拓展unit2单元检测
- 格式:docx
- 大小:26.43 KB
- 文档页数:4
人教版八年级英语下册UNIT 2 培优测试卷第一部分听力(四大题,20分)一、短对话理解(共5小题;每小题1分,满分5分)()1. What does the boy often do on Saturdays?()2. What does the woman ask the man to do?()3. What will the boy give away to the children in poor areas?A. His books.B. His clothes.C. His money. ()4. What does Helen's brother look like?A. Short and thin.B. Tall and fat.C. Tall and thin.()5. What does Eliza usually do for the old?A. She cleans up the floor.B. She plays the piano.C. She dances.二、长对话理解(共5小题;每小题1分,满分5分)听下面一段对话,回答第6、7小题。
()6. What does the boy think of being a policewoman?A. It's exciting.B. It's dangerous.C. It's necessary. ()7. What does the boy want to be?A. A writer.B. A musician.C. A teacher.听下面一段对话,回答第8至10小题。
()8. What day was it yesterday?A. Friday.B. Saturday.C. Sunday.()9. What place did Tom help to clean up yesterday?A. The school.B. The park.C. The street.()10. Who did Lisa go to the beach with yesterday?A. Her sister.B. Her brother.C. Her cousin.三、短文理解(共5小题;每小题1分,满分5分)()11. Where did Tony go last summer?A. To Australia.B. To Canada.C. To America.()12. How was the weather on July 15th?A. Cloudy.B. Sunny.C. Rainy.()13. How was Jerry when Tony met him for the first time?A. Dirty and hungry.B. Tired and angry.C. Hungry and angry.()14. How long did Tony look after Jerry?A. For 30 days.B. For 27 days.C. For 25 days.()15. What can we know about Tony?A. He is brave.B. He is kind.C. He is clever.四、信息转换(共5小题;每小题1分,满分5分)第二部分语言知识运用(三大题,35分)五、单项填空(共10小题;每小题1分,满分10分)从每小题所给的A、B、C、D四个选项中选出可以填入空白处的最佳选项。
专注:心无旁骛,万事可破【词汇】英语六年级下册Unit 2 Last weekend专项检测卷人教PEP一、单选题1.选出不同类的单词()A.fish B.park C.duck 2.选出不同类的单词()A.sad B.sing C.swim 3.My grandparents went to the park .A.tomorrow B.next week C.last Monday 4.选出不同类的单词()A.watch B.wash C.how5.选出不同类的单词()A.clea n B.cousin C.climb 6.选出不同类的单词()A.hotel B.bedroom C.study 7.选出不同类的单词()A.library B.magazine C.hospita l 8.—Did you read the?—Yes, I did. It talked about some interesti ng films.A.film magazine B.comic book C.storybook 9.I know new filmsA.lot of B.a lot of C.a lots of 10.选出不同类的单词()A.broken B.loud C.enjoy 11.选出不同类的单词()A.slept B.saw C.show 12.—Did you go fishing ________ Sarah?—No, I didn't. I ________ TV at home.A.with, watch B.and, watched C.with, watched 二、匹配题13.词图匹配A. stayed at homeB. cleaned my roomC. watched TVD. washed my clothes(1)(2)(3)(4)14.选出与下列每组单词同类的—项A. olderB. yoursC. washedD. drinkE. warm(1)stayed watched(2)sunny rainy(3)smaller smarter(4)his mine(5)eat sleep三、选词填空15.(1)I want see a film.(2)I feel now.(3)Let's go there bus.(4)It's faster walking.(5)Would you like to talk some new books?四、单词拼写16.看图,用过去式写词组。
Unit 2过关检测卷Unit 2 听力测试.mp3时间: 40分钟满分: 100分第一部分听力(40分)一、听录音, 给图片排序。
(10分)()()()()()二、听录音, 选择你所听到的句子。
(10分)() 1. A. Today is Tuesday.B. Today is Thursday.() 2. A. The weather is rainy in Shanghai.B. The weather is windy in Shanghai.() 3. A. Her friend Linda’s birthday is in March.B. Her friend Linda’s birthday is in May.() 4. A. New Year’s Day is in January.B. The Spring Festival is in January or February.() 5. A. The boy in yellow shorts is the second.B. The boy in yellow shorts is the third.三、听录音, 选出与你所听到内容相符的图片。
(10分)()1. A. B. ()2. A. B.()3. A. B. ()4. A. B.()5. A. B.四、听短文, 判断句子正(T)误(F)。
(10分)()1. I am a student.()2. I am fourteen years old.()3. My birthday is September the second.()4. It’s cold and snowy today.()5. Trees are green in April.第二部分笔试(60分)五、从句子中选出含有所给单词画线部分读音的单词, 并写在横线上。
(5分)1. fur ________ My cousin is a nurse.2. work ________ Look at this word.3. third ________ My chair is very dirty.4. driver ________ Our English teacher is wearing a red jacket.5. hot ________ The weather is cool in October.六、把月份、相应的图片和序数词连起来。
Unit 2 Looking into the future1.phrase [freɪz] n . 短语;词组2.persuade [pəˈsweɪd] vt . 劝说;说服●persuasion n.劝说,说服3.switch [swɪʧ] vi&vt n. . 转换;交换;. (使)改变;转变;开关;转换器;改变●switch off/on [swɪʧ ɒf/ɒn] 关/开(电灯、机器等)4.distant [ˈdɪstənt] adj . 遥远的;远处的;疏远的;心不在焉的●distance n.距离;远方v.与…疏远5.secure [sɪˈkjʊə] adj vt . 安全的;安心的;可靠的;牢固的;. 获得;拴牢;保护●security n. 保护描施;安全工作6.knob [nɒb] n . 旋钮;球形把手7.appliance [əˈplaɪəns] n . 电器;器具8.remote [rɪˈməʊt] adj . 远程的;偏远的9.remote control [rɪˈməʊt kənˈtrəʊl] 遥控器;遥控10.air conditioner [eə kənˈdɪʃənə] 空调机;空调设备11.automatic [ˌɔːtəˈmætɪk] adj . 自动的12.integrated [ˈɪntɪgreɪtɪd] adj . 各部分密切协调的;综合的●integrate vi.&vt. (使)合并;成为一体●integration n.结合,整合,一体化13.sensor [ˈsɛnsə] n . 传感器;敏感元件14.efficient [ɪˈfɪʃənt] adj . 效率高的;有功效的●efficiency n. 效率;提高功效的方法;功率15.mode [məʊd] n . 模式;方式;风格16.routine [ruːˈtiːn] n adj . 常规;正常顺序;. 常规的;日常的●daily routine [ˈdeɪli ruːˈtiːn] 日常生活17.preference [ˈprɛfərəns] n . 爱好;偏爱●prefer v.较喜欢;喜欢…多于18.instant [ˈɪnstənt] n adj . 瞬间;片刻;. 立即的;速食的;速溶的●instance n.例子mand [kəˈmɑːnd] n vt . 指令;命令;控制;. 命令;控制20.obey [əˈbeɪ] vi. &vt . 服从;遵守21.warning [ˈwɔːnɪŋ] n . 警告;警示;先兆●warn v.警告22.constant [ˈkɒnstənt] adj n. . 不断的;重复的;不变的;. 常数;常量●constantly adv.不断地23.early on [ˈɜːli ɒn] 在初期;早先24.abnormal [æbˈnɔːməl] adj . 不正常的;反常的●abnormality n.不正常,反常,畸形●normal adj.正常的25.critical [ˈkrɪtɪkəl] adj . 严重的;关键的;批判性的●criticize v.批评●criticism n.批评●critics n.批评家26.cancer [ˈkænsə] n . 癌;癌症;毒瘤27.potentially [pəʊˈtɛnʃəli] adv . 潜在地;可能地●potential [pəʊˈtɛnʃəl] adj n. . 可能的;潜在的;. 潜力;可能性28.leak [liːk] vi&vt n. . 漏;渗漏;透露;. 漏洞;裂缝;透露29.electrical [ɪˈlɛktrɪkəl] adj . 电的;用电的●electric adj.发电的n.供电●electricity n电30.wiring [ˈwaɪərɪŋ] n . 电线线路;线路系统●wire [ˈwaɪə] n vt . 电线;金属丝(或线);. 接通电源;将……连接到●wireless adj.无线的31.detect [dɪˈtɛkt] vt . 发现;查明●detective adj.侦查的,侦探的32.relevant [ˈrɛlɪvənt] adj . 有关的;有意义的33.catch fire [kæʧ ˈfaɪə] 着火34.fantasy [ˈfæntəsi] n . 幻想;想象●fantastic adj.极好的;怪诞的;富于想象的35.innovation [ˌɪnəʊˈveɪʃən] n . 创新;创造●innovate v.引入;创新;改革●innovator n.革新者36.available [əˈveɪləbl] adj . 可获得的;可购得的;(人)有空的●availability n.可利用;可用性37.in this sense [ɪn ðɪs sɛns] (in…sense) 从这种(某种)意义上来讲38.nevertheless [ˌnɛvəðəˈlɛs] adv . 尽管如此;不过;然而39.structure [ˈstrʌkʧə] n vt . 结构;体系;. 系统安排;精心组织40.security [sɪˈkjʊərɪti] n . 保护描施;安全工作41.crime [kraɪm] n . 犯罪活动;不法行为bine [ˈkɒmbaɪn] vt. &vi . (使)结合;混合●combination n.结合体;结合;联合;混合43.nanobot n . 纳米机器人44.artificial [ˌɑːtɪˈfɪʃ(ə)l] adj . 人工的;人造的;假的●artificial intelligence [ˌɑːtɪˈfɪʃ(ə)l ɪnˈtɛlɪʤəns] (AI) 人工智能45.clone [kləʊn] vt n . 克隆;以无性繁殖技术复制;. 克隆动物(或植物)46.predict [prɪˈdɪkt] vt . 预测;预言;预料●prediction [prɪˈdɪkʃən] n . 预测;预言47.forecast [ˈfɔːkɑːst] vt. &n . 预测;预报48.occupation [ˌɒkjʊˈpeɪʃən] n . 职业;占领●occupy v.占领,占据49.oppose [əˈpəʊz] vt . 反对;抵制;阻挠50.hence [hɛns] adv . 因此;由此51.cease [siːs] vi. &vt . (使)停止;终止52.deceased [dɪˈsiːst] adj . 已死的;亡故的53.absence [ˈæbsəns] n . 不存在;缺乏;缺席●absent adj.缺席;缺少;心不在焉的v.缺席;不参加;54.rural [ˈrʊərəl] adj . 乡村的;农村的55.advocate [ˈædvəkɪt] n n . 提倡;支持;拥护;. 提倡者;支持者;拥护者56.emphasis [ˈɛmfəsɪs] n . 强调;重视;重要性●emphasize v.强调;重视;使明显;重读,强调57.luxury [ˈlʌkʃəri] n . 奢华●luxurious adj.奢华的58.keep in touch with... [kiːp ɪn tʌʧ wɪð...] 与……保持联系;了解(某课题或领域的情况)59.career [kəˈrɪə] n . 职业;事业60.prospect [ˈprɒspɛkt] n . 可能性;前景●prospective adj.有前景的61.resist [rɪˈzɪst] vi. &vt . 抵制;反抗;抵挡●resistance [rɪˈzɪstəns] n . 抵制;反对;抗拒62.paragraph [ˈpærəgrɑːf] n . 段;段落63.signpost [ˈsaɪnpəʊst] n . 路标64.essay [ˈɛseɪ] n . 文章65.accurate [ˈækjʊrɪt] adj . 精确的;准确的●accurately adv.精确地●accuracy n.精确66.librarian [laɪˈbreərɪən] n . 图书管理员;图书馆馆长●library n.图书馆67.Melbourne [ˈmɛlbən] 墨尔本(澳大利亚城市)68.Christian [ˈkrɪsʧən] n adj . 基督教徒;. 基督教的巩固练习一、单词填空1.routine n.常规;正常顺序adj.常规的;日常的---adv.例行公事地,常规地;惯常地2.preference n.爱好;偏爱--v.更喜爱,宁可3.instant n.瞬间;片刻adj.立即的;速食的;速溶的---adv.立刻,马上conj.一…就…mand n.指令;命令;控制vt.命令;控制---n.指挥官,长官5.obey vi.&vt.服从;遵守---v.违反;不服从6.warning n.警告;警示;先兆---v.提醒;警告7.constant adj.不断的;重复的;不变的n.常数;常量---adv.经常地,不断地---adj.变化无常的;多变的8.abnormal adj.不正常的;反常的---adv.反常地;变态地---adj.正常的,标准的9.critical adj.严重的;关键的;批判性的--adv.严重地;批评性地;极为重要地10.potential adj.可能的;潜在的n.潜力;可能性---adv.潜在地;可能地11.leak vi&vt.漏;渗漏;透露n.漏洞;裂缝;透露---adj.漏的;有漏洞的---n.渗漏,泄漏12.electrical adj.电的;用电的;有关电的---adj.电动的,导电的---n.电工13.wire n.电线;金属丝(或线). vt.接通电源;将…连接到---n.电线线路;线路系统---adj.无线的14.detect vt.发现;查明---n.察觉,发现---n.探测器;检测器---adj.未被发现的;未检测到的---adj.可检测的;可发觉的15.relevant adj.有关的;有意义的---adv.贴切地---adj.不相关的16.fantasy n.幻想;想象--adj.极好的;奇妙的17.innovation n.创新;创造---adj.革新的;富有革新精神的---v.革新,创新18.available adj.可获得的;可购得的;人)有空的---adj.不可获得的,不可使用的;抽不开身的--- _____________________ n.可用性,可得性19.structure n.结构;体系vt.系统安排;精心组织---adj.结构(或构造)上的20.security n.保护描施;安全工作---adj.可靠的;牢固的;安全的21.crime n.犯罪活动;不法行为---n.罪犯bine vt.&vi.(使)结合;混合---n.结合体,联合体23.artificial adj.人工的;人造的;假的---adv.人工地;人为地24.predict vt.预测;预言;预料---n.预测;预言---adj.可预测的,可预料的25.occupation n.职业;占领---v.占领,占据(空间,时间);使忙于(做某事)26.oppose vt.反对;抵制;阻挠---adj.反对的---adj.相反的,对面的27.hence adv.因此;由此=28.absence n.不存在;缺乏;缺席---adj.缺席的;不在的;心不在焉的---n.出席,存在---adj.(人)在场的,出席的29.rural adj.乡村的;农村的---adj.城市的,城镇的30.emphasis n.强调;重视;重要性---vt.强调31.luxury n.奢华---adj.奢侈的,豪华的32.resist vi.&vt.抵制;反抗;抵挡---n.抵制;反对;抗拒;电阻33.essay n.文章--n.散文家34.accurate adj精确的;准确的---adj.不准确的;错误的---adv.精确地,准确地--- _______________ n.准确性,精确性35.librarian n.图书管理员;图书馆馆长---n.图书馆;书房,书斋36.Christian n.基督徒adj.基督教的---n.基督;救世主37.phrase n.短语;词组---________________ v.改述38.persuade vt.