七下数学计算题100道
- 格式:doc
- 大小:187.50 KB
- 文档页数:5
七年级数学下册复习试卷——计算题&解答题姓名__________ 班别___________ 座号___________一、计算题:1、)2()9()3(32422ab b a b a -⋅-÷2、 ()()733222x x x ÷⋅-3、)2()(b a b a -++-4、22(1)3(2)x x x ---+5、,4)12(332312++--x x x 6、)346(21)21(3223223ab b a a ab b a a ++-+-7、(x+2)(y+3)-(x+1)(y-2) 8、22)2)(2(y y x y x ++-9、x(x -2)-(x+5)(x -5) 10、⎪⎭⎫⎝⎛+-⎪⎭⎫ ⎝⎛--y x y x 22411、)94)(32)(23(22x y x y y x +--- 12、()()3`122122++-+a a13、()()()2112+--+x x x 14、(x -3y)(x+3y)-(x -3y)215、23(1)(1)(21)x x x +--- 16、22)23()23(y x y x --+17、22)()(y x y x -+ 18、x y y x ÷-+])3[(2219、0.125100×810020、()xyxy xy y x 183********÷--21、3022)2(21)x (4554---÷⎪⎭⎫ ⎝⎛--π-+⎪⎭⎫ ⎝⎛-÷⎪⎭⎫ ⎝⎛ 22、(1211200622332141)()()()-⨯+----二、用乘法公式计算下列各题:23、999×1001 24、1992-25、298 26、2010200820092⨯-三、解答题::27、化简求值:)4)(12()12(2+-+-a a a ,其中2-=a 。
28、化简求值2(2)2()()2(3)x y x y x y y x y +--++-,其中12,2x y =-=。
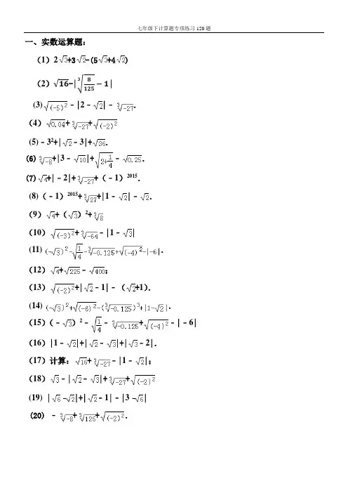
一、实数运算题:(1)2+3-(5+4)3−1|(2)√16-|√8125(3)﹣|2﹣|﹣.(4)++(5)﹣32+|﹣3|+.(6)+|3﹣|+﹣.(7)+|﹣2|++(﹣1)2015.(8)(﹣1)2015++|1﹣|﹣.(9)+()2+(10)+﹣|1﹣|(11).(12)+﹣;(13)+|﹣1|﹣(+1).(14).(15)(﹣)2﹣﹣+﹣|﹣6|(16)|1﹣|+|﹣|+|﹣2|.(17)计算:+﹣|1﹣|;(18)﹣|﹣|++(19) ||+|﹣1|﹣|3|(20)﹣++.二、求下列各式中x的值:(1)4x2=25(2)4x2=81;(3)4(x﹣1)2=9.(4)4(x+3)2﹣16=0(5)(x+1)2﹣3=0;(6)(2x+10)3=﹣27.(7)5x3=﹣40(8)3x3+4=﹣20.(9)27(x﹣1)3﹣8=0.(10)27(x﹣3)3=﹣8.三、解方程组:1.解方程组:.2.解方程组.3.用指定的方法解下列方程组:(1)(代入法)(2)(加减法)4.解方程组.5.解下列方程组:(1)(2).6.解方程组:.7.解方程组.8.解方程组:9.解方程组.10.解方程组.11.解方程组:.12.解方程组:(1)(2)(用加减法解).13.解方程组:(1)(2).14.解方程(组):(1)2﹣=(2).15.解方程组:.16.解方程组:.17.用适当方法解下列方程组.(1)(2).18.解方程组:(1)(2).19.解方程组(1)(2).20.解下列方程组(1)(2).21.解下列方程组:(1)(2).22.解方程组(1);(2).23.(1)(2).24..25.解下列方程组(1)(2).四、解不等式(组):1.解下列不等式,并把它的解集在数轴上表示出来.4﹣2(x﹣3)≥4(x+1)2.解不等式,并把解集在数轴上表示出来:2(x+1)>x.3.解不等式﹣1≤,并把解集在数轴上表示出来.4.解不等式组:.5.解不等式组,并把解集在数轴上表示出来.6.解不等式组:.7.解不等式组:.8.解不等式组并将解集在数轴上表示出来.9.解不等式组:,并把它的解集在数轴上表示出来.10.解不等式组:并在数轴上表示解集.11.解不等式组:12.解不等式组:.13.解不等式组:.14.解不等式组:.15.解不等式≥4,并将其解集在数轴上表示出来.16.解不等式﹣≥﹣1(把解集在数轴上表示出来)17.解不等式:x﹣<2x+.18.