《化学工程基础》练习题(部分答案)
- 格式:doc
- 大小:38.00 KB
- 文档页数:2
⼯程化学基础练习题答案-OH、-CHO、-COOH、-NH2、-SO3H等,亲⽔基团是指与⽔有较⼤亲和⼒的原⼦团??绪论1.两相(不计空⽓);⾷盐溶解,冰熔化,为⼀相;出现AgC?l ,⼆相;液相分层,共三相。
2.两 ?态,五个相: Fe(s),FeO(s),(s),(s),H2O(g)和H2(g)(⼀个相?)。
3. 1.0 mol。
4. m(CaO) =532.38kg,m(CO2) =417.72kg。
5. 4 mol。
6.消耗掉1 molH2?,⽣成1 molH2?O。
第⼀章第⼀节1.?。
2.化 ?10 ; ? 分⼦化 ?物。
3. 尼龙66:化 ?9 ,分?⼦化物。
⼆基 ? :化 ?10 ,有 ? 分⼦化 ?物。
AAS :化 ?10?ABS,分?⼦化物。
4.( CH2-CH )n--的节、 ?是CH2-CH,度是n?。
有两个节?:,两个节成?⼀个 ?, 的 ? 度是2n?。
5. 物化 ?名称⼼体位体位原⼦位数K[Pt(NH3)Cl3] 三⼀ ?铂(Ⅱ)酸钾Pt(Ⅱ) NH3,Cl-N,Cl 4 Na2[Zn(OH)4] 四羟锌(Ⅱ)酸钠Zn(Ⅱ)—OH O 4[Ni(en)3]SO4 酸三⼆? 镍(Ⅱ) Ni(Ⅱ) en N 6 [Co(NH3)5Cl]Cl2⼆化⼀ ?五钴(Ⅲ) Co(Ⅲ) NH3,Cl-N,Cl 6 Na[CaY] ⼆四 ?酸钙(Ⅱ)酸钠Ca(Ⅱ) Y4-O,N 6 6. 13?~17 。
第⼆节1. MgO>CaO>CaF2,理由略。
2. :钠化物是?离⼦晶体,?化物为分?⼦晶体。
>SiF4,理由略。
4. (1)熔由 ?低为>CCl4因为BaC?l2为典型的离⼦晶体?,熔较;和AlCl?3 为过渡型晶体与FeCl ?3⽐较,为低价态,Al3+与Fe3+⽐化⼒ ?⼤,能使AlC?l3⽐C l3 偏分⼦晶?体, 熔低?;CCl4则为典型的分?⼦晶体,熔低。
《化学工程基础》练习题第1章流体的流动与输送一、单项选择题1. 层流与湍流的本质区别是( )。
A、流速不同B、流通截面积不同C、雷诺数不同D、层流无径向运动,湍流有径向运动2. 水及一般流体在管路中常用的流速应是( )。
A、0.5~1mB、1~3mC、15~25mD、30~50m3. 当流体在圆管内流动时, 管中心流速最大,若为层流时,平均速度u与管中心的最大流速u max的关系为 ( )。
A、u=1.5u maxB、u=u maxC、u=0.8u maxD、u=0.5u max4. 当流体在圆管内流动时, 管中心流速最大,若为湍流时,平均速度u与管中心的最大流速u max的关系为( )。
A、u=1.5u maxB、u=u maxC、u=0.8u maxD、u=0.5u max5. 温度升高液体的粘度变化是( )。
A、增大B、减小C、不变D、判断依据不足6. 温度降低气体的粘度变化是( )。
A、增大B、减小C、不变D、判断依据不足7. 流体在等径直管中作稳定流动,因流体粘性有摩擦阻力损失,流体的流速沿管长将( )。
A、增加B、减少C、不变D、无法判断8. 流体在阻力平方区流动,若其它条件不变,而管子的相对粗糙度增加则压降( )。
A、增大B、减小C、不变D、不确定9. 下列结论正确的是( )。
A、液体的粘度随温度升高而减小B、气体的粘度随温度升高而减小C、液体的粘度随压强降低而增大D、气体的粘度随压强降低而增大10. 圆形直管内径为100mm,一般情况下输水能力应为( )。
A、3 m3/h;B、30 m3/h;C、200 m3/h ;D、300 m3/h11. 图示为一异径管段,从A段流向B段时,测得U形压差计的读数为R=R1,从B段流向A段时,测得U形压差计的读数为R=R2。
若两种情况下的水流量相同,则( )。
A、R1 > R2B、R1< R2C、R1 = R2D、R1 =– R212. 离心泵开动以前必须充满液体是为了防止发生( )。
《工程化学基础》练习题答案绪论1.两相(不计空气);食盐溶解,冰熔化,为一相;出现AgCl¯,二相;液相分层,共三相。
2.两种聚集状态,五个相: Fe(s),FeO(s),Fe2O3(s),Fe3O4(s),H2O(g)和H2(g)(同属一个相)。
(同属一个相)。
3. 1.0 mol。
4. m(CaO) =532.38kg,m(CO2) =417.72kg。
5. 4 mol。
6.消耗掉1 molH2,生成1 molH2O。
第一章第一节1.见教材8页。
见教材8页。
2.化学式见教材10页;均属于碳链高分子化合物。
页;均属于碳链高分子化合物。
3. 尼龙66:化学式见教材9页,属杂链高分子化合物。
页,属杂链高分子化合物。
聚二甲基硅氧烷:化学式见教材10页,属元素有机高分子化合物。
页,属元素有机高分子化合物。
AAS :化学式参考教材10页ABS,属碳链高分子化合物。
属碳链高分子化合物。
4. ( CH2-CH )n--中的链节、重复单元都是CH2-CH,聚合度是n。
有两个链节:,两个链节组成一个重复单元, 聚酰胺的聚合度是2n。
5. 配合物化学式配合物化学式 名称中心体中心体 配位体配位体 配位原子配位原子 配位数配位数 K[Pt(NH3)Cl3] 三氯一氨合铂(Ⅱ)酸钾酸钾 Pt(Ⅱ) NH3,Cl-N,Cl 4 Na2[Zn(OH)4] 四羟合锌(Ⅱ)酸钠酸钠 Zn(Ⅱ) —OH O 4 [Ni(en)3]SO4 硫酸三乙二胺合镍(Ⅱ) Ni(Ⅱ) en N 6 [Co(NH3)5Cl]Cl2二氯化一氯五氨合钴(Ⅲ) Co(Ⅲ) NH3,Cl-N,Cl 6 Na[CaY] 乙二胺四乙酸合钙(Ⅱ)酸钠酸钠 Ca(Ⅱ) Y4-O,N 6 6. 见教材13~17页。
页。
第二节1. MgO>CaO>CaF2>CaCl2 ,理由略。
2.提示:钠卤化物是离子晶体,而所列硅卤化物均为分子晶体。
第一章 流体流动与输送设备1.已知20℃下水和乙醇的密度分别为998.2 kg/m 3和789kg/m 3,试计算50%(质量%)乙醇水溶液的密度。
又知其实测值为935 kg/m 3,计算相对误差。
解:乙醇水溶液的混合密度7895.02.9985.012211+=+=ρχρχρm3/36.881m kg m =∴ρ相对误差:%74.5-%100193536.881%100=⨯⎪⎭⎫⎝⎛=⨯——实实m m m ρρρ 2.在大气压力为101.3kPa 的地区,某真空蒸馏塔塔顶的真空表读数为85kPa 。
若在大气压力为90 kPa 的地区,仍使该塔塔顶在相同的绝压下操作,则此时真空表的读数应为多少?解:''真真绝p p p p p a a -=-=kPa p p p p a a 7.73)853.101(90)(''=--=--=真真3.如附图所示,密闭容器中存有密度为900 kg/m 3的液体。
容器上方的压力表读数为42kPa ,又在液面下装一压力表,表中心线在测压口以上0.55m ,其读数为58 kPa 。
试计算液面到下方测压口的距离。
解:液面下测压口处压力gh p z g p p ρρ+=+=21Δmh g p p g p gh p z 36.255.081.990010)4258(31212=+⨯⨯-=+-=-+=∴ρρρΔ4. 如附图所示,敞口容器内盛有不互溶的油和水,油层和水层的厚度分别为700mm 和600mm 。
在容器底部开孔与玻璃管相连。
已知油与水的密度分别为800 kg/m 3和1000 kg/m 3。
(1)计算玻璃管内水柱的高度;(2)判断A 与B 、C 与D 点的压力是否相等。
解:(1)容器底部压力gh p gh gh p p 水水油ρρρ+=++=0210mh h h h h 16.16.07.010008002121=+⨯=+=+=∴水油水水油ρρρρρ(2)B A p p ≠ D C p p =题3 附图B Dh 1 h 2AC 题4 附图5.用一复式U 形压差计测量水流过管路中A 、B 两点的压力差。
<<工程化学基础(第二版)>>练习题参考答案第一章 绪 论练习题(p.9)1. (1)×; (2)√; (3)×; (4)√。
2. (1)C 、D ;(2)C ;(3)B 。
3. 反应进度;ξ; mol 。
4. 两相(不计空气);食盐溶解,冰熔化,为一相;出现AgCl ↓,二相;液相分层,共三相。
5. 两种聚集状态,五个相:Fe (固态,固相1),FeO (固态,固相2),Fe 2O 3(固态,固相3),Fe 3O 4(固态,固相4),H 2O (g )和H 2(g )(同属气态,一个气相5) 6. n =(216.5 -180)g / (36.5g · mol -1) = 1.0 mol7. 设最多能得到x 千克的CaO 和y 千克的 CO 2,根据化学反应方程式: CaCO 3(s) = CaO(s) + CO 2(g) 摩尔质量/g ·mol -1 100.09 56.08 44.01 物质的量/mol100095%10009103⨯⨯-. x 56.08×-310 y 4401103.⨯-因为n(CaCO 3)=n (CaO)=n (CO 2) 即100095%10009103⨯⨯-.=x 56.08×-310=y 4401103.⨯-得 x =m (CaO) =532.38kg y =m (CO 2) =417.72kg分解时最多能得到532.28kg 的CaO 和417.72kg 的CO 2。
8. 化学反应方程式为3/2H 2+1/2N 2 = NH 3时:22(H )6mol4mol 3(H )2n ξν∆-===-22(N )2mol4mol 1(N )2n ξν∆-===-33(NH )4mol4mol 1(NH )n ξν∆===化学反应方程式为3H 2+ N 2 = 2NH 3时:22(H )6mol 2mol 3(H )n ξν∆-===-22(N )2mol2mol 1(N )n ξν∆-===-33(NH )4mol 2mol 2(NH )n ξν∆===当反应过程中消耗掉2mol N 2时,化学反应方程式写成3/2H 2+1/2N 2 = NH 3,该反应的反应进度为4 mol ;化学方程式改成3H 2+ N 2 = 2NH 3,该反应的反应进度为2 mol 。
化学工程基础课后习题及答案化学工程基础课后习题及答案【篇一:化工基础第5章习题答案】xt>5.2气体的吸收1.空气和co2的混合气体中,co2的体积分数为20%,求其摩尔分数y和摩尔比y各为多少?解因摩尔分数=体积分数,y?0.2摩尔分数摩尔比 y?y0.20.25 1?y1?0.22. 20℃的l00g水中溶解lgnh3, nh3在溶液中的组成用摩尔分数x、浓度c及摩尔比x表示时,各为多少?解摩尔分数x?1/17=0.01051/17?100/18浓度c的计算20℃,溶液的密度用水的密度?s?998.2kg/m3代替。
溶液中nh3的量为 n?1?10?3/17kmol 溶液的体积v?101?10?3/998.2 m3n1?10?3/17溶液中nh3的浓度c?==0.581kmol/m3 ?3v101?10/998.299.82c?sx??0.010?5.0kmol582/m3 或ms18nh3与水的摩尔比的计算 x?1/170.0106100/18x0.0105??0.0106 1?x1?0.0105或 x?3.进入吸收器的混合气体中,nh3的体积分数为10%,吸收率为90%,求离开吸收器时nh3的组成,以摩尔比y和摩尔分数y表示。
吸收率的定义为y被吸收的溶质量y1?y21?2原料气中溶质量 y1 y1解原料气中nh3的摩尔分数y?0.1 摩尔比 y1?y10.10.111 1?y11?0.1吸收器出口混合气中nh3的摩尔比为y2?(1??)y1?(1?0.9)?0.111?0.0111摩尔分数 y2?y20.0111=?0.01098 1?y21?0.01114.l00g水中溶解lg nh3,查得20℃时溶液上方nh3的平衡分压为798pa。
此稀溶液的气液相平衡关系服从亨利定律,试求亨利系数e(单位为kpa)、溶解度系数h[单位为kmol/(m3?kpa)]和相平衡常数m。
总压为100kpa。
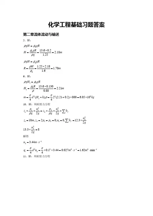
化学工程基础习题第二章.P 69 1.解:o vacP P P =-绝3313.31098.710o Pa P P --⨯=⨯=-绝即 385.410P Pa -⇒=⨯绝o a P P P =-33385.41098.71013.310Pa Pa Pa---=⨯-⨯=-⨯2.解:22121212444()70d d de d d d d ππππ-=⨯=-=+3.解:对于稳定流态的流体通过圆形管道,有221212d d u u =若将直径减小一半,即12d 2d =214u u ⇒=即液体的流速为原流速的4倍.4.解:gu d L H f 22⋅⋅=λ21111122222222f f L u H d gL u H d gλλ=⋅⋅=⋅⋅22222221111121121222222222111111222222221212222121226464Re 4,,26426426421()6441222411611112162416f f f f f f f f f f L u H d g L u H d gdu u u L L d d L u H d u d g L u H d u d g L u H d u d g H u L d g d u H H H H λλμλρμρμρμρμρ⋅⋅=⋅⋅=====⋅⋅=⋅⋅⋅⋅=⋅⋅==⋅⋅⨯=即产生的能量损失为原来的16倍。
6.解:1)雷诺数μρud =Re其中31000kg m ρ-=⋅,11.0u m s -=⋅3252510d mm m -==⨯3110cp Ps s μ-==⋅故μρud=Re331000 1.0251010--⨯⨯⨯=25000=故为湍流。
