(完整word版)3至6年级英语单词表
- 格式:doc
- 大小:81.51 KB
- 文档页数:36
新人教版PEP小学3-6年级英语单词表(全8册)In Unit 1.we learn about school supplies。
We learn the names of different items like a ruler。
pencil。
eraser。
crayon。
bag。
pen。
pencil box。
and book。
We also learn the word "no" which means "not." It's important to know the names of these items so we can use them in class.Unit 2 is all about colors。
We learn the names of different colors like red。
green。
yellow。
blue。
black。
brown。
white。
and orange。
We also learn the word "OK" which means "good" or "okay." We also learn the word "mum" which means "mom." Knowing colors XXX because we can use them to XXX us.In Unit 3.we learn about body parts。
We learn the names of different body parts like the face。
ear。
eye。
nose。
mouth。
arm。
hand。
head。
body。
leg。
and foot。
Knowing these body parts XXX may have.Unit 4 is all about animals。
新人教版PEP英语单词表(三年级至六年级全8册)In Unit 1.we learn about some basic school supplies。
These include a ruler。
pencil。
eraser。
crayon。
bag。
pen。
pencil box。
and book。
We also learn the word "no" which means "not" or "don't." It'XXX.Unit 2 is all about colors。
We learn the names of different colors。
such as red。
green。
yellow。
blue。
black。
brown。
white。
and orange。
We also learn the word "OK" which means "good" or "alright." We may use these colors to describe things we see around us or in our ork.In Unit 3.we learn about different parts of the body。
such as the face。
ear。
eye。
nose。
mouth。
arm。
hand。
head。
body。
leg。
and foot。
Knowing these body parts can help us XXX we may feel。
We also learn the word "school" which is where we goto learn and grow.Unit 4 introduces us to some common animals。
人教版小学英语·三年级上册·单词表Unit 1pen [pen]钢笔pencil ['pensəl]铅笔pencil-case ['pensəlkeis]铅笔盒ruler ['ru:lə]尺子eraser [i'reizə]橡皮crayon ['kreiən]蜡笔book [buk] 书bag [bæɡ]书包sharpener['ʃɑ:pənə]卷笔刀school [sku:l]学校Unit 2head[hed] 头face[feis] 脸nose[nəuz] 鼻子mouth ]mauθ] 嘴eye [ai]眼睛ear [iə]耳朵arm[ɑ:m] 胳膊finger['fiŋɡə] 手指leg [leɡ] 腿foot [fut] 脚body ['bɔdi]身体Unit 3 red [red]红色的yellow ['jeləu]黄色的green [ɡri:n]绿色的blue [blu:]蓝色的purple ['pə:pl] 紫色的white [hwait] 白色的black [blæk]黑色的orange ['ɔrindʒ] 橙色的pink [piŋk]粉色的brown [braun]棕色的Unit 4cat [kæt] 猫dog [dɔɡ, dɔ:ɡ] 狗monkey ['mʌŋki]猴子panda ['pændə]熊猫rabbit ['ræbit]兔子duck dʌk] 鸭子pig [piɡ] 猪bird [bə:d] 鸟bear [bεə] 熊elephant ['elifənt]大象mouse ]maus, mauz]老鼠squirrel ['skwə:rəl] 松鼠Unit 5cake [keik] 蛋糕bread [bred]面包hot dog[hɔt dɔɡ] 热狗hamburger ['hæmbə:ɡə]汉堡包chicken ['tʃikin]鸡肉French [frentʃ] Fries 榨薯条Coke [kəuk] 可乐juice [dʒu:s] 果汁milk[milk]牛奶water['wɔ:tə] 水tea[ti:]茶coffee ['kɔfi]咖啡Unit 6one [wʌn] 一two [tu:] 二three[θri:]三four [fɔ:] 四five [faiv] 五six[siks] 六seven['sevən] 七eight [eit] 八nine[nain] 九ten[ten]十doll [dɔl]玩具娃娃boat [bəut]小船ball [bɔ:l] 球kite[kait] 风筝balloon ]bə'lu:n] 气球car [kɑ:]小汽车plane [plein] 飞机人教版小学英语·三年级下册·单词表Unit 1boy [bɔi]男孩girl [ɡə:l] 女孩teacher ['ti:tʃə] 教师student ['stju:dənt]学生this [ðis, 弱ðəs] 这个my 我的friend [frend] 朋友I’m=I am 我是nice [nais]好的;愉快的good morning ['mɔ:niŋ]早上好good afternoon [,ɑ:ftə:'nu:n]" 下午好meet [mi:t]遇见;碰见goodbye [,ɡud'bai] 再见too [tu:] 也;太Unit 2father ['fɑ:ðə] 父亲;爸爸dad 爸爸口语mother ['mʌðə]母亲;妈妈mom 妈妈口语man [mæn] 男人woman ['wumən]女人grandmother ['ɡrænd,mʌðə] 外祖母grandma ['ɡrændmɑ:](口语(外)祖母grandfather ['ɡrænd,fɑ:ðə](外)祖父grandpa ['ɡrændpɑ:](口语(外)祖父sister ['sistə] 姐妹brother ['brʌðə] 兄妹let’s=let [let] us [ʌs] 让我们great [ɡreit] 太好了really ['riəli, 'ri:li] 真地;确切地and ænd, 和;并且how [hau] 多么;怎么样Unit 3eleven [i'levən]十一twelve [twelv] 十二thirteen 'θə:'ti:n]十三fourteen ['fɔ:'ti:n]十四fifteen ['fifti:n]十五sixteen ['siks'ti:n] 十六seventeen [,sevən'ti:n] 十七eighteen ['ei'ti:n] 十八nineteen [,nain'ti:n] 十九twenty ['twenti] 二十how [hau] many ['meni]多少can [kæn, kən] 能够;可以look [luk] at [强æt, 弱ət]看;瞧Unit 4peach [pi:tʃ] 桃pear[pεə] 梨orange ['ɔrindʒ] 橙子watermelon ['wɔ:təmelən]西瓜apple ['æpl] 苹果banana [bə'nɑ:nə] 香蕉strawberry ['strɔ:bəri]草莓grape [ɡreip]葡萄like [laik]喜欢some [sʌm, 一些;某些thanks [θæŋks]多谢Unit 5bus [bʌs]公共汽车bike [baik] 自行车taxi ['tæksi] 出租车jeep [dʒi:p]吉普车desk [desk]课桌chair [tʃεə]椅子Walkman[wɔ:kmæn] 随身听lamp [læmp]台灯your [jɔ:, jəu, 弱jə] 你的;你们的zoo [zu:] 动物园Unit 6small [smɔ:l] 小的big [biɡ]大的long [lɔŋ, lɔ:ŋ]长的short [ʃɔ:t] 短的;矮的tall [tɔ:l] 高的giraffe [dʒi'rɑ:f] 长颈鹿deer [diə] 鹿小学英语四年级上册单词表Unit1window[ ' windəu ]窗户board [ bɔ:d ]写字板light ['lait ]灯;管灯picture[ 'piktʃə ]画;图画door[ dɔ: ] 门.floor[ flɔ: ] 地板.classroom[ 'klɑ:srum ]教室many[ 'meni ]许多的our[ 'auə ] 我们的.classmate[ 'klɑ:smeit ]同学have a look[ luk ]看一看seat[ si:t ] 座位.near[ niə ]在…的旁边new[ nju: ]新的where[wεə ]在哪里computer[ kəm'pju:tə ]计算机teacher’s desk[ desk ]讲台wall[ wɔ:l ]墙fan[ fæn ]扇子;电扇clean[ kli:n ]打扫;清洁;擦干净的unit2 good idea [ ɡud ] [ ai'diə]好主意all right[ ɔ:l ] [ rait ]好吧;好的good job [dʒɔb]干得好Chinese book [ buk ]语文书English book 英语书math book[ mæθ ]数学书schoolbag [ 'sku:lbæɡ ]书包story -book['stɔ:ri ]故事书notebook [ 'nəutbuk ]笔记本colour [ 'kʌlə ]颜色fat [ fæt ]胖的may [ mei ]可以sure [ ʃuə] 当然可以.here you are[ hiə ]给你twenty [ 'twenti ]-one 二十一thirty [ 'θə:ti ] 三十.thirty-one 三十一forty [ 'fɔ:ti ]四十forty-one 四十一fifty[ 'fifti ]五十too many 太多了heavy [ 'hevi ] 重的;沉重的. sorry [ 'sɔ:ri ]对不起.unit3long hair [ lɔŋ] [ hεə ] 长头发.short hair[ ʃɔ:t ]短头发thin[ θin ]瘦的strong[ strɔŋ ]强壮的quiet[ 'kwaiət ]安静的.friend[ frend ] 朋友.Chinese [trai'ni:z] n.中文,汉语;中国人adj. 中国的,中国人的;photo[ 'fəutəu ] 照片. .music[ 'mju:zik ]音乐science[ 'saiəns ] 科学.sports[ spɔ:ts ] 体育运动.painting[ 'peintiŋ ]绘画computer game[ kəm'pju:tə ] [ ɡeim ] 电脑游戏her[ hə: ]她的right [ rait ]对的;正确的unit4study [ 'stʌdi ] 书房.bathroom [ 'bɑ:θrum ]卫生间bedroom [ 'bedrum ]卧室living [ 'liviŋ ] room 起居室kitchen [ 'kitʃin ]厨房fish [ fiʃ] 鱼. .room [ ru:m ]房间open [ 'əupən ]打开close [ kləuz ] 关上.phone [ fəun ]电话sofa [ 'səufə ]沙发shelf [ ʃelf ] 书架. .fridge [ fridʒ]冰箱unit5rice [ rais ]米饭noodle(s)['nu:dl]面条(复数)soup [ su:p ]汤vegetable [ 'vedʒitəbl ] 蔬菜. beef [ bi:f ]牛肉dinner [ 'dinə ] 晚餐;正餐. wait [ weit ] 等.hungry [ 'hʌŋɡri ]饥饿的knife [ naif ]刀chopstick(s)['tʃɔpstik ]筷子spoon [ spu:n ]勺子plate [ pleit ]盘子plane [ plein ]飞机fork [ fɔ:k ]叉子pass [ pɑ:s]传递ready[ 'redi ] 准备好了.try[ trai]尝试helpyourself[ help ] [jɔ:'self]随便吃show[ ʃəu ]展示yummy[ 'jʌmi ] 好吃的.use[ ju:z ]使用unit6family[ 'fæmili ]家庭parents['pɛərənts]父母uncle[ 'ʌŋkl ] 叔叔;舅舅.aunt[ ɑ:nt ]姨;姑姑;婶;.baby[ 'beibi ] 婴儿. .people[ 'pi:pl ]人member[ 'membə ]成员.only[ 'əunli ]只有;仅仅puppy[ 'pʌpi ]小狗baseball player ['beisbɔ:l] [ 'pleiə ] 棒球运动员driver[ draivə ] 司机.doctor[ dɔktə ]医生farm[ fɑ:m ]农场farmer[ 'fɑ:mə ]农民nurse[ nə:s ]护士四年级下册Unit1playground['pleiɡraund ]操场garden ['ɡɑ:dn ]花园teacher,s-office['ɔfis]教师办公室library[ 'laibrəri ]图书馆.canteen[ kæn'ti:n ]食堂first[ fə:st ]第一.visitor[ 'vizitə ]客人;参观者there[ ðεə ]哪儿;那里lunch[ lʌntʃ]午餐this way[ wei ]这边that [ðæt]那;那个.art room[ɑ:t] [ru:m]绘画教室computer room[kəm'pju:tə ru:m] 计算机教室washroom['wɔʃrum]卫生间music room['mju:zik]音乐教室.gym[ dʒim ]体育馆.TV room 电视机房second[ 'sekənd ]第二cool [ ku: ]订好的;酷的.Unit2English class 英语课music class[ klɑ:s ]音乐课breakfast[ 'brekfəst ] 早餐. .P.E. class 体育课over[ 'əuvə ]结束go to the playground[ 'pleiɡraund ] . 去操场just a minute['minit]再多一会go home[ həum ]回家kid[ kid ]小孩;孩子run[ rʌn ] 跑.get up [ ɡet ][ ʌp ]起床go to school [sku:l]上学go to bed 上床睡觉ready[ 'redi ]准备好的hurry[ 'hʌri ]抓紧;赶快.math[ mæθ ]数学Chinese['tʃai'ni:z]n. 中文,汉语;中国人adj. 中国的,中国人的;中国话的china['tʃainə] n. 中国;瓷器England['iŋglənd]n.英格兰;英国English [ 'iŋgliʃ]a.英国的;英国人的;英语的n.英语;英国人P.E.体育class[ klɑ:s]班级;课程music[ 'mju:zik ] 音乐.for[ fɔ] 为;给.Unit3jacket[ 'dʒækit ]夹克衫.shirt[ ʃə:t ]衬衫.T-shirt [ skə:t ] T 恤衫skirt[ skə:t ] 裙子.dress[ dres ] 连衣裙.sweater [ 'swetə ]毛衣. .whose[ hu:z ]谁的no [nəu]不;不是not[ nɔt ]不;不是的jeans[dʒi:nz]牛仔裤pants[ pænts ]长裤parents ['pɛərənts]父母亲socks[sɔks]袜子shoes [ʃuːz]鞋子shorts[ʃɔ:ts]短裤these[ ði:z ] 这些. .those[ ðəuz ] 那些. .what .for[ wɔt ]为什么neighbour[ 'neibə ]邻居colour[ 'kʌlə ]颜色unit4warm[ wɔ:m ]暖和的cold[ kəuld ]寒冷的cool[ ku:l ]凉爽的;酷的hot[ hɔt ]炎热的.weather[ 'weðə ] 天气.weather report[ ri'pɔ:t ] 天气预报.wear[ wεə ]穿football['futbɔ:l]足球.put on 穿上. put on 动词,表示穿上衣服的动词,强调动作例: I get up and put on my coat.wear 动词,表示穿上衣服的动作,也可表示穿着衣服的状态,强调状态例: Today, he wears a red hat.rain[ rein ]n.雨vi.下雨rainy[ 'reini ] 下雨的. now[ nau ]现在snow[ snəu ]n.雪;vi.下雪snowy[ 'snəui ]下雪的.wind[ wind ]n.风windy[ 'windi ]有风的cloud[ klaud ]云cloudy[ 'klaudi ]多云的sun [ sʌn ] 太阳.sunny[ 'sʌni ]晴朗的not much[ mʌtʃ]没什么New York 纽约matter[ 'mætə ]事情;麻烦have to 必须;不得不unit5colourful['kʌləful ]色彩丰富的pretty[ 'priti ]漂亮的;可爱的cheap[ tʃi:p ] 便宜的. expensive[iks'pensiv]昂贵的. sixty[ 'siksti(:) ]六十seventy[ 'sevənti ] 七十. hundred[ 'hʌndrəd ]百how much 多少钱ninety-nine[ 'nainti ]九十九sneakers ['sni:kəz]胶底帆布鞋;网球鞋slippers ['slipə]拖鞋sandals ['sandl]凉鞋boots[ bu:ts ]靴子want[ wənt ] 想要.pair[ pεə ] 一双;一对.a pair of 一双son[ sʌn ]儿子sun[ sʌn ]太阳size[ saiz ]尺码take [ teik ]买.them[ ðem ]它(他、她)们unit6sheep[ʃi:p]绵羊horse[hɔ:s]马hen[ hen ]母鸡lamb[ læm ]小羊;羔羊goat[ gəut ]山羊.cow[ kau ] 奶牛.donkey['dɔŋki]驴子key[ ki: ] 钥匙.rabbit[ 'ræbit ]兔子.pig[ pi g ]猪duck[ dʌk ]鸭子tomoto[ tə'ma:təu]西红柿cucumber[ 'kju:kʌmbə ]黄瓜potato[ pə'teitəu ]土豆onion[ 'ənjən ] 洋葱.carrot[ 'kærət ]胡萝卜fresh[ freʃ]新鲜的there [ ðεə ] .be 有人教版小学英语·五年级上册·单词表Unit 1Young [jʌŋ] (年轻的)funny ['fʌni] (滑稽可笑的)tall [tɔ:l] (高的strong [strɔ:ŋ, strɔ:ŋ](强壮的)kind [kaind](和蔼的、亲切的)old [əuld](年老的)short [ʃɔ:t](矮的)thin [θin](瘦的)Mr (先生)from [frɔm, frəm]从;来自Canada ['kænədə]加拿大like [laik] (像、喜欢)know [nəu] 知道principal ['prinsəpəl] 校长university [,ju:ni'və:səti] student['stju:dənt, 'stu:-] 大学生strict [strikt](严格的)smart [smɑ:t](聪明的、巧妙的)active['æktiv] (积极的、活跃的)Miss [mis] 小姐lady['leidi] 女士;小姐;夫人so much[mʌtʃ] 很;非常fun[fʌn] 有趣;逗笑quiet ['kwaiət](安静的、文静的)very['veri](很、非常)but[强bʌt, 弱bət, bɔt] (但是)Unit 2Monday['mʌndi, 'mʌndei](星期一)Tuesday ['tju:zdi](星期二)Wednesday ['wenzdi; -dei] (星期三)Thursday ['θə:zdi; -dei](星期四)Friday ['fraidi] (星期五)Moral ['mɔrəl, 'mɔ:-] Education[,edju:’keiʃən] 思想品德课Social ['səuʃəl] Studies ['stʌdiz]社会课Saturday ['sætədi; -dei] (星期六)Sunday ['sʌndei; -di] (星期天)day [dei] (天)wait [weit] 等等;等待tomorrow [tə'mɔrəu, -'mɔ:-] 明天often ['ɔfən, 'ɔftən, 'ɔ:-] 经常love [lʌv] 爱;热爱have [hæv, həv, əv, v](有、吃)on [ɔn](在…..时候)do homework ['həumwə:k](做作业)watch[wɔtʃ] TV (看电视)read[ri:d] books (读书)Unit 3cabbage[['kæbidʒ] 洋白菜;卷心菜pork[pɔ:k] 猪肉mutton['mʌtən] 羊肉eggplant'eɡplɑ:nt,-plænt] (茄子)fish[fiʃ] (鱼)green[ɡri:n]beans[bi:n] (青豆)tofu['təufu:] (豆腐)potato[pə'teitəu (土豆)tomato[tə'mɑ:təu, -'mei-] (西红柿)for [fɔ:, fə](为)lunch [lʌntʃ](中餐)we[wi](我们)menu ['menju:, mə'nju:]菜单sound [saund]听起来Mew Mew 猫咪healthy['helθi]健康的tasty ['teisti](好吃的)sweet [[swi:t]] (甜的)sour ['sauə](酸的)fresh [freʃ](新鲜的)salty ['sɔ:lti] (咸的)favourite ['feivərit] (最喜欢的)they are [ɑ:](他们是)fruit [fru:t](水果)grape [ɡreip](葡萄)now [nau] 现在have to 不得不eat [i:t]吃Unit 4empty ['empti] the trash [træʃ] 倒垃圾cook[kuk] the meals [mi:ls] (烧饭)water['wɔ:tə] the flowers ['flauə] (浇花)sweep [swi:p] the floor [flɔ:] (扫地)clean [kli:n] the bedroom ['bedru(:)m] (打扫卧室)helpful ['helpful] 有帮助的at home [æt həum]在家里ill [il]有病的wash [wɔʃ, wɔ: ʃ] the windows['windəu] 擦窗户just [dʒʌst] do it 就这么干吧do housework ['hauswə:k] 做家务make [meik] the bed(铺床)set[set] the table ['teibl](摆饭桌)wash[wɔʃ, wɔ: ʃ] the clothes[kləuðz] (洗衣服)do the dishes [diʃ](洗碗碟)put away[ə'wei] the clothes[kləuðz] 收拾衣服have a try[trai] 试一试robot['rəubɔt, -bət, 'rɔbət] 机器人play[plei] chess[tʃes] 下棋use[ju:z] a computer[kəm'pju:tə] (使用计算机)Unit 5air-conditioner['εəkən,diʃən] 空调curtain['kə:tən](窗帘)trash bin [træʃbin](垃圾箱)closet['klɔzit] (壁橱)mirror['mirə](镜子)end [end] table ['teibl] (床头柜)look at[luk æt] 看一看own [əun] 自己的flat [flæt] 公寓third [θə:d]第三的bedroom ['bedru(:)m] (卧室)kitchen ['kitʃin] (厨房)bathroom ['bɑ:θrum](卫生间)living ['liviŋ] room (客厅)in [in](在… 里面)on[ɔn](在…上面)under ['ʌndə] (在…下面)near [niə](在..旁边)behind [bi'haind] (在…后边)over ['əuvə] 在…上面In front of [in frɔnt ɔv] 在…前面clothes [kləuðz] (衣服)work [wə:k] 工作tell [tel]告诉;说Unit 6sky [skai]天空cloud [klaud] 云mountain ['mauntin]山;山脉river['rivə] (河流)flower['flauə] (花)grass [ɡrɑ:s, ɡræs](草)lake [leik](湖泊)forest['fɔrist](森林)path[pɑ:θ,pæθ](路)park[pɑ:k](公园)nature['neitʃə] park 自然公园farm[fɑ:m]农场holiday ['hɔlədi]假期picture['piktʃə] (照片)village ['vilidʒ]乡村;村庄city ['siti]城市house[haus, hauz](房子)bridge[bridʒ] (桥)tree[tri:] (树)road[rəud] (公路)building ['bildiŋ](建筑物)clean [kli:n](干净的)air [εə]空气run[rʌn] 跑;奔跑any['eni] 任何的;所有的人教版小学英语·五年级下册·单词表Unit 1do morning exercises ['eksəsaiz](晨练)eat[i:t] breakfast['brekfəst](吃早饭)have English class(上英语课)play[plei] sports[spɔ:ts](进行体育运动)eat dinner['dainə](吃晚饭)when[hwen](什么时候)about [ə'baut] 关于;大约policeman [pə'li:smən]警察work [wə:k]工作evening['i:vniŋ](夜晚;晚上)get up[ɡet ʌp](起床)at(在…… 点钟)usually['ju:ʒuəli](通常;一般)noon[nu:n](中午)tell[tel] 告诉;说climb[klaim] mountains ['mauntin](爬山)go shopping ['ʃɔpiŋ](购物;买东西)play the piano [pi'ænəu, pi'ɑ:-](弹钢琴)visit ['vizit] grandparents['ɡrænd,pεərənt](看望祖父母)go hiking[haiking](去远足)weekend[,wi:k'end, 'wi:kend](周末)often['ɔfən, 'ɔftən, 'ɔ:-](经常)sometimes['sʌmtaimz](有时候)rain [rein]下雨either['aiðə, 'i:-] 也next[nekst] 下一个Unit 2spring[spriŋ](春天)summer['sʌmə](夏天)fall[fɔ:l](秋天)winter['wintə](冬天)season['si:zən](季节)which[hwitʃ](哪一个)best[best](最;极)always['ɔ:lweiz, -wiz] 总是play with 玩…snow [snəu] 雪leaf[li:f](复数leaves)叶子up[ʌp]至北方或北方城市north[nɔ:θ]北方;向北方Halloween [,hæləu'i:n]万圣节之前夕Thanksgiving['θæŋks,ɡiviŋ; ,θæŋks'ɡ-]感恩节swim [swim](游泳)fly kites[kait](放风筝)skate [skeit](滑冰;滑冰鞋)make a snowman ['snəumæn](堆雪人)plant [plɑ:nt, plænt] trees [tri:](种树)why [hwai](为什么)because [bi'kɔz](因为)sleep [sli:p](睡觉)Unit 3Jan./January ['dʒænjuəri](一月)Feb./February ['dʒænjuəri](二月)Mar./March [mɑ:tʃ](三月)Apr./April ['eiprəl](四月)May [mei](五月)June [dʒu:n](六月)July [dʒu: 'lai](七月)Aug./Augest(八月)Sept./September [sep'tembə](九月)Oct./October[ɔk'təubə](十月)Nov./November[nəu'vembə](十一月)Dec./December[di'sembə](十二月)chart [tʃɑ:t]图表birthday['bə:θdei](生日)uncle['ʌŋkl](叔叔;舅舅)cousin['kʌzn] 堂(表)兄弟;堂(表)姐妹first [fə:st]第一second['sekənd] 第二third[θə:d] 第三forth[fɔ:θ]第四fifth[fifθ]第五eighth [eitθ, eiθ]第八ninth [nainθ]第九twelfth[twelfθ]第十二twentieth['twentiiθ]第二十send[send] 寄;发送e-card [kɑ:d]电子卡片her[hə:] (她的)able ['eibl]能everybody ['evri,bədi] 每个人then [ðen] 那么date [deit](日期)Unit 4draw [drɔ:] pictures ['piktʃəz](画画)cook [kuk] dinner ['dinə](做饭)read a book(看书)answer ['ɑ:nsə, 'æn-] the phone(接电话)talk [tɔ:k] 讲话Children’s['tʃɪldrən] Center['sentə] 儿童活动中心see you later['leitə] 再见listen ['lisən] to music ['mju:zik](听音乐)clean [kli:n] the room [ru:m, rum](打扫房间)write [rait] a letter ['letə](写信)write an e-mail(写电子邮件)mom(妈妈)grandpa ['ɡrændpɑ:](爷爷;外公)speak [spi:k] to 和…讲话call[kɔ:l] 打电话study['stʌdi](书房)Unit 5fly[flai](飞)jump[dʒʌmp](跳)walk[wɔ:k](走)run[rʌn](跑)swim[swim](游泳)kangaroo[,kænɡə'ru:](袋鼠)trunk [trʌŋk]象鼻sleep[sli:p](睡觉)climb[klaim](往上爬)fight[fait](打架)swing[swiŋ](荡;荡秋千)drink[driŋk]water['wɔ:tə, 'wɔ-](喝水)climber['klaimə] 攀登者Unit 6take pictures['piktʃəz](照相)watch[wɔtʃ, wɔ:tʃ] insects['insekt](观察昆虫)pick[pik] up leaves[li:vz](采摘树叶)do an experiment [ik'speriment, ek's-] (做实验)catch [kætʃ] butterfly ['bʌtəflai](捉蝴蝶)woods [wuds] 树木ant [ænt] 蚂蚁interesting ['intristiŋ,'intrəstiŋ] 有趣的honey ['hʌni](蜂蜜)thing [θiŋ] 东西;物count [kaunt] insects ['insekt](数昆虫)collect [kə'lekt] leaves [li:vz](收集树叶)wtite a report [ri'pɔ:t](写报告)play [plei]chess[tʃes](下棋)have a picnic ['piknik](举行野餐)him [him, im]他(宾格)leave ['li:v] 离开us[əs] 我们(宾格)over there[əuvə ðɛə]在那边人教版小学英语·六年级上册·单词表Unit 1by [bai] (经,乘)foot[fut] (脚)bike [baik] (自行车)bus [bʌs] (公共汽车)train [trein] ( 火车)plane [plein]飞机ship [ʃip] 船;舰subway ['sʌbwei] 地铁how [hau] (怎样)go to school(上学)then[ðen]怎样fifth [fifθ]第五traffic ['træfik](交通)traffic light ['lait](交通灯)traffic rule [ru:l](交通规则)stop [stɔp](停,停车站)wait [weit](等待)remember [ri'membə] 记住get to[ɡet tu:](到达)find [faind]寻找;找到difference ['difərəns]不同;区别same [seim]相同的every ['evri] 每个;所有的country ['kʌntri] 国家always ['ɔ:lweiz, -wiz] 总是mean [mi:n]意思是drive [draiv]驾驶right [rait] 右边的side [said] 边England ['iŋɡlənd]英国Australia [ɔ'streiljə]澳大利亚however [hau'evə]但是left [left]左边的if 如果must [mʌst, məst]必须know[nəu] 知道Unit 2library['laibrəri] ( 图书馆)post[pəust] office['ɔfis, 'ɔ:-] (邮局) hospital ['hɔspitəl] ( 医院)cinema['sinəmə] ( 电影院) bookstore['bukstɔ:] (书店)science ['saiəns] museum [mju:'ziəm] 科学博物馆excuse[ik'skju:z, ik'skju:s] me 对不起where[hwɛə] ( 在哪里,到哪里) please[pli:z] (请)next to[nekst tu:] (与…相邻)far [fɑ:] 远supermarket['sju:pə,mɑ:kit]超市bank [bæŋk]银行after school['ɑ:ftə sku:l] 放学以后want[wɔnt] 想要buy[bai] 买a pair[pɛə] of 一双shoe store][ ʃu:] [stɔ:] 鞋店get off[ɡet ɔf] 下车minute['minit] 分钟north [nɔ:θ]北south [sauθ, sauð]南east [i:st]东west[west] 西turn[tə:n] (转弯)right ][rait] ( 右边)left[left] ( 左边)straight[streit] (成直线地)then [ðen] (然后)twelfth [twelfθ] 第二十party ['pɑ:ti] 聚会;晚会tell [tel]告诉start [stɑ:t]开始take [teik]乘坐look for[luk fɔ:] 寻找Unit 3next week[nekst wi:k] ( 下周)this morning['mɔ:niŋ] (今天上午)this afternoon[,ɑ:ftə'nu:n] (今天下午) this evening['i:vniŋ] ( 今天晚上) tonight [tə'nait]今晚tomorrow [tə'mɔrəu]明天take a trip [trip] 去旅行read a magazine [,mæɡə'zi:n]阅读杂志go to the cinema ['sinəmə] 去看电影theme [θi:m]park [pɑ:k]主题公园the Great [ɡreit] Wall [wɔ:l]长城busy ['bizi] 忙碌的together [tə'ɡeðə]一起地comic ['kɔmik] book(漫画书)post [pəust] card [kɑ:d] ( 明信片) newspape ['nju:s,peipə, 'nju:z-] r( 报纸)magazine [,mæɡə'zi:n]杂志dictionary ['dikʃənəri] 词典;字典shoe store][ ʃu:] [stɔ:] 鞋店buy [bai] (购买)fruit stand [fru:t stænd]水果摊pet shop[pet ʃɔp] 宠物商店need[ni:d] 需要plant[plɑ:nt, plænt] 植物else[els] 其他;另外shop[ʃɔp] 商店Unit 4 hobby['hɔbi](爱好)ride a bike--riding a bike(骑自行车) dive--diving(跳水)playing the violin[,vaiə'lin] (拉小提琴) make kites—making kites(制作风筝) collect[kə'lekt] stamps[stæmp]—collecting stamps( 集邮)show[ʃəu] 展览pen pal [pen pæl]笔友dear[diə] 亲爱的twin[twin]双胞胎之一something ['sʌmθiŋ]某事物must [mʌst, məst]一定;肯定fun[fʌn] 快乐;乐趣with [wið]同…TV reporter[ri'pɔ:tə]电视台记者live –lives(居住)teach--teaches(教)go--goes(去)watch--watches(看)read--reads(读,看)does doesn’t=does notdifferent['difərənt] 不同的week [wi:k] 星期;周say [sei] 说soon [su:n]不久excited [ik'saitid] 兴奋的;激动的Unit 5singer ['siŋə] (歌唱家,歌手)writer ['raitə] (作家)actor ['æktə] ( 男演员)actress ['æktris] (女演员)artis ['ɑ:tist] t(画家)TV reporter [ri'pɔ:tə] (电视台记者) Hong Kong 香港show[ʃəu] 演出、表演engineer [,endʒi'niə] ( 工程师) accountant [ə'kauntənt] (会计) policeman [pə'li:smən] ( 男警察) salesperson ['seilz,pə:sən] ( 销售员) cleaner ['kli:nə] (清洁工)company ['kʌmpəni] 公司where [hwεə](在哪里,到哪里)work [wə:k](工作)factory ['fæktəri] 工厂design [di'zain]设计tip[tip] 有用的小建议help [help]帮助money ['mʌni]钱well[wel]好;对;满意地enjoy [in'dʒɔi]从…获得乐趣tourist ['tuərist] 旅行者;way [wei]路;道motor cycle['məutə'saikl] 摩托车police[pə'li:s] 警方;警察部门Unit 6rain[rein] (雨)cloud[klaud] (云)vapour['veipə] 蒸汽;水汽sun[sʌn] ( 太阳)stream[stri:m] ( 河,溪)come from(来自,从…来) shine [ʃain]照耀become [bi'kɔm]变成little ['litl]小的drop [drɔp]一滴wake[weik] up 醒来feel ['fi:l]感觉到think[θiŋk]想;思考meet[mi:t] 遇见high[hai] 高的other ['ɔðə]其他的fall[fɔ:l]落下down[daun]向下into['intu:]进入come out [kʌm aut]露出again[ə'ɡen]又seed[si:d] ( 种子)soil[sɔil] ( 土壤)sprout[spraut] (苗,芽)plant[plɑ:nt, plænt] (植物,种植) should[ʃud, ʃəd] ( 应该)then[ðen] (然后)garden ['ɡɑ:dn]花园easy['i:zi] 简单的put[put] 放several['sevərəl] 一些day [dei]天see[si:] 看见pot [pɔt]锅碗瓢盆lovely['lʌvli] 可爱的makesure[ʃuə, ʃɔ:] 核实month[mʌnθ] 月份still[stil] 仍然hardly ['hɑ:dli]几乎不人教版小学英语·六年级下册·单词表Unit 1 tall—taller[tɔ:lə]更高的short—shorter[ʃɔ:tə] 更矮的strong—stronger[strɒŋə]更强壮的old—older[əuldə] 年龄更大的young—younger['jʌŋɡə] 更年轻的cm(centimeter) 厘米than [ðæn, ðən]与…相比较funnier['fʌniə] 更滑稽的big—bigger[bigə]更大的heavy—heavier[ˈheviə] 更重的long—longer[lɔŋə]更长的thin—thinner ['θi nə] 更瘦的small—smaller[smɔ:lə](体型)更小feet['fi:t, fi:t]脚(复数)size [saiz]号码;尺码wear[wεə] 穿meter[mi:tə] 米ton[tʌn, tuŋ]吨each[i:tʃ] 各自;每个squid[skwid] 鱿鱼lobster['lɔbstə] 龙虾shark[ʃɑ:k] 鲨鱼deep[di:p] 深的seal[si:l] 海豹sperm[spə:m] whale[hweil] 抹香鲸killer['kilə] whale 虎鲸even ['i:vən]甚至Unit 2have a fever['fi:və] 发烧have a sore[sɔ:] throat[θrəut]喉咙疼have a cold[kəuld]感冒have a toothache['tu:θeik] 牙疼have a headache['hedeik] 头疼matter['mætə]事情,麻烦sore 疼的feel 感觉sick[sik] 不舒服的;有病的hurt[hə:t]疼痛nose[nəuz] 鼻子people['pi:pl] 人们flu[flu:] 流感know[nəu] 知道might [mait]可以;能worry['wɔri, 'wə:ri] 烦恼;担忧medicine['medisin] 药drink [driŋk]饮料stay[stei] 在;逗留better['betə] 更好的soon [su:n]立刻;不久tired['taiəd]疲劳的,累的excited[ik'saitid]兴奋的angry['æŋɡri]生气的happy['hæpi]高兴的bored[bɔ:d]无聊的,烦人的sad[sæd] 忧伤的,悲伤的trip[trip] 旅行fail [feil]不及格;失败test [test]测试hear[hiə] 听见match[mætʃ] 比赛between[bi'twi:n] 在…之间pass[pɑ:s, pæs] 传递kick[kik] 踢a little['litl] 有些goal[ɡəul] 得分bounce[bauns] 反弹off 距;离;离开another[ə'nʌðə] 另一个gues s[ɡes] 猜测win[win](过去式won)赢game[ɡeim]比赛laugh [lɑ:f, læf] at因…而发笑Unit 3 watch—watched[wɔtʃt] 看wash—washed[wɔʃt] 洗clean—cleaned[kli:nt]打扫play—played[pleit]玩visit—visited[visited] 看望do—didlast weekend 上一个周末go—went 去go to a park—went to a park 去公园go swimming—went swimming 去游泳go fishing—went fishing 去钓鱼read—read 读go hiking—went hiking 去郊游yesterday['jestədi,-dei] 昨天study['stʌdi](过去式studied)学习tongue[tɔŋ] twister['twistə] 绕口令fiy(过去式flew) 飞return[[ri'tə:n]] 送回;归还swim[swim](过去式swam)游泳Unit 4learn[lə:n] Chinese—learned Chinese 学汉语sing[siŋ] and dance[dɑ:ns,dæns]—sang[sæŋ]and danced 唱歌和跳舞eat good food—ate[et,eit] good food 吃好吃的食物take pictures—took[tuk] pictures 照相climb—climbed 爬have—hadbuypresents['prezənts,pri'zents]—bought[bɔ:t] presents 买礼物row[rəu] a boat[bəut]—rowed a boat 划船see[si:] elephant['elifənt]—saw[sɔ:] elephant 看大象go skiing—went skiing 去滑雪go ice-skating—wentice-skating['skeitiŋ]去滑冰how 怎么,如何get—got 到达last 上一个的,仅余的,留在最后的cousin['kʌzn] 堂(表)兄弟;堂(表)姐妹relax[ri'læks] 放松prepare[pri'pεə] 准备。
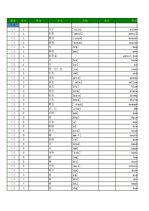
三至六年级英语单词表三年级上册。
- Unit 1.- ruler ['ruːlə(r)],名词,尺子。
- pencil ['pensl],名词,铅笔。
- eraser [ɪ'reɪzə(r)],名词,橡皮。
- crayon ['kreɪən],名词,蜡笔。
- bag [bæɡ],名词,包。
- pen [pen],名词,钢笔。
- pencil box ['pensl bɒks],名词短语,铅笔盒。
- book [bʊk],名词,书。
- no [nəʊ],副词,不。
- your [jɔː(r)],形容词性物主代词,你的;你们的。
- Unit 2.- red [red],形容词,红色(的)- green [ɡriːn],形容词,绿色(的)- yellow ['jeləʊ],形容词,黄色(的)- blue [bluː],形容词,蓝色(的)- black [blæk],形容词,黑色(的)- brown [braʊn],形容词,棕色(的)- white [waɪt],形容词,白色(的)- orange ['ɒrɪndʒ],形容词/名词,橙色(的);橙子。
- OK [əʊ'keɪ],感叹词,好;行。
- mum [mʌm],名词,妈妈(美式英语:mom)- Unit 3.- face [feɪs],名词,脸。
- ear [ɪə(r)],名词,耳朵。
- eye [aɪ],名词,眼睛。
- nose [nəʊz],名词,鼻子。
- mouth [maʊθ],名词,嘴。
- arm [ɑːm],名词,胳膊。
- hand [hænd],名词,手。
- head [hed],名词,头。
- body ['bɒdi],名词,身体。
- leg [leɡ],名词,腿。
- foot [fʊt],名词,脚(复数:feet)- Unit 4.- duck [dʌk],名词,鸭子。
三年级上册单词Unit1Cat [kæt]猫monkey['mʌŋki]猴子dog[dɒg]狗duck [dʌk] 鸭子panda['pændə] 熊猫bear[beə]熊pig[pig]猪rabbit['ræbit]兔子bird[bɜːd]鸟mouse[maʊs]老鼠Unit2book[bʊk]书bag[bæg]书包pen[pen]钢笔pencil['pens(ə)l; -sil]铅笔pencil-box['penslbɔks]铅笔盒ruler['ruːlə]尺eraser[i'reizə]橡皮sharpener['ʃɑːpənə]卷笔刀glue[gluː]胶marker['mɑːkə]马克笔Unit3nose[nəʊz]鼻子eye[ai]眼睛face[feis]脸mouth[maʊθ]口,嘴head[hed]头ear[iə]耳朵neck[nek]脖子arm[ɑːm]手臂hand[hænd]手leg[leg]腿knee[niː]膝盖foot[fʊt]脚Unit4doll[dɒl]洋娃娃ball[bɔːl]球kite[kait]风筝balloon[bə'luːn]气球car[kɑː]汽车bus[bʌs]公共汽车bike[baik]自行车taxi['tæksi]出租汽车train[trein]火车ship[ʃip]船plane[plein]飞机boat[bəʊt]小船Unit5red[red]红色的blue[bluː]蓝色的yellow['jeləʊ]黄色的green[griːn]绿色的purple['pɜːp(ə)l]紫色的brown[braʊn]棕色的white[wait]白色的black[blæk]黑色的pink[piŋk]粉红的orange['ɒrin(d)ʒ]橙色的grey[grei]灰色的Unit6hamburger['hæmbɜːgə]汉堡包hot dog[hɒt][dɒg]热狗Coke[kəʊk]可乐cake[keik]蛋糕egg[eg]蛋orange['ɒrin(d)ʒ]橙;桔子pear[peə]梨子apple['æp(ə)l]苹果banana[bə'nɑːnə]香蕉milk[milk]牛奶juice[dʒuːs]果汁water['wɔːtə]水rice[rais]米饭noodles['nu:dlz]面条chicken['tʃikən]鸡肉人教精通版小学英语三年级下册unit1共10个单词chair[tʃer]n.椅子Chinese book[,tʃaɪ'ni:z bʊk]语文书classroom['klɑ:sru:m]n.教室crayon['kreɪən]n.蜡笔;蜡笔画desk[desk]n.书桌,写字台English book['ɪŋglɪʃbʊk]英语书marker['mɑ:kər]n.书签;记分员;标识物;作school[sku:l]n.学校storybook['stɔ:ribuk]n.故事书;小说water bottle['wɔ:tə(r)'bɔtl]水瓶,水壶unit2共12个单词eight[eɪt]num.八eleven[ɪ'levən]num.十一five[faɪv]num.五four[fɔ:]num.四nine[naɪn]num.九one[wʌn]pron.一seven['sevən]num.七six[sɪks]num.六ten[ten]num.十three[θri: ]num.三twelve[twelv]num.十二two[tu:]num.二unit3共10个单词aunt[ɑ:nt]n.伯母;舅母;婶;姑;姨brother['brʌðə]n.兄;弟daughter['dɔ:tə]n.女儿father['fɑ:ðə]n.父亲grandfather['ɡrænd,fɑ:ðə]n.爷爷;外公grandmother['ɡræn,mʌðə]n.奶奶;外婆mother['mʌðə]n.母亲sister['sɪstə]n.姐;妹son[sʌn]n.儿子;后代uncle['ʌŋkəl]n.叔;伯;舅;姑夫;姨父unit4共10个单词bread[bred]n.面包candy['kændi]n.糖果coffee['kɔfi]n.咖啡doughnut['dəunʌt]n.[计]圆环图;油炸圈饼fruit[fru:t]n.水果;果实grapes[greips]n.葡萄(grape的复数)honey['hʌnɪ]n.蜂蜜ice cream['ais'kri:m]n.冰淇淋jam[dʒæm]n.果酱;阻塞mango['mæŋɡəu]n.芒果unit5共10个单词elephant['elɪfənt]n.象kangaroo[,kæŋgə'ru:]n.袋鼠,大袋鼠lion['laɪən]n.狮子mosquito[məs'ki:təu]n.蚊子,蚊虫nest[nest]n.巢;窝owl[aul]n.[动]猫头鹰;枭;惯于晚parrot['pærət]n.鹦鹉quail[kweil]vi.感到恐惧;畏缩,胆怯rooster['ru:stə]n.公鸡tiger['taɪɡə]n.老虎unit6共11个单词box[bɒks]n.盒子,箱子coat[kəʊt]n.外套skirt[skɜ:t]n.女裙sweater['swetə]n.厚运动衫,毛衣T-shirt['ti:ʃɜ:t]n.T恤衫;短袖无领汗衫uniform['ju:nifɔ:m]n.制服vest[vest]n.背心,内衣watch[wɒtʃ]vt.观看,注视;当心,注意yacht[jɔt]vi.乘游艇,驾游艇zebra['zi:brə]n.斑马zip[zip]n.拉链四年级上课本英语单词Unit11、China['tʃaɪnə]中国2、America[ə'merikə]美国3、England['iŋɡlənd]英国4、Singapore[,siŋɡə'pɔ:]新加坡5、Canada['kænədə]加拿大6、good[gʊd]好的7、friend[frend]朋友8、brother['brʌðə]兄弟9、sister['sɪstə]姐妹10、boy[bɒɪ]男孩11、girl[gɜːl]女孩12、teacher['tiːtʃə]教师13、farmer['fɑːmə]农民14、postman['pəʊs(t)mən]邮递员15、doctor['dɒktə]医生16、nurse[nɜːs]护士17、driver['draɪvə]司机,驾驶员Unit21、class[klɑːs]班级2、grade[greɪd]年级3、one[wʌn]一4、two[tuː]二5、three[θriː]三6、four[fɔː]四7、thirteen[θɜː'tiːn;'θɜːtiːn]十三8、fourteen[fɔː'tiːn;'fɔːtiːn]十四9、five[faɪv]五10、six[sɪks]六11、fifteen[fɪf'tiːn;'fɪftiːn]十五12、sixteen[sɪks'tiːn;'sɪkstiːn]十六13、seven['sev(ə)n]七14、eight[eɪt]八15、seventeen[sev(ə)n'tiːn]十七16、eighteen[eɪ'tiːn;'eɪtiːn]十八17、nine[naɪn]九18、ten[ten]十19、nineteen[naɪn'tiːn;'naɪntiːn]十九20、twenty['twentɪ]二十Unit31、pineapple['paɪnæp(ə)l]菠萝2、lemon['lemən]柠檬3、apple['æp(ə)l]苹果4、pear[peə]梨5、watermelon西瓜6、kiwi fruit['kiːwiː; -wɪ][fruːt]猕猴桃7、orange['ɒrɪn(d)ʒ]橙子,橘子8、banana[bə'nɑːnə]香蕉9、potato[pə'teɪtəʊ]土豆,马铃薯10、tomato[tə'mɑːtəʊ]西红柿11、carrot['kærət]胡萝卜12、cucumber['kjuːkʌmbə]黄瓜13、eggplant['egplɑːnt]茄子14、green pepper[griːn]['pepə]青椒Unit41、fine[faɪn](天气)晴朗的2、nice[naɪs]好的,令人愉快的3、warm[wɔːm]温暖的4、cool[kuːl]凉爽的5、hot[hɒt]炎热的6、cold[kəʊld]寒冷的7、sunny['sʌnɪ]晴朗的8、cloudy['klaʊdɪ]多云的,阴天的9、windy['wɪndɪ]有风的,多风的10、rainy['reɪnɪ]下雨的,多雨的11、snowy['snəʊɪ]下雪的,多雪的Unit51、cap[kæp](无边的)帽子2、hat[hæt](有边的)帽子3、T-shirt[tiː][ʃɜːt]T恤衫4、dress[dres]女服,连衣裙5、blouse['blaʊz]女衬衫6、jacket['dʒækɪt]短上衣,夹克衫7、raincoat['reɪnkəʊt]雨衣8、sweater['swetə]毛线衫,毛衣9、skirt[skɜːt]短裙10、shirt[ʃɜːt]衬衫11、shorts[ʃɔːts]短裤12、jeans[dʒinz]牛仔裤13、socks[sɔks]短袜14、shoes[ʃuːz]鞋子Unit61、big[bɪg]大的2、small[smɔːl]小的3、long[lɒŋ]长的4、tall[tɔːl]高的5、short[ʃɔːt]短的,矮的6、fat[fæt]胖的,肥的7、strong[strɒŋ]强壮的8、thin[θɪn]瘦的9、new[njuː]新的10、old[əʊld]旧的,老的11、happy['hæpɪ]幸福的,快乐的四年级下英语单词第一单元home[həʊm]家bedroom['bedruːm]卧室bed[bed]床desk[desk]客桌chair[tʃeə]椅子living room['lɪvɪŋru:m]起居室TV['ti:'vi:]电视sofa['səʊfə]沙发armchair[ɑːm'tʃeə]单人沙发;扶手椅ball[bɔːl]球kite[kaɪt]风筝kitchen['kɪtʃɪn]厨房fridge[frɪdʒ]冰箱table['teɪbl]桌子study['stʌdɪ]书房computer[kəm'pjuːtə]电脑picture['pɪktʃə]图片;照片bathroom['bɑːθruːm]浴室DVD player DVD['pleɪə]播放器clock[klɒk]时钟第二单元twenty-one['twenti'wʌn]二十一twenty-two['twenti'tu:]二十二twenty-three['twenti'θri:]二十三twenty-four[,twɛnti'fɔr]二十四twenty-five[,twɛntɪ'faɪv]二十五twenty-six[[,twɛntɪ'sɪks]二十六twenty-seven[,twɛntɪ'sev(ə)n]二十七twenty-eight[,twɛntɪ'eɪt]二十八twenty-nine[,twɛntɪ'naɪn]二十九eleven[ɪ'lev(ə)n]十一tweleve[twelv]十二thirty['θɜːtɪ]三十forty['fɔːtɪ]四十boy[bɔɪ]男孩girl[gɜːl]女孩fifty['fɪftɪ]五十sixty['sɪkstɪ]六十teacher['tiːtʃə]教师school[skuːl]学校seventy['sev(ə)ntɪ]七十eighty['eɪtɪ]八十bag[bæg]书包book[bʊk]书ninety['naɪntɪ]九十one hundred[wʌn'hʌndrəd]一百pen[pen]钢笔pencil['pens(ə)l]铅笔第三单元maths[mæθs]数学PE[ˌpiˈi:]体育Chinese[,tʃai'ni:z]中文English['ɪŋɡlɪʃ]英语music['mjuːzɪk]音乐art[ɑːt]美术subject['sʌbdʒekt]科目;学科science['saɪəns]科学lesson['les(ə)n]课drama['drɑːmə]戏剧listen['lɪs(ə)n]听do[duː]做speak[spiːk]说listen and do['lɪs(ə)nənd duː]听听做做play and act[pleɪəndækt]说说唱唱sing[sɪŋ]唱歌play[pleɪ]玩act[ækt]表演第四单元day[deɪ]天week[wiːk]周Sunday['sʌndeɪ]星期日Monday['mʌndeɪ]星期一Tuesday['tjuːzdeɪ]星期二Wednesday['wenzdeɪ]星期三Thursday['θɜːzdeɪ]星期四Friday['fraidi]星期五Saturday['sætədɪ]星期六today[tə'deɪ]今天weekend[wiːk'end]周末park[pɑːk]公园theme park[θiːm pɑːk]主题公园;游乐园第五单元picnic['pɪknɪk]野餐sausage['sɒsɪdʒ]香肠bread[bred]面包cake[keɪk]蛋糕lunch[lʌn(t)ʃ]午餐pork[pɔːk]猪肉beef[biːf]牛肉rice[raɪs]米饭chicken['tʃɪkɪn鸡肉sing[sɪŋ]唱歌dance[dɑːns]跳舞paint[peɪnt](用颜料)绘画draw[drɔː]画画read[riːd]读watch[wɒtʃ]看play[pleɪ]玩read a book[riːdəbʊk]看书watch TV[wɒtʃ]看电视play computer games[pleɪkəm'pjuːtə'ɡeɪmz]玩电脑游戏game[geɪm]游戏do[duː]做go[gəʊ]去shop[ʃɒp]购物go shopping[gəʊ'ʃɒpɪŋ]去购物swim[swɪm]游泳go swimming[gəʊ'swɪmɪŋ]去游泳fish[fɪʃ]鱼;钓鱼go fishing[gəʊ'fɪʃɪŋ]去钓鱼第六单元zoo[zuː]动物园farm[fɑːm]农场giraffe[dʒə'rɑ:f]长颈鹿camel['kæm(ə)l]骆驼monkey['mʌŋkɪ]猴子panda['pændə]熊猫bear[beə]熊seal[siːl]海豹dolphin['dɒlfɪn]海豚hippo['hɪpəʊ]河马tiger['taɪgə]老虎cat[kæt]猫dog[dɒg]狗horse[hɔːs]马cow[kaʊ]母牛;奶牛sheep[ʃiːp]绵羊goat[gəʊt]山羊duck[dʌk]鸭pig[pɪg]猪五年级英语(精通版)上册单词表Unit1Britain英国Australia澳大利亚New Zealand新西兰hello喂,嗨hi喂,嗨I我am是I’m=I amFrance法国Germany德国Russia俄罗斯where哪里are是you你,你们from从city城市road道路street街道what什么is是your你的你们的name名字what’s=what isUnit2Clever聪明的quiet安静的pretty漂亮的,美丽的her她的his他的eye眼睛nose鼻子hair头发smart聪明的cute可爱的lovely可爱的active活泼的,好动的how old多大年龄he他she她beautiful漂亮的;美丽的that那,那个handsome英俊的man男人;男士woman女人;女士Unit3Write作业singer歌手歌唱家dancer舞蹈者,舞蹈演员this这,这个family家庭,家族father父亲mother母亲Love爱worker工人actor演员actress女演员a一个an一个parent(s)父母亲policeman警察policewoman女警察reporter记者who谁uncle叔(伯舅姑姨)夫police警察;警方aunt婶(伯舅姑姨)母Unit4Cinema电影院bank银行hotel宾馆work工作study学习CCTV中国中央电视台hospital医院shopping mall购物中心in在...