初一年级奥数一元一次方程试题
- 格式:docx
- 大小:37.51 KB
- 文档页数:3
第3讲一元一次方程——练习题一、解答题1. 解下列方程:(1)3x+2=2x-5(2)3(2x+1)=4(x-3)(3)(4)(5)(6)2. 解下列关于x的方程(1)4mx−3=2x+6(2)4x+b=ax−8(3)(4)3.已知关于x的方程3a(x+2)=(2b-1)x+5有无数多个解,求a与b的值.4.已知关于x的方程3x-3=2a(x+1)无解,试求a的值.5. 解下列关于x的方程(1)(2)6.已知方程ax+3=2x-b有两个不同的解,试求的值.7.若方程(a+1)x2-3ax+2a+17=0为一元一次方程,试求它的解.8.求自然数,使得答案解析部分一、解答题1.【答案】(1)解:移项得:3x-2x=-5-2,合并同类项得:x=-7.(2)解:去括号得:6x+3=4x-12,移项得:6x-4x=-12-3.合并同类项得:2x=-15,系数化为1得:x=-.(3)解:去分母得:2(4-3x)=3(5x-6),r 去括号得:8-6x=15x-18,移项得:-6x-15x=-18-8,合并同类项得:-21x=-26,系数化为1得:x=.(4)解:移项得:x-x=-,合并同类项得:-x=,系数化为1得:x=-.(5)解:去分母得:12x-4(x-2)=2【x-(3x+1)】,去括号得:12x-4x+8=2x-3x-1,移项得:12x-4x-2x+3x=-1-8,合并同类项得:9x=-9,系数化为1得:x=-1.(6)解:去括号得:【(x-1-2)-2】-2=2,(x--2)-2=2,x--2=2 ,移项得:x=2+2+,合并同类项得:x=,系数化为1得:x=92.【解析】【分析】(1)根据解一元一次方程的步骤:移项——合并同类项即可解方程.(2)根据解一元一次方程的步骤:去括号——移项——合并同类项——系数化为1即可解方程. (3)根据解一元一次方程的步骤:去分母——去括号——移项——合并同类项——系数化为1即可解方程.(4)根据解一元一次方程的步骤:移项——合并同类项——系数化为1即可解方程.(5)根据解一元一次方程的步骤:去分母——去括号——移项——合并同类项——系数化为1即可解方程.(6)根据解一元一次方程的步骤:去括号(先小括号,再总括号,最后大括号原则)——移项——合并同类项——系数化为1即可解方程.2.【答案】(1)解:移项得:4mx−2x=6+3,合并同类项得:(4m-2)x=9,当4m-2=0时,即m=时,方程无解;当4m-2≠0时,即m≠时,x=.(2)解:移项得:4x-ax=−8-b合并同类项得:(4-a)x=-8-b,当4-a=0,-8-b≠0时,即a=4,b≠-8时,方程无解;当4-a=0,-8-b=0时,即a=4,b=-8时,任意实数都是方程的解;当4-a≠0时,即a≠4时,x=.(3)解:移项得:2x-3ax=4-9a2,合并同类项得:(2-3a)x=(2+3a)(2-3a),当2-3a≠0时,即a≠时,x=2+3a;当2-3a=0时,即a=时,任意实数都是方程的解.(4)解:去分母得:3m(x+n)=2(x+2),去括号得:3mx+3mn=2x+4,移项得:3mx-2x=4-3mn,合并同类项得:(3m-2)x=4-3mn,当3m-2=0,4-3mn≠0时,即m=,n≠2时,方程无解;当3m-2=0,4-3mn=0时,即m=,n=2时,任意实数都是方程的解;当3m-2≠0时,即m≠时,x=.【解析】【分析】(1)根据解一元一次方程的步骤:移项——合并同类项,再对一次项系数分情况讨论:①当4m-2=0,②当4m-2≠0,从而得出答案.(2)根据解一元一次方程的步骤:移项——合并同类项,再对一次项系数分情况讨论:①当4-a=0,-8-b≠0时,②当4-a=0,-8-b=0时,③当4-a≠0时,从而得出答案.(3)根据解一元一次方程的步骤:移项——合并同类项,再对一次项系数分情况讨论:①当2-3a≠0时,②2-3a=0时,从而得出答案.(4)根据解一元一次方程的步骤:去分母——去括号——移项——合并同类项,再对一次项系数分情况讨论:①当3m-2=0,4-3mn≠0时,②当3m-2=0,4-3mn=0时,③当3m-2≠0时,从而得出答案3.【答案】解:去括号得:3ax+6a=(2b-1)x+5,移项得:3ax-(2b-1)x=5-6a,合并同类项得:(3a-2b+1)x=5-6a,∵方程有无数个解,∴,解得:.∴a=,b=.【解析】【分析】根据解一元一次方程的步骤:去括号——移项——合并同类项,再由方程有无数个解,从而得出一个关于a和b的二元一次方程组,解之即可得出答案.4.【答案】解:去括号得:3x-3=2ax+2a,移项得:3x-2ax=2a+3,合并同类项得:(3-2a)x=2a+3,∵方程无解,∴3-2a=0,∴a=.【解析】【分析】根据解一元一次方程的步骤:去括号——移项——合并同类项,再根据方程无解可得3-2a=0,解之即可得a的值.5.【答案】(1)解:去括号得:m2-m2x=mx+1,移项得:mx+m2x=m2-1,合并同类项得:m(m+1)x=(m+1)(m-1),当m=0时,方程无解;当m+1=0时,即m=-1,任意实数都是方程的解;当m≠0且m+1≠0时,即m≠0且m=-1时,x=.(2)解:m(m+n)x=n(m+n),当m+n=0时,任意实数都是方程的解;当m+n≠0,m=0时,方程无解;当m+n≠0,m≠0时,x=;【解析】【分析】(1)根据解一元一次方程的步骤:去括号——移项——合并同类项,再分情况讨论:①当m=0时;②当m+1=0时;③当m≠0且m+1≠0时,从而得出答案.(2)先化简一元一次方程,再分情况讨论:①当m+n=0时;②当m+n≠0时,即当m=0,n≠0时;从而得出答案.6.【答案】解:移项得:ax-2x=-b-3,合并同类项得:(2-a)x=b+3,∵方程有两个不同的解,∴,解得:,∴( a + b ) 2007 =(2-3)2007=-1.【解析】【分析】根据解一元一次方程的步骤:移项——合并同类项,再根据方程有两个不同的解得2-a=0,b+3=0,解之即可.7.【答案】解∵方程为一元一次方程,∴a+1=0,∴a=-1,∴3x-2+17=0,移项得:3x=-17+2,合并同类项得:3x=-15,系数化为1得:x=-5.【解析】【分析】根据一元一次方程的定义可求出a的值,再将a的值代入方程解之即可得出方程的解.8.【答案】解:设自然数,∴12×(2×10n+1+10x+1)=21×(1×10n+1+10x+2),4×(2×10n+1+10x+1)=7×(1×10n+1+10x+2),8×10n+1+40x+4=7×10n+1+70x+14,30x=10n+1-10,x=×(10n-1)(n个9),∴x=333……3(n个3).【解析】【分析】设那个自然数为x,根据数位的特征写出式子,计算解出x即可.。
初一奥数 一元一次方程(一)例1 当m 为何值时,关于x 的方程()43432372m m x x x x --+=+-是一元一次方程.例2(1)下列的判断中正确的是( )(A )方程231x -=与方程()23x x x -=同解;(B )方程231x -=与方程()23x x x -=没有相同的解; (C )方程()23x x x -=的解都是方程231x -=的解;(D )方程231x -=的解是方程()23x x x -=的解.(2)有四个关于x 的方程:①21x -=-; ②()()()2111x x x -+-=-+-;③ 0x =; ④()112111x x x -+=-+--. 其中同解的两个方程是( ).(A )①② (B) ①③ (C) ①④ (D) ② ④例3 解方程(1)111233234324x x x x ⎧⎫⎡⎤⎪⎛⎫-----=+⎨⎬ ⎪⎢⎥⎝⎭⎣⎦⎪⎭⎩;(2)0.4 2.10.50.20.60.50.03x x+--=;(3)()}{32132135x x ----=⎡⎤⎣⎦;(4)()()()9152213171732x x x ++-+-+--=.例4 已知方程112[(1)]()223x kx x k --=-的解为12x =.求代数式221k k ++的值.例5 已知关于x 的方程2236kx a x bk+-=+,无论k 为何实数值都有1x =的解,求,a b 的值.例6 已知22(1)(1)80m x m x --++=是关于x 的一次方程,求代数式199()(2)m x x m m +-+的值.例7 求最小的正整数a 使关于x 的方程4214035x a x -=+有正整数解.课后作业: 1. 已知12x =是方程2250mx x +-=的解,求m .2. 已知,x y 满足235x y +=.当4x =时,求代数式22312x xy y ++的值.3. 规定(,)(,)(,)a b c d a c b d *=-+,又(,)(3,2)(3,2)x y *=,求(,)(,)x y y x *.4. 解方程(1) 34113[()8]1;43242x x --=+(2) 11072331.322x xx x x +----=-5. 已知方程22(1)(1)80m x m x --++=是关于x 的一次方程,求代数式199()(2)9m x x m m +-+的值.初一奥数 一元一次方程(二)例1 解关于x 的方程22mnx n mn m x -=-.例2 若a b cx b c c a a b===+++,求x 的值.例3 已知关于x 的方程2(3)15(23)326kx x +++=有无穷多个解,求k 的值.例4 已知x 关于的方程3[2()]43ax x x --=和3151128x a x+--=有相同的解0x ,则0x 的值是多少?例5 已知,,a b c 都是已知数,且111111()()()3a b c b c c a a b +++++=-,且0a b c ++≠,求111a b c++的值.例6 已知关于x 的方程2236kx a x bk+-=+,无论k 为何实数值,它总有1x =的解,求方程1ax b bx +=+的解.例7 设,,a b c 为正数,解关于x 的方程3.x a x b x c xb c c a a b a b c---++=+++++1. 解下列关于的方程(1)1;mx nx -= (2)21(1).a x a x +=+2. 为a 何值时,方程1(12)326x x a x +=--有无穷多个解、无解? 3. 设1110a b c ++≠,解关于x 的方程3x a b x b c x c ac a b------++=.4. 关于x 的方程(1)27a x x -=-有正实数解,求a 的取值范围.。
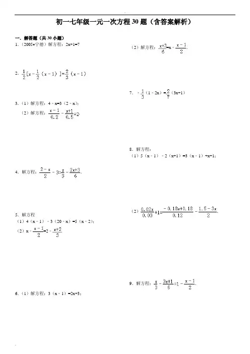
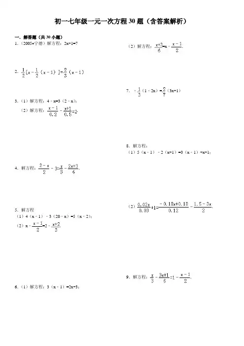
初一七年级一元一次方程30题(含答案解析)一.解答题(共30小题)1.(2005•宁德)解方程:2x+1=72.3.(1)解方程:4﹣x=3(2﹣x);(2)解方程:.4.解方程:.5.解方程(1)4(x﹣1)﹣3(20﹣x)=5(x﹣2);(2)x ﹣=2﹣.6.(1)解方程:3(x﹣1)=2x+3;(2)解方程:=x ﹣.7.﹣(1﹣2x)=(3x+1)8.解方程:(1)5(x﹣1)﹣2(x+1)=3(x﹣1)+x+1;(2).9.解方程:.10.解方程:(1)4x﹣3(4﹣x)=2;(2)(x﹣1)=2﹣(x+2).11.计算:(1)计算:(2)解方程:12.解方程:13.解方程:(1)(2)14.解方程:(1)5(2x+1)﹣2(2x﹣3)=6 (2)+2(3)[3(x ﹣)+]=5x﹣115.(A类)解方程:5x﹣2=7x+8;(B 类)解方程:(x﹣1)﹣(x+5)=﹣;(C 类)解方程:.16.解方程(1)3(x+6)=9﹣5(1﹣2x)(2)(3)(4)17.解方程:(1)解方程:4x﹣3(5﹣x)=13 (2)解方程:x ﹣﹣3 18.(1)计算:﹣42×+|﹣2|3×(﹣)3(2)计算:﹣12﹣|0.5﹣|÷×[﹣2﹣(﹣3)2](3)解方程:4x﹣3(5﹣x)=2;(4)解方程:.19.(1)计算:(1﹣2﹣4)×;(2)计算:÷;(3)解方程:3x+3=2x+7;(4)解方程:.20.解方程(1)﹣0.2(x﹣5)=1;(2).21.解方程:(x+3)﹣2(x﹣1)=9﹣3x.22.8x﹣3=9+5x.5x+2(3x﹣7)=9﹣4(2+x)...23.解下列方程:(1)0.5x﹣0.7=5.2﹣1.3(x﹣1);(2)=﹣2.24.解方程:(1)﹣0.5+3x=10;(2)3x+8=2x+6;(3)2x+3(x+1)=5﹣4(x﹣1);(4).25.解方程:.26.解方程:(1)10x﹣12=5x+15;(2)27.解方程:(1)8y﹣3(3y+2)=7 (2).28.当k 为什么数时,式子比的值少3.29.解下列方程:(I)12y﹣2.5y=7.5y+5(II ).30.解方程:.6.2.4解一元一次方程(三)参考答案与试题解析一.解答题(共30小题)1.(2005•宁德)解方程:2x+1=7考点:解一元一次方程.专题:计算题;压轴题.分析:此题直接通过移项,合并同类项,系数化为1可求解.解答:解:原方程可化为:2x=7﹣1合并得:2x=6系数化为1得:x=3点评:解一元一次方程,一般要通过去分母,去括号,移项,合并同类项,未知数的系数化为1等步骤,把一个一元一次方程“转化”成x=a的形式.2.考点:解一元一次方程.专题:计算题.分析:这是一个带分母的方程,所以要先去分母,再去括号,最后移项,化系数为1,从而得到方程的解.解答:解:左右同乘12可得:3[2x﹣(x﹣1)]=8(x﹣1),化简可得:3x+3=8x﹣8,移项可得:5x=11,解可得x=.故原方程的解为x=.点评:若是分式方程,先同分母,转化为整式方程后,再移项化简,解方程可得答案.3.(1)解方程:4﹣x=3(2﹣x);(2)解方程:.考点:解一元一次方程.专题:计算题.分析:(1)先去括号,然后再移项、合并同类型,最后化系数为1,得出方程的解;(2)题的方程中含有分数系数,应先对各式进行化简、整理,然后再按(1)的步骤求解.解答:解:(1)去括号得:4﹣x=6﹣3x,移项得:﹣x+3x=6﹣4,合并得:2x=2,系数化为1得:x=1.(2)去分母得:5(x﹣1)﹣2(x+1)=2,去括号得:5x﹣5﹣2x﹣2=2,移项得:5x﹣2x=2+5+2,合并得:3x=9,系数化1得:x=3.点评:(1)本题易在去分母、去括号和移项中出现错误,还可能会在解题前产生害怕心理.因为看到小数、分数比较多,学生往往不知如何寻找公分母,怎样合并同类项,怎样化简,所以我们要教会学生分开进行,从而达到分解难点的效果.(2)本题的另外一个重点是教会学生对于分数的分子、分母同时扩大或缩小若干倍,值不变.这一性质在今后常会用到.4.解方程:.考点:解一元一次方程.专题:计算题.分析:此题两边都含有分数,分母不相同,如果直接通分,有一定的难度,但将方程左右同时乘以公分母6,难度就会降低.解答:解:去分母得:3(2﹣x)﹣18=2x﹣(2x+3),去括号得:6﹣3x﹣18=﹣3,移项合并得:﹣3x=9,∴x=﹣3.点评:本题易在去分母和移项中出现错误,学生往往不知如何寻找公分母,怎样合并同类项,怎样化简,所以我们要教会学生分开进行,从而达到分解难点的效果.5.解方程(1)4(x﹣1)﹣3(20﹣x)=5(x﹣2);(2)x﹣=2﹣.考点:解一元一次方程.专题:计算题.分析:(1)先去括号,再移项、合并同类项、化系数为1,从而得到方程的解;(2)先去分母,再去括号,最后移项,化系数为1,从而得到方程的解.解答:解:(1)去括号得:4x﹣4﹣60+3x=5x﹣10(2分)移项得:4x+3x﹣5x=4+60﹣10(3分)合并得:2x=54(5分)系数化为1得:x=27;(6分)(2)去分母得:6x﹣3(x﹣1)=12﹣2(x+2)(2分)去括号得:6x﹣3x+3=12﹣2x﹣4(3分)移项得:6x﹣3x+2x=12﹣4﹣3(4分)合并得:5x=5(5分)系数化为1得:x=1.(6分)点评:去分母时,方程两端同乘各分母的最小公倍数时,不要漏乘没有分母的项,同时要把分子(如果是一个多项式)作为一个整体加上括号.去括号时要注意符号的变化.6.(1)解方程:3(x﹣1)=2x+3;(2)解方程:=x﹣.考点:解一元一次方程.专题:计算题.分析:(1)是简单的一元一次方程,通过移项,系数化为1即可得到;(2)是较为复杂的去分母,本题方程两边都含有分数系数,如果直接通分,有一定的难度,但对每一个式子先进行化简、整理为整数形式,难度就会降低.解答:解:(1)3x﹣3=2x+33x﹣2x=3+3x=6;(2)方程两边都乘以6得:x+3=6x﹣3(x﹣1)x+3=6x﹣3x+3x﹣6x+3x=3﹣3﹣2x=0∴x=0.点评:本题易在去分母、去括号和移项中出现错误,还可能会在解题前不知如何寻找公分母,怎样合并同类项,怎样化简,所以要学会分开进行,从而达到分解难点的效果.去分母时,方程两端同乘各分母的最小公倍数时,不要漏乘没有分母的项,同时要把分子(如果是一个多项式)作为一个整体加上括号.7.﹣(1﹣2x)=(3x+1)考点:解一元一次方程.专题:计算题.分析:这是一个带分母的方程,所以要先去分母,再去括号,最后移项,化系数为1,从而得到方程的解.解答:解:﹣7(1﹣2x)=3×2(3x+1)﹣7+14x=18x+6﹣4x=13x=﹣.点评:解一元一次方程的一般步骤是去分母、去括号、移项、合并同类项和系数化为1.此题去分母时,方程两端同乘各分母的最小公倍数时,不要漏乘没有分母的项,同时要把分子(如果是一个多项式)作为一个整体加上括号.8.解方程:(1)5(x﹣1)﹣2(x+1)=3(x﹣1)+x+1;(2).考点:解一元一次方程.专题:计算题.分析:(1)可采用去括号,移项,合并同类项,系数化1的方式进行;(2)本题方程两边都含有分数系数,如果直接通分,有一定的难度,但对每一个式子先进行化简、整理为整数形式,难度就会降低.解答:解:(1)5(x﹣1)﹣2(x+1)=3(x﹣1)+x+13x﹣7=4x﹣2∴x=﹣5;(2)原方程可化为:去分母得:40x+60=5(18﹣18x)﹣3(15﹣30x),去括号得:40x+60=90﹣90x﹣45+90x,移项、合并得:40x=﹣15,系数化为1得:x=.点评:(1)本题易在去分母、去括号和移项中出现错误,还可能会在解题前产生害怕心理.因为看到小数、分数比较多,学生往往不知如何寻找公分母,怎样合并同类项,怎样化简,所以我们要教会学生分开进行,从而达到分解难点的效果;(2)本题的另外一个重点是教会学生对于分数的分子、分母同时扩大或缩小若干倍,值不变.这一性质在今后常会用到.9.解方程:.考点:解一元一次方程.专题:计算题.分析:这是一个带分母的方程,所以要先去分母,再去括号,最后移项,化系数为1,从而得到方程的解.解答:解:,去分母得:2x﹣(3x+1)=6﹣3(x﹣1),去括号得:2x﹣3x﹣1=6﹣3x+3,移项、合并同类项得:2x=10,系数化为1得:x=5.点评:去分母时,方程两端同乘各分母的最小公倍数时,不要漏乘没有分母的项,同时要把分子(如果是一个多项式)作为一个整体加上括号.10.解方程:(1)4x﹣3(4﹣x)=2;(2)(x﹣1)=2﹣(x+2).考点:解一元一次方程.专题:计算题.