2018届四川成都七中高三理综测试物理试题及答案
- 格式:pdf
- 大小:80.60 KB
- 文档页数:4
2018届高三上期理科综合第七次周练试题二、选择题:第14~18题只有一项符合题目要求,第19~21题有多项符合题目要求。
14、在一个光滑的水平地面上,沿x 轴用力拉动一个盒子,盒子的位置对时间的关系的三种情况如图所示。
其中B 是直线,另两条是曲线。
根据图像可知( )A 、t 1至t 2时间内的位移大小关系为x A >xB >x CB 、t 1时刻的速率关系为v A >v B >v CC 、t 2时刻的动能关系为E k A >E k B >E k CD 、t 1至t 2时间内拉力对盒子所做功的关系为W A >W B >W C15、如图中实线是一个由点电荷Q 产生电场的电场线(方向为画出),虚线是一电子(重力不计)在电场力作用下从a 经b 到c 的运动轨迹。
下列说法正确的是( )A 、点电荷Q 带负电B 、a 点的电势能大于b 点的电势能C 、电子做减速运动D 、电子的加速度变大16、如图所示,质量为m 1和m 2的两个物体用细线相连,在大小恒定的拉力F 作用下,先沿光滑水平面,再沿粗糙的水平面运动,则在这两个阶段的运动中,细线上的张力大小情况是( )A 、始终不变B 、由大变小C 、由小变大D 、由大变小再变大17、人造卫星绕地球做匀速圆周运动,其轨道半径为R ,线速度为v ,周期为T ,若要使卫星的周期变为3T ,可以采取的办法是( )A 、R 不变,使线速度变为v /3B 、v 不变,使轨道半径变为3RC 、使其轨道半径变为R 39D 、使卫星的高度增加2R18、一辆汽车在平直的公路上匀速行驶,由于前方道路遭到严重破坏,司机采取紧急刹车,依次经过a 、b 、c 、d 四点,如图所示。
已知汽车通过a b 、bc 、cd 位移所用时间之比为1:2:3, a b 、cd 距离分别为x 1和x 2,则bc 段的距离为( )A 、221x x +B 、21212x x x x + C 、44321x x + D 、4521x x + 19、如图所示,细线AB 的两端固定在天花板上的A 、B 两点,在线上的C 、D 两点悬挂质量相等的物体a 、b ,并处于静止状态,CD 段细线严格水平。
二、选择题:本题共8小题,每小题6分。
在每小题给出的四个选项中,第14~18题只有一项符合题目要求,第19~21题有多项符合题目要求。
全部选对的得6分,选对但不全的得3分,有选错的得0分。
14.2018年是居里夫妇发现了放射性元素钋(Po 21084)120周年。
若元素钋发生某种衰变,其半衰期是138天,衰变方程为γ++→Y Pb Po 2068221084。
下列说法不正确的是A.该元素发生的是β衰变B.Y 原子核含有4个核子C.γ射线是衰变形成的铅核释放的D.200g 的Po 经276天,已发生衰变的质量为150g15.如图所示,光滑绝缘的斜面与水平面的夹角为θ,导体棒ab 静止在斜面上,ab 与斜面底边平行,通有图示的恒定电流I ,空间充满竖直向上的匀强磁场,磁感应强度大小为B ,现缓慢增大θ(0<θ<90°),若电流I 不变,且ab 始终静止在斜面上(不考老磁场变化产生的影响),下列说法正确的是 A.B 应缓慢减小B.B 应缓慢增大C.B 应先增大后减小D.B 应先减小后增大16.若在某行量和地球上相对于各自的水平地面附近相同的高度处、以相同的速率平抛一物体,它们在水平方向运动的距离之比为2:7,已知该行星质量约为地球的7倍,地球的半径为R 。
由此可知,该行星的半径约为A.R 21 B.R 27C.2RD.R 27 17.如图所示,正六边形abcdef 区域内有垂直于纸面的匀强磁场。
一带正电的粒子从f 点沿fd 方向射入磁场区域,当速度大小为b v 时,从b 点离开磁场,在磁场中运动的时间为b t ,当速度大小为c v 时,从c 点离开磁场,在磁场中运动的时间为c t ,不计粒子重力,则A.b v :c v =1:2,b t :c t =2:1B.b v :c v =2:1,b t :c t =1:2C.b v :c v =2:1,b t :c t =2:1D.b v :c v =1:2,b t :c t =1:218.一汽车在平直公路上行驶,从某时刻开始计时,发动机的功率P 随时间t 的变化如图所示。
0 0 四川省成都市第七中学2018届高三下学期周测(5.19)理科综合物理试题二、选择题(本题共 8 小题,每小题 6 分,共 48 分。
在每小题给出的四个选项中,第 14-18 题只有一项符合题目要求,第 19-21 题每题有多项符合题目要求,全部选对的得 6 分,选对 但不全的得 3 分,有选错的得 0 分。
) 14.下列说法错误的是() A .三种射线中,α射线的穿透能力最强,γ射线电离能力最强 B .铀核(U)衰变为铅核(Pb)的过程中,要经过 8 次α衰变和 6 次β衰变C .若镭 Ra 的半衰期为τ,则经过 2τ的时间,2 kg 的镭 Ra 中有 1.5 kg 已经发生了衰变D .用 14 eV 的光子照射处于基态的氢原子,可使其电离15.2018 年 1 月 9 日 11 时 24 分,我国在太原卫星发射中心用“长征二号丁”运载火箭,将 “高景一号”03、04 星成功发射升空,这两颗卫星是 0.5 米级高分辨率遥感卫星,他们均在 距地面高度均为 530km 的轨道上绕地球做匀速圆周运动,以下说法正确的是() A.这两颗卫星运行速率比地球同步卫星的速率小 B.这两颗卫星的加速度比地球同步卫星的加速度大 C.这两颗卫星的动能一定比地球同步卫星的动能大 D.这两颗卫星中任意一颗一天可看见 6 次日出16.如图所示为一种常见的身高体重测量仪。
测量仪顶部向下发射波速为 v 的超声波,超声 波经反射后返回,被测量仪接收,测量仪记录发射和接收的时间间隔。
质量为 M 0 的测重 台置于压力传感器上,传感器输出电压与作用在其上的压力成正比。
当测重台没 有站人时,测量仪记录的时间间隔为 t 0,输出电压为 U 0,某同学站上测重台,测 量仪记录的时间间隔为 t ,输出电压为 U ,则该同学身高和质量分别为:()M A .v (t 0–t ), 0U 01 M B . v (t 0–t ),U 2U 0MC . v (t 0–t ), 0 (U - U )U 01M D . v (t 0–t ), 0 (U - U )2U 017.如图所示,为一距地面某高度的小球由静止释放后撞击地面弹跳的v-t 图象,小球质量为0.4kg,重力加速度g 取10m / s2 ,空气阻力不计,由图象可知()A.横坐标每一小格表示的时间约为0.08s B.小球释放时离地面的高度为1.5mC.小球第一次反弹的最大高度为0.8mD.小球第一次撞击地面受地面的平均作用力为50N18. 如图所示,半径为R 的大圆环用一硬质轻杆固定的竖直平面内,在大圆环上套一个质量为m 的小环(可视为质点),小环从大圆环的最低点以初速度v0 沿大圆环上升至与圆心等高点时速度为零,再沿大圆环滑回最低点,大圆环始终静止,重力加速度大小为g .关于该过程,下列说法正确的是()A.轻杆对大圆环的作用力方向始终竖直向上1 2B.小环下滑过程摩擦力做功等于mv -mgR2 0C.小环下滑过程重力的平均功率比上滑过程重力的平均功率大D.小环下滑过程重力的冲量比上滑过程重力的冲量大19.如图所示,一导线弯成半径为r 的半圆形闭合线框。