里面On在...上面at在shop商店restaurant饭馆company公司library图书馆grandfather(grandpa)(外)祖父grandmother(grandma)(外)祖母driver司机Unit5Schoolbag书包activity book活动手册dictionary词典put放置ruler尺子crayon蜡笔yes是的fish鱼hen母鸡goose鹅animal动物cow奶牛horse马elephant大象no不not不,不是isn’t=is not sun cap太阳帽camera照相机it它time时间whose谁的umbrella雨伞fan扇子Unit6Coconut椰子grapefruit西柚葡萄柚hami melon哈密瓜fruit水果juice果汁milk牛奶water水watermelon西瓜cherry樱桃strawberry草莓star fruit杨桃peach桃food食品noodle(s)面条longan龙眼lychee荔枝these这些those那些they他们thank谢谢they’re=they are英语复习资料五年级上:Unit1单词:国家单词:Britain英国Australia澳大利亚New Zealand新西兰France法国Germany德国Russia俄罗斯China中国Canada加拿大America美国Singapore新加坡四会句子:三会句子:I’m Bob.I’m eleven.I come from Britain.Where are you from?Where do you come from?I’m from China.I come from New Zealand.What’s your name?Where do you live?My name is Carl.I live on Shanghai Street.Unit2描述人的形容词:clever聪明的quiet安静的pretty漂亮的smart聪明的cute可爱的lovely可爱的active活泼的beautiful漂亮的handsome英俊的身体部位单词:Eye眼睛nose鼻子hair头发ear耳朵arm胳膊foot脚face脸mouth嘴leg腿hand手四会句子:三会句子:What’s his name?He’s clever.His name is Peter.She’s pretty.What’s her name?How old is he?Her name is ZhouPei.He is eleven.He’s smart.How old are you?How old is she?I’m ten.She is twelve.She is cute.She’s beautiful.Who’s that man?He is my uncle.He is handsome.Who’s that woman?She is my aunt.Unit3职业单词:Writer作家singer歌手dancer舞蹈家worker工人actor演员actress女演员policeman警察policewoman女警察reporter记者police警察driver司机家庭成员单词:Father爸爸mother妈妈uncle叔叔aunt阿姨sister姐妹brother兄弟grandfather爷爷grandmother奶奶cousin表兄弟、姐妹四会句子:三会句子:This is my father.He is a writer.This is my mother.She is a dancer.He is an actor.What does your father do?She is a worker.What does your mother do?Who’s he?What’s his job?He’s my uncle.He’s a policeman.Who’s she?What’s her job?She’s my aunt.She’s a policewoman.Unit4地点介词:In在...里on在...上at在地点词语:Cinema电影院bank银行hotel宾馆hospital医院shopping mall购物中心restaurant饭馆company公司library图书馆四会句子:三会句子:Where do you work?Where do you study?I work in a cinema.I study at Sunny School.He works in Beijing Hospital.Where does your father work?She works at CCTV.Where does your mother work?My grandfather is a taxi driver.My mother is a teacher in a school.My father is a manager in a big company. Unit5动物单词:Fish鱼hen母鸡goose鹅cow母牛horse马elephant大象学习用品单词:Schoolbag书包ruler尺子crayon蜡笔dictionary字典activity book活动手册生活用品单词:Sun cap太阳帽camera照相机umbrella雨伞fan扇子四会句子:三会句子:Is this your schoolbag?Is this your ruler?Yes,it is.No,it isn’t.Is that your elephant?Is that your fish?No,it isn’t.Yes,it isn’t.Whose umbrella is this?It’s Peter’s umbrella.Unit6水果单词:Coconut椰子grapefruit西柚hami melon哈密瓜watermelon西瓜cherry樱桃strawberry草莓star fruit杨桃peach桃子longan龙眼、桂圆grape葡萄饮料:Milk牛奶water水juice果汁orange橙汁食物:Noodle面条Hamburger汉堡bread面包chicken鸡肉hot dog热狗rice米饭四会句子:三会句子:What’s this?It’s a pear.Can I have one?What’s that?It’s a watermelon.Yes,I’ll buy one for you.Is this a cherry?Yes,it is.Is that a peach?No,it isn’t.What are these?They are grapes.What are those?They are apples.五年级下:Unit1学校功能室:Meeting room会议室science lab科学实验室language lab语言试验室art club美术俱乐部music club音乐俱乐部学科单词:Science lesson科学课English lesson英语课music音乐课art美术PE体育math数学Chinese语文动词短语:Borrow book借书have a meeting开会paint a picture绘画play the piano弹钢琴四会句子:Welcome to our school.欢迎来我们学校。
人教版小学3--6年级英语单词表三年级上册词汇人教版小学英语三年级上册单词表(三会)Unit 1pen:[pen]钢笔pencil:['pensl] 铅笔pencil-case:['penslkeis]铅笔盒ruler:[’ru:lə] 尺子eraser:[i’reisə] 橡皮crayon:[’kreiən]蜡笔book:[buk]书bag:[bæg] 书包sharpener:['ʃɑ:pənə]卷笔刀school :[sku:l]学校人教版小学英语三年级上册单词表(三会)Unit 2head:[hed] 头face[feis] 脸nose:[nəuz] 鼻子mouth:[mauθ] 嘴eye:[ai]眼睛ear:[iə]耳朵arm:[ɑ:m] 胳膊finger[’fiŋgə]手指leg:[leg]腿foot:[fut]脚body:[’bɔdi] 身体人教版小学英语三年级上册单词表(三会)Unit 3red:[red]红色的yellow:[’jeləu] 黄色的green:[gri:n] 绿色的blue:[blu:] 蓝色的purple:['pə:pl] 紫色的white:[hwait]白色的black:[blæk] 黑色的orange:[’ɔ:rindʒ] 橙色的pink:[piŋk] 粉色的brown:[braun]棕色的人教版小学英语三年级上册单词表(三会)Unit 4cat:[kæt]猫dog:[dɔg]狗monkey:['mʌŋki]猴子panda:['pændə] 熊猫rabbit:[’ræbit]兔子duck:[dʌk] 鸭子pig:[pig] 猪bird[bə:d] 鸟bear:[bɛə]熊elephant:[’elifənt]大象mouse:[maus] 老鼠squirrel:[’sk wirəl]松鼠人教版小学英语三年级上册单词表(三会)Unit 5 cake:[keik] 蛋糕bread:[bred]面包hot dog:[hɔt][dɔg]热狗hamburger :[’hæmbə:gə]汉堡包chicken:[’tʃikin]鸡肉French fries 榨薯条Coke 可乐juice:[dʒu:s]果汁milk:[milk]牛奶water:[’wɔ:tə] 水tea:[ti:]茶coffee:[’kɔfi]咖啡人教版小学英语三年级上册单词表(三会)Unit 6one:[wʌn]一two:[tu:] 二three:[θri:]三four:[fɔ:] 四five:[faiv]五six:[siks] 六seven:['sevn]七eight:[eit] 八nine:[nain] 九ten :[ten]十doll:[dɔl]玩具娃娃boat:[bəut]小船ball:[bɔ:l] 球kite:[kait] 风筝balloon:[bə’lu:n] 气球car :[kɑ:]小汽车plane:[plein] 飞机三年级下册词汇人教版小学英语三年级下册单词表(三会)Unit 1boy:[bɔi] 男孩girl:[gə:l] 女孩teacher:['ti:tʃə] 教师student:['stju:dənt]学生this:[ðis] 这个my:[mai]我的friend:[frend] 朋友I'm=I am 我是nice:[nais]好的愉快的good morning :[gud]['mɔ:niŋ]早上好good afternoon::[gud]['ɑ:ftə'nu:n]下午好meet:[mi:t]遇见;碰见goodbye:[,gud'bai] 再见too :[tu:]也;太人教版小学英语三年级下册单词表(三会)Unit 2father:[’fɑ:ðə]爸爸dad:[dæd]爸爸口语mother:['mʌðə] 母亲;妈妈mom:[mɔm]妈妈口语man:[mæn] 男人woman:['wumən] 女人grandmother[’grænd,mʌðə] 外祖母grandma:[’grændmɑ:] (口语)(外)祖母grandfather:[’grænd,fɑ:ðə](外)祖父grandpa:['grændpɑ:] (口语)(外)祖父sister:['sistə]姐妹brother:[’brʌðə]兄妹let’s=let us 让我们great:[greit] 太好了really:['riəli]真地;确切地and:[ænd] 和;并且人教版小学英语三年级下册单词表(三会)Unit 3eleven:[i’levn] 十一twelve:[twelv] 十二thirteen:['θə:ti:n]十三fourteen:[’fɔ:'ti:n]十四fifteen:['fif'ti:n]十五sixteen:[’siks’ti:n]十六seventeen:[,sevn’ti:n]十七eighteen:[’ei'ti:n]十八nineteen:[’nain’ti:n]十九twenty:[’twenti]二十how many :[hau]:[’meni]多少can:[kæn] 能够;可以look at:[luk][æt] 看;瞧人教版小学英语三年级下册单词表(三会)Unit 4peach:[pi:tʃ] 桃pear:[pɛə] 梨orange:[’ɔ:rindʒ] 橙子watermelon:['wɔ:tə,melən]西瓜apple:[’æpl]苹果banana:[bə'nɑ:nə]香蕉strawberry:['strɔ:bəri]草莓grape:[greip]葡萄like:[laik]喜欢some:[sʌm] 一些;某些thanks 多谢人教版小学英语三年级下册单词表(三会)Unit 5bus:[bʌs] 公共汽车bike:[baik]自行车taxi:[’tæksi] 出租车jeep:[dʒi:p] 吉普车desk:[desk]课桌chair:[tʃɛə]椅子Walkman 随身听lamp:[læmp]台灯your:[juə] 你的;你们的zoo:[zu:]动物园人教版小学英语三年级下册单词表(三会)Unit 6small:[smɔ:l] 小的big:[big] 大的long:[lɔŋ]长的short:[ʃɔ:t] 短的;矮的tall:[tɔ:l]高的giraffe:[dʒi’rɑ:f]长颈鹿deer:[diə] 鹿四年级上册词汇人教版小学英语四年级上册单词表(三会)Unit 1window:[’windəu]窗户have:[hæv] (我们)有board:[bɔ:d] 写字板new:[nju:]新的light:[lait] 灯,灯管go 去picture:['piktʃə] 画,图画where:[hwɛə]在哪里door:[dɔ:] 门computer:[kəm’pju:tə]计算机floor:[flɔ:]地板teacher’s desk 讲台classroom:[’klɑ:srum]教室wall:[wɔ:l] 墙many:[’meni] 许多的fan:[fæn]扇子,电扇our:[’auə]我们的clean:[kli:n]打扫,清洁,擦干净的classmate['klɑ:smeit] 同学good idea:[gud][ai’diə]好主意have a look:[hæv][ei][luk]看一看all right :[ɔ:l][rait]好吧,好的seat:[si:t]座位good job:[gud][dʒɔb]干的好ear:[iə] 在……的旁边you:[ju:]你what:[hwɔt] 什么see:[si:]看in :[in]在……里面me:[mi:] 我the:[ðə]这个,这里look at:[luk][æt]看……we:[wi:]我们人教版小学英语四年级上册单词表(三会)Unit 2Chinese book 语文书pencil:['pensl]铅笔English book 英语书twenty—one:[’twenti,wʌn]二十一math book:[mæθ][buk] 数学书thirty—one:['θə:ti][wʌn]三十一schoolbag:[ˈsku:lˌbæg] 书包forty-one:['fɔ:ti][wʌn]四十一story-book:['stɔ:ri][buk] 故事书fifty:['fifti] 五十notebook:['nəutbuk]笔记本too many :[tu:]['meni]太多了colour:['kʌlə] 颜色fat:[fæt]胖的heavy:['hevi] 重的;沉重的may:[mei]可以what’s=what issure:[ʃuə]当然可以sorry:['sɔri] 对不起here you are:[hiə][ju:][ɑ:]给你人教版小学英语四年级上册单词表(三会)Unit 3long hair:[lɔŋ][hɛə] 长头发short hair:[ʃɔ:t][hɛə] 短头发thin:[θin] 瘦的strong:[strɔŋ]健壮的quiet:['kwaiət] 安静的friend(s):[frend]朋友(复数)Chinese 中国的like:[laik]喜欢his:[hiz] 他的photo:['fəutəu] 照片he’s=he ishas (他/她)有name:[neim] 名字he:[hi:]他teacher:[’ti:tʃə]教师student:[’stju:dənt]学生music:[’mju:zik]音乐science:[’saiəns]科学sports:[spɔ:ts] 体育运动computer game:[kəm'pju:tə][geim]电脑游戏painting:[’peintiŋ] 绘画she’s=she is her 她的you’re=you areshe:[ʃi:]她right:[rait]对的;正确的boy :[bɔi]男孩girl:[gə:l] 女孩friend:[frend]朋友人教版小学英语四年级上册单词表(三会)Unit 4study:[’stʌdi] 书房bathroom:['bæθrum]卫生间bedroom:['bedrum] 卧室living room:['liviŋ][ru:m]客厅kitchen:['kitʃin] 厨房it’s=it ishey:[hei]嘿fish:[fiʃ] 鱼isn’t=isnothere 这里home[həum] 家room:[ru:m]房间school:[sku:l]学校classroom:['klɑ:srum]教室phone:[fəun]电话bed:[bed]床sofa:['səufə] 沙发shelf:[ʃelf]书架fridge:[fridʒ] 冰箱table:['teibl] 桌子they:[ðei] 他们aren’t=are notthey’re=they arekey:[ki:]钥匙open:['əupən] 打开look:[luk]看please:[pli:z]请on 在……上面no 不;不是window:[’windəu] 窗户desk:[desk]课桌;书桌door:[dɔ:]门chair:[tʃɛə]椅子bed:[bed] 床人教版小学英语四年级上册单词表(三会)Unit 5rice:[rais]米饭fish:[fiʃ]鱼noodle(s):[’nu:dl]面条(复数)beef:[bi:f] 牛肉vegetable:['vedʒitəbl]蔬菜soup:[su:p] 汤have:[hæv] 吃dinner:['dinə] 晚餐;正餐wait 等I’dlike=I wouldlikebread 面包:[bred]milk:[milk]牛奶egg:[eg] 蛋water:[’wɔ:tə]水hungry:['hʌŋgri]饥饿的for:[fɔ:]为;给thank you:[θæŋk][ju:]谢谢你knife:[naif] 刀chopsticks:['tʃɔpstiks] 筷子(复数)spoon:[spu:n]勺子plate:[pleit]盘子fork:[fɔ:k] 叉子help:[help] 帮助;帮忙pass:[pɑ:s]传递ready:[’redi]准备好了try :[trai]常识;试一下help yourself:[help][juə’self]随便吃show 展示[ʃəu]yummy:['jʌmi]好吃的food:[fu:d]食物use:[ju:z] 使用chicken:[’tʃikin]鸡肉人教版小学英语四年级上册单词表(三会)Unit 6family :['fæmili]家庭parents 父母uncle:['ʌŋkl]叔叔;舅舅aunt:[ɑ:nt] 姑姑;婶;姨baby:[’beibi] 婴儿people:['pi:pl] 人member:['membə]成员only:[’əunli] 只有;仅仅puppy:['pʌpi]小狗gee:['dʒi:] 用以表示惊奇、赞赏come:[kʌm] 来who:[hu:]谁sister:['sistə]姐妹brother:[’brʌðə] 兄弟father:['fɑ:ðə]父亲;爸爸baseball player:['beis,bɔ:l][’pleiə]棒球运动员driver :['draivə]司机doctor:[’dɔktə]医生farmer:[’fɑ:mə]农民nurse:[nə:s]护士look:[luk]看上去;看;瞧young:[jʌŋ]年轻的四年级下册词汇人教版小学英语四年级下册单词表(三会)Unit 1computer:[kəm'pju:tə] 计算机board:[bɔ:d] 写字板fan:[fæn] 风扇light:[lait]灯this:[ðis] 这;这个is:[iz] 是my:[mai]我的that:[ðæt] 那;那个your:[juə] 你的teacher's desk 讲台picture:[’piktʃə]图画;照片wall 墙壁floor:[flɔ:] 地板yes:[jes] 是;是的it :[it]它This is my computer。
人教版小学英语•三年级上册•单词表Unit 1pen [pen]钢笔pencil ['pens?l]铅笔pencil-case ['pens ?lkeis]铅笔盒ruler ['ru:l?]尺子eraser [i'reiz?]橡皮crayon ['krei?n]蜡笔book [buk]书bag [b? Q书包sharpener ['? ap?n?]卷笔刀school [sku:l]学校Unit 2head [hed]头face [feis]脸nose[n?uz]鼻子mouth ]mau q嘴eye [ai]眼睛ear [i?]耳朵arm[ a m]胳膊fin ger ['fi?g?手指leg [le g 腿foot [fut]脚body ['b?di]身体Unit 3 red [red]红色的yellow ['jel ?u]黄色的green [ g i: n]绿色的blue [blu:]蓝色的purple ['p?:pl]紫色的white [hwait]白色的black [bl?k]黑色的orange ['?rind?]橙色的pink [pi ?k]粉色的brown [braun]棕色的Unit 4cat [k?t]猫dog [d?g d?:g狗monkey ['m ??ki]猴子pan da ['p ?nd?]熊猫rabbit ['r?bit]兔子duck d?k]鸭子pig [pi g 猪bird [b?:d]鸟bear [b e ]熊elephant ['elif?nt]大象mouse ]maus, mauz]老鼠squirrel ['skw?:r?l]松鼠Unit 5cake [keik]蛋糕bread [bred]面包hot dog 热狗hamburger ['h ?mb?: g ?汉堡包chicken ['t?kin]鸡肉French [frent? Fries 榨薯条Coke [k?uk]可乐juice [d?u:s]果汁milk [milk]牛奶water ['w?:t?水tea [ti:]茶coffee ['k?fi]咖啡Unit 6one [w?n]—two [tu:]二three [ fTi:]三four [f?:]四five [faiv]五six[siks]六seven['sev?n]七eight [eit]八nine [nain]九ten [te n]十doll [d?l]玩具娃娃boat [b ?ut]小船ball[b?:l]球kite [kait]风筝balloon ]b?lu:n]气球car[k a]小汽车plane [plein]飞机人教版小学英语三年级下册单词表Unit 1boy [b?i]男孩girl [ g ?]女孩teacher['ti:t??教师student ['stju:d ?nt]学生this[eis,弱e?s]这个my我的friend [frend]朋友l'm = l am 我是nice [nais]好的;愉快的good morning ['m?:ni?]早上好good after noon [, a ft?:' nu:n]"下午好meet [mi:t]遇见;碰见goodbye [,g ud'bai]再见too [tu:]也;太Unit 2father ['f a e?]父亲;爸爸dad爸爸口语mother ['m?e?]母亲;妈妈mom妈妈口语man [m? n]男人woman ['wum ?n]女人grandmother [' gr?nd,m?e?]夕卜祖母grandma [' g?ndm a] (口语(外)祖母grandfather [' g? nd,f a e?(外)祖父grandpa ['g? ndp a] (口语(外)祖父sister ['sist?]姐妹brother ['br?e?兄妹let '二let [let] us [?s]让我们great [ g eit]太好了really ['ri?li, 'ri:li] 真地;确切地and ?nd,和;并且how [hau] 多么;怎么样Unit 3eleven [i'lev?n]十一twelve [twelv] 十二thirteen ' 0 ?ti:n]十三fourteen ['f?:'ti:n]十四fifteen ['fifti: n]十五sixteen['siks'ti:n]十六seventeen [,sev?n'ti:n] 十七eighteen ['ei'ti:n] 十八nineteen [,nain'ti:n] 十九twenty ['twenti] 二十how [hau] many ['meni]多少can [k? n, k?n] 能够;可以look [luk] at [强?t,弱?t]看;瞧Unit 4peach [pi:t?|桃pear [p e ?梨orange ['?rind?橙子watermelon ['w?:t?mel?n]西瓜apple ['? pl]苹果banana [b?'n a n?]香蕉strawberry ['str?:b?ri]草莓grape [ g eip]葡萄like [laik]喜欢some [s?m, 一些;某些thanks多谢Unit 5bus [b?s]公共汽车bike [baik]自行车taxi ['t?ksi]出租车jeep [d?i:p]吉普车desk [desk]课桌chair [t?可椅子Walkman随身听lamp [l?mp]台灯your [j?:, j?u,弱j?]你的;你们的zoo [zu:]动物园Unit 6small [sm?:l] 小的big [bi g大的long [I??, I?:?]长的short [??t] 短的;矮的tall [t?:l]高的giraffe [d ?i'r a f]长颈鹿deer[di?]鹿deer [di?]鹿人教版小学英语四年级上册单词表Unit 1window : ['wind ?u]窗户board : [b?:d]木板light: [lait]光线picture : ['pikt ??画door: [d?:]门floor: [fl?:]地板classroom : ['kla srum]教室many: ['meni]许多的our: ['au?]我们的classmate : ['kl a smeit]同学seat : [si:t]座位near : [ni?]近的what : [hw?t]什么in : [in]在…里, the : [e?]这(个),那(个we : [wi:]我们have : [h?v]有,拥有new : [nju:]新的;新鲜的;新型的go : [g?u]去离去where : [hw??在哪里computer : [k?m'pju:t ?]电脑,电子计算机wall : [w?l]墙fan : [f? n]扇子clean : [kli: n]清洁的you : [ju:]你你们see : [si:] 看见me : [mi:]我look at: [luk] [?t]看Unit2Chinese book : ['t?ai'ni:z][buk]语文书English book : ['i?gli? [buk]英语书math book [m ? 0] [buk]数学书schoolbag [sku:lb ? g]书包storybook [st ?:ribuk]故事书,小说notebook [n ?utbuk]笔记簿colo u P[k3?l?J 彩色丄at [恂n [胖的瘦的strong [str??]强壮的, quiet [kwai ?t]安静的friend [frend]朋友mayCmnes可lik® ?]aik J 然欢以?ni:z,-ni:s]中国的surebag歸亦袋」龍的pen硼供^护?