劝说;说服--- _____________ n.说服,劝服;说服力---________________adj.有说服力的39.distant adj.遥远的;远处的;疏远的;心不在焉的--- ________adv.遥远地;疏远地40.secure adj安全的;安心的;可靠的;牢固的vt.获得;拴牢;保护---____________adj.不安全的,不牢靠的--- ________n.保护措施,安全工作41.appliance n.电器;器具--- ________v.应用;适用42.remote adj.远程的;偏远的--- ____________adv.遥远地;偏僻地43.automatic adj.自动的--- ________________adv.自动地44.integrate vi.&vt.(使)合并;成为一体---n.结合,综合,集成---adj.各部分密切协调的;综合的45.sensor n.传感器;敏感元件---adj.感觉的,感官的---v.感觉到,觉察到46.efficient adj.效率高的;有功效的---adv.高效地二、单词拼写1.The lady has an a___________state of mind. Whatever happens, she always assumes the worst.2.The criminal, as well as some ______________(相关的)people, was arrested by the police yesterday.3.There is little chance that we will manage to change the law. N______________, it is important that we try.4.Through technology and _________________(革新),they found ways to get better results with less work.5.Nowadays, more and more people are dedicated to helping the poor in the_______________(遥远的) areas.6.In that traffic accident last night the man who hit five people in a row had drunk so much that he could no longer distinguish between _______________(幻想) and reality.7.Over two thirds of the population were believed to have no access to the health care in the west r_______________area in China.8.These windows can r_______________very high winds.9.We followed the _______________(路标)to the superstore at last.10.My parents strongly _______________(反对) my attempt to go to college out of Beijing, because they don’t like my being far away from them.11.This product contains no _______________(人造的) flavours—only natural substances are used.12.Suggest your child research the job _______________(前景) as well as average salaries for majors they’re interested in.13. As they are short of money, a week by the sea is a l______________ they can no longer afford.14. What does the underlined word “them” in the second ______________(段落)refer to?15. The ________________ (预报) said that there’s a possibility of snow tonight.16. I just want you to answer the question in a concrete and believable_____________(短语).17. They include the floor exercises as a regular part of their fitness ____________ (常规).18. The chemical ________________ (结构) of this particular molecule is very unusual.19. She recognized my____________(潜力)and showed me that I could write with creativity and enthusiasm.20.Then,my grandmother was diagnosed with_____________(癌症)and died later that year.21. The new ______________(图书管理员)is a friend of mine.22. She started her _______________ (职业)as an English teacher.23. He turned to ___________ (犯罪活动)when he dropped out of school.24. The trade imbalance is likely to rise again in 2007.___________ (因此)a new set of policy actions will be required soon.25. Environment-friendly_________ (模式)of transport are highly appreciated.三、单句语法填空1.Machine translation is a technology that ______________ (automatic) translates text from one language to another.2.Junyan added that as a reporter she needed many different skills and was______________ (constant) challenged to learn new things.3.I allowed myself______________(persuade) into entering the competition.4.We need to make our network______________(secure) against attacks by hackers than before.5.Deep reading is a process in which people______________(critical) think in addition to trying to catch the words on the page.6.Dogs have a far wider hearing range than humans, making themable______________(detect) sounds far above a human’s hearing limit.7.When I asked him what he was doing, he______________(response) that it was none of my business.8.“Those relevant______________the cheating in the exam come to my office after class,” the teacher said angrily.9.When we arrived in the deep night, we found there was nofood______________(availability) as all the shops were shut.10. They persuaded him_______________(change) his mind.11. The woman often _______________(switch) on the computer the moment she gets home.12. I prefer______________(read) books to watching TV at weekends.13. The teacher commanded that he__________________(go) out of the classroom.14. The little boy broke away from me ________________(instant) he saw his mother.15. I _______________(have) a meeting at 4 o’clock tomorrow afternoon.16.We can’t __________________ (emphasis) the importance of doing academic research in the colleges.17.There was no __________________ (predict) for that earthquake.18.The outgoing girl finds working as a sports reporter is herfavourite____________(occupy).19.Though there is a long ______________(distant) between Tom and his family, they don’t feel distant.20.After a little gentle _______________(persuade),Lisa agreed to let us in.21.The teacher praised him for his working __________________(efficient) in organizing the conference.22.The big company has said it will give _______________(prefer) to companies with which it can do business honestly.23.This university has been combined _______________ two relatively small colleges.24.You must answer for the ____________ (accurate) of what you described justnow.25.We did not receive any news during his long ____________ (absent).26.We advocate ____________ (live) a simple life and conserving water and energy.27.In fact, the Internet has made ____________ possible to get what you need without leaving your home.28.People will not cease _______________ (use) the new technology because of these accidents.29.I can keep _______________touch with my parents who are living in my hometown through the Internet.30._______________ (advocate) by many well-known experts and film stars,the product was very popular at one time.31.Recently, much more emphasis has been put _______________ developing the students’creativity.32.There was a lot of _______________ (resist) to the plan when it was first suggested.33.He spent a fortune on expensive wines and other_______________(luxury).34.The book is a collection of his previously unpublished _______________ (essay) on a variety of topics.35. She'd allowed herself to be lulled into a false sense of ______________. (secure)参考答案:一、1.routinely 2.prefer 3.instantly mander 5.disobey 6warn 7.constantly8.abnormally normal 9.critically 10.potentially11.leaking 12.electric electrician13.wiring wireless 14 detection detector undetectable detectable 15 relevantly irrelevant16.fantastic 17innovative innovate 18unavailable availability 19structural 20secure 21criminal 22 combination 23artifically 24 prediction predictable 25occupy 26 opposed opposite 27thus 28 absent present 29 urban 30emphasize 31luxurious 32 resistance 33 essayist 34 inaccurate不精密的; 不正确的; accurately accuracy 35 library 36christ 37 paraphrase 38 persuasion persuasive 39distantly 40unsecure security 41 apply 42 remotely 43automatically 45integration integrated 46 sensory sense efficiently二、1.abnormal .relevant 3.Nevertheless 4.innovation 5.remote6.fantasy7.rural8. resist9.signposts 10.oppose 11.artificial12.prospects 13. luxury 14. paragraph 15. forecast 16. phrase 17. routine 18. structure 19.potential 20.cancer 21. librarian 22. career23. crime 24. Hence 25. modes三、1. automatically 2.constantly 3.to be persuaded 4.more secure5.critically6.to detect7.responded8.to9.available 10. to change 11.switches 12. reading 13. (should) go 14.instantly 15.will be having 16.emphasize 17.prediction 18.occupation 19.distance 20persuasion 21.efficiency 22.preference 23.with 24.accuracy 25.absence 26.living 27.it ing 29.in 30.Advocated 31.on 32.resistance 33.luxuries 34.essays 35. security。
人教版七年级英语下册假期小卷Unit2 What time do you go to school?第I卷(选择题)一、单选题(共10分)1. There is________map in the classroom.________ map is on the wall.A. a, AB. the, TheC. a, TheD. the ,A2. I go to school ________ 6:50 every morning.A. onB. inC. atD. for3. —What is it? — It's one o'clock.A. dayB. timeC. dateD. weather4. —Do you go to school by bus every day?—Yes, I ________ take a bus.A. alwaysB. mayC. sometimesD. can5. Alan always gets up late and then goes to school, so he _____ eats breakfast.A. alwaysB. usuallyC. neverD. sometimes6. You really don't have to worry ______ your weight. You look just right.A. forB. fromC. withD. about7. My grandfather eats well and ________ every day, so he is very healthy.A. writesB. drawsC. exercisesD. sings8. -- I like monkeys best. How about you?