解不等式组并把其解集在数轴上表示出来.19.解不等式组:.20.解不等式组,并在数轴上将解集表示出来.21.(1)解不等式:<x+2;(2)解不等式组:.22.(1)计算(2)解方程组(3)解不等式组并把它的解集在数轴上表示出来.23.求不等式组的所有整数解.24.解不等式2x﹣7<5﹣2x.25.解不等式:>1﹣.26.解不等式5x+15>0,并将解集在数轴上表示出来.27.解不等式,并把解集表示在数轴上..28.求不等式2x﹣3≥x的解集.29.解下列不等式(组),并把解集表示在数轴上.(1)(2).30.解下列不等式组,并把不等式组的解集表示在数轴上(1).(2).31.解下列不等式(组):(1)≥﹣1;(2).32.解不等式(组)并在数轴上表示解集(1)(x+2)(x﹣2)+5>(x﹣5)(x+1)(2).33.解不等式(组)(1)3(1﹣x)<2(x+9);(2).34.解不等式(组)(1)﹣1<(2).35.解下列不等式(组),并把解集在数轴上表示出来.(1)3(1﹣x)﹣2(4﹣2x)≤0(2).36.解不等式(组),并把解集在数轴上表示出来.(1)5(x﹣1)>6x﹣10(2).37.求的自然数解.38.解不等式:.39.解下列不等式,并把解集在数轴上表示出来:(1)3(x+2)﹣8≥1﹣2(x﹣1);(2)﹣1>.40.解不等式组:.。
七下数学第一章计算题全文共四篇示例,供读者参考第一篇示例:【七下数学第一章计算题】一、加减法计算题1. 37 + 45 = ?2. 68 - 29 = ?3. 54 + 78 = ?4. 93 - 47 = ?5. 126 + 189 = ?6. 345 - 187 = ?7. 453 + 298 = ?8. 687 - 269 = ?9. 876 + 543 = ?10. 984 - 367 = ?在做加减法计算时,我们要注意进位和退位的方法,保证计算的准确性。
加法计算时,要先把同位数相加,再进行进位,进位时要注意进位数的标注,以免计算错误。
减法计算时,要先判断被减数是否大于减数,若大于则直接相减,若小于则进行退位操作,保证计算的准确性。
在做乘除法计算时,我们要注意乘法和除法的计算步骤。
乘法计算时,要先把乘数和被乘数相乘得到部分积,再对各个部分积进行相加,得到最终积。
除法计算时,要先把被除数除以除数,得到商,再判断余数是否为0,若为0则商为整数,若不为0则商为带分数。
通过做以上的计算题,我们可以提高自己的计算能力,巩固基础知识,为以后的数学学习打下良好的基础。
希望大家能够认真对待数学学习,每天多做练习,提高自己的数学水平。
加油!第二篇示例:第一章计算题在七年级下册的数学课本中,第一章主要在复习与拓展六年级学过的知识,其中就包括整体的数学计算,在这一章节中,学生们将学到如何进行加减乘除等基本的数学运算,不仅要求准确无误地计算,还要能够灵活应用到各种实际问题中。
下面就让我们一起来看一看这一章节中的一些典型的计算题吧。
1. 求解算式:72 ÷ 3 + 6 × 2 = ?解答:首先按照乘除优先加减的原则进行计算,先算乘法,6 × 2 = 12,再算除法,72 ÷ 3 = 24,最后加法,24 + 12 = 36。
答案为36。
2. 将1.24、1.01、0.93 这三个数从小到大排列。
初一年级100道数学计算题和答案解析1. 计算:3 + 5 × 2 4 ÷ 2答案:13解析:根据运算法则,先乘除后加减,所以先计算5 × 2 = 10,再计算4 ÷ 2 = 2,进行加减运算,得出结果为13。
2. 计算:(4 + 6) × (5 3)答案:18解析:先计算括号内的加法和减法,4 + 6 = 10,5 3 = 2,然后将两个结果相乘,得出18。
3. 计算:8 ÷ 2(2 + 3)答案:1解析:先计算括号内的加法,2 + 3 = 5,然后将8除以2,得4,用4除以5,得出结果为1。
4. 计算:7 × 7 7 ÷ 7答案:48解析:先计算乘法,7 × 7 = 49,再计算除法,7 ÷ 7 = 1,进行减法运算,得出结果为48。
5. 计算:9 + 6 ÷ 3 2 × 4答案:1解析:根据运算法则,先乘除后加减。
先计算6 ÷ 3 = 2,再计算2 × 4 = 8,进行加减运算,得出结果为1。
6. 计算:15 3 × 2 + 4 ÷ 2答案:10解析:处理乘法,3 × 2 = 6,然后进行除法,4 ÷ 2 = 2。
接着,将15减去6,再加上2,得到最终答案10。
7. 计算:4² 6²答案:20解析:这里涉及到平方的计算,4² = 16,6² = 36。