分析:(1)先去括号,再移项,合并同类项,系数化1,即可求出方程的解;(2)先去分母,再去括号,移项,合并同类项,系数化1可求出方程的解.解答:解:(1)4x﹣3(4﹣x)=2去括号,得4x﹣12+3x=2移项,合并同类项7x=14系数化1,得x=2.(2)(x﹣1)=2﹣(x+2)去分母,得5(x﹣1)=20﹣2(x+2)去括号,得5x﹣5=20﹣2x﹣4移项、合并同类项,得7x=21系数化1,得x=3.点评:(1)此题主要是去括号,移项,合并同类项,系数化1.(2)方程两边每一项都要乘各分母的最小公倍数,方程两边每一项都要乘各分母的最小公倍数,切勿漏乘不含有分母的项,另外分数线有两层意义,一方面它是除号,另一方面它又代表着括号,所以在去分母时,应该将分子用括号括上.11.计算:(1)计算:(2)解方程:考点:解一元一次方程;有理数的混合运算.专题:计算题.分析:(1)根据有理数的混合运算法则计算:先算乘方、后算乘除、再算加减;(2)两边同时乘以最简公分母4,即可去掉分母.解答:解:(1)原式=,=,=.(2)去分母得:2(x﹣1)﹣(3x﹣1)=﹣4,解得:x=3.点评:解答此题要注意:(1)去分母时最好先去中括号、再去小括号,以减少去括号带来的符号变化次数;(2)去分母就是方程两边同时乘以分母的最简公分母.12.解方程:考点:解一元一次方程.专题:计算题.分析:(1)这是一个带分母的方程,所以要先去分母,再去括号,最后移项,化系数为1,从而得到方程的解.(2)解一元一次方程的一般步骤:去分母、去括号、移项、合并同类项、化系数为1.解答:解:(1)去分母得:3(3x﹣1)+18=1﹣5x,去括号得:9x﹣3+18=1﹣5x,移项、合并得:14x=﹣14,系数化为1得:x=﹣1;(2)去括号得:x﹣x+1=x,移项、合并同类项得:x=﹣1,系数化为1得:x=﹣.点评:本题考查解一元一次方程,正确掌握解一元一次方程的一般步骤,注意移项要变号、去分母时“1”也要乘以最小公倍数.13.解方程:(1)(2)考点:解一元一次方程.专题:计算题.分析:(1)去分母、去括号、移项、合并同类项、化系数为1.(2)去分母、去括号、移项、合并同类项、化系数为1.解答:(1)解:去分母得:5(3x+1)﹣2×10=3x﹣2﹣2(2x+3),去括号得:15x+5﹣20=3x﹣2﹣4x﹣6,移项得:15x+x=﹣8+15,合并得:16x=7,解得:;(2)解:,4(x﹣1)﹣18(x+1)=﹣36,4x﹣4﹣18x﹣18=﹣36,﹣14x=﹣14,x=1.点评:本题考查解一元一次方程,正确掌握解一元一次方程的一般步骤,注意移项要变号、去分母时“1”也要乘以最小公倍数.14.解方程:(1)5(2x+1)﹣2(2x﹣3)=6 (2)+2(3)[3(x﹣)+]=5x﹣1考点:解一元一次方程.专题:计算题.分析:(2)通过去括号、移项、合并同类项、系数化为1,解得x的值;(3)乘最小公倍数去分母即可;(4)主要是去括号,也可以把分数转化成整数进行计算.解答:解:(1)去括号得:10x+5﹣4x+6=6移项、合并得:6x=﹣5,方程两边都除以6,得x=﹣;(2)去分母得:3(x﹣2)=2(4﹣3x)+24,去括号得:3x﹣6=8﹣6x+24,移项、合并得:9x=38,方程两边都除以9,得x=;(3)整理得:[3(x﹣)+]=5x﹣1,4x﹣2+1=5x﹣1,移项、合并得:x=0.点评:一元一次方程的解法:一般要通过去分母、去括号、移项、合并同类项、未知数的系数化为1等步骤,把一个一元一次方程“转化”成x=a的形式.解题时,要灵活运用这些步骤.15.(A类)解方程:5x﹣2=7x+8;(B类)解方程:(x﹣1)﹣(x+5)=﹣;(C类)解方程:.考点:解一元一次方程.专题:计算题.分析:通过去分母、去括号、移项、系数化为1等方法,求得各方程的解.解答:解:A类:5x﹣2=7x+8移项:5x﹣7x=8+2化简:﹣2x=10即:x=﹣5;B类:(x﹣1)﹣(x+5)=﹣去括号:x﹣﹣x﹣5=﹣化简:x=5即:x=﹣;C类:﹣=1去分母:3(4﹣x)﹣2(2x+1)=6去括号:12﹣3x﹣4x﹣2=6化简:﹣7x=﹣4即:x=.点评:本题主要考查一元一次方程的解法,比较简单,但要细心运算.16.解方程(1)3(x+6)=9﹣5(1﹣2x)(2)(3)(4)考点:解一元一次方程.专题:计算题.分析:(1)去括号以后,移项,合并同类项,系数化为1即可求解;(2)(3)首先去掉分母,再去括号以后,移项,合并同类项,系数化为1以后即可求解;(4)首先根据分数的基本性质,把第一项分母中的0.3化为整数,再去分母,求解.解答:解:(1)去括号得:3x+18=9﹣5+10x移项得:3x﹣10x=9﹣5﹣18合并同类项得:﹣7x=﹣14则x=2;(2)去分母得:2x+1=x+3﹣5移项,合并同类项得:x=﹣3;(3)去分母得:10y+2(y+2)=20﹣5(y﹣1)去括号得:10y+2y+4=20﹣5y+5移项,合并同类项得:17y=21系数化为1得:;(4)原方程可以变形为:﹣5x=﹣1去分母得:17+20x﹣15x=﹣3移项,合并同类项得:5x=﹣20系数化为1得:x=﹣4.点评:解方程的过程中要注意每步的依据,这几个题目都是基础的题目,需要熟练掌握.17.解方程:(1)解方程:4x﹣3(5﹣x)=13(2)解方程:x﹣﹣3考点:解一元一次方程.专题:计算题.分析:(1)先去括号,再移项,化系数为1,从而得到方程的解.(2)这是一个带分母的方程,所以要先去分母,再去括号,最后移项,化系数为1,从而得到方程的解.解答:解:(1)去括号得:4x﹣15+3x=13,移项合并得:7x=28,系数化为1得:得x=4;(2)原式变形为x+3=,去分母得:5(2x﹣5)+3(x﹣2)=15(x+3),去括号得10x﹣25+3x﹣6=15x+45,移项合并得﹣2x=76,系数化为1得:x=﹣38.点评:本题考查解一元一次方程,解一元一次方程的一般步骤是:去分母、去括号、移项、合并同类项、化系数为1.注意移项要变号.18.(1)计算:﹣42×+|﹣2|3×(﹣)3(2)计算:﹣12﹣|0.5﹣|÷×[﹣2﹣(﹣3)2](3)解方程:4x﹣3(5﹣x)=2;(4)解方程:.考点:解一元一次方程;有理数的混合运算.分析:(1)利用平方和立方的定义进行计算.(2)按四则混合运算的顺序进行计算.(3)主要是去括号,移项合并.(4)两边同乘最小公倍数去分母,再求值.解答:解:(1)﹣42×+|﹣2|3×(﹣)3==﹣1﹣1=﹣2.(2)﹣12﹣|0.5﹣|÷×[﹣2﹣(﹣3)2]====.(3)解方程:4x﹣3(5﹣x)=2去括号,得4x﹣15+3x)=2移项,得4x+3x=2+15合并同类项,得7x=17系数化为1,得.(4)解方程:去分母,得15x﹣3(x﹣2)=5(2x﹣5)﹣3×15去括号,得15x﹣3x+6=10x﹣25﹣45移项,得15x﹣3x﹣10x=﹣25﹣45﹣6合并同类项,得2x=﹣76系数化为1,得x=﹣38.点评:前两道题考查了学生有理数的混合运算,后两道考查了学生解一元一次方程的能力.19.(1)计算:(1﹣2﹣4)×;(2)计算:÷;(3)解方程:3x+3=2x+7;(4)解方程:.考点:解一元一次方程;有理数的混合运算.专题:计算题.分析:(1)和(2)要熟练掌握有理数的混合运算;(3)和(4)首先熟悉解一元一次方程的步骤:去分母,去括号,移项,合并同类项,系数化为1.解答:解:(1)(1﹣2﹣4)×=﹣=﹣13;(2)原式=﹣1×(﹣4﹣2)×(﹣)=6×(﹣)=﹣9;(3)解方程:3x+3=2x+7移项,得3x﹣2x=7﹣3合并同类项,得x=4;(4)解方程:去分母,得6(x+15)=15﹣10(x﹣7)去括号,得6x+90=15﹣10x+70移项,得6x+10x=15+70﹣90合并同类项,得16x=﹣5系数化为1,得x=.点评:(1)和(2)要注意符号的处理;(4)要特别注意去分母的时候不要发生数字漏乘的现象,熟练掌握去括号法则以及合并同类项法则.20.解方程(1)﹣0.2(x﹣5)=1;(2).考点:解一元一次方程.分析:(1)通过去括号、移项、系数化为1等过程,求得x的值;(2)通过去分母以及去括号、移项、系数化为1等过程,求得x的值.解答:解:(1)﹣0.2(x﹣5)=1;去括号得:﹣0.2x+1=1,∴﹣0.2x=0,∴x=0;(2).去分母得:2(x﹣2)+6x=9(3x+5)﹣(1﹣2x),∴﹣21x=48,∴x=﹣.点评:此题主要考查了一元一次方程解法,解一元一次方程常见的过程有去括号、移项、系数化为1等.21.解方程:(x+3)﹣2(x﹣1)=9﹣3x.程.专题:计算题.分析:先去括号得x+3﹣2x+2=9﹣3x,然后移项、合并同类得到2x=4,然后把x的系数化为1即可.解答:解:去括号得x+3﹣2x+2=9﹣3x,移项得x﹣2x+3x=9﹣3﹣2,合并得2x=4,系数化为1得x=2.点评:本题考查了解一元一次方程:先去分母,再去括号,接着移项,把含未知数的项移到方程左边,不含未知数的项移到方程右边,然后合并同类项,最后把未知数的系数化为1得到原方程的解.22.8x﹣3=9+5x.5x+2(3x﹣7)=9﹣4(2+x)...考点:解一元一次方程.专题:方程思想.分析:本题是解4个不同的一元一次方程,第一个通过移项、合并同类项及系数化1求解.第二个先项及系数化1求解.第三个先去分母再同第二个.第四个先分子分母乘以10,再同第三个求解.解答:8x﹣3=9+5x,解:8x﹣5x=9+3,3x=12,∴x=4.∴x=4是原方程的解;5x+2(3x﹣7)=9﹣4(2+x),解:5x+6x﹣14=9﹣8﹣4x,5x+6x+4x=9﹣8+14,15x=15,∴x=1.∴x=1是原方程的解..解:3(x﹣1)﹣2(2x+1)=12,3x﹣3﹣4x﹣2=12,3x﹣4x=12+3+2,﹣x=17,∴x=﹣17.∴x=﹣17是原方程的解.,解:,50x﹣15=40x+4+40,50x﹣40x=4+40+15,10x=59,∴x=.∴x=是原方程的解.点评:此题考查的知识点是解一元一次方程,关键是注意解方程时的每一步都要认真仔细,如移项时要变符号.23.解下列方程:(1)0.5x﹣0.7=5.2﹣1.3(x﹣1);(2)=﹣2.考点:解一元一次方程.分析:(1)首先去括号,然后移项、合并同类项,系数化成1,即可求解;(2)首先去分母,然后去括号,移项、合并同类项,系数化成1,即可求解解答:合并同类项,得:1.8x=7.2,则x=4;(2)去分母得:7(1﹣2x)=3(3x+1)﹣42,去括号,得:7﹣14x=9x+3﹣42,移项,得:﹣14x﹣9x=3﹣42﹣7,合并同类项,得:﹣23x=﹣46,则x=2.点评:本题考查解一元一次方程,解一元一次方程的一般步骤是:去分母、去括号、移项、合并同类项、化系数为1.注意移项要变号.24.解方程:(1)﹣0.5+3x=10;(2)3x+8=2x+6;(3)2x+3(x+1)=5﹣4(x﹣1);(4).考点:解一元一次方程.分析:(1)移项,合并同类项,然后系数化成1即可求解;(2)移项,合并同类项,然后系数化成1即可求解;(3)去括号、移项,合并同类项,然后系数化成1即可求解;(4)首先去分母,然后去括号、移项,合并同类项,然后系数化成1即可求解.解答:解:(1)3x=10.5,x=3.5;(2)3x﹣2x=6﹣8,x=﹣2;(3)2x+3x+3=5﹣4x+4,2x+3x+4x=5+4﹣3,9x=6,x=;(4)2(x+1)+6=3(3x﹣2),2x+2+6=9x﹣6,2x﹣9x=﹣6﹣2﹣6,﹣7x=﹣14,x=2.点评:本题考查解一元一次方程,解一元一次方程的一般步骤是:去分母、去括号、移项、合并同类项、化系数为1.注意移项要变号.25.解方程:.考点:解一元一次方程.专题:计算题.分析:方程两边乘以10去分母后,去括号,移项合并,将x系数化为1,即可求出解.解答:解:去分母得:5(3x﹣1)﹣2(5x﹣6)=2,去括号得:15x﹣5﹣10x+12=2,移项合并得:5x=﹣5,解得:x=﹣1.点评:此题考查了解一元一次方程,其步骤为:去分母,去括号,移项合并,将未知数系数化为1,求出解.26.解方程:(1)10x﹣12=5x+15;(2)考点:解一元一次方程.专题:计算题.分析:(1)先移项,再合并同类项,最后化系数为1,从而得到方程的解;(2)先去括号,再移项、合并同类项,最后化系数为1,从而得到方程的解.解答:解:(1)移项,得10x﹣5x=12+15,合并同类项,得5x=27,方程的两边同时除以5,得x=;(2)去括号,得=,方程的两边同时乘以6,得x+1=4x﹣2,移项、合并同类项,得3x=3,方程的两边同时除以3,得x=1.点评:本题考查解一元一次方程,解一元一次方程的一般步骤:去分母、去括号、移项、合并同类项、化系数为1.注意移项要变号.27.解方程:(1)8y﹣3(3y+2)=7 (2).考点:解一元一次方程.专题:计算题.分析:(1)根据一元一次方程的解法,去括号,移项,合并同类项,系数化为1即可得解;(2)这是一个带分母的方程,所以要先去分母,再去括号,最后移项,合并同类项,系数化为1,从而得到方程的解.解答:解:(1)去括号得,8y﹣9y﹣6=7,移项、合并得,﹣y=13,系数化为1得,y=﹣13;(2)去分母得,3(3x﹣1)﹣12=2(5x﹣7),去括号得,9x﹣3﹣12=10x﹣14,移项得,9x﹣10x=﹣14+3+12,合并同类项得,﹣x=1,系数化为1得,x=﹣1.点评:本题主要考查了解一元一次方程,注意在去分母时,方程两端同乘各分母的最小公倍数时,不要漏乘没有分母的项,同时要把分子(如果是一个多项式)作为一个整体加上括号.28.当k为什么数时,式子比的值少3.考点:解一元一次方程.专题:计算题.分析:先根据题意列出方程,再根据一元一次方程的解法,去分母,去括号,移项,合并同类项,系数化为1即可得解.解答:解:依题意,得=+3,去分母得,5(2k+1)=3(17﹣k)+45,去括号得,10k+5=51﹣3k+45,移项得,10k+3k=51+45﹣5,合并同类项得,13k=91,系数化为1得,k=7,∴当k=7时,式子比的值少3.点评:本题主要考查了解一元一次方程,注意在去分母时,方程两端同乘各分母的最小公倍数时,不要漏乘没有分母的项,同时要把分子(如果是一个多项式)作为一个整体加上括号.29.解下列方程:(I)12y﹣2.5y=7.5y+5(II).考点:解一元一次方程.专题:计算题.分析:(Ⅰ)根据一元一次方程的解法,移项,合并同类项,系数化为1即可得解;(Ⅱ)是一个带分母的方程,所以要先去分母,再去括号,最后移项,合并同类项,系数化为1,从而得到方程的解.解答:解:(Ⅰ)移项得,12y﹣2.5y﹣7.5y=5,合并同类项得,2y=5,系数化为1得,y=2.5;(Ⅱ)去分母得,5(x+1)﹣10=(3x﹣2)﹣2(2x+3),去括号得,5x+5﹣10=3x﹣2﹣4x﹣6,移项得,5x﹣3x+4x=﹣2﹣6﹣5+10,合并同类项得,6x=﹣3,系数化为1得,x=﹣.点评:本题主要考查了解一元一次方程,注意在去分母时,方程两端同乘各分母的最小公倍数时,不要漏乘没有分母的项,同时要把分子(如果是一个多项式)作为一个整体加上括号.30.解方程:.考点:解一元一次方程.专题:计算题.分析:由于方程的分子、分母均有小数,利用分数的基本性质,分子、分母同时扩大相同的倍数,可将小数化成整数.解答:解:原方程变形为,(3分)去分母,得3×(30x﹣11)﹣4×(40x﹣2)=2×(16﹣70x),(4分)去括号,得90x﹣33﹣160x+8=32﹣140x,(5分)移项,得90x﹣160x+140x=32+33﹣8,(6分)合并同类项,得70x=57,(7分)系数化为1,得.(8分)点评:本题考查一元一次方程的解法.解一元一次方程的一般步骤:去分母,去括号,移项,合并同类项,系数化为1.本题的难点在于方程的分子、分母均有小数,将小数化成整数不同于去分母,不是方程两边同乘一个数,而是将分子、分母同乘一个数.。
初一奥数一元一次方程测试题及答案一、精心选一选(每小题4分,共32分)1.已知x=y,则下列各式中:x﹣3=y﹣3;3x=3y;﹣2x=﹣2y;准确的有()A.1个 B.2个 C.3个 D.4个2.下列方程中,解为x=3的方程是()A.x﹣2=﹣3 B.x﹣4=﹣2 C.x﹣8=﹣4 D.x﹣2=﹣13.将方程0.7+ 变形准确的是()A.7+ B.0.7+ C.0.7+ D.0.7+1.5x﹣1=3﹣x4.下列变形中:①由方程=2去分母,得x-12=10;②由方程 x=两边同除以,得x=1;③由方程6x-4=x+4移项,得7x=0;④由方程2- =两边同乘以6,得12-x-5=3(x+3).错误变形的个数是().A.4个 B.3个 C.2个 D.1个5.解方程(3x+2)+2[(x﹣1)﹣(2x+1)]=6,得x=()A.2 B.4 C.6 D.86.A种饮料比B种饮料单价少1元,小峰买了2瓶A种饮料和3瓶B 种饮料,一共花了13元,如果设B种饮料单价为x元/瓶,那么下面所列方程准确的是()A.2(x﹣1)+3x=13 B.2(x+1)+3x=13C.2x+3(x+1)=13 D.2x+3(x﹣1)=137.如图所示,是某月份的日历表,任意圈出一横行或一竖列相邻的三个数,这三个数的和不可能是()A.24 B.43 C.57 D.698.汽车以72千米/时的速度在公路上行驶,开向寂静的山谷,驾驶员揿一下喇叭,4秒后听到回响,这时汽车离山谷多远?已知空气中声音的传播速度约为340米/秒.设听到回响时,汽车离山谷x米,根据题意,列出方程为()A.2x+4×20=4×340 B.2x﹣4×72=4×340C.2x+4×72=4×340 D.2x﹣4×20=4×340二、细心填一填(每小题4分,共20分)9.在公式s=(a+b)h中,已知s=16,a=3,h=4,则b= .10.若(m+1)x|m|+3=0是关于x的一元一次方程,则m=.11.当x=时,代数式(1-2x)与代数式(3x+1)的值相等.12.三个连续偶数的和为48,则这三个偶数为 .13.某市自来水费实行阶梯水价,收费标准如下表所示,某用户5月份交水费44元,则所用水为吨.月用水量不超过10吨的部分超过10吨不超过16吨的部分超过16吨的部分收费标准(元/吨) 2.00 2.50 3.00三、专心解一解(5个小题,共48分)14.(9分)解方程:﹣x=1﹣.15.(9分)阅读下列例题,并按要求完成问题:例:解方程|2x|=1解:①当2x≥0时,2x=1,它的解是x=②当2x≤0时,﹣2x=1,它的解是x=﹣所以原方程的解是x=或x=﹣ .请你模仿上面例题的解法,解方程:|2x﹣1|=3.16.(9分)解方程:=﹣1.17.(10分)某单位计划“五一”期间组织职工到东江湖旅游,如果单独租用40座的客车若干辆刚好坐满;如果租用50座的客车能够少租一辆,并且有40个剩余座位.(1)该单位参加旅游的职工有多少人?(2)如同时租用这两种客车若干辆,问有无可能使每辆车刚好坐满?如有可能,两种车各租多少辆?(此问可只写结果,不写分析过程)18.(11分)用正方形硬纸板做三棱柱盒子,每个盒子由3个矩形侧面和2个正三角形底面组成,硬纸板以如图两种方法裁剪(裁剪后边角料不再利用).A方法:剪6个侧面; B方法:剪4个侧面和5个底面.现有19张硬纸板,裁剪时x张用A方法,其余用B方法.(1)用x的代数式分别表示裁剪出的侧面和底面的个数;(2)若裁剪出的侧面和底面恰好全部用完,问能做多少个盒子?参考答案一、1.C 2.A 3.C 4.B 5.D 6.A 7.B 8.A二、9.5 10.1 11. 12.14、16、18 13.19三、14. 解:去分母,得10x+5﹣15x=15﹣18+12x,移项,得10x﹣15x﹣12x=15﹣18-5合并同类项,得-17x=-8,系数化为1,得x= .15. 解:|2x﹣1|=3,①当2x﹣1≥0时,2x﹣1=3,∴x=2,②当2x﹣1≤0时,﹣(2x﹣1)=3,∴x=﹣1,∴原方程的解是x=2或x=﹣1.16. 解:整理,得=—1去分母,得90(x+1)=50(x+1)—6去括号,得90x+90=50x+50-6移项,得90x—50x=50-6-90合并同类项,得40x=-46,系数化为1,得x=﹣.17. 解:(1)设该单位参加旅游的职工有x人,由题意,得解得x=360;答:该单位参加旅游的职工有360人.(2)有可能,因为租用4辆40座的客车、4辆50座的客车刚好能够坐360人,正好坐满.18. 解:(1)∵裁剪时x张用A方法,∴裁剪时(19﹣x)张用B方法.∴侧面的个数为:6x+4(19﹣x)=(2x+76)个,底面的个数为:5(19﹣x)=个;(2)由题意,得(2x+76)×2=(95﹣5x)×3解得:x=7,∴盒子的个数为:=30.答:裁剪出的侧面和底面恰好全部用完,能做30个盒子.。