铅笔照片pen [pen]笔fish [ftl?|skl[tiesk]书桌twenty-one [twenti:w ?n, tw?n-] 一十here曲可[d在这里thirty [ 0 ?i:]三十homSha?dm??, t?5?(r)]椅子forty [f?ti:]四十roombedifbed]房间fifty [f?ti:, f?ti]五十school [sku:l]学校heavy [hevi]重的phone [f ?un]电话sorry [s?ri]对不起bed [bed]床,sorry [s?ri]对不起sofa [s?uf?]沙发book [buk]书shelf [?elf]架子ruler [ru:l ?]尺fridge [frid ?]冰箱Unit 3 table [teibl]桌子they [eei, ee]他[她,它]们thin [ 0 in]瘦的key [ki:]钥匙strong [str??]强壮的,open [ ?up?n]开着的quiet [kwai ?t]安静的please [pli:z]请friend [frend]朋友on [?n]在…上Chinese [t?a?ni:z, -ni:s]中国的no [n?u]不,不是like [laik]喜欢desk [desk]书桌his [hiz, ?z]他的door [d ?:]门photo [f ?ut?u]照片chair [t ??? t?e?(r)]椅子has [h?z 有bed [bed]床name [neim]名字he [hi:他Unit5teacher [ti:t??,ti? t??(r)]教师rice [rais]大米student [stju:d ?nt]学生fish [fi ?鱼music [mju:zik]音乐noodle [nu:dl]面条scie nee [sai?ns] 科学beef [bi:f]牛肉sport [sp ?:t]运动vegetable [ved ?it?bl]蔬菜right [rait]正确的soup [su:p]汤boy [b ?i]男孩have [h?v, h?v, ?v, v]吃girl [ g?:l]女孩dinner [din ?]晚餐Unit 4 wait [weit]等bread [bred]面包study [st?di]学习milk [milk]牛奶bathroom [b a 0 rum] 浴室egg [e Q蛋bedroom [bedru:m, -r ?m]臣卜室water [w ?t?]水kitchen [kit ?n]厨房hungry [h ?? cri]饥饿的for [f?:, f?为,给knife [naif]刀chopstick [t ??bst?<]筷子spoon [spu:n]勺子plate [pleit]盘子fork [f ?:k]叉子help [help]帮助pass [p a s传递ready [redi]准备好了try [trai]尝试show [??J]展示yummy [j ?mi]好吃的food [fu:d]食物use [ju:z]使用chicke n [t ?ki n]鸡肉fish [fi ?| 鱼Unit6 family [f ?mili]家庭pare nt [p ??r?nt,pe?r?nt]父母un cle [ ??kl]舅舅aunt[ a nt]姑姑baby [beibi]婴儿people [pi:pl]人member [memb ?]成员only [?un li]仅仅puppy [p ?pi]小狗gee [d?i:]用以表示惊奇、赞赏等come [k?m]来who [hu:, hu]谁sister [sist?姐妹brother [br ?e?]兄弟father [f a e?]父亲mother [m ?e?]母亲driver [draiv ?]司机doctor [d ?kt?]医生farmer [f a m?]农民nu rse [n?:s]护士you ng [j ??]年轻的人教版小学英语四年级下册单词表Unit1playground ['plei g aund]操场garden ['g :(dn ]花园office ['?fis]办公室teachers-office [' ?fis]教师办公室library [ 'laibr ?ri ] 图书馆can teen [ k? n 'ti:n ]食堂first [ f?st ]第一floor [ fl? (r)]层(楼) welcome [ 'welk?m ]欢迎to 给,对our [ 'au?]我们的many ['me ni ]许多的visitor [ 'vizit ?] 客人渗观者there [ e^? 哪儿;那里class [ kl a s班级课程lunch [ l?nt?]午餐at 在this way [ wei ]这边please [ pli:z ] 请beautiful [ 'bju:tiful ]美丽的computer[ k?m'pju:t ?]计算机board [ b?:d ]写字板fan [ f?n ]扇子;电扇light ['lait ]灯this [eis]这,这个is 是my [ma?我的that [e?t] 那那个your 你的art [ a t]绘画;艺术;美术art room [ a t] [ru:m] 绘画教室computer [ k ?m'pju:t ?]计算机;电脑computer room 计算机教室washroom ['w??um]卫生间music ['mju:zik]音乐music room ['mju:zik] [ru:m] 音乐教室gym [ d?im ]体育馆TV room电视机房sec ond [ 'sek ?nd ] 第二cool [ ku:]订好的;酷的teacher’s desk[ desk ]讲台picture] 'pikt ??]图画. wall[ w?:l ]墙floor] fl ?:]地板yes [ jes ]是的it [ it ]它Unit2En glish [ 'i?gli?]英语;英文En glish class 英语课class [ kl a s ]课music class [ kl a s ]音乐课P.E. class体育课breakfast [ 'brekf ?st ] 早餐dinner [ 'din ?]晚餐;正餐. over [ '?uv?]结束go [ g ?u ]去go to the playground [ 'pleigraund ]去操场go home [ h?um ]回家now[ nau ]现在just a mi nute ['mi nit] 再多一会kid [ kid ] 小孩孩子run [ r?n ]跑one[ w?n ] —two[ tu:]二three [ 0ri:]三four [ f ?: ]四five] faiv ]五six[ siks ]六. seve n[ 'sev?n ]七eight] eit ]八. nine[ nain ]九.ten[ ten ]十what[ w ?t]什么time [ta?m]时间it' = it is o 'lock [?'l?k]……点钟get [ opt ]得到获得get up [get ] [ ?p ]起床go to school [sku:l] 上学go home 回家go to bed 上床睡觉ready [ 'redi ] 准备好的hurry [ 'h?ri ]抓紧;赶快math [ m? 0 ]数学Chi nese ['t?ai ni:z] n语文,汉语中国人adj中国的,中国人的;中国话的china ['t?ain?] n 中国English [ 'i?gli? ] a英国的;英国人的英语的n 英语;英国人England ['i?gl?nd] n 英格兰;英国P.E体育music [ 'mju:zik ] 音乐for [ f?]为;给class [ kl a s]班级課程Unit3 jacket [ 'd ?? kit ] 夹克衫shirt [ ??t ]衬衫skirt [ sk?:t ]裙子dress [ dres ] 连衣裙sweater [ 'swet?] 毛衣T-shirt T 恤衫whose [ hu:z ] 谁的red [ red ] 红色的blue [ blu:]蓝色的yellow [ 'jel ?u ] 黄色的green [ g i:n ]绿色的green beans [gri:n][bi:ns] 绿豆white [ hwait ] 白色的no [n?u] 不;不是not [ n?t ] 不;不是的jea ns [d?i: nz] 牛仔裤pants [ p?nts ]长裤pare nts ['p??r?nts]父母亲socks [s?ks]袜子shoes [?u?^]鞋子shorts [??ts]短裤these [ ei:z ]这些so [ 's?u]如此;那样they 're = they are those [ e?uz ]那些but [ b?t ]但是what for [ w?t ] 为什么neighbour [ 'n eib ?] 邻居colour [ 'k?l?]颜色Unit4 warm [ w?:m ]暖和的cold [ k?uld ] 寒冷的cool [ ku:l ] 凉爽的酷的hot [ h?t ] 炎热的weather [ 'we e?]天气weather report [ ri'p ?:t ] 天气预报wear [ w £? v.穿today [t?'dei ] 今天can r = can not put on穿上put on动词,表示穿上衣服的动词,强调动作./例:I get up and put on my coat wear动词,表示穿上衣服的动作,也可表示穿着衣服的状态,强调状态./例:Today, he wears a red hat jea ns [d?i: nz] 牛仔裤pants [ p? nts ]长裤socks [s?ks]袜子shoes [?u?^]鞋子let's = let us play [ plei ] 玩,踢football ['futb ?:l]足球rai ny [ 'rei ni ] 下雨的rain [ rein ] n 雨vi 下雨snowy [ 's n?ui ] 下雪的snow [ sn?u ] n 雪;vi 下雪now [ nau ]现在windy [ 'wi ndi ] 有风的wind [ wind ] n 风cloudy [ 'klaudi ] 多云的cloud [ klaud ] 云sunny ['s?ni ] 晴朗的sun [ s?n ]太阳hello [h ?l?u]喂,你好(打电话用语) hi [ hai ]喂,你not much [ m ?t?] 没什么New York 纽约matter [ 'm?t?]事情;麻烦have to必须;不得不close [ kl?uz ]关;关上bye [ bai ] 再见(口语)Unit5 colourful ['k?l?ful ]色彩丰富的pretty [ 'priti ] 漂亮的;可爱的cheap [ t?:p ] 便宜的expe nsive [iks'pe nsiv]昂贵的sixty [ 'siksti(:)] 六十seve nty[ 'sev ?nti ] 七十hun dred [ 'h ?ndr?d ] 百assistant [?sist?nt ]售货员help [help]帮助how much多少钱nin ety-nine [ 'nainti ] 九十九that's = that is big [ bi g]大的small [ sm?:l ]小的long [ l??]长的short [ ??t ]短的;矮的sn eakers ['s ni: k?z]胶底帆布鞋网球鞋slippers ['slip?] 拖鞋san dals ['sa ndl]凉鞋boots [ bu:ts ] 靴子want [ w?nt ]想要pair [ p £? 一双一对 a pair of 一双for for [f?: (r)][ f?(r)]为;给son [ s?n ]儿子sun [ s?n ]太阳size [ saiz ] 尺码all right[ ?:l ] [ rait ]好吧;好的we'二we will take [ teik ]买them [ eem ] 它(他、她)们apple [ '?pl ]苹果banana[ b?'n a n?]香蕉pear [pe ?(r)]梨Orange [ '?rind?]橙子watermelon['w?:t?mel?n]西瓜are [ a(r)]是they [ eei ] pron.他(她,它)们Unit6 sheep [ ?p ]绵羊horse [ h?:s ]马hen [ hen ] 母鸡lamb [ l?m ] 小羊;羔羊goat [ g?t ]山羊cow [ kau ]奶牛farm [ f a m ] . n.农场农田farmer ['f a m?] n.农夫,农民are n '二are not donkey [ 'd ??ki ] 驴子key [ ki:]钥匙fat [ f?t ]胖的cat ['k?t ]猫rabbit [ 'r?bit ]兔子pig [ pi g]猪duck [ d?k ]鸭子dog [d?g 狗tomoto [ t?'ma:t?u]西红柿cucumber[ 'kju:k?mb?] 黄瓜potato [ p?'teit ?u ] 土豆on io n ['?nj?n ]洋葱carrot [ 'k?r?t ]胡萝卜fresh [ fre?]新鲜的eleven [ i'lev ?n ] 十一twelve [ twelv ] 十二thirteen [ ' 0 ?ti:n ]十三fiftee n [ 'fifti: n ] 十五twenty [ 'twe nti ] 二十how many 多少how much 多少there [ e^? 那儿;那里there be(--)单兀音12个)1、/i:/ me he see tea2、/ I / it big ship3、/e/ bed let frie nd4、/?/ cat and apple5、/ a/ car farm garde n6、/?/ on hot want7、/?:/ her birthday8、/? / ago teacher doctor9、/u:/ zoo ruler cool1 0、/u / foot good book1、/?:/ water short door1 2、/ ? / dog what talk (一)双兀(8个)1、/ ei / day eight great2、/ ai / hi_ my bye l[ke3、/ ?i / boy toy4、/ ?u / no_ boat know5、/ au / out now brow n6、/ i? / ear deer n ear7、/ £? bear there8、/ u? / sure poor/0thirteen 十三[? 0:?i:n]thank谢谢[ 0 ?R]/e/ mother 母亲[?m ?e?]father 父亲[?f a e?]人教版小学英语五年级上册单词表Unit1you ng [j ??]年轻的funny [ 'f ?ni]滑稽可笑的.tall [t?l]高的strong [ str ??]强壮的.kind[ kaind ]和蔼的old[ ?uld ]年老的short[ ??t ]矮的thin[ 0n ]瘦的..who [ hu:]谁.Mr['mist?]先生.. from[ fr ?m ]从;来自.. Can ada[ 'k? n?d?]加拿大what[w?t ]什么like[ laik ]喜欢know[ n?u ]知道. now[ nau ]现在no[ n?u ]不principal[ 'prins ?p?l]校长uni versity tude nt 大学生['ju: ni'v?:siti ][ 'stju:d?nt ] strict[ strikt ]严格的. smart[ sm a t]聪明的;巧妙的active[ ' ? ktiv ]积极的;活跃的Miss[ mis ]小姐lady[ 'leidi ]女士;小姐;夫人so much[ s?u][m ?t?很;非常fun[ f?n ]有趣;逗笑quiet['kwai ?t]安静的;文静的she[ ?:]她he[ hi:]他her[ h?:]她的his[ hiz ]他的very[ 'veri ] 很;非常but[ b?t ]但是Unit2Monday(Mon.)星期一['m?ndi] Tuesday(Tue.星期二['tju:zdi ] Wedn esday(Wed.)星期三['we nzdei] Thursday(Thu.)星期四['0 ?di ] Friday(Fri.)星期五['fraidi ] Moral Education思想品德课['m?r?l]['edju:'kei ??i]Social Studies 社会课['s?u?? ] [ 'st?diz ] day 天日子[dei ] wait[ weit ]等待;等等waiter [ 'weit ? ]n.侍者,服务员tomorrow 明天[t?'m?r?u]. have 有;吃[ h?v ]. on [?n]在…上do homework 做作业[d?u ] ['h?umw?:k ]. watch TV 看电视[w?t?['ti:'vi:] read books 读书[ri:d] [ bu:ks] often 常常;经常['?f?n] Saturday(Sat.)['s? t?di]星期六Sunday(Sun.) [ 's?ndi ]星期天. often [' ?:f?n]常常;经常sometimes [ 's ?mtaimz ]有时usually[ 'ju:???li ] love 爱;热爱[l?v ]..what about [w ?t] [' ?baut]怎么样? yeah 是行[j sp.play computer games 玩电脑游戏[plei][k ?m'pju:t ?][ geims ] too 也;太[tu:]..to [ tu:] do housework[du:]['ha ?sw?k]做家务Unit3 cabbage['k ?bid?]洋白菜;卷心菜pork [p ?:k]猪肉mutton ['m ?tn]羊肉eggplant ['egpl a nt]茄子fish [ fi ?]鱼green beans [gri:n][bi:ns] 青豆tofu ['t ?ufu:]豆腐potato[p ?teit?u] 土豆tomato[t ?m a t?u]西红柿for [f ?:] prep.给;为lunch [ l ?nt?]午餐we [ wi:]我们menu [ 'menju:]菜单sound [ saund ]听起来healthy['hel 0]健康的;有益健康的tasty['teisti ]好吃的;可口的sweet[ swi:t ]甜的sour [ 'sau?]酸的fresh [ fre ?]新鲜的salty ['s?:lti]咸的they [ eei ] pron. 他们favourite [ 'feiv ?rit]特别喜爱的最喜爱的fruit [ fru:t ]水果grape [ greip ]葡萄have to [ h ?v ][ tu:]不得不now[ nau ]现在eat [ i:t ]吃Unit4empty the trash [ 'empti ] [ tr ? ?]倒垃圾cook the meals [ kuk ] [ mi:ls ]做饭water the flowers[ 'w ?:t? ] [ 'flau ?s ]浇花sweep the floor [ swi:p ] [ fl ?:]扫地clean the bedroom 打扫卧室[kli: n ][ 'bedrum]ill[ il]有病的helpful[ 'helpful ]有帮助的,有用的at home[ ?t ][ h?um ]在家里wash the windows[ w ??][ 'wind ??z ]擦窗户just do it [ d ??st ][du:] [ it ] v.就这么干吧do housework[du:][ 'ha ?sw?:k ]做家务make the bed[ meik ] [ bed ] 铺床set the table[ set ] [ 'teibl ]摆饭桌;摆餐具wash the clothes[w?? [ kl ?u ez ]洗衣服do the dishes [ 'di ?z ]洗碗碟put away the clothes 收拾衣服[p?t][?'wei][kl ?uez]I would like to [ ai ] [ wud ] [ laik ] [ tu:] have a try [ h ?v] [trai ]试一试robot [ 'r ?ub?t ] 机器人play chess [ plei ] [ t ?^s ]下棋use a computer[ju:z][k ?m'pju:t ?]使用电脑Unit5air-conditioner[ ?? [k?n'di??n?]空调curtain [ 'k ?tn ]窗帘trash bin [ tr ??] [bin]垃圾箱closet[ 'kl ?zit ]壁橱,衣橱close[kl?uz]关mirror[ 'mir ?]镜子end table[ end]['teibl ]床头柜look at[ luk ] [ ?t ] own[ ?un ]自己的flat[ fl?t ]公寓third[ 0?]第三的bedroom[ 'bedrum ] 卧室kitche n [ 'kit ?n ]厨房bathroom[ b a 0u:m ]卫生间living room[ 'livi? ] [ ru:m]客厅;起居室very much [ 'veri ] [ m ?t?]非常;很多in [ in ]在…里面on[?n]在…上面under [ ' ?nd?]在…下面near [ ni ?]在…旁边behind [ bi:' haind]在…后边over [ ' ?uv?]在…上面in front of [ fr ?nt ] [?:f ]在…前面clothes[ kl ?uez ]衣服work [ w ?:k ]工作tell [ tel ]告诉;说Unit6sky [ skai ]天空cloud [ klaud ]云mountain [ 'mauntin ] 山;山脉river [ 'riv ?]河流flower [ 'flau ?]花grass [ gr a s ]草lake [ leik ]湖泊forest [ 'f ?rist ]森林path [ p a 0]路;小道park [ p a k ]公园nature park [ 'neit ??] [ p a k ]自然公园farm [ f a m ]农场farmer [ 'f a m?]农夫holiday [ 'h ?l?di ]假期picture['pikt ??照片village [ 'vilid ?]乡村;村庄city [ 'siti ]城市house [ haus ]房子;住宅bridge [ brid ?]桥tree [ tri:]树road [ r ?ud ]公路;大道building ['bildi ?]建筑物clean [ kli:n ]干净的air [ ??]空气run [ r?n ]跑;奔跑any [ 'eni ]任何的;所有的人教版小学英语五年级下册单词表Unitldo morning exercises 晨练['m?:ni?]['eks?saiz]eat breakfast [i:t ] ['brekf ?st]吃早饭have English class 上英语课['i?gli?][kl a s ]play sports [ plei ] [ sp ?:ts ]进行体育活动eat dinner[ 'din ?]吃晚饭when什么时候[wen ] about [ ' ?baut ]关于大约policeman 警察[p?li:sm?n ] work 工作[w?:k ] evening 夜晚、晚上['i:vni?] get up 起床[get ] [ ?p ] at [ ?t ]在…点钟usually 通常;一般['ju:???] noon 中午[nu:n ] tell [ tel ]告诉;说climbi ng mountains 爬山['klaimi? ] ['mau ntins ] go shopping[' ?®i?]购物;买东西play thepiano[pi' ?n?u]弹钢琴visit grandparents 看望(外)祖父母['vizit][,gr ? n'p?彳?nts ] go hiking 去远足['haiki ?] weekend 周末['wi:kend ] week [wi:k] n.一星期;周often 经常['?:ft?n ] sometimes['s ?mtaimz]有时候rain 下雨[rein ] either 也['aie?] next 下一个[nekst ]Unit2spring 春天[spri?] summer 夏天['s?m ?] fall 秋天[f?:l ] win ter 冬天['wi nt?] seas on 季节['si:z n ] ['si:z? n] which 哪一个[wit?]best[best]最极always 总是['?:lweiz ] play with[ wi 0]玩;与-------- 起玩snow 雪[sn?u ] leaf (复数leaves)叶子[li:f ] [ li:vz ] up [ ?p ] north [ n?:B]北方;向北方Hallowee n [ 'h ? l?u,wi:n ] 万圣节前夕(指十月三十一日夜晚)Thanksgiving[ 0 ?Rs'givi?]感恩节swim 游泳[swim ] fly kites 放风筝[flai ] skate [ skeit ]滑冰;滑冰鞋make a Snowman [meik]['sn ??m? n]堆雪人plant trees [ pl a nt ] [ tri:s ]种树why 为什么[wai ] because 因为[bi'k?z ] sleep 睡觉[sli:p ]Unit3January 一月['d??nju?ri ] February 二月['febru ?ri ] March 三月[m at?] April 四月['eipr?l ] May 五月[mei ] June 六月[d?u:n ] July 七月[d?u:'lai ] August 八月['?:g?st] September 九月[s?p'temb ?] October 十月[?k't?ub?] November 十一月[n ?u'vemb ?] December 十二月[di'semb ?] chart 图表[t?at ] birthday 生日['b?:0ei] uncle 叔叔;舅舅['??kl ] cousin堂(表)兄弟;堂(表)姐妹[?k?z?n] first 第一[f?:st] second 第二['sek?nd] third 第三[0?] fourth 第四[f?:0 fifth 第五[fif 0 eighth 第八[ei 0 ninth 第九[nain 0 twelfth 第十二[twelf 0 twentieth 第二十['twenti 0 send 寄;发送[send] e-card 电子卡片[e'k a d] her 她的[h?:] able 能['eibl]every one ['evriw ?n]每个人then 那么[een] date 日期[deit]Unit4 draw pictures 画画[dr?:] ['pikt ??>] cook dinner 做饭[kuk] ['din ?] read a book 看书[ri:d] [buk] answer the phone 接电话['a:ns?][f?un] talk 讲话[t?:k]Children's Center 儿童活动中心['t?ldr?ns] ['se nt?] see you later 再见[si:] [ju:] ['leit ?] listen to music 听音乐['lis?n] [tu:]['mju:zik] clean the room 打扫房间[kli:n] [rum] write a letter 写信[rait] ['let ?] write an e-mail 写电子邮件[rait] [ ?n] [i'meil] mom 妈妈[m?m] grandpa 爷爷;外公['gr?np a] speak to禾和…讲话[spi:k] hold on 等一下[?n?uld ??n] call 打电话[k?:l] study 书房['st?di]Unit5fly [flai]飞jump [d ??mp]跳walk [w?:k] 走run 跑[r?n] swim 游泳[swim] kan garoo 袋鼠[k?n g?u:] truck 象鼻[tr ?k] sleep 睡觉[sli:p] climb 往上爬[klaim] fight 打架[fait] swing荡;荡秋千[swi?] drink water 喝水[dri ?k] [w ?t?] climber 攀登者['klaim?Unit6take pictures 照相[teik] ['pikt ??s] watch in sects 观察昆虫[w?:t? ['in sekts] pick up leaves 采摘树叶[pik] [?p] [li:vz] do an experiment 做实验[?n] [iks'perim ?nt] catch butterflies 捉蝴蝶[k?t? ['b ?t?flaiz] woods 树林[w?dz] ant 蚂蚁[? nt]interesting['intristi ?]有趣的have a look 看一看[h?v] [luk] honey 蜂蜜['h?ni] thing[ 0?]东西;物count in sects 数昆虫[ka un t] ['i nsekts] collect leaves 收集树叶[k?lekt] [li:vz] write a report 写报告[rait] [ri'p ?:t] play chess 下棋[plei] [t ?es] have a picnic[h ?v] ['piknik]举行野餐him 他(宾格)[him] leave 离开[li:v ] us 我们(宾格)[?s ] over there [' ?uv? ][e & ?在那边人教版小学英语六年级上册单词表Unit1by [bai]经 .... ;乘foot [fut]脚;足bike [baik]自行车bus [b ?s]公共汽车train [trein]火车plane [plein]飞机ship [?p]船;舰subway ['s ?bwei]地铁how[hau]怎样;怎么go to school[g ?u] [tu:] [sku:l]上学then [ een]然后;接着fifth [fif 0]第五;五分之一traffic ['tr ?fik]交通traffic light[lait]交通灯traffic rule [ru:l]交通规则stop [st ?p ]停;停车站wait [weit]等;等待remember [ri'memb ?]