将16减去36,得到的结果是20。
8. 计算:(8 5) × (3 + 2)答案:18解析:先解决括号内的运算,8 5 = 3,3 + 2 = 5。
然后将两个结果相乘,3 × 5 = 18。
9. 计算:12 ÷ (2 + 1)答案:4解析:计算括号内的加法,2 + 1 = 3。
接着,用12除以3,得到的结果是4。
七年级数学题100道计算题一、七年级数学计算题1 - 20题(人教版)1. 计算:(-3)+5- 解析:- 有理数加法运算,异号两数相加,取绝对值较大的符号,并用较大的绝对值减去较小的绝对值。
- | - 3| = 3,|5| = 5,5>3,所以结果为正。
- 5 - 3 = 2,所以(-3)+5 = 2。
2. 计算:4 - (-2)- 解析:- 减去一个数等于加上这个数的相反数。
- 所以4-(-2)=4 + 2 = 6。
3. 计算:(-2)×3- 解析:- 两数相乘,异号得负,并把绝对值相乘。
- | - 2|×|3|=2×3 = 6,所以(-2)×3=-6。
4. 计算:(-4)÷2- 解析:- 两数相除,异号得负,并把绝对值相除。
- | - 4|÷|2| = 4÷2 = 2,所以(-4)÷2=-2。
5. 计算:(-3)^2- 解析:- 表示两个-3相乘。
- (-3)×(-3)=9。
6. 计算:-2^2- 解析:- 先计算指数运算,这里的指数运算优先于负号。
- 2^2 = 4,所以-2^2=-4。
7. 计算:(2x + 3y)+(x - 2y)- 解析:- 去括号法则:括号前是正号,把括号和它前面的正号去掉后,原括号里各项的符号都不改变。
- 所以原式=2x+3y + x - 2y=(2x + x)+(3y - 2y)=3x + y。
8. 计算:(3a - 2b)-(a - b)- 解析:- 去括号法则:括号前是负号,把括号和它前面的负号去掉后,原括号里各项的符号都要改变。
- 所以原式=3a - 2b - a + b=(3a - a)+(-2b + b)=2a - b。
9. 计算:3x×2x- 解析:- 根据单项式乘法法则,系数与系数相乘,同底数幂相乘。
- 3×2× x× x = 6x^1 + 1=6x^2。
七年级下数学计算题一、整式的运算类1. 计算:(2x + 3y)(3x - 2y)- 解析:- 根据多项式乘法法则,用一个多项式的各项去乘另一个多项式的每一项,再把所得的积相加。
- 原式=2x×3x - 2x×2y+3y×3x - 3y×2y- = 6x^2-4xy + 9xy-6y^2- =6x^2+5xy - 6y^2。
2. 计算:(3a - 2b)^2- 解析:- 根据完全平方公式(a - b)^2=a^2-2ab + b^2,这里a = 3a,b = 2b。
- 原式=(3a)^2-2×3a×2b+(2b)^2- = 9a^2-12ab + 4b^2。
3. 化简:3x(2x^2-x + 1)-2x^2(3x - 2)- 解析:- 先分别进行单项式乘多项式运算。
- 原式=3x×2x^2-3x× x+3x×1-(2x^2×3x - 2x^2×2)- = 6x^3-3x^2+3x-(6x^3-4x^2)- 去括号得6x^3-3x^2+3x - 6x^3+4x^2- 合并同类项得x^2+3x。
4. 计算:(x + 2y)(x - 2y)(x^2+4y^2)- 解析:- 先利用平方差公式(a + b)(a - b)=a^2-b^2计算前两个括号。
- 原式=(x^2-4y^2)(x^2+4y^2)- 再利用平方差公式得x^4-16y^4。
5. 化简:(2m + n - 1)(2m - n - 1)- 解析:- 把式子变形为[(2m - 1)+n][(2m - 1)-n]- 利用平方差公式得(2m - 1)^2-n^2- 再根据完全平方公式展开(2m - 1)^2=4m^2-4m + 1- 所以原式=4m^2-4m + 1 - n^2。
二、一元一次方程类6. 解方程:3x+5 = 2x - 1- 解析:- 移项,将含x的项移到等号左边,常数项移到等号右边,得3x - 2x=-1 - 5。