.初一七年级一元一次方程30题(含答案解析)一.解答题(共30小题)1.(2005•宁德)解方程:2x+1=72.3.(1)解方程:4﹣x=3(2﹣x);(2)解方程:.4.解方程:.5.解方程(1)4(x﹣1)﹣3(20﹣x)=5(x﹣2);(2)x ﹣=2﹣.6.(1)解方程:3(x﹣1)=2x+3;(2)解方程:=x ﹣.7.﹣(1﹣2x)=(3x+1)8.解方程:(1)5(x﹣1)﹣2(x+1)=3(x﹣1)+x+1;(2).9.解方程:..10.解方程:(1)4x﹣3(4﹣x)=2;(2)(x﹣1)=2﹣(x+2).11.计算:(1)计算:(2)解方程:12.解方程:13.解方程:(1)(2)14.解方程:(1)5(2x+1)﹣2(2x﹣3)=6 (2)+2(3)[3(x ﹣)+]=5x﹣115.(A类)解方程:5x﹣2=7x+8;(B 类)解方程:(x﹣1)﹣(x+5)=﹣;(C 类)解方程:.16.解方程(1)3(x+6)=9﹣5(1﹣2x)(2)(3)(4)17.解方程:(1)解方程:4x﹣3(5﹣x)=13 (2)解方程:x ﹣﹣3 18.(1)计算:﹣42×+|﹣2|3×(﹣)3(2)计算:﹣12﹣|0.5﹣|÷×[﹣2﹣(﹣3)2](3)解方程:4x﹣3(5﹣x)=2;(4)解方程:.19.(1)计算:(1﹣2﹣4)×;(2)计算:÷;(3)解方程:3x+3=2x+7;(4)解方程:.20.解方程(1)﹣0.2(x﹣5)=1;(2).21.解方程:(x+3)﹣2(x﹣1)=9﹣3x.22.8x﹣3=9+5x.5x+2(3x﹣7)=9﹣4(2+x)...23.解下列方程:(1)0.5x﹣0.7=5.2﹣1.3(x﹣1);(2)=﹣2.24.解方程:(1)﹣0.5+3x=10;(2)3x+8=2x+6;(3)2x+3(x+1)=5﹣4(x﹣1);(4).25.解方程:.26.解方程:(1)10x﹣12=5x+15;(2)27.解方程:(1)8y﹣3(3y+2)=7 (2).28.当k 为什么数时,式子比的值少3.29.解下列方程:(I)12y﹣2.5y=7.5y+5(II ).30.解方程:.6.2.4解一元一次方程(三)参考答案与试题解析一.解答题(共30小题)1.(2005•宁德)解方程:2x+1=7考点:解一元一次方程.专题:计算题;压轴题.分析:此题直接通过移项,合并同类项,系数化为1可求解.解答:解:原方程可化为:2x=7﹣1 合并得:2x=6系数化为1得:x=3点评:解一元一次方程,一般要通过去分母,去括号,移项,合并同类项,未知数的系数化为1等步骤,把一个一元一次方程“转化”成x=a的形式.2.考点:解一元一次方程.专题:计算题.分析:这是一个带分母的方程,所以要先去分母,再去括号,最后移项,化系数为1,从而得到方程的解.解答:解:左右同乘12可得:3[2x﹣(x﹣1)]=8(x﹣1),化简可得:3x+3=8x﹣8,移项可得:5x=11,解可得x=.故原方程的解为x=.点评:若是分式方程,先同分母,转化为整式方程后,再移项化简,解方程可得答案.3.(1)解方程:4﹣x=3(2﹣x);(2)解方程:.考点:解一元一次方程.专题:计算题.分析:(1)先去括号,然后再移项、合并同类型,最后化系数为1,得出方程的解;(2)题的方程中含有分数系数,应先对各式进行化简、整理,然后再按(1)的步骤求解.解答:解:(1)去括号得:4﹣x=6﹣3x,移项得:﹣x+3x=6﹣4,合并得:2x=2,系数化为1得:x=1.(2)去分母得:5(x﹣1)﹣2(x+1)=2,去括号得:5x﹣5﹣2x﹣2=2,移项得:5x﹣2x=2+5+2,合并得:3x=9,系数化1得:x=3.点评:(1)本题易在去分母、去括号和移项中出现错误,还可能会在解题前产生害怕心理.因为看到小数、分数比较多,学生往往不知如何寻找公分母,怎样合并同类项,怎样化简,所以我们要教会学生分开进行,从而达到分解难点的效果.(2)本题的另外一个重点是教会学生对于分数的分子、分母同时扩大或缩小若干倍,值不变.这一性质在今后常会用到.4.解方程:.考点:解一元一次方程.专题:计算题.分析:此题两边都含有分数,分母不相同,如果直接通分,有一定的难度,但将方程左右同时乘以公分母6,难度就会降低.解答:解:去分母得:3(2﹣x)﹣18=2x﹣(2x+3),去括号得:6﹣3x﹣18=﹣3,移项合并得:﹣3x=9,∴x=﹣3.点评:本题易在去分母和移项中出现错误,学生往往不知如何寻找公分母,怎样合并同类项,怎样化简,所以我们要教会学生分开进行,从而达到分解难点的效果.5.解方程(1)4(x﹣1)﹣3(20﹣x)=5(x﹣2);(2)x﹣=2﹣.考点:解一元一次方程.专题:计算题.分析:(1)先去括号,再移项、合并同类项、化系数为1,从而得到方程的解;(2)先去分母,再去括号,最后移项,化系数为1,从而得到方程的解.解答:解:(1)去括号得:4x﹣4﹣60+3x=5x﹣10(2分)移项得:4x+3x﹣5x=4+60﹣10(3分)合并得:2x=54(5分)系数化为1得:x=27;(6分)(2)去分母得:6x﹣3(x﹣1)=12﹣2(x+2)(2分)去括号得:6x﹣3x+3=12﹣2x﹣4(3分)移项得:6x﹣3x+2x=12﹣4﹣3(4分)合并得:5x=5(5分)系数化为1得:x=1.(6分)点评:去分母时,方程两端同乘各分母的最小公倍数时,不要漏乘没有分母的项,同时要把分子(如果是一个多项式)作为一个整体加上括号.去括号时要注意符号的变化.6.(1)解方程:3(x﹣1)=2x+3;(2)解方程:=x﹣.考点:解一元一次方程.专题:计算题.分析:(1)是简单的一元一次方程,通过移项,系数化为1即可得到;(2)是较为复杂的去分母,本题方程两边都含有分数系数,如果直接通分,有一定的难度,但对每一个式子先进行化简、整理为整数形式,难度就会降低.解答:解:(1)3x﹣3=2x+33x﹣2x=3+3x=6;(2)方程两边都乘以6得:x+3=6x﹣3(x﹣1)x+3=6x﹣3x+3x﹣6x+3x=3﹣3﹣2x=0∴x=0.点评:本题易在去分母、去括号和移项中出现错误,还可能会在解题前不知如何寻找公分母,怎样合并同类项,怎样化简,所以要学会分开进行,从而达到分解难点的效果.去分母时,方程两端同乘各分母的最小公倍数时,不要漏乘没有分母的项,同时要把分子(如果是一个多项式)作为一个整体加上括号.7.﹣(1﹣2x)=(3x+1)考点:解一元一次方程.专题:计算题.分析:这是一个带分母的方程,所以要先去分母,再去括号,最后移项,化系数为1,从而得到方程的解.解答:解:﹣7(1﹣2x)=3×2(3x+1)﹣7+14x=18x+6﹣4x=13x=﹣.点评:解一元一次方程的一般步骤是去分母、去括号、移项、合并同类项和系数化为1.此题去分母时,方程两端同乘各分母的最小公倍数时,不要漏乘没有分母的项,同时要把分子(如果是一个多项式)作为一个整体加上括号.8.解方程:(1)5(x﹣1)﹣2(x+1)=3(x﹣1)+x+1;(2).考解一元一次方程.点:专题:计算题.分析:(1)可采用去括号,移项,合并同类项,系数化1的方式进行;(2)本题方程两边都含有分数系数,如果直接通分,有一定的难度,但对每一个式子先进行化简、整理为整数形式,难度就会降低.解答:解:(1)5(x﹣1)﹣2(x+1)=3(x﹣1)+x+13x﹣7=4x﹣2∴x=﹣5;(2)原方程可化为:去分母得:40x+60=5(18﹣18x)﹣3(15﹣30x),去括号得:40x+60=90﹣90x﹣45+90x,移项、合并得:40x=﹣15,系数化为1得:x=.点评:(1)本题易在去分母、去括号和移项中出现错误,还可能会在解题前产生害怕心理.因为看到小数、分数比较多,学生往往不知如何寻找公分母,怎样合并同类项,怎样化简,所以我们要教会学生分开进行,从而达到分解难点的效果;(2)本题的另外一个重点是教会学生对于分数的分子、分母同时扩大或缩小若干倍,值不变.这一性质在今后常会用到.9.解方程:.考点:解一元一次方程.专题:计算题.分析:这是一个带分母的方程,所以要先去分母,再去括号,最后移项,化系数为1,从而得到方程的解.解答:解:,去分母得:2x﹣(3x+1)=6﹣3(x﹣1),去括号得:2x﹣3x﹣1=6﹣3x+3,移项、合并同类项得:2x=10,系数化为1得:x=5.点评:去分母时,方程两端同乘各分母的最小公倍数时,不要漏乘没有分母的项,同时要把分子(如果是一个多项式)作为一个整体加上括号.10.解方程:(1)4x﹣3(4﹣x)=2;(2)(x﹣1)=2﹣(x+2).考点:解一元一次方程.专题:计算题.分析:(1)先去括号,再移项,合并同类项,系数化1,即可求出方程的解;(2)先去分母,再去括号,移项,合并同类项,系数化1可求出方程的解.解答:解:(1)4x﹣3(4﹣x)=2去括号,得4x﹣12+3x=2移项,合并同类项7x=14系数化1,得x=2.(2)(x﹣1)=2﹣(x+2)去分母,得5(x﹣1)=20﹣2(x+2)去括号,得5x﹣5=20﹣2x﹣4移项、合并同类项,得7x=21系数化1,得x=3.点评:(1)此题主要是去括号,移项,合并同类项,系数化1.(2)方程两边每一项都要乘各分母的最小公倍数,方程两边每一项都要乘各分母的最小公倍数,切勿漏乘不含有分母的项,另外分数线有两层意义,一方面它是除号,另一方面它又代表着括号,所以在去分母时,应该将分子用括号括上.11.计算:(1)计算:(2)解方程:考点:解一元一次方程;有理数的混合运算.专题:计算题.分析:(1)根据有理数的混合运算法则计减;(2)两边同时乘以最简公分母4,即可去掉分母.解答:解:(1)原式=,=,=.(2)去分母得:2(x﹣1)﹣(3x﹣1)=﹣4,解得:x=3.点评:解答此题要注意:(1)去分母时最好先去中括号、再去小括号,以减少去括号带来的符号变化次数;(2)去分母就是方程两边同时乘以分母的最简公分母.12.解方程:考点:解一元一次方程.专题:计算题.分析:(1)这是一个带分母的方程,所以要为1,从而得到方程的解.(2)解一元一次方程的一般步骤:去分母、去括号、移项、合并同类项、化系数为1.解答:解:(1)去分母得:3(3x﹣1)+18=1﹣5x,去括号得:9x﹣3+18=1﹣5x,移项、合并得:14x=﹣14,系数化为1得:x=﹣1;(2)去括号得:x﹣x+1=x,移项、合并同类项得:x=﹣1,系数化为1得:x=﹣.点评:本题考查解一元一次方程,正确掌握解一元一次方程的一般步骤,注意移项要变号、去分母时“1”也要乘以最小公倍数.13.解方程:(2)考点:解一元一次方程.专题:计算题.分析:(1)去分母、去括号、移项、合并同类项、化系数为1.(2)去分母、去括号、移项、合并同类项、化系数为1.解答:(1)解:去分母得:5(3x+1)﹣2×10=3x﹣2﹣2(2x+3),去括号得:15x+5﹣20=3x﹣2﹣4x﹣6,移项得:15x+x=﹣8+15,合并得:16x=7,解得:;(2)解:,4(x﹣1)﹣18(x+1)=﹣36,4x﹣4﹣18x﹣18=﹣36,﹣14x=﹣14,x=1.点评:本题考查解一元一次方程,正确掌握解一元一次项要变号、去分母时“1”也要乘以最小公倍数.14.解方程:(1)5(2x+1)﹣2(2x﹣3)=6 (2)+2(3)[3(x﹣)+]=5x﹣1考点:解一元一次方程.专题:计算题.分析:(2)通过去括号、移项、合并同类项、系数化为1,解得x的值;(3)乘最小公倍数去分母即可;(4)主要是去括号,也可以把分数转化成整数进行计算.解答:解:(1)去括号得:10x+5﹣4x+6=6移项、合并得:6x=﹣5,方程两边都除以6,得x=﹣;(2)去分母得:3(x﹣2)=2(4﹣3x)+24,去括号得:3x﹣6=8﹣6x+24,移项、合并得:9x=38,方程两边都除以9,得(3)整理得:[3(x﹣)+]=5x﹣1,4x﹣2+1=5x﹣1,移项、合并得:x=0.点评:一元一次方程的解法:一般要通过去分母、去括号、移项、合并同类项、未知数的系数化为1等步骤,把一个一元一次方程“转化”成x=a的形式.解题时,要灵活运用这些步骤.15.(A类)解方程:5x﹣2=7x+8;(B类)解方程:(x﹣1)﹣(x+5)=﹣;(C类)解方程:.考点:解一元一次方程.专题:计算题.分析:通过去分母、去括号、移项、系数化为1等方法,求得各方程的解.解答:解:A类:5x﹣2=7x+8移项:5x﹣7x=8+2化简:﹣2x=10即:x=﹣5;=﹣去括号:x﹣﹣x﹣5=﹣化简:x=5即:x=﹣;C类:﹣=1去分母:3(4﹣x)﹣2(2x+1)=6去括号:12﹣3x﹣4x﹣2=6化简:﹣7x=﹣4即:x=.点评:本题主要考查一元一次方程的解法,比较简单,但要细心运算.16.解方程(1)3(x+6)=9﹣5(1﹣2x)(2)(3)(4)考点:解一元一次方程.专题:计算题.分析:(1)去括号以后,移项,合并同类项,系数化为1即可求解;(2)(3)首先去掉分母,再去括号以后,移项,合并同类项,系数化为1以后即可求解;(4)首先根据分数的基本性质,把第一项分母中的0.3化为整数,再去分母,求解.合并同类项得:﹣7x=﹣14则x=2;(2)去分母得:2x+1=x+3﹣5移项,合并同类项得:x=﹣3;(3)去分母得:10y+2(y+2)=20﹣5(y﹣1)去括号得:10y+2y+4=20﹣5y+5移项,合并同类项得:17y=21系数化为1得:;(4)原方程可以变形为:﹣5x=﹣1去分母得:17+20x﹣15x=﹣3移项,合并同类项得:5x=﹣20系数化为1得:x=﹣4.解方程的过程中要注意每步的依据,这几个题目都是基础的题目,需要熟练掌握.点评:17.解方程:(1)解方程:4x﹣3(5﹣x)=13(2)解方程:x﹣﹣3考点:解一元一次方程.专题:计算题.分析:(1)先去括号,再移项,化系数为1,从而得到方程的解.(2)这是一个带分母的方程,所以要先去分母,再去括号,最后移项,化系数为1,从而得到方程的解.解答:解:(1)去括号得:4x﹣15+3x=13,移项合并得:7x=28,系数化为1得:得x=4;(2)原式变形为,去分母得:5(2x﹣5)+3(x﹣2)=15(x+3),去括号得10x﹣25+3x﹣6=15x+45,移项合并得﹣2x=76,系数化为1得:x=﹣38.点评:本题考查解一元一次方程,解一元一次方程的一般步骤是:去分母、去括号、移项、合并同类项、化系数为1.注意移项要变号.18.(1)计算:﹣42×+|﹣2|3×(﹣)3(2)计算:﹣12﹣|0.5﹣|÷×[﹣2﹣(﹣3)2](3)解方程:4x﹣3(5﹣x)=2;(4)解方程:.考点:解一元一次方程;有理数的混合运算.分析:(1)利用平方和立方的定义进行计算.(2)按四则混合运算的顺序进行计算.(3)主要是(4)两边同乘最小公倍数去分母,再求值.解答:解:(1)﹣42×+|﹣2|3×(﹣)3==﹣1﹣1=﹣2.(2)﹣12﹣|0.5﹣|÷×[﹣2﹣(﹣3)2]====.(3)解方程:4x﹣3(5﹣x)=2去括号,得4x﹣15+3x)=2移项,得4x+3x=2+15合并同类项,得7x=17系数化为1,得.(4)解方程:2)=5(2x﹣5)﹣3×15去括号,得15x﹣3x+6=10x﹣25﹣45移项,得15x﹣3x﹣10x=﹣25﹣45﹣6合并同类项,得2x=﹣76系数化为1,得x=﹣38.点评:前两道题考查了学生有理数的混合运算,后两道考查了学生解一元一次方程的能力.19.(1)计算:(1﹣2﹣4)×;(2)计算:÷;(3)解方程:3x+3=2x+7;(4)解方程:.考点:解一元一次方程;有理数的混合运算.专题:计算题.分析:(1)和(2)要熟练掌握有理数的混合运算;(3)和(4)首先熟悉解一元一次方程的步骤:去分母,去括号,移项,合并同类项,系数化为1.解答:解:(1)(1﹣2﹣4)×=﹣=﹣13;(2)原式=﹣1×(﹣4﹣2)×(﹣)=6×(﹣)=﹣9;(3)解方程:3x+3=2x+7移项,得3x﹣2x=7﹣3合并同类项,得x=4;(4)解方程:去分母,得6(x+15)=15﹣10(x﹣7)去括号,得6x+90=15﹣10x+70移项,得6x+10x=15+70﹣90合并同类项,得16x=﹣5系数化为1,得x=.点评:(1)和(2)要注意符号的处理;(4)要特别注意去分母的时候不要发生数字漏乘的现象,熟练掌握去括号法则以及合并同类项法则.20.解方程(1)﹣0.2(x﹣5)=1;(2).考点:解一元一次方程.分析:(1)通过去括号、移项、系数化为1等过程,求得x的值;(2)通过去分母以及去括号、移项、系数化为1等过程,求得x的值.解答:解:(1)﹣0.2(x﹣5)=1;去括号得:﹣0.2x+1=1,∴﹣0.2x=0,∴x=0;(2).去分母得:2(x﹣2)+6x=9(3x+5)﹣(1﹣2x),∴﹣21x=48,∴x=﹣.点评:此题主要考查了一元一次方程解法,解一元一次方程常见的过程有去括号、移项、系数化为1等.21.解方程:(x+3)﹣2(x﹣1)=9﹣3x.考点:解一元一次方程.专题:计算题.分析:先去括号得x+3﹣2x+2=9﹣3x,然后移项、合并同类得到2x=4,然后把x的系数化为1即可.解答:解:去括号得x+3﹣2x+2=9﹣3x,移项得x﹣2x+3x=9﹣3﹣2,合并得2x=4,系数化为1得x=2.点评:本题考查了解一元一次方程:先去分母,再去括号,接着移项,把含未知数的项移到方程左边,不含未知数的项移到方程右边,然后合并同类项,最后把未知数的系数化为1得到原方程的解.22.8x﹣3=9+5x.5x+2(3x﹣7)=9﹣4(2+x)...考点:解一元一次方程.专题:方程思想.分析:本题是解4个不同的一元一次方程,第一个通过移项、合并同类项及系数化1求解.第二个先去括号再通过移项、合并同类项及系数化1求解.第三个先去分母再同第二个.第四个先分子分母乘以10,再同第三个求解.解答:8x﹣3=9+5x,解:8x﹣5x=9+3,3x=12,∴x=4.∴x=4是原方程的解;5x+2(3x﹣7)=9﹣4(2+x),解:5x+6x﹣14=9﹣8﹣4x,5x+6x+4x=9﹣8+14,15x=15,∴x=1.