(k ∈Z )可得对称中心;由ωx +φ=k π+π2(k ∈Z )可得对称轴.3.奇偶性:φ=k π(k ∈Z )时,函数y =A sin(ωx +φ)为奇函数;φ=k π+π2(k ∈Z )时,函数y =A sin(ωx +φ)为偶函数.二、三角恒等变换热点一化简与求值(角)1.同角三角函数的基本关系:sin 2α+cos 2α=1,sin αcos α=tan ≠π2+k π,k ∈2.诱导公式的记忆口诀:在k π2+α,k ∈Z 的诱导公式中“奇变偶不变,符号看象限”.3.熟记三角函数公式的两类变形:(1)和差角公式的变形;(2)倍角公式的变形.热点二三角函数恒等式的证明三角恒等式常从复杂一边向简单的一边转化,或者两边同时推出一个相同式子,有时要证等式先进行等价交换,进而证明其等价命题.○热○点○题○型一三角函数的图像与性质一、单选题1.将函数()sin cos f x x x =-的图象向左平移7π12个单位长度,得到函数()y g x =的图象,关于函数()y g x =的下列说法中错误的是()A .周期是2πB .非奇非偶函数C .图象关于点5π,03⎛⎫⎪⎝⎭中心对称D .在π0,2⎛⎫⎪⎝⎭内单调递增【答案】D【详解】()πsin cos 2sin 4f x x x x ⎛⎫=-=-⎪⎝⎭,则()7πππ2sin 2sin 1243g x x x ⎛⎫⎛⎫=+-=+ ⎪ ⎪⎝⎭⎝⎭,则2πT =,故A 正确;因为()π2sin 3g x x ⎛⎫-=-+ ⎪⎝⎭,则()()()(),g x g x g x g x -≠-≠-,故函数()g x 是非奇非偶函数,故B 正确;2.数学与音乐有着紧密的关联,我们平时听到的乐音一般来说并不是纯音,而是由多种波叠加而成的复合音.如图为某段乐音的图象,则该段乐音对应的函数解析式可以为()A .11sin sin 2sin 323=++y x x xB .11sin 2sin 323y x x x=--C .11sin cos 2cos323y x x x=++D .11cos cos 2cos323y x x x=++3移()0ϕϕ>个单位长度,再向下平移1个单位长度得到函数()g x 的图象.若对于任意的1π0,4x ⎡⎤∈⎢⎥⎣⎦,总存在2π,04x ⎡⎤∈-⎢⎥⎣⎦,使得()()12f x g x =,则ϕ的值可能是()A .π6B .5π24C .π4D .2π3A.B.C .D .5.已知函数()()2sin 0,2f x x ωϕωϕ⎛⎫=+>< ⎪⎝⎭的部分图象如图所示,则满足()()5π605π12f x f f x f ⎛⎫- ⎪⎝⎭>⎛⎫- ⎪⎝⎭的正整数x 的最小值为()A .1B .2C .3D .4二、多选题6.已知函数2π()cos (0)3f x x ωω⎛⎫=+> ⎪⎝⎭在ππ,2⎡⎤-⎢⎥⎣⎦上单调,且曲线()y f x =关于点π,03⎛⎫- ⎪⎝⎭对称,则()A .()f x 以2π为周期B .()f x 的图象关于直线2π3x =对称C .将()f x 的图象向右平移π3个单位长度后对应的函数为偶函数D .函数9()10y f x =+在[0,π]上有两个零点故选:BD.7.已知函数()()()sin 0,0π,f x A x b A b ωϕϕ=++><<∈R 的部分图像如图,则()A .5πb ωϕ=B .π23f ⎛⎫= ⎪⎝⎭C .将曲线()y f x =向右平移π9个单位长度得到曲线4cos 32y x =-+D .点11π,218⎛⎫-⎪⎝⎭为曲线()y f x =的一个对称中心8.已知函数()f x 的定义域为()1,1-,对任意的(),1,1x y ∈-,都有()()1f x f y f xy ⎛⎫--= ⎪-⎝⎭,且112f ⎛⎫= ⎪⎝⎭,当()0,1x ∈时,()0f x >,则()A .()f x 是偶函数B .()00f =C .当A ,B 是锐角ABC 的内角时,()()cos sin f B f A <D .当0n x >,且21112n n n x x x ++=,112x =时,()12n n f x -=【答案】BCD【详解】令0x y ==,得()00f =,故B 正确;9.已知某游乐场循环观光车路线近似为一个半径为1km 的圆,观光车从起始站点P 出发,沿图中顺时针方向行驶,记观光者从某次出发开始,行驶的时间为t 小时.A ,B 是沿途两个站点,C 是终点站,D 是该游乐场的观景点之一.已知该观光车绕行一圈的时间是固定的,且π,,6BOA OA OC OA OD ∠=⊥⊥.若要求起始站点P 无论位于站台B ,C 之间的任何位置(异于B ,C ),观光车在ππ,124t ⎛⎫∈ ⎪⎝⎭的时间内,都要至少经过两次终点站C ,则下列说法正确的是()A .该观光车绕行一周的时间小于π6B .该观光车在π0,12t ⎛⎫∈ ⎪⎝⎭内不一定会经过终点站C C .该观光车的行驶速度一定大于52km /h3D .该观光车在π0,12t ⎛⎫∈ ⎪⎝⎭内一定会经过一次观景点Ds t 于平衡位置的高度()cm h 可以田ππ2sin 24h t ⎛⎫=+ ⎪⎝⎭确定,则下列说法正确的是()A .小球运动的最高点与最低点的距离为2cmB .小球经过4s 往复运动一次C .()3,5t ∈时小球是自下往上运动D .当 6.5t =时,小球到达最低点【答案】BD【详解】小球运动的最高点与最低点的距离为()224cm --=,所以选项A 错误;因为2π4π2=,所以小球经过4s 往复运动一次,因此选项B 正确;当()3,5t ∈时,ππ7π11π,2444t ⎛⎫+∈ ⎪⎝⎭,所以是自下往上到最高点,再往下运动,因此选项C 错误;当 6.5t =时,ππ2sin 6.5224h ⎛⎫=⨯+=- ⎪⎝⎭,所以选项D 正确,故选:BD○热○点○题○型二三角恒等变换一、单选题1.已知π0,2α⎛⎫∈ ⎪⎝⎭,cos 22sin 21αα+=,则sin α=()A .15B 5C .45D 25【答案】D【详解】π0,2α⎛⎫∈ ⎪⎝⎭,cos 0,sin 0αα∴>>22cos 22sin 2cos sin 4sin cos 1αααααα+=-+= ①,又22sin cos 1αα+=②,由①②得25sin 5α=.故选:D.23,5,…,记BAC α∠=,DAC β∠=,则()cos αβ+=()A 24-B 36C 36D 24+【答案】B⎝⎭A.-B.C.9D.9 94.人脸识别技术应用在各行各业,改变着人类的生活,而所谓人脸识别,就是利用计算机分析人脸视频或者图像,并从中提取出有效的识别信息,最终判别人脸对象的身份.在人脸识别中为了检测样本之间的相似度主要应用距离的测试,常用的测量距离的方式有曼哈顿距离和余弦距离.假设二维空间中有两个点()()1122,,,A x y B x y ,O 为坐标原点,余弦相似度similarity 为向量,OA OB夹角的余弦值,记作()cos ,A B ,余弦距离为()1cos ,A B -.已知()sin ,cos P αα,()sin ,cos Q ββ,()sin ,cos R αα-,若P ,Q 的余弦距离为13,Q ,R 的余弦距离为12,则tan tan αβ⋅=()A .7B .17C .4D .145.已知函数()()*sin cos n n n f x x x n =+∈N ,函数()4324y f x =-在3π0,8⎡⎤⎢⎥⎣⎦上的零点的个数为()A .2B .3C .4D .56.已知函数())2sin 02f x x x ωω⎛⎫=-> ⎪⎝⎭的图像如图所示,则ω的值为()A .13B .43C .16D .76二、多选题7.已知函数2()sin cos f x x x x =-+,则下列说法正确的是()A .π()sin(2)3f x x =-B .函数()f x 的最小正周期为πC .函数()f x 的对称轴方程为()5ππZ 12x k k =+∈D .函数()f x 的图象可由sin 2y x =的图象向右平移π6个单位长度得到【答案】ABD中所示的建筑对应的黄金三角形,它的底角正好是顶角的两倍,且它的底与腰之比为黄金分割比(黄金分割比=).在顶角为BAC ∠的黄金ABC 中,D 为BC 边上的中点,则()A .cos 342AD AC︒=B .cos 27sin 27cos 27sin 27AD CD ︒+︒=︒-︒C .AB在ACACD .cos BAC ∠是方程324231x x x +-=的一个实根则AB在AC 上的投影向量为设cos x θ=,则()()222212121x x x x x -=--+-,整理得324231x x x +-=,D 正确.故选:ABD9.已知()cos 4cos 3f θθθ=+,且1θ,2θ,3θ是()f θ在()0,π内的三个不同零点,则()A .{}123π,,7∈θθθB .123π++=θθθC .1231cos cos cos 8θθθ=-D .1231cos cos cos 2θθθ++=民喜爱.古人曾有诗赞曰:“开合清风纸半张,随机舒卷岂寻常;金环并束龙腰细,玉栅齐编凤翅长”.荣昌折扇平面图为下图的扇形COD ,其中2π3COD ∠=,33OC OA ==,动点P 在 CD 上(含端点),连结OP 交扇形OAB 的弧 AB 于点Q ,且OQ xOC yOD =+,则下列说法正确的是()A .若y x =,则23x y +=B .若2y x =,则0OA OP ⋅=C .2AB PQ ⋅≥-D .112PA PB ⋅≥则13(1,0),(3,0),(,),(22A C B D --设()2πcos ,sin ,0,3Q θθθ⎡⎤∈⎢⎥⎣⎦,则由OQ xOC yOD =+ 可得cos θ=○热○点○题○型三三角函数综合应用1.已知函数2()cos 2cos 1f x x x x =-+.(1)求函数()f x 的最小正周期及单调递增区间;(2)求函数()f x 在区间5ππ[,]126-的值域;2.已知2,1,cos ,cos 2m x n x x ⎛⎫=-=+ ⎪⎝⎭,设函数()f x m n =⋅.(1)当π5π,1212x ⎡⎤∈-⎢⎥⎣⎦时,分别求函数()f x 取得最大值和最小值时x 的值;(2)设ABC 的内角,,A B C 的对应边分别是,,,a b c 且a =,6,12A b f ⎛⎫==- ⎪⎝⎭,求c 的值.3.已知函数()()21cos cos 02f x x x x ωωωω=+->.(1)若1ω=,求函数()f x 的最小正周期;(2)若()y f x =图象在0,4π⎛⎫ ⎪⎝⎭内有且仅有一条对称轴,求8f π⎛⎫⎪⎝⎭的取值范围.4.已知函数()()2sin f x x ωϕ=+(0ω>,2ϕ<)的部分图象如图所示.(1)求()f x 的解析式,并求()f x 的单调递增区间;(2)若对任意π,3x t ⎡⎤∈⎢⎥⎣⎦,都有()π116f x f x ⎛⎫--≤ ⎪⎝⎭,求实数t 的取值范围.结合图像可知:5ππ7π4666t ≤-<,解得所以实数t 的取值范围为ππ,43⎡⎫⎪⎢⎣⎭.5.若实数,,且满足,则称、是“余弦相关”的.(1)若2x π=,求出所有与之“余弦相关”的实数y ;(2)若实数x 、y 是“余弦相关”的,求x 的取值范围;(3)若不相等的两个实数x 、y 是“余弦相关”的,求证:存在实数z ,使得x 、z 为“余弦相关”的,y 、z 也为“余弦相关”的.【答案】(2)由()cos cos cos x y x y +=+得cos cos sin sin cos cos x y x y x y -=+,()1sin sin cos cos cos x y x y x +-=-,()cos y x ϕ+=-,故cos x -≤,222cos cos x x ≤-,11cos x -≤≤,))121arccos ,arccos x π⎡⎤∈-⎣⎦(3)证明:先证明3x y ππ≤+≤,反证法,假设x y π+<,则由余弦函数的单调性可知()cos cos x y x +≤,()0cos cos cos y x y x ∴=+-≤,2y π∴≥,同理2x π≥,相加得x y π+≥,与假设矛盾,故x y π+≥.[]2202,,x y πππ--∈Q ,且()()()()()2222cos cos cos cos cos cos x y x y x y x y ππππ⎡⎤-+-=+=+=-+-⎣⎦故22,x y ππ--也是余弦相关的,()()22x y πππ∴-+-≥,即3x y π+≤.记()3,z x y π=-+则[]02,z π∈.()()3cos cos cos x z y y π+=-=-,()()()3cos cos cos cos cos cos cos cos cos cos x z x x y x x y x x y y π+=+--=-+=-+=-()cos cos cos x z x z ∴+=+,故x 、z 为“余弦相关”的;同理y 、z 也为“余弦相关”的。