记住get to [get] [tu:]到达find [faind]寻找;找到difference ['dif ?r?ns]不同区别same [seim]相同的every ['evri]每个所有的country ['k ?ntri]国家always ['?:lweiz ]总是;一直mean [mi:n]意思是drive [draiv]驾驶driver ['draiv ?]驾驶员right [rait]右边的;正确的;准确的side [said]边;面侧端En glish ['i?gli?]英国Australia[ ?streili?]澳大利亚however [hau'ev ?]但是left [left]左边的if [if]如果must[m ?st]必须know [n ?u]知道Unit2 library ['laibr ?ri]图书馆postoffice [p ?ust] [' ?:fis]邮局hospital['h ?spitl]医院cinema ['sinim ?]电影院bookstore ['bukst ?:]书店scie neemuseum ['sai ?n s] [mju:'zju:m] 科学博物馆excuse me [iks'kju:z] [mi:]对不起where [hw??|在哪里;到哪里please[pli:z]请next to[' nekst] [tu:] 与相邻far [f a]远supermarket [,sju:p ?'m a kit]超市bank [b ??k]银行after school ['aft?] [sku:l]放学以后wan t [w ?nt]想要a pair of [p ??]一双shoe store [?u:][st?:]鞋店get off [get] [ ?:f]下车mi nute['mi nit]分钟north [n ?: q 北south [sau q 南east [i:st] 东west [west]西turn [t ?: n]转弯right [rait]右边left [left]左边straight [streit]成直线地then[een]然后twelfth[twelf q第十二party ['p a ti]聚会;晚会tell [tel]告诉start [st a t]开始take [teik]乘坐look [luk] for [f ?:]寻找Unit3next week ['nekst] [wi:k]下周thismorning [ eis] ['m?:ni?]今天上午thisafter noon [ eis][' a ft?'n u: n]今天下午this evening [ eis] ['i:vni?]今天晚上to night [t ?'n ait]今晚tomorrow [t ?'m?r?u]明天take a trip [teik] [trip] 去旅行read a magazine[ri:d][ ?m?g?勿:n]阅读杂志go to the cinema [g ?u][tu:][ e?]['sinim ?] 去看电影theme park[ 0i:m] [p a k]主题公园the Great Wall [ e?][greit][w ?:l]长城busy ['bizi]忙碌的together [t ?gee?] —起地comic book ['k ?mik] [buk]漫画书post card [p ?ust] [k a d]明信片newspaper ['nju:z,peip ?] 报纸magazine [,m ?g?'zi:n] 报纸dictionary ['dik ??i?ri]词典;字典shoe store[?u:] [st?]鞋店buy [bai]买fruit stand[fru:t] [st ? nd]水果摊pet shop [pet] [ ??D]宠物商店need [ni:d]需要plant [pl a nt]植物else [els]其他;另外shop [??D]商店Unit4 一hobby ['h ?bi]爱好ride a bike [raid] [baik]骑自行车riding ['raidi ?] a bike 骑自行车dive[daiv]跳水diving['daivi ?]跳水play the violin [plei] [ ?vai??in]拉小提琴make kites [meik] [kait]制作风筝making kites ['meiki ?]制作风筝collect stamps[k ?'lekt] [st ? mp]集邮collectingstamps[k ?'lekti ?]集邮show [??J]展览factory ['f ? kt?ri]工厂 design [di'zain]设计 tip [tip]有用的小建议 help [help]帮助 money ['m ?ni]钱;金钱 enjoy [in'd ??i]从…获得乐趣;享受 tourist['tu ?rist]旅行者;旅游者 way[wei]路;道 motor cycle['m ?ut?] ['saikl]摩托车 police [p??i :s]警方;警察部门 Unit6rain [rein]雨; 下雨 cloud [klaud]云;云彩 vapour ['veip ?]蒸气;水汽 sun [s? n]太阳 stream [stri:m](小)河;(小)溪 come from[k ?m][fr ?m]来自 ........ ;从 ... 来 shi ne[?ai n]照耀 become[bi'k ?m]变成 little['litl]小的 drop[dr ?p](液体的)珠;滴 wake up[weik] [ ?p]醒;醒来 feel['fi:l]感觉到;感受到 think[ Q ?k]想;思考 meet[mi:t]遇见;碰见 high[hai]高的 other[' ?e?]其他的另外的别的 fall[f?:l]落下跌落;降落;掉下 down 从高到低;向下 into['intu:]进入;到 里面 come out[k ?m][aut]露出;出现 again[?' g sn]再一次;又; seed [si:d]种子 soil [s?il] 土壤 sprout[spraut]苗;嫩芽 plant [pl a nt]植物;种植 should [ ?jd]应该 then [ee n]然后garden['g a dn]花园 easy['i:zi]简单的 put[put]放;放置 several['sev?r?l]一 些(但不多);几个 day[dei]天 see[si:]看见pen pal [pen] [p ? I]笔友 dear [di?亲爱的 twin [twin]双胞胎之一 look [luk]看上去 something ['s ?m Q ?]某事物 must [m ?st] 一定;肯定 fun [f?n]快乐;乐趣 with [wi Q 同 ....... ;和 TV reporter [ri'p ?:t?]电视台记者 live [liv]居住;住 lives 居住;住(第三人称单数) lives [laivz]:叶子的复数(life ) teach [ ti:t?| 教 teaches[ ti:t?z]教(第三人称单数) go [g ?u]去 goes 去(第三人称单数) watch [w?t?看watches [w?t?z]看(第三人称单数) read [ri:d]读;看reads 读;看(第三人称单数) does [d ?z]doesn,t=does not [n ?t] different ['dif ?r?nt]不同的 week [wi:k]星期;周 say [sei]说;讲 soon [su:n] 不久 excited [ik'saitid]兴奋的激动的 Unit5sin ger ['si??]歌唱家;歌手 writer ['rait ?作家 actor ['?kt?]男演员 actress ['? ktris]女演员 artist [' a tist]画家 TV reporter [ri'p ?:t?]电视台记者 show [??J ]演出;表演;节目 Hong Kong [h ??][k??]香港 engineer [,end ?i'ni?]工程师 accountant [ ?kaunt?nt]会计 policeman[p ?'li:sm?n](男)警察 salespers on [,seilz'p?:s? n]售货员 cleaner ['kli:n?] n.清洁工 company ['k ?mp?ni]公司 where [hw £?在哪里;到哪里 work [w?:k]pot[p?t]锅;碗;瓢;盆lovely['l ?vli]可爱的;美丽的make sure [meik] [su ?]核实或查明某事物get[ get]得到month[m ?n q 月份;月old[?uld](某)年龄的still[stil]仍然;依旧;还是hardly['h a dli]几乎没有;几乎不come on [k?m][?n]用于祈使句以鼓励某人做某事,尤指促其加速或努力试一试人教版小学英语六年级下册单词表Unitl taller更高的shorter更矮的stronger 更强壮的older年龄更大的younger更年轻的cm(centimeter[sentimit ?])厘米than [e?n]与…相比较little ['litl]小的tail [teil]尾巴think [ 9?k]想;思考funnier更滑稽的kg(kilogram ['kil ?u g r? m])千克;公斤bigger更大的heavier更重的Ion ger 更长的thinner[' G n?]更瘦的smaller (体型)更小的feet [fi:t]脚(复数)size [saiz]号码;尺码wear[we?]穿meter ['mi:t ?]米ton [t ?n]吨each [i:t?各自;每个squid [skwid]鱿鱼lobster ['l ?bst?]龙虾shark [? ak]鲨鱼deep [di:p]深的seal [si:l]海豹sperm whale [sp ?m] [weil]抹香鲸killer whale ['kil ?虎鲸even ['i:v? n]甚至Unit2have a fever [fi:v?]发烧hurt [h?:t]疼痛have a cold[ k ?uld ]感冒伤风have a toothache [ 'tu: fteik ]牙疼. have a headache['hedeik ]头疼.. have a sore throat [s ?:][ 0r?ut ]喉咙疼matter['m ?t?]事情;麻烦sore[s?:]疼的feel [ fi:l ]感觉sick[ sik ]不舒服的;有病的nose [ n ?uz ] 鼻子people [ 'pi:pl ] 人们flu [ flu:]流感know 知道[n?u ] might 可以;能mait ] worry 烦恼;忧虑['w?ri ] medicine 药['medisin] drink 饮料[dri ?k ] stay 在;逗留[stei ] better 更好的['bet ?] soon[ su:n ]立刻;不久tired疲劳的;累的[taird ] excited 兴奋的[ik'saitid ] angry[' ??gri]生气的;愤怒的happy['h?pi]高兴的bored[ b ?:d ]无聊的;烦人的sad[ s?d ]忧愁的;悲伤的trip 旅行[trip ] fail不及格;失败[feil ] test 测试[test ] hear[ hi ?]听见;听到match 比赛[m?t?] between 在…之间[bi'twi:n ] pass 传递[p a s ] kick 踢[kik ] a little[ 'litl ]有些goal[ g ?ul ]得分数bounce[bauns]反弹off[ ?:f ]距;离;离开another[ ?'n?e?]另一个guess[ ges ] 猜测win[ win ](过去式won [w?n])赢game 比赛;游戏[geim ]laugh at[ l a] [ ?t ]因…而发笑Unit3watch (过去式watched )看[ w?t?] wash(过去式washed )洗..[w??] clean (过去式cleaned)打扫[kli:n ] play (过去式played)玩[ plei ] visit (过去式visited)看望['vizit ] do (过去式did [did] )[ du ] last[ l a st ]上一个weekend 周末[wi:k'end] cook (过去式cooked )做(饭)[kuk ] go (过去式we nt [we nt] )去[ g?u ] to 向;朝[tu:, t? tu ] park公园[p a k ] go swimming['swimi ?]去游泳read(过去式)读;阅读[red] go fishing 去钓鱼['fi ??] go hiking 去郊游['haiki?] yesterday 昨天['jest?di ]study [ 'st ?di ](过去式studied[ 'st ?did ])tongue twister[ t ?? ] [ 'twist ?]绕口令fly [ flai ](过去式flew [flu:])飞return] ri't ?:n ]送回;归还swim[ swim ](过去式swam sw? m])游泳Unit4learn [l?:n ](过去式learned ['I?:nid])学习Chi nese['t?ai' ni:z]中文;汉语sing [si?](过去式sang[s??])唱歌and [?nd ]和dance (过去式da need)跳舞['d a ns] eat[i:t](过去式ate[' a ti])吃good[ g ?d ]好的take[teik ](过去式took[t?k])照;拍climb [klaim](过去式climbed )爬have[ h?v](过去式had[ h?d])有miss [ mis ]想念buy[ bai ](过去式bought[b ?:t])买present [ pri'zent ]礼物row [ rau](过去式rowed )戈U (船)boat[ b ?ut ]小船.see[ si:](过去式saw[s?:])看见elephant[ 'elif ?nt ]大象go(过去式went[went]) go skiing[ 'ski:i ?]去滑雪go(过去went)ice-skating 去滑冰[ais ] [ 'skeiti ?]how怎么;如何[hau ]leave[ li:v ](过去式left[left])离开get[ get ](过去式got [g ?t])到达last[ l a st ]仅余的;留在最后的relax [ ri'l ? ks]放松prepare[ pri'pe ?]准备。
三到六年级英语词汇表三年级上册词汇表。
一、Unit 1。
1. ruler ['ruːlə(r)],名词,尺子。
2. pencil ['pensl],名词,铅笔。
3. eraser [ɪ'reɪzə(r)],名词,橡皮。
4. crayon ['kreɪən],名词,蜡笔。
5. bag [bæɡ],名词,包。
6. pen [pen],名词,钢笔。
7. pencil box ['pensl bɒks],名词短语,铅笔盒。
8. book [bʊk],名词,书。
9. no [nəʊ],副词,不。
二、Unit 2。
1. red [red],形容词,红色的。
2. green [ɡriːn],形容词,绿色的。
3. yellow ['jeləʊ],形容词,黄色的。
4. blue [bluː],形容词,蓝色的。
5. black [blæk],形容词,黑色的。
6. brown [braʊn],形容词,棕色的。
7. white [waɪt],形容词,白色的。
8. orange ['ɒrɪndʒ],形容词,橙色的。
三、Unit 3。
1. face [feɪs],名词,脸。
2. ear [ɪə(r)],名词,耳朵。
3. eye [aɪ],名词,眼睛。
4. nose [nəʊz],名词,鼻子。
5. mouth [maʊθ],名词,嘴。
6. arm [ɑːm],名词,胳膊。
7. hand [hænd],名词,手。
8. head [hed],名词,头。
9. body ['bɒdi],名词,身体。
10. leg [leɡ],名词,腿。
11. foot [fʊt],名词,脚。
四、Unit 4。
1. duck [dʌk],名词,鸭子。
2. pig [pɪɡ],名词,猪。
3. cat [kæt],名词,猫。
4. bear [beə(r)],名词,熊。
小学英语三年级上册单词表Unit 1ruler n.直尺penci.. n.铅笔erase. n.橡皮擦crayo. n.蜡笔bag n.包pe..n.钢笔penci.bo. n.铅笔盒boo..n..no 不your 你(们)的Unit 2re..n.红. adj.红色的gree. adj.绿色的n.绿色yello.黄色.n.黄色blu. n.蓝.adj.蓝色的blac. n.黑.adj.黑色的brown n.棕色adj.棕色的whit. adj.白色.n.白色orange n.橙色adj.橙色的OK好;行mum n.妈妈mom n.妈妈(美式英语)Unit 3face n.脸ea.n.耳朵ey.n.眼........nos.. n.鼻子mout.n......ar.. n.胳膊han. n.........hea.. n.头bod. n.身.......le..n.腿foo..n......... schoo..n.学校Unit 4 duc..n.鸭子pi.. n.猪ca..n.猫bea. n.熊do..n.狗elephan. n.大象monke...n.猴子bir.. n.鸟tige.n.老虎pand.. n.熊猫zo. n.动物园funn.adj.滑稽的Unit 5 brea..n.面包juic. n.果汁、液eg...n. 蛋mil.. n.牛.. wate. n... cak..n.蛋糕fis.. n. 鱼ric. n. 米饭Unit 6one一two二three三four四five五six 六seven 七eight八nine 九ten 十brother n.兄;弟plat..n.盘子三年级英语下册词汇表Unit 1UK英国USA美国Canada加拿大China中国she她student学生pupil学生, (尤指)小学生he他teacher教师boy男孩and和;与girl女孩new新的friend朋友today今天Unit 2father父亲;爸爸dad (口语)爸爸;爹爹man男人woman女人mother母亲;妈妈sister姐;妹brother兄;弟grandmother(外)祖母grandma(口语)(外)祖母grandfather(外)祖父grandpa(口语)(外)祖父family家;家庭Unit 3thin瘦的fat胖的;肥的tall高的short矮的;短的long长的small小的big 大的so这么;那么children(child的复数)儿童tail 尾巴Unit 4on在…之上in在…里under在…下面chair椅子desk书桌cap帽子ball球car小汽车boat小船map地图toy玩具box盒;箱Unit 5pear梨apple苹果orange橙子banana香蕉watermelon西瓜strawberry草莓grape葡萄buy买fruit水果Unit 6eleven十一twelve十二thirteen十三fourteen十四fifteen十五sixteen十六seventeen十七eighteen十八nineteen十九twenty二十kite风筝beautiful美丽的四年级上册单词表Unit 1classroom教室window窗户blackboard黑板light电灯picture图画door门teacher’s d esk讲台computer电脑fan风扇wall墙floor地板near在…的旁边TV电视really 实际上;真, 真正clean打扫;清洁;擦干净的help帮助;帮忙Unit 2schoolbag书包math数学书English英语书Chinese语文书storybook故事书candy糖果so much非常的notebook笔记本toy玩具k ey钥匙wow哇;呀lost丢失(lose的过去形式)cute可爱的Unit 3strong强壮的friendly朋友(们)quiet安静的hair头发shoe鞋glasses 眼镜his他的or或者right正确的hat帽子her她的Unit 4bedroom卧室living room 起居室, 客厅study书房kitchen厨房bathroom 浴室, 洗手间bed床phone电话table桌子sofa沙发fridge冰箱find找到them他(她;它)们Unit 5beef[bi:f] 牛肉chicken鸡肉noodle(s)面条soup汤vegetable蔬菜chopsticks筷子bowl碗fork餐叉knife刀spoon勺dinner 晚餐;正餐ready准备好help yourself为自己取用pass给;递try尝试;试Unit 6parents父母cousin同辈表亲(或堂亲)uncle叔父;舅父;姑父;姨父aunt[英] 姑姑;婶;姨baby婴儿doctor医生cook 厨师driver司机farmer农民nurse护士but但是little小的puppy小狗football player足球运动员job工作basketball篮球四年级英语下册单词表Unit 1first floor一楼second floor二楼teacher’s office教师办公室library图书馆playground操场computer room计算机房art room美术教室music room音乐教室next to 紧邻;在……近旁homework作业class班;班级forty四十way方向Unit 2breakfast 早餐;早饭English class英语课lunch午餐;午饭music class音乐课PE class体育课dinner(中午或晚上吃的)正餐get up起床go to school去上学go home回家go to bed上床睡觉over结束now现在;目前o’clock (表示整点)……点钟kid小孩thirty三十hurry up快点come on快;加油just a minute等一会Unit 3cold寒冷的;冷的cool凉的;凉爽的warm温暖的;暖和的hot热的;烫的sunny阳光充足的windy多风的;风大的cloudy阴天的;多云的snowy下雪(多)的rainy阴雨的;多雨的outside在户外be careful小心weather天气New york 纽约how about...怎么样?degree度数fly放(风筝等)World世界London伦敦Moscow莫斯科Singapore新加坡Sydney悉尼love爱你的Unit 4tomato西红柿potato马铃薯;土豆green beans豆角;四季豆carrot胡萝卜horse马cow母牛;奶牛sheep羊;绵羊hen母鸡these(this的复数形式)yum表示气味或味道非常好animal兽;动物those(that的复数形式)那些garden花园;菜园farm农场goat] 山羊eat吃Unit 5clothes衣服;服装pants裤子hat(常指带檐的)帽子dress连衣裙skirt女裙coat 外衣;大衣sweater毛衣sock 短袜shorts短裤jacket夹克衫shirt (尤指男士)衬衫yours你的;你们的whose谁的mine我的pack收拾(行李)wait 等待Unit 6glove(分手指的)手套scarf围巾;披巾umbrella伞;雨伞sunglasses太阳镜pretty美观的;精致的expensive昂贵的;花钱多的cheap花钱少的;便宜的nice好的try on试穿size尺码;号of course当然too太;过于just 正好;恰好how much多少钱eighty八十dollar美元sale特价销售;大减价more更多的us 我们(宾格)五年级上册单词表Unit1old年老的Young 年轻的funny 滑稽可笑的;可笑的kind 和蔼的strict 严格的polite 有礼貌的hard-working 努力工作的,勤奋的helpful 有帮助的clever聪明的shy害羞的kno.知道.了解our我们的sometimes有时候robot 机器人him (he的宾格)他speak 会说, 会讲finish完成;做完Unit2Monday(Mon.)星期一Tuesday(Tue.)星期二Wednesday(Wed.)星期三Thursday(Thu.)星期四Friday(Fri.)星期五Saturday(Sat.)星期六Sunday(Sun.) 星期天. weekend周末wash洗wash my clothes洗我的衣服watch看watch TV 看电视do做;干do homework做作业read 看, 读read books看书play踢、玩、参加(体育运动) play football踢足球cooking烹饪;烹调often常常;时常park公园tired疲倦的sport体育运动play sports做体育运动should 应该every每个;每一个day一天;一日schedule工作计划;日程安排Unit3sandwich三明治salad 蔬菜沙拉;混合沙拉hamburger汉堡包ice cream冰淇淋tea茶水;茶fresh新鲜的healthy健康的;有益健康的delicious美味的hot辣的;辛辣的sweet甜的drink喝;饮thirsty 渴的;口渴的favourite 最喜爱的food食物Dear(用于信函抬头的名字或头衔前)亲爱的onion洋葱;葱头Unit4sing唱;歌唱song歌曲sing English songs唱英语歌曲play the pipa弹琵琶Kung fu功夫武术do kung fu练武术dance跳舞draw 画cartoon漫画draw cartoons画漫画cook烹调swim游泳we’ll=we will 我们将play basketball打篮球play ping-pong打乒乓球ping-pong乒乓球speak English说英语we’ll=we willparty 聚会;派对next下一个的;紧接着的wonderful了不起的learn学;学习;学会any任何的;任一的problem 问题no problem没问题want想要send发送;邮寄email电子邮件at (后面接邮件地址)Unit5clock 钟, 时钟plant 植物bottle瓶子water bottle水瓶bike自行车photo照片;相片front正面in front of在……前面between在…之间;above在……上面beside在…旁边(附近) behind 在…的后面there(表示存在或发生)Grandparent祖父;their 他(她, 它)们的house房屋;房子;住宅lot大量lots of大量, 许多flower花;花朵move搬家dirty肮脏的everywhere到处, 处处mouse 老鼠live居住nature自然界;大自然Unit6forest森林river河流lake湖泊mountain高山;山脉hill小山tree树;树木bridge桥building建筑物village乡村;村庄house房子;住宅boating划船go boating去划船aren’t=are notrabbit兔子, 野兔high高的第五年级(下)Unit1eat breakfast 吃早饭have ……class 上……课play sports 进行体育运动exercise活动;运动do morning exercises 做早操eat dinner 吃晚饭clean my room打扫我的房间go for a walk 散步go shopping 去买东西;购物take学习;上(课)dancing跳舞;舞蹈take a dancing class 上舞蹈课when 什么时候;何时after 在(时间)后start开始usually通常地;惯常的Spain西班牙late晚;迟a.m午前, 上午p.m午后;下午why为什么shop去买东西;购物work 工作last上一个的;刚过去的sound听起来好像also还;也busy 忙的need需要play戏剧;剧本letter信live 居住island岛always总是;一直cave三洞;洞穴go swimming 去游泳win获胜Unit2spring 春天summer夏天autumn秋天winter 冬天season季节picnic野餐go on a picnic去野餐pick 摘;采摘pick apples摘苹果snowman雪人make a snowman堆雪人go swimming 去游泳which哪一个best最;最高程度的snow雪good job 做得好because 因为vacation假期all全;完全pink粉色;粉色的lovely 可爱的;美丽的leaf叶子leaves(复数)叶子paint用颜料给画fall落下;【美】秋天Unit3January 一月February二月March三月April四月May五月July七月August八月September九月October十月November十一月December十二月few不对;很少a few一些thing事情meet集会;开会sports meet运动会Easter复活节trip旅行year年plant 种植contest比赛;竞赛the great wall长城national国家的National day 国庆日American 美国Thanksgiving感恩节Christmas圣诞节holiday假日, 节日game游戏roll滚动look for 寻找chocolate巧克力bunny(用作儿语)兔子RSVP(尤用于请柬)请赐复by 在…….