共振吸声结构
- 格式:doc
- 大小:425.50 KB
- 文档页数:8
多孔吸声材料对低频声吸声性能比较差,因此往往采用共振吸声原理来解决低频声的吸收。
由于它的装饰性强,并有足够的强度,声学性能易于控制,故在建筑物中得到广泛的应用。
一、单个共振器1结构形式它是一个密闭的内部为硬表面的容器,通过一个小的开口与外面大气相联系的结构,称为核姆霍兹共振器。
单个共振器示意图2吸声原理单个共振器可看成由几个声学作用不同的声学元件所组成,开口管内及管口附件空气随声波而振动,是一个声质量元件;空腔内的压力随空气的胀缩而变化,是一个声顺元件;而空腔内的空气在一定程度内随声波而振动,也具有一定的声质量。
空气在开口壁面的振动摩擦,由于粘滞阻尼和导热的作用,会使声能损耗,它的声学作用是一个声阻。
当入射声波的频率接近共振器的固有频率时,孔颈的空气柱产生强烈振动,在振动过程中,由于克服摩擦阻力而消耗声能。
反之,当入射声波频率远离共振器固有频率时,共振器振动很弱,因此声吸收作用很小,可见共振器吸声系数随频率而变化,最高吸声系数出现在共振频率处。
3共振频率计算单个共振器对频率有较强选择性,共振频率f0可由下式求得:式中,c 为声速;S 为颈口面积,S=πr²;r 为颈口半径;V 为空腔体积;t为颈的深度,即板厚;d 为圆孔直径。
因为颈部空气柱两端附近的空气也参加振动,需要对t 进行修正,其修正值一般取0.8d。
二、穿孔板共振吸声结构1结构形式在各种薄板上穿孔并在板后设置空气层,必要时在空腔中加衬多孔吸声材料,可以组成穿孔板共振吸声结构,由于每个开口背后均有对应空腔,这一穿孔板结构即为许多并联的核姆霍兹共振器。
一般硬质纤维板、胶合板、石膏板、纤维水泥板以及钢板、铝板均可作为穿孔板结构的面板材料。
穿孔板共振吸声结构简图2吸声原理由于它是核姆霍兹共振器的组合,因此可看作是由质量和弹簧组成的一个共振系统。
当入射声波的频率和系统的共振频率一致时,穿孔板颈的空气产生激烈振动摩擦,加强了吸收效应,形成了吸收峰,使声能显著衰减;远离共振频率时,则吸收作用小。
共振吸声结构的吸声原理嘿,朋友们!今天咱来聊聊共振吸声结构的吸声原理,这可真是个有意思的玩意儿!你说声音这东西,看不见摸不着的,咋就能被吸掉呢?这就好像一个调皮的小精灵,到处乱跑,而共振吸声结构就是专门来收服它的法宝。
咱想象一下啊,共振吸声结构就像是一个特别的小房子,声音跑进去后,就像进了迷宫一样出不来啦。
这个小房子有它独特的构造,能和声音产生一种奇妙的“互动”。
其实啊,它就是利用了共振的原理。
就好比你荡秋千,只有当你推动的频率和秋千本身的摆动频率一样时,秋千才能荡得高高的。
声音也有它自己的频率呀,当共振吸声结构的固有频率和声音的频率对上号了,那可就热闹了!它们俩一碰上,就像好朋友见面一样,紧紧拥抱在一起。
这时候,声音的能量就被这个结构给吸收啦!它就像一个贪吃的小怪兽,把声音的能量一点点吃掉,让声音慢慢变弱,最后消失不见。
你说神奇不神奇?而且哦,不同的共振吸声结构还各有各的特点呢!有的像海绵一样软软的,能把声音温柔地包裹起来;有的像坚硬的盔甲,却能在和声音的“战斗”中取得胜利。
咱平时生活中也经常能看到共振吸声结构的应用呢。
比如在一些音乐厅、会议室里,那墙壁上可都有它们的身影。
它们在那里默默地工作,让我们能有一个安静、舒适的环境。
你想想,如果没有这些共振吸声结构,那音乐厅里的声音不就乱成一团啦?我们听音乐的时候不就像在嘈杂的市场里一样,啥也听不清了。
那多糟糕呀!所以说呀,共振吸声结构可真是我们生活中的好帮手呢!它们虽然不起眼,但却发挥着巨大的作用。
这不就是科技的魅力吗?通过巧妙的设计和原理的运用,让我们的生活变得更加美好。
下次你再走进那些安静的场所,可别忘了这些默默工作的共振吸声结构哦!它们就像一群无声的卫士,守护着我们的耳朵和心灵。
总之,共振吸声结构的吸声原理真的是太奇妙啦!让我们为它点赞吧!。
判断题1.一列平面波在传播过程中,横坐标不同的质点,位相一定不同。
〔×〕2.同一种吸声材料对任一频率的噪声吸声性能都是一样的。
〔×〕3.普通的加气混凝土是一种常见的吸声材料。
〔√〕4.对于双层隔声结构,当入射频率高于共振频率时,隔声效果就相当于把两个单层墙合并在一起。
〔×〕5.在声波的传播过程中,质点的振动方向与声波的传播方向是一致的,所以波的传播就是媒质质点的传播。