2)要使管中水层流,则2000Re ≤即3310002510Re 200010m u--⨯⨯⋅=≤ 解得10.08um s -≤⋅7.解:取高位水槽液面为1-1′, A-A ′截面为2-2′截面,由伯努利方程12221112u u H 22f p p z z g g g gρρ++=+++其中1210,2;z m z m ==121;0;ff p p u H gh===∑则22216.1510229.89.8u u =++⨯解得1)A-A ′截面处流量2uu =12.17u m s -=⋅2)qvAu ρ=其中232113.14(10010)44A d π-==⨯⨯⨯ 327.8510m -=⨯ 12.17u m s -=⋅33q 7.8510 2.17360061.32v m h-=⨯⨯⨯=8.解:对1-1′截面和2-2′截面,由伯努利方程得12221112u u 22p p z z g g g gρρ++=++其中21211,1H O z z p m gh ρ===11120.5,u m s p gh ρ-=⋅=221121220.2()0.5 2.00.1d u u m s d -==⨯=⋅220.520.1929.829.8h m ∆+==⨯⨯15.解:选取贮槽液面为1-1′截面,高位槽液面为2-2′截面,由伯努利方程得12221112u u 22e fp p z H z H g g g gρρ+++=+++其中:12122,10;0z m z m u u ====123a p 10013.6109.80.113332.2p 0vac p mmHgp ==-=-⨯⨯⨯=-= 13332.219.61000210(4)9.898019.613332.212.0814.08 1.38815.4689.8980e e H g H gρ-++=++⨯=++=+=⨯3215.4682(5310)98040.655kw 102102e V H q P πρ-⨯⨯⨯⨯⨯⋅⋅===17.解:取水池液面为1-1′截面,高位截面为2-2′截面,由伯努利方程得12221112u u 22e fp p z H z H g g g gρρ+++=+++其中:1112z 0,z 50;0m p p ==-=209.8f H =205052.059.8e H =+= 52.053610008.05kw 1021020.63600e V H q P ρη⋅⋅⨯⨯===⨯⨯19.解:取贮槽液面为1-1′截面,蒸发器内管路出口为2-2′截面, 由伯努利方程得12221112u u 22e fp p z H z H g g g gρρ+++=+++其中,11z 0,z 15;m ==1332a 0,2001013.6109.826656p 1209.8f p p H -==-⨯⨯⨯⨯=-=120266561524.979.89.81200e H =+-=⨯24.97201200 1.632kw 1021023600e V H q P ρ⋅⋅⨯⨯===⨯20.解:1)取贮水池液面为1-1′截面,出口管路压力表所在液面为2-2′截面,由伯努利方程得12221112u u 22e fp p z H z H g g g gρρ+++=+++其中,12z 0,z 5.0;m ==2125a 40, 2.5.2.59.8 2.4510p 0.01p p kgf cm --==⨯==⨯忽略出水管路水泵至压力表之间的阻力损失, 则:衡算系统的阻力损失主要为吸入管路的阻力损失:0.29.8f H =32362.23600(7610)4u π-==⨯⨯522.4510 2.20.25.010009.829.89.85.0250.250.0230.27e H ⨯=+++⨯⨯=+++=30.273610003.0kw 1021023600e V H q P ρ⋅⋅⨯⨯===⨯2) 3.04.3kw 1020.7e V H q Pρη⋅⋅===3)取贮槽液面为1-1′截面,水泵吸入管路上真空表处液面为2-2′截面, 由伯努利方程得12221112u u 22f p p z z H g g g gρρ++=+++其中:12z 0,z 4.8;m ==120,?p p ==忽略进水管路水泵中真空表至水泵之间的阻力损失, 则:衡算系统的阻力损失为吸入管路的阻力损失:0.29.8f H =22 2.20.2(4.8)10009.849600pa29.89.8p =-++⨯⨯=-⨯ 得真空表的读数为49600vacPa P=23.解:1)取低位槽液面为1-1′截面高位槽液面为2-2′截面 由伯努利方程得12221112u u 22e fp p z H z H g g g gρρ+++=+++其中,12z 0,z 20;m ==120,0p p ==5,20525fe HH ==+=w 259.8245J/kg e =⨯=2)在管路A 、B 截面间列伯努利方程得:22AB 22222222u u 22u 2u 2()()6()62A B A B A B A B fB A B A A B Hg H O H O Hg H O H O A B H O H Op p z z H g g g g p p L z z g g d g p p dg z z L g gp p gR g R p p g u ρρλρρλρρρρρρρρρρ++=+++-=-+=⨯⨯--+-=-⨯+⨯⨯-⨯+⨯-====1.03m s -⋅3)225 2.030.05100040.976102Pkw π⨯⨯⨯⨯==4)根据静力学基本方程式:2002222220222022(6)''(6)6()6'(6)6'()[13.6 1.211B H O Hg B Hg H O A H O B H O H O Hg A B H O H O Hg A Hg H O H O H O Hg A Hg H O Hg H O p g H gR p p gR p g H p gh p g g h R gR p p g gR gR p gR p g H g gR gRp p gR gH gR ρρρρρρρρρρρρρρρρρρρρ++=+⇒=+-++=++-+⇒=+-+⇒=+-++-+⇒-=-+-=⨯-⨯5(13.61)0.04]9.810001.5510ap +-⨯⨯⨯=⨯第三章 传热过程p105 ex1解:2332211411243901.011200001.0714.0187.0112045006.014.01.007.12.0301150m W t t R t q ==--=++-=++-=∑∆=λδλδλδ120073.3)(1120300`-⋅⋅︒=+∑⇒+∑==W m C R R R R q12083.2901.073.3-⋅⋅︒=-=W m C Rex2解:141414141111()()22()2()()11()i ii m ii i i n i i i i ii n i T T T T Ar L L T T L T T r r rl r r r r l r φδδλπλππλλ++++--==∑∑--==-∑∑-196.138168.101413214.694.30139.01413007.0435.12.0788.016223.022514.32558507.0125552.012025161)35260(2-⋅==++=++⨯⨯=++-=m W l l l Lnn n πφEx4解:空气的定性温度220180T200C 2+==︒200℃时空气的物性参数为:30.746/Kg m ρ=2113.9110W m K λ---=⨯⋅⋅52.610a P s μ-=⨯⋅ 11.034Cp C KJ Kg -=⋅⋅︒ 115u m s -=⋅,450.0254150.7461.09102.610e du R ρμ-⨯⨯===⨯⨯3521.034102.6100.683.93110p r C P μλ--⨯⨯⨯===⨯0.80.3240.80.320.023()()3.931100.023(1.0910)0.680.025453.8er R P dW m Kλα-=⨯=⨯⨯⨯⨯=⋅ ex5解:水的定性温度C 3022040T ︒=+=30℃时水的物性参数为:3/7.995m Kg =ρ116176.0--⋅⋅=K m W λ s P a ⋅⨯=-51007.80μ14.174p C KJ Kg C -=⋅⋅︒4.08.0)()(023.0r e P R dλα=当11-⋅=s m u时,6.248681007.807.995102.05=⨯⨯⨯==-μρdu R e41.56176.01007.8010174.453=⨯⨯⨯==-λμp r C PKm W ⋅=⨯⨯⨯=24.08.05.4583)41.5()6.24868(002.06176.0023.0α当0.3u =时58.7460⇒=μρdu R e ,此时,2000<Re<10000Cm W ︒⋅=⨯-⨯⨯⨯⨯=28.158.01638)58.74601061(58.7460965.185.38023.0αex7解:甲烷的定性温度:C 75230120T︒=+=0℃条件下:3/717.0m Kg =ρ1103.0--⋅⋅=K m W λs P a ⋅⨯=-51003.1μ 117.1--⋅⋅=K Kg KJ C p由于甲烷是在非圆形管内流动,定性尺寸取de0255.0019.03719.0019.043719.044422=⨯⨯+⨯⨯⨯-⨯⨯==ππππ润湿周边流体截面积e d7.177281003.1717.0100255.05=⨯⨯⨯==-μρdu R e 584.003.01003.110.153=⨯⨯⨯==-λμp r C P由于甲烷被冷却,3.0n =123.08.03.08.01.57851.077.2505176.1023.0)584.0()7.17728(0255.003.0023.0)()(023.0--⋅⋅=⨯⨯⨯=⨯⨯⨯==K m W P R d r e eλα若甲烷在管内流动:75.104411003.1717.010015.05=⨯⨯⨯==-μρdu R e122.64--⋅⋅=K m W αEx81401525T C ∆=-=︒ ,21303397T C ∆=-=︒2121972553.19725m n n T T T C T l l T ∆-∆-∆===︒∆∆(逆流)在按照折流校正33150.16130151304053315P R -==--==-φ=0.970.9753.151.5m T C ∆=⨯=︒ex9(1)()()13211187503080109.125.1-⋅=-⨯⨯⨯=-=s J T T c q p m φ(2)C T ︒=-=∆1020301 ,C T ︒=-=∆4040802C l T T l T T T n nm ︒=-=∆∆∆-∆=∆64.21410401212(3)123333000000251.010176.01021.002.0025.002.0025.045025.00025.002.01085.0025.0107.1111---⋅⋅=⨯+⨯+-⨯⨯+⨯⨯+⨯=++++==W K m l R R d d d d K R ns si mi λδαα油 1291.3981--⋅⋅==K m W RK (4)274.1364.2191.395118750m t K A m=⨯=∆=φ若近似按平面壁计算,则26.45310176.01021.0450025.01085.01107.111113333000=⨯+⨯++⨯+⨯=++++==--K R R K R s si mi λδαα油211.12m A =ex10(1)m d 301016-⨯= ,m d i 31013-⨯= ,m 3105.1-⨯=δ)123330005.81011.0100414.010231.119015.144016105.110001316111-----⋅⋅=+⨯+⨯=⎪⎪⎭⎫⎝⎛+⨯⨯⨯+⨯=⎪⎪⎭⎫⎝⎛++=K m W d d d d K m i i αλδα(2)12300006.14618015.144016105.110001316111---⋅⋅=⎪⎪⎭⎫⎝⎛+⨯⨯⨯+⨯=⎪⎪⎭⎫⎝++=K m W d d d d K m i i αλδα (3)()1233300078.85011.0100414.010616.019015.144016105.120001316111-----⋅⋅=+⨯+⨯=⎪⎪⎭⎫⎝⎛+⨯⨯⨯+⨯=⎪⎪⎭⎫⎝++=K m W d d d d K m i i i αλδαex11解:(1)()()''''11212m p m p q c T T q C T T φ=-=-''2550p m p m C q C q = p m p m C q C q 2''= 5.926013560135.=-=∆nm l Tmp m mT k C q T k A ∆=∆=111150ϕ(2)()()''''21212m p m p q c t t q C t t φ=-=-()'2'1''70t t C q C q p m p m -= 35'2'1=-t t ,50'2=t81.693013530135=-=∆nm l t ,m p m m t k C q t k A ∆=∆=221270ϕ又流量及物性不变,21k k =2211707092.56475 1.855505069.83490.7m pm m pmq C k t A q C A k T ∆⨯====⨯∆ 855.11212==A A L L ,m L 855.12= ex12解:(1)()1123319302.8810(9050)2306360061.7610230644.75md pd mmm m q c T T KA t t t t Cφ=-=∆=⨯⨯⨯-=⨯⨯∆=⨯=⨯⨯∆∆=︒.903244.75903229.5m nt T tl t C --∆==-=︒ mp m mT k C q T k A ∆=∆=111150ϕ()()()112123361.7610 4.229.5181.27910 4.6/md pd mh ph mh mh q c T T q c t t q q kg hφ=-=-⨯=⨯⨯-=⨯=吸收p1872ex 解:(1)33333120267.8211010010() 2.300.3410002.300 1.13510.2026A aA A A A aA P P C mol m C C P H mol m P H P *---*---*=⨯⨯===⇒===⨯ (2)73271000 4.895101.13510 1.8104.89510aA AP E P HM P x --*===⨯⨯⨯⨯=⨯(3)22.48310013.110895.457=⨯⨯==总P E m (4)总压提高一倍,E 、H 值均不变24210026.210895.4571=⨯⨯==P E m ex9.