成都七中实验学校高2018级理综测试(6-1)(物理部分)14.一个竖立着的轻弹簧,支撑着倒立的气缸的活塞使气缸悬空静止,如图8-2-2所示,假设活塞与气缸壁之间无摩擦且不漏气,若大气压强增大,气缸与活塞均有良好绝热性能,下列说法中正确的是( )A .则弹簧的长度增长,缸底离地面的高度减小,缸内气体内能减少B .则弹簧的长度不变,缸底离地面的高度减小,缸内气体内能增加C .则弹簧的长度不变,缸底离地面的高度增大,缸内气体温度降低D .则弹簧的长度减小,缸底离地面的高度增大,缸内气体温度升高15.在没有月光的夜间,一个池面较大的水池底部中央有一盏灯(可看作点光源),小鱼在水中游动,小鸟在水面上方飞翔,设水中无杂质,且水面平静,下面的说法正确的是 ( )A .小鱼向上方水面看去,看到水面到处都是亮的,但中部较暗.B .小鱼向上方水面看去,看到的是一个亮点,它的位置与鱼的位置无关.C .小鸟向下方水面看去,看到水面中部有一个圆形区域是亮的,周围是暗的.D .小鸟向下方水面看去,看到的是一个亮点.16.μ子与氢原子核(质子)构成的原子称为μ氢原子(hydrogen muon atom ),它在原子核物理的研究中有重要作用。
图15—2—3为μ氢原子的能级示意图。
假定光子能量为E 的一束光照射容器中大量处于n =2能级的μ氢原子,μ氢原子吸收光子后,发出频率为γ1、γ2、γ3、γ4、γ5、和γ6的光,且频率依次增大,则E 等于 A .h (γ3-γ1 ) B .h (γ5+γ6) C .hγ3 D .hγ4 17.如图9-2-1所示,一点电荷在A 点的电势能为1.2×10-8 J ,在B 点的电势能为0.80×10-8 J.已知A 、B 两点在同一条电场线上,该点电荷的电荷量为1.0×10-9C ,则 A.该电荷为负电荷 B.该电荷为正电荷C.A 、B 两点的电势差U AB =4.0 VD.把电荷从A 移到B ,电场力做功为W =-4.0×10-8 J18.如图2-17物体A 叠放在物体B 上,B 置于光滑水平面上。
成都七中高2018届理科综合试题(3.17)答题时间:150分钟注意事项:1.答卷前,考生务必将自己的姓名、准考证号填写在答题卡上。
2.回答选择题时,选出答案后,用铅笔把答题卡上对应题目的答案标号涂黑,如需改动,用橡皮擦干净后,再选涂其他答案标号。
回答非选择题时,将答案写在答题卡上,写在本试卷上无效。
3.考试结束后,将本试卷的答题卡交回,试卷保存好,以便老师讲评。
4.可能用到的相对原子质量:H—1 C—12 O—16 S—32 Fe—56 Zn—65第Ⅰ卷(选择题,共126分)一、选择题:本题共13个小题,每小题6分,共78分。
在每小题给出的四个选项中,只有一项是符合题目要求的。
1.下列说法正确的是()A.糖类与脂肪的组成元素相同B.肌糖原是肌细胞的主要能源物质C.细胞膜上糖类都与蛋白质结合在一起D.合成糖类所需的能量都来自光能2.下列有关DNA的说法,正确的是()A.磷酸与核糖交替连接构成DNA的基本骨架B.DNA的多样性是生物多样性的物质基础C.分裂期的细胞中DNA数与染色体数之比一定为1:1或1:2D.噬菌体侵染细菌的实验证明生物的遗传物质主要是DNA3.下列与植物激素有关的叙述,错误的是()A.嫩芽和未成熟的种子能合成生长素、赤霉素和乙烯B.生长素与色氨酸最大的区别在于前者无羧基C.生长素进行极性运输需要载体蛋白的参与D.植物激素的合成受基因组和环境因素的共同作用4.下列有关现代生物进化理论的叙述,不正确的是()A. 变异对生物是否有利因生物所处的环境不同而有所差异B. 自然选择通过作用于个体而引起种群基因频率发生定向改变C. 生物多样性就是生物与生物不断进化和发展的结果D. 形成新物种的过程中一定有生殖隔离而不一定经过地理隔离5. 中心法则揭示了遗传信息传递与表达的过程。
结合下图分析,叙述错误的是()A.造血干细胞中遗传信息的流向有a、b、cB.大肠杆菌的拟核和细胞质都可发生过程bC.某些致癌病毒在宿主细胞中能进行d过程D.HIV侵染T细胞时会发生过程e6.用不同浓度的药物X处理洋葱根尖分生区细胞若干天后,分别制片观察统计有丝分裂指数,有丝分裂指数(%)=分裂期细胞数/观察细胞数×100%,结果如下图,相关叙述正确的是()A.制片过程中,盖上盖玻片后用手轻压盖片使细胞分散B.制作装片过程中使用解离液的主要目的是固定细胞的形态C.药物X可能是通过抑制DNA聚合酶的合成达到上图效果D.药物X浓度为0时有丝分裂指数只有10%,是由于多数细胞没有进入细胞周期7.筹备2022年北京冬奥会,与人们的生活生产密不可分,下列有关说法不正确的是()A.雪上运动员必须佩带变色眼镜,变色镜片中含有对光敏感的溴化银微晶体B.雪上运动员的贴身衣物外层是棉织品,可用灼烧的方式鉴别棉织品和蚕丝织品C.滑雪板是由木板、玻璃纤维和碳纤维等制成,玻璃纤维属于有机高分子材料D.传统的滑雪杖为铝制材质,但不能抵御酸、碱、盐等的侵蚀8. 下列说法正确的是()A.苯和甲苯能用溴水鉴别B.苯乙烯中所有原子一定处于同一平面C.聚酯纤维(涤纶)由加聚反应制得D.C10H14的一取代芳香烃的结构有4种9.利用下列实验装置及药品不能完成相应实验的是()A.甲图:完成喷泉实验B.乙图:制备Fe(OH)2C.丙图:测定某NaOH溶液的浓度D.丁图:测定黄铜(Cu、Zn合金)中Zn的含量10. N A为阿伏加德罗常数的值,下列说法不正确的是()A.34 g H2O2中含有的阴离子数为1N AB.室温下,向1 L pH=1的醋酸溶液中加水,所得溶液的H+数目大于0.1N AC.标准状况下,2.24 L CH3Cl分子中极性键的数目为0.4 N AD.高温下,16.8 g Fe与足量水蒸气完全反应失去的电子数为0.8N A11.一种可充放电式锌-空气电池的核心组分是驱动氧化反应(ORR)和析氧反应(OER),放电时的总反应为:2Zn+O2+4OH-+2H2O=2Zn(OH)42-。
学必求其心得,业必贵于专精注意事项:学必求其心得,业必贵于专精2017–2018学年度(上期)成都七中半期考试高2018届理科综合试题答题时间:150分钟1.答卷前,考生务必将自己的姓名、准考证号填写在答题卡上.2.回答选择题时,选出每小题答案后,用铅笔把答题卡上对应题目的答案标号涂黑,如需改动,用橡皮擦干净后,再选涂其它答案标号.回答非选择题时,将答案写在答题卡上,写在本试卷上无效。
3.考试结束后,将本试卷的答题卡交回,试卷保存好,以便老师讲评。
4.可能用到的相对原子质量:H—1 B—10。
8 C-12 N-14O—16 Al—27Fe—56一、选择题:本题共13个小题,每小题6分,共78分。
在每小题给出的四个选项中,只有一项是符合题目要求的。
1、下列关于细胞的说法中,正确的是()A。
在细胞核内RNA能够传递和表达遗传信息B。