-- I like them, too. They are ________ smart.A. kinds ofB. a kind ofC. kind ofD. many kinds of9. Drivers must ______ seat belts while their cars are running on the road.A. dressB. inC. wearD. put on10. He ______ at 6:00 in the afternoon.A. get homeB. gets to homeC. gets homeD. get to home二、完形填空(共15分)Angel is a student. She gets up very (11) in the morning. She is the first to come to the classroom every time. Then she reads English because it's herfavorite (12) . Then she has breakfast at 7:00 a.m. At 7:20, she (13) to school with her friends because her home is not far from school. She makesfriends (14) her classmates and they all love her. She has six classes every day.After school, she often does lots of activities. Sometimes, she reads books in the school (15) . It's a nice time for her. Sometimes, she (16) because she joins the school music club. She thinks her school life is (17) . She gets home at 6:00 p.m. After dinner, she always does her (18) first. She likes studying. On weekends she is free, so she has (19) time to exercise. Running and swimming are her favorite sports. Her parents are (20) every day, and they have no time to stay with her.11. A. early B. late C. well D. happily12. A. game B. subject C. food D. show13. A. runs B. wants C. walks D. likes14. A. with B. for C. in D. at15. A. trip B. radio C. party D. library16. A. plays the violin B. goes swimmingC. plays chessD. tells stories17. A. interesting B. welcome C. boring D. difficult18. A. class B. time C. homework D. shower19. A. many B. much C. little D. any20. A. free B. happy C. cool D. busy四、阅读理解(共30分)AMike works very long hours every day.He usually gets up at 17:00.He has a shower and makes his breakfast.What a funny time to make breakfast!After breakfast he practices his guitar,then he puts on his jacket and goes to work.To get to work,he takes the number17bus to the Star Hotel.The bus usually leaves at 19:15.He works all night.People love to listen to him!He gets home at 7:00,and he watches the early morning news on TV.He goes to bed at 8:30,a tired but happy man.Can you think what his job is?21.How long does Mike work?______A. 7 hoursB. 8 hoursC. about 9 hoursD. all night22.He ______ and makes his breakfast.A. gets upB. takes a showerC. worksD. washes his face23.What does Mike do after breakfast?______A. He goes to work.B. He puts on his clothes.C. He practices his guitar,then puts on his jacket and goes to work.D. He practices his guitar.24.Maybe he is ______ .A. a workerB. a singerC. a writerD. a teacher25.How does he go to work?______A. By carB. By bikesC. On footD. By bus.BDear Mom,Iˈm happy to get your e-mail. Do you want to know about my after-class activities? The classes finish at four oˈclock. After class, I usually go to the library and read books. Itˈs relaxing. Sometimes I play football with my classmates in the playground. Iˈm not good at it, but I like it. We have dinner at six. In the evening, we study in the classroom from seven oˈclock to eight thirty. We usually do our homework. Science is difficult for me, but my friend Peter helps me with it. He is very nice. I take a shower at about nine oˈclock and then go to bed at nine thirty. I often talk with my roommates before going to bed. Remember to pick me up(接我)at 5 oˈclock on Friday afternoon.Yours,Jenny26.Jenny usually ________ after class.A. goes homeB. goes to the clubC. goes to the libraryD. goes to the store27.Jenny studies for ________ hour(s) in the classroom in the evening.A. 1B. 1.5C. 2D. 2.528.Peter helps Jenny with her ________.A. EnglishB. mathC. ChineseD. science29.From the letter, we know that ________.A. Jenny is good at playing footballB. Jenny often reads books before going to bedC. Jenny goes to bed at ten oˈclockD. Jenny goes home on Friday afternoon30.Jenny tells her mom about her ________ in the e-mail.A. after-class activitiesB. favorite subjectsC. healthy lifeD. eating habitsCDear Yang Jun,How are you? You ask me about my favorite subject. I think math and geography are my favorites. They are interesting and helpful. Our last class finishes at half past three. Do you think it's late or early? We have lots of after-school activities. For me I like going to the sports club with my classmates. At about a quarter to five I go home. On school days I never watch TV because I'm busy. I usually do my homework first after getting home. It usually takes me about an hour. Then I have dinner with my parents at about six o'clock. I always take a shower and go to bed at half past eight. But I'm always free on weekends. So I can either go to the library or clean the rooms with my parents. Sometimes we play tennis on Saturday. I have a happy life. What about you?Yours,Karl31.What does Karl think of math?A. Easy and interesting.B. Easy but boring.C. Useful but difficult.D. Interesting and helpful.32.What time is Karl's last class over?A. At 3:00.B. At 3:30.C. At 4:20.D. At 4:30.33.It usually takes Karl about ________ to finish his homework.A. half an hourB. an hourC. two hoursD. one and a half hours34.Karl does all the following things on weekends EXCEPT ________.A. going to the libraryB. cleaning the roomsC. playing tennisD. playing computer games 35.We can know that ________.A. Karl only watches TV at nightB. Karl joins the sports clubC. Karl is always busy on weekendsD. Karl usually has lunch at home第II卷(非选择题)三、补全对话(共5分)A: Hey, Peter! (36)B: At a school.A: Wow, she has a good job! (37)B: At 7:00.A: So early?B: Yeah! (38)A: She's a good teacher. (39)B: She gets up at 5:30.A: (40)B: She usually does some exercise and then eats breakfast.on a mountain. Every day they get up at 6:30 in the___42_____. Then they climb down the mountain and bring the___43_____to their school. At__44______9:00 they eat breakfast. Their classes___45_____from 9:30 a.m.They don't eat___46_____,and the kids don't,either. The kids go__47______at 4:00 in the afternoon. Li Guilin and Lu Jianfen have_48_______at 8:30 in the evening. They don't watch__49______. After that they work until 10:30.At about 11:00 they go to_50_______. They like their job and they work hard.六、语法填空(共10分)Tony and Mary are brother and sister, but their habits are not the same.Tony gets up at 8:00 a. m. Then he gets (51) (dress) and goes to school at eight thirty. He usually eats very (52) (quick) because he doesnˈt have much time for breakfast. For lunch, he usually eats hamburgers. After school, he sometimes plays basketball for thirty minutes. When he gets home, he always does (53) (he) homework first. In the evening, he either watchesTV (54) plays computer games. He goes to bed after he brusheshis (55) (tooth) at ten thirty.What about Mary? She usually gets up early at half past six. And then she always takes a shower and eats a (56) (well) breakfast. She (57) (go) to school at eight thirty, too. At twelve, she usually eats lots (58) fruit and vegetables for lunch. After lunch, she sometimes plays volleyball. She always eats ice-cream after dinner. She knows itˈs not good for her, but it (59) (taste) good! In the evening, she does her homework and usually swims or takes a walk. (60) does she go to bed? At nine thirty.七、书面表达(共20分)同学们,每个人都有各自的学习和生活习惯。
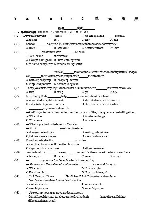
8A U n i t2单元拓展姓名________成绩________一、单项选择题(本题共15小题,每题1分,共15分)()21.—Doyoulikeplaying______chess —No.Ilikeplaying_______softball.A.the,theB./;/C.the;/D./;the()22. School________watchingTV,butthereistoomuchhomeworktodoeveryday.A.likesB.isthesameC.isdifferentfromD.islike()23. —________greatfunwehave_________English!—Yes.Icanbe_______atitthisway.A.How;tolearn;goodB.How;learning;wellC.What;tolearn;betterD.What;learning;better()24.Youcan_______twomorebooksfromtheschoollibraryatatime,andyou can_______themfortwoweeks,butyoucan’t______themtoothersA.borrow;lend;keepB.lend;keep;borrowC.keep;lend;borrowD.borrow;keep;lend()25. Today,youcanusemyEnglishbookinstead.Butrememberto_______itheretomorrow.OKA.takeB.bringC.getD.buy()26. IntheBuddyClub,_________help_______learnmoreabouttheschool.A.newerstudents;olderstudentsB.olderstudents;newerstudentsC.elderstudents;newerteachersD.elderteachers;newerteachers()27. —_________doyouknowaboutJohn—OnFridayafternoon,hisschoolendsearlierthanusual.Theyoftenpracticebaseballtogether.A.WhatotherB.WhatotherthingsC.WhichelseD.Whatelse()28. —WhatdoyouthinkofthebooksbyMoyYan—Ithink_______________greatinourfreetime.A.doingsomereadingisB.readinghisbooksareC,todoingsomereadingis D.toreadhisbooksare()29. Davidjumpshigherthan_____________inhisclass.A.anyotherclassmatesB.theotherclassmateC.anyotherofhisclassmatesD.allhisclassmates()30. Jim’sschoolhas_________weeks_______intheUKinthesummertimethanoursinChina.A.fewer;offB.more;offC.fewer;/D.more;/()31. —_______doyouhaveforafter-schoolactivitieseveryday—Aboutanhour.Butwehaveabout3morehours_______homeworkthanyou.A.When;onB.Howmuch;inC.Howlong;forD.Howmuchtime;of()32. —Jack.Ihearwe’llhave________EnglishandMath.Doyouknowaboutthe m—Yes.IknewaboutthemfromourMathteacher.A.amonth’stestinB.month’stestsinC.monthlytestsonD.amonthlyteston()33. —Areyousureyoucangetgoodgradesinthistests—IthinkIshouldgetmoregradesbecauseIworkedonit_______thanbeforeandIdidnot________allthequestionsasusual.A.careful;lookforB.carefully;lookatA.morecareful;lookafter D.morecarefully;lookthrough()34. —Doesyourbrotherlikelearningdrawing—Hedoesn’tlikeit,becausehethinkslearningdrawing_______toomuchmoneyandit_______toomuchtimeaswell.A.cost;takesB.costs;spendsC.takes;spendsD.takes;costs()35. —Mrs.Sun.I’mnotbetter______myEnglishwritingthantheothers.HowcanIlearnitwell —Don’tworry,LiPing._________youpractice,________you’lldo_____it.A.at;Themore;thebetter;inB.in;Themore;thebetter;atC.at;muchmore;muchbetter;inD.in;Themuchmore;well;at二、完形填空(本题共10小题,每小题1分,共12分)阅读下面短文,掌握其大意,然后从所给的四个选项中,选出一个最佳答案。