解:02329.002329.0102329.0102329.0645299564511=-=-==+=y y Y y第一解法:,12,12,1221,211,12121,1111,1,()min min 026.726.71.6526.71.6526.70.023850.0005426.7 1.65512864.814814.8/266.n Cn B n C n B n C n B n C n C q Y Y q X X q Y Y Y Y q X Y X q Y Y Y Y Y q X Y X X mol q X q kmol h **⎫-=⎪-⎪⎛⎫-⎪⇒= ⎪⎬ ⎪⎪⎝⎭=⎪⎪=⎭--=====⨯====又设又又366mh第二解法: 设吸收率为η则,()121Y Y η-=进气量设为h kg a /.,3512.5%.95%2910n B a a kmol q h η-=⨯=⨯,12111,1,,,,3,3,(1)()min 26.726.7512() 1.65()min 1.6526.7.5%2910.95%14814.8/266.0n C n B n C n C n Bn Bn C n C q Y Y Y Y Y q X q q q q a q a mq kmol h hηη*----=====⨯⨯⨯⨯===ex10.(1)02.01=Y0002.0%)991(12=-=Y Y 02=X当液气比为2.2时,,12,1210.020.00022.2n C n Bq Y Y q X X X --===-009.01=X111*2221212120.020.0090.0110.00020.0110.00020.0026950.011ln ln0.00020.020.00027.350.002695m OG m Y Y Y Y Y Y Y Y Y Y Y Y Y N Y *∆=-=-=∆=-=∆-∆-∆===∆∆--===∆(2)当液气比为1.25时,(3) 当X 2=0.00011时01595.000011.001584.0)(25.112211=+=+-=X Y Y X17.1501584.025.1%9902.01==⨯=OGN X03.19001040.00002.002.0=-=OG N(4) 当液气比为0.8,溶质的最大回收率时溶液出口达到气液平衡,1,1221,21210.020.810.0040.020.001680%0.02n Cn B q Y Y Y Y q X Y Y Y Y η*--====--===ex11.03093.003.0103.01=-=Y21(198%)0.030930.020.0006Y Y =-=⨯=21,3,121,21,min 1,,1122,0 1.67273(13%)65.16.22.410303min 1.28 1.2898% 1.25441.281.254465.1681.74.81.74 1.5122.6.()65.16(0122.6n B n C n Bn C n C n C n BX q mol s q Y Y Y q X q mol s q mol s q X Y Y X q η----==⨯⨯-=⨯⎛⎫-===⨯= ⎪ ⎪⎝⎭-=⨯==⨯==-+=⨯.030930.0006)0.016-=8.8003465.00006.003093.0003465.00006.001045.0ln0006.001045.0ln 0006.001045.0016.028.103093.0212121222111=-=∆-==-=∆∆∆-∆=∆=-=∆=⨯-=-=∆**mOG m Y Y Y N Y Y Y Y Y Y Y Y Y Y Y,65.160.65031.6760 1.08.80.6503 5.72n BOG Y OG OG q H K S H H N m ∂===⨯=⨯=⨯=12.(1)111222120.050.0526110.050.002630.002637110.0026361.2580.02033(100061.2)18y Y y y Y y X X ===--===--==-=111222121212,32.00.0526 2.00.020230.012140.0026370.012140.0026370.01214ln ln0.0026370.00950.00621.5270.05260.0026378.060.00620.55620.9522.410m OG mn B Y X Y Y Y Y Y Y Y Y Y Y Y Y Y N Y q ***-=∆=-=-⨯=∆=-=∆-∆-∆==∆∆==-=∆-===⨯⨯⨯12317329821.602.21.6020.7440.8457.79..V OG Y Y Y mol s q H K SK K mol m s ααπ-∂--====⨯⨯=(2),12,12-1,0.05260.00263692.46980.02023=2.469821.602=53.35mol.s n C n B n C q Y Y q X X q -=--==⨯360035.531⨯=nX An=0.02023×53.35×3600=3885.37mol m=58×3885.37=225.4kg (1)另解:,12,120.05260.00263692.46980.02023n C n B q Y Y q X X -=--==气相传质单元数:,,12,,22,,1ln (1)1120.052602ln (1)2 2.46980.002637 2.46981 2.46988.028n B n B OGn B n C n C n C mq mq Y mX N mq q Y mY q q ⎡⎤-=-+⎢⎥-⎢⎥⎣⎦--⎡⎤=-+⎢⎥⎣⎦-= m N H H OG OG 7474.0028.86===又22,,31221.60257.5..0.74744n B n B OGY Y SOG q q H K mol m s dK H sπ⋅====⋅⨯(3)若填料层增加3m ,则:m H H N OG OG 042.127474.09''===0011.0'4698.22'0526.0)4698.221(ln 4698.221122=⎥⎦⎤⎢⎣⎡+⨯--=Y Y N OG 又 液气比一定,则:12111,'2.4698,'0.02085'''0.0208553.3536004004.45n B Y Y X X n X q mol-====⨯⨯=则:kgm kg n m 9.64.22526.23226.232'58=-=∆==13解:(1)121210022.4320.0753100100022.4320.0753(10.98)0.00150.01960Y Y X X ⨯==-⨯=⨯-===1,,12,12,11,0.278100012.41.22.4()()12.41(0.07530.0015)(0.01960)46.72.0.84.n B n B n C n C n C q mol s q Y Y q X X q q mol s kg s ---⨯==-=-⨯-=-==(2)OG OG H H N =⋅Y 1=0.073 Y 2=0.0015 X 1=0.0196 X 2=0Y 1*=1.15X 1=0.0225 Y 2*=1.5X 2=011*1122()ln*0.0730.00250.00150.0180.0730.0025ln0.0015m Y Y *Y Y Y Y Y -⋅∆=----==-120.07530.00154.10.018OG mY Y N Y -=∆-==0.5100022.40.84526.414.10.845 3.46OG H m H m⨯===⨯=14解: (1)OGOGN H H =Y 1=0.025 Y 2=0.0045 X 1=0.008 X 2=0Y 1*=1.5X 1=0.012 Y 2*=1.5X 2=0008.00045.0012.0025.0ln0045.0012.0025.0*ln)(22*1111=---=---=∆⋅Y Y Y Y *Y Y Y m56.2008.00045.0025.021=-=∆-=mOG Y Y Y Nm H OG 91.356.210==(2)当003.0'2=Y 时12121,,1n C n BY Y Y Y q q X X'--==''-=-1003.0025.0008.00045.0025.0X0086.01='X0121.00086.05.1025.0111=⨯-=-=∆Y Y Y003.0222=-=∆Y Y Y0065.0003.00121.0ln003.00121.0ln 2121=-=∆∆∆-∆=∆Y Y Y Y Y m38.30065.0003.0025.021=-=∆-=mOG Y Y Y N3.91 3.3813.213.210 3.2OG OGH H N m H m'=⋅=⨯==-=第六章 精馏P244 ex2.(1),,,,,,n F n D n W n F F n D d n W w q q q q x q x q x =+⎧⎪⎨=+⎪⎩,,,,1001000.30950.05n D n Wn D n W q q q q =+⨯=⨯+⨯1,1,27.7872.22n D n W q kmol h q kmol h--=⋅⋅=⋅⋅(2),,,n L n L n F q q q δ'=+1,27.78 3.597.23n L q R D kmol h -=⋅=⨯=⋅1,97.23100197.23.n L q kmol h -'=+=1,,,97.2327.78125.01.n V n L n D q q q Kkmol h -=+=+= 1,,125.01.n V n V q q kmol h -'==(3),,,,, D ,n F n D n W n F Fn D n W w q q q q x q x q x =+⎧⎪⎨=+⎪⎩,,,,2352350.840.980.002n D n Wn D n Wq q q q =+⨯=+,,201.433.6n D n W q q ==1.-h kmol,1=R 1=δ ,201.4n L q =1,,,436.4.n L n L n F q q q kmol h -'=+=⋅,,,402.8n V n L n D q q q =+=1,,402.8.n V n V q q kmol h -'==⋅(4)23206.010554.0.2326.010554.0)19.46.068.24.0)(303.75(⨯+⨯⨯+⨯+⨯+⨯-=δ094.1=(5)精:225.075.049.04311+=+=+++=x x R Xx R R y d进:⎪⎩⎪⎨⎧====---=2.10.18.011δδδδδδf x x y⎪⎩⎪⎨⎧-===+-=5.265.025.04x y x y x y f(6)2.04.02.02.15.015.1-=+=x y xx y42.0=δx 521.0=δy42.095.0521.095.01min min --=-R R30.4min =R(8)66.05.021.075.0+-=+=x y x y⇒ 66.05.15.01=-=-f x δδ44.031==f x δ 交点36.0=x 48.0=y898.015.0833.01==+=d x y x y10.20.3*1*11+=x x y 10.20.3898.0*1*1+=x x746.0*1=x6.0746.00898898.01*1010=--=--x x x x x806.01=x821.015.0806.0833.0=+⨯=y第八章 化学反应工程基本原理P340 (1)[][]112261058.2---⋅==⨯=-h p p hp p dtdp AAAAA133622221065.9450314.81058.2))(()())(()(---⋅⋅⨯=⨯⨯⨯====-=-=-===h kmol m Rt k k c k Rt c k dtc d Rt c k dt Rt c d p k dtdp c Rt p v n nRt pv p c c p A A p A p AAA A[][]1131323132)(------⋅⋅=⋅⋅⋅=⋅⋅⋅=h kmol m h m kmol mkmol h m kmol c k Ac (2)%5.83)09.011(109.01)1(111110900.00000.10,0,0,24622=⨯+⨯-=+-==-+=-+===+→A A A AA A A A A y y y y x a a r s y y H H C H C δδ 或%5.83)09.011(109.01)1(1)1(0,0,0,0,=⨯+⨯-=+-=⇒+-=A A A A A A AA A A A A y y y y x x y x y y δδ3%98)0022.0411(1152.00022.01152.0)1(418881224122488)(6234)(64540,0,22232223223=⨯+⨯-=+-==--++=+++=+++=+++=+A A A AA A A y y y y x QO H N NO O NH Q O H N O NH Q O H NO O NH δδ副主设n 0=1,则n A0=0.11521393.0087.00473.12304.01129.00023.01152.00473.10022.0)98.01(1152.0)1()1(20,0,=⨯-=∆=-=∆=-=-=⇒-=O A AA A A A A n n y x n n nx n y设主反应消耗NH 3的量为Z ,副反应消耗NH 3的量为F1393.0F 43Z 451129.0F Z 4F )(6234 Z45Z )(64542223223==F3副主++++=+++=+Q O H N O NH Q O H NO O NH%4.971129.011.0%5.951152.011.00029.011.0======⇒βφF Z5s q V t V R 25001.05.20===对于全混流反应器,121.0)350250(632.011)250(1)(1)(2503501250250=-=-=-=-=-==------e e F ee F et F et E tttττττ第九章 均相反应器(1)30st 60st 10ln 100ln 30t 99.011ln1t 9.011ln10311ln1t =∆==-=-=-=+→k k x k SR A A 级反应对于间歇操作反应器一(2)min16501.02.03.099.0t min1501.02.03.09.0t )1(x t 99900A=⨯⨯==⨯⨯=-=→+A A x kc RB A 级反应对于间歇操作反应器二(4)min50558.01111t)1(x )1(x t 20A0A===-=-=-=-=+→+t x x kc x kc SR B A A A A A A τττ二级反应对于全混流操作反应器级反应对于间歇操作反应器二(8)4.000200200000100,43)1ln(4141)11(11)1()(.4.15111110.1⎥⎦⎤⎢⎣⎡-++-=-+=⎥⎦⎤⎢⎣⎡+-=-===-==-+=-+==+→⎰⎰⎰-A A A A x AA A A x A A A AA x AAA V R A A A x x x kc dx x x kc x x c k dx c r dx c q V l mol RTp V n c a a r s y CO CH CHO CH A AA τδ(15)LL V x x k dx x x k x y x c k dx c r dx c q V c k P k r a a r s y CH H C H C R A Ax A A Ax AA A A A AA x AAA V R Ac A p A A A A AA 6.24610210233.110233.1)6.04.01ln2(10)11ln 2(1)11(11)1()(111110.12444000,000000,32283=⨯⨯⨯=⨯=-⨯=--=-+=+-=-====-=-+=-+==+→-⎰⎰⎰δτδ。