线粒体将葡萄糖氧化分解为CO2和H2O C.正常状态下溶酶体对自身机体的细胞结构无分解作用D.发生渗透平衡时半透膜两侧溶液浓度可以不相等2、据图判断,有关叙述错误的是( )学必求其心得,业必贵于专精A.酶1在此反应中起到催化剂的作用,它也可以作为另一个反应的底物B.甲物质含有的元素为C、H、O、N、P C.乙物质是DNA的基本组成单位之一D。
细胞有氧呼吸时不仅有A TP生成,同时还有NADH(还原型辅酶Ⅰ)生成3、下列实验均可以用口腔上皮细胞作为实验材料的是()A。
观察DNA和RNA在细胞中的分布、观察质壁分离和复原B。
观察细胞中线粒体的形态和分布、观察细胞的有丝分裂C。
低温诱导染色体数目的变化、观察减数分裂D。
观察DNA和RNA在细胞中的分布、观察细胞中的线粒体的形态和分布4、已知某植物的株高由位于两对同源染色体上的两对等位基因决定.A、B决定高茎,每个基因对株高增加效应相同且具叠加性,a、b决定矮茎.有如下三个种群,种群内部株高的分布如图,X、Y和Z3个种群分别代表的是()。
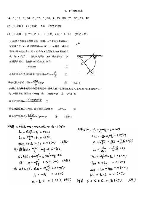
4、14物理答案14、C;15、B;16、C;17、D;18、A;19、BD;20、BC;21、AD22.(1)BCD (2)0.35 1.3 (每空2分)23.(1)BDF (3分)(2)F,H (2分) (3)1.4,1.3 (每空2分)34(i)ACD化学答案:答案:7 C、8 B、9 A、10 D、11 C、12 A、13 D26、(14分)(1)PbSO4 (s) + CO32─(aq)PbCO3(s)+ SO42─ (aq) (2分,不标状态不扣分)CO2(1分,多答出NO、NO2不扣分)(2)铁元素以离子形式进入到滤液C中,影响PbCrO4纯度(2分)(3)2Pb2++ 2OH─+Cr2O72─2PbCrO4↓+H2O (2分)(4)(NH4)2SO4(2分)洗涤、干燥(2分,只写洗涤不扣分)(5)不能(1分)除去铜、镉的过程中添加了锌粉,最终ZnO中的锌元素不完全来自于铅锌废渣,无法计算铅锌废渣中锌元素的回收率(2分)27、(14分)(1)465 (2分)①氧化裂解反应是放热反应,节约能源②氧化裂解反应热力学趋势上大(1分,答出一点即可)(2)温度升高,反应速率加快,转化率升高(2分)C(2分)(3)2 (1分)比值小于2时,乙烯的收率降低;比值大于2时,乙烯的收率并未增加且产生更多的积炭,堵塞反应管(2分)(4)正反应是气体分子数增多的反应,恒压充入惰性气体相当于扩大容器体积,降低分压,有利于平衡正向移动(2分)(5)K P = 75(2分)28、(15分)(1)4Fe2+ + 8CO32−+ O2 + 10H2O 4Fe(OH)3 + 8HCO3−(2分)(2)Fe2+ + 2HCO3−FeCO3↓+ CO2↑ + H2O(2分)(3)硫酸至pH=4.0(2分)控制SO42-浓度,排除干扰(2分)向0.8 mol/L FeSO4溶液中加入Na2SO4固体至c(SO42-)=1.6 mol/L(2分)(4)(2分)C中U形管的增重(2分)(5)调节溶液pH(1分)35、(15分)(1)(2分)(2)O>N>P (2分)(3)每个H2O平均形成的氢键数目比每个HF平均形成的氢键数目多(2分)K(5)①sp2杂化(1分)三角锥形(1分)②BBr3+PBr3+3H2BP+6HBr (2分)36、(15分)(1)硝基、醚键(2分,各1分)(2)取代反应(1分)(3)(1分)(4)(2分)(5)(2分)(6)9种(2分)(2分,任写一种)(7)(3分,答案合理即可)生物答案1~6 DCACDD29.(9 分)(1)①无限增殖,形态结构改变,细胞表面发生变化(2分)②无氧呼吸(2分)(2)越高(2分);低(2分);高(1分)30.(10分,除标注外,每空2分)(1)色氨酸(1分)非极性(1分)(2)直立没有尖端不能感受单侧光,不影响IAA的分布,IAA运输到下面,促进细胞伸长生长(3)无(外源)乙烯或低浓度IAA 当IAA浓度增高到一定值就会促进乙烯的合成,乙烯含量增加增大了细胞膜的透性31.(9分,除标注外,每空2分)(1)样方法(2)多足摇蚊物种丰富度(物种数目)(3)鸭的活动增加了水体的溶氧量(活动疏松了土壤、活动增大了空气的流动性)(4)次生(1分)32.(11分)(1)不同的(2分)(2)遵循(2分)(3)AaBb(2分)(4)F1基因型为AABb或Aabb,其自交后代无黄色产生,(F2表现型全为褐色或褐色:绿色=3:1)(4分)(要点:写出“F1可能基因型”,写出“自交后代表现型情况”) (5) 1/2 (1分)37.(1)易溶于有机溶剂(2分);原料颗粒的大小(2分);含水量(2分);(2)柠檬酸(2分);用柠檬酸作提取剂时提取液的吸光值最大,说明提取到的色素最多(3分);设计一组具有浓度梯度的柠檬酸溶液,利用同样的提取方法进行提取,比较各组提取液的吸光值(4分)38.略。
四川省成都七中2018-2019学年高三(下)期初物理试卷一、单选题(本大题共4小题,共24.0分)1.物理关系式不仅反映了物理量之间的关系,也确定了单位间的关系如关系式,既反映了电压、电流和电阻之间的关系,也确定了伏与安和欧的乘积等效现有物理量单位:米、秒、牛、焦、瓦、库、法、安、欧和特,由他们组合成的单位都与电压单位伏等效的是A. 和B. 和C. 和D. 和【答案】B【解析】解:A、由电场力做功的公式,知,所以单位与电压单位V等效,由知,可知是与电场强度的单位等效的,故A错误。
B、由可知,是和电压单位V等效的,由可知,是和电压单位V等效的,故B正确。
C、由可的,所以是和电压单位V等效的,由知,是力的单位,是与N 等效的,故C错误。
D、由可得,所以是和电压的单位等效的,由可知,是和力的单位牛顿等效的。
故D错误。
故选:B。
根据与电压有关的公式,分析其中物理量的单位,即可得出与电压单位伏等效的单位.对于物理中的公式一定要牢固的掌握住,根据公式就可以判断物理量的单位与哪些单位等效.2.如图所示,水平桌面上平放有一堆卡片,每一张卡片的质量均为用一手指以竖直向下的力压第1张卡片,并以一定速度向右移动手指,确保第1张卡片与第2张卡片之间有相对滑动。
设最大静摩擦力与滑动摩擦力相同,手指与第1张卡片之间的动摩擦因数为,卡片之间、卡片与桌面之间的动摩擦因数均为,且有,则下列说法正确的是A. 任意两张卡片之间均可能发生相对滑动B. 上一张卡片受到下一张卡片的摩擦力一定向左C. 第1张卡片受到手指的摩擦力向左D. 最后一张卡片受到水平桌面的摩擦力向右【答案】B【解析】解:A、设每张的质量为m,动摩擦因数为,对第2张分析,它对第3张卡片的压力等于上面两张卡片的重力及手指的压力,最大静摩擦力,而受到的第1张卡片的滑动摩擦力为,则第2张卡片与第3张卡片之间不发生相对滑动。
同理,第3张到第4张卡片也不发生相对滑动。
故A错误;B、根据题意,因上一张相对下一张要向右滑动,因此上一张卡片受到下一张卡片的摩擦力一定向左,故B 正确,C、第1张卡片相对于手指的运动趋势方向与手指的运动方向相反,则受到手指的静摩擦力与手指的运动方向相同,即受到手指的摩擦力向右,故C错误。
二、选择题:本题共8小题,每小题6分,共48分。