之前Unit4first第一(的)second(2nd)第二(的)third第三(的)fourth第四(的)fifth第五(的)twelfth第十二(的)twentieth(20th)第二十(的)twenty-first(21st)第二十一(的)twenty-third(23rd)第二十三(的)thirtieth(30th)第三十(的) special特殊的;特别的fool蠢人;傻瓜kitten小猫diary日记still仍然;依旧;还是noise声音;响声;噪音fur(某些动物的)浓密的软毛open开着的walk行走Unti5mine我的yours你(们)的his他的hers她的theirs他们的;她们的;它们的ours我们的climbing(正在)攀登;攀爬climb eating(正在)吃eatplaying(正在)玩耍play jumping(正在)跳jump drinking(正在)喝水drink sleeping(正)在睡觉sleep each每一;各个other 其他each other互相excited 兴奋的;激动的like像……那样Unit6doing morning exercises(正在)做早操having……class(正在)上……课eating lunch(正在)吃午饭reading a book(正在)看书listening to music(正在)听音乐keep保持某种状态keep to the right靠右keep your desk clean保持你的课桌干净talk quietly小声讲话turn 顺序take turns 按顺序来bamboo竹子its(指事物, 动物或幼儿)它的;他的;她的show给人看;指引anything 任何事物else 另外;其他exhibition展览say说;讲have a look 看一看sushi 寿司teach教sure(表示同意)当然Canadian加拿大的Spanish西班牙的六年级上册单词表Unit 1science科学museum博物馆post office邮局bookstore书店cinema电影院hospital 医院crossing十字路口turn转弯left 左straight笔直地right右ask 问sir先生interesting 有趣的Italian意大利的restaurant餐馆pizza比萨饼street大街;街道get 到达GPS全球(卫星)定位系统gave(give的过去式)提供;交给feature 特点follow跟着far较远的tell 告诉Unit 2on foot步行by(表示方式)乘bus 公共汽车plane飞机taxi 出租汽车ship(大)船subway地铁train火车slow慢的down减少;降低slow down慢下来stop停下Mrs夫人early早到的helmet头盔must必须wear戴attention注意pay attention to注意traffic交通traffic lights交通信号灯Munich 慕尼黑(德国城市)Germany德国Alaska 阿拉斯加州(美国州名)sled 雪橇fast快的ferry 轮渡Papa Westray 帕帕韦斯特雷岛Scotland苏格兰Unit 3visit 拜访film电影see a film看电影trip旅行take a trip去旅行supermarket超市evening 晚上;傍晚tonight在今晚tomorrow明天next week下周dictionary 词典comic滑稽的comic book(儿童的)连环画册word 单词word book单词书postcard明信片lesson 课space太空travel(尤其长途)旅行half一半price价格Mid-autumn Festival中秋节together一起get together聚会mooncake月饼poem诗moon月亮Unit 4studies(study的第三代称单数形式)学习puzzle谜hiking远足pen pal 笔友hobby业余爱好jasmine 茉莉idea想法;主意Canberra堪培拉(澳大利亚首都)amazing令人惊奇的shall表示征求意见goal射门join加入club俱乐部share分享Unit 5factory工厂worker 工人postman邮递员businessman商人;企业家police officer警察fisherman渔民scientist科学家pilot飞行员coach教练country 国家head teacher校长sea 大海stay保持university大学gym体育馆if如果reporter记者use使用type 打字quickly快速地secretary秘书Unit 6angry生气的afraid害怕sad 难过的worried 担心的;发愁的happy高兴的see a doctor看病wear穿more更多的deep深的breath呼吸take a deep breath深深吸一口气count数数count to ten数到十chase追赶mice(mouse的复数)老鼠bad邪恶的;坏的hurt(使)受伤ill有病;不舒服wrong 有毛病should应该feel 觉得;感到well 健康;身体好sit坐grass草坪hear听见ant 蚂蚁worry 担心;担忧stuck 陷住;无法移动mud 泥pull 拉;拽everyone 每人六年级下册Unit 1younger 更年轻的older 年龄更大的taller 更高的shorter 更矮的longer 更长的thinner 更瘦的heavier 更重的bigger (体型)更大的smaller (体型)更小的stronger 更强壮的dinosaur恐龙hall 大厅metre 米(美式英语meter)than 与……相比较both两个都kg (kilogram) 千克;公斤countryside乡村lower更低地shadow阴影smarter更聪明的become变成Unit2cleaned打扫cleanstayed停留, 待stay washed洗washwatched看watch had 患病, 得病have had a cold感冒slept 睡觉sleep read 读readsaw 看见seelast 上一个yesterday昨天before在…之前drank喝drinkshow演出magazine 杂志better 更好的faster 更快的hotel旅馆fixed修理fixbroken破损的lamp台灯loud 喧闹的;大声的enjoy享受;喜爱stay逗留Unit3went去gocamp野营went camping去野营fish钓鱼, 捕鱼went fishing去的鱼rode骑ridehurt受伤ate吃eattook拍照taketook pictures 照相bought 买buygift 礼物fell 摔倒falloff从(某处)落下Labour Day劳动节mule 骡子Turpan 吐鲁番could 能cantill 直到beach 海滩, 沙滩basket 篮, 筺part 角色licked 舔lick laughed 笑laugh Unit 4dining hall餐厅grass草坪gym体育馆ago以前cycling骑自行车运动go cycling去骑自行车ice-skate滑冰badminton羽毛球运动star星easy容易的look up查阅Internet互联网different 不同的active活跃的, 积极的race赛跑nothing没有什么thought想felt感觉feel cheetah猎豹trip绊倒woke醒wakedream梦。
人教版小学英语单词表三年级上册词汇Unit 1pen:[pen] 钢笔pencil:['pensl] 铅笔pencil-case:['penslkeis] 铅笔盒ruler:['ru:lə] 尺子eraser:[i'reisə] 橡皮crayon:['kreiən] 蜡笔book:[buk] 书bag:[bæg] 书包sharpener:['ʃɑ:pənə] 卷笔刀school :[sku:l]学校Unit 2head:[hed] 头face[feis] 脸nose:[nəuz] 鼻子mouth:[mauθ] 嘴eye:[ai] 眼睛ear:[iə] 耳朵arm:[ɑ:m] 胳膊finger['fiŋgə] 手指leg:[leg]腿foot:[fut] 脚body:['bɔdi] 身体Unit 3red:[red] 红色的yellow:['jeləu] 黄色的green:[gri:n] 绿色的blue:[blu:] 蓝色的purple:['pə:pl] 紫色的white:[hwait] 白色的black:[blæk] 黑色的orange:['ɔ:rindʒ] 橙色的pink:[piŋk] 粉色的brown:[braun] 棕色的Unit 4cat:[kæt] 猫dog:[dɔg] 狗monkey:['mʌŋki] 猴子panda:['pændə] 熊猫rabbit:['ræbit] 兔子duck:[dʌk] 鸭子pig:[pig] 猪bird[bə:d] 鸟bear:[bɛə] 熊elephant:['elifənt] 大象mouse:[maus] 老鼠Unit 5cake:[keik] 蛋糕bread:[bred] 面包hot dog:[hɔt][dɔg] 热狗hamburger :['hæmbə:gə]汉堡包chicken:['tʃikin] 鸡肉French fries 榨薯条Coke 可乐juice:[dʒu:s] 果汁milk:[milk] 牛奶water:['wɔ:tə] 水tea:[ti:] 茶coffee:['kɔfi] 咖啡Unit 6one:[wʌn] 一two:[tu:] 二three:[θri:] 三four:[fɔ:] 四five:[faiv] 五six:[siks] 六seven:['sevn] 七eight:[eit] 八nine:[nain] 九ten :[ten]十doll:[dɔl] 玩具娃娃boat:[bəut] 小船ball:[bɔ:l] 球kite:[kait] 风筝balloon:[bə'lu:n] 气球car :[kɑ:]小汽车plane:[plein] 飞机三年级下册词汇Unit 1boy:[bɔi] 男孩girl:[gə:l] 女孩teacher:['ti:tʃə] 教师student:['stju:dənt] 学生this:[ðis] 这个my:[mai] 我的friend:[frend] 朋友I’m=I am 我是nice:[nais] 好的;愉快的good morning :[gud]['mɔ:niŋ]早上好good afternoon::[gud]['ɑ:ftə'nu:n] 下午好meet:[mi:t]遇见;碰见goodbye:[,gud'bai] 再见too :[tu:]也;太Unit 2father:['fɑ:ðə]爸爸dad:[dæd] 爸爸口语mother:['mʌðə] 母亲;妈妈mom:[mɔm] 妈妈口语man:[mæn] 男人woman:['wumən] 女人grandmother['grænd,mʌðə] 外祖母grandma:['grændmɑ:] (外)祖母grandfather:['grænd,fɑ:ðə](外)祖父grandpa:['grændpɑ:] (外)祖父sister:['sistə] 姐妹brother:['brʌðə] 兄妹let’s=let us 让我们great:[greit] 太好了really:['riəli] 真地;确切地and:[ænd] 和;并且Unit 3eleven:[i'levn] 十一twelve:[twelv] 十二thirteen:['θə:ti:n] 十三fourteen:['fɔ:'ti:n] 十四fifteen:['fif'ti:n] 十五sixteen:['siks'ti:n] 十六seventeen:[,sevn'ti:n] 十七eighteen:['ei'ti:n] 十八nineteen:['nain'ti:n] 十九twenty:['twenti] 二十how many :[hau]:['meni]多少can:[kæn] 能够;可以look at:[luk][æt] 看;瞧Unit 4peach:[pi:tʃ] 桃pear:[pɛə] 梨orange:['ɔ:rindʒ] 橙子watermelon:['wɔ:tə,melən] 西瓜apple:['æpl] 苹果banana:[bə'nɑ:nə] 香蕉strawberry:['strɔ:bəri] 草莓grape:[greip] 葡萄like:[laik] 喜欢some:[sʌm] 一些;某些thanks 多谢Unit 5bus:[bʌs] 公共汽车bike:[baik] 自行车taxi:['tæksi] 出租车jeep:[dʒi:p] 吉普车desk:[desk] 课桌chair:[tʃɛə] 椅子Walkman 随身听lamp:[læmp] 台灯your:[juə] 你的;你们的zoo:[zu:] 动物园Unit 6small:[smɔ:l] 小的big:[big] 大的long:[lɔŋ] 长的short:[ʃɔ:t] 短的;矮的tall:[tɔ:l] 高的giraffe:[dʒi'rɑ:f] 长颈鹿deer:[diə] 鹿。
外语教学与研究出版社义务教育教科书英语三上Starter unitand 和,与are 是begin 开始child 孩子(复数形式children)colour 给……着色;色彩,颜色come 来come on 过来呀draw 画easy 容易的English 英语fine 健康的good 好的goodbye 再见guess 猜测hello 你好h i 〔非正式〕你好how 怎么样(尤在见面时用于询问健康状况)I (I’m=I am)我(我是)in 在……里is 是join 参加kid 小孩,儿童let(let’s=let us) 让(用于表示提议或帮忙)listen(to)听look 看mime 比划着表达Miss 小姐morning 早晨,上午name 名字OK 行,可以play 玩耍read 阅读ready 准备好sing 唱speak 说话,讲话the 〔用于表示你正在谈论一个已经提到过、已经知道的人或物〕think 想tiger 老虎what(what’s=what is) 什么(是什么)write 写yeah〔非正式〕是,对you 你your你的UINT 1action 行为apple 苹果bed 床bye-bye 〔非正式〕再见,拜拜cat 猫dog狗egg蛋go 走me 我my 我的new 新的skateboard 滑板this 这,这个UNIT2box 盒crayon 彩色蜡笔;彩色粉笔do 做,干eight 八five 五flag 旗,旗帜four 四great 非常好的;大的guitar 吉他horse 马how many 几个,多少个ice cream 冰淇淋juice (水果或蔬菜的)汁;水果(蔬菜)汁饮料jump 跳kite 风筝nine 九no 不,不行number 数字;电话号码one 一phone 电话prize 奖品six六snail 蜗牛super 极好的,了不起的ten 十thank 感谢three 三two 二yes 是,对yippee 好啊yuk 呸,讨厌zero 零UNIT3at 向,朝black 黑色blue 蓝色brown 褐色,棕色butterfly 蝴蝶door 门green 绿色grey 灰色heeheehee〔笑声〕嘿嘿嘿Help! 〔口语〕救命!here you are 给你house 房屋light 灯like 喜欢milk 牛奶;羊奶night 夜晚,夜间nose 鼻子now 现在oh 〔用于引起别人的注意〕喂,嘿open 开,打开orange 柑橘,橙;橙色phew 〔表示疲倦、热或放心〕啊!唷!唉!pink 粉红色plane 飞机please 请purple 紫色rainbow 彩虹red 红色too 也,还wizard 巫师wow 〔表示赞叹或惊奇〕呀!哇!yellow 黄色UNIT4book 书eraser 〔美〕橡皮hooray 〔表示高兴的呼喊声〕好啊pen 钢笔pencil 铅笔pencil case 铅笔盒;笔袋put 放,放置queen 王后;Q(牌)rabbit 兔rubber 〔英〕橡皮擦ruler 尺子,直尺schoolbag 书包see 看见,看到skipping rope 跳绳star 星;星状,星形table 桌子tomorrow 明天TV 电视UNIT5abracadabra 阿布拉卡达布拉(表演魔术、施魔法时所念的咒语)banana 香蕉birthday 生日cake 蛋糕can 能,会cap 帽子card 卡片;贺卡catch 接住chocolate 巧克力Christmas 圣诞节day 一天,一日happy 高兴的,快乐的Happy birthday! 生日快乐!Happy New Year! 新年快乐!have 吃;喝hip,hip, hooray! 〔表示赞许的声音〕加油!好哇!into 进入,到……里面lovely 美好的mouse 老鼠New Year’s Day 新年old (多少)岁ouch 哎唷party 聚会,宴会,派对pizza 比萨饼quick 快,快点run 跑,奔跑snake 蛇take off 脱下,脱去tea 茶there 〔表示某事物存在或发生〕thirsty 渴的,口渴的throw 投,扔tree 树UFO 不明飞行物vegetable 蔬菜warning 警告,警示water 水welcome 欢迎wham 〔形容某物突然撞击他物的声音〕砰,嘭X-ray X射线,X光year 年yoyo 悠悠,溜溜球yummy 〔非正式〕美味的,可口的zebra 斑马UNIT6all right 好的,好吧blackboard 黑板board 板chair 椅子classroom 教室cut out 剪下,剪出(某种形状)desk 书桌floor 地板,地面letter 字母next time 下一次whiteboars 白板window 窗,窗户with 和……一起wo n’t 要不要Word familySchool thingsbook 书pen 钢笔pencil 铅笔pencil case 铅笔盒,笔袋ruler 尺子,直尺schoolbag 书包Food and drinkcake 蛋糕chicken 鸡肉chocolate 巧克力egg 蛋fish 鱼ice cream 冰淇淋juice 果汁milk 牛奶;羊奶noodles 面条pizza比萨饼rice 米饭tea 茶Classroomblackboard 黑板chair 椅子desk 书桌door 门floor 地板;地面whiteboard 白板window 窗,窗户AnimalsButterfly 蝴蝶cat 猫dog 狗horse 马rabbit 兔子snail 蜗牛tiger 老虎zebra 斑马Actionsbye-by e〔非正式〕再见,拜拜catch 接住colour 给……着色draw 画guess 猜测hello 你好jump 跳listen 听look 看mime 比划着表达play 玩耍read 读sing 唱speak 说think 想throw 投,扔write 写Coloursblack 黑色blue 蓝色brown 褐色,棕色green 绿色grey 灰色orange 橙色pink 粉红色purple 紫色red 红色white 白色yellow 黄色Numberseight 八eleven 十一four 四five 五nine 九one 一seven 七six 六ten 十three 三twelve 十二two 二zero 零三下Starter unitafternoon 下午arm 手臂Australia 澳大利亚back 回到原处bend 俯身;弯腰;使弯曲clap 拍手,鼓掌dance 跳舞evening 傍晚;晚上game 游戏hand 手high 高的;高地knee 膝,膝盖leg 腿shake 摇动stand 站立toe 脚趾touch 触摸,碰up 向上地Unit1animal 兽,动物bear 熊bird 鸟budgie 虎皮鹦鹉eat 吃elephant 象fish 鱼fly 飞frog 青蛙giraffe 长颈鹿hamster 仓鼠have got 具有like 像mice 〔mouse的复数形式〕老鼠monkey 猴子panda 大熊猫pet 宠物sit 坐swim 游泳Unit2chicken 鸡肉close 关,闭合dad 爸爸,爹爹eye 眼睛food 食物Friday 星期五hate 讨厌,不喜欢Monday 星期一mum 妈妈paint 画,绘Saturday 星期六Sunday 星期天Thursday 星期四Tuesday 星期二Wednesday 星期三week 星期,周Unit3dress 连衣裙jeans 〔复数〕短裤put on 穿上,戴上shirt 衬衫shoe 鞋shorts 〔复数〕短裤skirt 半截裙sock 短袜sweater 〔长袖〕毛线衣,羊毛衫、针织衫toy 玩具trainer 运动鞋,跑鞋T-shirt T恤(衫),短袖运动衫wear 穿;戴Unit4angry 发怒的,生气的another 另一,又一big 大的but 但是,然而cry 哭cycle helmet 自行车头盔eleven 十一eighteen 十八feel 感觉,觉得feeling 感觉;情感fifteen 十五finger 手指fourteen 十四he他need 需要nineteen 十九present 礼物rice 米;米饭roar 吼叫,呼啸sad 伤心的,难过的scared 害怕的seventeen 十七she 她Sit down. 坐下sixteen 十六sleep 睡觉smile 微笑snap 打响指sorry 对不起,很抱歉stamp 跺脚Stand up. 起立stretch 伸展(肢体)stupid 愚蠢的,傻的thirteen 十三tired 累的,疲倦的twelve 十二twenty 二十we 我们Unit5bad 不好的,糟糕的bread 面包breakfast 早餐,早饭bus 公共汽车,巴士cola 可乐cornflakes 〔复数〕玉米片for 当作(表示一餐吃些什么)friend 朋友,友人ham 火腿hamburger 汉堡包hungry 饥饿的jam 果酱noodles 〔一般用复数〕面条popcorn 爆米花roll 面包卷,小圆面包roast 烤面包(片),吐司tummy 〔尤为儿语〕肚子Unit6body 身体captain 船长congratulations 恭喜,祝贺ear 耳朵everybody 每个人,人人face 脸foot 〔复数形式为feet〕脚,足hair 头发how 多么,何等long 长的mouth 嘴,口Mr 先生Mrs 夫人,太太nice 令人愉快的;美好的rock 摇滚pirate 海盗short 短的show 给……看small 小的they 他们;她们;它们tooth 〔复数形式为teeth〕牙Turkey 土耳其Animalsbear熊bird鸟budgie虎皮鹦鹉cat 猫dog 狗elephant象fish鱼frog青蛙giraffe长颈鹿hamster仓鼠monkey猴子mouse老鼠panda 大熊猫rabbit 兔子The days of the weekMonday 星期一Tuesday星期二Wednesday星期三Thursday星期四Friday 星期五Saturday星期六Sunday星期天Clothescap 帽子dress 连衣裙jeans 〔复数〕短裤shirt衬衫shoe鞋shorts 〔复数〕短裤skirt半截裙sock短袜sweater〔长袖〕毛线衣,羊毛衫、针织衫trainer运动鞋,跑鞋T-shirt T恤(衫),短袖运动衫Feelingsangry 发怒的,生气的cry 哭happy 高兴的,快乐的sad 伤心的,难过的scared 害怕的smile 微笑tired累的,疲倦的Food and drinksapple 苹果chicken 鸡肉cola 可乐cornflakes 〔复数〕玉米片fish 鱼肉ham 火腿hamburger 汉堡包ice cream 冰淇淋jam 果酱milk 牛奶orange juice 橙汁pizza 比萨饼popcorn爆米花roll 面包卷,小圆面包tea 茶roast 烤面包(片),吐司Coloursblack 黑色blue 蓝色brown 褐色,棕色green 绿色grey 灰色orange 橙色pink 粉红色purple 紫色red 红色white 白色yellow黄色Bodyarm 手臂ear 耳朵eye 眼睛face脸foot 脚,足hair 头发hand 手leg 腿mouth嘴,口nose 鼻子toe 脚趾tooth 牙Actionsbend 俯身;弯腰;使弯腰clap 拍手,鼓掌dance 跳舞jump 跳play 玩耍;演奏shake 摇动sing 唱歌stand 站立touch 触摸,碰四上Starter unita(an) 一,一个away 离开bag 袋,包bake 烘;烤;培bike 自行车blow a kiss 飞吻boy 男孩break 使破裂,打破;折断catch 抓住,捉住clock (时)钟cow 奶牛crazy 疯狂的do 〔与另一个动词连用,构成疑问句或否定句〕don’t=do not不football 足球go to school 上学have 有kiss 吻policeman 男警察ride 骑(马等)school 学校street 大街,街道take out 带〔某人〕出去through 穿过,通过Unit1April 四月August 八月autumn 秋天Canada 加拿大cold 冷的,寒冷的cool 凉的,凉爽的December 十二月February 二月how old 多大in 在〔某月、某年、某季等〕January 一月June 六月March 三月May 五月Nice to meet you.很高兴认识你。
Word list Starter unitand和,与are是begin开始child孩子(复数形式为children)colour给……着色;色彩,颜色come来come on 过来呀draw画easy容易的English英语fine健康的good好的goodbye再见guess 猜测hello你好hi〔非正式〕你好how怎么样(尤在见面时用于询问健康状况)I (I’m = I am) 我(我是)in在……里is是join 参加kid小孩,儿童let (let’s = let us)让(用于表示提议或帮忙)listen (to) 听look看* mime 比划着表达Miss小姐morning早晨,上午name名字OK 行,可以play玩耍read阅读ready 准备好的sing唱speak说话,讲话the〔用于表示你正在谈论一个已经提到过、已经知道的人或物〕think想tiger老虎today今天what (what’s = what is)什么(是什么)write写* yeah 〔非正式〕是,对you你your你的3年级上册54Unit 1action 行为apple苹果bed床* bye-bye 〔非正式〕再见,拜拜cat猫dog狗egg蛋go走me我my我的new新的* skateboard 滑板this这,这个Unit 2box盒crayon彩色蜡笔;彩色粉笔do做,干eight 八five 五flag 旗,旗帜four 四great非常好的;大的guitar 吉他horse马* how many 几个,多少个ice cream冰激凌juice(水果或蔬菜的)汁;水果(蔬菜)汁饮料jump跳kite风筝nine 九no不,不行number 数字;电话号码one 一phone 电话prize 奖品seven 七six 六* snail 蜗牛* super 极好的,了不起的ten 十thank感谢three 三two 二yes是,对* yippee 好啊* yuk 呸,啐,讨厌zero 零55Unit 3at向,朝black黑色blue蓝色brown褐色,棕色* butterfly 蝴蝶door门green绿色grey 灰色heeheehee 〔笑声〕嘿嘿嘿* Help ! 〔口语〕救命!here you are 给你* house房屋light灯like喜欢milk牛奶;羊奶night夜晚,夜间nose鼻子now现在* oh 〔用于引起别人的注意〕喂,嘿open开,打开orange柑橘,橙;橙色* phew 〔表示疲倦、热或放心〕啊!唷!唉!pink 粉红色plane飞机please请purple 紫色* rainbow 彩虹red红色too也,还white白色* wizard 巫师* wow 〔表示赞叹或惊奇〕呀!哇!yellow黄色Unit 4book书eraser 〔美〕橡皮* hooray 〔表示高兴的呼喊声〕好哇pen钢笔pencil铅笔* pencil case 铅笔盒;笔袋put放,放置queen 王后;Q(牌)rabbit 兔rubber 〔英〕橡皮擦ruler尺子,直尺schoolbag书包see看见,看到* skipping rope 跳绳star星;星状,星形table桌子tomorrow明天TV电视56Unit 5* abracadabra 阿布拉卡达布拉(表演魔术、施魔法时所念的咒语)banana香蕉birthday生日cake蛋糕can能,会cap帽子card卡片;贺卡catch 接住chocolate 巧克力Christmas 圣诞节day一天,一日happy 高兴的,快乐的* Happy birthday!生日快乐!* Happy New Year!新年快乐!have 吃;喝* hip, hip, hooray!〔表示赞许的声音〕加油!好哇!into 进入,到……里面lovely 美好的mouse 老鼠* New Year’s Day新年old(多少)岁ouch 哎唷party聚会,宴会,派对* pizza 比萨饼quick 快,快点run跑,奔跑snake 蛇* take off 脱下,脱去tea茶there〔表示某事物存在或发生〕thirsty 渴的,口渴的throw 投,扔tree 树* UFO 不明飞行物vegetable蔬菜* warning 警告,警示water水welcome 欢迎* wham 〔形容某物突然撞击他物的声音〕砰,嘭X-ray X射线,X 光year年* yoyo 悠悠,溜溜球* yummy 〔非正式〕美味的,可口的* zebra 斑马57Unit 6* all right 好的,好吧blackboard黑板board 板chair椅子classroom 教室* cut out 剪下;剪出(某种形状)desk书桌floor地板,地面letter 字母next time 下一次whiteboard 白板window窗,窗户with 和……一起won't 要不要NamesAlice 艾丽斯Ann 安Bob 鲍勃Clare 克莱尔Emma 埃玛Frank 弗兰克Fred 弗雷德Jack 杰克John 约翰Lisa 莉萨Maria 玛丽亚Mike 迈克Nick 尼克Pat 帕特Paul 保罗Pit 皮特Rita 丽塔Sam 萨姆Sandra 桑德拉Toby 托比Tom 汤姆Williams 威廉斯583年级下册4年级上册4年级下册Starter unitbeautiful 美丽的,美好的clean(把……)弄干净hard费劲地;费力地learn学习;学会New South Wales新南威尔士州soon不久,很快summer holiday暑假take 拍摄take photos拍照time 一段时间;某段日子the UK 英国umbrella伞;雨伞whose谁的work 工作,劳动Unit 1both 两者,两个都change 转变;转换come in 进来come on 快点cook煮,烧;厨师cousin堂[表]兄弟;堂[表]姐妹doctor医生,大夫driver司机,驾驶员family家庭fantastic 太好了;极好的farmer农民grandfather祖父;外祖父grandmother祖母;外祖母grandparent 祖父;祖母;外祖父;外祖母granny 〔非正式〕奶奶;外婆introduce 介绍,引见Little Red Riding Hood 小红帽member 成员nurse护士phone (给……)打电话police警察problem 问题,难题role 角色run away 逃跑scene 〔戏剧中的〕一场taxi 出租车these这些walk off 离开woods 〔常复〕小树林,林地word 字,词,单词worker 工人Word list (粗体单词是需要掌握的核心单词,标红星单词是超纲词)68Unit 2always总是,每次都band 圈,箍,带because 因为bell 铃bring带来cool冷静的,沉着的darling 亲爱的,宝贝儿dollar 元〔美国、加拿大、澳大利亚等国的货币单位〕easy不担心的;不紧张的everywhere 在各个地方;处处friendship 友谊hurt 弄伤;感到疼痛luck 好运,幸运mascot 吉祥物necklace 项链Olympic 奥运会的popular 受欢迎的Puma Ranch 美洲狮大牧场ring 戒指shell 贝壳silver 银制的;银(白)色的soft toy 毛绒玩具test 测验,测试watch out 小心Unit 3answer答案athlete 运动员collect收集,采集cyclist 骑自行[脚踏]车者end (使)结束;(使)停止go开始(做某事)kilometre 千米,公里opera house 歌剧院quarter 一刻钟,十五分钟say说special 特殊的,特别的spot (圆)点,斑点stamp 邮票tell告诉time次,回top 最佳的,最好的train火车,列车Yours 您真挚的〔用于信函的结尾〕69Unit 5also而且,还broken 破的;破碎的bush 灌木buy买candy糖果chewing gum 口香糖flower花garden 花园happen 发生hide 躲藏pass 传(球)pick 捡起,拿起plum 李子,梅子shall 将要till 直到wait等候,等待weekend 周末Unit 4autograph 〔名人的〕亲笔签名comic 连环漫画email电子邮件for为了要;为了得到gone 走了;不见了hat 帽子postcard 明信片sticker贴纸take 接受thief 小偷,贼Unit 6alright 好吧around 到处,四处cartoon 卡通(片),动画片castle 城堡,堡垒down处在更低的地方 [位置](的)dream 梦;做梦,梦见dust 灰尘,尘埃DVD 数字影碟fast asleep 熟睡的,酣睡的film电影,影片funny 有趣的ghost 鬼Hurry up! 