∴x=1是原方程的解..解:3(x﹣1)﹣2(2x+1)=12,3x﹣3﹣4x﹣2=12,3x﹣4x=12+3+2,﹣x=17,∴x=﹣17.∴x=﹣17是原方程的解.,解:,5(10x﹣3)=4(10x+1)+40,50x﹣15=40x+4+40,50x﹣40x=4+40+15,10x=59,∴x=.∴x=是原方程的解.点评:此题考查的知识点是解一元一次方程,关键是注意解方程时的每一步都要认真仔细,如移项时要变符号.23.解下列方程:(1)0.5x﹣0.7=5.2﹣1.3(x﹣1);(2)=﹣2.考点:解一元一次方程.分析:(1)首先去括号,然后移项、合并同类项,系数化成1,即可求解;(2)首先去分母,然后去括号,移项、合并同类项,系数化成1,即可求解解答:解:(1)去括号,得:0.5x﹣0.7=5.2﹣1.3x+1.3移项,得:0.5x+1.3x=5.2+1.3+0.7合并同类项,得:1.8x=7.2,则x=4;(2)去分母.得:7(1﹣2x)=3(3x+1)﹣42,去括号,得:7﹣14x=9x+3﹣42,移项,得:﹣14x﹣9x=3﹣42﹣7,合并同类项,得:﹣23x=﹣46,则x=2.点评:本题考查解一元一次方程,解一元一次方程的一般步骤是:去分母、去括号、移项、合并同类项、化系数为1.注意移项要变号.24.解方程:(1)﹣0.5+3x=10;(2)3x+8=2x+6;(3)2x+3(x+1)=5﹣4(x﹣1);(4).考点:解一元一次方程.分析:(1)移项,合并同类项,然后系数化成1即可求解;(2)移项,合并同类项,然后系数化成1即可求解;(3)去括号、移项,合并同类项,然后系数化成1即可求解;(4)首先去分母,然后去括号、移项,合并同类项,然后系数化成1即可求解.解答:解:(1)3x=10.5,x=3.5;(2)3x﹣2x=6﹣8,x=﹣2;(3)2x+3x+3=5﹣4x+4,2x+3x+4x=5+4﹣3,9x=6,x=;(4)2(x+1)+6=3(3x﹣2),2x+2+6=9x﹣6,2x﹣9x=﹣6﹣2﹣6,﹣7x=﹣14,x=2.点评:本题考查解一元一次方程,解一元一次方程的一般步骤是:去分母、去括号、移项、合并同类项、化系数为1.注意移项要变号.25.解方程:.考点:解一元一次.方程.专题:计算题.分析:方程两边乘以10去分母后,去括号,移项合并,将x系数化为1,即可求出解.解答:解:去分母得:5(3x﹣1)﹣2(5x﹣6)=2,去括号得:15x﹣5﹣10x+12=2,移项合并得:5x=﹣5,解得:x=﹣1.点评:此题考查了解一元一次方程,其步骤为:去分母,去括号,移项合并,将未知数系数化为1,求出解.26.解方程:(1)10x﹣12=5x+15;(2)考点:解一元一次方程.专题:计算题.分析:(1)先移项,再合并同类项,最后化系数为1,从而得到方程的解;(2)先去括号,再移项、合并同类项,最后化系数为1,从而得到方程的解.解答:解:(1)移项,得10x﹣5x=12+15,合并同类项,得5x=27,方程的两边同时除以5,得x=;(2)去括号,得=,方程的两边同时乘以6,得x+1=4x﹣2,移项、合并同类项,得3x=3,方程的两边同时除以3,得x=1.点评:本题考查解一元一次方程,解一元一次方程的一般步骤:去分母、去括号、移项、合并同类项、化系数为1.注意移项要变号.27.解方程:(1)8y﹣3(3y+2)=7(2).考点:解一元一次方程.专题:计算题.分析:(1)根据一元一次方程的解法,去括号,移项,合. 并同类项,系数化为1即可得解;(2)这是一个带分母的方程,所以要先去分母,再去括号,最后移项,合并同类项,系数化为1,从而得到方程的解.解答:解:(1)去括号得,8y﹣9y﹣6=7,移项、合并得,﹣y=13,系数化为1得,y=﹣13;(2)去分母得,3(3x﹣1)﹣12=2(5x﹣7),去括号得,9x﹣3﹣12=10x﹣14,移项得,9x﹣10x=﹣14+3+12,合并同类项得,﹣x=1,系数化为1得,x=﹣1.点评:本题主要考查了解一元一次方程,注意在去分母时,方程两端同乘各分母的最小公倍数时,不要漏乘没有分母的项,同时要把分子(如果是一个多项式)作为一个整体加上括号.28.当k为什么数时,式子比的值少3.考点:解一元一次方程.专题:计算题.分析:先根据题意列出方程,再根据一元一次方程的解法,去分母,去括号,移项,合并同类项,系数化为1即可得解.解答:解:依题意,得=+3,去分母得,5(2k+1)=3(17﹣k)+45,去括号得,10k+5=51﹣3k+45,移项得,10k+3k=51+45﹣5,合并同类项得,13k=91,系数化为1得,k=7,∴当k=7时,式子比的值少3.点评:本题主要考查了解一元一次方程,注意在去分母时,方程两端同乘各分母的最小公倍.数时,不要漏乘没有分母的项,同时要把分子(如果是一个多项式)作为一个整体加上括号.29.解下列方程:(I)12y﹣2.5y=7.5y+5(II).考点:解一元一次方程.专题:计算题.分析:(Ⅰ)根据一元一次方程的解法,移项,合并同类项,系数化为1即可得解;(Ⅱ)是一个带分母的方程,所以要先去分母,再去括号,最后移项,合并同类项,系数化为1,从而得到方程的解.解答:解:(Ⅰ)移项得,12y﹣2.5y﹣7.5y=5,合并同类项得,2y=5,系数化为1得,y=2.5;(Ⅱ)去分母得,5(x+1)﹣10=(3x﹣2)﹣2(2x+3),去括号得,5x+5﹣10=3x﹣2﹣4x﹣6,移项得,5x﹣3x+4x=﹣2﹣6﹣5+10,合并同类项得,6x=﹣3,系数化为1得,x=﹣.点评:本题主要考查了解一元一次方程,注意在去分母时,方程两端同乘各分母的最小公倍数时,不要漏乘没有分母的项,同时要把分子(如果是一个多项式)作为一个整体加上括号.30.解方程:.考点:解一元一次方程.专题:计算题.分析:由于方程的分子、分母均有小数,利用分数的基本性质,分子、分母同时扩大相同的倍数,可将小数化成整数.解答:解:原方程变形为,(3分)去分母,得3×(30x﹣11)﹣4×(40x﹣2)=2×(16﹣70x),(4分)..去括号,得90x﹣33﹣160x+8=32﹣140x,(5分)移项,得90x﹣160x+140x=32+33﹣8,(6分)合并同类项,得70x=57,(7分)系数化为1,得.(8分)点评:本题考查一元一次方程的解法.解一元一次方程的一般步骤:去分母,去括号,移项,合并同类项,系数化为1.本题的难点在于方程的分子、分母均有小数,将小数化成整数不同于去分母,不是方程两边同乘一个数,而是将分子、分母同乘一个数.。
初一七年级一元一次方程30题(含答案解析)一.解答题(共30小题)1. (2005宁德)解方程:2x+仁77 .-丄(1 —2x)二(3x+1)373. (1)解方程:4 —x=3 (2—x);(2)解方程:「:;、'8.解方程:(1) 5 (x—1)—2 (x+1) =3 (x—1) +x+1;4 .解方程:5.解方程(1) 4 (x—1)—3 (20 —x) =5 ( x—2);/ c、M 1 1 c(2)x—=2—20 02x _ 0. 18K+0. 18 1. 5 ------ +1= ----------- --------0.03 0, 12 26. (1)解方程:3 (x—1) =2x+3;X ■31 »X 13629 .解方程:(2 )解方=x —210 .解方程:(1) 4x - 3 (4 - x ) =2;(2) 丄(x - 1) =2-16. 解方程(1) 3 (x+6) =9 - 5 (1 - 2x )13.解方程:丄(x+2).311 .计算:(1) 计算:-弓[-32X (-舟)2- 2]J! 」(2) 解方程::・】宀-2 4 14 .解方程:(1) 5 (2x+1)- 2 (2x - 3) =6 (2) (3)H - 2 4 _3芷丄— +24 ~ 6[3 x-=5x 112 .解方程:(1)邑分丄+3丄尹 ⑵2[討停诗)舜15. (A 类)解方程:5x - 2=7x+8;(B 类)解方程:g (x - 1)-( x+5) =-2;33(C 类)解方程:.£ J9 0 518. (1 )计算:-42X 丄一+| - 2|3X(-二)3C-4) 2 2(2)计算:-12- | -Z| J X- 2 -( - 3) 2]3 3(3 )解方程:4x- 3 ( 5 - x) =2;K 7少耳=弓(4)解方程:::-".」…':.5 3一亠一[0. 5 0, 219. (1)计算:(1 - 2 - 4) X (輕);517.解方程:(1)解方程:4x- 3 (5- x) =13(2)计算:m x - 2 _5 (2)解万程:x- - 一 - 3535x+2 (3x - 7) =9 - 4 (2+x).(3)解方程:3x+3=2x+7;(4)解方程: | 015〕二g-27)20 .解方程(1)-( x- 5) =1; x- 0. 3 10~4 ~ 0.5+2(2)x _ 2 3( 3x+5) 1 _ 2x--- +x=--------- _ -----3 s 2 623.解下列方程:(1) - =-( x- 1);21.解方程:(x+3)- 2 ( x- 1) =9- 3x.22. 8x- 3=9+5x. 24.解方程:(1)- +3x=10;29.解下列方程:(I ) 12y - =+5(2) 3x+8=2x+6; (3) 2x+3 (x+1) =5 - 4 (x - 1); 28 •当k 为什么数时,式子器畔的值少3.3z-1.1 4K -0.2 0,16 - 0.4 0-3 -0.0630.解方程:(2) 27.解方程:(1) 8y - 3 (3y+2) =7少、计 3x _ 1 5K _625 •解万程:——x+1 .2x432 10 526 .解方程:(1) 10x - 12=5x+15;(II解一元一次方程(三)参考答案与试题解析一.解答题(共30小题)1. (2005宁德)解方程:2x+仁7考点:解一元一次方程.专题:计算题;压轴题.分析:此题直接通过移项,合并同类项,系数化为1可求解.解答:解:原方程可化为:2x=7 - 1合并得:2x=6系数化为1得:x=3点评:解一元一次方程,一般要通过去分母,去括号,移项,合并同类项,未知数的系数化为1等步骤, 一元一次方程转化”成x=a的形式.考点:解一元一次方程.专题:计算题.分析:这是一个带分母的方程,所以要先去分母,再去括号,最后移项,化系数为解答:解:左右同乘12可得:3[2x -( x- 1) ]=8 (x- 1),化简可得:3x+3=8x - 8 ,移项可得:5x=11 , 解可得XJ L .51故原方程的解为x==.国点评:若是分式方程,先同分母,转化为整式方程后,再移项化简,解方程可得答案.3. (1)解方程:4 - x=3 ( 2 - x)(2)解方程:考点:解一元一次方程. 专题:计算题.分析:(1)先去括号,然后再移项、合并同类型,最后化系数为1,得出方程的解;(2)题的方程中含有分数系数,应先对各式进行化简、整理,然后再按( 1)的步骤求解.解答:解:(1)去括号得:4-x=6-3x,移项得:-x+3x=6 - 4,合并得:2x=2,系数化为1得:x=1.(2)去分母得:5 (x- 1)- 2 (x+1) =2,去括号得:5x- 5 -2x- 2=2,移项得:5x- 2x=2+5+2,把一个1,从而得到方程的解.合并得:3x=9,系数化1得:x=3.点评:(1)本题易在去分母、去括号和移项中出现错误,还可能会在解题前产生害怕心理.因为看到小数、分数比较多,学生往往不知如何寻找公分母,怎样合并同类项,怎样化简,所以我们要教会学生分开进行,从 而达到分解难点的效果. (2)本题的另外一个重点是教会学生对于分数的分子、分母同时扩大或缩小若干倍,值不变.这一性质在 今后常会用到.4 .解方程:考点:解一元一次方程. 专题:计算题.分析:此题两边都含有分数,分母不相同,如果直接通分,有一定的难度,但将方程左右同时乘以公分母6,难度就会降低.解答:解:去分母得:3 ( 2 - x )- 18=2x -( 2x+3),去括号得:6 - 3x - 18= - 3, 移项合并得:-3x=9,••• x= - 3.点评:本题易在去分母和移项中出现错误,学生往往不知如何寻找公分母,怎样合并同类项,怎样化简,所以我们 要教会学生分开进行,从而达到分解难点的效果.5.解方程(1) 4 (x - 1)- 3 (20 - x ) =5 ( x - 2);考点:解一元一次方程. 专题:计算题.分析: (1)先去括号,再移项、合并同类项、化系数为1,从而得到方程的解; (2)先去分母,再去括号,最后移项,化系数为1,从而得到方程的解.解答: 解:(1)去括号得:4x - 4 - 60+3x=5x - 10 (2 分)移项得:4x+3x - 5x=4+60 - 10 ( 3 分) 合并得:2x=54 ( 5分) 系数化为1得:x=27; ( 6分)(2)去分母得:6x - 3 (x - 1) =12- 2 (x+2) ( 2 分) 去括号得:6x - 3x+3=12 - 2x - 4 (3 分) 移项得:6x - 3x+2x=12 - 4 - 3 ( 4 分) 合并得:5x=5 ( 5分) 系数化为1得:x=1. (6分)点评: 去分母时,方程两端同乘各分母的最小公倍数时,不要漏乘没有分母的项,同时要把分子(如果是一个多项式)作为一个整体加上括号.去括号时要注意符号的变化.6. (1)解方程:3 (x - 1) =2x+3;考点:解一元一次方程. 专题:计算题.分析:(1)是简单的一元一次方程,通过移项,系数化为1即可得到;(2) xK ~ 1=2- x+2(2)解方程:(2)是较为复杂的去分母,本题方程两边都含有分数系数,如果直接通分,有一定的难度,但对每一个式子先进行化简、整理为整数形式,难度就会降低.解答:解:(1)3x - 3=2x+33x —2x=3+3x=6;(2)方程两边都乘以6得:x+3=6x —3 (x—1)x+3=6x —3x+3x —6x+3x=3—3—2x=0••• x=0.点评:本题易在去分母、去括号和移项中出现错误,还可能会在解题前不知如何寻找公分母,怎样合并同类项,怎样化简,所以要学会分开进行,从而达到分解难点的效果. 去分母时,方程两端同乘各分母的最小公倍数时,不要漏乘没有分母的项,同时要把分子(如果是一个多项式)作为一个整体加上括号.7 .—丄(1 —2x)=二(3x+1)考点:解一元一次方程.专题:计算题.分析:这是一个带分母的方程,所以要先去分母,再去括号,最后移项,化系数为1,从而得到方程的解.解答:解:-7 (1 — 2x) =3X2( 3x+1)—7+14x=18x+6—4x=1313x=—W点评:解一兀一次方程的一般步骤是去分母、去括号、移项、合并冋类项和系数化为 1 .此题去分母时,方程两端冋乘各分母的最小公倍数时,不要漏乘没有分母的项,冋时要把分子(如果是一个多项式)作为一个整体加上括号.8.解方程:(1) 5 (x—1)—2 (x+1) =3 (x—1) +x+1;/小0. - 0- 18JC+0. 18 1. 5 _3s0.03 0.12 2考点:解一元一次方程. 专题:计算题.分析:(1)可米用去括号,移项,合并冋类项,系数化1的方式进行;(2 )本题方程两边都含有分数系数,如果直接通分,有一定的难度,但对每一个式子先进行化简、整理为整数形式,难度就会降低.解答:解:(1) 5 (x—1)—2 ( x+1) =3 ( x—1) +x+13x —7=4x —2• x= —5;_ 15 - 30x(2 )原方程可化为:=~~12~~2CT-去分母得:40x+60=5 (18 —18x)—3 (15 —30x),去括号得:40x+60=90 —90x —45+90X,移项、合并得:40x=- 15 ,系数化为1得:x=-:.点评:(1 )本题易在去分母、去括号和移项中出现错误,还可能会在解题前产生害怕心理•因为看到小数、分数比较多,学生往往不知如何寻找公分母,怎样合并同类项,怎样化简,所以我们要教会学生分开进行,从而达到分解难点的效果;(2)本题的另外一个重点是教会学生对于分数的分子、分母冋时扩大或缩小若干倍,值不变•这一性质在今后常会用到.9 •解方程:「迸G弓考点:解一兀一次方程.专题:计算题.分析:这是一个带分母的方程,所以要先去分母,再去括号,最后移项,化系数为1 , 从而得到方程的解.解答:解:K_ 3i+l _ x - 13 6 2去分母得:2x -(3x+1) =6 - 3(x- 1),去括号得:2x-3x- 1=6 -3x+3,移项、合并同类项得:2x=10,系数化为1得:点评:去分母时,方程两端同乘各分母的最小公倍数时,不要漏乘没有分母的项,同时要把分子 (如果是一个多项式)作为一个整体加上括号.10 .解方程:(1)4x - 3 (4 - x) =2;(2)£ (x- 1) =2-g (x+2).考点:解一兀一次方程.专题:计算题.分析:(1)先去括号,再移项,合并同类项,系数化1,即可求出方程的解;(2)先去分母,再去括号,移项,合并同类项,系数化1可求出方程的解.解答:解:(1) 4x-3(4 - x) =2去括号,得4x-12+3x=2移项,合并同类项7x=14 系数化1,得x=2.(2)丄(x- 1)2=2-琴(x+2)去分母,得5 ( x-1) =20 - 2(x+2)去括号,得5x-5=20 - 2x - 4移项、合并同类项,得7x=21 系数化1,得x=3.点评:(1 )此题主要是去括号,移项,合并同类项,系数化1 .(2 )方程两边每一项都要乘各分母的最小公倍数,方程两边每一项都要乘各分母的最小公倍数,切勿漏乘不含有分母的项,另外分数线有两层意义,一方面它是除号,另一方面它又代表着括号,所以在去分母时,应该将分子用括号括上.解一元一次方程;有理数的混合运算. 计算题.(1 )根据有理数的混合运算法则计算:先算乘方、后算乘除、再算加减;(2 )两边同时乘以最简公分母4,即可去掉分母.解:(1)原式( _ gx呂 _ 2)49J!一2.(2)去分母得:2 (x- 1) - (3x-1) =- 4, 解得:x=3. 解答此题要注意:(1)去分母时最好先去中括号、再去小括号,以减少去括号带来的符号变化次数;(2) 去分母就是方程两边同时乘11 .计算:(1)计算: —三[—3“ < -£)2-2]x - 1 _ 3x - 1_-12 4(2)解方程:考点:专题:分析:解答:点评:以分母的最简公分母.12 .解方程:广八3x _ 1 1 - 5蛊⑴⑵ 2[4X-(刍-〕仝3 3 2 4考点:解一元一次方程.专题:计算题.分析:(1 )这是一个带分母的方程,所以要先去分母,再去括号,最后移项,化系数为1,从而得到方程的解.(2 )解一元一次方程的一般步骤:去分母、去括号、移项、合并同类项、化系数为1 .解答:解:(1)去分母得:3 (3x - 1)+18=1 - 5x,去括号得:9x-3+18=1 - 5x,移项、合并得:14x=- 14,系数化为1得:x=- 1 ;(2)去括号得:艮¥x+1居孑骨+1才移项、合并同类项得:丄x= - 1 ,12T系数化为1得:12X=-〒点评:本题考查解一兀一次方程,正确掌握解一元一次方程的一般步骤,注意移项要变号、去分母时“ 1也要乘以最小公倍数.13 .解方程:(1)3兀+1■2-3x _ 2102z+35(2)4 ( K_D_K+1.0.5=-4解一元一次方程.计算题.(1 )去分母、去括号、移项、合并同类项、化系数为1 .