在每题给出的四个选项中,第14~18题只有一项符合题目要求,第19~21题有多项符合题目要求。
全部选对的得6分,选对但不全的得3分,有选错的得0分。
14.在物理学的重大发现中科学家们总结出了许多物理学方法,如理想实验法、控制变量法、极限思想法、类比法、科学假设法和建立物理模型法等,以下关于物理学研究方法的叙述不正确的是A.在不需要考虑物体本身的大小和形状时,用质点来代替物体的方法运用了假设法B.根据速度的定义式v=△x/△t,当△t趋近于零时,就可以表示物体在t时刻的瞬时速度,该定义运用了极限思想法C.在实验探究加速度与力、质量的关系时,运用了控制变量法D.在推导匀变速直线运动位移公式时,把整个运动过程等分成很多小段,然后将各小段位移相加,运用了微元法15.关于牛顿运动定律和力,下列说法中正确的是A.牛顿运动定律对所有物体的所有运动都适用。
B.牛顿第一定律揭示了力是迫使物体的运动状态发生变化的一种作用。
C.力是使物体获得加速度的原因,力的单位牛顿是国际单位制的基本单位。
D.作用力和反作用力的性质可以相同也可以不同。
16.如图所示,轻绳AB绕过轻质光滑的滑轮一端系于竖直墙上的A点,另一端系于水平墙上的B点。
质量为m的物体系于滑轮的圆心O处,水平外力F也作用于滑轮的圆心O处。
当F的大小合适时,A端轻绳水平且B端轻绳与竖直方向成30°角。
重力加速度为g,下列说法中正确的是A.绳上拉力大小B.绳上拉力大小T=2mgC.水平外力大小F=mgmgD.水平外力大小F=317.如图所示,斜面倾角为θ。
矩形小车ABCD(AD∥BC∥斜面)在沿斜面方向的外力作用下,沿斜面向下做匀加速运动。
杆MN固定在小车上,与BC边垂直。
小球m通过轻绳系于M 点,始终与小车相对静止,轻绳与MN的夹角也为θ。
重力加速度为g,则小车的加速度大小为A.gsinθB.2gsinθC.g D.2g18.如图,倾角为θ的斜面体C置于水平地面上,小物块B置于斜面上,通过细绳跨过光滑的定滑轮与物体A相连接,连接物体B的一段细绳与斜面平行,已知A、B、C都处于静止状态,则A.物体B受到斜面体C的摩擦力一定不为零B.斜面体C受到水平面的摩擦力一定为零C.斜面体C有沿地面向右滑动的趋势,一定受到地面向左的摩擦力D.将细绳剪断,若B依然静止在斜面上,此时水平面对斜面C的摩擦力一定不为零19.如图,两个可视为质点的物块A、B套在水平粗糙的CD杆上,并用不可伸长的轻绳连接,整个装置能绕过CD中点的轴OO1转动,已知两物块质量相等,杆CD对物块A、B的最大静摩擦力大小相等,开始时绳子处于自然长度(绳子恰好伸直但无弹力),物块B到OO1轴的距离为物块A到OO1轴的距离的两倍,现让该装置从静止开始转动,使转速逐渐缓慢增大,在从装置从静止开始转动到两物块A、B即将滑动的过程中(不考虑刚刚滑动的那一瞬间),下列说法正确的是A.A受到的静摩擦力一直增大B.B受到的静摩擦力一直增大C.绳上拉力一直增大D.A受到摩擦力一直小于B受到的摩擦力20.如图所示,质量相等的长方体物块A、B叠放在光滑水平面上,两水平轻质弹簧的一端固定在竖直墙壁上,另一端分别与A、B相连接,两弹簧的原长相同,与A相连的弹簧的劲度系数小于与B相连的弹簧的劲度系数,开始时A、B处于静止状态.现对物块B施加水平向右的拉力,使A、B一起向右移动到某一位置(A、B无相对滑动,弹簧处于弹性限度内),撤去这个力后A.物块A受到的合力总小于或等于物块B受到的合力B.物块A加速度大小与连接它的弹簧的形变量的大小成正比C.物块A受到的弹簧弹力等于物块B受到的弹簧弹力D.物块A受到的摩擦力始终与弹簧对它的弹力方向相同21.倾角为θ的斜面上有A、B、C三点,现从这三点分别以不同的初速度水平抛出一小球,三个小球均落在斜面上的D点,如图所示,今测得AB∶BC∶CD=5∶3∶1,由此可判断A.A、B、C处三个小球落在斜面上时速度与初速度间的夹角之比为1∶1∶1B.A、B、C处三个小球运动时间之比为1∶2∶3C.A、B、C处三个小球的初速度大小之比为3∶2∶1D.A、B、C处三个小球的运动轨迹可能在空中相交三、非选择题:共174分。
成都七中高2018 届周末考试理科综合试题注意事项:1、本试卷分第Ⅰ卷(选择题)和第Ⅱ卷(非选择题)两部分。
答题前,考生务必将自己的姓名、考生号填写在答题卡上。
2、回答第Ⅰ卷时,选出每小题的答案后,用铅笔把答题卡上对应题目的答案标号涂黑,如需改动,用橡皮擦干净后,再选涂其他答案标号。
写在试卷上无效。
3、回答第Ⅱ卷时,将答案填写在答题卡上,写在试卷上无效。
4、考试结束,将本试卷和答题卡一并交回。
第Ⅰ卷可能用到的相对原子质量:B—11N—14 Na—23 Cl—58.5 一、选择题:本大题共13 小题,每小题6 分。
在每小题给出的四个选项中,只有一项是符合题目要求的。
1. 下列与细胞有关的叙述中,正确的是()A. 细胞膜是细胞与外界环境分隔的边界B. DNA 聚合酶、解旋酶只在细胞核中起作用C. 癌细胞是人体内自养能力强并能无限增殖的细胞D. 醋酸杆菌主要通过线粒体有氧呼吸供能维持生命2. 关于人体细胞生命历程的相关叙述,正确的是()A. 人体细胞减数分裂后,产生的细胞含11.5 个四分体B. 抑癌基因能调节细胞周期,控制细胞分裂和生长进程C. 有丝分裂间期染色质高度螺旋化、缩短变粗,形成染色体D. 人衰老细胞具核体积增大、染色质收缩、代谢减弱等特点3. 下列生物学相关实验的描述中,正确的是()A. 低温处理得到单倍体植株的作用原理与秋水仙素相同B. 用红花细胞与叶肉细胞做质壁分离的实验,均可观察到明显的实验现象C. 向血细胞计数板的计数室滴加样液后应立即计数,以防止细胞沉到底部D. 重铬酸钾和澄清的石灰水在探究酵母菌细胞呼吸方式实验中的作用相同4. 下列关于植物激素或类似物的叙述,正确的是()A. 赤霉素通过促进细胞分裂导致植株增高B. 喷洒一定量的脱落酸可防止黄瓜果实的脱落C. 胚芽鞘尖端产生的乙烯利会导致尖端下段生长D. 外源生长素可使未受粉的番茄花蕾发育为无子番茄5. 下列有关生态问题的说法正确的是()A. 重度生物入侵会改变群落演替的方向与速度B. 某区域内的两种染色体数相同的植物共同构成一个种群C. 在理想条件下,影响种群数量增长的主要因素是环境容纳量D. 计算种群密度时,应去掉数据中的最大、最小值后取平均值6. 抗维生素D 佝偻病是伴X 显性遗传(D、d表示等位基因)。