〔×〕6.对任何两列波在空间某一点处的复合声波来讲,其声能密度等于这两列波声能密度的简单叠加。
〔×〕7.吸声量不仅与吸声材料的吸声系数有关,而且与材料的总面积有关。
〔√〕8.吸声量不仅和房间建筑材料的声学性质有关,还和房间壁面面积有关。
〔√〕9.微孔吸声原理是我国科学家首先提出来的。
〔√〕10.微穿孔板吸声结构的理论是我国科学家最先提出来的。
〔√〕11.对室内声场来讲,吸声性能良好的吸声设施可以设置在室内任意一个地点,都可以取得理想的效果。
〔×〕12.噪声对人的干扰不仅和声压级有关,而且和频率也有关。
〔√〕13.共振结构也是吸声材料的一种。
〔√〕14.当受声点足够远时,可以把声源视为点声源。
〔√〕15.人们对不同频率的噪声感觉有较大的差异。
〔√〕16.室内吸声降噪时,不管把吸声体放在什么位置效果都是一样的。
〔×〕17.多孔吸声材料对高频噪声有较好的吸声效果。
〔√〕18.在设计声屏障时,材料的吸声系数应在0.5以上。
〔√〕19.在隔声间内,门窗的设计是非常重要的,可以在很大程度上影响隔声效果。
〔√〕20.噪声污染的必要条件一是超标,二是扰民。
〔√〕21.不同的人群对同一噪声主观感觉是不一样的。
〔√〕22.在实际工作中,低频噪声比高频噪声容易治理。
〔×〕二、填空题。
1、描述声波根本的物理量有波长、周期和频率。
2、在实际工作中,常把各种声源发出的声波简化为平面声波、球面声波和柱面声波三种理想情况。
1.吸声材料和吸声结构的分类?①多孔材料,板状材料,穿孔板,成型顶棚吸声板,膜状材料,柔性材料吸声结构:共振吸声结构,包括1。
空腔共振吸声结构,2。
薄膜,薄板共振吸声结构。
其他吸声结构:空间吸声体,强吸声结构,帘幕,洞口,人和家具,空气吸收(空气热传导性,空气的黏滞性和分子的弛豫现象,前两种比第三种的吸收要小得多)。
吸声与隔声有什么区别?吸声量与隔声量如何定义?它们与那些因素有关?答:吸声指声波在传播途径中,声能被传播介质吸收转化为热能的现象。
隔声指防止声波从构件一侧传向另一侧。
吸声量:指材料的吸声面积与其吸声系数的乘积,单位为m2。
隔声量:指建筑构件的传声损失,,单位为(dB)。
它们主要与构件的透射系数有关,和构件的反射系数和吸声系数有关。
2. 衍射的定义:当声波在传播过程中遇到障碍物的起伏尺寸与波长大小接近或更小时,将不会形成定向反射,而是声能散播在空间中,这种现象称为散射,或衍射。
影响因素:障碍物的尺寸或缝孔的宽度与波长接近或更小时,才能观察到明显的衍射现象,不是决定衍射能否发生的条件,仅是使衍射现象明显表现的条件,波长越大,越容易发生衍射现象。
3.解释“波阵面”的概念,在建筑声学中引入“声线”有什么作用?答:声波从声源发出,在某一介质内向某一方向传播,在同一时刻,声波到达空间各点的包迹面称为“波阵面”,或“波前”。
“声线”主要是可以较方便地表示出声音的传播方向;利用作图法确定反射板位置和尺寸。
波阵面为平面的称为“平面波”,波阵面为球面的称为“球面波”。
4.什么是等响线?从等响线图说明人耳对声音的感受特性。
答:等响线是指响度相同的点所组成的频谱特征曲线,从等响线图可知:1.人耳在高声压级下,对声音频率的响应较一致;2.在低声压级下,人耳对于低于1000Hz的声音和高于4000Hz的声音较不敏感,而对1000Hz~ 4000Hz的声音感受最为敏锐;3.在同一频率下,声压级提高10dB,相对响度提高一倍。
七种共振吸声结构的吸声机理介绍来源:整理⾃《噪声与振动控制⼯程⼿册》,作者:马⼤猷。
多孔吸声材料对低频声吸声性能⽐较差,因此往往采⽤共振吸声原理来解决低频声的吸收。
由于它的装饰性强,并有⾜够的强度,声学性能易于控制,故在建筑物中得到⼴泛的应⽤。
单个共振器⼀、单个共振器⼀、1结构形式它是⼀个密闭的内部为硬表⾯的容器,通过⼀个⼩的开⼝与外⾯⼤⽓相联系的结构,称为核姆霍兹共振器。
单个共振器⽰意图2吸声原理单个共振器可看成由⼏个声学作⽤不同的声学元件所组成,开⼝管内及管⼝附件空⽓随声波⽽振动,是⼀个声质量元件;空腔内的压⼒随空⽓的胀缩⽽变化,是⼀个声顺元件;⽽空腔内的空⽓在⼀定程度内随声波⽽振动,也具有⼀定的声质量。
空⽓在开⼝壁⾯的振动摩擦,由于粘滞阻尼和导热的作⽤,会使声能损耗,它的声学作⽤是⼀个声阻。