2020年高考数学押题:三角函数与解三角形综合经典30道。
1.ABC 的内角A ,B ,C 的对边分别为a ,b ,c .已知2cos (cos cos )C a B b A c +=.(1)求角C ;(2)若7c =,332ABC S ∆=,求ABC ∆的周长. 2.在ABC ∆中,a ,b ,c 分别为角A ,B ,C 所对边的长,cos 2cos a B b A =,3cos 3A =. (1)求角B 的值; (2)若6a =,求ABC ∆的面积.3.如图,在ABC ∆中,2AB =,1cos 3B =,点D 在线段BC 上.(Ⅰ) 若34ADC π∠=,求AD 的长; (Ⅱ) 若2BD DC =,ACD ∆的面积为23,求sin sin BAD CAD ∠∠的值.4.在△ABC 中,角A ,B ,C 所对的边分别为a ,b ,c 3sin A cos B b a =. (1)求角B ;(2)若3b =,sin C 3A =,求a ,c .5.在ABC ∆中,角A ,B ,C 所对的边分别为a ,b ,c ,()sin 2cos cos 02B C B C π⎛⎫+++= ⎪⎝⎭,(1)求证:B C =; (2)若3cos 5A =,ABC ∆的外接圆面积为254π,求ABC ∆的周长. 6.在锐角△ABC 中,2sin sin sin()sin()44A B B B ππ=++-.(1)求角A 的值;(2)若12AB AC ⋅=,求△ABC 的面积.7.如图,在ABC 中,已知点D 在边BC 上,且DAC 90∠=,22sin BAC 3∠=,AB 32=,AD 3=.()1求BD 长; ()2求cosC8.在ABC 中,内角,,A B C 的对边分别是,,a b c ,且sin sin sin A B a cC a b--=+. (1)求角B 的大小;(2)若6b =,且AC 边上的中线长为4,求ABC 的面积. 9.在平面四边形ABCD 中,已知34ABC π∠=,AB AD ⊥,1AB =.(1)若5AC =ABC ∆的面积;(2)若5sin 5CAD ∠=,4=AD ,求CD 的长. 10.在△ABC 中,角A ,B ,C 所对的边分别为a ,b ,c ,且cos cos 3cos c B b C a B +=. (1)求cos B 的值;(2)若2c =,△ABC 的面积为22b 的值.11.在△ABC 中,角,,A B C 所对的边分别是,,a b c ,且4cos 5A =. (1)求2sincos 22B CA ++的值; (2)若2b =,ABC ∆的面积3S =,求a 的值.12.在平面四边形ABCD 中,已知26AB =3AD =,2ADB ABD ∠=∠,3BCD π∠=.(1)求BD ;(2)求BCD ∆周长的最大值.13.在平面四边形ABCD 中,ABD △中边BD 所对的角为A ,BCD 中边BD 所对的角为C ,已知2AB BC CD ===,23AD =.(13cos A C -是否是定值,若是定值请求出;若不是请说明理由;(2)记ABD △与BCD 的面积分别为1S 和2S ,求出2212S S +的最大值.14.ABC 的内角A 、B 、C 所对的边分别是a 、b 、c ,向量3sin ,3m B ⎛⎫= ⎪ ⎪⎝⎭与(,cos )n a A =垂直. (1)求角A ; (2)若2a =b c +的最大值.15.ABC ∆的内角,,A B C 的对边分别为,,a b c ,已知sin sin 2A Ca b A +=. (1)求B ;(2)若ABC ∆为锐角三角形,且1c =,求ABC ∆面积的取值范围. 16.ABC ∆的内角,,A B C 的对边分别为,,a b c ,已知22cos a b c B +=,3c =.(1)求角C ;(2)延长线段AC 到点D ,使CD CB =,求ABD ∆周长的取值范围. 17.ABC 的内角A ,B ,C 的对边分别为a ,b ,c ,已知()2sin 4sin 2B AC +=. (1)求tan B ;(2)若1b =,求a c +的取值范围.。
高考数学《三角函数与解三角形》练习题(1)一、选择题1.函数y=ππππcos sin cos -sin 4444x x x x ⎡⎤⎡⎤⎛⎫⎛⎫⎛⎫⎛⎫+++++ ⎪ ⎪ ⎪ ⎪⎢⎥⎢⎥⎝⎭⎝⎭⎝⎭⎝⎭⎣⎦⎣⎦在一个周期内的图象是( )A .B .C .D .【答案】B 【解析】 【分析】首先根据二倍角余弦公式化简得到函数的解析式,再由函数表达式得到函数的单调性和周期,进而得到选项. 【详解】根据两角和差公式展开得到: y=ππππcos sin cos -sin 4444x x x x ⎡⎤⎡⎤⎛⎫⎛⎫⎛⎫⎛⎫+++++ ⎪ ⎪ ⎪ ⎪⎢⎥⎢⎥⎝⎭⎝⎭⎝⎭⎝⎭⎣⎦⎣⎦ 22πππcos sin cos 2424x x x ⎛⎫⎛⎫⎛⎫+-+=+ ⎪ ⎪ ⎪⎝⎭⎝=⎝⎭⎭=-sin2x ,函数在0的右侧是单调递减的,且周期为π,故选B. 故答案选B . 【点睛】这个题目考查了三角函数的恒等变换,题型为已知函数表达式选择函数的图像,这种题目,一般是先根据函数的表达式得到函数的定义域,或者值域,进行排除;也可以根据函数的表达式判断函数的单调性,周期性等,之后结合选项选择.2.能使sin(2)3)y x x θθ=+++为奇函数,且在0,4⎡⎤⎢⎥⎣⎦π上是减函数的θ的一个值是( ) A .5π3B .43π C .23π D .3π【答案】C 【解析】 【分析】首先利用辅助角公式化简函数,然后根据函数的奇偶性和单调性求得θ的值.依题意π2sin 23y x θ⎛⎫=++⎪⎝⎭,由于函数为奇函数,故πππ,π33k k θθ+==-,当1,2k =时,2π3θ=或5π3θ=,由此排除B,D 两个选项.当2π3θ=时,()2sin 2π2sin 2y x x =+=-在0,4⎡⎤⎢⎥⎣⎦π上是减函数,符合题意.当5π3θ=时,()2sin 22π2sin 2y x x =+=,在0,4⎡⎤⎢⎥⎣⎦π上是增函数,不符合题意.故选C. 【点睛】本小题主要考查诱导公式的运用,考查三角函数的奇偶性和单调性,属于基础题.3.在△ABC 中,角A ,B ,C 的对边分别为a ,b ,c ,若(a ﹣c cos B )sin A =c cos A sin B ,则△ABC 的形状一定是( ) A .钝角三角形 B .直角三角形 C .等腰三角形 D .锐角三角形【答案】C 【解析】 【分析】根据题意,由(cos )sin cos sin a c B A c A B -=变形可得sin sin a A c C =,进而由正弦定理可得22a c =,即a c =,即可得答案. 【详解】根据题意,在ABC ∆中,(cos )sin cos sin a c B A c A B -=, 变形可得:sin cos sin cos sin (cos sin cos sin )sin()sin a A c B A c A B c B A A B c A B c C =+=+=+=,即有sin sin a A c C =,又由正弦定理可得22a c =,即a c =. 故选:C . 【点睛】本题主要考查三角形的形状判断,考查正弦定理的应用,意在考查学生对这些知识点的理解掌握水平,属于基础题.4.在ABC ∆中,角,,A B C 所对应的边分别为,,a b c ,已知cos cos 2b C c B b +=,则ab=( )A .B .2CD .1【答案】B 【解析】由正弦定理及题设可知,sin cos sin cos 2sin B C C B B +=,即sin()2sin B C B +=,又A B C π++=,可得sin 2sin A B =,再由正弦定理,可得解【详解】由正弦定理:2sin sin b cR B C==,又cos cos 2b C c B b += 得到sin cos sin cos 2sin B C C B B +=,即sin()2sin B C B +=在ABC ∆中,A B C π++=故sin()2sin A B π-=,即sin 2sin A B =故sin 2sin a A b B == 故选:B 【点睛】本题考查了正弦定理在边角互化中的应用,考查了学生综合分析,转化划归,数学运算能力,属于中档题5.在ABC ∆中,若sin :sin :sin 2:3:4A B C =,则ABC ∆是( ) A .直角三角形 B .钝角三角形 C .锐角三角形 D .等腰直角三角形【答案】B 【解析】 【分析】由题意利用正弦定理,推出a ,b ,c 的关系,然后利用余弦定理求出cosC 的值,即可得解. 【详解】∵sinA :sinB :sinC=2:3:4∴由正弦定理可得:a :b :c=2:3:4, ∴不妨令a=2x ,b=3x ,c=4x ,∴由余弦定理:c 2=a 2+b 2﹣2abcosC ,所以cosC=2222a b cab+-=2224916223x x x x x +-⨯⨯=﹣14, ∵0<C <π, ∴C 为钝角. 故选B . 【点睛】本题是基础题,考查正弦定理,余弦定理的应用,考查计算能力,常考题型.6.已知函数()2sin()0,,2f x x πωϕωϕπ⎛⎫⎡⎤=+>∈ ⎪⎢⎥⎣⎦⎝⎭的部分图象如图所示,其中()01f =,5||2MN =,则点M 的横坐标为( )A .12B .25-C .1-D .23-【答案】C 【解析】 【分析】 由(0)1f =求出56πϕ=,由5||23MN πω=⇒=,再根据()2f x =可得答案.【详解】由函数()2sin()0,,2f x x πωϕωϕπ⎛⎫⎡⎤=+>∈ ⎪⎢⎥⎣⎦⎝⎭的部分图象, 可得(0)2sin 1f ϕ==,56πϕ∴=, 22512||2243MN ππωω⎛⎫==+⋅= ⎪⎝⎭, ∴函数5()2sin 36f x x ππ⎛⎫=+ ⎪⎝⎭,令52sin 236x ππ⎛⎫+= ⎪⎝⎭, 得52,0362x k k ππππ+=+=得1x =-. 故选:C. 【点睛】本题主要考查三角函数的图象与性质,考查了数形结合思想的应用,解题的关键是利用勾股定理列方程求出3πω=,属于中档题.7.如图所示,已知双曲线C :()222210,0x y a b a b-=>>的右焦点为F ,双曲线的右支上一点A ,它关于原点O 的对称点为B ,满足120AFB ∠=︒,且3BF AF =,则双曲线C 的离心率是( )A .27B .52C .7 D .7【答案】C 【解析】 【分析】利用双曲线的性质,推出AF ,BF ,通过求解三角形转化求解离心率即可. 【详解】解:双曲线2222:1(0,0)x y C a b a b-=>>的右焦点为F ,双曲线C 的右支上一点A ,它关于原点O 的对称点为B ,满足120AFB ∠=︒,且||3||BF AF =,可得||||2BF AF a -=,||AF a =,||3BF a =,60F BF ∠'=︒,所以2222cos60F F AF BF AF BF '=+-︒g ,可得222214962c a a a =+-⨯,2247c a =,所以双曲线的离心率为:72e =. 故选:C .【点睛】本题考查双曲线的简单性质的应用,三角形的解法,考查转化思想以及计算能力,属于中档题.8.