化学工程基础考试试题一、选择题(每题 3 分,共 30 分)1、以下关于物质传递的说法中,错误的是()A 分子扩散是物质传递的一种方式B 对流扩散的速率比分子扩散快C 温度升高会降低物质的扩散系数D 物质在浓度梯度作用下会发生扩散2、下列哪个不是化工生产中常见的单元操作()A 精馏B 萃取C 电解D 结晶3、在稳态传热过程中,传热速率与热阻()A 成正比B 成反比C 无关D 以上都不对4、对于理想气体,其焓值只与()有关。
A 温度B 压力C 体积D 以上都有关5、以下哪种流体的流动形态属于层流()A Re > 4000B 2000 < Re < 4000C Re < 2000D 无法确定6、化工生产中,吸收操作常用于分离()A 气体混合物B 液体混合物C 气液混合物D 以上都可以7、离心泵的主要性能参数不包括()A 扬程B 效率C 轴功率D 压强8、以下哪个不是影响化学反应速率的因素()A 温度B 浓度C 催化剂D 容器体积9、精馏塔中,提馏段的作用是()A 提高塔顶产品的纯度B 提高塔底产品的纯度C 同时提高塔顶和塔底产品的纯度D 以上都不对10、在传热过程中,总传热系数 K 的单位是()A W/(m²·K)B W/m²C J/(m²·K)D J/m²二、填空题(每题 4 分,共 20 分)1、化工生产中,三传一反指的是、、和。
2、热量传递的三种基本方式是、和。
3、离心泵的安装高度必须允许安装高度,否则会发生现象。
4、化学反应工程的主要研究内容包括、和。
5、萃取操作中,萃取剂的选择应遵循、和等原则。
三、简答题(每题 10 分,共 30 分)1、简述精馏的原理和精馏塔的组成部分。
2、解释什么是流体的流动阻力,并说明其产生的原因。
3、说明催化剂在化学反应中的作用及其特点。
四、计算题(共 20 分)1、一热交换器,用 130℃的饱和水蒸气将流量为 2000kg/h 的某液体从 20℃加热到 80℃。
化学工程基础习题答案第二章流体流动与输送5、解:0013.60.22.181.25gH gRgR H mg ρρρρ=⨯=== 00 1.25 2.181.701.6gH gRH R mρρρρ=⨯=== 6、解:1001223113.60.1302.210.80()2(2.210.2)800 6.051044gH gRR H mm d H h kgρρρρππρ=⨯====+=+⨯=⨯ 10、解:列柏努力方程221122122212121222210,20,0,12.3213.382ff p u p u z z hg g g gu z m z p p u h g u gρρ++=+++======⨯⨯=∑∑ 解得12 3.44u m s -=⋅22313120.1 3.440.027 1.62min 44v q d u m s m ππ--==⨯⨯=⋅=⋅11、解:列柏努力方程()()()2211221222122121212212212222212122()20()22()2i i i p u p u z z g g g g p p u u z z g g z z p p p uu ghu u u u h g gρρρρρρρρρρρ++=++--=-+-=∆=-=-=---=≈=-1122112221700/360014.0(0.21920.006)441700/360026.7(0.15920.0045)440.037737.7v v q u m s d q u m s d h m mmππππ--===⋅⨯-⨯===⋅⨯-⨯==12、解:列柏努力方程221211222212212121122312222()()20,215.8()114.5()()114.5102u u z g p z g p ggu u p z z g p z z p kPa kPa u u p ρρρρρρρ++=++-=-++-===-=+⨯绝压表压 1122112220.5/36000.4420.02440.5/360019.70.00344v v q u m s d q u m s d ππππ--===⋅⨯===⋅⨯22321000(0.44219.7)104.51079.42p kPa ⨯-=+⨯=-17、解:列柏努力方程221122122221212121121122222()216,0,06/36002.91(0.03220.0025)44e fe fv p u p u z H z h g g g g p p u u H z z h g gz z m p p u q u m s d ρρρππ-+++=+++--=-+++-=======⋅⨯-⨯∑∑900弯头阻力系数ξ=0.75 全开截止阀阻力系数ξ=6.0531230 2.910.027Re 1.01109.510ud ρμ-⨯⨯===⨯⨯,查图得到λ=0.026 2280 2.91(60.754 6.0)(0.026 4.524)45.5520.0272f l u h m d g g λ=+⨯+⨯=⨯++=∑222212121 2.91()16045.5561.9822e f p p u u H z z h m g g gρ--=-+++=+++=∑18、解:列柏努力方程221122121212122150,0,15ffp u p u z z h g g g g z z m p p u hρρ++=+++-=====∑∑忽略动能假设流体流动类型为层流2222222222520010.2224.251040.43415e f V f l l u u u h d g d g dqu d d h d λλλπλ---+==⋅===⨯==∑∑解得0.111d m = 核算1223.454Re V q u m s d udπρμ-==⋅==22、解:列柏努力方程220022022220202020020112222()26.5,0,05/36000.630.05344e fe fv p u p u z H z h g g g g p p u u H z z h g g z z m p p u q u m s d ρρρππ-+++=+++--=-+++-=======⋅⨯∑∑由连续性方程得到221212220.530.63 1.05/0.41d u u m s d ==⨯=113223112218300.630.053Re 122250101830 1.050.041Re 15765010640.052Re 640.041Re u d u d ρμρμλλ--⨯⨯===⨯⨯⨯===⨯====900弯头阻力系数ξ=0.75 全开截止阀阻力系数ξ=6.0 三通阻力系数ξ=1.022112212121222(40.752 6.01)[(300200)50.75]22400.6325 1.05 (0.0523121)[0.041(300200) 3.75]0.05320.0412 1.12 2.77 3.89ff f l u l u h hh d g d gg gmλλ=+=+⨯+⨯+++++⨯=+++++++=+=∑∑∑222020202()21.05=6.5+3.8910.452e fp p u u H z z h g gm gρ--=-++++=∑10.455/360018309.814340.4340.6V Heq gP W kW ρη⨯⨯⨯====24、解:根据汽蚀余量的定义2111102210102212101.32573.328.0250.75100.03810 2.050.084Va p p u h g g gp kPa u C m s d u u m sd ρρ--∆=+-=-====⋅==⨯=⋅ 查表得到p V =2.3346kPa代入上式解得2231128.025 2.3346 2.0510 2.8429989.8129.81V a p p u h m g g g ρρ-∆=+-=⨯+=⨯⨯第三章 传热过程 2、解:⑴2111121222213330.250.1791.40.130.8670.150.200.250.8R m K W R m K W R m K W δλδλδλ---===⋅⋅===⋅⋅===⋅⋅⑵22328202606460.867T T q W m R ---===⋅ ⑶23112313123646116820260560162838T T Tq W m R R R R R T KT K T K T K-∆∆∆====⋅++∆=∆=-=∆=∆=8、解:热量衡算36111222216213226216000() 3.010(485155) 1.65103600()1.6510503765800 3.141036001.6510514(485376)(15550)302m p m p m p mm Q q c T T W Q q c t t Q t t q c Q KA t Q K W m K A t --=-=⨯⨯⨯-=⨯=-⨯=+=+=⨯⨯=∆⨯===⋅⋅-+-∆⨯10、解: ⑴热量衡算:乙醇冷凝热3511500/360088010 1.2210m Q q r W ==⨯⨯=⨯乙醇冷却热3421112()500/3600 2.810(78.530) 1.8610m p Q q c T T W =-=⨯⨯⨯-=⨯ 水的用量122231541122231()1.2210 1.8610 1.67() 4.2(3515)m p m p Q Q q c t t Q Q q kg s c t t -+=-+⨯+⨯===⋅-⨯- 冷却器水出口温度的计算222214221322()1.86101517.71.67 4.210m p m p Q q c t t Q t t q c =-⨯=+=+=⨯⨯ 冷却器面积的计算 以外表面为基准21112211380124111700201000(78.517.7)(3015)33(78.517.7)ln(3015)m K W m K d d t Kαα--===⋅⋅+⋅+⋅---∆==--214221 1.8610 1.4838033mm Q KA t Q A m K t =∆⨯===∆⨯ 冷凝器面积的计算211122116731241113500201000(78.535)(78.517.7)51.7(78.535)ln(78.517.7)m K W m K d d t Kαα--===⋅⋅+⋅+⋅---∆==--125212 1.2210 3.5167351.7mm Q KA t Q A mK t =∆⨯===∆⨯ 总面积212 1.48 3.51 4.99A A A m =+=+=⑵1 4.99333.140.0242A n d l π===⨯⨯根 16、解: ⑴361162221661232214000109251.03103600() 1.03101.0310 1.031012.3() 4.1810(4020)m m p m p Q q r WQ q c t t W q kg s c t t -⨯⨯===⨯=-=⨯⨯⨯===⋅-⨯⨯-⑵因为酒精冷凝为相变传热,因此并流或逆流没有差别 ⑶1212()()(7820)(7840)47.3()7820ln ln7840()m T t T t t T t T t ------∆===----℃第五章 吸收6、解:⑴42421134 1.34100111 1.3427363.8410 1.02103.6610Y y x Y E m p m K k k K kmol m s -----====+=+=⨯⨯=⨯⋅⋅ ⑵气膜阻力321411 2.60103.8410y m s kmol k --==⨯⋅⋅⨯ 液膜阻力22121.34 1.31101.0210x m m s kmol k --==⨯⋅⋅⨯332.610==0.9522.610131⨯⨯+气膜阻力总阻力气膜阻力远大于液膜阻力,因此为气膜控制 ⑶* 1.340.050.067y mx ==⨯=*0.10.9520.10.0670.06860.06860.05121.34i ii i i y y y y y y y x m --==--==== 9、解:1220.08/1140.0930.08/114(10.008)/135)0.0081140.000950.0008/114(10.0008)/135)0X X Y ==+-⨯==+-=最小汽液比的计算12*min 12121210.0930.00095 1.980.0930.503 1.98 5.945.940.0930.0009500.01555.94X X V L Y Y VL X X V L Y Y Y --⎛⎫=== ⎪-⨯-⎝⎭=⨯=-==--=+= **1122*11*2212()()(0.50.0930.0155)(0.50.000950)0.0073(0.50.0930.0155)ln ln (0.50.000950)0.015502.050.00730.8 2.05 1.64m OG m OG OG Y Y Y Y Y Y Y Y Y Y Y N Y H H N m---⨯--⨯-∆===⨯--⨯----===∆=⋅=⨯=12、解:⑴根据已知条件可得12120.01(1)0.0010Y