18届期末考试理综物理答案14、A;15、B;16、D;17、C;18、C;19、CD;20、BD;21、AB22、(每空2分,共6分)(1)B(2)x3−x1(3)A23、(第一问3分、第二问3分、第三问每空1分共3分,全题共9分)(1)见右图(2)电阻R断路或电流表断路(3)2.30,0.46,5.0034(1)BCE期末化学考试答案7、B 8、C 9、D 10、D 11、C 12、B 13、D26、(14分)(1)①饱和食盐水(1分)干燥氯气(1分)②2MnO-4+16H++10Cl-===2Mn2++5Cl2↑+8H2O(2)①E H JH②装置F中黑色粉末变为红色,装置D中澄清石灰水变浑浊③A④BCl3+3H2O===H3BO3+3HCl⑤H3BO3+H2O[B(OH)4]-+H+其余2分27、(15分)Ⅰ.4H2(g)+2NO2(g)===N2(g)+4H2O(g)ΔH=-1100.2kJ·mol-1(2分)Ⅱ.(1)①低温②de ③(2)①<<(2分)②0.025mol·L-1·min-1<不(3)①CO2+2H++2e-===HCOOH(2分)②减少9其余1分28、(14分) Ⅰ.(1)A (1分) (2)AB (1分) CD (1分)(3)3S 2O 2-3+4Cr 2O 2-7+13H 2O===6SO 2-4+8Cr(OH)3↓+2OH -Ⅱ.(1)不能(1分) 因阳极产生的Cu 2+不能使Cr 2O 2-7还原到低价态 (2)Cr 2O 2-7+6Fe 2++14H +===2Cr 3++6Fe 3++7H 2O(3)水中的H +在阴极区放电,H +浓度减小促使水的电离平衡H 2O H ++OH -向右移动,阴极区OH -浓度增大与金属阳离子在阴极区结合而沉淀完全 (4)84.8其余2分 35、(15分) (1)球形(1分)(2)正四面体形(1分) (或)(3)1∶1 二者相对分子质量相同,CO 为极性分子,N 2为非极性分子,CO 的分子间作用力大于N 2的 (4)①sp 2(1分)②34% 9.6×1031a 3N A其余2分36、(15分) (1)对二甲苯(或1,4-二甲基苯)(1分)(1分)(2)10(3)加成反应(1分) (4)11(5)+2H 2O ――→稀硫酸/△+2CH 3OH(6)36(7)――→H +/H 2O ――→CH 3CH 2OH其余2分成都七中高2018届生物期末考试答案1-6 C B B A D C29. (9分,除特别说明外,每空2分)(1)荒漠河岸林生态系统的营养结构简单(2)垂直(1分)提高了群落对阳光等环境资源的利用(3)能量流动、物质循环和信息传递间接30.(10分,每空2分)(1)探究不同pH的酸雨对大豆种子ATP含量和呼吸速率的影响(2)因其它条件相同且适宜的黑暗(3)ATP的消耗量增加(4)抑制种子呼吸速率,降低ATP含量31(11分)(1)A(1分)不可能(2分)(2)染色体(结构)变异(2分)将该植株自交,统计子代表现型及比例(2分)如子代中抗病:不抗病=2:1,则假说1成立(2分)如子代中抗病:不抗病=3:1,则假说2成立(2分)32.(9分)(1)注射等量生理盐水(1分)注射胰岛素溶液引起小鼠体内血糖含量下降,血糖供应减少导致细胞能量供应不足(2分)(2)小鼠症状缓解(2分)(3)增加(1分)当血糖浓度上升时,葡萄糖感受器接受刺激产生兴奋,经血糖调节中枢(下丘脑)作用后,胰岛B细胞分泌活动增强,胰岛素分泌增加(3分)37.(15分,除特别说明外,每空2分)(1)温度营养(“营养”也可答成“碳源、氮源、水分、无机盐”)选择培养基(2)脲酶红(3)该培养基中缺少氮源(4)将聚集的菌体逐步稀释以便获得单个菌落(答案合理即可给分)(3分)。
成都七中高三理科综合能力测试(3月3日)注意事项:1.本试卷分第Ⅰ卷(选择题)和第Ⅱ卷(非选择题)两部分。
2.答题前,考生务必将自己的姓名、准考证号填写在本试题相应的位置。
3.全部答案在答题卡上完成,答在本试题上无效。
4.考试结束后,将本试题和答题卡一并交回。
可能用到的相对原子质量:H-1C-12O-16Na-23第Ⅰ卷(选择题共126分)一、选择题:本大题共13小题,每小题6分。
在每小题给出的四个选项中,只有一项是符合题目要求的。
1.生命系统中物质、能量和结构的动态变化具有重要意义,相关叙述错误的是()A.肝细胞中的糖原直接分解为葡萄糖,有利于维持血糖含量的相对稳定B.光反应阶段光能转变为ATP中的化学能,用于暗反应阶段C02的固定C.有丝分裂过程中染色质转变为染色体,便于遗传物质的精准分配D.—块弃耕农田演替为森林,能提高群落利用阳光等环境资源的能力2.下列与细胞生命历程有关的说法不正确的是()A.在一个完整的细胞周期中,不同时期的细胞中表达的基因有差异B.在成熟的生物体中,被病原体感染的细胞的清除,是受到由遗传机制决定的程序调控的C.细胞癌变的过程中,一定有DNA中基因排列顺序的变化D.细胞在衰老和凋亡的过程中,也存在着基因的选择性表达3.在以下有关实验的描述中,正确的是()A.探究温度对酶活性影响的实验中,可选择H2O2作为反应物B.用光学显微镜观察染色较深的玻片标本时,可选用凹面镜和大光圈C.观察植物细胞有丝分裂实验中,可川洋葱鳞片叶内表皮细胞代替根尖细胞D.0. 3 g/mL的蔗糖溶液中,可观察到紫色洋葱鳞片叶外表皮细胞紫色变浅4.某哺乳动物的基因型为AABbEe,下图是该动物一个精原细胞在产生精子过程中某时期的示意图,以下有关说法错误的是()A.基因B/b与基因E/e之间的遗传遵循自由组合定律B.该精原细胞产生的精子细胞基因型有ABe、aBe、AbEC.图示细胞为次级精母细胞,该细胞中含一个染色体组D.图示细胞中,a基因应该来源于基因突变5.神经调节是动物和人体生命活动调节的重要方式,下列有关叙述正确的是()A.兴奋在反射弧上的传导是单向的,因为兴奋只能由传入神经传入,传出神经传出B.兴奋在神经纤维上以电信号的形式传导,在神经元之间则以化学信号的形式传递C.感受器就是传入神经末梢,效应器就是传出神经末梢,它们都是反射弧的组成部分D. K+外流,Na+内流,导致膜内外电位改变,产生局部电流,是兴奋产生的生理基础6.某地蝗虫成灾,人们测出一块稻田中蝗虫的初始数量为N o只,每天增加约为5%。
2018-2018学年四川省成都七中高三(上)月考物理试卷(12月份)二、选择题(本题共8小题,每小题6分.在每小题给出的四个选项中,第1~5题只有一项符合题目要求,第6~9题有多项符合题目要求.全部选对的得6分,选对但不全的得3分,有选错的得0分)1.下列说法正确的是()A.库仑利用实验较为准确地测出了引力常量G的数值B.根据速度定义式v=,当△t非常非常小时,可以表示物体在t时刻瞬时速度C.开普勒认为只有在一定条件下,弹簧的弹力与形变量成正比D.亚里士多德首先提出了惯性的概念2.沿同一直线运动的甲、乙两物体,其位移﹣时间图象分别如图中直线a 和抛物线b 所示,其中t1,t2时刻图象有两个交点,由图可知()A.乙物体做曲线运动B.在t2时刻,乙物体的速度小于甲物体的速度C.在t1~t2这段时间内两物体的平均速度速度相等D.t1~t2这段时间内乙物体的运动方向未改变3.自2018 年起,我国将每年的4 月24 日设立为“中国航天日”,9 月15 日22 时成功发射了天空二号空间实验室.假设天空二号绕地球做匀速圆周运动,公转周期为T,离地面高度为H,地球半径为R,万有引力常量为G,将地球看作质量分布均匀的球体.由题中条件可以判定下列说法不正确的是()A.可以求出地球的质量B.可以求出地球的平均密度C.不能求出地球表面的重力加速度D.可以求出地球的第一宇宙速度4.一带负电的粒子只在电场力作用下沿x轴正向运动,其电势能E p随位移x变化的关系如图所示,其中0﹣x2段是关于直线x=x1对称的曲线,x2﹣x3段是直线,则下列说法正确的是()A.x1处电场强度最小,但不为零B.x2~x3段电场强度大小方向均不变,为一定值C.