已知函数()sin 26f x x π⎛⎫=-⎪⎝⎭,若方程()23f x =的解为12,x x (120x x π<<<),则()21sin x x -=( )A .23B .49C 5D 45【答案】C 【解析】 【分析】由已知可得2123x x π=-,结合x 1<x 2求出x 1的范围,再由()121122236sin x x sin x cos x ππ⎛⎫⎛⎫-=-=-- ⎪ ⎪⎝⎭⎝⎭求解即可. 【详解】因为0<x π<,∴112666x πππ⎛⎫-∈- ⎪⎝⎭,, 又因为方程()23f x =的解为x 1,x 2(0<x 1<x 2<π), ∴1223x x π+=,∴2123x x π=-, ∴()121122236sin x x sin x cos x ππ⎛⎫⎛⎫-=-=-- ⎪ ⎪⎝⎭⎝⎭, 因为122123x x x x π=-<,,∴0<x 13π<,∴12662x πππ⎛⎫-∈- ⎪⎝⎭,,∴由()112263f x sin x π⎛⎫=-= ⎪⎝⎭,得1263cos x π⎛⎫-= ⎪⎝⎭,∴()123sin x x -=-,故()21sin x x -=3故选C . 【点睛】本题考查了三角函数的恒等变换及化简求值和三角函数的图象与性质,属中档题.9.已知1F 、2F 分别为双曲线22146x y -=的左、右焦点,M 为双曲线右支上一点且满足120MF MF ⋅=u u u u v u u u u v,若直线2MF 与双曲线的另一个交点为N ,则1MF N ∆的面积为( )A .12B .C .24D .【答案】C 【解析】 【分析】设1MF m =,2MF n =,根据双曲线的定义和12MF MF ⊥,可求出6m =,2n =,再设2NF t =,则14NF t =+根据勾股定理求出6t =即可求出三角形的面积. 【详解】解:设1MF m =,2MF n =,∵1F 、2F 分别为双曲线22146x y -=的左、右焦点,∴24m n a -==,122210F F c ==.∵120MF MF ⋅=u u u u v u u u u v, ∴12MF MF ⊥,∴222440m n c +==, ∴()2222m n m n mn -=+-, 即2401624mn =-=, ∴12mn =, 解得6m =,2n =,设2NF t =,则124NF a t t =+=+, 在1Rt NMF ∆中可得()()222426t t +=++, 解得6t =, ∴628MN =+=, ∴1MF N ∆的面积111862422S MN MF =⋅=⨯⨯=. 故选C .【点睛】本题考查了双曲线的定义和向量的数量积和三角形的面积,考查了运算能力和转化能力,属于中档题.10.已知函数()sin()f x x πϕ=+某个周期的图象如图所示,A ,B 分别是()f x 图象的最高点与最低点,C 是()f x 图象与x 轴的交点,则tan ∠BAC =( )A .12B .47C 255D 76565【答案】B 【解析】 【分析】过A 作AD 垂直于x 轴于点D ,AB 与x 轴交于E ,设C (a ,0),可得32CD =,11,2AD DE ==,3tan 2CD CAD AD ∠==,1tan 2ED EAD AD ∠==,再利用tan tan()BAC CAD EAD ∠=∠-∠计算即可.【详解】过A 作AD 垂直于x 轴于点D ,AB 与x 轴交于E , 由题可得周期为2,设(,0)C a ,则1(,1)2B a +-,3(,1)2A a +, 所以32CD =,11,2AD DE ==,3tan 2CD CAD AD ∠==,1tan 2ED EAD AD ∠== 所以tan tan tan tan()1tan tan CAD EADBAC CAD EAD CAD EAD∠-∠∠=∠-∠=+∠⋅∠31422317122-==+⨯. 故选:B【点睛】本题主要考查两角差的正切公式,涉及到正弦型函数图象等知识,考查学生数学运算能力,是一道中档题.11.已知函数()sin 3(0)f x x x ωωω=+>的图象关于直线8x π=对称,则ω的最小值为( ) A .13B .23C .43D .83【答案】C 【解析】 【分析】利用辅助角公式将函数()y f x =的解析式化简为()2sin 3f x x πω⎛⎫=+⎪⎝⎭,根据题意得出()832k k Z πππωπ+=+∈,可得出关于ω的表达式,即可求出正数ω的最小值.【详解】()sin 32sin 3f x x x x πωωω⎛⎫=+=+ ⎪⎝⎭Q ,由于该函数的图象关于直线8x π=对称,则()832k k Z πππωπ+=+∈,得()483k k Z ω=+∈, 0ω>Q ,当0k =时,ω取得最小值43.故选:C. 【点睛】本题考查利用正弦型函数的对称性求参数,解题时要将三角函数的解析式利用三角恒等变换思想化简,并通过对称性列出参数的表达式求解,考查计算能力,属于中等题.12.已知sin α,sin()10αβ-=-,,αβ均为锐角,则β=( ) A .512πB .3π C .4π D .6π 【答案】C 【解析】 【分析】 由题意,可得22ππαβ-<-<,利用三角函数的基本关系式,分别求得cos ,cos()ααβ-的值,利用sin[(]sin )ααββ=--,化简运算,即可求解.【详解】由题意,可得α,β均为锐角,∴-2π <α-β<2π.又sin(α-β),∴cos(α-β)=10.又sin αcos α ∴sin β=sin[α-(α-β)]=sin αcos(α-β)-cos αsin(α-β)=-×⎛ ⎝⎭=2.∴β=4π. 【点睛】本题主要考查了三角函数的化简、求值问题,其中熟记三角函数的基本关系式和三角恒等变换的公式,合理构造sin[(]sin )ααββ=--,及化简与运算是解答的关键,着重考查了推理与运算能力,属于基础题.13.我国古代数学家秦九韶在《数书九章》中记述了“三斜求积术”,用现代式子表示即为:在ABC ∆中,角,,A B C 所对的边分别为,,a b c ,则ABC ∆的面积S =根据此公式,若()cos 3cos 0a B b c A ++=,且2222a b c --=,则ABC ∆的面积为( )A B .CD .【答案】A 【解析】 【分析】根据()cos 3cos 0a B b c A ++=,利用正弦定理边化为角得sin cos cos sin 3sin cos 0A B A B C A ++=,整理为()sin 13cos 0C A +=,根据sin0C≠,得1cos3A=-,再由余弦定理得3bc=,又2222a b c--=,代入公式=S.【详解】由()cos3cos0a Bbc A++=得sin cos cos sin3sin cos0A B A B C A++=,即()sin3sin cos0A B C A++=,即()sin13cos0C A+=,因为sin0C≠,所以1cos3A=-,由余弦定理22222cos23a b c bc A bc--=-==,所以3bc=,由ABC∆的面积公式得S===故选:A【点睛】本题主要考查正弦定理和余弦定理以及类比推理,还考查了运算求解的能力,属于中档题. 14.函数()22sin3cos2f x x x=+-,2,36xππ⎡⎤∈-⎢⎥⎣⎦的值域为()A.40,3⎡⎤⎢⎥⎣⎦B.41,3⎡⎤⎢⎥⎣⎦C.51,4⎡⎤⎢⎥⎣⎦D.50,4⎡⎤⎢⎥⎣⎦【答案】A【解析】【分析】化简得到()23sin2sin1f x x x=-++,设sint x=,利用二次函数性质得到答案.【详解】根据22sin cos1x x+=,得()23sin2sin1f x x x=-++,2,36xππ⎡⎤∈-⎢⎥⎣⎦,令sint x=,由2,36xππ⎡⎤∈-⎢⎥⎣⎦,得1sin1,2x⎡⎤∈-⎢⎥⎣⎦,故[]0,1t∈,有2321y t t=-++,[]0,1t∈,二次函数对称轴为13t=,当13t=时,最大值43y=;当1t=时,最小值0y=,综上,函数()f x 的值域为40,3⎡⎤⎢⎥⎣⎦. 故选:A .【点睛】本题考查了三角函数值域,换元可以简化运算,是解题的关键.15.函数()()()cos 20f x x ϕϕπ=+<<在区间,66ππ⎡⎤-⎢⎥⎣⎦单调递减,在区间,06π⎛⎫- ⎪⎝⎭上有零点,则ϕ的取值范围是( )A .,62ππ⎡⎤⎢⎥⎣⎦B .25,36ππ⎡⎫⎪⎢⎣⎭C .2,23ππ⎛⎤ ⎥⎝⎦D .,32ππ⎡⎫⎪⎢⎣⎭【答案】C【解析】分析:结合余弦函数的单调减区间,求出零点,再结合零点范围列出不等式 详解:当[,]66x ππ∈-,2[,]33x ππϕϕϕ+∈-++, 又∵(0,)ϕπ∈,则[,][0,]33ππϕϕπ-++⊆,即033πϕπϕπ⎧-≥⎪⎪⎨⎪+≤⎪⎩,233ππϕ≤≤, 由cos(2)0x ϕ+=得2,2x k k Z πϕπ+=+∈,242k x ππϕ=+-, ∴0642ππϕ-<-<,解得526ππϕ<<, 综上223ππϕ<≤. 故选C.点睛:余弦函数的单调减区间:[2,2]k k ππ+π,增区间:[2,22]k k ππππ++,零点:2x k ππ=+,对称轴:x k π=,对称中心:,2)0(k ππ+,k Z ∈. 16.ABC V 中,角A 、B 、C 的对边分别为a ,b ,c,且tanC cos cos c B A =,若c =4a =,则b 的值为( )A .6B .2C .5 D【答案】A【解析】【分析】由正弦定理,两角和的正弦公式化简已知等式可得sin tan C C C =,结合sin 0C ≠,可求得tan 3C =,结合范围()0,C π∈,可求C ,从而根据余弦定理24120b b --=,解方程可求b 的值.【详解】解:∵tan 3cos 3cos c C a B b A =+,∴由正弦定理可得:()()sin tan 3sin cos sin cos 3sin 3sin C C A B B A A B C =+=+=,∵sin 0C ≠,∴可得tan 3C =,∵()0,C π∈,∴3C π=,∵27c =,4a =,∴由余弦定理2222cos c a b ab C =+-,可得212816242b b =+-⨯⨯⨯,可得24120b b --=,∴解得6b =,(负值舍去).故选:A .【点睛】本题考查正弦定理、余弦定理的综合应用,其中着重考查了正弦定理的边角互化、余弦定理的解三角形,难度一般.利用边角互化求解角度值时,注意三角形内角对应的角度范围.17.若θ是第二象限角,则下列选项中能确定为正值的是( )A .sinB .cosC .tanD .cos2θ【答案】C【解析】【分析】直接利用三角函数象限角的三角函数的符号判断即可.【详解】由θ是第二象限角可得为第一或第三象限角,所以tan >0.故选C【点睛】本题考查三角函数值的符号的判断,是基础题.18.已知1tan 4,tan θθ+=则2sin ()4πθ+=( ) A .15 B .14 C .12 D .34【答案】D【解析】【分析】 根据同角三角函数的关系化简1tan 4tan θθ+=成关于正余弦的关系式,再利用降幂公式与诱导公式化简2sin ()4πθ+求解即可.【详解】 由题, 1tan 4,tan θθ+=则22sin cos sin cos 444sin cos 1cos sin sin cos θθθθθθθθθθ++=⇒=⇒=, 故1sin 22θ=. 所以2sin ()4πθ+=1cos 222πθ⎛⎫-+ ⎪⎝⎭1sin 2324θ+==. 故选:D【点睛】 本题主要考查了三角函数的公式运用,在有正切函数时可考虑转化为正余弦的关系进行化简,属于基础题.19.已知ABC V 的内角,,A B C 的对边分别为,,a b c,且cos cos 2cos a B b A C +=,1a =,b =c =( )AB .1 CD【答案】B【解析】【分析】先由正弦定理将cos cos a B b A +=中的边转化为角,可得sin()A B +=可求出角6C π=,再利用余弦定理可求得结果. 【详解】解:因为cos cos 2cos a B b A C+=,所以正弦定理得,sin cos sin cos A B B A +=所以sin()A B +=sin 2cos C C C=,因为sin 0C ≠,所以cos C =, 又因为(0,)C π∈,所以6C π=,因为1a =,b =所以由余弦定理得,2222cos 13211c a b ab C =+-=+-⨯=, 所以1c =故选:B【点睛】此题考查的是利用正、余弦定理解三角形,属于中档题.20.已知向量m =r (1,cosθ),(sin ,2)n θ=-r ,且m r ⊥n r,则sin 2θ+6cos 2θ的值为( )A .12B .2C .D .﹣2 【答案】B【解析】【分析】根据m r ⊥n r 可得tanθ,而sin 2θ+6cos 2θ22226sin cos cos sin cos θθθθθ+=+,分子分母同除以cos 2θ,代入tanθ可得答案.【详解】 因为向量m =r (1,cosθ),n =r (sinθ,﹣2), 所以sin 2cos m n θθ⋅=-u r r 因为m r ⊥n r ,所以sin 2cos 0θθ-=,即tanθ=2,所以sin 2θ+6cos 2θ22222626226141sin cos cos tan sin cos tan θθθθθθθ++⨯+====+++ 2. 故选:B.【点睛】 本题主要考查平面向量的数量积与三角恒等变换,还考查运算求解的能力,属于中档题.。