七年级下Unit2SectionA+B+单元测试题+答案义务教育教科书Go for it! (新版) 七年级下册Unit 2 What time do you go to school?Section A基础·巩固练夯实基础,巩固新知Ⅰ. 根据句意和所给汉语,完成句⼦1. ---What time do you (通常) get up? ---At about 6:30.2. Her father goes to work very (早) in the morning.3. Many people like Xiao Shenyang because he’s very (滑稽好笑的).4. Jenny is a good girl. She is (从不) late for school.5. There are many interesting (⼯作), you can get one.6. Her grandfather is very healthy, because he (锻炼) every day.7. We should brush our (⽛齿) before going to bed.8. Look! A (群)of students are playing games over there.9. His mother works at a radio (电台).10. My brother often takes a (淋浴) in the evening.Ⅱ. 词组互译1.起床2.穿上⾐服3.洗淋浴4.在周末5.⼴播电台6.从…到…7.吃早饭8.在六点四⼗9.上班迟到10.刷⽛11.在晚上12.at about ten twenty技能·应⽤练学以致⽤,巧练⽅法Ⅲ. 单项选择1. --- do you usually get up? ---At six o’clock.A. WhatB. WhereC. What timeD. How2. It’s ten o’clock in the evening. Let’s .A. go to schoolB. get upC. get dressed3. Wu Ming often plays basketball four o’clock in the afternoon.A. inB. atC. onD. to4. ---Do you want to get here? ---Yes, I do. Can you help me?A. worksB. a workC. jobD. a job5. Lucy eats hamburgers. She thinks they are not healthy food.A. alwaysB. neverC. oftenD. usually6. ---Mom, my shoes are very dirty(脏的). Can you help me them?---Oh, Simon. Do it by yourself.A. brushB. drawC. findD. run7. Scoot brushes his and then eats breakfast.A. tooth, /B. teeth, /C. tooth, theD. teeth, the8. --- do your parents play tennis? ---They usually play it on weekends.A. What timeB. WhereC. WhenD. What9. ---What time does your friend go to school?---At 6:20. She is never late class.A. best, inC. best, forD. best, to10. Sunday morning, Jack’s brother usually gets up eight o’clock.A. At, onB. In, onC. On, atD. In, atⅣ. 句型转换1. His father goes to work at seven o ’clock. (对划线部分提问)his father to work?2. He works at a radio station. (对划线部分提问)he ?3. They usually play computer games at home on weekends. (对划线部分提问)they play computer games at home?4. What time is it? (改为同义句)the ?Ⅴ. ⽤所给词的适当形式填空, 每词限⽤⼀次。
四年级Unit 2 拓展【课前检测】一、英汉互译。
1._________________(什么课) do you have this afternoon?2.Let’s_____________________________________(去打乒乓球).3.Do you have_____________________________(一节美术课) on Monday?4.________________(星期几) is it today?5.We____________________________(没有任何课) on Saturday.6.My school__________________________________(有一个大操场).7.-____________(什么时候) do you get up? -At seven ten.8.That makes a week. _____________________________________________9.He doesn’t watch TV in the evening.________________________________10.W e have a skating lesson this morning.______________________________二、圈出正确的词。
1. Do/ Does you watch TV on Sundays? Yes, I do/ doe s.2.Do/ Does you go to school at eight o’clock? No, I doesn’t/ don’t.3.Do/ Does he like sausages? No,he don’t/ doesn’t.4.Do/ Does it eat fruit? Yes, it do/ does. No, it doesn’t/ don’t.5.Do/ Does your father read a book ? Yes, he does/ do.6.My sister don’t/ doesn’t like swimming.7.Mary don’t/ doesn’t play in the park.8.Do/ Does the tiger like carrots? No, it don’t/ doesn’t.9.The zebras don’t/ doesn’t like chicken.10.Do/ Does Mark and Mary have lunch at school? No, they don’t/ doesn’t.11. When do/ does you go to school? At eight o’clock.12. How many clocks/ clock are there in your house?13. There isn’t some/ any cheese on the sandwich.14. Well done/ down, children.三、按要求完成句子。
六年级英语上册单元能力培优提升卷Unit 2 Ways to go to school【考试时间:60分钟满分:100分】听力部分(40%)一、听录音,选出你所听到的内容。
(10分)( ) 1. A.bike B.subway C.ship( ) 2. A.yellow B.red C.green( ) 3. A.fast B.must C.ask( ) 4. A.stop B.wait C.don't go( ) 5. A.No. 13B.No. 30C.No. 33二、听录音,给图片标号。
(10分)( ) ( ) ( ) ( ) ( )三、听录音,判断正(T)误(F)。
(10分)( ) 1. Lucy and Amy aren’t good friends.( ) 2. Amy is from the USA.( ) 3. Amy’s home is far from her school.( ) 4. Lucy goes to school on foot.( ) 5. Amy goes to school by bike.四、听录音,选择正确的答语。
(10分)( ) 1. A.I go to school by car.B.Sarah usually goes to school by bike.( ) 2. A.Sorry.B.Hooray!( ) 3. A.You can take the No. 1 bus.B.It's far.( ) 4. A.Yes, it is.B.No, it is.( ) 5. A.Yes, you can.B.No, I can't.笔试部分(60%)五、选出下列单词中不同类的一项,填序号。
(10分)()1. A.often B.usually C.behind()2. A.ship B.taxi C.traffic()3. A.take B.can C.must()4. A.by B.fast C.slow()5. A.children B.ferry C.kids六、单项选择,将正确答案的标号填在括号里。
Unit2 单元拓展阅读训练—扩宽视野,启迪心智A.DOGS can be good friends for humans. Or they can even help blind people. But have you heard of these animals competing in dog shows?Well, the US just held the 140th annual Westminster Kennel Club Dog Show (威斯敏斯特全犬种大赛) in New York City. This is the second oldest sporting event in the US. This year’s Best in Show was C.J., a German short haired pointer (猎狗). He won against over 2,700 other dogs.But what goes into preparing for this show? First, a dog must be 100 percent one kind of breed (品种) to compete. Dogs need good training to do well. And they need to be successful at other important dog shows, too.On the day of the show, people look after the dogs very carefully. They brush the dogs’ hair and make their hairstyles look perfect. The owner and dog step into the ring and run around the outside to show everyone the dog. Then they move to the judges. Judges are looking at everything: how they act, their fur (毛发) and many small things.To compete at dog shows like this, it costs around $50,000 (about 330,000 yuan) to $100,000 a year. That goes to trainers, travel and taking care of the dog. So why do people do it?Some do it to help teach people about dog breeds, while others do it to make money. But they must have a love of their furry friends. Or they wouldn’t spend that much time and money on them.1. The Westminster Kennel Club Dog Show is ________ in the US.A. a dog competition to help blind peopleB. held for the first time this yearC. the second oldest sporting eventD. only for German short haired pointers2. How many dogs took part in this year’s Westminster Kennel Club Dog Show?A. 100B.140C. 2,700D. more than2,7003. To take part in this show, the dog needs the following EXCEPT _____.A. to help many blind peopleB. to be 100 percent one kind of the breedC. to get trained to do things wellD. to win other dog shows4. What does the underlined word “judge”mea n in Paragraph 4?A. 保安B. 裁判C. 观众D. 选手5. What can we learn from the last two paragraphs?A. It costs little money to compete at dog shows.B. The cost mainly goes to training the dogs.C. Dog owners only want to make money from the show.D. The show can teach people to love dogs.B.“Volunteering makes you look at the world differently. You see how little things can change a person’s life for the better, which makes everyone a better person,” Mason, a volunteer sai d. National Volunteer Week started in 1974 and is held every April. It is a time to thank volunteers for their achievements. It is also a perfect opportunity(机会) to encourage others to take their first step towards becoming a volunteer. Making the decision to take the first step can be the biggest problem, because they often wonder if they will be able to meet the organization’s expectations(期望). Some people fear (害怕)not knowing anyone else in the group. Not having enough time also stops some from sharing their abilities.The following tips can help if you have some of these worries:·Start out slowly, and don’t add too much pressure. Even a few hours a month can make a big difference in someone’s life.·Choose an organization with the same interest and common values.·Work with a veteran volunteer. He volunteered a lot, and he can help you increase the confidence and completely understand the organization’s expectations.·Invite a friend or family member to serve. It is a good experience to volunteer with them.