粒子在0~x2段做匀变速运动,x2~x3段做匀速直线运动D.在0、x1、x2、x3处电势φ0、φ1、φ2、φ3的关系为φ3>φ2=φ0>φ15.如图所示,弹簧的一端固定在竖直墙上,质量为M的光滑弧形槽静止在光滑水平面上,底部与水平面平滑连接,一个质量为m(m<M)的小球从槽高h处开始自由下滑,下列说法正确的是()A.在以后的运动过程中,小球和槽的水平方向动量始终守恒B.在下滑过程中小球和槽之间的相互作用力始终不做功C.全过程小球和槽、弹簧所组成的系统机械能守恒,且水平方向动量守恒D.被弹簧反弹后,小球和槽的机械能守恒,但小球不能回到槽高h处6.如图所示,顶端附有光滑定滑轮的斜面体静止在粗糙水平地面上,三条细绳结于O点,一条绳跨过定滑轮平行于斜面连接物块P,一条绳连接小球Q,P、Q两物体处于静止状态,另一条绳OA在外力F的作用下使夹角θ<90°,现缓慢改变绳OA的方向至θ>90°,且保持结点O位置不变,整个装置始终处于静止状态.下列说法正确的是()A.斜面对物块P的摩擦力的大小可能先减小后增大B.绳OA的拉力一直增大C.地面对斜面体有向左的摩擦力D.地面对斜面体的支持力大于物块P和斜面体的重力之和7.如图所示,绝缘粗糙斜面体固定在水平地面上,斜面所在空间存在平行于斜面向上的匀强电场E,轻弹簧一端固定在斜面顶端,另一端栓接一不计质量的绝缘薄板,一带正电的小滑块,从斜面上的P 点处由静止释放后,沿斜面向上运动,并能压缩弹簧至R 点(图中未标出),然后返回,则()A.滑块从P 点运动到R 点的过程中,其机械能增量等于电场力与弹簧弹力做功之和B.滑块从P 点运动到R 点的过程中,电势能的减小量大于重力势能和弹簧弹性势能的增加量之和C.滑块最终停在弹簧原长处D.滑块最终停下来,克服摩擦力所做的功小于电势能的减小量与重力势能增加量之差8.正对着并水平放置的两平行金属板连接在如图电路中,板长为l,板间距为d,在距离板的右端2l处有一竖直放置的光屏M.D为理想二极管(即正向电阻为0,反向电阻无穷大),R为滑动变阻器,R0为定值电阻.将滑片P置于滑动变阻器正中间,闭合电键S,让一带电量为q、质量为m的质点从两板左端连线的中点N以水平速度v0射入板间,质点未碰极板,最后垂直打在M屏上.在保持电键S闭合的情况下,下列分析或结论正确的是()A.板间电场强度大小为B.质点在板间运动的过程中与它从板的右端运动到光屏的过程中速度变化相同C.若仅将滑片P向下滑动一段后,再让该质点从N点以水平速度v0射入板间,质点将不会垂直打在光屏上D.若仅将两平行板的间距变大一些,再让该质点从N点以水平速度v0射入板间,质点依然会垂直打在光屏上三、非选择题:本卷包括必考题和选考题两部分.第9~12题为必考题,每个试题考生都必须作答.第13~14题为选考题,考生根据要求作答.(一)必考题9.物理小组在一次探究活动中测量滑块与木板之间的动摩擦因数,实验装置如图,一表面粗糙的木板固定在水平桌面上,一端装有定滑轮;木板上有一滑块,其一端与穿过电磁打点计时器的纸带相连,另一端通过跨过定滑轮的细线与托盘连接.打点计时器使用的交流电源的频率为50Hz.开始实验时,在托盘中放入适量砝码,滑块开始做匀加速运动,在纸带上打出一系列的点.图乙给出的是实验中获取的一条纸带的一部分,从比较清晰的点迹起,在纸带上标出连续的5个计数点A,B,C,D,E,每相邻两计数点间还有4个计时点(图中未标出),测出各计数点到A点之间的距离如图所示.请完成下列小题:(1)根据图中数据计算.(保留两位有效数字)①打C点时滑块的速度大小为m/s.②滑块的加速度a=m/s2.(2)为测量动摩擦因数,下列物理量中还应测量的有.A.木板的长度L;B.木板的质量m1;C.滑块的质量m2D.托盘和砝码的总质量m3E.滑块运动的时间t(3)不计打点计时器与纸带间及细绳与滑轮间的阻力,则滑块与木板间的动摩擦因数μ=(用被测物理量的字母表示,重力加速度为g).10.利用如图(a)所示电路,可以测量电源的电动势和内阻,所用的实验器材有:待测电源,电阻箱R(最大阻值999.9Ω),电阻R0(阻值3.0Ω),电阻R1(阻值3.0Ω),电流表A (量程为200mA,内阻为R A=6.0Ω),开关S.实验步骤如下:①将电阻箱阻值调到最大,闭合开关S;②多次调节电阻箱,记下电流表的示数I 和电阻箱相应的阻值R;③以为纵坐标,R为横坐标,作﹣R图线(用直线拟合)(1)实验得到的部分数据如表所示,其中电阻R=3.0Ω时电流表的示数如图(b)所示,读(4)根据图线求得电源电动势E=V,内阻r=Ω.11.滑草是最近几年在国内兴起的一种休闲健身运动,有一种滑法是人坐在滑草车上从草坡上滑下,即刺激又省劲.如图所示,现有一滑草场近似处理为斜坡段和水平段连接,其斜坡段长度为L1=72m,倾角为18°,水平段长度为L2=30m,斜坡段和水平段的动摩擦因数都为μ=0.3,滑草车的质量m=10kg,人的质量M=40kg,人坐在滑草车上从斜坡的顶端由静止滑下,不考虑滑草车在斜坡与水平面连接处的机械能损失,问:(sin18°=0.31,cos18°=0.95,sin37°=0.6,cos37°=0.8)(1)滑草车沿斜面下滑时的加速度大小(2)滑草车最后停在离终点多远的地方(3)滑草车在水平段上滑行时人对车的作用力大小.12.如图所示,在界限MN左上方空间存在斜向左下方与水平方向夹角为45°的匀强磁场,场强大小E=×118V/m,一半径为R=0.8m的光滑绝缘圆弧凹槽固定在水平面上,一个可视为质点的质量m=0.2kg、电荷量大小q=1×10﹣5C的带正电金属块P从槽顶端A由静止释放,从槽底端B冲上与槽底端平齐的绝缘长木板Q.长木板Q足够长且置于光滑水平面上,质量为M=1kg.已知开始时长木板有一部分置于电场中,图中C为界限MN与长木板Q的交点,B、C间的距离X BC=0.6m,物块P与木板Q之间的动摩擦因数为μ=,取g=10m/s2.(1)金属块P从A点滑到B点时的速度的大小;(2)金属块P从B点滑上木板Q后到离开电场过程所经历的时间;(3)金属块P从滑上Q到离开电场的过程中摩擦产生的热量.[物理--选修3-4]13.一列沿着x 轴正方向传播的横波,在t=0 时刻的波形如图所示,此时质点N 位于x 轴上x=2.0m 处.图甲中的某质点的振动图象如图乙所示.关于该波的下列说法正确的是()A.质点N 的振幅是零B.该波的波速为0.5 m/sC.图乙表示的是质点N 的振动图象D.该波在传播过程中遇到一辆静止的轿车时会发生明显的衍射现象E.从t=0 时刻算起,x=1.0 m 处的质点比x=1.5 m 处的质点后回到平衡位置14.如图所示,两面平行的玻璃砖下表面涂有反射物质,一束与上表面成30°入射的光线,在右端垂直标尺上形成了A、B 两个光斑,A、B 间距为2cm,已知玻璃砖的折射率为,画出形成两光斑的光路图,并求此玻璃砖的厚度d.2018-2018学年四川省成都七中高三(上)月考物理试卷(12月份)参考答案与试题解析二、选择题(本题共8小题,每小题6分.在每小题给出的四个选项中,第1~5题只有一项符合题目要求,第6~9题有多项符合题目要求.全部选对的得6分,选对但不全的得3分,有选错的得0分)1.下列说法正确的是()A.