专题十 三角函数与数列大题(一)命题特点和预测:分析近8年全国Ⅰ卷数列与三角函数大题,发现三角函数与数列大题都是放在17题位置且每年只考一个,8年5考利用正余弦定理解三角形或平面图形问题,3年考数列,主要考查等差数列、等比数列的定义、通项公式、前n 项和公式、求数列通项及数列求和,试题难度为基础题,2019年仍将在数列与解三角形二者中考一题,主要考查等比数列、等差数列的定义、通项公式、前n 项和公式、求数列通项及数列求和或利用正余弦定理解三角形,难度为基础题. (二)历年试题比较: 年份题目2018年 【2018新课标1,理 17】在平面四边形中,,,,.(1)求; (2)若,求.2017年 【2017新课标1,理17】△ABC 的内角A ,B ,C 的对边分别为a ,b ,c ,已知△ABC 的面积为23sin a A .(1)求sin B sin C ;(2)若6cos B cos C =1,a =3,求△ABC 的周长.2016年 【2016高考新课标理数1】ABC △的内角A ,B ,C 的对边分别为a ,b ,c ,已知(1)求C ; (2)若的面积为332,求ABC △的周长. 2015年【2015高考新课标1,理17】n S 为数列{n a }的前n 项和.已知n a >0,2n n a a +=43n S +. (1)求{n a }的通项公式; (2)设11n n n b a a +=,求数列{n b }的前n 项和. 2014年 【2014课标Ⅰ,理17】已知数列{}n a 的前n 项和为n S ,11a =,0na ≠,,其中λ为常数, (1)证明:;(2)是否存在λ,使得{}n a为等差数列?并说明理由.2013年【2013课标全国Ⅰ,理17】如图,在△ABC中,∠ABC=90°,AB=3,BC=1,P为△ABC 内一点,∠BPC=90°.(1)若PB=12,求P A;(2)若∠APB=150°,求tan∠PBA.2012年【2012全国,理17】已知a,b,c分别为△ABC三个内角A,B,C的对边,a cos C+3a sin C -b-c=0.(1)求A;(2)若a=2,△ABC的面积为3,求b,c.2011年【2011全国新课标,理17】等比数列{an }的各项均为正数,且2a1+3a2=1,23239a a a=.(1)求数列{a n}的通项公式;(2)设b n=log3a1+log3a2+…+log3a n,求数列1{}nb的前n项和.【解析与点睛】(2018)(17)【解析】(1)在中,由正弦定理得. 由题设知,,所以.由题设知,,所以.(2)由题设及(1)知,.在中,由余弦定理得.所以.点睛:该题考查的是有关解三角形的问题,涉及到的知识点有正弦定理、同角三角函数关系式、诱导公式以及余弦定理,在解题的过程中,需要时刻关注题的条件,以及开方时对于正负号的取舍要从题的条件中寻找角的范围所满足的关系,从而正确求得结果.(2017年)【解析】(1)由题知∴∵由正弦定理得,由sin 0A ≠得. (2)由(1)得,∵∴又∵()0πA ∈,∴60A =︒,3sin A =,1cos 2A =由余弦定理得 ① 由正弦定理得,∴②由①②得33b c +=∴,即ABC △周长为333+【名师点睛】在处理解三角形问题时,要注意抓住题目所给的条件,当题设中给定三角形的面积,可以使用面积公式建立等式,再将所有边的关系转化为角的关系,有时需将角的关系转化为边的关系;解三角形问题常见的一种考题是“已知一条边的长度和它所对的角,求面积或周长的取值范围”或者“已知一条边的长度和它所对的角,再有另外一个条件,求面积或周长的值”,这类问题的通法思路是:全部转化为角的关系,建立函数关系式,如,从而求出范围,或利用余弦定理以及基本不等式求范围;求具体的值直接利用余弦定理和给定条件即可.(2016年)【解析】(1)由正弦定理及得,,即,即,因为π<<C 0,所以0sin ≠C , 所以21cos =C ,所以3π=C .(2)由余弦定理得:∴6ab = ∴5a b +=∴ABC △周长为【名师点睛】三角形中的三角变换常用到诱导公式,,这是常用的结论,另外利用正弦定理或余弦定理处理条件中含有边或角的等式,常考虑对其实施“边化角”或“角化边”.(2015年)【解析】(1)当1n =时,,因为0n a >,所以1a =3, 当2n ≥时, ==4n a ,即,因为0n a >,所以1n n a a --=2,所以数列{n a }是首项为3,公差为2的等差数列,所以n a =21n +;(2)由(1)知,n b =,所以数列{n b }前n 项和为==11646n -+. (2014年)【解析】(1由题设,,.两式相减得,.由于10n a +≠,所以.(2)由题设,11a =,,可得21a λ=-,由(I )知,31a λ=+.令,解得4λ=.故,由此可得,{}21n a -是首项为1,公差为4的等差数列,;=0.因为B =π-A -C ,所以3sin A sin C -cos A sin C -sin C =0.由于sin C ≠0,所以.又0<A <π,故π3A =. (2)△ABC 的面积,故bc =4.而a 2=b 2+c 2-2bc cos A ,故b 2+c 2=8.解得b =c =2.(2011年)【解析】:(1)设数列{a n }的公比为q .由23269a a a =得22349a a =,所以219q =.由条件可知q >0,故13q =. 由2a 1+3a 2=1得2a 1+3a 1q =1,所以113a =.(三)命题专家押题题号 试 题 1.在中,三边所对应的角分别是.已知成等比数列.(1)若,求角的值;(2)若外接圆的面积为,求面积的取值范围. 2. 已知数列是公差不为零的等差数列,,且存在实数满足,.(1)求的值及通项;(2)求数列的前项和.3.已知数列满足.(1)求和的通项公式;(2)记数列的前项和为,若对任意的正整数恒成立,求实数的取值范围.4. 已知数列是正项等比数列,,数列满足条件.(Ⅰ) 求数列、的通项公式;(Ⅱ) 设,记数列的前项和.①求;②求正整数,使得对任意,均有.5. 已知数列中,且.(1)并证明是等比数列;(2)设,求数列的前项和.6 中角,,的对边分别为,,,己如.(1)求的值:(2)若,,求的面积.7 已知是的内角,分别是角的对边.若.(1)求角的大小;(2)若,的面积为,为的中点,求8 已知a,b,c分别为△ABC三个内角A,B,C的对边,且acos C+asin C-b-c=0.(1)求A;(2)若AD为BC边上的中线,cos B=,AD=,求△ABC的面积.9 如图,在中,是边上一点,,,.(1)求的长;(2)若,求的面积.10如图,在四边形中,,连接.(Ⅰ)求的值;(Ⅱ)若,求的面积最大值.【详细解析】1.【解析】(1),又∵成等比数列,得,由正弦定理有,∵,∴,得,即,由知,不是最大边,∴.(2)∵外接圆的面积为,∴的外接圆的半径,由余弦定理,得,又,∴,当且仅当时取等号,又∵为的内角,∴,由正弦定理,得.∴的面积,∵,∴,∴.2.【解析】(1)设等差数列的公差为,由……①得……②,①-②得,,又因为,解得;将代入①可得,即,又因为,所以.(2)由(1)可得,所以.3.【解析】(1)由题意得,所以得由,所以(),相减得,得也满足上式.所以的通项公式为.(2)数列的通项公式为是以为首项,公差为的等差数列,若对任意的正整数恒成立,等价于当时,取得最大值,所以解得所以实数的取值范围是4.【解析】(1)设数列是正项等比数列的公比为,因为,所以有,所以(2)①因为,所以,,,②令,由于比变化的快,所以,得,即,递增而递减,是最大,即当时,对任意,均有.5.【解析】(1)由题意知,①当时,,②当时,.数列是以 为首项, 为公比的等比数列.(2)由(1),可知:,...③-④,可得: ,,③ ④6.【解析】(1)因为,所以.化简得.即.因在 中,,则.从而.由正弦定理,得.所以.(2)由(1)知,且 ,所以.因为 ,所以.即 所以. .所以 所以△的面积为 .7.【解析】(1)由得由正弦定理,得. ,即所以又,则(2)因为 ,所以 .所以 为等腰三角形,且顶角.因为 所以 .在中,,,,所以解得.8.【解析】(1)acos C+ asin C-b-c=0,由正弦定理得 sin Acos C+ sin Asin C=sin B+sin C,即 sin Acos C+ sin Asin C=sin(A+C)+sin C,又 sin C≠0,所以化简得 sin A-cos A=1,所以 sin(A-30°)= . 在△ ABC 中,0°<A<180°,所以 A-30°=30°,得 A=60°.(2)在△ ABC 中,因为 cos B= ,所以 sin B= .所以 sin C=sin(A+B)= × + × = .由正弦定理得,.设 a=7x,c=5x(x>0),则在△ ABD 中,AD2=AB2+BD2-2AB·BDcos B,即 =25x2+ ×49x2-2×5x× ×7x× ,解得 x=1,所以 a=7,c=5,故 S△ ABC= acsin B=10 .9.【解析】(1)在中,由正弦定理,得,在 中,由正弦定理,得因为,,所以.(2)在中,由余弦定理,得, ,, ,在 中,由余弦定理,得因为 所以,,,,, . ,解得,所以.所以.10.【解析】(1)在 中,由正弦定理得,∴.∵,∴,∴为锐角,∴.(2)在 ∴中,在 中,由余弦定理得∴∴,∴ 即 面积的最大值为 ., ., ,当且仅当时等号成立,,。