(2 )去分母、去括号、移项、合并同类项、化系数为1 .(1 )解:去分母得:5 (3x+1)-2X 10=3x- 2-2 (2x+3),去括号得:15x+5 - 20=3x-2 - 4x- 6,移项得:15x+x= -8+15,合并得:16x=7,(2)解:4 (x- 1)- 18 (x+1) =-36, 4x-4 - 18x - 18=- 36,-14x= - 14,x=1.本题考查解一元一次方程,正确掌握解一元一次方程的一般步骤,注意移项要变号、去分母时“ 1也要乘以最小公倍数.考点:专题:分析:解答:点评:14 .解方程:(1) 5 (2x+1)- 2 ( 2x- 3) =6(2) x - 2 4 - 3^+2 4 -6(3) 卫[3 (x- 丄)+^]=5x - 1323考点:解一元一次方程.专题:计算题.分析:(2 )通过去括解答: 号、移项、合并同类项、系数化为1,解得x的值;(3 )乘最小公倍数去分母即可;(4 )主要是去括号,也可以把分数转化成整数进行计算.解:(1)去括号得:10x+5 -4x+6=6移项、合并得:6x= - 5, 方程两边都除5;6;以6,得x=-(2)去分母得:3 (x- 2) =2 (4 -3x) +24,去括号得:3x-6=8 - 6x+24,移项、合并得:9x=38,方程两边都除x= 19 (3 )整理得:以9,得(込)4+=]=5x - 1,4x—2+1=5x-1,移项、合并得:x=0.15点评: 一元一次方程的解法:一般要 通过去分母、去 括号、移项、合 并同类项、未知 数的系数化为1 等步骤,把一个 一元一次方程转化”成x=a 的 形式•解题时, 要灵活运用这 些步骤.15 . (A 类)解方程:5x - 2=7x+8;丄(x - 1) -( x+5)= 3 括号、移项、系 数化为1等方 法,求得各方程 的解.解:A 类:5x -2=7x+8移项:5x -7x=8+2化简:-2x=10 即:x= - 5;B 类:〒(x - 1)-(x+5)=--x - 5=-—3化简:」x=5即:x=C 类:(C 类)解方程: 4-葢-2x+l23 考点:解一元一次方 程.专题:计算题.分析: 通过去分母、 去2x+l =1解答: 去括号:—x- 3(B 类)解方程:=!•去分母:3 (4 -x)- 2 (2x+1) =6去括号:12 - 3x-4x - 2=6化简:-7x= - 4即:x=7本题主要考查一元一次方程的解法,比较简单,但要细心运算.考点:解一元一次方程.专题:计算题.分析:(1)去括号以后,移项,合并同类项,系数化为1即可求解;(2) (3)首先去掉分母,再去括号以后,移项,合并同类项,系数化为1以后即可求解;(4)首先根据分数的基本性质,把第一项分母中的化为整数,再去分母,求解.解答:解:(1)去括号得:3x+18=9 - 5+10x移项得:3x- 10x=9 - 5 - 18合并同类项得:-7x= - 14则x=2;(2)去分母得:2x+仁x+3 - 5移项,合并同类项得:x=- 3;(3)去分母得:10y+2 (y+2) =20 - 5 (y- 1)去括号得:10y+2y+4=20 - 5y+5移项,合并同类项得:17y=21系数化为1得:尸爼;y17(4)原方程可以变形为:型型-5x=- 13去分母得:17+20X - 15x=- 3移项,合并同类项得:5x=- 20系数化为1得:x=- 4.点评:解方程的过程中要注意每步的依据,这几个题目都是基础的题目,需要熟练掌握.17.解方程:(1)解方程:4x- 3 (5- x) =13点评:(2)解方程:v x - 2oX—■—考点:解一元一次方程.专题:计算题.分析:(1)先去括号,再移项,化系数为1,从而得到方程的解.(2 )这是一个带分母的方程,所以要先去分母,再去括号,最后移项,化系数为1,从而得到方程的解.解答:解:(1)去括号得:4x -15+3x=13,移项合并得:7x=28,系数化为1得:得x=4;(2 )原式变形为x+3=2K_ 5 23斗5,去分母得:5( 2x-5) +3 (x - 2)=15 (x+3),去括号得10x -25+3x-6=15x+45,移项合并得-2x=76,系数化为1得:x=- 38.点评:本题考查解一元一次方程,解一兀一次方程的一般步骤是:去分母、去括号、移项、合并同类项、化系数为1 •注意移项要变号.程;有理数的混 合运算.(1 )利用平方 和立方的定义 进行计算.(2 )按四则混 合运算的顺序 进行计算.(3 )主要是去 括号,移项合 并.(4 )两边同乘 最小公倍数去 分母,再求值. 解:(1)-I - 2| 3X(-丄)沖存X (讨)=-1 - 1=-2 •(2)- 12- | -—|- 2 -31 3(-3) 2]3*(-2-9) -i+|x3X ( -口) 1 n|=_ —218 • (1)计算:42X- 1 - I - 2|3 X(-二) (2)计算:-12- | -21 -J L X- 2-\3 [3 (3)解方程:4x - 3 (5 - x ) =2; (4)解方程: x _ 2 2K _ 5 k 5 " 3 考点: 解一元一次方(-3) 2] 3-分析: 解答:=_2•(3 )解方程:4x - 3 (5 - x)=2去括号,得4x-15+3x) =2移项,得4x+3x=2+15合并同类项,得7x=17系数化为1,得(4 )解方程:- 2 _ 5 °去分母,得15x-3 (x- 2) =5(2x- 5)-3X 15去括号,得15x-3x+6=10x -25 - 45移项,得15x -3x- 10x= - 25-45 - 6合并同类项,得2x= - 76系数化为1,得x=- 38.点评:前两道题考查了学生有理数的混合运算,后两道考查了学生解一元一次方程的能力.19 . (1)计算:(1 - 2 -4) X (弟);52(2)计算:(-1)c-|) n-舟);(3)解方程:3x+3=2x+7;(4)解方程:g (計15〕二d).□Z J解一元一次方程;有理数的混合运算.考点:计算题.(1 )和(2 )要熟练掌握有理数的混合运算;(3 )和(4 )首先熟悉解一元一次方程的步骤:去分母,去括号,移项,合并同类项,系数化为1.解: (1) (1 - 2-4) > 〈(举5=-5氷=-13;(2)原式=-1 X (-4- 2)(-3x+3=2x+7移项,得3x -2x=7 - 3合并同类项,得x=4;(4 )解方程:去分母,得6(x+15) =15- 10 (x-7)去括号,得6x+90=15 -10X+70移项,得6x+10x=15+70-90合并同类项,得16x=- 5系数化为1,得5(1 )和(2 )要注意符号的处理;(4)要特别(3 )解方程:专题:分析:解答:点评:注意去分母的时候不要发生数字漏乘的现象,熟练掌握去括号法则以及合并同类项法则.20 .解方程(1)-( X- 5) =1;解一元一次方程.(1 )通过去括号、移项、系数化为1等过程,求得x的值;(2 )通过去分母以及去括号、移项、系数化为1等过程,求得x的值.解:(1)-(X-5) =1;去括号得: -+1=1, 二―=0,••• x=0;去分母得:2 (x- 2) +6x=9(3x+5)-( 1-2x),• - 21x=48,16•・x= --x '.此题主要考查了一元一次方程解法,解一元一次方程常见的过程有去括号、移项、系数化为1等.21.解方程:(x+3)- 2 ( x- 1) =9- 3x.(2) x - 2 3 (3乂+5) 1 _ 2x 考点:分析:解答:K-2 3 (3工+5)1-276 点评:考点:解一兀一次方程.专题:计算题.分析:先去括号得x+3—2x+2=9 —3x,然后移项、合并同类得到2x=4, 然后把x的系数化为1即可.解答:解:去括号得x+3—2x+2=9—3x,移项得x —2x+3x=9—3 —2,合并得2x=4,系数化为1得x=2点评:本题考查了解一元一次方程:先去分母,再去括号,接着移项,把含未知数的项移到方程左边,不含未知数的项移到方程右边,然后合并同类项,最后把未知数的系数化为1得到原方程的解. 22. 8x—3=9+5x.5x+2 (3x—7) =9 X - 1 2x+l ’4 6 1 X —4 (2+x)._ 0. 3 x+0.10.4 0.5 J-考点:解一兀一次方程.专题:方程思想.分析:本题是解4个不同的一元一次方程,第一个通过移项、合并同类项及系数化1 求解.第二个先K ~ Q. 3 _x+Q, 1~ 0.5解:IO K H R :—=― +2解答:去括号再通过 移项、合并同类 项及系数化1求 解.第三个先去 分母再同第二 个.第四个先分 子分母乘以10, 再同第三个求 解.8x - 3=9+5x , 解:8x - 5x=9+3,3x=12, /• x=4. ••• x=4是原方程的解;5x+2 ( 3x - 7) =9 - 4 (2+x ),解: 5x+6x -14=9 - 8 - 4x , 5x+6x+4x=9- 8+14, 15x=15,• x=1 . • x=1是原方程 的解.解:3 (x - 1) -2 (2x+1) =12,3x - 3 - 4x - 2=12, 3x -4x=12+3+2,-x=17, • x=- 17. • x= - 17是原 方程的解.5 (10x - 3) =4 (10x+1) +40,50x -15=40x+4+40, 50x -40x=4+40+15, 10x=59,••• x= _」是原方10程的解.点评:此题考查的知识点是解一兀 一次方程,关键 是注意解方程 时的每一步都 要认真仔细,如 移项时要变符 号.考点: 解一元一次方 程.分析:(1 )首先去括号,然后移项、 合并同类项,系 数化成1,即可 求解;(2 )首先去分 母,然后去括 号,移项、合并 同类项,系数化 成1,即可求解 解答: 解:(1)去括号,得:-=-+ 移项,得:+=++ 合并同类项, 得:=, 则 x=4;(2)去分母得:7 (1 - 2x ) =3(3x+1)- 42, 去括号,得:7101-乃^+1 3=7(2)-2.23 .解下列方程:(1)- =-( x - 1 );-14x=9x+3 -42,移项,得:-14x -9x=3 - 42 -7,合并同类项, 得:-23x=-46, 则 x=2.点评:本题考查解一 元一次方程,解一元一次方程的一般步骤是:去分母、去括号、移项、合并同类项、化系数为1注意移项(4) 2 ( x+1) +6=3(3x - 2),2x+2+6=9x- 6, 2x -9x= - 6 - 2-6,要变号.-7x= - 14, x=2. 24. 解方程:点评:本题考查解一(1) -+3x=10; 兀一次方程,解(2) 3x+8=2x+6; 一兀一次方程(3) 2x+3 (x+1) =5 - 4 (x - 1); 的一般步骤是:x+1 3x - 2去分母、去括(4) Hr U- 2 .号、移项、合并同类项、化系数考点: 解一兀一次方为1 •注意移项程. 要变号.分析(1)移项,合并同类项,然后_ 1 ~|5x - 625.解方程:---- _------- 0 2系数化成1即可| 2 | 5求解;(2)移项,合考点:解一兀一次方并同类项,然后程.系数化成1即可专题:计算题.求解;分析:方程两边乘以(3 )去括号、10去分母后,去移项,合并同类括号,移项合项,然后系数化并,将x系数化成1即可求解;为1,即可求出(4 )首先去分解.母,然后去括解答:解:去分母得:号、移项,合并 5 (3x- 1)- 2同类项,然后系(5x- 6) =2,数化成1即可求去括号得:15x解. -5 -解答解:(1) 3x=, 10x+12=2,x=;移项合并得:5x= - 5,(2) 3x- 2x=6 解得:x= - 1.-8, 点评:此题考查了解x=- 2 ;一兀一次方程,其步骤为:去分(3) 2x+3x+3=5 母,去括号,移-4x+4, 项合并,将未知2x+3x+4x=5+4—数系数化为1,3, 求出解.9x=6,2X七;26 .解方程:(1) 10x- 12=5x+15; ⑵变号. 吉丘-C-l) ]=-| 2)32 3 227.解万程:考点:(1) 8y—3 (3y+2) =7解一兀一次方_ 1 - 7程.(2) ----- - 1=--------r 6专题:计算题.分析:(1 )先移项,考点解兀次方再合并同类项,程.最后化系数为专题计算题.1,从而得到方分析: (1 )根据一兀程的解;一次方程的解(2)先去括号,法,去括号,移再移项、合并同项,合并同类类项,最后化系项,系数化为1数为1,从而得即可得解;到方程的解. (2 )这是一个解答:解:(1)移项,带分母的方程,得所以要先去分10x- 母,再去括号,5x=12+15, 最后移项,合并合并同类项,得同类项,系数化5x=27, 为1,从而得到方程的两边同方程的解.时除以5,得解答: 解:(1)去括号27得,8y —9y —x= ・X翔;6=7,移项、合并得,(2 )去括号,—y=13,得系数化为1得,垃+1=2拭-1y=—13;£ = 3 ,方程的两边同(2)去分母得,时乘以6,得 3 (3x—1)—x+1= 4x—2, 12=2 (5x—7),移项、合并同类去括号得,9x —项,得3—12=10x —3x=3, 14,方程的两边同移项得,9x —时除以3,得10x=—x=1. 14+3+12,点评:本题考查解一合并同类项得,兀一次方程,解—x=1,系数化为1得,兀次方程的一般步骤:去x= —1 .分母、去括号、移项、合并同类点评: 本题主要考查-Z 屈??、怜了解兀次项、化系数为万程,注意在去1.注意移项要分母时,方程两端同乘各分母端同乘各分母的最小公倍数的最小公倍数时,不要漏乘没时,不要漏乘没有分母的项,同有分母的项,同时要把分子(如时要把分子(如果是一个多项果是一个多项式)作为一个整式)作为一个整体加上括号. 体加上括号."1 *7 | 28•当k为什么数时,式子「比丄1的值少3- 29.(I)解下列方程:12y - =+5(II)x+1 3x - 2 _ 2x43考点:A77 VAr-rr 210 5解兀次万程.专题:计算题. 考点: 解兀次方分析:先根据题意列程.出方程,再根据专题:计算题.分析: (I)根据一兀兀次方程的解法,去分一次方程的解母,去括号,移法,移项,合并项,合并同类同类项,系数化项,系数化为1 为1即可得解;即可得解. (n)是一个带解答:解:依题意,得分母的方程,所2k+l^-k|, 以要先去分母,3 5再去括号,最后3, 移项,合并同类去分母得,5 项,系数化为1,(2k+1) =3 (17 从而得到方程-k) +45, 的解.去括号得,解答: 解:(I )移项10k+5=51 - 得,12y -- =5,3k+45, 合并同类项得,移项得,2y=5,10k+3k=51+45 系数化为1得,-5,合并同类项得,y=;13k=91, (n )去分母系数化为1得,得,5 (x+1)-k=7, 10= (3x- 2)-•••当k=7时,式 2 (2x+3),子—比子去括号得,5x+5 -10=3x- 2 -QL-+1的值少3. 4x- 6,移项得,5x-点评:本题主要考查-Z 、怜3x+4x= - 2 - 6 -5+10,了解兀次合并同类项得,方程,注意在去分母时,方程两6x= - 3,点评: 系数化为1得,x=-2.2本题主要考查点评:了解一元一次方程,注意在去分母时,方程两端同乘各分母的最小公倍数时,不要漏乘没有分母的项,同时要把分子(如果是一个多项系数化为1,得(8分)本题考查一元次方程的解法.解一元一次30 .解方程: 考点:专题:分析:式)作为.个整体加上括号.3x- 1.1 4K -0. 2 _0・ 16 -0.46.3 - 0- 06解答: 解一元一次方程.计算题.由于方程的分子、分母均有小数,利用分数的基本性质,分子、分母同时扩大相同的倍数,可将小数化成整数.解:原方程变形为30K-11 40^-2 L6 - 70x4~=&,(3 分)去分母,得3X(30x - 11)-4X(40x - 2) =2 X(16 - 70x) , (4分)去括号,得90x-33 -160x+8=32-140x, (5 分)移项,得90x -160x+140x=32+33 - 8, (6 分)合并同类项,得70x=57, (7 分)方程的一般步骤:去分母,去括号,移项,合并同类项,系数化为1•本题的难点在于方程的分子、分母均有小数,将小数化成整数不同于去分母,不是方程两边同乘一个数,而是将分子、分母同乘一个数.。
七年级解一元一次方程专题训练一、解下列一元一次方程:1、2+(x+1)=42、2(2-x )+(x+1)=03、(3-x )+2(x+1)=04、0.2x-3(x+1)=255、3+x+4-6=2x+106、4x+3(x-3)=57、0.9(x-3)+0.8(2+x )=10 8、x 23x2=+-9、5(0.3x+0.6)-2(0.8-x )=0.6 10、3(2x+7)=5+2(x-4) 11、x 23x6726x +=-++ 12、2(3x+1)-2=4x13、2[2(7-21)+4x]=5 14、4x 6.04x32=++15、7{2-5[3-4(x-2)+2]-6}=116、61}1]2)62(3)5[(21{31=-+--+x x17、1x 232-x 15+=+-)( 18、1524213-+=-x x19、2233554--+=+-+x x x x20、6.12.045.03=+--x x二、一元一次方程与实际问题21、甲一班有学生84人,乙班有学生66人,如果要求甲班人数是乙班的32,应从甲班调多少人到乙班去?22、某服装商城进了一款衣服,进价为400元/件,又以某一销售价卖出,结果商城盈利25%,问这款衣服的销售价是多少元?23、一轮船往返甲、乙两城之间,从下游往上游逆水航行需14时,从上游往下游顺水航行需7时,水流速度是3.5千米/时,求轮船在静水中的速度。
24、甲、乙两人完成一件工作,甲单独做需要8小时才能完成,乙单独做只需2小时就能完成。