库仑利用实验较为准确地测出了引力常量G的数值B.根据速度定义式v=,当△t非常非常小时,可以表示物体在t时刻瞬时速度C.开普勒认为只有在一定条件下,弹簧的弹力与形变量成正比D.亚里士多德首先提出了惯性的概念【考点】物理学史.【分析】本题根据卡文迪许、胡克和伽利略的物理学成就,以及瞬时速度的定义方法进行答题.【解答】解:A、卡文迪许利用实验较为准确地测出了引力常量G的数值.故A错误.B、速度定义式为v=,v表示平均速度,当△t非常非常小时,可以表示物体在t时刻瞬时速度,故B正确.C、胡克在弹性限度内,弹簧的弹力才与形变量成正比,故C错误.D、伽利略首先提出了惯性的概念.故D错误.故选:B2.沿同一直线运动的甲、乙两物体,其位移﹣时间图象分别如图中直线a 和抛物线b 所示,其中t1,t2时刻图象有两个交点,由图可知()A.乙物体做曲线运动B.在t2时刻,乙物体的速度小于甲物体的速度C.在t1~t2这段时间内两物体的平均速度速度相等D.t1~t2这段时间内乙物体的运动方向未改变【考点】匀变速直线运动的图像.【分析】位移﹣时间图象只能表示直线运动的规律,其斜率表示速度,物体通过的位移等于纵坐标的变化量,而平均速度等于位移与时间之比.速度的正负表示速度的方向.结合这些知识分析.【解答】解:A、位移﹣时间图象只能表示直线运动的规律,乙物体做直线运动,故A错误.B、根据图象的斜率表示速度,斜率绝对值大小表示速度大小,则在t2时刻,乙物体的速度大于甲物体的速度.故B错误.C、在t1~t2这段时间内两物体的位移相等,时间相等,则平均速度相等,故C正确.D、t1~t2这段时间内b图线切线斜率由负变为正,说明乙物体的运动方向由负变为正,故D错误.故选:C3.自2018 年起,我国将每年的4 月24 日设立为“中国航天日”,9 月15 日22 时成功发射了天空二号空间实验室.假设天空二号绕地球做匀速圆周运动,公转周期为T,离地面高度为H,地球半径为R,万有引力常量为G,将地球看作质量分布均匀的球体.由题中条件可以判定下列说法不正确的是()A.可以求出地球的质量B.可以求出地球的平均密度C.不能求出地球表面的重力加速度D.可以求出地球的第一宇宙速度【考点】万有引力定律及其应用;向心力.【分析】根据万有引力提供向心力求地球质量,由求地球密度,根据重力等于万有引力求地球表面的重力加速度,根据求地球的第一宇宙速度.【解答】解:A、根据天空二号绕地球做匀速圆周运动,万有引力提供向心力,有:,解得:,故可以求出地球的质量,故A正确;B、由,其中,地球质量M由A求出,故可以求出地球的平均密度,故B 正确;C、地球表面物体重力等于万有引力,有,得,地球质量由A求出,所以可以求出地球表面的重力加速度,故C不正确的;D、根据第一宇宙速度公式,由A已求出地球质量,故可以求出地球的第一宇宙速度,故D正确;本题选不正确的,故选:C4.一带负电的粒子只在电场力作用下沿x轴正向运动,其电势能E p随位移x变化的关系如图所示,其中0﹣x2段是关于直线x=x1对称的曲线,x2﹣x3段是直线,则下列说法正确的是()A.x1处电场强度最小,但不为零B.x2~x3段电场强度大小方向均不变,为一定值C.粒子在0~x2段做匀变速运动,x2~x3段做匀速直线运动D.在0、x1、x2、x3处电势φ0、φ1、φ2、φ3的关系为φ3>φ2=φ0>φ1【考点】匀强电场中电势差和电场强度的关系.【分析】根据电势能与电势的关系:E p=qφ,场强与电势的关系:E=,结合分析图象斜率与场强的关系,即可求得x1处的电场强度;根据能量守恒判断速度的变化;由E p=qφ,分析电势的高低.由牛顿第二定律判断加速度的变化,即可分析粒子的运动性质.根据斜率读出场强的变化,由F=qE,分析电场力的变化,从而明确其运动过程的变化.【解答】解:A、根据电势能与电势的关系:E p=qφ,场强与电势的关系:E=,得:E=,由数学知识可知E p﹣x图象切线的斜率等于,x1处切线斜率为零,则x1处电场强度为零,故A错误;B、C、由图看出在0~x1段图象切线的斜率不断减小,由上式知场强减小,粒子所受的电场力减小,加速度减小,做非匀变速运动;x1~x2段图象切线的斜率不断增大,场强增大,粒子所受的电场力增大,做非匀变速运动;x2~x3段斜率不变,场强不变,即电场强度大小和方向均不变,是匀强电场,粒子所受的电场力不变,做匀变速直线运动;故B正确,C错误;D、0与x2处电势能相等,根据E p=qφ可知0与x2处电势φ0、φ2的关系为φ0=φ2,x1处电势能最小,因放置的负电荷,故电势最高,同理可知,x3处电势最小,即φ1>φ2=φ0>φ3,故D错误.故选:B.5.如图所示,弹簧的一端固定在竖直墙上,质量为M的光滑弧形槽静止在光滑水平面上,底部与水平面平滑连接,一个质量为m(m<M)的小球从槽高h处开始自由下滑,下列说法正确的是()A.在以后的运动过程中,小球和槽的水平方向动量始终守恒B.在下滑过程中小球和槽之间的相互作用力始终不做功C.全过程小球和槽、弹簧所组成的系统机械能守恒,且水平方向动量守恒D.被弹簧反弹后,小球和槽的机械能守恒,但小球不能回到槽高h处【考点】动量守恒定律;机械能守恒定律.【分析】由动量守恒的条件可以判断动量是否守恒;由功的定义可确定小球和槽的作用力是否做功;由小球及槽的受力情况可知运动情况;由机械守恒及动量守恒可知小球能否回到最高点.【解答】解:A、小球在槽上运动时,由于小球受重力,故两物体组成的系统外力之和不为零,故动量不守恒;当小球与弹簧接触后,小球受外力,故动量不再守恒,故A错误;B、下滑过程中两物体都有水平方向的位移,而力是垂直于球面的,故力和位移夹角不垂直,故两力均做功,故B错误;C、全过程小球和槽、弹簧所组成的系统只有重力与弹力做功,系统机械能守恒,小球与弹簧接触过程系统在水平方向所受合外力不为零,系统水平方向动量不守恒,故C错误;D、小球与槽组成的系统动量守恒,球与槽的质量相等,小球沿槽下滑,球与槽分离后,小球与槽的速度大小相等,小球被反弹后球与槽的速度相等,小球不能滑到槽上,不能达到高度h,故D正确;故选:D.6.如图所示,顶端附有光滑定滑轮的斜面体静止在粗糙水平地面上,三条细绳结于O点,一条绳跨过定滑轮平行于斜面连接物块P,一条绳连接小球Q,P、Q两物体处于静止状态,另一条绳OA在外力F的作用下使夹角θ<90°,现缓慢改变绳OA的方向至θ>90°,且保持结点O位置不变,整个装置始终处于静止状态.下列说法正确的是()A.斜面对物块P的摩擦力的大小可能先减小后增大B.绳OA的拉力一直增大C.地面对斜面体有向左的摩擦力D.地面对斜面体的支持力大于物块P和斜面体的重力之和【考点】共点力平衡的条件及其应用;物体的弹性和弹力.【分析】对结点O受力分析,根据图解法分析F的变化和绳子PO拉力的变化,然后以P为研究对象根据平衡条件判断摩擦力的变化.【解答】解:B、缓慢改变绳OA的方向至θ>90°的过程,OA拉力的方向变化如图从1位置到2位置到3位置所示,可见OA的拉力先减小后增大,OP的拉力一直增大;故B错误;A、若开始时P受绳子的拉力比较小,则斜面对P的摩擦力沿斜面向上,OP拉力一直增大,则摩擦力先变小后反向增大,故A正确;C、以斜面和PQ整体为研究对象受力分析,根据平衡条件:斜面受地面的摩擦力与OA绳子水平方向的拉力等大反向,故摩擦力方向向左,C正确;D、以斜面体和P、Q整体为研究对象受力分析,根据竖直方向受力平衡:N+Fcosα=Mg+M P g+M Q g,斜由上图分析可知F的最大值即为M Q g(当F竖直向上方向时),故Fcosα<M Q gg+M P g,则N>M斜故D正确;故选:ACD.7.