【最新】高中数学《三角函数与解三角形》专题解析一、选择题1.已知函数()()πsin 06f x x ωω⎛⎫=-> ⎪⎝⎭,若()π02f f ⎛⎫=- ⎪⎝⎭在π0,2⎛⎫⎪⎝⎭上有且仅有三个零点,则ω= ( ) A .23B .2C .143D .263【答案】C 【解析】∵函数()()sin 06f x x πωω⎛⎫=-> ⎪⎝⎭,()02f f π⎛⎫=-⎪⎝⎭∴1sin()sin()6262πππω-=--=- ∴2266k πππωπ-=+或52,266k k Z πππωπ-=+∈ ∴243k ω=+或42,k k ω=+∈Z ∵函数()f x 在0,2π⎛⎫⎪⎝⎭上有且仅有三个零点 ∴(,)6626x ππωππω-∈-- ∴2326ωππππ<-≤∴131933ω<≤ ∴143ω=或6ω= 故选C.2.在ABC ∆中,角,,A B C 所对的边分别为,,a b c 满足,222b c a bc +-=,0AB BC ⋅>,2a =,则b c +的取值范围是( )A .31,2⎛⎫ ⎪⎝⎭B .322⎛⎫⎪⎪⎝⎭C .13,22⎛⎫⎪⎝⎭D .31,2⎛⎤ ⎥⎝⎦【答案】B 【解析】 【分析】利用余弦定理222cos 2b c a A bc+-=,可得3A π=,由|||cos()|0AB BC AB BC B π⋅=⋅->,可得B为钝角,由正弦定理可得sin sin(120)30)o o b c B B B ∴+=+-=+,结合B 的范围,可得解【详解】由余弦定理有:222cos 2b c a A bc+-=,又222b c a bc +-=故2221cos 222b c a bc A bc bc +-===又A 为三角形的内角,故3A π=又a=sin sin sin(120)ob c c B C B ==- 又|||cos()|0AB BC AB BC B π⋅=⋅-> 故cos 0B B <∴为钝角3sin sin(120)sin 30)22o o b c B B B B B ∴+=+-=+=+(90,120)o o B ∈,可得130(120150)sin(30)(2o o o o B B +∈∴+∈,330))22o b c B ∴+=+∈ 故选:B 【点睛】本题考查了正弦定理、余弦定理和向量的综合应用,考查了学生综合分析,转化划归,数学运算能力,属于中档题3.函数()[]()cos 2,2f x x x ππ=∈-的图象与函数()sin g x x =的图象的交点横坐标的和为( ) A .53π B .2πC .76π D .π【答案】B 【解析】 【分析】根据两个函数相等,求出所有交点的横坐标,然后求和即可.【详解】令sin cos2x x =,有2sin 12sin x x =-,所以sin 1x =-或1sin 2x =.又[],2x ππ∈-,所以2x π=-或32x π=或6x π=或56x π=,所以函数()[]()cos 2,2f x x x ππ=∈-的图象与函数()sin g x x =的图象交点的横坐标的和3522266s πππππ=-+++=,故选B. 【点睛】本题主要考查三角函数的图象及给值求角,侧重考查数学建模和数学运算的核心素养.4.已知在锐角ABC ∆中,角A ,B ,C 的对边分别为a ,b ,c ,若2cos cos b C c B =,则111tan tan tan A B C++的最小值为( ) ABCD.【答案】A 【解析】 【分析】先根据已知条件,把边化成角得到B,C 关系式,结合均值定理可求. 【详解】∵2cos cos b C c B =,∴2sin cos sinCcos B C B =, ∴tan 2tan C B =.又A B C π++=, ∴()()tan tan tan A B C B C π=-+=-+⎡⎤⎣⎦22tan tan 3tan 3tan 1tan tan 12tan 2tan 1B C B BB C B B +=-=-=---,∴21112tan 111tan tan tan 3tan tan 2tan B A B C B B B-++=++27tan 36tan B B =+. 又∵在锐角ABC ∆中, tan 0B >,∴27tan 36tan B B +≥=,当且仅当tan 2B =时取等号,∴min111tan tan tan A B C ⎛⎫++=⎪⎝⎭ A. 【点睛】本题主要考查正弦定理和均值定理,解三角形时边角互化是求解的主要策略,侧重考查数学运算的核心素养.5.在ABC ∆中,若sin :sin :sin 2:3:4A B C =,则ABC ∆是( ) A .直角三角形 B .钝角三角形C .锐角三角形D .等腰直角三角形【答案】B 【解析】 【分析】由题意利用正弦定理,推出a ,b ,c 的关系,然后利用余弦定理求出cosC 的值,即可得解. 【详解】∵sinA :sinB :sinC=2:3:4∴由正弦定理可得:a :b :c=2:3:4, ∴不妨令a=2x ,b=3x ,c=4x ,∴由余弦定理:c 2=a 2+b 2﹣2abcosC ,所以cosC=2222a b c ab+-=2224916223x x x x x +-⨯⨯=﹣14, ∵0<C <π, ∴C 为钝角. 故选B . 【点睛】本题是基础题,考查正弦定理,余弦定理的应用,考查计算能力,常考题型.6.如图,边长为1正方形ABCD ,射线BP 从BA 出发,绕着点B 顺时针方向旋转至BC ,在旋转的过程中,记([0,])2ABP x x π∠=∈,BP 所经过的在正方形ABCD 内的区域(阴影部分)的面积为()y f x =,则函数()f x 的图像是( )A .B .C .D .【答案】D 【解析】 【分析】根据条件列()y f x =,再根据函数图象作判断. 【详解】 当0,4x π⎡⎤∈⎢⎥⎣⎦时,()112y f x tanx ==⨯⨯; 当,42x ππ⎛⎤∈⎥⎝⎦时,()11112y f x tanx ==-⨯⨯; 根据正切函数图象可知选D. 【点睛】本题考查函数解析式以及函数图象,考查基本分析识别能力,属基本题.7.已知函数()sin 26f x x π⎛⎫=-⎪⎝⎭,若方程()23f x =的解为12,x x (120x x π<<<),则()21sin x x -=( )A .23B .49C 5D 45【答案】C 【解析】 【分析】 由已知可得2123x x π=-,结合x 1<x 2求出x 1的范围,再由()121122236sin x x sin x cos x ππ⎛⎫⎛⎫-=-=-- ⎪ ⎪⎝⎭⎝⎭求解即可. 【详解】因为0<x π<,∴112666x πππ⎛⎫-∈- ⎪⎝⎭,, 又因为方程()23f x =的解为x 1,x 2(0<x 1<x 2<π), ∴1223x x π+=,∴2123x x π=-,∴()121122236sin x x sin x cos x ππ⎛⎫⎛⎫-=-=-- ⎪ ⎪⎝⎭⎝⎭, 因为122123x x x x π=-<,,∴0<x 13π<,∴12662x πππ⎛⎫-∈- ⎪⎝⎭,,∴由()112263f x sin x π⎛⎫=-= ⎪⎝⎭,得1263cos x π⎛⎫-= ⎪⎝⎭,∴()123sin x x -=-,故()21sin x x -故选C . 【点睛】本题考查了三角函数的恒等变换及化简求值和三角函数的图象与性质,属中档题.8.设当x θ=时,函数()sin 2cos f x x x =-取得最大值,则cos θ=()A .B .CD 【答案】B 【解析】 【分析】由辅助角公式可确定()max f x =sin 2cos θθ-=平方关系可构造出方程组求得结果. 【详解】()()sin 2cos f x x x x ϕ=-=+,其中tan 2ϕ=- ()max f x ∴sin 2cos θθ-=又22sin cos 1θθ+= cos 5θ∴=- 【点睛】本题考查根据三角函数的最值求解三角函数值的问题,关键是能够确定三角函数的最值,从而得到关于所求三角函数值的方程,结合同角三角函数关系构造方程求得结果.9.已知函数()sin()R,0,0,||2f x A x x A πωϕωϕ⎛⎫=+∈>>< ⎪⎝⎭的图象(部分)如图所示,则ω,ϕ分别为( )A .,3πωπϕ==B .2,3πωπϕ==C .,6πωπϕ==D .2,6πωπϕ==【答案】C 【解析】 【分析】由最大值可确定振幅A ,由周期确定ω,由1()23f =确定ϕ. 【详解】 由图可得,2A =,5114632T =-=,所以22T πω==,ωπ=,又1()23f =,所以12sin()23πϕ⨯+=,2,32k k Z ππϕπ+=+∈,即2,6k k Z πϕπ=+∈, 又2πϕ<,故6π=ϕ. 故选:C 【点睛】本题考查由图象确定正弦型函数解析式中的参数问题,考查学生逻辑推理能力,是一道中档题.10.已知函数()sin()f x x πϕ=+某个周期的图象如图所示,A ,B 分别是()f x 图象的最高点与最低点,C 是()f x 图象与x 轴的交点,则tan ∠BAC =( )A .12B .47C 255D 76565【答案】B 【解析】过A 作AD 垂直于x 轴于点D ,AB 与x 轴交于E ,设C (a ,0),可得32CD =,11,2AD DE ==,3tan 2CD CAD AD ∠==,1tan 2ED EAD AD ∠==,再利用tan tan()BAC CAD EAD ∠=∠-∠计算即可.【详解】过A 作AD 垂直于x 轴于点D ,AB 与x 轴交于E , 由题可得周期为2,设(,0)C a ,则1(,1)2B a +-,3(,1)2A a +, 所以32CD =,11,2AD DE ==,3tan 2CD CAD AD ∠==,1tan 2ED EAD AD ∠== 所以tan tan tan tan()1tan tan CAD EADBAC CAD EAD CAD EAD∠-∠∠=∠-∠=+∠⋅∠31422317122-==+⨯.故选:B【点睛】本题主要考查两角差的正切公式,涉及到正弦型函数图象等知识,考查学生数学运算能力,是一道中档题.11.已知ππ43πsin()cos()0,322ααα++-=-<<则2πcos()3α+等于( )A 5B .35C .45D .35【答案】C 【解析】首先根据等式化简,得到4sin 65πα⎛⎫+=- ⎪⎝⎭,再利用诱导公式化简2cos 3πα⎛⎫+ ⎪⎝⎭求值. 【详解】解析:∵ππsin cos 32αα⎛⎫⎛⎫++-= ⎪ ⎪⎝⎭⎝⎭13sin sin sin 22ααααα+==6πα⎛⎫=+= ⎪⎝⎭ ∴π4sin 65()α+=-.又2ππππcos cos sin 32()())6(6ααα+=++=-+, ∴2π4co (s 35)α+=. 故选:C 【点睛】本题考查三角恒等变换,化简求值,重点考查转化与变形,计算能力,属于基础题型.12.在ABC ∆中,若2sin sin cos 2CA B =,则ABC ∆是( ) A .等边三角形 B .等腰三角形C .不等边三角形D .直角三角形【答案】B 【解析】试题分析:因为2sin sin cos2CA B =,所以,1cos sin sin 2C A B +=,即2sin sin 1cos[()],cos()1A B A B A B π=+-+-=,故A=B ,三角形为等腰三角形,选B 。
【最新】数学《三角函数与解三角形》期末复习知识要点一、选择题1.已知函数()()sin 3cos 0x f x x ωωω=->,若集合()(){}0,1x f x π∈=-含有4个元素,则实数ω的取值范围是( ) A .35,22⎡⎫⎪⎢⎣⎭B .35,22⎛⎤⎥⎝⎦C .725,26⎡⎫⎪⎢⎣⎭D .725,26⎛⎤⎥⎝⎦【答案】D 【解析】 【分析】化简f (x )的解析式,作出f (x )的函数图象,利用三角函数的性质求出直线y=﹣1与y=f (x )在(0,+∞)上的交点坐标,则π介于第4和第5个交点横坐标之间. 【详解】 f (x )=2sin (ωx ﹣3π), 作出f (x )的函数图象如图所示:令2sin (ωx ﹣3π)=﹣1得ωx ﹣3π=﹣6π+2kπ,或ωx ﹣3π=76π+2kπ, ∴x=6πω+2k πω,或x=32πω+2k πω,k ∈Z , 设直线y=﹣1与y=f (x )在(0,+∞)上从左到右的第4个交点为A ,第5个交点为B , 则x A =322ππωω+,x B =46ππωω+, ∵方程f (x )=﹣1在(0,π)上有且只有四个实数根, ∴x A <π≤x B ,即322ππωω+<π≤46ππωω+,解得72526ω≤<. 故选B .【点睛】本题考查了三角函数的恒等变换,三角函数的图象与性质,属于中档题.2.△ABC中,已知tanA=13,tanB=12,则∠C等于()A.30°B.45°C.60°D.135°【答案】D【解析】【分析】利用三角形内角和为180o,可得:tan tan()tan(+)C A B A Bπ=--=-,利用两角和公式和已知条件,即可得解.【详解】在△ABC中,11tan tan32tan tan()tan(+)=-1111tan tan132A BC A B A BA Bπ++=--=-=-=---⋅,所以135C?o.故选:D.