如果甲加先做3小时,剩下的工作两个人共同完成,问还需几小时完成?参考答案一、解下列一元一次方程:1、【答案】x=1解:2+(x+1)=42+x+1=4x+3=4x=4-3x=12、【答案】x=5解;2(2-x)+(x+1)=04-2x+x+1=0(-2+1)x+(4+1)=0-x+5=03、【答案】 x=-5解:(3-x)+2(x+1)=03-x+2x+2=0x+5=0x=-54、【答案】x =-10解:0.2x-3(x+1)=250.2x-3x-3=25-2.8x=28x =-105、【答案】x=-9解:3+x+4-6=2x+10 1+x=2x+10 x-2x=10-1 - x=9 x=-96、【答案】x=2 解:4x+3(x-3)=5 4x+3x-9=5 7x-9=57x=14 x=27、【答案】x=17109解:0.9(x-3)+0.8(2+x )=10 0.9x-2.7+1.6+0.8x=10(0.9x+0.8x )+(-2.7+1.6)=10 1.7x-1.1=10 1.7x=111 x=171118、【答案】x=2解:x 23x 2=+-x 36x 2=+-2x 8x 48x 3x x 3x -8x 36x 2=-=--=--==+-9、【答案】358x -=解:5(0.3x+0.6)-2(0.8-x )=0.61.5x+3-1.6+2x=0.6(1.5+2)x+(3-1.6)=0.6 3.5x+1.4=0.6 3.5x=0.6-1.4 3.5x=-0.8358x -=10、【答案】x= -6解:3(2x+7)=5+2(x-4)6x+21=5+2x-8 6x-2x=5-8-21 4x=-24 x= -611、【答案】34x =解:34x -2015x -14-18-126x -12x -3x 6x 1212x -14183x x 266x -726)x 3x 23x6726x ===+=+++=+++=-++)()((12、【答案】解:2(3x+1)-2=4x 6x+2-2=4x 6x-4x=0 x=013、【答案】x=821-解:2[2(7-21)+4x]=52[14-1+4x]=5 2(13+4x )=5 26+8x=5 8x=-21x=821-14、【答案】2770解;2770x 14x 4.5216x 4.516x 4.2x 324x 6.04x32==-==++=++15、【答案】35121x =解; 7{2-5[3-4(x-2)+2]-6}=17[2-5(3-4x+8+2)-6]=1 7(2-15+20x-50-6)=1 7(20x-69)=1 140x-483=1140x=48435121x =16、【答案】解:61}1]2)62(3)5[(21{31=-+--+x x 两边同时乘以3得; 211]2)62(3)5[(21=-+--+x x 两边同时乘以2得;12]2)62(3)5[(=-+--+x x去掉中括号,(x+5)-3(2-6x )+2-2=1 去小括号, x+5-6+18x=1 19x=2192x =17、【答案】27x =解:27x 288x -10183x -x 518x 3105x -6x 310-x 51x 2310x 551x 232-x 15=-=--=--=+-=-+=+--+=+-)(18、 【答案】71x -= 解:71x 17x 5104x 815104x 85x 15102x 421x 351524213-=-=+-=--+=--+=--+=-)()()(x x19、【答案】x=6解:2233554--+=+-+x x x x6(x+4)-30x+150=10(x+3)-15(x-2)6x+24-30x+150=10x+30-15x+30(6-30-10+15)x=30+30-24-150 -19x=-114x=620、【答案】x=-9.2 解:2.9276302006016)5020(1620050602016)4(50)3-x 20106.124)x 1053)-x 10106.12.045.03-==-++=-=---=+-=+-=+--x x x x x x x x (两边同时乘以((,母同时乘以左边,每个分式分子分二、一元一次方程与实际问题21、【答案】应从甲班24人到乙班去解:设应从甲班调x 人到乙班去 此时:甲班人数=84-x 乙班人数=66+x因为甲班人数是乙班的32,则有(84-x )=32(66+x )3(84-x )=2(66+x )252-3x=132+2x (-3x+2x )=132-252-5x=-120 x=24检验:甲班人数=84-24=60 乙班人数=66+24=90329060= 符合题意。
初一七年级一元一次方程30题(含答案解析)一.解答题(共30小题)1.(2005•宁德)解方程:2x+1=72.3.(1)解方程:4﹣x=3(2﹣x);(2)解方程:.4.解方程:.5.解方程(1)4(x﹣1)﹣3(20﹣x)=5(x﹣2);(2)x ﹣=2﹣.6.(1)解方程:3(x﹣1)=2x+3;(2)解方程:=x ﹣.7.﹣(1﹣2x)=(3x+1)8.解方程:(1)5(x﹣1)﹣2(x+1)=3(x﹣1)+x+1;(2).9.解方程:.10.解方程:(1)4x﹣3(4﹣x)=2;(2)(x﹣1)=2﹣(x+2).11.计算:(1)计算:(2)解方程:12.解方程:13.解方程:(1)(2)14.解方程:(1)5(2x+1)﹣2(2x﹣3)=6 (2)+2(3)[3(x ﹣)+]=5x﹣115.(A类)解方程:5x﹣2=7x+8;(B 类)解方程:(x﹣1)﹣(x+5)=﹣;(C 类)解方程:.16.解方程(1)3(x+6)=9﹣5(1﹣2x)(2)(3)(4)17.解方程:(1)解方程:4x﹣3(5﹣x)=13 (2)解方程:x ﹣﹣3 18.(1)计算:﹣42×+|﹣2|3×(﹣)3(2)计算:﹣12﹣|0.5﹣|÷×[﹣2﹣(﹣3)2] (3)解方程:4x﹣3(5﹣x)=2;(4)解方程:.19.(1)计算:(1﹣2﹣4)×;(2)计算:÷;(3)解方程:3x+3=2x+7;(4)解方程:.20.解方程(1)﹣0.2(x﹣5)=1;(2).21.解方程:(x+3)﹣2(x﹣1)=9﹣3x.22.8x﹣3=9+5x.5x+2(3x﹣7)=9﹣4(2+x)...23.解下列方程:(1)0.5x﹣0.7=5.2﹣1.3(x﹣1);(2)=﹣2.24.解方程:(1)﹣0.5+3x=10;(2)3x+8=2x+6;(3)2x+3(x+1)=5﹣4(x﹣1);(4).25.解方程:.26.解方程:(1)10x﹣12=5x+15;(2)27.解方程:(1)8y﹣3(3y+2)=7 (2).28.当k 为什么数时,式子比的值少3.29.解下列方程:(I)12y﹣2.5y=7.5y+5(II ).30.解方程:.6.2.4解一元一次方程(三)参考答案与试题解析一.解答题(共30小题)1.(2005•宁德)解方程:2x+1=7考点:解一元一次方程.专题:计算题;压轴题.分析:此题直接通过移项,合并同类项,系数化为1可求解.解答:解:原方程可化为:2x=7﹣1 合并得:2x=6系数化为1得:x=3点评:解一元一次方程,一般要通过去分母,去括号,移项,合并同类项,未知数的系数化为1等步骤,把一个一元一次方程“转化”成x=a的形式.2.考点:解一元一次方程.专题:计算题.分析:这是一个带分母的方程,所以要先去分母,再去括号,最后移项,化系数为1,从而得到方程的解.解答:解:左右同乘12可得:3[2x﹣(x﹣1)]=8(x﹣1),化简可得:3x+3=8x﹣8,移项可得:5x=11,解可得x=.故原方程的解为x=.点评:若是分式方程,先同分母,转化为整式方程后,再移项化简,解方程可得答案.3.(1)解方程:4﹣x=3(2﹣x);(2)解方程:.考点:解一元一次方程.专题:计算题.分析:(1)先去括号,然后再移项、合并同类型,最后化系数为1,得出方程的解;(2)题的方程中含有分数系数,应先对各式进行化简、整理,然后再按(1)的步骤求解.解答:解:(1)去括号得:4﹣x=6﹣3x,移项得:﹣x+3x=6﹣4,合并得:2x=2,系数化为1得:x=1.(2)去分母得:5(x﹣1)﹣2(x+1)=2,去括号得:5x﹣5﹣2x﹣2=2,移项得:5x﹣2x=2+5+2,合并得:3x=9,系数化1得:x=3.点评:(1)本题易在去分母、去括号和移项中出现错误,还可能会在解题前产生害怕心理.因为看到小数、分数比较多,学生往往不知如何寻找公分母,怎样合并同类项,怎样化简,所以我们要教会学生分开进行,从而达到分解难点的效果.(2)本题的另外一个重点是教会学生对于分数的分子、分母同时扩大或缩小若干倍,值不变.这一性质在今后常会用到.4.解方程:.考点:解一元一次方程.专题:计算题.分析:此题两边都含有分数,分母不相同,如果直接通分,有一定的难度,但将方程左右同时乘以公分母6,难度就会降低.解答:解:去分母得:3(2﹣x)﹣18=2x﹣(2x+3),去括号得:6﹣3x﹣18=﹣3,移项合并得:﹣3x=9,∴x=﹣3.点评:本题易在去分母和移项中出现错误,学生往往不知如何寻找公分母,怎样合并同类项,怎样化简,所以我们要教会学生分开进行,从而达到分解难点的效果.5.解方程(1)4(x﹣1)﹣3(20﹣x)=5(x﹣2);(2)x﹣=2﹣.考点:解一元一次方程.专题:计算题.分析:(1)先去括号,再移项、合并同类项、化系数为1,从而得到方程的解;(2)先去分母,再去括号,最后移项,化系数为1,从而得到方程的解.解答:解:(1)去括号得:4x﹣4﹣60+3x=5x﹣10(2分)移项得:4x+3x﹣5x=4+60﹣10(3分)合并得:2x=54(5分)系数化为1得:x=27;(6分)(2)去分母得:6x﹣3(x﹣1)=12﹣2(x+2)(2分)去括号得:6x﹣3x+3=12﹣2x﹣4(3分)移项得:6x﹣3x+2x=12﹣4﹣3(4分)合并得:5x=5(5分)系数化为1得:x=1.(6分)点评:去分母时,方程两端同乘各分母的最小公倍数时,不要漏乘没有分母的项,同时要把分子(如果是一个多项式)作为一个整体加上括号.去括号时要注意符号的变化.6.(1)解方程:3(x﹣1)=2x+3;(2)解方程:=x﹣.考点:解一元一次方程.专题:计算题.分析:(1)是简单的一元一次方程,通过移项,系数化为1即可得到;(2)是较为复杂的去分母,本题方程两边都含有分数系数,如果直接通分,有一定的难度,但对每一个式子先进行化简、整理为整数形式,难度就会降低.解答:解:(1)3x﹣3=2x+33x﹣2x=3+3x=6;(2)方程两边都乘以6得:x+3=6x﹣3(x﹣1)x+3=6x﹣3x+3x﹣6x+3x=3﹣3﹣2x=0∴x=0.点评:本题易在去分母、去括号和移项中出现错误,还可能会在解题前不知如何寻找公分母,怎样合并同类项,怎样化简,所以要学会分开进行,从而达到分解难点的效果.去分母时,方程两端同乘各分母的最小公倍数时,不要漏乘没有分母的项,同时要把分子(如果是一个多项式)作为一个整体加上括号.7.﹣(1﹣2x)=(3x+1)考点:解一元一次方程.专题:计算题.分析:这是一个带分母的方程,所以要先去分母,再去括号,最后移项,化系数为1,从而得到方程的解.解答:解:﹣7(1﹣2x)=3×2(3x+1)﹣7+14x=18x+6﹣4x=13x=﹣.点评:解一元一次方程的一般步骤是去分母、去括号、移项、合并同类项和系数化为1.此题去分母时,方程两端同乘各分母的最小公倍数时,不要漏乘没有分母的项,同时要把分子(如果是一个多项式)作为一个整体加上括号.8.解方程:(1)5(x﹣1)﹣2(x+1)=3(x﹣1)+x+1;(2).考解一元一次方程.点:专题:计算题.分析:(1)可采用去括号,移项,合并同类项,系数化1的方式进行;(2)本题方程两边都含有分数系数,如果直接通分,有一定的难度,但对每一个式子先进行化简、整理为整数形式,难度就会降低.解答:解:(1)5(x﹣1)﹣2(x+1)=3(x﹣1)+x+13x﹣7=4x﹣2∴x=﹣5;(2)原方程可化为:去分母得:40x+60=5(18﹣18x)﹣3(15﹣30x),去括号得:40x+60=90﹣90x﹣45+90x,移项、合并得:40x=﹣15,系数化为1得:x=.点评:(1)本题易在去分母、去括号和移项中出现错误,还可能会在解题前产生害怕心理.因为看到小数、分数比较多,学生往往不知如何寻找公分母,怎样合并同类项,怎样化简,所以我们要教会学生分开进行,从而达到分解难点的效果;(2)本题的另外一个重点是教会学生对于分数的分子、分母同时扩大或缩小若干倍,值不变.这一性质在今后常会用到.9.解方程:.考点:解一元一次方程.专题:计算题.分析:这是一个带分母的方程,所以要先去分母,再去括号,最后移项,化系数为1,从而得到方程的解.解答:解:,去分母得:2x﹣(3x+1)=6﹣3(x﹣1),去括号得:2x﹣3x﹣1=6﹣3x+3,移项、合并同类项得:2x=10,系数化为1得:x=5.点评:去分母时,方程两端同乘各分母的最小公倍数时,不要漏乘没有分母的项,同时要把分子(如果是一个多项式)作为一个整体加上括号.10.解方程:(1)4x﹣3(4﹣x)=2;(2)(x﹣1)=2﹣(x+2).考点:解一元一次方程.专题:计算题.分析:(1)先去括号,再移项,合并同类项,系数化1,即可求出方程的解;(2)先去分母,再去括号,移项,合并同类项,系数化1可求出方程的解.解答:解:(1)4x﹣3(4﹣x)=2去括号,得4x﹣12+3x=2移项,合并同类项7x=14系数化1,得x=2.(2)(x﹣1)=2﹣(x+2)去分母,得5(x﹣1)=20﹣2(x+2)去括号,得5x﹣5=20﹣2x﹣4移项、合并同类项,得7x=21系数化1,得x=3.点评:(1)此题主要是去括号,移项,合并同类项,系数化1.(2)方程两边每一项都要乘各分母的最小公倍数,方程两边每一项都要乘各分母的最小公倍数,切勿漏乘不含有分母的项,另外分数线有两层意义,一方面它是除号,另一方面它又代表着括号,所以在去分母时,应该将分子用括号括上.11.计算:(1)计算:(2)解方程:考点:解一元一次方程;有理数的混合运算.专题:计算题.分析:(1)根据有理数的混合运算法则计减;(2)两边同时乘以最简公分母4,即可去掉分母.解答:解:(1)原式=,=,=.(2)去分母得:2(x﹣1)﹣(3x﹣1)=﹣4,解得:x=3.点评:解答此题要注意:(1)去分母时最好先去中括号、再去小括号,以减少去括号带来的符号变化次数;(2)去分母就是方程两边同时乘以分母的最简公分母.12.解方程:考点:解一元一次方程.专题:计算题.分析:(1)这是一个带分母的方程,所以要为1,从而得到方程的解.(2)解一元一次方程的一般步骤:去分母、去括号、移项、合并同类项、化系数为1.解答:解:(1)去分母得:3(3x﹣1)+18=1﹣5x,去括号得:9x﹣3+18=1﹣5x,移项、合并得:14x=﹣14,系数化为1得:x=﹣1;(2)去括号得:x﹣x+1=x,移项、合并同类项得:x=﹣1,系数化为1得:x=﹣.点评:本题考查解一元一次方程,正确掌握解一元一次方程的一般步骤,注意移项要变号、去分母时“1”也要乘以最小公倍数.13.解方程:(2)考点:解一元一次方程.专题:计算题.分析:(1)去分母、去括号、移项、合并同类项、化系数为1.(2)去分母、去括号、移项、合并同类项、化系数为1.解答:(1)解:去分母得:5(3x+1)﹣2×10=3x﹣2﹣2(2x+3),去括号得:15x+5﹣20=3x﹣2﹣4x﹣6,移项得:15x+x=﹣8+15,合并得:16x=7,解得:;(2)解:,4(x﹣1)﹣18(x+1)=﹣36,4x﹣4﹣18x﹣18=﹣36,﹣14x=﹣14,x=1.点评:本题考查解一元一次方程,正确掌握解一元一次项要变号、去分母时“1”也要乘以最小公倍数.14.解方程:(1)5(2x+1)﹣2(2x﹣3)=6 (2)+2(3)[3(x﹣)+]=5x﹣1考点:解一元一次方程.专题:计算题.分析:(2)通过去括号、移项、合并同类项、系数化为1,解得x的值;(3)乘最小公倍数去分母即可;(4)主要是去括号,也可以把分数转化成整数进行计算.解答:解:(1)去括号得:10x+5﹣4x+6=6移项、合并得:6x=﹣5,方程两边都除以6,得x=﹣;(2)去分母得:3(x﹣2)=2(4﹣3x)+24,去括号得:3x﹣6=8﹣6x+24,移项、合并得:9x=38,方程两边都除以9,得(3)整理得:[3(x﹣)+]=5x﹣1,4x﹣2+1=5x﹣1,移项、合并得:x=0.点评:一元一次方程的解法:一般要通过去分母、去括号、移项、合并同类项、未知数的系数化为1等步骤,把一个一元一次方程“转化”成x=a的形式.解题时,要灵活运用这些步骤.15.(A类)解方程:5x﹣2=7x+8;(B类)解方程:(x﹣1)﹣(x+5)=﹣;(C类)解方程:.考点:解一元一次方程.专题:计算题.分析:通过去分母、去括号、移项、系数化为1等方法,求得各方程的解.解答:解:A类:5x﹣2=7x+8移项:5x﹣7x=8+2化简:﹣2x=10即:x=﹣5;1)﹣(x+5)=﹣去括号:x﹣﹣x﹣5=﹣化简:x=5即:x=﹣;C类:﹣=1去分母:3(4﹣x)﹣2(2x+1)=6去括号:12﹣3x﹣4x﹣2=6化简:﹣7x=﹣4即:x=.点评:本题主要考查一元一次方程的解法,比较简单,但要细心运算.16.解方程(1)3(x+6)=9﹣5(1﹣2x)(2)(3)(4)考点:解一元一次方程.专题:计算题.分析:(1)去括号以后,移项,合并同类项,系数化为1即可求解;(2)(3)首先去掉分母,再去括号以后,移项,合并同类项,系数化为1以后即可求解;答:移项得:3x﹣10x=9﹣5﹣18合并同类项得:﹣7x=﹣14则x=2;(2)去分母得:2x+1=x+3﹣5移项,合并同类项得:x=﹣3;(3)去分母得:10y+2(y+2)=20﹣5(y﹣1)去括号得:10y+2y+4=20﹣5y+5移项,合并同类项得:17y=21系数化为1得:;(4)原方程可以变形为:﹣5x=﹣1去分母得:17+20x﹣15x=﹣3移项,合并同类项得:5x=﹣20系数化为1得:x=﹣4.解方程的过程中要注意每步的依据,这几个题目都是基础的题目,需要熟练掌握.点评:17.解方程:(1)解方程:4x﹣3(5﹣x)=13(2)解方程:x﹣﹣3考点:解一元一次方程.专题:计算题.分析:(1)先去括号,再移项,化系数为1,从而得到方程的解.(2)这是一个带分母的方程,所以要先去分母,再去括号,最后移项,化系数为1,从而得到方程的解.解答:解:(1)去括号得:4x﹣15+3x=13,移项合并得:7x=28,系数化为1得:得x=4;(2)原式变,去分母得:5(2x﹣5)+3(x﹣2)=15(x+3),去括号得10x﹣25+3x﹣6=15x+45,移项合并得﹣2x=76,系数化为1得:x=﹣38.点评:本题考查解一元一次方程,解一元一次方程的一般步骤是:去分母、去括号、移项、合并同类项、化系数为1.注意移项要变号.18.(1)计算:﹣42×+|﹣2|3×(﹣)3(2)计算:﹣12﹣|0.5﹣|÷×[﹣2﹣(﹣3)2] (3)解方程:4x﹣3(5﹣x)=2;(4)解方程:.考点:解一元一次方程;有理数的混合运算.分析:(1)利用平方和立方的定义进行计算.(2)按四则混合运算的顺序进行计算.(3)主要是(4)两边同乘最小公倍数去分母,再求值.解答:解:(1)﹣42×+|﹣2|3×(﹣)3==﹣1﹣1=﹣2.(2)﹣12﹣|0.5﹣|÷×[﹣2﹣(﹣3)2]====.(3)解方程:4x﹣3(5﹣x)=2去括号,得4x﹣15+3x)=2移项,得4x+3x=2+15合并同类项,得7x=17系数化为1,得.(4)解方程:2)=5(2x﹣5)﹣3×15去括号,得15x﹣3x+6=10x﹣25﹣45移项,得15x﹣3x﹣10x=﹣25﹣45﹣6合并同类项,得2x=﹣76系数化为1,得x=﹣38.点评:前两道题考查了学生有理数的混合运算,后两道考查了学生解一元一次方程的能力.19.(1)计算:(1﹣2﹣4)×;(2)计算:÷;(3)解方程:3x+3=2x+7;(4)解方程:.考点:解一元一次方程;有理数的混合运算.专题:计算题.分析:(1)和(2)要熟练掌握有理数的混合运算;(3)和(4)首先熟悉解一元一次方程的步骤:去分母,去括号,移项,合并同类项,系数化为1.解答:解:(1)(1﹣2﹣4)×=﹣=﹣13;(2)原式=﹣1×(﹣4﹣2)×(﹣)=6×(﹣)=﹣9;(3)解方程:3x+3=2x+7移项,得3x﹣2x=7﹣3合并同类项,得x=4;(4)解方程:去分母,得6(x+15)=15﹣10(x﹣7)去括号,得6x+90=15﹣10x+70移项,得6x+10x=15+70﹣90合并同类项,得16x=﹣5系数化为1,得x=.点评:(1)和(2)要注意符号的处理;(4)要特别注意去分母的时候不要发生数字漏乘的现象,熟练掌握去括号法则以及合并同类项法则.20.解方程(1)﹣0.2(x﹣5)=1;(2).