·Finally, it is most important to enjoy the volunteer experience and to remember that not all volunteer experiences are perfect. If one experience doesn’t work, don’t give up and you’ll surely find the right opportunity.Spend some time on voluntee r work and you will see great changes in people’s lives. As Mason discovered during his volu nteer experience, “…little things can change a person’s life.”6.Volunteering can help .A.make a decisionB.see the world clearlyC.thank other peopleD.make a person’s life better7.What could be the reason to stop people taking the first step?A.They don’t have enough time.B.They are stopped by their families.C.They fear that their abilities are shared.D.They don’t expect to become volu nteers.8.Which of the following can help people take the first step?A.Start out quickly.anize a training meeting.C.Invite a friend to be with them.D.Join in a group with different values.9.The underlined word “veteran” in the passage means “”.A.politeB.humorousC.youngD.experienced10.What is the main idea of the passage?A.To tell people to make changes in their lives.B.To encourage people to start their volunteering.C.How to make great achievements in volunteering.D.How to keep on volunteering whatever happened.C.It is difficult to set up a successful charity(慈善)group. But two American kids have done it.Grace Callwood, 12, is from Edgewood Middle School in Maryland. She set up a charity group called the We Cancerve Movement. It donates(捐赠) clothes, food and other things to homeless children. In four years, it has helped more than 3,700 kids.When Grace Callwood was 7 years old, she got a kind of cancer(癌症) . She had to leave school and give up her favourite hobby—dancing. She also gained (获得)weight because of cancer treatment. She couldn't fit into her new back-to-school clothes. So she donated the clothes to two girls in need. It made her feel good, so she kept doing it. In 2011, she started the We Cancerve Movement.Similarly, Shreya Papneja, from Carson Middle School in Virginia, started a charity group called Children's Health Awareness Programme in Schools at the age of 13. It helps kids make healthy choices and tries to stop childhood obesity. A doctor once told Shreya Papneja that more thanone-third of the kids in America are overweight. She did a lot of research about it. Then she made a website to teach others ab out exercise and healthy eating. “I know how hard it is to make a change,” she said. But she has changed her own eating habits. She eats more apple slices instead of chips now.11.What has Grace Callwood done to help other kids?A.She donated money to them.B.She donated food, clothes and other things to them.C.She taught them how to lose weight.D.She called on them to fight against cancer.12.Grace Callwood gained weight because ________.A.she didn't like doing exerciseB.she ate a lot of junk foodC.she received cancer treatmentD.she ate too much for every meal13.T he underlined word “obesity” means “________” in the passage.A.performance B.competition C.loneliness D.overweight14.Which of the following is NOT true about Shreya Papneja?A.She did much research about obesity.B.She made a website to tell people how to lose weight.C.She set up the charity group at the age of 7.D.She us ed to like eating chips.15.The purpose of this passage is to ________.A.tell people how to keep healthyB.call on people to help homeless kidsC.share two examples of successful charity groupsD.explain why it is difficult to set up a charity groupDIn the summer after Maggie Doyne graduated(毕业) from high school, she decided to spend a year traveling all over the world before she started college. However, the journey changed her life and she also changed the world.In 2006, Doyne took a backpacking trip through the Himalayan Mountains in the country of Nepal (尼泊尔)that was destroyed by the war. Because Doyne had grown up comfortably in Mendham , New Jersey, the USA, she was surprised and upset to see so many orphans(孤儿) living on the streets. She wanted to do something about it. So she used her savings of $5,000 to buy a piece of land in the village of Surkhet, Nepal and build the kids a home, the Kopila Valley Children's Home.The Kopila Valley Children's Home opened its door in 2008. Doyne cares for 26 kids at the home at present. The children at the home learn skills such as cooking and other chores. And she has helped more than 700 other homeless kids find families. She also runs a program that provides scholarships(奖学金) for poor families to send their children to school.Do Something(an organization that provides support for teens who want to make a difference in the world) also did something for Doyne. On June 4th, 2009, the organization gave Doyne $100,000 for her service as the 2009 Do Something Award. Doyne also made a plan to build a school with the money she had just won.16.What did Maggie Doyne decide to do before she started college?A.To find a part-time job. B.To teach kids how to cook.C.To travel all over the world. D.To build a school for poor kids.17.Where is the Kopila Valley Children's Home?A.In Mendham. B.In New Jersey, the USA.C.In Surkhet, Nepal. D.I n the Himalayan Mountains.18.What did Doyne use her savings of $5,000 to do?A.To build a school for poor kids.B.To build a home for the homeless kids.C.To buy some gifts for the homeless kids.D.To help hundreds of homeless kids find families.19.What's Do Something?A.It's an organization that builds homes for homeless kids.B.It's an organization that teaches kids chore skills.C.It's an organization that helps homeless kids to find families.D.It's an organization that provides support for teens who want to change the world.20.Why does the writer say that Doyne changed the world?A.Because she changed the lives of hundreds of orphans.B.Because she built a school with the award of $100,000.C.Because she started an organization to make a difference in the world.D.Because she ran a program that provided scholarships for college students.EIn today’s world of modern science and medicine, a more traditional treatment is once again becoming popular-animal friendship.It is now well-known that people with problems such as heart disease(疾病)or cancer live longer and get better more quickly if they have pets. Keeping pets lowers blood pressure and makes people less worried. Animals are increasingly important in treating older people who have memory loss and other brain problems. These people often feel nervous and upset. Activities with animals help them improve their physical condition and also give them joy, entertainment and loving friendship.Here is a case that shows the benefits(优点)of animals. John was a six-year-old mute. He had no physical problems. He just refused to talk. His older cousin, Ned, had a parrot(鹦鹉)called Sally, and John used to visit it. When he arrived, Net used to say, “Hi, John!” We a ll know parrots copy what they hear. After a few visits, Sally began saying “Hi, John!” when John came into the room. Then, one day, John turned to the parrot and replied “Hi, Sally!” Staying with the parrot encouraged John to begin talking.Another use of animal helpers is in schools. In some cases, animals are used to help children with physical or personal problems. In other cases, they are used to teach children to get on and share with others, and even to teach them about animals.If you want to know more about animal helper programs, you can get in touch with organi- zations like Riding for the Disabled or do a search under “animal therapy” on the Internet. You don’t have to be an animal trainer or a doctor to join in.21.Which is NOT mentioned as an illness that animals can help with?A. Heart diseaseB. CancerC. FeverD. Blood pressure22.The underlined word“mute”in paragraph 3 is closest in meaning to“_______”.A. a person who speaks slowlyB. a person who does not speakC. a person who cannot hearD. a person who enjoys talking23.The purpose of paragraph 3 is to _______.A. show how animals can help with illnessesB. discuss the problems of keeping petsC. describe how to train animal helpersD. introduce some new medical research24.How can animals help school children according to the passage?A. They can improve children’s memory.B. They can make children more popular.C. They can increase children’s blood pressure.D. They can teach children to share with each other.25.What is the best title of this passage?A. Be kind to animalsB. Talking to animalsC. The most dangerous diseasesD. Get healthy with animal helpers参考答案A.1-5 CADBBB.6-10 DACDBC.11-15 BCDCCD.16-20 CCBDAE.21-25 CBADD。
日期:班级:姓名:学号:一、自主试学:试读、抄写单词并翻译。
组内检查试学成果。
翻译:PEP 小学英语五年级下册Unit 2A 部分Let’s talk 检测单二、合作互学:自己尝试中英文配对,小组核对。
1.Do you like the music,children?2.Today we’ll draw the seasons.3.Which season do you like best?4.Winter.I like snow.5.I like Spring.It’s pretty. A.你最喜欢哪个季节?B.今天我们画四季。
C.孩子们,你们喜欢音乐吗?D.我喜欢春天。
它很漂亮。
E.冬天。
我喜欢雪。
三、拓展研学:从方框中选出句子的相应答语,将正确选项填入题前括号内。
()1.Do you like the music ?()2.What is it ?()3.Which season do you like best ?()4.What's the weather like in spring ?()5.I like snow.四、根据实际情况回答问题。
1.Which season do you like best ?2.What's the weather like in spring ?3.Do you like winter ?4.When do you finish class in the morning?seasonwhichbestwinterspringprettyA.It's sunny and warm.B.No,I don't.C.Me too.D.The Four Seasons.E.Winter.日期:班级:姓名:学号:一、自主试学:看音标选单词、抄写并翻译。
组内检查试学成果。
1[spr ɪŋ]2.['s ʌm ə]3.['ɔ:t əm]4.['w ɪnt ə]5.['si:zn]翻译:PEP 小学英语五年级下册Unit 2A 部分Let’s learn 检测单二、合作互学:翻译下面句子。