如图所示,绝缘粗糙斜面体固定在水平地面上,斜面所在空间存在平行于斜面向上的匀强电场E,轻弹簧一端固定在斜面顶端,另一端栓接一不计质量的绝缘薄板,一带正电的小滑块,从斜面上的P 点处由静止释放后,沿斜面向上运动,并能压缩弹簧至R 点(图中未标出),然后返回,则()A.滑块从P 点运动到R 点的过程中,其机械能增量等于电场力与弹簧弹力做功之和B.滑块从P 点运动到R 点的过程中,电势能的减小量大于重力势能和弹簧弹性势能的增加量之和C.滑块最终停在弹簧原长处D.滑块最终停下来,克服摩擦力所做的功小于电势能的减小量与重力势能增加量之差【考点】匀强电场中电势差和电场强度的关系;功能关系;机械能守恒定律.【分析】先对滑块进行受力分析,然后结合滑块的运动分析各个力做功的情况,以及能量转化的方式,即可得出正确的结论.【解答】解:由题可知,小滑块从斜面上的P点处由静止释放后,沿斜面向上运动,说明小滑块开始时受到的合力的方向向上,开始时小滑块受到重力、电场力、斜面的支持力和摩擦力的作用;小滑块开始压缩弹簧后,还受到弹簧的弹力的作用.小滑块向上运动的过程中,斜面的支持力不做功,电场力做正功,重力做负功,摩擦力做负功,弹簧的弹力做负功.在小滑块开始运动到到达R点的过程中,电场力做的功转化为小滑块的重力势能、弹簧的弹性势能以及内能.A、由以上的分析可知,滑块从P点运动到R点的过程中,其机械能增量等于电场力与弹簧弹力做功、摩擦力做功之和.故A错误;B、由以上的分析可知,电场力做的功转化为小滑块的重力势能、弹簧的弹性势能以及内能,所以电势能的减小量大于重力势能和弹簧弹性势能的增加量之和.故B正确;C、小滑块由静止释放后沿着斜面向上运动,故最终停止时一定是压缩弹簧的.故C错误;D、滑块运动的过程中,由于摩擦力做功,小滑块的机械能与电势能的和逐渐减小,所以滑块最终停下时,克服摩擦力所做的功等于电势能的减小量与重力势能增加量、弹性势能增加量之差.故D正确.故选:BD8.正对着并水平放置的两平行金属板连接在如图电路中,板长为l,板间距为d,在距离板的右端2l处有一竖直放置的光屏M.D为理想二极管(即正向电阻为0,反向电阻无穷大),R为滑动变阻器,R0为定值电阻.将滑片P置于滑动变阻器正中间,闭合电键S,让一带电量为q、质量为m的质点从两板左端连线的中点N以水平速度v0射入板间,质点未碰极板,最后垂直打在M屏上.在保持电键S闭合的情况下,下列分析或结论正确的是()A.板间电场强度大小为B.质点在板间运动的过程中与它从板的右端运动到光屏的过程中速度变化相同C.若仅将滑片P向下滑动一段后,再让该质点从N点以水平速度v0射入板间,质点将不会垂直打在光屏上D.若仅将两平行板的间距变大一些,再让该质点从N点以水平速度v0射入板间,质点依然会垂直打在光屏上【考点】带电粒子在匀强电场中的运动;闭合电路的欧姆定律.【分析】质点先在电场和重力场的复合场中做类平抛运动,要垂直打在M屏上,离开出场后,质点一定打在光屏的上方,做斜上抛运动.质点从离开电场后到垂直打在M屏上过程是平抛运动的逆运动,采用运动的分解方法可知,分析质点类平抛运动与斜上抛的关系,确定加速度关系,求出板间场强.【解答】解:A、质点的轨迹如图所示,设质点在板间运动的过程中加速度大小为a,则有质点离开电场时竖直分速度大小=,质点离开电场后运动过程其逆过程是平抛运动,则=,联立解得,故A正确;B、质点先在水平放置的两平行金属板间做类平抛运动,要垂直打在M屏上,离开电场后,质点一定打在屏的上方,做斜上抛运动.否则,质点离开电场后轨迹向下弯曲,质点不可能垂直打在M板上.质点在板间的类平抛运动和离开电场后的斜上抛运动,水平方向都不受外力,都做匀速直线运动,速度都等于,而且方向水平,质点垂直打在M板上时速度也水平,根据质点的轨迹弯曲方向可知两个过程质点的合力方向相反,加速度方向相反,则速度变化量方向相反.故B错误C、若仅将滑片P向下滑动一段后,R的电压减小,电容器的电压要减小,电量要减小,由于二极管具有单向导电性,所以电容器不能放电,电量不变,板间电压不变,所以质点的运动情况不变,再让该质点从N点以水平速度v0射入板间,质点依然会垂直打在光屏上,故C错误D、若仅将两平行板的间距变大一些,电容器电容减小,由知U不变,电量要减小,但由于二极管具有单向导电性,所以电容器不能放电,电量不变,根据推论可知板间电场强度不变,所以质点的运动情况不变,再让该质点从N点以水平速度射入板间,质点依然会垂直打在光屏上,故D正确故选:AD三、非选择题:本卷包括必考题和选考题两部分.第9~12题为必考题,每个试题考生都必须作答.第13~14题为选考题,考生根据要求作答.(一)必考题9.物理小组在一次探究活动中测量滑块与木板之间的动摩擦因数,实验装置如图,一表面粗糙的木板固定在水平桌面上,一端装有定滑轮;木板上有一滑块,其一端与穿过电磁打点计时器的纸带相连,另一端通过跨过定滑轮的细线与托盘连接.打点计时器使用的交流电源的频率为50Hz.开始实验时,在托盘中放入适量砝码,滑块开始做匀加速运动,在纸带上打出一系列的点.图乙给出的是实验中获取的一条纸带的一部分,从比较清晰的点迹起,在纸带上标出连续的5个计数点A,B,C,D,E,每相邻两计数点间还有4个计时点(图中未标出),测出各计数点到A点之间的距离如图所示.请完成下列小题:(1)根据图中数据计算.(保留两位有效数字)①打C点时滑块的速度大小为0.54m/s.②滑块的加速度a= 1.0m/s2.(2)为测量动摩擦因数,下列物理量中还应测量的有CD.A.木板的长度L;B.木板的质量m1;C.滑块的质量m2D.托盘和砝码的总质量m3E.滑块运动的时间t(3)不计打点计时器与纸带间及细绳与滑轮间的阻力,则滑块与木板间的动摩擦因数μ=(用被测物理量的字母表示,重力加速度为g).【考点】探究影响摩擦力的大小的因素.。
成都七中2018届高考模拟练习
物理试题
第I卷选择题(42分)
一、选择题(每题6分,共42分)
1、物理学中有多种研究方法,下列有关研究方法的叙述错
误的是()
A.在伽利略之前的学者们总是通过思辩性的论战决定谁是
谁非,是他首先采用了以实验检验猜想和假设的科学方法B.如果电场线与等势面不垂直,那么电场强度就有一个沿着
等势面的分量,在等势面上移动电荷时静电力就要做功,
这里用的逻辑方法是归纳法
C.探究作用力与反作用力关系时可以用传感器连在计算机
上直接显示力的大小随时间变化的图线,这是物理学中常用的图象法
D.探究加速度与力、质量之间的定量关系,可以在质量一定
的情况下,探究物体的加速度与力的关系;再在物体受力
一定的情况下,探究物体的加速度与质量的关系,最后归纳
出加速度与力、质量之间的关系.这是物理学中常用的控制
变量法
2、波速均为v=l m/s的甲、乙两列简谐横波都沿x轴正方向传播,某时刻波的图象分别如图甲、乙所示,其中P、Q。