【点睛】本题考查了正切的两角和公式,考查了三角形内角和,考查了转化思想和计算能力,属于中档题.3.如图,直三棱柱ABC A B C'''-的侧棱长为3,AB BC⊥,3AB BC==,点E,F 分别是棱AB,BC上的动点,且AE BF=,当三棱锥B EBF'-的体积取得最大值时,则异面直线A F'与AC所成的角为()A.2πB.3πC.4πD.6π【答案】C【解析】【分析】设AE BF a==,13B EBF EBFV S B B'-'=⨯⨯V,利用基本不等式,确定点E,F的位置,然后根据//EF AC,得到A FE'∠即为异面直线A F'与AC所成的角,再利用余弦定理求解. 【详解】设AE BF a ==,则()()23119333288B EBFa aV a a '-+-⎡⎤=⨯⨯⨯-⨯≤=⎢⎥⎣⎦,当且仅当3a a =-,即32a =时等号成立, 即当三棱锥B EBF '-的体积取得最大值时,点E ,F 分别是棱AB ,BC 的中点, 方法一:连接A E ',AF ,则352A E '=,352AF =,2292A F AA AF ''=+=,13222EF AC ==, 因为//EF AC ,所以A FE '∠即为异面直线A F '与AC 所成的角,由余弦定理得222819452424cos 93222222A F EF A E A FE A F EF +-''+-'∠==='⋅⋅⨯⨯, ∴4A FE π'∠=.方法二:以B 为坐标原点,以BC 、BA 、BB '分别为x 轴、y 轴、z 轴建立空间直角坐标系,则()0,3,0A ,()3,0,0C ,()0,3,3A ',3,0,02F ⎛⎫⎪⎝⎭, ∴3,3,32A F ⎛⎫'=-- ⎪⎝⎭u u u u r ,()3,3,0AC =-u u u r ,所以9922cos ,92322A F AC A F AC A F AC +'⋅'==='⋅⨯u u u u r u u u r u u u u r u u u r u u u u r u u u r ,所以异面直线A F '与AC 所成的角为4π. 故选:C 【点睛】本题主要考查异面直线所成的角,余弦定理,基本不等式以及向量法求角,还考查了推理论证运算求解的能力,属于中档题.4.在△ABC 中,角A ,B ,C 的对边分别为a ,b ,c ,若(a ﹣c cos B )sin A =c cos A sin B ,则△ABC 的形状一定是( ) A .钝角三角形 B .直角三角形 C .等腰三角形 D .锐角三角形【答案】C 【解析】 【分析】根据题意,由(cos )sin cos sin a c B A c A B -=变形可得sin sin a A c C =,进而由正弦定理可得22a c =,即a c =,即可得答案. 【详解】根据题意,在ABC ∆中,(cos )sin cos sin a c B A c A B -=, 变形可得:sin cos sin cos sin (cos sin cos sin )sin()sin a A c B A c A B c B A A B c A B c C =+=+=+=,即有sin sin a A c C =,又由正弦定理可得22a c =,即a c =. 故选:C . 【点睛】本题主要考查三角形的形状判断,考查正弦定理的应用,意在考查学生对这些知识点的理解掌握水平,属于基础题.5.已知函数()sin 26f x x π⎛⎫=-⎪⎝⎭,若方程()23f x =的解为12,x x (120x x π<<<),则()21sin x x -=( )A .23B .49C D 【答案】C 【解析】 【分析】 由已知可得2123x x π=-,结合x 1<x 2求出x 1的范围,再由()121122236sin x x sin x cos x ππ⎛⎫⎛⎫-=-=-- ⎪ ⎪⎝⎭⎝⎭求解即可. 【详解】因为0<x π<,∴112666x πππ⎛⎫-∈- ⎪⎝⎭,, 又因为方程()23f x =的解为x 1,x 2(0<x 1<x 2<π),∴1223x x π+=,∴2123x x π=-, ∴()121122236sin x x sin x cos x ππ⎛⎫⎛⎫-=-=-- ⎪ ⎪⎝⎭⎝⎭, 因为122123x x x x π=-<,,∴0<x 13π<,∴12662x πππ⎛⎫-∈- ⎪⎝⎭,,∴由()112263f x sin x π⎛⎫=-= ⎪⎝⎭,得126cos x π⎛⎫-= ⎪⎝⎭,∴()12sin x x -=,故()21sin x x -故选C . 【点睛】本题考查了三角函数的恒等变换及化简求值和三角函数的图象与性质,属中档题.6.在ABC ∆中,角A 、B 、C 所对的边分别为a 、b 、c ,且222b c a bc +=+若2sin sin sin B C A ⋅=,则ABC ∆的形状是()A .等腰三角形B .直角三角形C .等边三角形D .等腰直角三角形【答案】C 【解析】 【分析】直接利用余弦定理的应用求出A 的值,进一步利用正弦定理得到:b =c ,最后判断出三角形的形状. 【详解】在△ABC 中,角A 、B 、C 所对的边分别为a 、b 、c , 且b 2+c 2=a 2+bc .则:2221222b c a bc cosA bc bc +-===,由于:0<A <π, 故:A 3π=.由于:sin B sin C =sin 2A , 利用正弦定理得:bc =a 2, 所以:b 2+c 2﹣2bc =0, 故:b =c ,所以:△ABC 为等边三角形. 故选C .【点睛】本题考查了正弦定理和余弦定理及三角形面积公式的应用,主要考查学生的运算能力和转化能力,属于基础题型.7.已知1F 、2F 分别为双曲线22146x y -=的左、右焦点,M 为双曲线右支上一点且满足120MF MF ⋅=u u u u v u u u u v,若直线2MF 与双曲线的另一个交点为N ,则1MF N ∆的面积为( )A .12B .C .24D .【答案】C 【解析】 【分析】设1MF m =,2MF n =,根据双曲线的定义和12MF MF ⊥,可求出6m =,2n =,再设2NF t =,则14NF t =+根据勾股定理求出6t =即可求出三角形的面积. 【详解】解:设1MF m =,2MF n =,∵1F 、2F 分别为双曲线22146x y -=的左、右焦点,∴24m n a -==,122F F c ==∵120MF MF ⋅=u u u u v u u u u v, ∴12MF MF ⊥,∴222440m n c +==, ∴()2222m n m n mn -=+-, 即2401624mn =-=, ∴12mn =, 解得6m =,2n =,设2NF t =,则124NF a t t =+=+, 在1Rt NMF ∆中可得()()222426t t +=++, 解得6t =, ∴628MN =+=, ∴1MF N ∆的面积111862422S MN MF =⋅=⨯⨯=. 故选C .【点睛】本题考查了双曲线的定义和向量的数量积和三角形的面积,考查了运算能力和转化能力,属于中档题.8.在ABC V 中,角A ,B ,C 的对边分别为a ,b ,c ,若1b =,3c =,且2sin()cos 12cos sin B C C A C +=-,则ABC V 的面积是( )A 3B .12C 33D .14或12【答案】C 【解析】 【分析】根据已知关系求出1sin 2B =,根据余弦定理求出边a ,根据面积公式即可得解. 【详解】因为2sin()cos 12cos sin B C C A C +=-,所以2sin cos 12cos sin A C A C =-, 所以2sin cos 2cos sin 1A C A C +=,所以2sin()1A C +=, 所以2sin 1B =,即1sin 2B =, 因为b c <,所以B C <,所以角B 为锐角,所以23cos 1sin 2B B =-=, 由余弦定理2222cos b a c ac B =+-得2313232a a =+-⨯, 整理可得2320a a -+=,解得1a =或2a =. 当1a =时,ABC V 的面积是1113sin 132224S ac B ==⨯=; 当2a =时,ABC V 的面积是1113sin 232222S ac B ==⨯=. 故选:C. 【点睛】此题考查根据余弦定理解三角形,关键在于熟练掌握定理公式,结合边角关系解方程,根据面积公式求解.9.在ABC ∆中,060,A BC D ∠==是边AB上的一点,CD CBD =∆的面积为1,则BD 的长为( )A .32B .4C .2D .1【答案】C 【解析】1sin 1sin 2BCD BCD ∠=∴∠=2242BD BD ∴=-=∴=,选C10.已知函数f (x )=sin 2x +sin 2(x 3π+),则f (x )的最小值为( ) A .12B .14C.4D.2【答案】A 【解析】 【分析】先通过降幂公式和辅助角法将函数转化为()11cos 223f x x π⎛⎫=-+ ⎪⎝⎭,再求最值. 【详解】已知函数f (x )=sin 2x +sin 2(x 3π+), =21cos 21cos 2322x x π⎛⎫-+⎪-⎝⎭+,=1cos 2111cos 22223x x π⎛⎛⎫-=-+ ⎪ ⎝⎭⎝⎭, 因为[]cos 21,13x π⎛⎫+∈- ⎪⎝⎭, 所以f (x )的最小值为12. 故选:A 【点睛】本题主要考查倍角公式及两角和与差的三角函数的逆用,还考查了运算求解的能力,属于中档题.11.已知π1cos 25α⎛⎫-= ⎪⎝⎭,则cos2α=( )A .725B .725-C .2325D .2325-【答案】C 【解析】 【分析】由已知根据三角函数的诱导公式,求得sin α,再由余弦二倍角,即可求解. 【详解】 由π1cos α25⎛⎫-=⎪⎝⎭,得1sin α5=,又由2123cos2α12sin α122525=-=-⨯=. 故选C . 【点睛】本题主要考查了本题考查三角函数的化简求值,其中解答中熟记三角函数的诱导公式及余弦二倍角公式的应用是解答的关键,着重考查了推理与计算能力,属于基础题.12.将函数cos y x =的图象先左移4π,再纵坐标不变,横坐标缩为原来的12,所得图象的解析式为( ) A .sin 24y x π⎛⎫=+ ⎪⎝⎭B .13sin 24y x π⎛⎫=+⎪⎝⎭C .1sin 24y x π⎛⎫=+ ⎪⎝⎭D .3sin 24y x π⎛⎫=+ ⎪⎝⎭ 【答案】D 【解析】 【分析】根据三角函数的平移伸缩变换法则得到答案. 【详解】cos sin 2y x x π⎛⎫==+ ⎪⎝⎭向左平移4π个单位,故变为3sin 4y x π⎛⎫=+ ⎪⎝⎭,纵坐标不变,横坐标缩为原来的12,变为3sin 24y x π⎛⎫=+ ⎪⎝⎭. 故选:D . 【点睛】本题考查了三角函数的平移伸缩变换,意在考查学生对于平移伸缩变换的理解和掌握.13.在三角形ABC 中,给出命题:p “2ab c >”,命题:q “3C π<”,则p 是q 的( )A .充分不必要条件B .必要不充分条件C .充分必要条件D .既不充分也不必要条件【答案】A 【解析】 【分析】由余弦定理将2c 化为222cos a b ab C +-,整理后利用基本不等式求得12cos 2C +>,求出C 范围,即可判断充分性,取4a =,7b =,6c =,则可判断必要性不成立,两者结合可得正确的选项. 【详解】充分性:由余弦定理,2222cos c a b ab C =+-, 所以2ab c >,即222cos ab a b ab C >+-,整理得,2212cos a b C ab++>,由基本不等式,222a b ab +≥=,当且仅当a b =时等号成立, 此时,12cos 2C +>,即1cos 2C >,解得3C π<, 充分性得证;必要性:取4a =,7b =,6c =,则164936291cos 247562C +-==>⨯⨯,故3C π<,但228ab c =<,故3C π<推不出2ab c >.故必要性不成立; 故p 是q 的充分不必要条件. 