当⼊射声波的频率接近共振器的固有频率时,孔颈的空⽓柱产⽣强烈振动,在振动过程中,由于克服摩擦阻⼒⽽消耗声能。
反之,当⼊射声波频率远离共振器固有频率时,共振器振动很弱,因此声吸收作⽤很⼩,可见共振器吸声系数随频率⽽变化,最⾼吸声系数出现在共振频率处。
3共振频率计算单个共振器对频率有较强选择性,共振频率f0可由下式求得:式中,c 为声速;S 为颈⼝⾯积,S=πr²;r 为颈⼝半径;V 为空腔体积;t 为颈的深度,即板厚;d 为圆孔直径。
因为颈部空⽓柱两端附近的空⽓也参加振动,需要对t 进⾏修正,其修正值⼀般取0.8d。
穿孔板共振吸声结构⼆、穿孔板共振吸声结构⼆、1结构形式在各种薄板上穿孔并在板后设置空⽓层,必要时在空腔中加衬多孔吸声材料,可以组成穿孔板共振吸声结构,由于每个开⼝背后均有对应空腔,这⼀穿孔板结构即为许多并联的核姆霍兹共振器。
⼀般硬质纤维板、胶合板、⽯膏板、纤维⽔泥板以及钢板、铝板均可作为穿孔板结构的⾯板材料。
穿孔板共振吸声结构简图2吸声原理由于它是核姆霍兹共振器的组合,因此可看作是由质量和弹簧组成的⼀个共振系统。
第五节噪声控制技术——吸声一、材料的声学分类和吸声特性(一)、吸声材料的分类吸声材料按其吸声机理来分类,可以分成多孔性吸声材料及共振吸声结构两大类。
1.多孔性吸声材料①无机纤维材料,如玻璃棉、岩棉及其制品。
②有机纤维材料,如棉麻植物纤维及木质纤维制品(软质纤维板、木丝板等)。
③泡沫材料,如泡沫塑料和泡沫玻璃、泡沫混凝土等。
④吸声建筑材料,如膨胀珍珠岩、微孔吸声砖等。
2.共振吸声结构由于共振作用,在系统共振频率附近对入射声能具有较大的吸收作用的结构,称为共振吸声结构。
穿孔板吸声结构微穿孔板吸声结构薄板和薄膜吸声结构等。
(二)、吸声系数和吸声量1.吸声系数吸声系数定义为材料吸收的声能与入射到材料上的总声能之比,可用吸声系数来描述吸声材料或吸声结构的吸声特性。
计算式为:式中:Ei—入射声能;Ea—被材料或结构吸收的声能;Er—被材料或结构反射的声能;r—反射系数。
a=0,表示无吸声作用;a=1,表示完全吸收。
一般的材料或结构的吸声系数在0-1之间,a值越大,表示吸声性能越好,它是目前表征吸声性能最常用的参数。
吸声系数是颇率的函数,同一种材料,对于不同的频率,具有不同的吸声系数。
平均吸声系数a:中心频率125,250,500,1 000,2 000,4 000六个倍频程的吸声系数的平均值,称为平均吸声系数a。
2.吸声量吸声材料的实际吸声量按下式计算:A=aS (7-2)吸声量的单位是m2。
房间总的吸声量A可以表示为:右式第一项为所有壁面吸声量的总和,第二项是室内各个物体吸声量的总和。
二、多孔吸声材料(一)、多孔吸声材料的吸声原理内部具有无数细微孔隙,孔隙间彼此贯通,且通过表面与外界相通,当声波入射到材料表面时,一部分在材料表面上反射,一部分则透入到材料内部向前传播。
在传播过程中,引起孔隙中的空气运动,与形成孔壁的固体筋络发生摩擦,由于粘滞性和热传导效应,将声能转变为热能而耗散掉。
声波在刚性璧面反射后,经过材料回到其表面时,一部分声波透回空气中,一部分又反射回材料内部,声波的这种反复传播过程,就是能量不断转换耗散的过程,如此反复,直到平衡,这样,材料就“吸收”了部分声能。
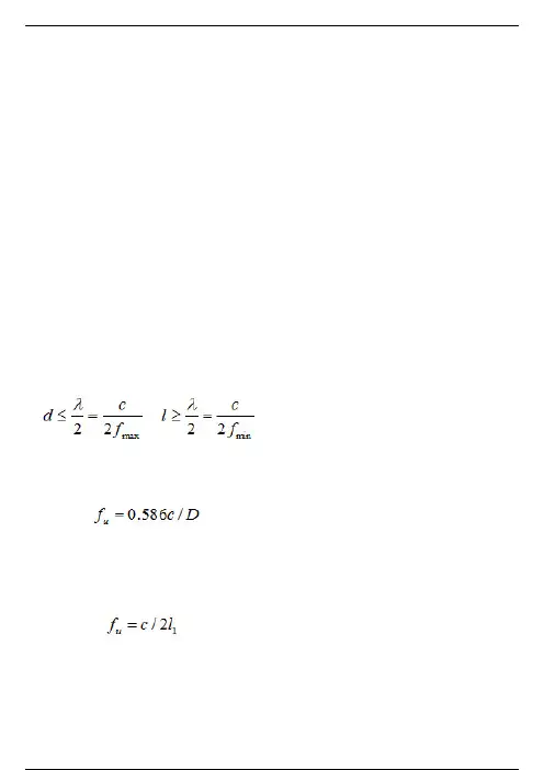
1. 吸声实验及吸声降噪房间的总吸声量:房间的平均吸声系数:降噪系数:吸声量:驻波管:对于圆形管道,上限频率:其中:D为管道截面直径,单位:m对于矩形管道,上限频率:其中:l 1 为管道最大尺寸边长,单位:m下限频率:其中:l为管道长度,单位:m房间总的吸声量:当吸收系数:时,可用 赛宾公式 :而当时,用 艾润公式 :此公式适用于频率小于1000Hz, 如果频率大于1000 Hz,需考虑空气的吸收, 赛宾—努特生 :艾润公式—努特生 :空气吸声系数4m。
房间系数:式中 (扁平房间6db/距离加倍,降噪量 3.3+2.7x分贝)。
假设房间处理前后的吸声系数为α1和α2,可得吸声处理前后室内声压差:α远小于 1的时候,可以作简单计算时可用下式计算:临界范围内,声压级表示:临界半径:扁平房间:α平顶吸声系数;距离r小于半高度h/2时,声场仍由直达声决定,距离加倍,声压级降低6DB;距离大于h/2,小于8h时,近似值为3.3+2.7α 。