必修一Unit 2 Travelling Around 单元检测题Parti基础知识巩固1.She made a request the doctor should be sent for at once.2.It is difficult to find work in the present(economy) climate.3.He received the award in (recognize) of his success over the past year.4.There are some obvious practical(apply) of the research.5.The teacher took his illness into account, so she made him( narrow) pass the exam.6.She was used to receiving(admire) glances from others.7.This paper gives( detail) introduction of the design and the development process of thesystem.8.The election results have still not been(official) announced.9.Nowadays the media has a(power) influence on public opinion.10.The company offers a flexible(package) service for the food industry.Part II能力拓展提升一、阅读理解阅读以下短文,然后根据短文的内容从每题的四个选择项中选出最正确的一项。
Using less energy around the home is easier than you might think, saving you money while creating a healthier, more comfortable living space for you and your family. Changing a few old habits can make an impact on your energy bill, your comfort and the environment. Here are some handy tips to make your house more energy-efficient. Lower the heatIf your home has adjustable central heating, lowering the room temperature even slightly can make a difference. You may not feel it, but your wallet will. It is even more advisable to control temperatures at different times of the day.Hang clothes out to dryIf the weather allows it, head outside and dry your laundry on a clothesline. Thesunlight will help eliminate bacteria and dust. While clothes dryers get the job done faster, they also use up energy.By hanging your clothes out you'll be cutting greenhouse gases by about three kilograms per load.Take advantage of natural lightInstalling large windows on the northern side of your house can help you make use of sunlight's natural warmth. To stay cool indoors on hot summer days, install blinds(百叶窗)to block the heavy sun.Put your desk near the window, then you don't need a lamp in the daytime.Wrap(裹)your pipesBe sure your hot-water pipes are properly wrapped.In an average home, heating water accounts for more than one-quarter of the energy bill.Why let warmth go to waste before it reaches you?Choose the right size for appliances(家用电器)When the time comes to replace appliances, select those that are both energy-efficient and of the appropriate size for your needs.Don't buy bigger ones just because you can.1.What benefit may using less energy at home bring about?A.Having a healthier living environment.B.Improving your work efficiency.C.Keeping old habits unchanged.D.Enlarging your living space.2.Which of the following is one of the advantages of hanging clothes out to dry?A.It may help to build a greenhouse.B.It helps remove bacteria in clothes.C.It uses half the energy that clothes dryers do.D.It gets clothes dry much faster than clothes dryers.3.What can be installed on the northern side of your house to make better use of naturallight?A.Blinds.B.Curtains.C.Windows.D.Shades.4. Besides energy-efficiency, what else should be considered when replacingappliances?C.Good quality. 二、完形填空通读下面的短文,掌握其大意。
2024-2025学年译林版(2024)七年级英语上册Unit 2 Hobbies单元检测一、单词拼写1. v. 慢跑,慢步长跑(尤指锻炼) /n. 慢跑2. vi. & vt用颜料画:在…上刷油漆3. n,绘画颜料;油漆4. n. 剪纸5. 各种各样的6. adj. 健康的7. prep. 围绕,环绕 adv. 到处,向各处 8. vi & n. 改变、变化9. n. 个人生活,生命 (pl. 复数) 10. n. 博物馆11. n. 东西12. *adv. 分开拆分13. vt. 修理,安装14. adj. 无穷无尽的,不计其数的15. n. 科学家16. n. 梦想,梦17. adj. 真正的,实质的实现,成为现实18. 在周末19. n. 社团、俱乐部20. n. 成员21. n地理(学)22. abbr. 下午23. n. 排球24. det, pron. &adv:每个,各自25. adv. 一次26. vt & vi. 加入,与…一道去27. n. 会面,会议28. linking v. 听起来29. vt. &n. 计划30. * n. 调查问卷31. n. 角色32. n. 模范. 典型;模特33. n. 楷模,行为榜样34. vt. &n. 设计35. n. 技能36. n. 画作37. n. 艺术家,(尤指)画家38. n. 能手,擅长…者,大师,师父 39. n. 作品,著作40. linking v. 成为41. n. 设计师42. n. 未来43. 在未来44. vt,vi& n. 希望二、音标找不同( ) 1. A. plate B. table C. father D. grape ( ) 2. A. rabbit B. class C. happy D. black ( ) 3. A. sing B. five C. kite D. tiger( ) 4. A. thank B . sing C. thin D. English( ) 5. A. what B. where C. which D. whose ( ) 6. A. love B. mother C. brother D. clock( ) 7. A. brother B. monkey C. love D. go( ) 8. A. bus B. computer C. music D. use ( ) 9. A. yellow B. yes C. why D. yummy( ) 10. A. mouth B. thank C. there D. tooth( ) 11. A. book B. school C. foot D. look( ) 12. A. eat B. please C. bread D. tea( ) 13. A. many B. animal C. stand D. hand( ) 14. A. move B. do C. go D. shoe( ) 15. A. yellow B. know C. window D. brown二、拓展题,看音标写单词(适当变换形式)1. You can find your cousin in the_______/ˈri:dɪŋ/ room.2. My favorite subject is _______/dʒiˈɒɡrəfi/.3. He likes his_______/‘klɑ:smeɪts/ because they are all nice.4. I want to be a _________ /ˈsaɪəntɪst/ in the future.5. John,do you know anything about those __________(博物馆)?6. There are all_________ /kaɪndz/ of books in the library.7. Xu Beihong is one of my favourite ________________ (艺术家).8. Please greet and introduce ____________(每个,各自)other .9. How many _____________ (排球)are there in your room?10. Daniel likes_____________ (游泳) with his father at weekends.11. He likes to take things ___________ /əˈpɑː(r)t/ .12. We have a parents’ ____________ /ˈmi:tiŋ/ once a week.13. Science____________/ˈtʃeɪndʒɪz/ our lives.14. He always finds answers to his ____________/ˈendləs/ questions.15. I am sure your dream can come ____________/truː/.三、单项选择(本大题共15小题,每小题1分,共15分)1. —Do you have ________ volleyball?—Yes, I do. Let’s play ________ volleyball.A. a; /B. a; aC. /; aD. /; /2. After class, I often play ping-pong ________ my classmates.A. toB. forC. inD. with3. —What’s your favourite ________?— Xu Beihong.A. scientistB. designerC. artistD. worker4. — Hi, Nancy. Why do you like jogging? —Because it helps me keep _______A. fitB. politeC. gladD. shy5. —This song ________ very nice in the concert(音乐会)!—I can’t agree more (我非常同意).A. smellsB. soundsC. looksD. feels6. He is a ________ teacher, and he also plays chess ________.A. good; niceB. well; wellC. well; goodD. good; well7. — Is there water in the glass?— Yes. There is .A. some; anyB. any; someC. some; someD. any; any8. —________ your brother like painting?—Yes, he does. He likes it a lot.A. DoB. DoesC. areD. Is9. Lily likes vegetables. But she ________ like salad.A. isn’tB. doesn’tC. am notD. don’t10. Bob loves sports, ________ he doesn’t play them. He only watches them on TV.A. becauseB. butC. soD. and11. I ________ a ping-pong ball and my sister ________ a ping-pong bat (球拍).A. have; haveB. has; hasC. has; haveD. have; has12. He wants ________ a bike.A. buyB. buysC. to buyD. buying13. When ________ your friend ________ his homework every day?A. does; doB. do; doesC. does; doesD. do; do14. —How often do you go to the museum?—________.A. A time a weekB. Second times a weekC. Twice a weekD. One time a week15. —Let’s play ping-pong.—________.A. That sounds goodB. No, I don’tC. OK! It’s boringD. Fine, thanks四、写出下列动词的三单形式go__________ catch_________ brush___________ wash___________do________ like________ have___________ watch_______drink ________ fly___________ say_______ fix ___________cry_________ read___________ sing_________ buy__________study_______ stay ____________ guess__________ look _________pass__________ carry __________ finish__________ plan____________teach__________ sell____________ lie___________ play___________五. 改错(划出错误的地方,将正确的写在横线上)1. Is your brother speak English? __________________2. Does he likes going fishing? __________________3. He is comes from China. __________________4. Mr. Wu teachs us English. __________________5. She doesn't her homework on Sundays. _________________六. 句型转换1. My little brother does his homework in the room. (改为一般疑问句)2. Running often helps me keep fit. (改为一般疑问句)3. They play basketball on the playground. (改为否定句)4. She does shopping on Sundays. (改为否定句).5. She goes swimming every week. (对划线部分提问)七、首字母填空Tom is like any other teenager. He goes to school, d__1 his homework, meets his friends and e___2 doing sports. But between 5:30 p. m. and 6:30 p. m. from Monday to Friday, Tom does something d____3 . He cooks dinner for all his f 4 : mum, dad, younger brother Joe and older sister Emma.“I think it’s important for teenagers to learn h 5 to cook. Maths and English are important, of c 6 , but they need other skills too to help them in today’s world. ” Tom’s mother says.“I like c 7 and I think I’m really g 8 at it. None of my friends cooks. I don’t k 9 why. It isn’t difficult and it’s great f 10 !” Tom says. In the past, Tom didn’t help out at home and his mum wasn’t happy with him. Today, things are different and she is very happy.