Y Y X η==⋅-==12*min 1212min 121210.010.0010.90.0101.5 1.350.00671.35Y Y L V X X Y Y L L V V X X Y Y X --⎛⎫=== ⎪--⎝⎭-⎛⎫=== ⎪-⎝⎭-== **1122*11*2212()()(0.010.0067)(0.0010)0.00193(0.010.0067)ln ln (0.0010)0.010.0014.660.00193m OG m Y Y Y Y Y Y Y Y Y Y Y N Y ------∆===------===∆ ⑵可增大吸收剂用量12120.01(1)0.00050Y Y Y X η==⋅-== 120.010.00054.660.00204OG m m m Y Y N Y Y Y --===∆∆∆=***11221**111*22*1*11()()(0.01)(0.00050)0.00204(0.01)ln ln (0.00050)0.004680.00468m Y Y Y Y Y Y Y Y Y Y Y Y X Y ------∆===----===1212'0.010.00052.030.004680' 2.031.35' 2.03 1.350.50450.4%1.35Y Y L V X X L VL VL L V VL V--===--==--===第六章 精馏 5、解: 解方程组0.7230.2631.250.0187y x y x =+=-得0.535F x = 解方程组0.7230.263y x y x=+=得0.949D x = 解方程组1.250.0187y xy x ==-得0.0748W x =0.26312.6Dx R R =+= 12、解:已知精馏端操作线方程为0.720.25y x =+0.7212.570.2510.893DD RR R x R x =+==+=平衡线方程为2.21 2.211(1)1(2.211)1 1.212.21 1.21x x xy x x xyx yαα===+-+-+=-011*0101*1111210.650.8930.7912.21 1.210.8930.65(0.8930.791)0.8270.720.250.845mL D x x E x x x y x y x y x y x -==-=====-=-⨯-==+=7、解:⑴由进料状态方程6 1.5y x =-可知611.2qq q =-=1.510.3F F x q x =-= 平衡线方程为21(1)1x x y x xαα==+-+ 由平衡线方程和进料状态方程可解得交点坐标为0.3330.496e e x y ==最小回流比0.940.496 2.720.4960.3331.5 4.08D e M e e M x y R y x R R --===--== 精馏段操作想方程为10.8030.18511F R y x x x R R =+=+++ ⑵物料衡算F D WF D W Fx Dx Wx =+=+ 已知:1150,0.30,0.04,0.94F W D W kmol h x x x -=⋅===解得:1160.94,210.94D kmol h F kmol h --=⋅=⋅⑶提馏端操作线方程 4.0860.94 1.2210.94150 4.0860.94 1.2210.94150 4.0860.94 1.2210.94150 1.430.017W W R D qF W y x x R D qF W R D qF Wx x x ⋅+=-⋅+-⋅+-⨯+⨯=-⨯+⨯-⨯+⨯-=- 9、解:⑴物料衡算F D WF D W Fx Dx Wx =+=+ 已知:0.40,0.02,0.97F W D x x x ===解得2.5, 1.5F D W D ==回收率0.970.972.50.4D F DX D Fx D η⨯===⨯ ⑵根据q 的定义30.623q ==+ q 线方程为1 1.5111F q y x x x q q =-=-+-- 平衡线方程为21(1)1x x y x xαα==+-+ 由平衡线方程和进料状态方程可解得交点坐标为0.3330.501e e x y == 0.970.501 2.790.5010.3331.8 5.02D e M e e M x y R y x R R --===--==提馏端操作线方程5.020.6 2.5 1.5 5.020.6 2.5 1.5 5.020.6 2.5 1.5 1.300.006W W R D qF W y x x R D qF W R D qF WD D D x x D D D D D D x ⋅+=-⋅+-⋅+-+⨯=-+⨯-+⨯-=- 13、解:⑴物料衡算F D WF D W Fx Dx Wx =+=+ 已知:14000,0.30,0.05,0.910.91/46'0.7980.91/460.09/18F W D D F kg h x x x x -=⋅=====+转换成摩尔分数 解得111304,2696D kg h W kg h --=⋅=⋅ ⑵精馏段操作线方程1'0.667 2.6611D R y x x x R R =+=+++ ⑶1133131313040.9113040.09'32.34618(1)'96.996.9108.314(27378)27910.775101.310V D kmol h V R D kmol h q m h m s ----⨯⨯=+=⋅=+=⋅⨯⨯⨯+==⋅=⋅⨯1.28D m ==。
化学⼯程基础习题答案(武汉⼤学__第⼆版).doc 化学⼯程基础习题即13.3x10-3Pa = 98.7x 10⼀3 = £ _乌=> P,.. = 85.4 x 10-3PaP“ = P-P°=85.4x10喝⼀98.7x10打⼝=-13.3⼜10-3户。
2.解:£ j2 _£ j2A 1 A 2de = 4x -----------—=(《-L) = 707td A + 7rd2~3.解:对于稳定流态的流体通过圆形管道,有甜直径减⼩⼀半,即% =2n"/ =4即液体的流速为原流速的4倍.4.解:r 2// =2- —7 d 2g16j2%:.云五 "fi 久.必.竺d 、2gu 2 = 4坊,L i= L^d j= 2d 264// L 2 W 22■?. —Hf2 _d*2P d? 2g Hj\ 64// L 、妒炯p 由2g64" L 2 U 22I ⼀ ? — . ~H ⼝ _d 必% 2g"投 q T ('杼 64/z L] 4 -77~i~Z 章 ~^g~ 2d 、⼀UcP 2 o ⼀4 - H f2 H ⼋% =16%6. 解:1)雷濒Re = M其中 p - 1000kg - /n -3, u = 1.0/n s"1cl = 25mm = 25x10-3 m "-\cp - 10-3 Ps - s故Re?即产⽣的剧损失为原来的16倍。
10()0x1.0x25x10—310—3=25000岫湍流。
2)要使管中⽔层流,则Re < 2000c 1000x 25x 10⼀'m -u _ ___ 即 Re = --------------- z ---------- < 2000< 0.08/??-.v -17.解:取⾼位⽔槽液⾯为1-1',A-A ,截⾯为2-2,截⾯,由伯努利⽅程P 、 U : p, U ; TT z. + —+ —L = Zo + —+ —L + H fPg 2g _pg 2g其中% = 10/n,z 2 = 2m;5 - Wo 16.15i/2 则 10 = 2 + — + -----------2x9.8 9.81)A-A ,截⾯处流量〃 =U 2u = 2.17m ?$T2)q v =Aup其中 A ==-x3.14x(100xl0~3)244= 7.85x10-3 次 u = 2.17m-5^'q r =7.85xl0-3x2.17x3600 = 61.32^8.解:对Id 截⾯和2-2'截⾯,由伯努利⽅程得Pi U|p, U|^+―+ —= Zo+ —+ —Pg 2g ~ pg 2gPl =P2;〃1 =°;H,Xh fgPgh\Pl%oW] = 0.5m ?sT,P] = pglv.—但 u. = (^^)2 x 0.5 = 2.0m ? 5-1d ; 10.1■o 52 22△/? + —^― = — = 0.19s2x9.8 2x9.815.解:液⾯为1-1,截⾯,⾼位槽液⾯为2-2,截⾯, 由伯努利⽅程得2m, Zo = 10m ; "| = w 2P } =p vac =-i00mmHg=⼀ 13.6 x 1 O’ x 9.8 x 0.1 = -13332.2p aP 2 =0c -13332.2 〃 5 19.6 』1000、 2 + ------------- + H, =10 + (——+ 4x ---------- ) pg c 9.8 980 H c =12.08 + 业 +133322= 14.08 +1.388 = 15.468 e9.8 980⼝15.468X 2X -X (53X 10~3)2X 980P = ⼟⼼= ------------------------ 4 --------------------------= 0.655kw 102 102 17.解:取⽔池液⾯为T 截⾯,⾼位截⾯为2-2,截⾯,由伯努利⽅程得4+⼋+3+乩=泰+咨乏+"Pg 2g ~ pg 2g其中:Z] =0,Z] =50m;P[—外=0H -20/ 〃⼚ 79.8H =50 +史= 52.05 e 9.819.解:取贮槽液⾯为T 截⾯,蒸发器内管路出⼝为2-2'截⾯, 由伯努利⽅程得= 1.632kw363600 x % (76x10—3 ⼫= 2.2= 5.0 + = 3.0kw9 9p 、 ur Tr p, ur __ —+ — + H C =Zo+ — + — + // Pg 2g - pg 2g其中,Z] = 0, Z] = 15m;Pl = 0, p 2 = -200 X10⼀3 x 13.6 X1 ()3 X 9.8 = -26656p aH /=l2%.8"5 + 器兀= 24.97p _ H< , q 、,, P _ 24.97 x20xl 200 -K)2-102x360020.解,1)取贮⽔池液⾯为1-1'截⾯,出⼝管路压⼒表所在液⾯为2-2,截⾯, 由伯努利⽅程得P\ U ) 廿 p. U, …^+ —+— + //=^+ — + — + //.pg 2g '?pg 2g其中,z t =0,z o =5.0m;1 ■Pi =0, p 2 = 2.5kgf.cm忽略出⽔管路⽔泵⾄压⼒表之间的阻⼒损失,则:衡算系统的阻⼒损失主要为吸⼊管路的阻⼒损失: -0.2/⼚ 79.82.45 xIO 5 2.22 0.2 -------------- 1 ---------- 1 --- 1000x9.8 2x9.8 9.8=5.0 + 25 + 0.25 + 0.02 = 30.27H (,qv , P _ 30.27x36xl000 ~102- — ~102x36005* 喑= 4.3kw3)液⾯为Hl z 截⾯,⽔WA 管路上真空藏液⾯为2-2,截⾯,2.5x9.8 0.0 L= 2.45x1 ()5 Pa由伯努利⽅程得9 9U7 U~ ..z}+ — + — = z^ — ^ — + H fPg 2g ~ pg 2gPl其中$ Zj =0,z2 =4.8m;Pi = 0, P? = ?忽略进⽔管路⽔泵中真空表⾄⽔泵之间的阻⼒损失,则:衡算系统的阻⼒损失为吸⼊管路的阻⼒损失:H -o.y”⼚79.8p, ——(4.8 +2.222x9.80 2+ —)x1000x9.8 = -49600pa得真空表的读数为p = 49600P。
一、判断题1、量纲分析法的优点是:虽未减少实验的工作量,但可以建立数学模型,对实验结果进行量化计算。
( )答案:错2、当流体充满圆管做定态流动时,单位时间通过任一截面的体积流量相等。
( )答案:错3、强化传热过程最有效的途径是增大传热面积。
( )答案:错4、液体在管内做强制湍流流动时,如果流动阻力允许,为提高对流传热系数,增大流速的效果比减小管径更为显著。
( )答案:对5、沸腾给热和冷凝给热同属于对流传热,因为两者都伴有流体的流动。
( )答案:对6、对于逆流操作的填料吸收塔,当气速一定时,增大吸收剂的比用量(即液气比),则出塔溶液浓度降低,吸收推动力增大。
( )答案:对7、选用不同结构的填料时,填料提供的比表面积越大,越有利于吸收,不利于解吸。
( )答案:错8、液泛点是填料吸收塔的最佳操作点。
吸收操作在此条件下进行时,则吸收速率最大。
( )答案:错9、设计时,若R上升,并不意味D下降,操作中也可能有类似情况。
( )答案:对10、吸收操作线方程是由物料衡算得出的,因而它与操作条件(压强、温度)、相平衡关系、塔板结构等无关。
( )答案:错二、填空题1、处于同一水平面的液体,维持等压面的条件必须是、、。
流体在管内流动时,如要测取管截面上的流速分布,应选用流量计测量。
答案:静止的连通着的同一种连续的液体皮托2、如下图所示,密封容器中盛有3800/kg mρ=的油品,U形管中指示液为水(1000kgρ=3/m),1a、2a、3a恰好在同一水平面上,1b、2b、3b与4b也在同一高度上,1100,h mm =2200h mm =,则各点的1a p =________,2a p =________,2=b p ________,3=b p ________,3h =________。
(表压值,均以2mmH O 为单位)答案:0;100;340;300;2003、离心泵特性曲线通常包括________曲线、________曲线和________曲线,这些曲线表示在一定的________下,输送某种特定液体时泵的性能,泵制造厂所提供的特性曲线是用________作为工作介质测定的。