2. 共振吸收结构(1) . 薄膜与薄板共振频率:Ρ 0 为空气密度,kg/m3; M 0 为膜的面密度,kg/m2。
(2) . 穿孔板共振吸声结构a. 单腔共振器的共振频率其中:S为孔颈开口面积,m2;V为空腔容积,m3;t孔颈深度,m; δ修正值,对于圆形b. 穿孔板共振吸声结构则其中:D为板后空气厚度,m;P为穿孔率(穿孔率小于20%),圆孔正方形排列圆孔等边三角形排列:狭缝平行排列P=d/B, d为孔径或缝宽,B为孔(缝)中心距。
当穿孔板用于吊顶时,背后空气层很大,其共振频率可用下式进行计算:由于空气层厚度大,在低频将出现共振吸取,若在板后设多孔材料会使中、高频也有良好的吸收。
《噪声与振动控制工程手册》微穿孔版,孔径c. 帘幕设帘幕距刚性壁的距离为L,吸收峰频率式中:L空气层厚度,m;n正整数本文有声振之家公众号根据百度文库《噪声常用公式整理》一文编辑而成。
建筑空间的围蔽结构和空间中的物体,在声波激发下会发生震动,振动着的结构和物体由于自身内摩擦和与空气的摩擦,要把一部分振动能量转变成热能而损耗。
根据能量守恒定律,这些损耗的能量都是来自激发结构和物体振动的声波能量,因此,振动结构和物体都会消耗声能,产生吸声效果。
结构和物体有各自的固有振动频率,当声波频率与结构和物体的固有频率相同时,就会发生共振现象。
这时,结构和物体的振动最强烈,振幅和振速达到极大值,从而引起能量损耗也最多。
因此,吸声系数在共振频率处为最大。
一种常有的看法认为:声场中振动着的物体,尤其是薄板和一些腔体,在共振时会“放大”声音。
这是一种误解,是把机械力激发物体振动(如乐器)向空气辐射声能时的共鸣现象和空气中声波激发物体振动时的共振现象混混肴了。
即使前者振动物体也不是真正的放大了声音,而是提高可辐射声能的效率,使机械激发力做工更有效的转化成声能,而振动物体自身还是从激发源那里吸收能量并加以损耗。
利用共振原理设计的共振吸声结构一般有两种:一种是空腔共振吸声结构,一种是薄板或薄膜吸声结构。
需要指出的是,处于声场中的所有物体都会有声波激发下产生振动,只是振动的程度强弱不同而已,有时,一些预先没有估计到的物体会产生相当大的吸声,例如大厅中包金属皮灯罩,可能在某个低频频率发生共振,因为灯多,灯罩展开面积大,结果产生不小的吸声量。
空腔共振吸声结构空腔共振吸声结构,是结构中间封闭有一定体积的空腔,并通过有一定深度的小孔和声场空间连通,其吸声机理可以用亥姆霍兹共振器来说明。
图12-4(a)为共振器示意图。
当孔的深度t和孔径d比声波波长小的多时孔径中的空气柱的弹性变形很小,可以作为质量块来处理。
封闭空腔V的体积比孔径大的多,起着空气弹簧的作用,整个系统类似图中(b)所示的弹簧振子。
当外界入射声波频率f和系统固有频率f0相等的,孔径中的空气柱就由于共振而产生剧烈振动,在振动过程中,由于空气柱和孔径侧墙摩擦而消耗声能。
五大类吸声材料及吸声结构简介五大类吸声材料及吸声结构简介1、多孔吸声材料(1)多孔吸声材料的类型包括:有机纤维材料、麻棉毛毡、无机纤维材料、玻璃棉、岩棉、矿棉,脲醛泡沫塑料,氨基甲酸脂泡沫塑料等。
聚氯乙烯和聚苯乙烯泡沫塑料不属于多孔材料,用于防震,隔热材料较适宜。
(2)构造特征:材料内部应有大量的微孔和间隙,而且这些微孔应尽可能细小并在材料内部是均匀分布的。
材料内部的微孔应该是互相贯通的,而不是密闭的,单独的气泡和密闭间隙不起吸声作用。
微孔向外敞开,使声波易于进入微孔内。
(3)吸声特性主要是高频,影响吸声性能的因素主要是材料的流阻,孔隙,结构因素、厚度、容重、背后条件的影响。
a.材料厚度的影响任何一种多孔材料的吸声系数,一般随着厚度的增加而提高其低频的吸声效果,而对高频影响不大。
但材料厚度增加到一定程度后,吸声效果的提高就不明显了,所以为了提高材料的吸声性能而无限制地增加厚度是不适宜的。
常用的多孔材料的厚度为: 玻璃棉,矿棉50—150mm毛毡4---5mm泡沫塑料25—50mmb.材料容重的影响改变材料的容重可以间接控制材料内部微空尺寸。
一般来讲,多孔材料容重的适当增加,意味着微孔的减少,能使低频吸声效果有所提高,但高频吸声性能却可能下降。
合理选择吸声材料的容重对求得最佳的吸声效果是十分重要的,容重过大或过小都会对多孔材料的吸声性能产生不利的影响。