八、阅读理解Dear Julia,I’m very happy to have a new friend. I live in a small village of Yunnan. There are lots of mountains around us. So it is difficult for us to go to school. We usually go to school on foot. I usually get up at five thirty in the morning. I eat breakfast at six o’clock. Then I walk alone for about two hours. On the way to school, I can’t see anyone.I get to school at about eight o' clock. We have three classes in the morning and two classes in the afternoon. There are many clubs in our school. I want to join the music club, because I can play the guitar. I can't speak English very well, so I want to join the English club. My good friend Yang Na likes drawing. She wants to join the art club.What about your school life? Please write and tell me.Yours,Liu Mei1. Liu Mei goes to school ______ every day.A. on footB. by busC. by bikeD. by subway2. How long does it take Liu Mei to go to school every day?A. About half an hour.B. About an hour.C. About two hours.D. About three hours.3. How many classes are there in Liu Mei’s school every day? ______A. Two.B. Three.C. Five.D. Seven.4. Yang Na wants to join the ______club.A. musicB. EnglishC. sportsD. art5. This article (文章)is about ______.A. school clubsB. school lifeC. school rulesD. Liu Mei’s families2024-2025学年译林版(2024)七年级英语上册Unit 2 Hobbies单元检测一、单词拼写1. jog2. paint3. paint4. paper-cutting5. all kinds of6. fit7. around8. change9. life lives 10. museum11. thing 12. apart take apart 13. fix 14. endless 15. scientist16. dream 17. true come true 18. at the weekend 19. club 20. member 21. geography 22. p.m. 23. volleyball 24. each 25. once26. join 27. meeting 28. sound 29. plan 30. questionnaire31. role 32. model 33. role model 34. design 35. skill36. painting 37. artist 38. master 39. work 40. become41. designer 42. future 43. in the future 44. hope二、音标找不同1-5 CBACD 6-10 DDACC 11-15 BCACD二、拓展题,看音标写单词(适当变换形式)1. reading2. geography3. classmates4. scientist5. museums6. kinds7. artists8. each9. volleyballs 10. swimming11. apart 12. meeting 13. changes 14. endless 15. true三、单项选择(本大题共15小题,每小题1分,共15分)1-5 ADCAB 6-10 DBBBB 11-15 DCACA四、写出下列动词的三单形式go___goes___ catch__catche___ brush___brushes____ wash____washes___ do___does___ like__likes___ have___has____ watch___watches___ drink __drinks___ fly__flies___ say__says__ fix ___fixes_____cry___cries___ read____reads____ sing___sings___ buy___buys____ study__studies__ stay __stays____ guess___guesses___ look __looks___ pass___passes__ carry ___carries____ finish___finishes___ plan___plans__ teach___teaches__ sell___sells___ lie___lies____ play__plays____五. 改错(划出错误的地方,将正确的写在横线上)1. Is your brother speak English? ____Does_______2. Does he likes going fishing? _____like_______3. He is comes from China. ______/________4. Mr. Wu teachs us English. _____teaches_______5. She doesn't /\ her homework on Sundays. ____do______六. 句型转换1. Does your little brother do his homework in the room?2. Does running often help you keep fit?3. They don’t play basketball on the playground.4. She doe sn’t do shopping on Sundays.5. How often does she go swimming?七、首字母填空1. does2. enjoys3. different4. family5. how6. course7. cooking8. good9. know 10. fun八、阅读理解1-5 ACCDB。
单词听写1. 步行________2. (表示方式)乘(prep.) ________3. 公共汽车(n.) ________4. 飞机(n.) ________5. 出租车(n.) ________6. (大)船(n.) ________7. 地铁(n.)________ 8. 火车(n.)________9. 慢的(adj.)________ 10. 减少;降低(adv.)________11. 慢下来________ 12. 停下(v.)________单词听写答案1. on foot2. by3. bus4. plane5. taxi6. ship7. subway8. train9. slow 10. down 11. slow down 12. stopUnit 2 达标检测卷时间:40分钟满分:100分听力(30分) 笔试(70分)总分题号一二三四五六七八九十十一得分第一部分听力(30分)一听录音,按听到的顺序为以下图片排序。
(5分)() () () () ()二听录音,判断以下图片是(T)否(F)与听到的内容相符。
(5分)() () () () () 三听对话,判断下列句子是(T)否(F)与对话内容相符。
(10分)() 1. The traffic light is red now. Please stop.() 2. He can ride a bike to the hospital.() 3. She often goes to work by subway.() 4. She goes to Qingdao by ship.() 5. He drives a car to school. He must drive slowly.四根据所听短文,填写字母,完成表格。
(10分)TomJennyDannySamLucyA=always U=usually S=sometimes N=never第二部分笔试(70分)五读一读,判断下列单词中画线部分的发音是(T)否(F)相同。
Unit 2 单元拓展阅读训练 2023—2024学年人教新目标GoFor It! 英语七年级下册一、阅读理解It is Friday today. When Toby gets home, it’s a quarter to six.He puts (放) his schoolbag on the sofa and takes out his basketball under the table. Every Friday, he plays basketball for an hour and a half with his classmates after school. It’s his favorite ball game.Mrs. Smith says to Toby, “Dear, your daddy and I will (将) go to Uncle Tim’s home tomorrow (明天) morning. We will be there for two days. Do you want to go?”Uncle Tim has a son and his name is Nick. Toby likes playing with Nick. He thinks Nick is a funny boy.“Yes, I do,” says Toby.“Good, but I think you will have a very busy Friday evening,” says Mrs. Smith.Toby says,“That’s okay, Mom. I am busy this evening, but I’ll have a very interesting weekend. It’s worth (值得) it.”1.Where does Toby put his schoolbag?A.On the sofa.B.On the table.C.On the bed.D.Under the table.2.What ball game does Toby like best?A.Baseball.B.Basketball.C.Soccer.D.Tennis. 3.When will the family go to Uncle Tim’s home?A.On Friday evening.B.On Saturday morning.C.On Saturday afternoon.D.On Sunday morning.4.Who is Nick?A.Toby’s classmate.B.Toby’s dad.C.Toby’s uncle.D.Toby’s cousin.5.Which of the following is TRUE (正确的)?A.Toby’s school finishes at 5:45 pm.B.Toby will be home on the weekend.C.Toby thinks it’s boring to play with Nick.D.Toby has lots of homework to do this evening.Mr. Clark is a reporter(记者)from a TV station. He wants to know whether(是否)thestudents have healthy habits or not. Here are some of the students’ answers.Mary White: Yeah! I think my habits are very healthy. Every day I get up early and go to bed early. Every morning I eat breakfast and eat well. I eat fruit and vegetables every day. And every day I play soccer for two hours with my friends.Jimmy Brown: No, I don’t. I get up late so I have no time to eat breakfast. For lunch, I usually eat lots of hamburgers. I know they are not good for me but I like them. I never play sports. In the evening, after I finish my homework, I usually play computer games. I go to bed late, at about eleven o’clock.Grace Miller: Yes. My habits are very good. I never eat unhealthy food. Ice-cream tastes good but I never eat it. It’s unhealthy. Every day I get up at six o’clock and go to bed at eight thirty. I eat well and play sports every day. I run with my father for half an hour in the morning. So, I am very healthy.6.Mary ________ with her friends every day.A.goes to school B.does her homework C.plays soccer D.has lunch 7.What does Jimmy usually have for lunch?A.Hamburgers.B.Vegetables.C.Chicken.D.Fruit. 8.Jimmy goes to bed at about ________.A.9:00B.10:00C.11:00D.12:00 9.Why doesn’t Grace eat ice-cream?A.Because she doesn’t like it.B.Because It’s not healthy.C.Because it doesn’t taste good.D.Because her parents don’t let her eat it. 10.Grace runs with her ________ in the morning.A.mother B.friend C.brother D.father二、完形填空阅读下面一篇短文,理解大意,然后从各小题的四个选项中选出一个最佳答案,使短文festival. I’m happy that I can dance well 19 all the students and teachers. Third, there is no need to 20 that most boys like basketball. It’s a healthy sport. I like it very much.11.A.games B.subjects C.clubs D.stories 12.A.five B.two C.three D.four 13.A.teachers B.girls C.students D.men 14.A.us B.them C.him D.her 15.A.too B.then C.all D.also 16.A.so B.or C.because D.but 17.A.some B.any C.no D.first 18.A.photo B.show C.watch D.dancer 19.A.with B.to C.for D.in 20.A.talk B.say C.speak D.call三、语法选择Hi! My name is Simon. I’m sixteen and I 21 from Ireland. I am Irish. My family isn’t very big. I have two brothers. I live with 22 and my parents. I don’t have a sister but I want 23 one.I live 24 Dublin, the capital of Ireland. Dublin is 25 small city. I like it very much 26 there are many young people here. We can 27 many things here like going to the cinema, to the theatre or to the park. There are also good gyms(体育馆)for people to do sports. I think all the people in the city 28 very nice. But I 29 like the weather in Dublin. I don’t like the rain or the cloudy days. It is really very cold in winter.Last Saturday, my family gave me a great birthday party 30 some of my fiends came. My best friend Mathew didn’t come because he went to Cork to see 31 grandmother. At the party, we sang songs happily and ate different kinds of food. I got ten presents(礼物)and one of them was 32 new bike. I love riding a bike. 21.A.comes B.came C.coming D.come 22.A.them B.they C.their D.him 23.A.has B.had C.to have D.having 24.A.in B.on C.at D.to25.A.a B.an C.the D./ 26.A.but B.because C.so D.if27.A.do B.doing C.does D.to do 28.A.is B.am C.are D.play 29.A.don’t B.am not C.doesn’t D.is not 30.A.but B.and C.or D.when 31.A.his B.he C.him D.he’s 32.A./B.an C.the D.a四、任务型阅读Mike is a schoolboy. He likes sleeping (睡觉) very much. So he is often late for school. His mother often asks him to get up early in the morning. But Mike just says, “Wait amother worries about (担心) him.It’s six o’clock in the morning. Mike doesn’t get up. “Mike, it’s time to get up,” his mother says.“Wait a moment, Mom. I don’t want to get up now. Let me sleep for a moment. ”Half an hour later, his mother says again, “Get up, Mike! It’s time to have breakfast. ”“I don’t want to have breakfast. I only want to sleep. ” “But your father gets up now. ” Mike gets up quickly, “ Oh, no! I have English at eight o’clock. ①I don’t want to be late for his class.”根据短文内容完成下列任务。