化学工程基础习题第二章.P 69 1.解:o vacP P P =-绝3313.31098.710o Pa P P --⨯=⨯=-绝即 385.410P Pa -⇒=⨯绝o a P P P =-33385.41098.71013.310Pa Pa Pa---=⨯-⨯=-⨯2.解:22121212444()70d d de d d d d ππππ-=⨯=-=+3.解:对于稳定流态的流体通过圆形管道,有221212d d u u =若将直径减小一半,即12d 2d =214u u ⇒=即液体的流速为原流速的4倍.4.解:gu d L H f 22⋅⋅=λ21111122222222f f L u H d gL u H d gλλ=⋅⋅=⋅⋅22222221111121121222222222111111222222221212222121226464Re 4,,26426426421()6441222411611112162416f f f f f f f f f f L u H d g L u H d gdu u u L L d d L u H d u d g L u H d u d g L u H d u d g H u L d g d u H H H H λλμλρμρμρμρμρ⋅⋅=⋅⋅=====⋅⋅=⋅⋅⋅⋅=⋅⋅==⋅⋅⨯=即产生的能量损失为原来的16倍。
6.解:1)雷诺数μρud =Re其中31000kg m ρ-=⋅,11.0u m s -=⋅3252510d mm m -==⨯3110cp Ps s μ-==⋅故μρud=Re331000 1.0251010--⨯⨯⨯=25000=故为湍流。
2)要使管中水层流,则2000Re ≤即3310002510Re 200010m u--⨯⨯⋅=≤ 解得10.08um s -≤⋅7.解:取高位水槽液面为1-1′, A-A ′截面为2-2′截面,由伯努利方程12221112u u H 22f p p z z g g g gρρ++=+++其中1210,2;z m z m ==121;0;ff p p u H gh===∑则22216.1510229.89.8u u =++⨯解得1)A-A ′截面处流量2uu =12.17u m s -=⋅2)qvAu ρ=其中232113.14(10010)44A d π-==⨯⨯⨯ 327.8510m -=⨯ 12.17u m s -=⋅33q 7.8510 2.17360061.32v m h-=⨯⨯⨯=8.解:对1-1′截面和2-2′截面,由伯努利方程得12221112u u 22p p z z g g g gρρ++=++其中21211,1H O z z p m gh ρ===11120.5,u m s p gh ρ-=⋅=221121220.2()0.5 2.00.1d u u m s d -==⨯=⋅220.520.1929.829.8h m ∆+==⨯⨯15.解:选取贮槽液面为1-1′截面,高位槽液面为2-2′截面,由伯努利方程得12221112u u 22e fp p z H z H g g g gρρ+++=+++其中:12122,10;0z m z m u u ====123a p 10013.6109.80.113332.2p 0vac p mmHgp ==-=-⨯⨯⨯=-= 13332.219.61000210(4)9.898019.613332.212.0814.08 1.38815.4689.8980e e H g H gρ-++=++⨯=++=+=⨯3215.4682(5310)98040.655kw 102102e V H q P πρ-⨯⨯⨯⨯⨯⋅⋅===17.解:取水池液面为1-1′截面,高位截面为2-2′截面,由伯努利方程得12221112u u 22e fp p z H z H g g g gρρ+++=+++其中:1112z 0,z 50;0m p p ==-=209.8f H =205052.059.8e H =+= 52.053610008.05kw 1021020.63600e V H q P ρη⋅⋅⨯⨯===⨯⨯19.解:取贮槽液面为1-1′截面,蒸发器内管路出口为2-2′截面, 由伯努利方程得12221112u u 22e fp p z H z H g g g gρρ+++=+++其中,11z 0,z 15;m ==1332a 0,2001013.6109.826656p 1209.8f p p H -==-⨯⨯⨯⨯=-=120266561524.979.89.81200e H =+-=⨯24.97201200 1.632kw 1021023600e V H q P ρ⋅⋅⨯⨯===⨯20.解:1)取贮水池液面为1-1′截面,出口管路压力表所在液面为2-2′截面,由伯努利方程得12221112u u 22e fp p z H z H g g g gρρ+++=+++其中,12z 0,z 5.0;m ==2125a 40, 2.5.2.59.8 2.4510p 0.01p p kgf cm --==⨯==⨯忽略出水管路水泵至压力表之间的阻力损失, 则:衡算系统的阻力损失主要为吸入管路的阻力损失:0.29.8f H =32362.23600(7610)4u π-==⨯⨯522.4510 2.20.25.010009.829.89.85.0250.250.0230.27e H ⨯=+++⨯⨯=+++=30.273610003.0kw 1021023600e V H q P ρ⋅⋅⨯⨯===⨯2) 3.04.3kw 1020.7e V H q Pρη⋅⋅===3)取贮槽液面为1-1′截面,水泵吸入管路上真空表处液面为2-2′截面, 由伯努利方程得12221112u u 22f p p z z H g g g gρρ++=+++其中:12z 0,z 4.8;m ==120,?p p ==忽略进水管路水泵中真空表至水泵之间的阻力损失, 则:衡算系统的阻力损失为吸入管路的阻力损失:0.29.8f H =22 2.20.2(4.8)10009.849600pa29.89.8p =-++⨯⨯=-⨯ 得真空表的读数为49600vacPa P=23.解:1)取低位槽液面为1-1′截面高位槽液面为2-2′截面 由伯努利方程得12221112u u 22e fp p z H z H g g g gρρ+++=+++其中,12z 0,z 20;m ==120,0p p ==5,20525fe HH ==+=w 259.8245J/kg e =⨯=2)在管路A 、B 截面间列伯努利方程得:22AB 22222222u u 22u 2u 2()()6()62A B A B A B A B fB A B A A B Hg H O H O Hg H O H O A B H O H Op p z z H g g g g p p L z z g g d g p p dg z z L g gp p gR g R p p g u ρρλρρλρρρρρρρρρρ++=+++-=-+=⨯⨯--+-=-⨯+⨯⨯-⨯+⨯-====1.03m s -⋅3)225 2.030.05100040.976102Pkw π⨯⨯⨯⨯==4)根据静力学基本方程式:2002222220222022(6)''(6)6()6'(6)6'()[13.6 1.211B H O Hg B Hg H O A H O B H O H O Hg A B H O H O Hg A Hg H O H O H O Hg A Hg H O Hg H O p g H gR p p gR p g H p gh p g g h R gR p p g gR gR p gR p g H g gR gRp p gR gH gR ρρρρρρρρρρρρρρρρρρρρ++=+⇒=+-++=++-+⇒=+-+⇒=+-++-+⇒-=-+-=⨯-⨯5(13.61)0.04]9.810001.5510ap +-⨯⨯⨯=⨯第三章 传热过程p105 ex1解:2332211411243901.011200001.0714.0187.0112045006.014.01.007.12.0301150m W t t R t q ==--=++-=++-=∑∆=λδλδλδ120073.3)(1120300`-⋅⋅︒=+∑⇒+∑==W m C R R R R q12083.2901.073.3-⋅⋅︒=-=W m C Rex2解:141414141111()()22()2()()11()i ii m ii i i n i i i i ii n i T T T T Ar L L T T L T T r r rl r r r r l r φδδλπλππλλ++++--==∑∑--==-∑∑-196.138168.101413214.694.30139.01413007.0435.12.0788.016223.022514.32558507.0125552.012025161)35260(2-⋅==++=++⨯⨯=++-=m W l l l Lnn n πφEx4解:空气的定性温度220180T200C 2+==︒200℃时空气的物性参数为:30.746/Kg m ρ=2113.9110W m K λ---=⨯⋅⋅52.610a P s μ-=⨯⋅ 11.034Cp C KJ Kg -=⋅⋅︒ 115u m s -=⋅,450.0254150.7461.09102.610e du R ρμ-⨯⨯===⨯⨯3521.034102.6100.683.93110p r C P μλ--⨯⨯⨯===⨯0.80.3240.80.320.023()()3.931100.023(1.0910)0.680.025453.8er R P dW m Kλα-=⨯=⨯⨯⨯⨯=⋅ ex5解:水的定性温度C 3022040T ︒=+=30℃时水的物性参数为:3/7.995m Kg =ρ116176.0--⋅⋅=K m W λ s P a ⋅⨯=-51007.80μ14.174p C KJ Kg C -=⋅⋅︒4.08.0)()(023.0r e P R dλα=当11-⋅=s m u时,6.248681007.807.995102.05=⨯⨯⨯==-μρdu R e41.56176.01007.8010174.453=⨯⨯⨯==-λμp r C PKm W ⋅=⨯⨯⨯=24.08.05.4583)41.5()6.24868(002.06176.0023.0α当0.3u =时58.7460⇒=μρdu R e ,此时,2000<Re<10000Cm W ︒⋅=⨯-⨯⨯⨯⨯=28.158.01638)58.74601061(58.7460965.185.38023.0αex7解:甲烷的定性温度:C 75230120T︒=+=0℃条件下:3/717.0m Kg =ρ1103.0--⋅⋅=K m W λs P a ⋅⨯=-51003.1μ 117.1--⋅⋅=K Kg KJ C p由于甲烷是在非圆形管内流动,定性尺寸取de0255.0019.03719.0019.043719.044422=⨯⨯+⨯⨯⨯-⨯⨯==ππππ润湿周边流体截面积e d7.177281003.1717.0100255.05=⨯⨯⨯==-μρdu R e 584.003.01003.110.153=⨯⨯⨯==-λμp r C P由于甲烷被冷却,3.0n =123.08.03.08.01.57851.077.2505176.1023.0)584.0()7.17728(0255.003.0023.0)()(023.0--⋅⋅=⨯⨯⨯=⨯⨯⨯==K m W P R d r e eλα若甲烷在管内流动:75.104411003.1717.010015.05=⨯⨯⨯==-μρdu R e122.64--⋅⋅=K m W αEx81401525T C ∆=-=︒ ,21303397T C ∆=-=︒2121972553.19725m n n T T T C T l l T ∆-∆-∆===︒∆∆(逆流)在按照折流校正33150.16130151304053315P R -==--==-φ=0.970.9753.151.5m T C ∆=⨯=︒ex9(1)()()13211187503080109.125.1-⋅=-⨯⨯⨯=-=s J T T c q p m φ(2)C T ︒=-=∆1020301 ,C T ︒=-=∆4040802C l T T l T T T n nm ︒=-=∆∆∆-∆=∆64.21410401212(3)123333000000251.010176.01021.002.0025.002.0025.045025.00025.002.01085.0025.0107.1111---⋅⋅=⨯+⨯+-⨯⨯+⨯⨯+⨯=++++==W K m l R R d d d d K R ns si mi λδαα油 1291.3981--⋅⋅==K m W RK (4)274.1364.2191.395118750m t K A m=⨯=∆=φ若近似按平面壁计算,则26.45310176.01021.0450025.01085.01107.111113333000=⨯+⨯++⨯+⨯=++++==--K R R K R s si mi λδαα油211.12m A =ex10(1)m d 301016-⨯= ,m d i 31013-⨯= ,m 3105.1-⨯=δ)123330005.81011.0100414.010231.119015.144016105.110001316111-----⋅⋅=+⨯+⨯=⎪⎪⎭⎫⎝⎛+⨯⨯⨯+⨯=⎪⎪⎭⎫⎝⎛++=K m W d d d d K m i i αλδα(2)12300006.14618015.144016105.110001316111---⋅⋅=⎪⎪⎭⎫⎝⎛+⨯⨯⨯+⨯=⎪⎪⎭⎫⎝++=K m W d d d d K m i i αλδα (3)()1233300078.85011.0100414.010616.019015.144016105.120001316111-----⋅⋅=+⨯+⨯=⎪⎪⎭⎫⎝⎛+⨯⨯⨯+⨯=⎪⎪⎭⎫⎝++=K m W d d d d K m i i i αλδαex11解:(1)()()''''11212m p m p q c T T q C T T φ=-=-''2550p m p m C q C q = p m p m C q C q 2''= 5.926013560135.