c.背后空气层的影响多空材料背后有无空气层,对于吸声特性有重要影响。
大部分纤维板状多孔材料都是周边固定在龙骨上,离墙50—150mm距离安装。
材料空气层的作用相当于增加了材料的厚度,所以它的吸声特性随着空气层厚度增加而提高,当材料离墙面安装的距离(既空气层的厚度)等于1/4波长的奇数倍时,可获得最大的吸声系数;当空气层的厚度等于1/2波长的整数倍时,吸声系数最小。
d.材料表面装饰处理的影响大多数吸声材料在使用时常常需要进行表面装饰处理.常见的方法有:表面钻孔开槽,粉刷油漆,利用织布,穿孔板和塑料薄膜等。
吸声、隔声材料和结构浅说吸声、隔声材料和结构浅说2010-09-0209:59室内装修已成为一项独立的产业,大大小小的装饰装璜公司像雨后春笋,遍地林立。
不少装璜公司,以新风格、新材料、新工艺给室内建筑装修带来新面貌,达到了新水平。
在很多情况下,室内装修有一定的声学要求。
不仅是各类剧院、体育场馆和歌舞厅以及与声学有关的录音室、演播室等专业用房本身有一定的声学技术指标,而且凡是公共场所,一般都需要传播语言或音乐,即使是家庭用房现在也需要有良好的音乐欣赏环境。
所以室内装修工程必须重视声学要求。
如果忽视这一点,极有可能造成不良后果。
例如有一水上健身娱乐场所,地面基本上都是水面,上空是一大玻璃圆穹项,由于没有声学设计,致使厅内混响时间特别长,当有文娱表演时连报幕的话也听不清。
再如有的走廓或门厅,做得富丽堂皇、金碧辉煌,但即使是普通的谈话声或背景音乐,也在空间内久传不衰,形成令人烦恼的干扰噪声。
造成音质差的主要原因是没有科学的声学设计。
不少装饰工程公司本身没有合格的声学设计人员;有的一开始邀请声学专家做设计,以后自以为有了"经验",便大胆地把设计也承包了;有的是东抄西袭,以为找到了人家的奥秘,你做软包,我也搞软包,你用穿孔板,我也做穿孔板,实际上没有掌握真正的声学要求;也不排除有的工程技术人员懂得一些声学知识,但并不精于室内声学的原理和实践,做出了并不合格的声学装修设计。
室内声学设计是一门系统学科,涉及面较广,本文只就与室内装饰有关的吸声和隔声的材料和结构方面的知识作简单介绍,希望装饰工程人员和业主对声学材料和结构有所了解,能够理解声学设计为什么作这样那样的处理,从而使装饰工程在美观和声学要求上达到完美的统一。
1.吸声与隔声的基本概念首先要明确吸声与隔声是完全不同的两个声学概念。
吸声是指声波传播到某一边界面时,一部分声能被边界面反射(或散射),一部分声能被边界面吸收(这里不考虑在媒质中传播时被媒质的吸收),这包括声波在边界材料内转化为热能被消耗掉或是转化为振动能沿边界构造传递转移,或是直接透射到边界另一面空间。
一、名词解释1.声源:凡能产生声音的振动物体统称为声源;2.声场:空间中存在声波的区域称为声场。
3.声线:就是自声源发出的代表能量传播方向的直线,在各向同性的媒质中,声线就是代表波得传播方向且处处与波阵面垂直的直线.4.声能密度:声场中单位体积媒质所含有的声能量称为声能密度.5.瞬间声强:声场中某点处,与质点速度方向垂直的单位面积上在单位时间内通过的声能。
6.声压:通常用p来表示压强的起伏变化量,即与静态压强的差p=p-p0,称为声压7.声强:把单位时间内通过垂直于声波传播方向上单位面积的平均声能量称为声强。
单位是瓦/米2(W/m2)。
8.声功率:声源在单位时间通过某一面积的声能,单位为瓦(W)。
9.环境噪声污染:指被测试环境的噪声级超过国家或地方规定的噪声标准限值,并影响人们的正常生活、工作或学习的声音.10.频谱图:以频率为横坐标,以反映相应频率处声信号强弱的量(例如,声压、声强、声压级等)为纵坐标,即可绘出声音的频谱图.11.响度:与主观感觉的轻响程度成正比的参量,符号N,单位sone,定义为正常听着判断一个声音比响度级为40phon参考声强响的倍数,规定响度级为40phon时响度为1sone.12.工业噪声:指在工业生产活动中使用固定设备时产生的干扰周围生活环境的声音。
13.噪度(Na):在中心频率为1 kHz的倍频带上,声压级为40dB的噪声的噪度为1呐(noy)。
14.社会生活噪声:人为活动所产生的除工业噪声、建筑施工噪声和交通运输噪声之外的干扰周围生活环境的声音.15.指向性因数:在离声源中心和同距离处,测量球面上各点的声强,求的所得方向上的平均声强,将某一方向上的声强与其相比就是该方向的指向性因数。