快点!just a minute 请稍等key 钥匙70little幼小的lock 锁open开着的,打开的path 小径,小道pond 池塘prince 王子quickly 快速地right now 立即,马上sleep睡眠sometimes有时,间或talk谈话,交谈travel旅行zoo动物园across 从一边到另一边air 空中,天空appear 〔尤指突然〕出现beach 海滩,沙滩blush 〔因难为情而〕脸红bucket 桶cassette 盒式磁带fall 落下,降落,跌落flipper 脚蹼,鸭脚板golden 金色的,金黄色的hear听到,听见kick 踢laugh (大)笑lollipop 棒棒糖lolly 棒棒糖loud 大声的mask 面具meet 会面,碰头Nintendo 任天堂(日本电子游戏机商标名)no problem 没问题note pad 便条簿,记事本pretty 漂亮的,好看的princess 公主recorder 录音机several 几个,数个snorkel (潜水者的)呼吸管so 那么so that 为了,以便sound 声,声音stage 舞台such 如此,非常suddenly 突然地towel 毛巾trip 绊倒uh huh 嗯〔表示肯定的答复〕voice 说话声,嗓音want想要well井Supplementary activities & Three one-act plays71Vocabulary Aaacross 从一边到另一边air 空中,天空alright 好吧also 而且,还always 总是,每次都answer 答案appear 〔尤指突然〕出现around 到处,四处athlete 运动员autograph 〔名人的〕亲笔签名Bbband 圈,箍,带beach 海滩,沙滩beautiful 美丽的,美好的because 因为bell 铃blush 〔因难为情而〕脸红both 两者,两个都bring 带来broken 破的;破碎的bucket 桶bush 灌木buy 买Cccandy 糖果cartoon 卡通(片),动画片cassette 盒式磁带castle 城堡,堡垒change 转变;转换chewing gum 口香糖clean (把……)弄干净collect 收集,采集come in 进来come on 快点comic 连环漫画cook 煮,烧;厨师cool 冷静的,沉着的cousin 堂[表]兄弟;堂[表]姐妹cyclist 骑自行[脚踏]车者72Dddarling 亲爱的,宝贝儿doctor 医生,大夫dollar 元〔美国、加拿大、澳大利亚等国的货币单位〕down 处在更低的地方 [位置](的)dream 梦;做梦,梦见driver 司机,驾驶员dust 灰尘,尘埃DVD 数字影碟Eeeasy 不担心的;不紧张的email 电子邮件end (使)结束;(使)停止everywhere 在各个地方;处处Fffall 落下,降落,跌落family 家庭fantastic 太好了;极好的farmer 农民fast asleep 熟睡的,酣睡的film 电影,影片flipper 脚蹼,鸭脚板flower 花for 为了要;为了得到friendship 友谊funny 有趣的Gggarden 花园ghost 鬼go 开始(做某事)golden 金色的,金黄色的gone 走了;不见了grandfather 祖父;外祖父grandmother 祖母;外祖母grandparent 祖父;祖母;外祖父;外祖母granny 〔非正式〕奶奶;外婆73Hhhappen 发生hard 费劲地;费力地hat 帽子hear 听到,听见hide 躲藏Hurry up! 快点!hurt 弄伤;感到疼痛Iiintroduce 介绍,引见Jjjust a minute 请稍等Kkkey 钥匙kick 踢kilometre 千米,公里Lllaugh (大)笑learn 学习;学会little 幼小的Little Red Riding Hood 小红帽lock 锁lollipop 棒棒糖lolly 棒棒糖loud 大声的luck 好运,幸运74OoOlympic 奥运会的open 开着的,打开的opera house 歌剧院Pppass 传(球)path 小径,小道phone (给……)打电话pick 捡起,拿起plum 李子,梅子police 警察pond 池塘popular 受欢迎的postcard 明信片pretty 漂亮的,好看的prince 王子princess 公主problem 问题,难题Puma Ranch 美洲狮大牧场Mmmascot 吉祥物mask 面具meet 会面,碰头member 成员Nnnecklace 项链New South Wales 新南威尔士州Nintendo 任天堂(日本电子游戏机商标名)no problem 没问题note pad 便条簿,记事本nurse 护士Qqquarter 一刻钟,十五分钟quickly 快速地75Rrrecorder 录音机right now 立即,马上ring 戒指role 角色run away 逃跑Sssay 说scene 〔戏剧中的〕一场several 几个,数个shall 将要shell 贝壳silver 银制的;银(白)色的sleep 睡眠snorkel (潜水者的)呼吸管so 那么so that 为了,以便soft toy 毛绒玩具sometimes 有时,间或soon 不久,很快sound 声,声音special 特殊的,特别的spot (圆)点,斑点stage 舞台stamp 邮票sticker 贴纸such 如此,非常suddenly 突然地summer holiday 暑假Tttake 拍摄;接受take photos 拍照talk 谈话,交谈taxi 出租车tell 说明test 测验,测试the UK 英国these 这些thief 小偷,贼till 直到time 次,回;一段时间;某段日子top 最佳的,最好的towel 毛巾train 火车,列车travel 旅行trip 绊倒7677Uuuh huh 嗯〔表示肯定的答复〕umbrella伞;雨伞Vvvoice 说话声,嗓音YyY ours 您真挚的〔用于信函 的结尾〕Zzzoo 动物园Wwwait 等候,等待walk off 离开want 想要watch out 小心weekend 周末well 井whose 谁的woods 〔常复〕小树林,林地word 字,词,单词work 工作,劳动worker工人5年级下册。
三年级上册英语单词表序号 英文 中文序号 英文 中文1ruler尺子25nose鼻子2pencil铅笔26mouth嘴3eraser橡皮27arm胳膊4crayon蜡笔28hand手5bag包29head头6pen钢笔30body身体7pencil box铅笔盒31leg腿8book书32foot脚9no不33school学校10your你(们)的34duck鸭子11red红色:红色的35pig猪12green绿色;绿色的36cat猫13yellow黄色:黄色的37bear熊14blue蓝色;蓝色的38dog狗15black黑色;黑色的39elephant大象16brown棕色;棕色的40monkey猴子17white白色;白色的41bird鸟18orange橙色;橙色的42tiger老虎19OK好;行43panda大熊猫20mum妈妈44zoo动物园21mom妈妈(美式英语)45funny滑稽的;好笑的22face脸46bread面包23ear耳朵47juice果汁24eye眼睛48egg蛋序号 英文 中文序号 英文 中文49milk牛奶58five五50water水59six六51cake蛋糕60seven七52fish鱼肉;鱼61eight八53rice米饭62nine九54one一63ten十55two二64brother兄;弟56three三65plate盘子57four四66三年级下册英语单词表序号 英文 中文序号 英文 中文1UK英国25grandfather(外)祖父2Canada加拿大26grandpa(口语)(外)祖父3USA美国27family家;家庭4China中国28thin瘦的5she她29fat胖的;肥的6student学生30tall高的7pupil学生;(尤指)小学生31short矮的;短的8he他32long长的9teacher教师33small小的10boy男孩34big大的11and和;与35giraffe长颈鹿12girl女孩36so这么;那么13new新的37children(child的复数)儿童14friend朋友38tail尾巴15today今天39in在……里16father父亲;爸爸40under在……下面17Dad(口语)爸爸;爹爹41chair椅子18man男人42desk书桌19woman女人43cap帽子20mother母亲;妈妈44ball球21sister姐;妹45car小汽车22brother兄;弟46boat小船23grandmother(外)祖母47map地图24grandma(口语)(外)祖母48toy玩具序号 英文 中文序号 英文 中文49box盒;箱60twelve十二50pear梨61thirteen十三51apple苹果62fourteen十四52orange橙子63fifteen十五53banana香蕉64sixteen十六54watermelon西瓜65seventeen十七55strawberry草莓66eighteen十八56grape葡萄67nineteen十九57buy买68twenty二十58fruit水果69kite风筝59eleven十一70beautiful美丽的六年级上册英语单词表序号 英文 中文序号 英文 中文1science科学25tell告诉2museum博物馆26on foot步行3post office邮局27by(表示方式)乘4bookstore书店28bus公共汽车5cinema电影院29plane飞机6hospital医院30taxi出租汽车7crossing十字路口31ship(大)船8turn转弯32subway地铁9left左33train火车10straight笔直地34slow(使)放慢速度;慢的11right右35down减少;降低12ask问36slow down慢下来13sir(对男子的礼貌称呼)37stop停下先生14interesting有趣的38Mrs夫人15Italian意大利的39early早到的16restaurant餐馆40helmet头盔17pizza比萨饼41must必须18street大街;街道42wear戴19get到达43attention注意20GPS全球(卫星)定位系统44pay attention to注意21gave(give的过去式)提供45traffic交通;交给22feature特点46traffic lights交通信号灯23follow跟着47Munich慕尼黑(德国城市)24far较远的48Germany德国49Alaska阿拉斯加州(美国州名74half一半)50sled雪橇75price价格51fast快的76Mid-Autumn Festival中秋节52ferry轮渡77together一起53Papa Westray帕帕韦斯特雷岛78get together聚会54Scotland苏格兰79mooncake月饼55visit拜访80poem诗56film电影81moon月亮57see a film看电影82studies(study的第三人称单数形式)学习58trip旅行83puzzle谜59take a trip去旅行84hiking远足60supermarket超市85pen pal笔友61evening晚上;傍晚86hobby业余爱好62tonight在今晚87jasmine茉莉63tomorrow明天88idea想法;主意64next week下周89Canberra堪培拉(澳大利亚首都)65dictionary词典90amazing令人惊奇的66comic滑稽的91goal射门67comic book(儿童的)连环画册92join加入68word单词93club俱乐部69word book单词书94share分享70postcard明信片95factory工厂71lesson课96worker工人72space太空97postman邮递员73travel(尤指长途)旅行98businessman商人;企业家99police officer警察124deep深的100fisherman渔民125breath呼吸101scientist科学家126take a deep breath深深吸一口气102pilot飞行员127count数数103coach教练128count to ten数到十104country国家129chase追赶105head teacher校长130mice(mouse的复数)老鼠106sea大海131bad邪恶的;坏的107stay保持132hurt(使)受伤108university大学133ill有病;不舒服109gym体育馆134wrong有毛病110if如果135should应该111reporter记者136feel觉得;感到112use使用137well健康;身体好113type打字138sit坐114quickly迅速地139grass草坪115secretary秘书140hear听见116angry生气的141ant蚂蚁117afraid害怕142worry担心;担忧118sad难过的143stuck陷住;无法移动119worried担心的;发愁的144mud泥120happy高兴的145pull拉;拽121see a doctor看病146everyone每人122wear穿147六年级下册英语单词表序号 英文 中文序号 英文 中文1younger(young的比较级)更年轻的25watched(watch的过去式)看2older(old的比较级)更年长的26had(have的过去式)患病;得病3taller(tall的比较级)更高的27had a cold感冒4shorter(short的比较级)更矮的;更短的28slept(sleep的过去式)睡觉5longer(long的比较级)更长的29read(read的过去式)读6thinner(thin的比较级)更瘦的30saw(see的过去式)看见7heavier(heavy比较级)更重的31last最近的;上一个的8bigger(big的比较级)更大的32yesterday昨天9smaller(small的比较级)更小的33before在……之前10stronger(strong的比较级)更强壮的34drank(drink的过去式)喝11dinosaur恐龙35show演出12hall大厅36magazine杂志13metre米37better(well的比较级)更好的14than比38faster(fast的比较级)更快的15both两个都39hotel旅馆16kilogram千克;公斤40fixed(fix的过去式)修理17countryside乡村41broken破损的18lower(low的比较级)更低地42lamp台灯19shadow阴影;影子43loud喧闹的;大声的20smarter(smart的比较级)更聪明的44enjoy享受……乐趣;喜爱21become开始变得;变成45stay暂住;逗留22cleaned(clean的过去式)打扫46went(go的过去式)去23stayed(stay的过去式)停留;待47camp野营24washed(wash的过去式)洗48went camping(尤指在假日)野营序号 英文 中文序号 英文 中文49fish钓鱼;捕鱼71grass草坪50went fishing去钓鱼72gym体育馆51rode(ride的过去式)骑(马;自行车)73ago以前52hurt(hurt的过去式)(使)受伤74cycling骑自行车运动(或活动)53ate(eat的过去式)吃75go cycling去骑自行车54took(take的过去式)拍照76ice-skate滑冰55took pictures照相77badminton羽毛球运动56bought(buy的过去式)买78star星57gift礼物79easy容易的58fell(fall的过去式)摔倒80look up(在词典中或通过电脑)查阅59off从(某处)落下81Internet互联网60Labour Day劳动节82different不同的61mule骡子83active积极的;活跃的62Turpan吐鲁番84race赛跑63could(can的过去式)能85nothing没有什么64till直到86thought(think的过去式)想65beach海滩;沙滩87felt(feel的过去式)感觉66basket篮;筐88cheetah猎豹67part角色89trip绊倒68licked(lick的过去式)舔90woke(wake的过去式)醒69laughed(laugh的过去式)笑91dream梦70dining hall饭厅92。
湘少版英语三年级上册单词Unit1Hello 你好I 我Nice 愉快的Meet 遇见you 你too 也Unit2Who 谁good 好morning 早上Miss 小姐Afternoon 下午Unit3What 什么Your 你的name 名字my 我的Unit4Bag 包Thank 谢谢Welcome 欢迎Boy 男孩girl 女孩doll 洋娃娃man 男人woman 妇女Unit5He 他Brother 弟弟Father 爸爸She 她Mother 妈妈Sister 姐姐Unit6This 这Family 家庭Photo 相片Grandfather 爷爷Grandmother 奶奶Uncle 叔叔aunt 婶婶cousin 堂(表)兄弟姐妹Unit7soldier 士兵;战士postman 邮递员nurse 护士teacher 老师doctor 医生driver 司机Unit8fireman 消防员policeman 男警察policewoman 女警察pupil学生Unit9sorry 对不起know 知道nose 鼻子mouth 嘴巴head 头hair 头发ear 耳朵eye 眼睛tooth 牙齿Unit10touch 触摸raise 举起hand 手toe 脚趾leg 腿body 身体neck 脖子arm 手臂foot 脚Unit11cow 母牛take 拿card 卡片pig 猪duck 鸭子hen 母鸡mouse 老鼠Unit12schoolbag 书包in 在…里面ruler 尺子eraser 橡皮擦glue 胶水pencil-box 文具盒apple 苹果book 书pencil sharpener 削笔刀Unit13lion 狮子bird 鸟monkey 猴子all right 好吧dog 狗frog 青蛙cat 猫Unit14computer 电脑friend 朋友screen 屏幕can 能;会see 看见thing 东西on 在…上面me 我(宾格)need 需要keyboard 键盘type 打字word 字;单词show 显示many 许多湘少版英语三年级下册单词Unit1how 怎么样fine 美好的well 好的kind 友好的about 关于thanks 谢谢Unit2number 号码car 小汽车one 一two 二three 三four 四five 五six 六seven 七eight 八nine 九ten 十zero 零Unit3old 老的;旧的sick 生病的please 请birthday 生日Unit4the 这time 时间OK 好at 在…(时间/地点) clock 闹钟good-bye 再见eleven 十一twelve 十二o’clock …点钟night 晚上day 白天Unit5pen 钢笔count 数thirteen 十三fourteen 十四fifteen 十五sixteen 十六seventeen 十七eighteen 十八nineteen 十九twenty 二十Unit6color 颜色red 红色的pink 粉红色的blue 蓝色的yellow 黄色的white 白色的green 绿色的cloud 云Unit7food 食物drink 饮料、喝cup 杯子chopsticks 筷子bowl 碗plate 盘子Unit8banana 香蕉mango 芒果lemon 柠檬market 市场classroom 教室orange 桔子pineapple 菠萝Unit9like 喜欢sunny 晴朗的rain 雨ice-cream 冰淇淋rainy 有雨的warm 暖和的hot 热的Unit10cold 冷的weather 天气windy 有风的snowy 有雪的cloudy 有云的Unit11T-shirt T 恤衫they 他们;它们beautiful 漂亮的big 大的trousers 裤子shorts 短裤coat 外套dress 连衣裙shirt 衬衫Unit12come to 来到school 学校them 他们(宾格)ship 轮船by 乘坐(交通工具)plane 飞机car 小汽车him 他(宾格)bus 公共汽车bicycle 自行车train 火车Unit13shape 形状circle 圆形triangle 三角形robot 机器人Unit14jumper 套头毛衣mummy 妈妈fit 适合put on 穿上湘少版英语四年级上册单词Unit1are 是thanks 谢谢brother 弟弟sister 姐姐Unit2flag 旗sixteen 十六eleven 十一teapot 茶壶Unit3elephant 大象big 大的monkey 猴子naughty 调皮的tiger 老虎strong 强壮的beautiful 漂亮的small小的Unit4children(child的复数)孩子outing 郊游these 这些ladybird 瓢虫those 那些seagull 海鸥egg 蛋Unit5hungry 饥饿的dumpling 饺子jam 果酱bread 面包(不可数) biscuit 饼干noodle 面条rice 米饭(不可数)milk 牛奶Unit6whose 谁的purse 钱包scarf 围巾hat 帽子Unit7guess 猜left 左right 右turn 转弯traffic police 交通警察policeman 男警察coin 硬币Unit8painting 画exit 出口photo album 相册belt 腰带Unit9flat 旗number 号码their 他们的in front of 在door 门bedroom 卧室bed 床brown 褐色的;棕色的table 桌子chair 椅子wardrobe 柜橱Unit10where 哪里under 在…下面in 在…里面bathroom 浴室kitchen 厨房on 在…上面living room 客厅Unit11homework 家庭作业sum 总和wrong 错误的forty-six 四十六forty-four 四十四twenty 二十thirty 三十forty 四十fifty 五十sixty 六十seventy 七十eighty 八十ninety 九十one hundred 一百one hundred and forty-four 144Unit12swim 游泳fast 快地jump 跳high 高的;高地run 跑步throw 扔;投far 远的;远地fly 飞Unit13plate 盘子orange 橙色的grey 灰色的warm 暖和的Unit14lake 湖sky 天空boat 小船ship 轮船city 城市湘少版英语四年级下册单词Unit1a pair of 一双shoe 鞋cupboard 柜橱behind 在…后面new 新的glasses 眼镜Unit2in English 用英语busy 忙碌的can 能;会climb 爬write 写letter 信can’t=can not 不能Unit3make 制作piano 钢琴bake 烤;烘焙pie 甜馅饼mess 混乱boat 小船Unit4sleep 睡觉work 工作sweep 打扫cook 做饭paint 画Unit5hop 单足跳dance 跳舞basketball 篮球skip 跳绳Unit6walk 走;步行empty 空的go 去come 来holiday 假日;假期post office 邮局Unit7Sunday 星期天Monday 星期一Tuesday 星期二Wednesday 星期三Thursday 星期四Friday 星期五Saturday 星期六music 音乐lesson 功课football 足球Unit8cool 凉快的spring 春天summer 夏天autumn 秋天winter 冬天Unit9from 从;来自international 国际的camp 营地China 中国Canada 加拿大India 印度France 法国America 美国Australia 澳大利亚Unit10how much 多少dollar 美元pound 英镑yuan 元lollipop 棒棒糖Unit11leg 腿foot 脚feet 脚(复数)finger 手指knee 膝盖puppet 木偶hold 握住;拿Unit12ticket 票hurry 匆忙的shirt pocket 衬衫口袋sock 短袜Unit13give 给Unit14any 一些money 钱湘少版英语五年级上册单词Unit1cold drink 冷饮market 市场hungry 饥饿的bun 包子feel 感觉have 有;吃Unit2home 家please 请soup 汤vegetable 蔬菜water 水breakfast 早餐lunch 午饭supper 晚餐salt 盐Unit3me 我(宾格)borrow 借进English 英语forget 忘记remember 记得;想起tomorrow 明天blackboard 黑板brush 刷子Unit4puppy 小狗pet 宠物shop 商店rabbit 兔子cage 笼子lovely 可爱的hold 拿;握;抱Unit5raincoat 雨衣long 长的short 短的thick 厚的thin 薄的;瘦的that 那cheap 便宜的Unit6sweet 糖果;甜的a box of 一盒hard 硬的soft 软的teeth (tooth的复数)牙齿jelly 果冻nut 坚果lollipop 棒棒糖chocolate 巧克力ice-cream 冰淇淋Unit7hobby 业余爱好collect 收集sticker 贴画roller-blading 滑旱冰sticker album 贴画簿story 故事Unit8get up 起床go to bed 上床睡觉timetable 时间表Chinese 汉语math 数学music 音乐half past one 一点半class 课堂Unit9make the bed 整理床铺iron 熨烫clothes 衣服him (he的宾格)他meal 一餐plant 植物Unit10sign 标志mean 意味着cinema 电影院Guests do not go in 闲人免进No mobile phone 请勿使用手机No talking 请勿讲话No fishing 请勿钓鱼No picking of flowers请勿摘花No spitting 请勿随地吐痰No parking 请勿停车turn 转弯Unit11teacher 老师happy 高兴的angry 生气的sad 伤心的shy 害羞的tired 累的;疲劳的snap one’s fingers 弹某人的手指clap 拍手wink 眨眼fold 合拢;折叠Unit12Spring Festival 春节relative 亲戚eve of the Spring Fstival 除夕reunion 团圆red packet 红包burn 燃放;点燃firecracker 鞭炮lion dance 舞狮dragon dance 舞龙Unit13comb 梳头kind 友好的sharpen 削尖;磨快Unit14Hunan Provincial Museum湖南省博物馆Yueyang Tower 岳阳楼Taoyuadong National ForestPark 桃源洞国家森林公园Window of the World世界之窗湘少版英语五年级下册单词Unit1roof 房顶chimney 烟囱above 在…的上方Unit2wait 等待rubbish bin 垃圾桶dirty 脏的be careful 小心café咖啡店spill 使…溅出;溢出sugar 糖seat 座位a cup of 一杯tea 茶Unit3anyone 任何人road 道路;马路corner 角落;拐角处post office 邮局outside在…的外面(反inside)shopping centre 购物中心street 街;街道near 在…附近Unit4yesterday 昨天today 今天sick 生病的weekday 平日weekend 周末railway station 火车站hand in 交上then 那么;当时finish 完成;结束Unit5metre=meter 米;公尺race 赛跑sports 运动会first 第一second 第二third 第三fourth 