故选:A 【点睛】本题主要考查充分必要条件的判断、余弦定理的应用和基本不等式的应用,考查学生分析转化能力,属于中档题.14.已知1tan 4,tan θθ+=则2sin ()4πθ+=( )A .15 B .14C .12D .34【答案】D 【解析】 【分析】根据同角三角函数的关系化简1tan 4tan θθ+=成关于正余弦的关系式,再利用降幂公式与诱导公式化简2sin ()4πθ+求解即可.【详解】 由题, 1tan 4,tan θθ+=则22sin cos sin cos 444sin cos 1cos sin sin cos θθθθθθθθθθ++=⇒=⇒=, 故1sin 22θ=. 所以2sin ()4πθ+=1cos 222πθ⎛⎫-+ ⎪⎝⎭1sin 2324θ+==. 故选:D【点睛】 本题主要考查了三角函数的公式运用,在有正切函数时可考虑转化为正余弦的关系进行化简,属于基础题.15.将函数()()sin 0,π2f x x ϕωϕω⎛⎫=+>< ⎪⎝⎭的图象向右平移6π个单位长度后,所得图象关于y 轴对称,且1π2f ω⎛⎫=- ⎪⎝⎭,则当ω取最小值时,函数()f x 的解析式为( ) A .()sin 26f x x π⎛⎫=+ ⎪⎝⎭ B .()sin 2π6f x x ⎛⎫=- ⎪⎝⎭ C .()sin 4π6f x x ⎛⎫=+ ⎪⎝⎭ D .()sin 4π6f x x ⎛⎫=- ⎪⎝⎭ 【答案】C【解析】【分析】 由题意利用函数()sin y A x ωφ=+的图象变换规律,可得所得函数的解析式,由12f πω⎛⎫=- ⎪⎝⎭,求出φ,再根据所得图象关于y 轴对称求出ω,可得()f x 的解析式. 【详解】解:将函数()()sin (0,)2f x x πωφωφ=+><的图象向右平移6π个单位长度后,可得sin 6y x ωπωφ⎛⎫=-+ ⎪⎝⎭的图象; ∵所得图象关于y 轴对称,∴62k ωππφπ-+=+,k Z ∈.∵()1sin sin 2f ππφφω⎛⎫=-=+=-⎪⎝⎭,即1sin 2φ=,26ππφφ<=,. ∴63k ωπππ-=+,620k ω=-->, 则当ω取最小值时,取1k =-,可得4ω=,∴函数()f x 的解析式为()sin 46f x x π⎛⎫=+⎪⎝⎭. 故选C .【点睛】本题主要考查函数()sin y A x ωφ=+的图象变换规律,正弦函数的性质,属于中档题.16.已知曲线1:sin C y x =,21:cos 23C y x π⎛⎫=-⎪⎝⎭,则下面结论正确的是( ) A .把1C 上各点的横坐标缩短到原来的12倍,纵坐标不变,再把得到的曲线向右平移3π个单位长度,得到曲线2CB .把1C 上各点的横坐标伸长到原来的2倍,纵坐标不变,再把得到的曲线向右平移3π个单位长度,得到曲线2CC .把1C 上各点的横坐标缩短到原来的12倍,纵坐标不变,再把得到的曲线向左平移3π个单位长度,得到曲线2CD .把1C 上各点的横坐标伸长到原来的2倍,纵坐标不变,再把得到的曲线向左平移3π个单位长度,得到曲线2C【答案】D【解析】【分析】根据三角函数的周期变换和左右平移变换依次得到各选项中所得的函数解析式,从而得到正确选项.【详解】 A 中,将sin y x =横坐标缩短到原来的12倍得:sin 2y x =;向右平移3π个单位长度后得:2sin 2sin 2sin 2cos 233266y x x x x πππππ⎛⎫⎛⎫⎛⎫⎛⎫=-=-=--=-- ⎪ ⎪ ⎪ ⎪⎝⎭⎝⎭⎝⎭⎝⎭,A 错误; B 中,将sin y x =横坐标伸长到原来的2倍得:1sin2y x =;向右平移3π个单位长度后得:11121sinsin cos cos 232622632y x x x x πππππ⎡⎤⎛⎫⎛⎫⎛⎫⎛⎫=-=-=--=- ⎪ ⎪ ⎪ ⎪⎢⎥⎝⎭⎝⎭⎝⎭⎝⎭⎣⎦,B 错误; C 中,将sin y x =横坐标缩短到原来的12倍得:sin 2y x =;向左平移3π个单位长度后得:2sin 2sin 2sin 2cos 233266y x x x x πππππ⎛⎫⎛⎫⎛⎫⎛⎫=+=+=++=+ ⎪ ⎪ ⎪ ⎪⎝⎭⎝⎭⎝⎭⎝⎭,C 错误; D 中,将sin y x =横坐标伸长到原来的2倍得:1sin2y x =;向左平移3π个单位长度后得:1111sinsin cos cos 232622623y x x x x πππππ⎡⎤⎛⎫⎛⎫⎛⎫⎛⎫=+=+=-+=- ⎪ ⎪ ⎪ ⎪⎢⎥⎝⎭⎝⎭⎝⎭⎝⎭⎣⎦,D 正确. 故选:D【点睛】 本题考查三角函数的周期变换和平移变换的问题,关键是能够准确掌握变换原则,得到变换后的函数解析式.17.函数()sin())f x x x ωϕωϕ=+++(ω>0)的图像过点(1,2),若f (x )相邻的两个零点x 1,x 2满足|x 1-x 2|=6,则f (x )的单调增区间为( )A .[-2+12k ,4+12k](k ∈Z )B .[-5+12k ,1+12k](k ∈Z )C .[1+12k ,7+12k](k ∈Z )D .[-2+6k ,1+6k](k ∈Z ) 【答案】B【解析】【分析】由题意得()23f x sin x πωϕ⎛⎫=++ ⎪⎝⎭,根据相邻两个零点满足126x x -=得到周期为12T =,于是可得6π=ω.再根据函数图象过点()1,2求出2()k k Z ϕπ=∈,于是可得函数的解析式,然后可求出单调增区间.【详解】由题意得()()()23f x sin x x sin x πωϕωϕωϕ⎛⎫=++=++ ⎪⎝⎭, ∵()f x 相邻的两个零点1x ,2x 满足126x x -=,∴函数()f x 的周期为12T =, ∴6π=ω, ∴()263f x sin x ππϕ⎛⎫=++ ⎪⎝⎭.又函数图象过点()1,2, ∴2222632sin sin cos πππϕϕϕ⎛⎫⎛⎫++=+== ⎪ ⎪⎝⎭⎝⎭, ∴cos 1ϕ=,∴2()k k Z ϕπ=∈,∴()263f x sin x ππ⎛⎫=+⎪⎝⎭. 由22,2632k x k k Z ππππππ-+≤+≤+∈, 得512112,k x k k Z -+≤≤+∈, ∴()f x 的单调增区间为[]()512,112k k k Z -++∈.故选B .【点睛】解答本题的关键是从题中所给的信息中得到相关数据,进而得到函数的解析式,然后再求出函数的单调递增区间,解体时注意整体代换思想的运用,考查三角函数的性质和应用,属于基础题.18.已知向量m =r (1,cosθ),(sin ,2)n θ=-r ,且m r ⊥n r,则sin 2θ+6cos 2θ的值为( )A .12B .2C .D .﹣2 【答案】B【解析】【分析】根据m r ⊥n r 可得tanθ,而sin 2θ+6cos 2θ22226sin cos cos sin cos θθθθθ+=+,分子分母同除以cos 2θ,代入ta nθ可得答案.【详解】 因为向量m =r (1,cosθ),n =r (sinθ,﹣2), 所以sin 2cos m n θθ⋅=-u r r 因为m r ⊥n r ,所以sin 2cos 0θθ-=,即tanθ=2,所以sin 2θ+6cos 2θ22222626226141sin cos cos tan sin cos tan θθθθθθθ++⨯+====+++ 2. 故选:B.【点睛】 本题主要考查平面向量的数量积与三角恒等变换,还考查运算求解的能力,属于中档题.19.化简21sin 352sin 20︒︒-=( )A .12B .12-C .1-D .1【答案】B【解析】【分析】利用降次公式和诱导公式化简所求表达式,由此求得正确结论.【详解】 依题意,原式1cos7011cos701sin 20122sin 202sin 202sin 202--==-⨯=-⨯=-o o o o o o ,故选B. 【点睛】本小题主要考查三角函数降次公式,考查三角函数诱导公式,属于基础题.20.在三棱锥P ABC -中,PA ⊥平面ABC ,2π,43BAC AP ∠==,AB AC ==P ABC -的外接球的表面积为( ) A .32πB .48πC .64πD .72π 【答案】C【解析】【分析】先求出ABC V 的外接圆的半径,然后取ABC V 的外接圆的圆心G ,过G 作//GO AP ,且122GO AP ==,由于PA ⊥平面ABC ,故点O 为三棱锥P ABC -的外接球的球心,OA 为外接球半径,求解即可.【详解】 在ABC V中,AB AC ==23BAC π∠=,可得6ACB π∠=, 则ABC V的外接圆的半径π2sin 2sin 6AB r ACB ===ABC V 的外接圆的圆心G ,过G 作//GO AP ,且122GO AP ==, 因为PA ⊥平面ABC ,所以点O 为三棱锥P ABC -的外接球的球心,则222OA OG AG =+,即外接球半径4R ==,则三棱锥P ABC -的外接球的表面积为24π4π1664πR =⨯=.故选C.【点睛】本题考查了三棱锥的外接球表面积的求法,考查了学生的空间想象能力,属于中档题.。
3 三角函数大题压轴题练习1.已知函数 f (x ) = cos(2x - ) + 2 s in(x - ) sin(x + )3 4 4(Ⅰ)求函数 f (x ) 的最小正周期和图象的对称轴方程(Ⅱ)求函数 f (x ) 在区间[- , ] 上的值域12 2解:(1)Q f (x ) = cos(2x - ) + 2 s in(x - ) sin(x + )3 4 4= 1 cos 2x + 3sin 2x + (sin x - cos x )(sin x + cos x ) 2 2= 1 cos 2x + 3sin 2x + sin 2 x - cos 2 x 2 2= 1 cos 2x + 3sin 2x - cos 2x 2 2= sin(2x -∴周 周6 T = 2 = 2 k由2x - = k + (k ∈ Z ), 周 x = + (k ∈ Z )6 2 2 3∴函数图象的对称轴方程为 x = k + ∈ Z )35(2)Q x ∈[- , ],∴ 2x - ∈[- , ]12 2 6 3 6因为 f (x ) = sin(2x - ) 在区间[- , ] 上单调递增,在区间[ , ] 上单调递减,6 12 3 3 2所以 当 x = 时, f (x ) 取最大值 13 1 又 Q f (- ) = - < f ( ) = ,当 x = - 时, f (x ) 取最小值- 12 2 2 2 12 2所以 函数 f (x ) 在区间[- , ] 上的值域为[-12 2 ,1]22. 已知函数 f (x ) = sin 2x +3 sin x sin ⎛x + π ⎫ (> 0 )的最小正周期为π .2 ⎪ ⎝ ⎭(Ⅰ)求的值;3 3 )(k⎥ ⎝ ⎭ 2(Ⅱ)求函数 f (x ) 在区间⎡0 2π ⎤ 上的取值范围.⎢ , ⎥⎣3 ⎦1- cos 2x 解:(Ⅰ) f (x ) =+ sin 2x = sin 2x - 1cos 2x + 1 2 2= sin ⎛ 2x - π ⎫ + 1 .22 26 ⎪ 2 ⎝⎭因为函数 f (x ) 的最小正周期为π ,且> 0 ,2π所以= π ,解得= 1 .2(Ⅱ)由(Ⅰ)得 f (x ) = sin ⎛2x - π ⎫ + 1 .6 ⎪ 2 ⎝⎭因为0 ≤ x ≤2π,3π π 7π 所以- ≤ 2x - ≤ ,6 6 6 所以- 1 ≤sin ⎛2x - π ⎫≤1,2 6⎪ ⎝ ⎭因此0 ≤sin ⎛2x - π ⎫ + 1 ≤ 3 ,即 f (x ) 的取值范围为⎡03 ⎤ .6 ⎪ 2 2 ⎣⎢ , ⎥⎦3. 已知向量 m =(sin A ,cos A ),n = ( 3, -1) ,m ·n =1,且 A 为锐角.(Ⅰ)求角 A 的大小;(Ⅱ)求函数 f (x ) = cos 2x + 4 cos A sin x (x ∈ R ) 的值域.π π 1解:(Ⅰ) 由题意得 m g n = 3 sin A - cos A = 1, 2 s in( A - ) = 1, s in( A - ) = .6 6 2由 A 为锐角得 A - = , A =6 6 3 1(Ⅱ) 由(Ⅰ)知cos A = ,2所以 f (x ) = cos 2x + 2 sin x = 1- 2 sin 2x + 2 sin s = -2(sin x - 1 )2 + 3 .2 2因为 x ∈R ,所以sin x ∈[-1,1],因此,当sin x = 1 3 时,f (x )有最大值 . 2 2当sin x = -1时, f (x ) 有最小值-3,所以所求函数 f (x ) 的值域是⎡-3 3 ⎤, ⎣ 2 ⎦33 ⎢(0, ) g g ⎝4. 已知函数 f (x ) = A sin(x +)( A > 0,0 << π) , x ∈ R 的最大值是 1 ,其图像经过点M ⎛ π 1 ⎫⎛ π ⎫3, ⎪ .( 1 ) 求 f (x ) 的解析式; ( 2 ) 已知 ,∈ 0, ⎪ ,且 f () = , ⎝ 3 2 ⎭ f () = 12,求 f (- ) 的值.13⎝ 2 ⎭5 1【 解 析 】( 1 ) 依 题 意 有 A = 1 , 则 f (x ) = sin(x +) , 将 点 M ( , ) 代 入 得3 21 sin( +) = , 而 0 << , 5∴ += , ∴= , 故3 2 f (x ) = sin(x += cos x ;3 6 22 ( 2 ) 依 题 意 有 cos =3 , cos = 12, 而 5 13 ,∈ , 2∴sin == 4,sin = 5 = 5 , 13 f (-) = cos(-) = coscos+ sinsin = 3 ⨯ 12 + 4 ⨯ 5 = 56。