16.等响曲线:对各个频率的声音作试听比较,得到达到同样响度级时频率与声压级的关系曲线,通常称为等响曲线.17.噪声掩蔽:由于噪声的存在,减低了人耳对另外一种声音听觉的灵敏度,使听阈发生迁移,这种现象叫做噪声掩蔽。
名词解释:4~5T1.噪声:振幅和频率紊乱,断续或统计上无规则的振荡所产生的人们不需要的声音2.单腔共振吸声材料又称亥姆霍兹共振吸声结构:它由一个刚性容积和一个连通外界的颈口组成。
空腔中的空气具有弹性,类似于一个弹簧;颈口处的小空气柱相当于质量块,组成一弹性系统。
3.声波的衍射或绕射:当声波在传播途径中遇到障碍物或者遇到带有小孔的障板时,若障碍物的尺寸或小孔的尺寸与声波的波长相比很小,则声波能够绕过障碍物或小孔的边缘前进,并引起声波传播方向的改变,称为声波的衍射或绕射。
4.声景观:是把个别声音的组合作为一个整体的声环境进行捕捉,而声环境也不是孤立的,它是整体环境的一个组成要素5.频程:可以把某一范围的频率划分成若干小的频率段,每一段以它的中心频率为代表,然后求出声信号在各频率段的中心频率上的幅值,作为它的频谱,将这频率段的划分称为频程。
6.声级计:声学测量中最常用的基本仪器,同时一种按照一定的频率计权和时间计权测量声音的声压级的仪器。
7.多孔性吸声材料:内部有许多微小的细孔直通材料表面或其内部有许多互相贯通的气泡,具有一定的通气性能,凡在结构上具有以上特性的材料都归多孔性吸声材料8.共振吸声结构:当吸声结构的固有频率域声波频率一致时,由于共振作用,声波激发吸声材料产生振动,并使共振幅达到最大,从而消耗声能量,达到吸声的目的,这种吸声结构称为共振吸声结构9.混响时间:在扩散声场中,但声源停止发声后,声压级下降60dB所需的时间,用符号T60表示,混响时间的单位为秒。
10.计权隔声量:指通过计权网络测得的隔声量。
在声源室的频谱和声级固定的情况下,以接受室测得的A声级隔声量作隔墙或构件的隔声评价。
11.吻合效应:随着弯曲波的向上传播,墙板振动将随距离的增加而越来越大,这种现象称为吻合效应12.声屏障:声波在室外传播时,在声源与受声点之间设置不透声的屏障阻断声波的直接传播,使得在接收位置的噪声得以降低,这样的屏障称为声屏障。
第2章吸声和隔声材料2-3共振吸声结构在室内声源所发出的声波的激励下,房间壁、顶、地面等围护结构以及房间 中的其他物体都将发生振动。
结构或物体有各自的固有频率,当声波频率与它们 的固有频率相同时,就会发生共振。
这时,结构或物体的振动最强烈,振幅和振 动速度都达到最大值,从而引起的能量损耗也最多,因此,吸声系数在共振频率 处为最大。
利用这一特点,可以设计出各种共振吸声结构,以更多地吸收噪声能 量,降低噪声。
—、薄膜与薄板共振吸声结构皮革、人造革、塑料薄膜等材料具有不透气、柔软、受张拉时有弹性等特性。
这些薄膜材料可与其背后封闭的空气形成共振系统。
共振频率由单位面积膜的质 量、膜后空气层厚度及膜的张力大小决定。
实际工程中,膜的张力很难控制,而 且长时间使用后膜会松驰,张力会随时间变化。
因此考虑不受张拉或张力很小的 膜,其共振频率可按下式计算:式中,Mo 为膜的单位面积质量(kg/m 2); L 为膜与刚性壁之间空气膜的厚度 (cm)o 薄膜吸声结构的共振频率通常在200〜1000Hz 范围,最大吸声系数约为 0.3〜0.4, —般把它作为中频范围的吸声材料。
当薄膜作为多孔材料的面层时,结构的吸声特性取决于膜和多孔材料的种类(3)L 心丄P”〜 --------------------以及安装方法。
一般说来,在整个频率范围内吸声系数比没有多孔材料只用薄膜 时普遍提高。
把胶合板、硬质纤维板、石膏板、石棉水泥板、金属板等板材周边固定在框 上,连同板后的封闭空气层,也构成振动系统。
这种结构的共振频率可用下式计算:式中,Qo 为空气密度,c 为空气中声速(m/s),为膜的单位面积质量(kg/m 2); L 为膜与刚性壁之间空气膜的厚度(m)。
K 为结构的刚度因素(kg/m 2s 2)o K 与板的弹性、骨架构造、安装情况有关。
对于边长为a 和比厚度为力的矩形筒支薄板,Eh~(5)其中E 为板材料的动态弹性模量(N/m 2),。
第2章 吸声和隔声材料
2.3 共振吸声结构