拓展模块Unit 2单元检测一、单项选择1. She was _______ t hat evening and talkative.A. in friendly moodB. in a friendly moodC. at friend moodD. at a friend mood2. I can 'go to the cin ema with you, as I have to do.A. someth ing elseB. anything otherC. else someth ingD. other someth ing3. The great man ______ i n this house with is wife.A. used to livi ngB. used to liveC. was used to liveD. was used livi ng4. I _______ the quarrel betwee n Tom and Jack.A. be in volved inB. got in volved inC. am in volved atD. got in volved on5. He ______ a job in New York and the family followed.A. succeed in findB. succeeded in findingC. succeeded findingD. successful in finding6. ____ Joh n 'kind help, we fini shed early.A. Tha nk forB. Tha nks forC. Tha nk toD. Tha nks to7.1 may forget to repay the five pounds you lent me uni ess you it.A. say me ofB. remi nd me ofC. remi nd me toD. tell me8. Seldom _____ a ny mistakes duri ng my past few years of work ing here.A. work I makeB. did I makeC. I did makeD. shall I make9. Hardly ___ to the farm ___ they started work ing.A. had the stude nts got; whe nB. did the stude nts get; whe nC. the stude nts got; andD. got the stude nts; the n10. ___ the big fire thousa nds of people lost their homes.A. BecauseB. SinceC. As a resultD. As a result of11. I dlike to look in the paper and see what ' at Capital Thertre this week.A. onB. take placeC. aboutD. happe n12. Was it in 1968 _____ the American astronaut succeeded ______ landing on the room?A. whe n; onB. that; onC. whe n; inD. that; in13. It will be the seco nd time I the film.A. have see nB. seeC. had see nD. saw14. When the computers _____ , they would repair them for us. A. broke out B. broke dow n C. broke away D. broke off15. We have ______ water for n early a whole week.A. be out ofB. out ofC. bee n out ofD. stopped16. After the party, he her home.A. in sisted on see ingB. in sisted in see ingC. in sisted on seeD. in sisted in see17. The baby was so happy that its face _ wit pleasure.A. litB. lit outC. lit upD. is lit up18. The workers ____ boss _____ better work ing con diti ons.A. argued; forB. argued with; becauseC. argued; aga instD. argued with; for19. The boss made ____ clear that nothing could be take n out of the factory.A. thatB. thisC. itD. it is20. —_______ ?—She'svery beautiful.A. Who 'your girl friend?B. What 'your girl friend like?C. How is your girl friend?D. What does your girl friend like?21. He spe nt _____ doing the whole clea ning.A. an or two daysB. one day or twoC. one or two daysD. one and two days22. The house is ___ small for a family of six.A. so muchB. very muchC. too muchD. much too23. It 'harvest time and the farmers are busy _ rice in the fields.A. get i nB. getti ng inC. get onD. gett ing on24. It 'hard ____ so much work in one day.A. for him doingB. f him doingC. for him to doD. of him to do25. My aunt _____ to see us. She'll be here soon.A. comesB. is comingC. had comeD. have come二、完形填空Mike had head trouble now and the n. He went to _1_ a n ew, young doctor. But this young man just fini shed training a few weeks ago and did n 'really know _2_.He pretended to examine Mike _3_. Then he said, Well there's nothing really wrong with you. I 'm glad to say your only trouble is that you worry about _4_.“ bee," the young doctor said, __5_ you _6_ this before?Yes, doctor."Oh …well …You v e got it again. There is _7_. Please _8_the same medicine as you got before.1. A. watch B. book C. see D. no tice2. A. what was Mike 'illness B. that was Mike 'illnessC. what Mike 'illness wasD. that Mike 'sillness was3. A. careful B. carefully C. careless D. carelessly4. A. much too B. to much C. many too D. too many5. A. Did B. Do C. Have D. Had6. A. to have B. have C. had D. had had7. A. someth ing new B. new someth ing C. nothing new D. new nothing8. A. take B. had C. eat D. drink三阅读理解AAlmost every one likes to eat apples . Appletrees grow in n early every part of the world . The Un ited States produces more apples tha n any other country exceptFrance . The states of Washi ngton and New York grow the most apples . New York is on the east coast and Wash ington is on the west coast n ear Can ada .Apples are red , yellow or gree n . They are very popular in the Un ited States . Many people like to take apples to offices or schools to eat with their lunches . Most American people are often too busy or too tired to cook dinner, so they often have their lunches very simply . Apples juice is also a popular drink and apple pie is the favorite dessert of many America ns .The state of Wash ington is pround of its apples . The trees there produce n early five billion apples every year ---one apple for every man , woman and child in the entir world .1. The sentence apple are very popular in the United States means ___ A America n apples taste good B we can see apples everywhere in America n C America ns like to eat apples D America n regard apples as their best food .2. From the passage, we all know ___A France produces the most apples in the worldB there are more apples in America tha n in FranceC the apples in France are better than those in AmericaD apple trees are easy to grow in New York3. Ma ny America ns like to eat apples duri ng lunch , because they at noon .A eat no thi ng but applesB feel it better to eat apples tha n anything elseC always eat simple foodD can get apples easily4 Apple pie. "is the favorites dessert of many America n The sentence meansA n ot many America ns like to have apple pie after dinnerB America ns like apple pie"better tha n any other sweet dishC America ns think of apple pies as the best fruitD apple pie is the only food for dessert5. The state of Wash ington is pound of its apples because they thinkA every one in the world can share their happ in essB their apple trees are thebest in the worldC their apples are better than any of the other fruitsD they can produce as many apples as people all over the worldBAfter marriage, Edis on took his wife to the new house he had bought at 97 Wright Street , in New York . as soon as they were in the house , along together for the first time , Edis on bega n to think about a problem he was havi ng with one of his inven tio ns . He told Mary , his new wife , that he had to go to his office , but would soon retur n . Married only one hour , the new husba nd ran to his bus in ess .Mary spe nt her first day as a wife alone , fearful and tearful . Late that ni ght Joseph Murry , one of Edis on 'friends and workers , came to the office.Why are you here , Tom? "Murry shouted at Edis on .What time is it ? "Edison asked .It is twelve at night , "Murry answeredI' must go home , "said Edis on .Only then did he realize that he was married that day .6. Which of the followi ng is right ?A On the ni ght of his marriage, Edis on was still busy with his inven ti ons .B Edis on did n 'like to live with his new wifeC Edis on liked to be aloneD Edsi on was a pers on with bad manners7. In this story , fun" means to ___A workB jump up rapidlyC make a quick tripD go in a hurry8. Why did Edis on go to his office ?Because heA didn 'love MaryB put his heart into his inventionsC wan ted to see MurryD quarreled with his new wife9. At that ni ght , Edis on 'new wifeA felt very angryB felt very sadC was very happyD thought she should n 'have got married to Edis on10. In thgis story the writer tells us that Edis onA had made a new inventionB didn 'love his new wifeC devoted his life to the inventionsD was a great scientist一单词辩音拓展模块Unit 2单词测试1. dislike2. compla in3. attitude4. positive5. choice6. optimistic7. treatme nt8. situati on9. injury10. men tion(amaze) attitude toward life.8. Why not choose the one we love and live (happy)!9. And some others have to work hard to earn their (live).10.This is one of the greatest (true).11.He wan dered the streets, (try) to find a way to make some money.12.But it lit up (glad).13.Tell the (true), Joe.14.He lay down and cried (he) to sleep..15.The boy lifted the heavy stone with all his (stro ng).16.I don't that -(mea n).17. My is poor now, I can 't anythin g.(memory)四单词拼写1. He always had someth ing (明确的)to say.2. You can either choose an i (乐观的)(态度)or choose a(悲观的)(态度).3. Several years later I was (牵涉)in a car accide nt.4. Sport shoes were not shoes (除非)they were Nike or Reebok.5. Very well, since you (坚持)on it. ” Said the general.6. He led the dog away and (消失)upstairs.1. s[lenee A. satisfy B. hoi [day C. I jving D. des jgn2. moment A. m odern B. pr omise C. br oken D. r ocket3. stayed A. help ed B. repli ed C. work ed D. fetch ed4. prai se A. practi se B. promi se C. phra se D. purpo se5. cycle A. catch B. circle C. camera D. course 二单词连线A decid ing which oneB completely certai nC the things that are happe ning in a certa in placeD thinking that good things will happe nE the way you think or feel about sthF hurt sb or sthG not like sb or sthH the way that you behave towards sb or sthI speak or write a little about sthJ say ing that you do not like sth三单词拼写和词形变换。