=-=∆nm l Tmp m mT k C q T k A ∆=∆=111150ϕ(2)()()''''21212m p m p q c t t q C t t φ=-=-()'2'1''70t t C q C q p m p m -= 35'2'1=-t t ,50'2=t81.693013530135=-=∆nm l t ,m p m m t k C q t k A ∆=∆=221270ϕ又流量及物性不变,21k k =2211707092.56475 1.855505069.83490.7m pm m pmq C k t A q C A k T ∆⨯====⨯∆ 855.11212==A A L L ,m L 855.12= ex12解:(1)()1123319302.8810(9050)2306360061.7610230644.75md pd mmm m q c T T KA t t t t Cφ=-=∆=⨯⨯⨯-=⨯⨯∆=⨯=⨯⨯∆∆=︒.903244.75903229.5m nt T tl t C --∆==-=︒ mp m mT k C q T k A ∆=∆=111150ϕ()()()112123361.7610 4.229.5181.27910 4.6/md pd mh ph mh mh q c T T q c t t q q kg hφ=-=-⨯=⨯⨯-=⨯=吸收p1872ex 解:(1)33333120267.8211010010() 2.300.3410002.300 1.13510.2026A aA A A A aA P P C mol m C C P H mol m P H P *---*---*=⨯⨯===⇒===⨯ (2)73271000 4.895101.13510 1.8104.89510aA AP E P HM P x --*===⨯⨯⨯⨯=⨯(3)22.48310013.110895.457=⨯⨯==总P E m (4)总压提高一倍,E 、H 值均不变24210026.210895.4571=⨯⨯==P E m ex9.解:02329.002329.0102329.0102329.0645299564511=-=-==+=y y Y y第一解法:,12,12,1221,211,12121,1111,1,()min min 026.726.71.6526.71.6526.70.023850.0005426.7 1.65512864.814814.8/266.n Cn B n C n B n C n B n C n C q Y Y q X X q Y Y Y Y q X Y X q Y Y Y Y Y q X Y X X mol q X q kmol h **⎫-=⎪-⎪⎛⎫-⎪⇒= ⎪⎬ ⎪⎪⎝⎭=⎪⎪=⎭--=====⨯====又设又又366mh第二解法: 设吸收率为η则,()121Y Y η-=进气量设为h kg a /.,3512.5%.95%2910n B a a kmol q h η-=⨯=⨯,12111,1,,,,3,3,(1)()min 26.726.7512() 1.65()min 1.6526.7.5%2910.95%14814.8/266.0n C n B n C n C n Bn Bn C n C q Y Y Y Y Y q X q q q q a q a mq kmol h hηη*----=====⨯⨯⨯⨯===ex10.(1)02.01=Y0002.0%)991(12=-=Y Y 02=X当液气比为2.2时,,12,1210.020.00022.2n C n Bq Y Y q X X X --===-009.01=X111*2221212120.020.0090.0110.00020.0110.00020.0026950.011ln ln0.00020.020.00027.350.002695m OG m Y Y Y Y Y Y Y Y Y Y Y Y Y N Y *∆=-=-=∆=-=∆-∆-∆===∆∆--===∆(2)当液气比为1.25时,(3) 当X 2=0.00011时01595.000011.001584.0)(25.112211=+=+-=X Y Y X17.1501584.025.1%9902.01==⨯=OGN X03.19001040.00002.002.0=-=OG N(4) 当液气比为0.8,溶质的最大回收率时溶液出口达到气液平衡,1,1221,21210.020.810.0040.020.001680%0.02n Cn B q Y Y Y Y q X Y Y Y Y η*--====--===ex11.03093.003.0103.01=-=Y21(198%)0.030930.020.0006Y Y =-=⨯=21,3,121,21,min 1,,1122,0 1.67273(13%)65.16.22.410303min 1.28 1.2898% 1.25441.281.254465.1681.74.81.74 1.5122.6.()65.16(0122.6n B n C n Bn C n C n C n BX q mol s q Y Y Y q X q mol s q mol s q X Y Y X q η----==⨯⨯-=⨯⎛⎫-===⨯= ⎪ ⎪⎝⎭-=⨯==⨯==-+=⨯.030930.0006)0.016-=8.8003465.00006.003093.0003465.00006.001045.0ln0006.001045.0ln 0006.001045.0016.028.103093.0212121222111=-=∆-==-=∆∆∆-∆=∆=-=∆=⨯-=-=∆**mOG m Y Y Y N Y Y Y Y Y Y Y Y Y Y Y,65.160.65031.6760 1.08.80.6503 5.72n BOG Y OG OG q H K S H H N m ∂===⨯=⨯=⨯=12.(1)111222120.050.0526110.050.002630.002637110.0026361.2580.02033(100061.2)18y Y y y Y y X X ===--===--==-=111222121212,32.00.0526 2.00.020230.012140.0026370.012140.0026370.01214ln ln0.0026370.00950.00621.5270.05260.0026378.060.00620.55620.9522.410m OG mn B Y X Y Y Y Y Y Y Y Y Y Y Y Y Y N Y q ***-=∆=-=-⨯=∆=-=∆-∆-∆==∆∆==-=∆-===⨯⨯⨯12317329821.602.21.6020.7440.8457.79..V OG Y Y Y mol s q H K SK K mol m s ααπ-∂--====⨯⨯=(2),12,12-1,0.05260.00263692.46980.02023=2.469821.602=53.35mol.s n C n B n C q Y Y q X X q -=--==⨯360035.531⨯=nX An=0.02023×53.35×3600=3885.37mol m=58×3885.37=225.4kg (1)另解:,12,120.05260.00263692.46980.02023n C n B q Y Y q X X -=--==气相传质单元数:,,12,,22,,1ln (1)1120.052602ln (1)2 2.46980.002637 2.46981 2.46988.028n B n B OGn B n C n C n C mq mq Y mX N mq q Y mY q q ⎡⎤-=-+⎢⎥-⎢⎥⎣⎦--⎡⎤=-+⎢⎥⎣⎦-= m N H H OG OG 7474.0028.86===又22,,31221.60257.5..0.74744n B n B OGY Y SOG q q H K mol m s dK H sπ⋅====⋅⨯(3)若填料层增加3m ,则:m H H N OG OG 042.127474.09''===0011.0'4698.22'0526.0)4698.221(ln 4698.221122=⎥⎦⎤⎢⎣⎡+⨯--=Y Y N OG 又 液气比一定,则:12111,'2.4698,'0.02085'''0.0208553.3536004004.45n B Y Y X X n X q mol-====⨯⨯=则:kgm kg n m 9.64.22526.23226.232'58=-=∆==13解:(1)121210022.4320.0753100100022.4320.0753(10.98)0.00150.01960Y Y X X ⨯==-⨯=⨯-===1,,12,12,11,0.278100012.41.22.4()()12.41(0.07530.0015)(0.01960)46.72.0.84.n B n B n C n C n C q mol s q Y Y q X X q q mol s kg s ---⨯==-=-⨯-=-==(2)OG OG H H N =⋅Y 1=0.073 Y 2=0.0015 X 1=0.0196 X 2=0Y 1*=1.15X 1=0.0225 Y 2*=1.5X 2=011*1122()ln*0.0730.00250.00150.0180.0730.0025ln0.0015m Y Y *Y Y Y Y Y -⋅∆=----==-120.07530.00154.10.018OG mY Y N Y -=∆-==0.5100022.40.84526.414.10.845 3.46OG H m H m⨯===⨯=14解: (1)OGOGN H H =Y 1=0.025 Y 2=0.0045 X 1=0.008 X 2=0Y 1*=1.5X 1=0.012 Y 2*=1.5X 2=0008.00045.0012.0025.0ln0045.0012.0025.0*ln)(22*1111=---=---=∆⋅Y Y Y Y *Y Y Y m56.2008.00045.0025.021=-=∆-=mOG Y Y Y Nm H OG 91.356.210==(2)当003.0'2=Y 时12121,,1n C n BY Y Y Y q q X X'--==''-=-1003.0025.0008.00045.0025.0X0086.01='X0121.00086.05.1025.0111=⨯-=-=∆Y Y Y003.0222=-=∆Y Y Y0065.0003.00121.0ln003.00121.0ln 2121=-=∆∆∆-∆=∆Y Y Y Y Y m38.30065.0003.0025.021=-=∆-=mOG Y Y Y N3.91 3.3813.213.210 3.2OG OGH H N m H m'=⋅=⨯==-=第六章 精馏P244 ex2.(1),,,,,,n F n D n W n F F n D d n W w q q q q x q x q x =+⎧⎪⎨=+⎪⎩,,,,1001000.30950.05n D n Wn D n W q q q q =+⨯=⨯+⨯1,1,27.7872.22n D n W q kmol h q kmol h--=⋅⋅=⋅⋅(2),,,n L n L n F q q q δ'=+1,27.78 3.597.23n L q R D kmol h -=⋅=⨯=⋅1,97.23100197.23.n L q kmol h -'=+=1,,,97.2327.78125.01.n V n L n D q q q Kkmol h -=+=+= 1,,125.01.n V n V q q kmol h -'==(3),,,,, D ,n F n D n W n F Fn D n W w q q q q x q x q x =+⎧⎪⎨=+⎪⎩,,,,2352350.840.980.002n D n Wn D n Wq q q q =+⨯=+,,201.433.6n D n W q q ==1.-h kmol,1=R 1=δ ,201.4n L q =1,,,436.4.n L n L n F q q q kmol h -'=+=⋅,,,402.8n V n L n D q q q =+=1,,402.8.n V n V q q kmol h -'==⋅(4)23206.010554.0.2326.010554.0)19.46.068.24.0)(303.75(⨯+⨯⨯+⨯+⨯+⨯-=δ094.1=(5)精:225.075.049.04311+=+=+++=x x R Xx R R y d进:⎪⎩⎪⎨⎧====---=2.10.18.011δδδδδδf x x y⎪⎩⎪⎨⎧-===+-=5.265.025.04x y x y x y f(6)2.04.02.02.15.015.1-=+=x y xx y42.0=δx 521.0=δy42.095.0521.095.01min min --=-R R30.4min =R(8)66.05.021.075.0+-=+=x y x y⇒ 66.05.15.01=-=-f x δδ44.031==f x δ 交点36.0=x 48.0=y898.015.0833.01==+=d x y x y10.20.3*1*11+=x x y 10.20.3898.0*1*1+=x x746.0*1=x6.0746.00898898.01*1010=--=--x x x x x806.01=x821.015.0806.0833.0=+⨯=y第八章 化学反应工程基本原理P340 (1)[][]112261058.2---⋅==⨯=-h p p hp p dtdp AAAAA133622221065.9450314.81058.2))(()())(()(---⋅⋅⨯=⨯⨯⨯====-=-=-===h kmol m Rt k k c k Rt c k dtc d Rt c k dt Rt c d p k dtdp c Rt p v n nRt pv p c c p A A p A p AAA A[][]1131323132)(------⋅⋅=⋅⋅⋅=⋅⋅⋅=h kmol m h m kmol mkmol h m kmol c k Ac (2)%5.83)09.011(109.01)1(111110900.00000.10,0,0,24622=⨯+⨯-=+-==-+=-+===+→A A A AA A A A A y y y y x a a r s y y H H C H C δδ 或%5.83)09.011(109.01)1(1)1(0,0,0,0,=⨯+⨯-=+-=⇒+-=A A A A A A AA A A A A y y y y x x y x y y δδ3%98)0022.0411(1152.00022.01152.0)1(418881224122488)(6234)(64540,0,22232223223=⨯+⨯-=+-==--++=+++=+++=+++=+A