考点:解一元一次方程.分析:(1)通过去括号、移项、系数化为1等过程,求得x的值;(2)通过去分母以及去括号、移项、系数化为1等过程,求得x的值.解答:解:(1)﹣0.2(x﹣5)=1;去括号得:﹣0.2x+1=1,∴﹣0.2x=0,∴x=0;(2).去分母得:2(x﹣2)+6x=9(3x+5)﹣(1﹣2x),∴﹣21x=48,∴x=﹣.点评:此题主要考查了一元一次方程解法,解一元一次方程常见的过程有去括号、移项、系数化为1等.21.解方程:(x+3)﹣2(x﹣1)=9﹣3x.考点:解一元一次方程.专题:计算题.分析:先去括号得x+3﹣2x+2=9﹣3x,然后移项、合并同类得到2x=4,然后把x的系数化为1即可.解答:解:去括号得x+3﹣2x+2=9﹣3x,移项得x﹣2x+3x=9﹣3﹣2,合并得2x=4,系数化为1得x=2.点评:本题考查了解一元一次方程:先去分母,再去括号,接着移项,把含未知数的项移到方程左边,不含未知数的项移到方程右边,然后合并同类项,最后把未知数的系数化为1得到原方程的解.22.8x﹣3=9+5x.5x+2(3x﹣7)=9﹣4(2+x)...考点:解一元一次方程.专题:方程思想.分析:本题是解4个不同的一元一次方程,第一个通过移项、合并同类项及系数化1求解.第二个先去括号再通过移项、合并同类项及系数化1求解.第三个先去分母再同第二个.第四个先分子分母乘以10,再同第三个求解.解答:8x﹣3=9+5x,解:8x﹣5x=9+3,3x=12,∴x=4.∴x=4是原方程的解;5x+2(3x﹣7)=9﹣4(2+x),解:5x+6x﹣14=9﹣8﹣4x,5x+6x+4x=9﹣8+14,15x=15,∴x=1.∴x=1是原方程的解..解:3(x﹣1)﹣2(2x+1)=12,3x﹣3﹣4x﹣2=12,3x﹣4x=12+3+2,﹣x=17,∴x=﹣17.∴x=﹣17是原方程的解.,解:,5(10x﹣3)=4(10x+1)+40,50x﹣15=40x+4+40,50x﹣40x=4+40+15,10x=59,∴x=.∴x=是原方程的解.点评:此题考查的知识点是解一元一次方程,关键是注意解方程时的每一步都要认真仔细,如移项时要变符号.23.解下列方程:(1)0.5x﹣0.7=5.2﹣1.3(x﹣1);(2)=﹣2.考点:解一元一次方程.分析:(1)首先去括号,然后移项、合并同类项,系数化成1,即可求解;(2)首先去分母,然后去括号,移项、合并同类项,系数化成1,即可求解解答:解:(1)去括号,得:0.5x﹣0.7=5.2﹣1.3x+1.3移项,得:0.5x+1.3x=5.2+1.3+0.7 合并同类项,得:1.8x=7.2,则x=4;(2)去分母得:7(1﹣2x)=3(3x+1)﹣42,去括号,得:7﹣14x=9x+3﹣42,移项,得:﹣14x﹣9x=3﹣42﹣7,合并同类项,得:﹣23x=﹣46,则x=2.点评:本题考查解一元一次方程,解一元一次方程的一般步骤是:去分母、去括号、移项、合并同类项、化系数为1.注意移项要变号.24.解方程:(1)﹣0.5+3x=10;(2)3x+8=2x+6;(3)2x+3(x+1)=5﹣4(x﹣1);(4).考点:解一元一次方程.分析:(1)移项,合并同类项,然后系数化成1即可求解;(2)移项,合并同类项,然后系数化成1即可求解;(3)去括号、移项,合并同类项,然后系数化成1即可求解;(4)首先去分母,然后去括号、移项,合并同类项,然后系数化成1即可求解.解答:解:(1)3x=10.5,x=3.5;(2)3x﹣2x=6﹣8,x=﹣2;(3)2x+3x+3=5﹣4x+4,2x+3x+4x=5+4﹣3,9x=6,x=;(4)2(x+1)+6=3(3x﹣2),2x+2+6=9x﹣6,2x﹣9x=﹣6﹣2﹣6,﹣7x=﹣14,x=2.点评:本题考查解一元一次方程,解一元一次方程的一般步骤是:去分母、去括号、移项、合并同类项、化系数为1.注意移项要变号.25.解方程:.考点:解一元一次方程.专题:计算题.分析:方程两边乘以10去分母后,去括号,移项合并,将x系数化为1,即可求出解.解答:解:去分母得:5(3x﹣1)﹣2(5x﹣6)=2,去括号得:15x﹣5﹣10x+12=2,移项合并得:5x=﹣5,解得:x=﹣1.点评:此题考查了解一元一次方程,其步骤为:去分母,去括号,移项合并,将未知数系数化为1,求出解.26.解方程:(1)10x﹣12=5x+15;(2)考点:解一元一次方程.专题:计算题.分析:(1)先移项,再合并同类项,最后化系数为1,从而得到方程的解;(2)先去括号,再移项、合并同类项,最后化系数为1,从而得到方程的解.解答:解:(1)移项,得10x﹣5x=12+15,合并同类项,得5x=27,方程的两边同时除以5,得x=;(2)去括号,得=,方程的两边同时乘以6,得x+1=4x﹣2,移项、合并同类项,得3x=3,方程的两边同时除以3,得x=1.点评:本题考查解一元一次方程,解一元一次方程的一般步骤:去分母、去括号、移项、合并同类项、化系数为1.注意移项要变号.27.解方程:(1)8y﹣3(3y+2)=7 (2).考点:解一元一次方程.专题:计算题.分析:(1)根据一元一次方程的解法,去括号,移项,合并同类项,系数化为1即可得解;(2)这是一个带分母的方程,所以要先去分母,再去括号,最后移项,合并同类项,系数化为1,从而得到方程的解.解答:解:(1)去括号得,8y﹣9y﹣6=7,移项、合并得,﹣y=13,系数化为1得,y=﹣13;(2)去分母得,3(3x﹣1)﹣12=2(5x﹣7),去括号得,9x﹣3﹣12=10x﹣14,移项得,9x﹣10x=﹣14+3+12,合并同类项得,﹣x=1,系数化为1得,x=﹣1.点评:本题主要考查了解一元一次方程,注意在去分母时,方程两端同乘各分母的最小公倍数时,不要漏乘没有分母的项,同时要把分子(如果是一个多项式)作为一个整体加上括号.28.当k为什么数时,式子比的值少3.考点:解一元一次方程.专题:计算题.分析:先根据题意列出方程,再根据一元一次方程的解法,去分母,去括号,移项,合并同类项,系数化为1即可得解.解答:解:依题意,得=+3,去分母得,5(2k+1)=3(17﹣k)+45,去括号得,10k+5=51﹣3k+45,移项得,10k+3k=51+45﹣5,合并同类项得,13k=91,系数化为1得,k=7,∴当k=7时,式子比的值少3.点评:本题主要考查了解一元一次方程,注意在去分母时,方程两端同乘各分母的最小公倍数时,不要漏乘没有分母的项,同时要把分子(如果是一个多项式)作为一个整体加上括号.29.解下列方程:(I)12y﹣2.5y=7.5y+5(II).考点:解一元一次方程.专题:计算题.分析:(Ⅰ)根据一元一次方程的解法,移项,合并同类项,系数化为1即可得解;(Ⅱ)是一个带分母的方程,所以要先去分母,再去括号,最后移项,合并同类项,系数化为1,从而得到方程的解.解答:解:(Ⅰ)移项得,12y﹣2.5y﹣7.5y=5,合并同类项得,2y=5,系数化为1得,y=2.5;(Ⅱ)去分母得,5(x+1)﹣10=(3x﹣2)﹣2(2x+3),去括号得,5x+5﹣10=3x﹣2﹣4x﹣6,移项得,5x﹣3x+4x=﹣2﹣6﹣5+10,合并同类项得,6x=﹣3,系数化为1得,x=﹣.点评:本题主要考查了解一元一次方程,注意在去分母时,方程两端同乘各分母的最小公倍数时,不要漏乘没有分母的项,同时要把分子(如果是一个多项式)作为一个整体加上括号.30.解方程:.考点:解一元一次方程.专题:计算题.分析:由于方程的分子、分母均有小数,利用分数的基本性质,分子、分母同时扩大相同的倍数,可将小数化成整数.解答:解:原方程变形为,(3分)去分母,得3×(30x﹣11)﹣4×(40x﹣2)完美WORD格式=2×(16﹣70x),(4分)去括号,得90x﹣33﹣160x+8=32﹣140x,(5分)移项,得90x﹣160x+140x=32+33﹣8,(6分)合并同类项,得70x=57,(7分)系数化为1,得.(8分)点评:本题考查一元一次方程的解法.解一元一次方程的一般步骤:去分母,去括号,移项,合并同类项,系数化为1.本题的难点在于方程的分子、分母均有小数,将小数化成整数不同于去分母,不是方程两边同乘一个数,而是将分子、分母同乘一个数.专业知识分享。
七年级一元一次方程计算练习300道(含答案)一.解答题(共50小题)1.解下列方程:(1)4﹣4(x﹣3)=2(9﹣x)(2)x﹣=﹣12.解方程:(1)2(x+8)=3x﹣1(2)3.解方程:(1)5x﹣6=3x﹣4(2)﹣=14.解下列方程:(1)x﹣2=﹣2;(2)3x﹣5=5x﹣(2+x);(3)﹣=1;(4)[2(x﹣)+]=6x.5.解方程:(1)x﹣9=4x+27(2)1﹣x=3x+(3)12(2﹣3x)=4x+4(4)=(5)﹣=1(6)﹣=126.解方程(1)2(x﹣3)=x+2(2)1﹣=7.解下列方程:(1)2(x﹣2)﹣3(4x﹣1)=9(1﹣x);(2)﹣=﹣2.8.解方程9.解方程:10.解下列方程(1)3x﹣1=x+3(2)﹣=111.解方程:(1)5x=3x﹣4;(2).12.解下列方程:(1)﹣3x﹣6=9(2)5﹣4x=﹣6x+7(3)2(x﹣1)+2=4x﹣6(4)=1.13.解方程:(1)x﹣3(x+1)﹣1=2x(2)y﹣=3+14.解方程:(1)4x+3=2(x﹣1)+1;(2)x;(3);(4)x﹣+2.15.解方程:(1)2(2x+3)+3(2x+3)=15;(2)﹣=1.16.解下列一元一次方程:(1)4x+7=32﹣x(2)8x﹣3(3x+2)=1(3)2(y﹣)=(3y﹣2)(4)﹣=117.化简或解方程:(1)化简:3a2﹣[5a﹣(2a﹣3)+4a2](2)解方程:+1=18.解方程(1)2(x+8)=3(x﹣1)(2)19.(1)计算:﹣12+16÷(﹣2)3×|﹣3﹣1|(2)解方程:7x﹣3(3x+2)=6(3)解方程:﹣x=20.解方程:(1)4(x﹣2)﹣1=3(x﹣1);(2)21.解方程(1)2(2x﹣1)=1﹣(3﹣x)(2)22.解方程:(1)4﹣3(2﹣x)=5x;(2).23.解下列方程:(1)2x﹣2=3x+5(2).24.(1)计算:﹣(﹣1)4+(﹣42)×()2+23(2)解方程:25.解方程:(1)3x+2(x﹣3)=8﹣(x+2)(2)=﹣126.解方程:(1)2(10﹣0.5x)=﹣(1.5x+2);(2)+=2﹣27.解方程:(1)4x﹣5=10﹣x;(2)﹣=1.28.解方程:(1)4(x﹣1)﹣3=7;(2)﹣=1.29.解方程:(1)7﹣2x=3﹣4(x﹣2)(2)30.解方程:(1)4(x﹣2)=2﹣x;(2).31.解方程(1)3x+7=32﹣2x;(2)﹣1=32.解方程(1)﹣(3x+1)+2x=2(1.5x﹣1)(2)1﹣.(1)2﹣3x=x+1(2)34.解方程(1)2(100﹣15x)=60+5x(2)=1.35.解方程:(1)5(x+8)=6(2x﹣7)+5(2)=﹣1 36.(1)[4(x﹣)+]=1;(2)+=1﹣.37.解方程:(1)2(x+1)+3=1﹣(x﹣1)(2)=2﹣(1)3(2x﹣1)=﹣15;(2)﹣=139.解方程:(1)5x+3(2x﹣3)=13(2)2[x﹣(2x﹣)]=x (3)+=2﹣40.解方程:(1)3﹣2(x﹣3)=2﹣3(2x﹣1);(2)41.解方程:(1)5(x﹣1)=3(x+1);(2)﹣=1.42.解方程(1)10x+7=12x﹣5(2)(3)43.解方程:﹣=1.44.解下列方程:(1)2x﹣(x+10)=5x+2(1﹣x).(2)3x+.45.=﹣146.解方程(1)3(x﹣1)+6=2(x+3)+7(2)1+=.47.解方程:(1)5(2﹣x)﹣3(2x﹣1)=2(2)﹣=1﹣48.解方程(1)3x﹣2(x﹣1)=9﹣4(x+3)(2)=3+49.解方程=﹣150.解方程:(1)﹣=﹣1(2)10x+7=14x﹣5﹣3x七年级一元一次方程计算练习300道答案一.解答题(共50小题)1.【解】(1)去括号得:4﹣4x+12=18﹣2x,移项合并得:﹣2x=2,解得:x=﹣1;(2)去分母得:15x ﹣3x+6=10x﹣5﹣15,移项合并得:2x=﹣26,解得:x=﹣13.2.【解】(1)去括号得:2x+16=3x﹣1,移项合并得:x=17;(2)去分母得:5x﹣5=10﹣6x﹣4,移项合并得:11x=11,解得:x=1.3.【解】(1)移项合并得:2x=2,解得:x=1;(2)去分母得:2x﹣14﹣3﹣3x=6,移项合并得:﹣x=23,解得:x=﹣23.4.【解】(1)x=﹣2+2,x=0;(2)x=﹣3;(3)x=2;(4x=﹣.5.【解】(1)x=﹣12,(2)x=﹣,(3)x=,(4)x=﹣1,(5)x=﹣3,(6)x=.6.【解】(1)x=8.(2)x=1.7.【解】(1)x=﹣10,(2)x=﹣1.8.【解】x=.9.【解】x=110.【解】(1)x=2,(2)x=﹣7.11.【解】(1)x=﹣2,(2)x=4.12.【解】(1)x=﹣5,(2)x=1,(3)x=3,(4)x=.13.【解】(1)x=﹣1,(2)y=﹣7.14.【解】(1)x=﹣2(2)x=0(3)x=6(4)x=15.【解】(1)x=0.(2)x=﹣17.16.【解】(1)x=5;(2)x=﹣7;(3)y=4.(4)y=.17.【解】(1)=﹣a2﹣3a﹣3;(2)x=﹣1.5.18.【解】(1)x=19;(2)x=.19.【解】(1)=﹣9;(2)x=﹣6;(3)x=﹣.20.【解】(1)x=6;(2)x=﹣23.21.【解】(1)x=0;(2)x=﹣0.9,22.【解】(1)x=﹣1;(2)x=.23.【解】(1)x=﹣7;(2)y=﹣0.4.24.【解】(1)3;(2)x=﹣15.25.【解】(1)x=2,(2)x=5.26.【解】(1)x=﹣44;(2)y=.27.【解】(1)x=3;(2)x=2.28.【解】(1)x=.(2)x=0.29.【解】(1)x=2;(2)x=﹣1.5.30.【解】(1)x=2;(2)y=.31.【解】(1)x=5;(2)y=.32.【解】(1)x=(2)x=﹣633.【解】(1)x=(2)=34.【解】(1)x=4(2)x=﹣35.【解】(1)x=11;(2)x=﹣1.5.36.【解】(1)x=;(2)x=;37.【解答】(1)x=﹣1;(2).38.【解】(1)x=﹣2;(2)x=﹣7.39.【解】(1)x=2;(2);(3).40.【解】(1)x=﹣1;(2)y=0.41.【解】(1)x=4;(2)x=﹣4.42.【解】(1)x=6;(2)x=2;(3)x=.43.【解】x=﹣.44.【解】(1)x=﹣6;(2)x=.45.【解】y=﹣2.46.【解】(1)x=10;(2)x=47.【解】(1)x=1;(2)x=2.48.【解】(1)x=﹣1,(2)x=4.49.【解】x=11.50.【解】(1)x=;(2)x=12.。
初一年级奥数一元一次方程试题一、选择题(每小题3分,共24分)1.下列说法中,准确的是()。
(A)方程是等式;(B)等式是方程;(C)含有字母的等式是方程;(D)不含字母的方程是等式。
2.下列等式变形准确的是( )。
(A)如果s = ab,那么b = ;(B)如果 x = 6,那么x = 3;(C)如果x-3 = y-3,那么x-y = 0;(D)如果mx = my,那么x = y。
3.下列四个式子中是方程的是()。
(A);(B);(C)(D)。
4.是下列方程( )的解。
(A)(B);(C)(D)。
5.在解方程:时,去括号准确的是()。
(A)(B)(C)(D)6.在解方程:时,去分母准确的是()。
(A)(B);(C)(D)。
7.某件商品9折降价销售后每件商品售价为元,则该商品每件原价为( )。
(A)0.9 (B)1.1 (C)(D)8.一个两位数,个位数字与十位数字的和是9,如果将个位数字与十位数字对调后所得的新数比原数大9,则原来的两位数为()。
(A)54 (B)27 (C)72 (D)45二、填空题(每小题3分,共21分)9.在等式的两边同时_____________________,得到,这是根据_____________________。
10.关于的方程(2k-1) 2-(2k+1) +3=0是一元一次方程,则k=______________。
11.方程:的解是 _____,如果是方程的解,则=______。
12.某厂的产值年平均增长率为,若第一年的产值为50万元,则第二年的产值为________________万元。
13.根据“比的2倍小3的数等于的3倍”可列方程表示为:______________________。
14.当等于什么数时,与的值互为相反数?列方程表示为:_________________。
15.某中学七、八年级共1000名学生,八年级学生比七年级少40人,设七年级有名学生,可列出方程:______________________________。
自我测试 60分钟看看准确率 牛刀小试 相信自己一定行1、712=+x ;2、825=-x ;3、7233+=+x x ;4、735-=+x x ;解:(移项)(合并)(化系数为1)5、914211-=-x x ;6、2749+=-x x ;7、162=+x ;8、9310=-x ;解:(移项)(合并)(化系数为1)9、x x -=-324; 10、4227-=+-x x ;11、8725+=-x x ;12、32141+=-x x 解:(移项)(合并)(化系数为113、1623+=x x 14、253231+=-x x ;15、152+=--x x ; 16、23312+=--x x 解:(移项)(合并)(化系数为1).17、 475.0=)++(x x ; 18、2-41)=-(x ; 19、511)=-(x ; 20、212)=---(x ; 解:(去括号)(移项)(合并)(化系数为1)21、)12(5111+=+x x ; 22、32034)=-(-x x . 23、5058=)-+(x ; 24、293)=-(x ; 解:(去括号)(移项)(合并)(化系数为1)25、3-243)=+(x ; 26、2-122)=-(x ; 27、443212+)=-(x x ; 28、323236)=+(-x ; 解:(去括号)(移项)(合并) (化系数为1)29、x x 2570152002+)=-(; 30、12123)=+(x .31、452x x =+; 32、3423+=-x x ; 解:(去分母)(去括号)(移项)(合并)(化系数为1)33、)-()=+(3271131x x ; 34、)-()=+(131141x x ; 35、142312-+=-x x ; 解:(去分母)(去括号)(移项)(合并)(化系数为136、)+(-)=-(2512121x x . 37、)+()=+(20411471x x ; 38、)-(-)=+(731211551x x . 解:(去分母)(去括号)(移项)(合并)(化系数为139、432141=-x ; 40、83457=-x ; 41、815612+=-x x ; 42、629721-=-x x ; 解:(去分母)(去括号)(移项)(合并)(化系数为143、1232151)=-(-x x ; 44、1615312=--+x x ; 45、x x 2414271-)=+(; 解:(去分母)(去括号)(移项)(合并)(化系数为146、259300300102200103 )=-()-+(x x . 47、307221159138)=-()--()--(x x x ; 解:(去分母)(去括号)(移项)(合并)(化系数为148、51413121-=+x x ; 49、13.021.02.015.0=-+--x x ; 50、3.01-x -5.02+x =12. 解:(化整)(去分母)(去括号)(移项)(合并)(化系数为1【参考答案】1、【答案】 (1)3=x ; (2)2=x ; (3)4=x ; (4)6=x ;(5)37=x ; (6)12=-x ; (7)4=x ; (8)32=-x . 1.1、【答案】 (9)25=-x ; (10)56=x ; (11)5=-x ; (12)31=-x ; (13)1=x ; (14)32=x ; (15)35=-x ; (16)1=x . 2、【答案】(17)1=x ;(18)1=-x ; (19)56=x ; (20)3=-x ; (21)4=x ; (22)9=x .2.1、【答案】(23)7=-x ; (24)23=-x ; (25)11=-x ; (26)4=-x ; (27)21=x ; (28)910=x ; (29)6=x ; (30)23=x . 3、【答案】 (31)8=x ; (32)51=x ; (33)16=-x ; (34)7=x ; (35)52=-x ; (36)3=x ; (37)28=-x ; (38)165=-x .3.1、【答案】 (39)5=x ; (40)1413=x ; (41)1=-x ; (42)320=-x ; (43)1225=x ; (44)3=-x ; (45)87=x ; (46)216=x .4、【答案】 (47)3=x ; (48)1532=-x ; (49)1364=x ; (50)229=x .。