精品 Word不等式与不等式组(100道)用不等式表示:1、a 与1的和是正数;2、x 的21与y 的31的差是非负数;3、x 的2倍与1的和大于3;4、a 的一半与4的差的绝对值不小于a .5、x 的2倍减去1不小于x 与3的和;6、a 与b 的平方和是非负数;7、y 的2倍加上3的和大于-2且小于4; 8、a 减去5的差的绝对值不大于解不等式(组),并在数轴上表示它们的解集 9、213-x (x-1)≥1;10、234-≥--x11、⎩⎨⎧>+>-821213x x x 12、⎩⎨⎧<-<-xx x 332312 13、)7(4)54(3)13(2-->+--x x x x ;14、42713752--≥+-x x x ; 15、⎩⎨⎧<+>-81312x x 16、⎩⎨⎧-≥++<-7255223x x x x17、 ⎩⎨⎧->++>+x x x x 421132218、8223-<+x x 19、x x 4923+≥- 20、)1(5)32(2+<+x x 21、0)7(319≤+-x 22、31222+≥+x x 23、223125+<-+x x 24、5223-<+x x25、234->-x 26、)1(281)2(3--≥-+y y 27、1213<--m m 28、)2(3)]2(2[3-->--x x x x 29、215329323+≤---x x x 30、41328)1(3--<++x x 31、 )1(52)]1(21[21-≤+-x x x 32、22416->--x x33、x x x 212416-≤-- 34、7)1(68)2(5+-<+-x x 35、46)3(25->--x x36、1215312≤+--x x 37、31222-≥+x x 38、8223-<+x x39、x x 4923+≥-40、)1(5)32(2+<+x x 41、0)7(319≤+-x 42、31222+≥+x x 43、 223125+<-+x x 44、7)1(68)2(5+-<+-x x 45、)2(3)]2(2[3-->--x x x x46、1215312≤+--x x 47、 215329323+≤---x x x精品 Word48、11(1)223x x -<- 49、)1(52)]1(21[21-≤+-x x x 50、41328)1(3--<++x x 51、⋅->+-+2503.0.02.003.05.09.04.0x x x 52、⎩⎨⎧≥-≥-.04,012x x53、⎩⎨⎧>+≤-.074,03x x54、⎪⎩⎪⎨⎧+>-<-.3342,121x x x x55、-5<6-2x <3.56、⎪⎩⎪⎨⎧⋅>-<-322,352x x x x57、⎪⎩⎪⎨⎧->---->-.6)2(3)3(2,132x x xx58、⎪⎩⎪⎨⎧+>-≤+).2(28,142x x x59、.234512x x x -≤-≤- 60、532(1)314(2)2x x x -≥⎧⎪⎨-<⎪⎩61、⎪⎩⎪⎨⎧≥--+.052,1372x x x φ62、⎪⎩⎪⎨⎧-<-->+.43)1(4,1321x x x x63、14321<--<-x64、-(x+1)<6+2(x-1)65、()31x 2221x ->- 66、1132x x +-<67、3-x-14≥2+3(x+1)868、361633->---x x 69、9-411x>x +3270、x -3x-24 ≥2(1+x)3 -171、⎩⎨⎧-++-148112x <x >x x72、⎪⎩⎪⎨⎧--+≤+x <x x 21352113273、-7≤2(13)7x +≤9 74、4100,54,11213.x x x x x -<⎧⎪+>⎨⎪-≥+⎩75、⎩⎨⎧-≤-+-x x x >x 31421325)(76、⎩⎨⎧-≤-+-xx x >x 31421325)(77、5(x+2)≥1-2(x-1)78、2731205y y y +>-⎧⎪-⎨≥⎪⎩79、42x --3<522x + 80、32242539x x x x x +>⎧⎪->-⎨⎪->-⎩81、x 取什么值时,代数式251x-的值不小于代数式4323+-x的值 82、K 取何值时,方程k x 332-=5(x-k)+1的解是非负数83、k 为何值时,等式|-24+3a|+0232=⎪⎭⎫⎝⎛--b k a 中的b 是负数? 3a-18是多少? 84、若方程组212x y x y m+=⎧⎨-=⎩的解x 、y 的值都不大于1,求m 的取值范围85、若a 同时满足不等式042<-a 和213>-a ,化简 21---a a .86、已知方程组⎩⎨⎧+=---=+ay x ay x 317的解,x 为非正数,y 为负数(1)求a 的取值范围(2)化简|a-3|+|a+2|(3)在a 的取值范围中,当a 为何整数时,不等式2ax+x >2a+1的解为x <187、求不等式组⎩⎨⎧-≥--<-15764653x x xx 的自然数解。