A A AA A A y y y y x QO H N NO O NH Q O H N O NH Q O H NO O NH δδ副主设n 0=1,则n A0=0.11521393.0087.00473.12304.01129.00023.01152.00473.10022.0)98.01(1152.0)1()1(20,0,=⨯-=∆=-=∆=-=-=⇒-=O A AA A A A A n n y x n n nx n y设主反应消耗NH 3的量为Z ,副反应消耗NH 3的量为F1393.0F 43Z 451129.0F Z 4F )(6234 Z45Z )(64542223223==F3副主++++=+++=+Q O H N O NH Q O H NO O NH%4.971129.011.0%5.951152.011.00029.011.0======⇒βφF Z5s q V t V R 25001.05.20===对于全混流反应器,121.0)350250(632.011)250(1)(1)(2503501250250=-=-=-=-=-==------e e F ee F et F et E tttττττ第九章 均相反应器(1)30st 60st 10ln 100ln 30t 99.011ln1t 9.011ln10311ln1t =∆==-=-=-=+→k k x k SR A A 级反应对于间歇操作反应器一(2)min16501.02.03.099.0t min1501.02.03.09.0t )1(x t 99900A=⨯⨯==⨯⨯=-=→+A A x kc RB A 级反应对于间歇操作反应器二(4)min50558.01111t)1(x )1(x t 20A0A===-=-=-=-=+→+t x x kc x kc SR B A A A A A A τττ二级反应对于全混流操作反应器级反应对于间歇操作反应器二(8)4.000200200000100,43)1ln(4141)11(11)1()(.4.15111110.1⎥⎦⎤⎢⎣⎡-++-=-+=⎥⎦⎤⎢⎣⎡+-=-===-==-+=-+==+→⎰⎰⎰-A A A A x AA A A x A A A AA x AAA V R A A A x x x kc dx x x kc x x c k dx c r dx c q V l mol RTp V n c a a r s y CO CH CHO CH A AA τδ(15)LL V x x k dx x x k x y x c k dx c r dx c q V c k P k r a a r s y CH H C H C R A Ax A A Ax AA A A A AA x AAA V R Ac A p A A A A AA 6.24610210233.110233.1)6.04.01ln2(10)11ln 2(1)11(11)1()(111110.12444000,000000,32283=⨯⨯⨯=⨯=-⨯=--=-+=+-=-====-=-+=-+==+→-⎰⎰⎰δτδ。
化学工程基础课后习题及答案【篇一:化工基础第5章习题答案】xt>5.2气体的吸收1.空气和co2的混合气体中,co2的体积分数为20%,求其摩尔分数y和摩尔比y各为多少?解因摩尔分数=体积分数,y?0.2摩尔分数摩尔比 y?y0.20.25 1?y1?0.22. 20℃的l00g水中溶解lgnh3, nh3在溶液中的组成用摩尔分数x、浓度c及摩尔比x表示时,各为多少?解摩尔分数x?1/17=0.01051/17?100/18浓度c的计算20℃,溶液的密度用水的密度?s?998.2kg/m3代替。
溶液中nh3的量为 n?1?10?3/17kmol 溶液的体积v?101?10?3/998.2 m3n1?10?3/17溶液中nh3的浓度c?==0.581kmol/m3 ?3v101?10/998.299.82csx0.010?5.0kmol582/m3 或ms18nh3与水的摩尔比的计算 x?1/170.0106100/18x0.0105??0.0106 1?x1?0.0105或 x?3.进入吸收器的混合气体中,nh3的体积分数为10%,吸收率为90%,求离开吸收器时nh3的组成,以摩尔比y和摩尔分数y表示。
吸收率的定义为y被吸收的溶质量y1?y21?2原料气中溶质量 y1 y1解原料气中nh3的摩尔分数y?0.1 摩尔比 y1?y10.10.111 1?y11?0.1吸收器出口混合气中nh3的摩尔比为y2?(1??)y1?(1?0.9)?0.111?0.0111摩尔分数 y2?y20.0111=?0.01098 1?y21?0.01114.l00g水中溶解lg nh3,查得20℃时溶液上方nh3的平衡分压为798pa。
此稀溶液的气液相平衡关系服从亨利定律,试求亨利系数e(单位为kpa)、溶解度系数h[单位为kmol/(m3?kpa)]和相平衡常数m。
总压为100kpa。
解液相中nh3的摩尔分数x?1/170.01051/17?100/180.798 kpa 气相中nh3的平衡分压 p*=亨利系数 e?p*/x?0.798/0.0105?76n1?10?3/17液相中nh3的浓度c0.581 kmol/m3 ?3v101?10/998.23*?05.81/0.79?8.0k7m28ol/(m?溶解度系数 h?c/pkpa液相中nh3的摩尔分数 x?1/170.01051/17?100/18/p?07.9/81 00气相的平衡摩尔分数 y*?p*相平衡常数 m?y*0.798??0.76 x100?0.0105.0 76或 m?e/p?76/1005. 10℃时氧在水中的溶解度表达式为p*?3.313?106x,式中p*为氧在气相中的平衡分压,单位为kpa;x为溶液中氧的摩尔分数。
《工程化学基础》习题答案(仅供参考)第一章习题参考答案1. P H2=; P O2=2. (1) P H2=; P O2=; P N2=(2) P总=81 kPa(3)X H2=;X O2=;X N2=5. (1)P N2=75kPa;P O2=75kPa(2)P N2=;P O2=(3)P总=6. (1)硫蒸气的摩尔质量:@(2)硫蒸气的化学式为:S2第二章习题参考答案1.是非题:(1) (-); (2)(-); (3)(-);(4) (-); (5)(-); (6)(+ )。
2.选择题: (1) (c); (2)(d);(3) (a); (4)(c);(5)(d)。
3. (1) △U=150kJ; (2) △U=-250kJ;(3) △U=450kJ; (4) △U=975kJ。
4.(1)W=; (2)△U=。
5.(1); (2)0kJ; (3); (4)0kJ。
6. 可获得肌肉活动的能量为7. △rHm= (1) (2) .、11. (1) ; (2)第三章参考习题答案1.是非题(1) (-); (2)(-); (3)(+); (4)(-); (5)(-); (6)(-)。
2.选择题: (1) (c); (2)(b) ;(3)(b); (4)(c)。
3.填空题:(1) △rHmθ→增大; △rSmθ→增大; △rGmθ→基本不变;Kθ→减小;v(正)→增大, v(逆)→增大多一些。
4.(1) J/; (2) J/; (3) J/。
5.(1) kJ/mol﹥0 逆向; (2)mol﹥0 逆向。
6. 直接计算:△rGmθ= kJ/mol ﹤0标准熵法计算: △rGmθ= kJ/mol ﹤0 ;正向自发进行。
`7. (1)有转向温度,高温自发; (2) 有转向温度,低温自发; (3) 正向自发。
8. (1) Kθ=×10-21;(2)Kθ=×10-23。
9. (1)△rGmθ()= (2) Kθ=×10510. Kθ=×10-17; Kθ=×10-11。
《工程化学基础》模拟题1一、单项选择题(共24分)1. 决定多电子原子中电子能量的量子数是()(a) n和m(b) l和m(c) n和m s(d) n和l2. 反应(CH3)2N2H2(l) + 4 O2(g)=N2(g) + 2 CO2(g) + 4 H2O(l) 在确定条件下进行,当ξ= 2. 0 mol时,消耗掉O2的物质的量是()(a) 2. 0 mol (b) 0. 50 mol (c) 8. 0 mol (d) 4.0 mol3. 下列物质中能与O3发生光化学反应从而破坏臭氧层的是()(a) CO2和CO (b) NO 和CFC (c) CH4和C2H4(d) H2O 和N2H44. 在下列高分子材料中,可选作高频率的电绝缘材料的是()(a)聚四氟乙烯(b)聚氯乙烯(c)聚苯乙烯(d)酚醛树脂5. 在普通电器中,可选下述材料中的()(a)刚玉(Al2O3)(c) K2O 与Na2O 比值大于 3. 5 的硅酸盐(b)镁质瓷(d) K2O 与Na2O 比值大于 1. 5 的硅酸盐6. 生物工程中的遗传复制是以下述分子中的哪种为模板合成出相同分子的过程?()(a) 卵磷脂(b) RNA (c) DNA (d) 氨基酸7. 下述方法中不能用于测定HAc 溶液pH 的是()(a)使用pH试纸(b)使用酸碱滴定(c)使用pH 计(d) 使用电导率仪8. 下述分子中的中心原子采取sp3 等性杂化的是()(a) CH3Cl (b) NH3(c) H2O (d) PH39. 已知反应H2O H++ OH―的K w 和HAc H+ + Ac―的K a (HAc),则反应Ac―+H2O HAc + OH―的K(Ac―)为()(a) K W-K a(HAc) (b) K W+K a(HAc)(c) K W/K a(HAc) (d) K a(HAc)/K W10. NaCN 极毒,接触CN―的操作人员可用下述溶液来洗手()(a) FeSO4溶液(b) 肥皂水(c) NaCl溶液(d) Na2CO311. 在下述溶剂中,能溶解聚碳酸酯的是()(a) 环己酮(b)丙酮(c)乙醛(d)三氯甲烷12. 能用来化学铣切铁制零件的溶液是()(a) FeSO4溶液(b) CuCl2溶液(c) CuSO4溶液(d) FeCl3溶液二、填空题(共20分)1. 聚丙烯的化学式是,属链高分子化合物。
《化学工程基础》练习题(答案)
第1章流体的流动与输送
一、单项选择题
1、D
2、B
3、D
4、C
5、B
6、B
7、C
8、A
9、A 10、B 11、C 12、A
13、B 14、B 15、A 16、C 17、B 18、C 19、C 20、C 21、A 22、C
二、填空题
1、4
2、2
3、升高、不变
4、0、最大
5、层流、湍流
6、具有径向随机脉动
7、4流道面积/润湿周边、2ab/(a+b)
8、小
9、64/Re、相对粗糙度(ε/d)和Re 10、1/16、1/32 11、32、128 12、不变13、粘性造成的内摩擦14、边界层分离15、5.7 16、2 17、32 18、1/16 19、关闭出口阀门和灌泵、控制出口阀门开度20、不确定、不确定21、增大22、变大23、气蚀24、管路特性、泵特性25、减小
三、计算题
1、R=0.246m
2、P=6.36kW
3、q v=21.84m3/h;ΔH=2m
4、q v=10.68m3/h
5、Z=3.26m;q v=76.87m3/h
6、H=22.76J/N;P=4.5kW
7、真空度=51.3kPa
8、增加20%
第2章传热过程和传热设备
一、单项选择题
1、A
2、D
3、A
4、C
5、C
6、C
7、A
8、D
9、C 10、A 11、B 12、A 13、
B 14、
C 15、B 16、
D 17、B 18、B 19、B 20、A
二、填空题
1、增大
2、减小
3、λ2
4、小
5、μ
6、层流内层
7、α1
8、1.74
9、30.8 10、78.3 11、A 12、油品13、差14、增大壳程对流传热系数15、管壁表面产生垢层所导致16、变大17、提高空气的流速
三、计算题
1、W冷=14000kg/h;l=2.25m
2、A0=54.08m2>A0′=50.1m2∴此换热器适用
3、K=230 w·m–2·K–1;l=6.3m
4、n=31;l=1.83m
5、K=128.7W/(m2·℃)
6、n=54
7、K o=224.3 w·m–2·K–1;l=6.12m
8、Δt m逆=42.1℃,Δt m并=27.1℃;Q逆/Q并=1.55
第3章吸收
一、单项选择题
1、B
2、A
3、B
4、C
5、A
6、A
7、C
8、D
9、B 10、D 11、B 12、D 13、
A 14、C 15、
B 16、B 17、A 18、C
二、填空题
1、减小
2、气膜和液膜中
3、1.1~2.0
4、减小
5、达不到规定要求
6、0.025
7、0
8、操作范围内平衡线为直线
9、平衡线斜率与操作线斜率之比10、底11、液体在其表面形成液膜增大气液两相间的传质面积12、溶剂的再生费用
三、计算题
1、Z=4.074m
2、x le=0.0111;(L/G)m=0.811;N OG=3.6;Z=1.8m
3、H OG=3.9m
4、x1=0.067;H=2.3m
5、L=3.713 m3h−1;H=6.86 m
6、(L/V)min=1.584;H=8.43
第4章精馏
一、单项选择题
1、A
2、C
3、A
4、C
5、B
6、C
7、B
8、D
9、B 10、A 11、B 12、D
13、B 14、C 15、D 16、B 17、B 18、B 19、D 20、B
二、填空题
1、混合液中各组分的挥发度差异
2、精馏有回流,简单蒸馏无回流
3、饱和蒸汽压之比
4、气相线或露点线
5、液相线或泡点线
6、保证塔板上有一定高度的液层
7、2/3
8、3/2
9、减少10、0.75 11、320 12、停车后开工操作及实验研究13、理想体系全回流14、前者是间歇非定态过程,后者为连续定态过程15、前者是非定态过程有回流,后者为定态过程无回流
三、计算题
1、D=41kmol/h,W=59kmol/h;V’=164 kmol/h;y=1.36x-0.018
2、y=0.75x+0.225;W=60,x W=0.067;y=1.375x-0.025
3、R=4;x D=0.8;x W=0.05;y=1.6x-0.03
4、R min=1.5;y n+1=0.64x n+0.34
5、R min=0.8;V=156 kmol/h;y==0.615x+0.365
6、R=2.61;x D = 0.949;x W= 0.072;x F = 0.534。