在室内声源所发出的声波的激励下,房间壁、顶、地面等围护结构以及房间中的其他物体都将发生振动。
结构或物体有各自的固有频率,当声波频率与它们的固有频率相同时,就会发生共振。
这时,结构或物体的振动最强烈,振幅和振动速度都达到最大值,从而引起的能量损耗也最多,因此,吸声系数在共振频率处为最大。
利用这一特点,可以设计出各种共振吸声结构,以更多地吸收噪声能量,降低噪声。
一、 薄膜与薄板共振吸声结构
皮革、人造革、塑料薄膜等材料具有不透气、柔软、受张拉时有弹性等特性。
这些薄膜材料可与其背后封闭的空气形成共振系统。
共振频率由单位面积膜的质量、膜后空气层厚度及膜的张力大小决定。
实际工程中,膜的张力很难控制,而且长时间使用后膜会松驰,张力会随时间变化。
因此考虑不受张拉或张力很小的膜,其共振频率可按下式计算:
L M L M c f 0020060021≈=ρπ (3)
式中,M 0为膜的单位面积质量(kg/m 2);L 为膜与刚性壁之间空气膜的厚度(cm)。
薄膜吸声结构的共振频率通常在200~1000Hz 范围,最大吸声系数约为0.3~0.4,一般把它作为中频范围的吸声材料。
当薄膜作为多孔材料的面层时,结构的吸声特性取决于膜和多孔材料的种类
以及安装方法。
一般说来,在整个频率范围内吸声系数比没有多孔材料只用薄膜时普遍提高。
把胶合板、硬质纤维板、石膏板、石棉水泥板、金属板等板材周边固定在框上,连同板后的封闭空气层,也构成振动系统。
这种结构的共振频率可用下式计算:
020021M K L M c f +=ρπ (4) 式中,ρ0为空气密度,c 为空气中声速(m/s),M 0为膜的单位面积质量(kg/m 2);
L 为膜与刚性壁之间空气膜的厚度(m)。
K 为结构的刚度因素(kg/m 2s 2)。
K 与板的弹性、骨架构造、安装情况有关。
对于边长为a 和b ,厚度为h 的矩形筒支薄板,
22222)1(12⎥⎥⎦
⎤⎢⎢⎣⎡⎪⎭⎫ ⎝⎛+⎪⎭⎫ ⎝⎛-=b a a Eh K ππ (5) 其中E 为板材料的动态弹性模量(N/m 2),σ为泊松比,对于一般板材在一般
构造条件下,K =1×106 ~3×106。
当板的刚度因素K 和空气层厚度L 都比较小时,则(5)式与(4)式相同,这时的薄板结构可以看成薄膜结构。
但是当L 较大,超过100cm ,(5)式根号内第一项比第二项小得多,共振频率就几乎与空气层厚度无关了。
由式(4)和式(5)式可见,薄膜和薄板共振结构的共振频率主要取决于板的面密度和背后空气层的厚度,增大M 0和L 均可以使f 0下降,实用中薄板厚度常取3~6mm ,空气层厚度一般取3~10cm ,共振频率约在80~300Hz ,故通常用于低频率吸声。
常用的薄膜、薄板结构的吸声系数见表2。
表2 薄膜共振结构的吸声系数(αo)
二、穿孔板共振吸声结构
穿孔板共振器是噪声控制中使用非常广泛的一种共振吸声结构。
为了阐述穿孔板共振吸声结构的原理,先看如下的单腔共振吸声结构。
图1 空腔共振吸声结构
单腔共振吸声结构是一个中间封闭有一定体积的空腔。
并通过有一定深度的小孔和声场空间相连。
见图1(a)。
当孔的深度t和孔径d比声波波长小得多时,孔中的空气柱的弹性形变很小,可以看作一个无形变的质量块(质点),而封闭空腔V 的体积比孔颈大得多,随声波作弹性振动,起着空气弹簧的作用。
于是整个系统
类似于图2(b)中的弹簧振子,称为亥姆霍兹共振器。
当外界入射声波频率f和系统的固有频率f0相等时,孔颈中的空气柱就由于共振而产生剧烈振动。
在振动中,空气柱和孔颈侧壁摩擦而消耗声能,从而起到了吸声的效果。
表3 薄板共振结构的吸声系数(αs)
单腔共振器的共振频率f0可用下式计算:
)
(
2
0δ
π+
=
t
V
S
c
f(6)
式中,c为声速,一般取340m/s,S为孔颈开口面积(m2),V为空腔容积(m3),t为孔颈深度(m),δ为开口末端修正量(m)。
因为颈部空气柱两端附近的空气也参加振动,所以对t加以修正,(t+δ)为小孔有效颈长。
对于直径d的圆孔,
d
d8.0
4/≈
=π
δ。
亥姆霍兹共振器的特点是吸收低频噪声并且频率选择性强。
因此多用在有明显音调的低频噪声场合。
若在口颈处加一些诸如玻璃棉之类的多孔材料,或加贴一层尼龙布等透声织物,可以增加颈口部分的摩擦阻力,增宽吸声频带。