5. 已知函数 f (t ) =5 13 5 13 65, g (x ) = cos x ⋅ f (sin x ) + sin x ⋅ f (cos x ), x ∈ (, 1712(Ⅰ)将函数 g (x ) 化简成 A sin(x +) + B ( A > 0 ,> 0 ,∈[0, 2) )的形式;(Ⅱ)求函数 g (x ) 的值域.解.本小题主要考查函数的定义域、值域和三角函数的性质等基本知识,考查三角恒等变换、代数式的化简变形和运算能力.(满分 12 分)1- sin x1- cos x解:(Ⅰ) g (x ) = cos x g1+ sin x+ sin x g1+ cos x= cos x g (1- sin x )2 cos 2 x + sin x g(1- cos x )2sin 2 x= cos x 1- sin x + sin x 1- cos x .cos x sin xQ x ∈⎛ π, 17π⎤,∴ cos x = -cos x , sin x = -sin x ,12 ⎥⎦∴ g (x ) = cos x 1- sin x + sin x 1- cos xg -cos x g -sin x1-(3)2 5 1-() 13 12 2 1- t 1+ t ) ).2 2 2 4 ⎣ = sin x + cos x - 2⎛ π ⎫= 2 sin x + ⎪ - 2.⎝ ⎭ 17π 5π π 5π(Ⅱ)由π周 x ≤ 周得 周 x + ≤ .12 4 4 3⎛ 5π 3π⎤ ⎛ 3π 5π⎤Q sin t 在 4 , 2 ⎥ 上为减函数,在 2 , 3 ⎥ 上为增函数,⎝ ⎦ ⎝ ⎦5π 5π 3π π 5π ⎛ 17π⎤又sin 周 3 sin ,∴sin 4 2 ≤ sin(x + )周4 sin 4 (当 x ∈ π, 2 ⎥ ), ⎝ ⎦π π即-1 ≤ sin(x + )周 - 周∴- - 2 ≤ 2 sin(x + ) - 2周- 3周 4 2 4 故 g (x )的值域为⎡- - 2, -3). 6.(本小题满分 12 分)在∆ABC 中,角 A , B , C 所对应的边分别为 a , b , c , a = 22 sin B cos C = sin A ,求 A , B 及b , c,tanA +B + tan C2 2= 4,解:由tan A + B + tan C 2 2= 4 得cot C + tan C= 4 2 2cos C sin C ∴ 2 + 2 = 4 ∴ 1 = 4 sin C cos C sin C cos C2 2 2 2 1∴ s in C =,又C ∈(0,)25 ∴ C = ,或C =6 6由2 sin B cos C = sin A 得 2 sin B cos B = sin(B + C )即sin(B - C ) = 0 B = C =6∴ B = CA =- (B + C ) = 23 a b c 由正弦定理sin A = = sin B 得 sin C 33 3 2 3 3 ⎩b =c = a sin B= 2 3 ⨯ sin A 12 = 2327.在△ABC 中,内角 A , B , C 对边的边长分别是 a , b , c .已知c = 2, C = .3⑴若△ABC 的面积等于 ,求 a , b ;⑵若sin C + sin(B - A ) = 2 sin 2 A ,求△ABC 的面积.说明:本小题主要考查三角形的边角关系,三角函数公式等基础知识,考查综合应用三角函数有关知识的能力.满分 12 分.解析:(Ⅰ)由余弦定理及已知条件得, a 2+ b 2- ab = 4 ,1又因为△ABC 的面积等于 ,所以⎧a 2 + b 2 - ab = 4,ab sin C = 2 ,得 ab = 4 .∙∙∙∙∙∙∙∙∙∙∙∙∙∙∙∙∙∙∙∙∙∙∙∙∙∙∙∙∙∙∙∙∙4 分联立方程组⎨ab = 4, 解得 a = 2 , b = 2 . ∙∙∙∙∙∙∙∙∙∙∙∙∙∙∙∙∙∙∙∙∙∙∙∙∙∙∙∙∙∙∙∙∙∙∙∙∙∙∙∙∙∙∙∙∙∙∙∙∙∙∙∙∙∙∙∙∙∙∙∙∙∙6 分(Ⅱ)由题意得sin(B + A ) + sin(B - A ) = 4 sin A cos A ,即sin B cos A = 2 s in A c os A , ∙∙∙∙∙∙∙∙∙∙∙∙∙∙∙∙∙∙∙∙∙∙∙∙∙∙∙∙∙∙∙∙∙∙∙∙∙∙∙∙∙∙∙∙∙∙∙∙∙∙∙∙∙∙∙∙∙∙∙∙∙∙∙∙∙∙∙∙∙∙∙∙∙∙∙∙∙∙∙∙∙∙∙∙∙∙∙∙∙∙∙∙∙∙∙∙∙8 分当cos A = 0 时, A = π ,B = 2 π, a = 6, b = , 3 3当cos A ≠ 0 时,得sin B = 2 sin A ,由正弦定理得b = 2a ,⎧a 2 + b 2 - ab = 4, 2 3 4 3联立方程组⎨ ⎩b = 2a ,解得 a = , b = . 3 3所以△ABC 的面积 S = 1ab sin C =.∙∙∙∙∙∙∙∙∙∙∙∙∙∙∙∙∙∙∙∙∙∙∙∙∙∙∙∙∙∙∙∙∙∙∙∙∙∙∙∙∙∙∙∙∙∙∙∙∙∙∙∙∙∙∙∙∙∙∙∙∙∙∙∙∙∙∙∙∙∙∙∙12 分2 31. 已知函数 f (x ) = sin(x + ) + sin(x - 6 6) + cos x + a (a ∈ R , a 为常数) .(Ⅰ)求函数 f (x ) 的最小正周期;(Ⅱ)若函数 f (x ) 在[- , ]上的最大值与最小值之和为 ,求实数 a 的值.2 解:(Ⅰ)∵ f (x ) = 2 s in x cos2+ cos x + a = 63 sin x + cos x + a= 2 s in ⎛ x + ⎫ + a ............................................................. 5 分6 ⎪ ⎝ ⎭∴函数 f (x ) 的最小正周期T = 2 .................................. 7 分3 4 3 2 333 3 3 3 ⎪⎡ ⎤2 (Ⅱ)∵ x ∈ ⎢- , ⎥ ,∴ - ≤ x + ≤⎣ 2 2 ⎦3 6 3f ( x ) = f ⎛ -⎫= - + a ……9 分min 2 ⎪f max (x ) = ⎝ ⎭f ⎛⎫= 2 + a ........................ 11 分 ⎝ ⎭由题意,有(- + a ) + (2 + a ) =∴ a = -1 ................................................................ 12 分2.(本小题 12 分)已知函数 f (x ) = 2a cos 2 x + b sin x cos x -3,且f (0) = = 1 ., f ( )2 2 4 2(1)求 f (x ) 的最小正周期;(2)求 f (x ) 的单调增区间;⎧ 3⎪ f (0) = 2⎧⎪a = 解:(1)由⎨1 得⎨2 ...................3 分 ⎪ f ( ) = ⎩4 2⎪⎩b = 1 f (x ) = 3 cos 2 x + sin x cos x - = 3 cos 2x + 1sin 2x = sin(2x + ……6 分2 2 2 3故最小正周期T =(2)由2k - 2 5≤ 2x + ≤ 2k + 3 (k ∈ Z )2 得 k -12≤ x ≤ k + 12 (k ∈ Z ) 5故 f (x ) 的单调增区间为[k - 122, k + ](k ∈ Z ) 12 …………12 分→3. 已知 f (x ) = -4 cosx + 4 3a sin x cos x ,将 f (x ) 的图象按向量 b = (- ,2) 平移后,4图象关于直线 x = 对称. 12(Ⅰ)求实数 a 的值,并求 f (x ) 取得最大值时 x 的集合;(Ⅱ)求 f (x ) 的单调递增区间.→解:(Ⅰ) f (x ) = 2 3a sin 2x - 2 cos 2x - 2 ,将 f (x ) 的图象按向量 b = (-,2) 平移后4的解析式为 g (x ) = f (x + ) + 2 = 2 s in 2x + 2 43a cos 2x .… ................... 3 分333⎪ )4 + 4 c os ⎛+ ⎫ 4 ⎪ ⎝ ⎭2 ⎛ ⎫ (2 8 ) ⎝ ⎭ ⎛ ⎫ = ⎝ ⎭周 g (x ) 的图象关于直线 x =对称,12 ∴有 g (0) =,即2 3a = + 3a ,解得 a = 1 . ........................ 5 分 g ( )6则 f (x ) = 2 3 sin 2x - 2 cos 2x - 2 = 4 s in(2x - ) - 2 ......................... 6 分 6 当2x -6 = 2k + ,即 x = k + 2 时, f (x ) 取得最大值 2.… ................7 分 3因此, f (x ) 取得最大值时 x 的集合是{x x = k + , k ∈ Z }.… ............... 8 分3(Ⅱ)由2k-≤ 2x - ≤ 2k + ,解得 k - ≤ x ≤ k + . 2 6 2 6 3因此, f (x ) 的单调递增区间是[k - , k + 6 ] (k ∈ Z ) .… ................... 12 分 34. 已知向量 m = ( cos , sin ) 和 n =( (1) 求| m + n | 的最大值;(2)当| m + n | = 8- sin , cos ),∈[π,2π].时,求cos + 的值.4.解:(1) u r r m + n =u r rm + n = cos - sin+ ⎪⎝ ⎭ 2, cos + sin)=(2 分)= = 2 (4 分)∵θ∈[π,2π],∴ 5 ≤+ ≤ 9 ,∴ cos(+≤14444| m + n | max =2 2 .(6 分)u r r 8 2 ⎛ ⎫ 7 (2) 由已知 m + n = 5 , , 得 cos + 4 ⎪ = 25(8 分 )又cos + = 2+ -1 ∴ 2+16 (10 分)4 ⎪ 2 c os ( ) 2 8 cos ( ) 2 8 25 ⎝ ⎭5 9⎛ ⎫ 4 ∵θ∈[π,2π]∴ 8 ≤ + ≤ 2 8 8 ,∴ cos 2 + 8 ⎪ = - 5 .(12 分)。