七年级一元一次方程计算题一、简单的一元一次方程求解(1 - 10题)1. x + 5 = 12- 解析:方程两边同时减去5,得到x+5 - 5=12 - 5,即x = 7。
2. 2x-3 = 7- 解析:首先方程两边同时加上3,得到2x - 3+3=7 + 3,即2x=10。
然后方程两边同时除以2,2x÷2 = 10÷2,解得x = 5。
3. 3(x + 1)=18- 解析:先使用分配律将括号展开,得到3x+3 = 18。
方程两边同时减去3,3x+3 - 3=18 - 3,即3x = 15。
最后方程两边同时除以3,3x÷3=15÷3,解得x = 5。
4. (x)/(2)+1 = 3- 解析:方程两边同时减去1,得到(x)/(2)+1 - 1=3 - 1,即(x)/(2)=2。
然后方程两边同时乘以2,(x)/(2)×2 = 2×2,解得x = 4。
5. 4x-2x+3 = 7- 解析:先合并同类项,4x-2x = 2x,方程变为2x+3 = 7。
方程两边同时减去3,2x+3 - 3=7 - 3,即2x = 4。
最后方程两边同时除以2,2x÷2 = 4÷2,解得x = 2。
6. 5(x - 2)=3x- 解析:先展开括号,得到5x-10 = 3x。
方程两边同时减去3x,5x-3x - 10=3x - 3x,即2x-10 = 0。
方程两边同时加上10,2x-10 + 10=0 + 10,即2x = 10。
最后方程两边同时除以2,2x÷2 = 10÷2,解得x = 5。
7. (2x + 1)/(3)=3- 解析:方程两边同时乘以3,得到2x + 1=9。
方程两边同时减去1,2x+1 - 1=9 - 1,即2x = 8。
最后方程两边同时除以2,2x÷2 = 8÷2,解得x = 4。
8. 3x+5 = 2x - 1- 解析:方程两边同时减去2x,3x - 2x+5 = 2x - 2x-1,即x+5=-1。
自我测试 60 分钟看看准确率 牛刀小试 相信自己一定行1、2x +1=7;2、5x -2=8;3、3x +3=2x +7;4、x +5=3x -7 ;解:(移项)(合并) (化系数为 1)5、11x -2=14x -9;6、x -9=4x +27 ;7、 2x +6=1;8、10 x -3=9;解:(移项)(合并) (化系数为 1)1 1 9、4x -2=3-x ; 10、-7x +2=2x -4 ;11、5x -2=7x +8 ;12、 x =- x 3 42+解:(移项)(合并) (化系数为 1313、 x = x 1614、+ 23 5 21 x1- x =3x + ;15、1-xx + ; 16、 x2=-2 - =- +2253 3解:(移项)(合并)(化系数为 1).17、4(x +0 .5)+x =7 ; 18、-2(x -1)=4;19、5(x -1)=1; 20、 2-(1-x )=- 2 ;解:(去括号) (移项) (合并) (化系数为 1)21、11x +1=5(2x +1) ;22、4x -(3 2 0-x )=3.23、5(x +8)-5=0;24、2(3-x )=9 ;解:(去括号) (移项) (合并) (化系数为 1)25、-3(x +3)=24 ; 26、-2(x -2)=12 ; 27、1(2 2-3x )=4x +4 ; 28、2 26-(3 x + )= ;3 3解:(去括号)(移项) (合并) (化系数为 1)29、(2 200-15x )=70+25x ;30、(3 2x +1)=12 .31、解:(去分母)x +2x = 5 4; 32、3-xx +4 = 2 3;(去括号) (移项) (合并) (化系数为 1)1 1 1 1 2x-1 x 2+33、(x+1)=(2x-3);34、(x+1)=(x-1);35、 1=-;3 74 3 3 4解:(去分母)(去括号)(移项)(合并)(化系数为 11 1 1 1 1 1 136、(x-1)=2-(x+2). 37、(x+14)=(x+20);38、(x+15)=-(x-7).2 5 7 4 5 2 3解:(去分母)(去括号)(移项)(合并)(化系数为 139、1413x;40、-=247 x5-4=38;41、2x-1 5x+1=68;42、19x-2x-;7=26解:(去分母)(去括号)(移项)(合并)(化系数为 11 1 2x+1 5x 1-43、x- 3 2x 1;44、 1(-)=-=5 2 3 6解:(去分母)1;45、2x14 4 2x(+)=-;7(去括号)(移项)(合并)(化系数为 146、3 29(200 x 300 x 300 .47、(8 3x-1)-(9 5x-11)-(2 2x-7)=30;+)-(-)=10 1025解:(去分母)(去括号)(移项)(合并)(化系数为 148、121 1 1 0.5 x-1 0 .1x 2+x+x ;49、 1=--=-;50、3 4 5 0.2 0.3x 1-0.3-x+20.5=12 .解:(化整)(去分母)(去括号)(移项)(合并)(化系数为1【参考答案】 1、【答案】(1)x =3 ;(2)x =2; (3)x =4 ;(4)x =6;(5)7x ; (6) x =-12 ; (7) x =4 ; (8) x =- 32. = 31.1、【答案】 (9) 5 x ; (10) =- 2 6 x = ; (11) x =- 5; (12) 51x ;=- 3( 13) x =1; ( 14) 2 x ; ( 15) = 3 5x ; (16) x =1.=- 32、【答案】(17) x =1;(18) x =-1;(19)6x ; ( 20) x =-3 ; ( 21) x =4 ; (22) x =9.= 52.1、【答案】 (23) x =- 7 ;(24)3x =- ; (25) x =-11; (26) x =- 4 ; (27)2 1 x = ; (28) 2 10 x = ;9(29) x =6;(30)3x = .23、【答案】(31) x =8 ;(32)1x = ;(33) x =-16 ;(34) x =7 ;(35)52 x =- ;5(36) x =3 ; ( 37) x =- 28 ;(38)5x =-.163.1、【答案】 (39) x =5;(40)13x = ;(41) x =- 1;(42)1420 x ; (43) =- 325 x = ; 12(44) x =- 3;(45)7x = ; (46) x =216 .84、【答案】(47) x =3 ; (48)32x =- ; (49) 15 64 x = ; (50) 13 29x = .2。
初中奥数一元一次方程练习题及答案一元一次方程练习题:一、填空题.(每小题3分,共24分)1.已知4x2n-5+5=0是关于x的一元一次方程,则n=_______.2.若x=-1是方程2x-3a=7的解,则a=_______.3.当x=______时,代数式 x-1和的值互为相反数.4.已知x的与x的3倍的和比x的2倍少6,列出方程为________.5.在方程4x+3y=1中,用x的代数式表示y,则y=________.6.某商品的进价为300元,按标价的六折销售时,利润率为5%,则商品的标价为____元.7.已知三个连续的偶数的和为60,则这三个数是________.8.一件工作,甲单独做需6天完成,乙单独做需12天完成,若甲、乙一起做,•则需________天完成.二、选择题.(每小题3分,共30分)9.方程2m+x=1和3x-1=2x+1有相同的解,则m的值为( ).A.0B.1C.-2D.-10.方程│3x│=18的解的情况是( ).A.有一个解是6B.有两个解,是±6C.无解D.有无数个解11.若方程2ax-3=5x+b无解,则a,b应满足( ).A.a≠ ,b≠3B.a= ,b=-3C.a≠ ,b=-3D.a= ,b≠-312.把方程的分母化为整数后的方程是( ).13.在800米跑道上有两人练中长跑,甲每分钟跑300米,乙每分钟跑260米,•两人同地、同时、同向起跑,t分钟后第一次相遇,t 等于( ).A.10分B.15分C.20分D.30分14.某商场在统计今年第一季度的销售额时发现,二月份比一月份增加了10%,三月份比二月份减少了10%,则三月份的销售额比一月份的销售额( ).A.增加10%B.减少10%C.不增也不减D.减少1%15.在梯形面积公式S= (a+b)h中,已知h=6厘米,a=3厘米,S=24平方厘米,则b=( •)厘米.A.1B.5C.3D.416.已知甲组有28人,乙组有20人,则下列调配方法中,能使一组人数为另一组人数的一半的是( ).A.从甲组调12人去乙组B.从乙组调4人去甲组C.从乙组调12人去甲组D.从甲组调12人去乙组,或从乙组调4人去甲组17.足球比赛的规则为胜一场得3分,平一场得1分,负一场是0分,•一个队打了14场比赛,负了5场,共得19分,那么这个队胜了( )场.A.3B.4C.5D.618.如图所示,在甲图中的左盘上将2个物品取下一个,则在乙图中右盘上取下几个砝码才能使天平仍然平衡?( )A.3个B.4个C.5个D.6个三、解答题.(19,20题每题6分,21,22题每题7分,23,24题每题10分,共46分20.解方程: (x-1)- (3x+2)= - (x-1).21.如图所示,在一块展示牌上整齐地贴着很多资料卡片,•这些卡片的大小相同,卡片之间露出了三块正方形的空白,在图中用斜线标明.•已知卡片的短边长度为10厘米,想要配三张图片来填补空白,需要配多大尺寸的图片.22.一个三位数,百位上的数字比十位上的数大1,个位上的数字比十位上数字的3倍少2.若将三个数字顺序颠倒后,所得的三位数与原三位数的和是1171,求这个三位数.23.某公园的门票价格规定如下表:购票人数 1~50人 51~100人 100人以上票价 5元 4.5元 4元某校初一甲、乙两班共103人(其中甲班人数多于乙班人数)去游该公园,如果两班都以班为单位分别购票,则一共需付486元.(1)如果两班联合起来,作为一个团体购票,则能够节约多少钱?(2)两班各有多少名学生?(提示:本题应分情况讨论)24.据了解,火车票价按“ ”的方法来确定.已知A站至H站总里程数为1500千米,全程参考价为180元.下表是沿途各站至H站的里程数:车站名 A B C D E F G H各站至H站里程数(米) 1500 1130 910 622 402 219 72 0例如:要确定从B站至E站火车票价,其票价为=87.36≈87(元).(1)求A站至F站的火车票价(结果精确到1元).(2)旅客王大妈乘火车去女儿家,上车过两站后拿着车票问乘务员: “我快到站了吗?”乘务员看到王大妈手中的票价是66元,马上说下一站就到了.请问王大妈是在哪一站下的车(要求写出解答过程).一元一次方程练习题及答案:一、1.32.-3 (点拨:将x=-1代入方程2x-3a=7,得-2-3a=7,得a=-3)3. (点拨:解方程 x-1=- ,得x= )4. x+3x=2x-65.y= - x6.525 (点拨:设标价为x元,则 =5%,解得x=525元)7.18,20,228.4 [点拨:设需x天完成,则x( + )=1,解得x=4]二、9.D10.B (点拨:用分类讨论法:当x≥0时,3x=18,∴x=6当x100∴每张门票按4元收费的总票额为103×4=412(元)可节省486-412=74(元)(2)∵甲、乙两班共103人,甲班人数>乙班人数∴甲班多于50人,乙班有两种情形:①若乙班少于或等于50人,设乙班有x人,则甲班有(103-x)人,依题意,得5x+4.5(103-x)=486解得x=45,∴103-45=58(人)即甲班有58人,乙班有45人.②若乙班超过50人,设乙班x人,则甲班有(103-x)人,根据题意,得4.5x+4.5(103-x)=486∵此等式不成立,∴这种情况不存有.故甲班为58人,乙班为45人.24.解:(1)由已知可得 =0.12A站至H站的实际里程数为1500-219=1281(千米)所以A站至F站的火车票价为0.12×1281=153.72≈154(元)(2)设王大妈实际乘车里程数为x千米,根据题意,得 =66解得x=550,对照表格可知,D站与G站距离为550千米,所以王大妈是在D站或G•站下的车.。
初一上册一元一次方程题一百道1、某数的 3 倍比它的一半大 2,求这个数。
2、一个数加上 5 的和比这个数的 2 倍少 3,求这个数。
3、某数的 4 倍减去 3 等于这个数加上 9,求这个数。
4、 7 减去某数的差等于这个数的 3 倍,求这个数。
5、一个数的 5 倍加上 8 等于这个数的 6 倍减去 1,求这个数。
6、某数的 2 倍加上 3 乘以这个数等于 15,求这个数。
7、 9 减去一个数的 2 倍等于这个数加上 6,求这个数。
8、某数的 3 倍减去 5 等于这个数的 2 倍加上 7,求这个数。
9、一个数的 4 倍加上 7 等于这个数的 5 倍减去 3,求这个数。
10、 6 加上某数的 3 倍等于这个数的 5 倍减去 9,求这个数。
11、某数的 7 倍减去 12 等于这个数的 4 倍加上 18,求这个数。
12、一个数的 8 倍加上 5 等于这个数的 9 倍减去 7,求这个数。
13、某数的 6 倍减去 8 等于这个数的 3 倍加上 12,求这个数。
14、 10 减去某数的 4 倍等于这个数的 2 倍加上 2,求这个数。
15、一个数的 7 倍加上 9 等于这个数的 8 倍减去 3,求这个数。
16、某数的 5 倍加上 6 乘以这个数等于 36,求这个数。
17、 8 减去一个数的 3 倍等于这个数加上 10,求这个数。
18、某数的 4 倍减去 7 等于这个数的 3 倍加上 9,求这个数。
19、一个数的 6 倍加上 8 等于这个数的 7 倍减去 4,求这个数。
20、 5 加上某数的 4 倍等于这个数的 6 倍减去 7,求这个数。
21、某数的 9 倍减去 15 等于这个数的 6 倍加上 21,求这个数。
22、一个数的 10 倍加上 7 等于这个数的 11 倍减去 5,求这个数。
23、某数的 8 倍减去 10 等于这个数的 5 倍加上 18,求这个数。
24、 12 减去某数的 5 倍等于这个数的 3 倍加上 2,求这个数。
初一年级奥数一元一次方程试题
一、选择题(每小题3分,共24分)
1.下列说法中,准确的是()。
(A)方程是等式;(B)等式是方程;
(C)含有字母的等式是方程;(D)不含字母的方程是等式。
2.下列等式变形准确的是( )。
(A)如果s = ab,那么b = ;(B)如果 x = 6,那么x = 3;
(C)如果x-3 = y-3,那么x-y = 0;(D)如果mx = my,那么x = y。
3.下列四个式子中是方程的是()。
(A);(B);(C)(D)。
4.是下列方程( )的解。
(A)(B);(C)(D)。
5.在解方程:时,去括号准确的是()。
(A)(B)
(C)(D)
6.在解方程:时,去分母准确的是()。
(A)(B);(C)(D)。
7.某件商品9折降价销售后每件商品售价为元,则该商品每件原价为( )。
(A)0.9 (B)1.1 (C)(D)
8.一个两位数,个位数字与十位数字的和是9,如果将个位数字与十位数字对调后所得的新数比原数大9,则原来的两位数为()。
(A)54 (B)27 (C)72 (D)45
二、填空题(每小题3分,共21分)
9.在等式的两边同时_____________________,得到,这是根据_____________________。
10.关于的方程(2k-1) 2-(2k+1) +3=0是一元一次方程,则k=______________。
11.方程:的解是 _____,如果是方程的解,则=______。
12.某厂的产值年平均增长率为,若第一年的产值为50万元,则第二年的产值为
________________万元。
13.根据“比的2倍小3的数等于的3倍”可列方程表示为:______________________。
14.当等于什么数时,与的值互为相反数?列方程表示为:
_________________。
15.某中学七、八年级共1000名学生,八年级学生比七年级少40人,设七年级有名学生,可列出方程:
______________________________。
三、解下列一元一次方程(每小题7分,共28分)
16. 17.
18. 19.
四、解答题(每小题10分,共10分)
20. 已知:。
(1)当时,求的值; (2)当时,求的值。
五、列方程解应用题(21小题7分,22小题8分,共15分)
21. 甲乙两运输队,甲队原有32人,乙队原有28人,若从乙队调走
一些人到甲队,•那么甲队人数恰好是乙队人数的2倍,问从乙队调走了
多少人到甲队?
22. 轮船沿江从A港顺流行驶到B港,比从B港返回A港少用3
小时,若般速为26
千米/小时,水速为2千米/时,则A港和B港相距多少千米?
附加题:(每小题10分,共20分)
23.一个三位数满足条件:①三个数位上的数字和为20;②百位
上的数字比十位上的数字大5;③个位上的数字是十位上的数字的3倍。
则这个三位数是多少?
24.有一个水池,用两个水管注水。
如果单开甲管,2小时30分
注满水池,如果单开乙管,5小时注满水池。
(10分)
① 如果甲、乙两管先同时注水20分钟,然后由乙单独注水。
问
还需要多少时间才能把水池注满?
② 假设在水池下面安装了排水管丙管,单开丙管3小时能够把一
满池水放完。
如果三管同时开放,多少小时才能把一空池注满水?。