图2 穿孔板结构
在板材上,以一定的孔径和穿孔率打上孔,背后留有一定厚度的空气层,就成为穿孔板共振吸声结构,见图2。
这种吸声结构实际上可以看作是由单腔共振吸声结构的并联而成。
穿孔板吸声结构的共振频率是:
)
8.0
(
2
0d
t
L
P
c
f
+
=
π(7) 式中,c为声速(m/s),L为板后空气层厚度(m),t为板厚(m),d为孔径(m)。
P 为穿孔率,即穿孔面积与总面积之比。
圆孔正方形排列时, 224/B d P π=,
圆孔等边三角形排列时,2232/B d P π=。
其中d 为孔径,B 为孔中心距。
由(6)、(7)式可知,板的穿孔面积越大,吸声的频率越高。
空腔越深或板越厚,吸声的频率越低。
一般穿孔板吸声结构主要用于吸收低中频噪声的峰值。
吸声系数约为0.4~0.7。
工程上一般取板厚2~5mm ,孔径2~4mm ,穿孔率1%~10%,空腔深(即板后空气层厚度)以10~25cm 为宜。
尺寸超以上范围,多有不良影响,例如穿孔率在20%以上时,几乎没有共振吸声作用,而仅仅成为护面板了。
在确定穿孔板共振吸声结构的主要尺寸后,可制作模型在实验室测定其吸声系数,或根据主要尺寸查阅手册,选择近似或相近结构的吸声系数,再按实际需要的减噪量,计算应铺设吸声结构的面积。
图3是填充多孔材料前后吸声特性的比较。
填充多孔材料后,不仅提高了穿孔板的吸声系数。
而且展宽了有效吸声频带宽度。
为展宽吸声频带,还可以采用不同穿孔率、不同腔深的多层穿孔板吸声结构的组合。
图3 穿孔板共振结构的吸声特性
(1)背后空气层内不填多孔吸声材料
(2)背后空气层内填25-50mm 厚玻璃棉吸声材料
三、微穿孔板吸声结构
在板厚度小于1.0mm薄板上穿以孔径小于1.0mm的微孔,穿孔率在1%~5%之间,后部留有一定厚度(如5~20cm)的空气层。
空气层内不填任何吸声材料。
这样即构成了微穿孔板吸声结构。
常用单层或双层微穿孔板结构形式。
微穿孔板吸声结构是一种低声质量,高声阻的共振吸声结构,其性能介于多孔吸声材料和共振吸声结构之间。
其吸声频率宽度可优于常规的穿孔板共振吸声结构。
一般性能较好的单层或双层微穿孔板吸声结构的吸声频带宽度可以达到6~10个1/3倍频程以上。
在实际工程中为了扩大吸声频带宽度,往往采用不同孔径,不同穿孔率的双层或多层微穿孔板复合结构。
微穿孔板可用铝板、钢板、镀锌板、不锈钢板、塑料板等材料制作。
由于微穿孔板后的空气层内无需填装多孔吸声材料,因此不怕水和潮气,不霉、不蛀、防火、耐高温、耐腐蚀、清洁无污染,能承受高速气流的冲击,因此,微穿孔板吸声结构在吸声降噪和改善室内音质方面有着十分广泛的应用。
例子:德国新议会大厦会议大厅为玻璃墙面建成的圆形建筑物,耗资2.7亿马克,但建成后由于声学缺陷(声聚焦和声场不均匀)而无法使用。
德方请了许多专家都没有解决。
1993年一位中国访问学者根据微穿孔理论,在5mm厚的有机玻璃板一用激光穿出直径0.55mm,孔距为6mm的微孔(穿孔率1.4%左右)装于原玻璃墙内侧,成功地解决了这一声学缺陷问题。
四、薄塑盒式吸声体
薄塑盒式吸声体也称无规共振吸声结构。
是由改性的聚氯乙烯塑料薄片成型制成,外形像个塑料盒扣在塑料基片上。
其截面形状如图4。
当声波入射时,盒体的各个表面受迫作弯曲振动,由于塑料薄片弯曲劲变的
作用,薄片将产生许多振动模式,这些模式取决于它的边界条件,在振动过程中,薄片自身的阻尼作用将部分声能转换为热能。
从而起到了吸声的作用。
图4 薄塑盒式吸声体剖面图
这种结构的吸声特性,和薄片厚度、内腔变化、断面形状及结构后面的空气层厚度等因素有关。
塑料薄片的厚度直接影响结构吸声性能的变化。
在保证强度的条件下,面层薄片以薄为宜,有利于高频吸收,而适当增加基片厚度,可以改善低频吸声效果。
结构的断面形式可采用单腔、双腔和多腔结构。
使之适应不同的吸声频率特性,恰当地组合内腔可以有效地展宽结构的吸声频率范围,增大结构内腔的容积可以稳定结构在高频范围内的吸声特性。
在结构背后留有空气层,有利于提高低频段的声吸收。
一般地说,空气越厚低频吸收频带越宽。
在一块基片上进行多个单元结构的组合,使各单元的共振频率无规地分散开。
这种结构可以在相当范围内有较高的吸声系数。
而且,它还具有结构轻、耐腐蚀、易冲洗等优点,因此是一种很有发展前途的吸声结构。