第四fifth 第五sixth 第六seventh 第七eighth 第八ninth 第九tenth 第十last 最后Unit6help 帮助ring 戒指look for 寻找beside 在…旁边lamp 台灯sofa 沙发on top of 在…的顶部Unit7Year 年Children’s Day 儿童节month 月份January 一月February 二月March 三月April 四月May 五月June 六月July 七月August 八月September 九月October 十月November 十一月December 十二月Unit8名词性物主代词mine 我的ours 我们的yours 你们的his 他的hers 她的theirs 他(它)们的its 它的both 两者;双方Unit9hit 打;击中matter 事情naughty 顽皮的each other 互相;彼此sorry 对不起Unit10enjoy 享受…的乐趣where 哪里outing 出游Underwater World 海底世界Yuelu Academy 岳麓书院Yuelu Mountain 岳麓山Zoo 动物园top 顶部Unit11strange 陌生的;奇怪的television 电视ask 问;询问storeroom 仓库steal 偷Unit12camp 营地taxi 出租汽车on foot 步行by subway 乘地铁Unit13National Day 国庆节search 搜索Unit14bamboo 竹子pen knife 小折刀scissors 剪刀paste 粘贴pull (反义push推)拉string 细绳;线broke(break过去式)拉断;打破湘少版英语六年级上册单词Unit1swing 秋千bench 长椅stone 石头angry 生气的bark 叫;咆哮chain 链子slide 坡面bite 咬cry 哭Unit2always 总是;一直family 家庭usually 通常often 经常late 晚的;迟的never 从不wave 挥动them 他们(宾格)wake up 醒来Unit3picnic 野餐library 图书馆science 科学Unit4magic 神奇的medicine 药miss 想念;错过lonely 孤独地mooncake 月饼egg yolk 蛋黄grape 葡萄tea 茶Unit5room 房间phone 电话clearly 清楚地;清晰地noisily 吵闹地quietly 安静地Unit6weak 虚弱的worried 但新的doctor 医生little 小的tall 高的age 年龄heavy 重的light 轻的;灯Unit7bull 公牛field 田地horn 角idea 注意;想法ugly 丑陋的rub 摩擦foolish 愚蠢的kill 杀死Unit8louder 更大声的(地)garden 花园smaller 更小的bigger 更大的hole 洞pleased 高兴的Unit9monkey 猴子pick up 摘shout 大声喊towards 朝;向put down 放下scold 责骂Unit10visit 参观;拜访stair 阶梯film 电影excited 兴奋的huge 巨大的Unit11meet 遇见swimming suit 游泳衣dangerous 危险的sand 沙子Unit12Christmas 圣诞节Present 礼物open 打开Santa Claus 圣诞老人=Father ChristmasStocking 长筒袜card 卡片bike 自行车computer 电脑robot 机器人Unit13carry 携带;搬运difficult 困难的understand 理解clever 聪明的Unit14fairy tale 童话故事pick 摘wolf 狼hide 躲藏arrive 到达reply 回答hunter 猎人湘少版英语六年级下册单词Unit1kid 小孩;年轻人good at 擅长于good idea 好主意picture 图画watch a film 看电影Unit2learn 学习skating rink 溜冰场keep 保持straight 直的fall over 跌倒Unit3cover 封面;覆盖enough 足够的sell 买bookstore 书店dictionary 字典dirty mark 污点useful 有用的of course 当然Unit4earth 地球light 灯Space Museum 太空博物馆land 陆地talk 谈论interested 感兴趣的Unit5similar 相似的same 相同的hawker 小商贩more 更多的fewer 较少的(few的比较级,加可数)different 不同的less 较少的;较小的(little的比较级,加不可数)Unit6across 穿过near 在…的附近interesting 有趣的butcher 肉贩;屠夫a piece of 一块;一片bridge 桥another 另一个better 更好的(good/well的比较级)other 其他的drop 掉下;落下Unit7most 最多的least 最少的boring 无趣的librarian 图书管理员space 太空Unit8Dragon Boat Race 龙舟赛rice dumpling 粽子famous 著名的poet 诗人lunar month 阴历月份Unit9notice 注意;通知bus fare 公共汽车费never mind 别介意catch 赶上;抓住(catch a bus)Unit10will 将会(加动词原形)won’t 将不会weather forecast 天气预报stay (stay at home呆在家)停留hate 讨厌;恨。
(word完整版)人教精通版小学英语3-6年级单词词汇表三年级上册单词Unit1Cat [k?t]猫monkey['m??ki]猴子dog[d?g]狗duck [d?k] 鸭子panda['p?nd?] 熊猫bear[be?]熊pig[pig]猪rabbit['r?bit]兔子bird[b??d]鸟mouse[ma?s]老鼠Unit2book[b?k]书bag[b?g]书包pen[pen]钢笔pencil['pens(?)l; -sil]铅笔pencil-box['penslb?ks]铅笔盒ruler['ru?l?]尺eraser[i'reiz?]橡皮sharpener['?ɑ?p?n?]卷笔刀glue[glu?]胶marker['mɑ?k?]马克笔Unit3nose[n??z]鼻子eye[ai]眼睛face[feis]脸mouth[ma?θ]口,嘴head[hed]头ear[i?]耳朵neck[nek]脖子arm[ɑ?m]手臂hand[h?nd]手leg[leg]腿knee[ni?]膝盖foot[f?t]脚Unit4doll[d?l]洋娃娃ball[b??l]球kite[kait]风筝balloon[b?'lu?n]气球car[kɑ?]汽车bus[b?s]公共汽车bike[baik]自行车taxi['t?ksi]出租汽车train[trein]火车ship[?ip]船plane[plein]飞机boat[b??t]小船Unit5red[red]红色的blue[blu?]蓝色的yellow['jel??]黄色的green[gri?n]绿色的purple['p??p(?)l]紫色的brown[bra?n]棕色的white[wait]白色的black[bl?k]黑色的pink[pi?k]粉红的orange['?rin(d)?]橙色的grey[grei]灰色的Unit6hamburger['h?mb??g?]汉堡包hot dog[h?t][d?g]热狗Coke[k??k]可乐cake[keik]蛋糕egg[eg]蛋orange['?rin(d)?]橙;桔子pear[pe?]梨子apple['?p(?)l]苹果banana[b?'nɑ?n?]香蕉milk[milk]牛奶juice[d?u?s]果汁water['w??t?]水rice[rais]米饭noodles['nu:dlz]面条chicken['t?ik?n]鸡肉人教精通版小学英语三年级下册unit1共10个单词chair[t?er]n.椅子Chinese book[,t?a?'ni:z b?k]语文书classroom['klɑ:sru:m]n.教室crayon['kre??n]n.蜡笔;蜡笔画desk[desk]n.书桌,写字台English book['??gl??b?k]英语书marker['mɑ:k?r]n.书签;记分员;标识物;作school[sku:l]n.学校storybook['st?:ribuk]n.故事书;小说water bottle['w?:t?(r)'b?tl]水瓶,水壶unit2共12个单词eight[e?t]num.八eleven[?'lev?n]num.十一five[fa?v]num.五four[f?:]num.四nine[na?n]num.九one[w?n]pron.一seven['sev?n]num.七six[s?ks]num.六ten[ten]num.十three[θri: ]num.三twelve[twelv]num.十二two[tu:]num.二unit3共10个单词aunt[ɑ:nt]n.伯母;舅母;婶;姑;姨brother['br?e?]n.兄;弟daughter['d?:t?]n.女儿father['fɑ:e?]n.父亲grandfather['ɡr?nd,fɑ:e?]n.爷爷;外公grandmother['ɡr?n,m?e?]n.奶奶;外婆mother['m?e?]n.母亲sister['s?st?]n.姐;妹son[s?n]n.儿子;后代uncle['??k?l]n.叔;伯;舅;姑夫;姨父unit4共10个单词bread[bred]n.面包candy['k?ndi]n.糖果coffee['k?fi]n.咖啡doughnut['d?un?t]n.[计]圆环图;油炸圈饼fruit[fru:t]n.水果;果实grapes[greips]n.葡萄(grape的复数)honey['h?n?]n.蜂蜜ice cream['ais'kri:m]n.冰淇淋jam[d??m]n.果酱;阻塞mango['m??ɡ?u]n.芒果unit5共10个单词elephant['el?f?nt]n.象kangaroo[,k??g?'ru:]n.袋鼠,大袋鼠lion['la??n]n.狮子mosquito[m?s'ki:t?u]n.蚊子,蚊虫nest[nest]n.巢;窝owl[aul]n.[动]猫头鹰;枭;惯于晚parrot['p?r?t]n.鹦鹉quail[kweil]vi.感到恐惧;畏缩,胆怯rooster['ru:st?]n.公鸡tiger['ta?ɡ?]n.老虎unit6共11个单词box[b?ks]n.盒子,箱子coat[k??t]n.外套skirt[sk?:t]n.女裙sweater['swet?]n.厚运动衫,毛衣T-shirt['ti:??:t]n.T恤衫;短袖无领汗衫uniform['ju:nif?:m]n.制服vest[vest]n.背心,内衣watch[w?t?]vt.观看,注视;当心,注意yacht[j?t]vi.乘游艇,驾游艇zebra['zi:br?]n.斑马zip[zip]n.拉链四年级上课本英语单词Unit11、China['t?a?n?]中国2、America[?'merik?]美国3、England['i?ɡl?nd]英国4、Singapore[,si?ɡ?'p?:]新加坡5、Canada['k?n?d?]加拿大6、good[g?d]好的7、friend[frend]朋友8、brother['br?e?]兄弟9、sister['s?st?]姐妹10、boy[b??]男孩11、girl[g??l]女孩12、teacher['ti?t??]教师13、farmer['fɑ?m?]农民14、postman['p??s(t)m?n]邮递员15、doctor['d?kt?]医生16、nurse[n??s]护士17、driver['dra?v?]司机,驾驶员Unit21、class[klɑ?s]班级2、grade[gre?d]年级3、one[w?n]一4、two[tu?]二5、three[θri?]三6、four[f??]四7、thirteen[θ??'ti?n;'θ??ti?n]十三8、fourteen[f??'ti?n;'f??ti?n]十四9、five[fa?v]五10、six[s?ks]六11、fifteen[f?f'ti?n;'f?fti?n]十五12、sixteen[s?ks'ti?n;'s?ksti?n]十六13、seven['sev(?)n]七14、eight[e?t]八15、seventeen[sev(?)n'ti?n]十七16、eighteen[e?'ti?n;'e?ti?n]十八17、nine[na?n]九18、ten[ten]十19、nineteen[na?n'ti?n;'na?nti?n]十九20、twenty['twent?]二十Unit31、pineapple['pa?n?p(?)l]菠萝2、lemon['lem?n]柠檬3、apple['?p(?)l]苹果4、pear[pe?]梨5、watermelon西瓜6、kiwi fruit['ki?wi?; -w?][fru?t]猕猴桃7、orange['?r?n(d)?]橙子,橘子8、banana[b?'nɑ?n?]香蕉9、potato[p?'te?t??]土豆,马铃薯10、tomato[t?'mɑ?t??]西红柿11、carrot['k?r?t]胡萝卜12、cucumber['kju?k?mb?]黄瓜13、eggplant['egplɑ?nt]茄子14、green pepper[gri?n]['pep?]青椒Unit41、fine[fa?n](天气)晴朗的2、nice[na?s]好的,令人愉快的3、warm[w??m]温暖的4、cool[ku?l]凉爽的5、hot[h?t]炎热的6、cold[k??ld]寒冷的7、sunny['s?n?]晴朗的8、cloudy['kla?d?]多云的,阴天的9、windy['w?nd?]有风的,多风的10、rainy['re?n?]下雨的,多雨的11、snowy['sn]下雪的,多雪的Unit51、cap[k?p](无边的)帽子2、hat[h?t](有边的)帽子3、T-shirt[ti?][t]T恤衫4、dress[dres]女服,连衣裙5、blouse['bla?z]女衬衫6、jacket['d??k?t]短上衣,夹克衫7、raincoat['re?nk??t]雨衣8、sweater['swet?]毛线衫,毛衣9、skirt[sk??t]短裙10、shirt[t]衬衫11、shorts[ts]短裤12、jeans[d?inz]牛仔裤13、socks[s?ks]短袜14、shoes[?u?z]鞋子Unit61、big[b?g]大的2、small[sm??l]小的3、long[l??]长的4、tall[t??l]高的5、short[t]短的,矮的6、fat[f?t]胖的,肥的7、strong[str??]强壮的8、thin[θ?n]瘦的9、new[nju?]新的10、old[??ld]旧的,老的11、happy['h?p?]幸福的,快乐的四年级下英语单词第一单元home[h??m]家bedroom['bedru?m]卧室bed[bed]床desk[desk]客桌chair[t?e?]椅子living room['l?v??ru:m]起居室TV['ti:'vi:]电视sofa['s??f?]沙发armchair[ɑ?m't?e?]单人沙发;扶手椅ball[b??l]球kite[ka?t]风筝kitchen['k?t??n]厨房fridge[fr?d?]冰箱table['te?bl]桌子study['st?d?]书房computer[k?m'pju?t?]电脑picture['p?kt??]图片;照片bathroom['bɑ?θru?m]浴室DVD player DVD['ple??]播放器clock[kl?k]时钟第二单元twenty-one['twenti'w?n]二十一twenty-two['twenti'tu:]二十二twenty-three['twenti'θri:]二十三twenty-four[,tw?nti'f?r]二十四twenty-five[,tw?nt?'fa?v]二十五twenty-six[[,tw?nt?'s?ks]二十六twenty-seven[,tw?nt?'sev(?)n]二十七twenty-eight[,tw?nt?'e?t]二十八twenty-nine[,tw?nt?'na?n]二十九eleven[?'lev(?)n]十一tweleve[twelv]十二thirty['θ??t?]三十forty['f??t?]四十boy[b??]男孩girl[g??l]女孩fifty['f?ft?]五十sixty['s?kst?]六十teacher['ti?t??]教师school[sku?l]学校seventy['sev(?)nt?]七十eighty['e?t?]八十bag[b?g]书包book[b?k]书ninety['na?nt?]九十one hundred[w?n'h?ndr?d]一百pen[pen]钢笔pencil['pens(?)l]铅笔第三单元maths[m?θs]数学PE[?pi?i:]体育Chinese[,t?ai'ni:z]中文English['??ɡl??]英语music['mju?z?k]音乐art[ɑ?t]美术subject['s?bd?ekt]科目;学科science['sa??ns]科学lesson['les(?)n]课drama['drɑ?m?]戏剧listen['l?s(?)n]听do[du?]做speak[spi?k]说listen and do['l?s(?)n?nd du?]听听做做play and act[ple??nd?kt]说说唱唱sing[s??]唱歌play[ple?]玩act[?kt]表演第四单元day[de?]天week[wi?k]周Sunday['s?nde?]星期日Monday['m?nde?]星期一Tuesday['tju?zde?]星期二Wednesday['wenzde?]星期三Thursday['θ??zde?]星期四Friday['fraidi]星期五Saturday['s?t?d?]星期六today[t?'de?]今天weekend[wi?k'end]周末park[pɑ?k]公园theme park[θi?m pɑ?k]主题公园;游乐园第五单元picnic['p?kn?k]野餐sausage['s?s?d?]香肠bread[bred]面包cake[ke?k]蛋糕lunch[l?n(t)?]午餐pork[p??k]猪肉beef[bi?f]牛肉rice[ra?s]米饭chicken['t??k?n鸡肉sing[s??]唱歌dance[dɑ?ns]跳舞paint[pe?nt](用颜料)绘画draw[dr??]画画read[ri?d]读watch[w?t?]看play[ple?]玩read a book[ri?d?b?k]看书watch TV[w?t?]看电视play computer games[ple?k?m'pju?t?'ɡe?mz]玩电脑游戏game[ge?m]游戏do[du?]做go[g??]去shop[??p]购物go shopping[g??'??p??]去购物swim[sw?m]游泳go swimming[g??'sw?m??]去游泳fish[f??]鱼;钓鱼go fishing[g??'f]去钓鱼第六单元zoo[zu?]动物园farm[fɑ?m]农场giraffe[d??'rɑ:f]长颈鹿camel['k?m(?)l]骆驼monkey['m??k?]猴子panda['p?nd?]熊猫bear[be?]熊seal[si?l]海豹dolphin['d?lf?n]海豚hippo['h?p??]河马tiger['ta?g?]老虎cat[k?t]猫dog[d?g]狗horse[h??s]马cow[ka?]母牛;奶牛sheep[?i?p]绵羊goat[g??t]山羊duck[d?k]鸭pig[p?g]猪五年级英语(精通版)上册单词表Unit1Britain英国Australia澳大利亚New Zealand新西兰hello喂,嗨hi喂,嗨I我am是I’m=I amFrance法国Germany德国Russia俄罗斯where哪里are是you你,你们from从city城市road道路street街道what 什么is是your你的你们的name名字what’s=what isUnit2Clever聪明的quiet安静的pretty漂亮的,美丽的her她的his他的eye眼睛nose鼻子hair头发smart聪明的cute可爱的lovely可爱的active活泼的,好动的how old多大年龄he他she她beautiful漂亮的;美丽的that那,那个handsome英俊的man男人;男士woman女人;女士Unit3Write作业singer歌手歌唱家dancer舞蹈者,舞蹈演员this这,这个family家庭,家族father父亲mother母亲Love爱worker工人actor演员actress女演员a一个an一个parent(s)父母亲policeman警察policewoman 女警察reporter记者who谁uncle叔(伯舅姑姨)夫police警察;警方aunt婶(伯舅姑姨)母Unit4Cinema电影院bank银行hotel宾馆work工作study学习CCTV中国中央电视台hospital医院shopping mall购物中心in在...里面On在...上面at在shop商店restaurant饭馆company公司library图书馆grandfather(grandpa)(外)祖父grandmother(grandma)(外)祖母driver司机Unit5Schoolbag书包activity book活动手册dictionary词典put放置ruler尺子crayon蜡笔yes是的fish鱼hen母鸡goose鹅animal动物cow奶牛horse马elephant大象no不not不,不是isn’t=is not sun cap太阳帽camera照相机it它time时间whose谁的umbrella雨伞fan扇子Unit6Coconut椰子grapefruit西柚葡萄柚hami melon哈密瓜fruit 水果juice果汁milk牛奶water水watermelon西瓜cherry樱桃strawberry草莓star fruit杨桃peach桃food食品noodle(s)面条longan龙眼lychee荔枝these这些those那些they他们thank谢谢they’re=they are英语复习资料五年级上:Unit1单词:国家单词:Britain英国Australia澳大利亚New Zealand新西兰France法国Germany德国Russia俄罗斯China中国Canada加拿大America 美国Singapore新加坡四会句子:三会句子:I’m Bob.I’m eleven.I come from Britain.Where are you from?Where do you come from?I’m from China.I come from New Zealand.What’s yo ur name?Where do you live?My name is Carl.I live on Shanghai Street.Unit2描述人的形容词:clever聪明的quiet安静的pretty漂亮的smart聪明的cute可爱的lovely可爱的active活泼的beautiful漂亮的handsome英俊的身体部位单词:Eye眼睛nose鼻子hair头发ear耳朵arm胳膊foot脚face脸mouth嘴leg腿hand手四会句子:三会句子:What’s his name?He’s clever.His name is Peter.She’s pretty.What’s her name?How old is he?Her name is ZhouPei.He is eleven.He’s smart.How old are you?How old is she?I’m ten.She is twelve.She is cute.She’s beautiful.Who’s that man?He is my uncle.He is handsome.Who’s that woman?She is my aunt.Unit3职业单词:Writer作家singer歌手dancer舞蹈家worker工人actor演员actress女演员policeman警察policewoman女警察reporter 记者police警察driver司机家庭成员单词:Father爸爸mother妈妈uncle叔叔aunt阿姨sister姐妹brother兄弟grandfather爷爷grandmother奶奶cousin表兄弟、姐妹四会句子:三会句子:This is my father.He is a writer.This is my mother.She is a dancer.He is an actor.What does your father do?She is a worker.What does your mother do?Who’s he?What’s his job?He’s my uncle.He’s a policeman.Who’s she?What’s her job?She’s my aunt.She’s a policewoman.Unit4地点介词:In在...里on在...上at在地点词语:Cinema电影院bank银行hotel宾馆hospital医院shopping mall购物中心restaurant饭馆company公司library图书馆四会句子:三会句子:Where do you work?Where do you study?I work in a cinema.I study at Sunny School.He works in Beijing Hospital.Where does your father work?She works at CCTV.Where does your mother work?My grandfather is a taxi driver.My mother is a teacher in a school.My father is a manager in a big company. Unit5动物单词:Fish鱼hen母鸡goose鹅cow母牛horse马elephant大象学习用品单词:Schoolbag书包ruler尺子crayon蜡笔dictionary字典activity book活动手册生活用品单词:Sun cap太阳帽camera照相机umbrella雨伞fan扇子四会句子:三会句子:Is this your schoolbag?Is this your ruler?Yes,it is.No,it isn’t.Is that your elephant?Is that your fish?No,it isn’t.Yes,it isn’t.Whose umbrella is this?It’s Peter’s umbrella.Unit6水果单词:Coconut椰子grapefruit西柚hami melon哈密瓜watermelon 西瓜cherry樱桃strawberry草莓star fruit杨桃peach桃子longan 龙眼、桂圆grape葡萄饮料:Milk牛奶water水juice果汁orange橙汁食物:Noodle面条Hamburger汉堡bread面包chicken鸡肉hot dog 热狗rice米饭四会句子:三会句子:What’s this?It’s a pear.Can I have one?What’s that?It’s a watermelon.Yes,I’ll buy one for you.Is this a cherry?Yes,it is.Is that a peach?No,it isn’t.What are these?They are grapes.What are those?They are apples.五年级下:Unit1学校功能室:Meeting room会议室science lab科学实验室language lab语言试验室art club美术俱乐部music club音乐俱乐部学科单词:Science lesson科学课English lesson英语课music音乐课art 美术PE体育math数学Chinese语文动词短语:Borrow book借书have a meeting开会paint a picture绘画play the piano弹钢琴四会句子:Welcome to our school.欢迎来我们学校。
Aa little 有些a pair of 一双able 能about [ə'baut] 关于;大约accountant [ə'kauntənt] 会计active['æktiv] (积极的、活跃的)actor ['æktə] 男演员actress ['æktris] 女演员after school 放学以后again [ə'ɡen] 又air [εə] 空气air-conditioner ['εəkən,diʃən] 空调all right [ɔ:l] [rait] 好吧;好的always ['ɔ:lweiz, -wiz] 总是and [ænd] 和;并且angry ['æŋɡri] 生气的another [ə'nʌðə] 另一个answer ['ɑ:nsə, 'æn-] the phone 接电话ant [ænt] 蚂蚁any ['eni] 任何的;所有的apple ['æpl] 苹果Apr./April ['eiprəl] 四月arm [ɑ:m] 胳膊art room [ɑ:t] [ru:m]绘画教室artist ['ɑ:tist] 画家at 在……点钟at home 在家里Aug./Augest 八月aunt [ɑ:nt] 姨;姑姑;婶; .BAustralia [ɔ'streiljə] 澳大利亚baby ['beibi] 婴儿. .bag [bæɡ] 书包ball [bɔ:l] 球balloon [bə'lu:n] 气球banana [bə'nɑ:nə] 香蕉bank [bæŋk] 银行baseball player ['beisbɔ:l] ['pleiə] 棒球运动员bathroom ['bɑ:θrum] 卫生间bear [bεə] 熊because [bi'kɔz] 因为become [bi'kʌm] 变成bedroom ['bedru(:)m] 卧室beef [bi:f] 牛肉behind [bi'haind] 在…后边best [best] 最;极better 更好的between[bi'twi:n] 在…之间big [biɡ] 大的big—bigger更大的bike [baik] 自行车bird [bə:d] 鸟Birthday ['bə:θdei] 生日black [blæk] 黑色的blue [blu:] 蓝色的board [bɔ:d] 写字板boat [bəut] 小船body ['bɔdi] 身体book [buk] 书bookstore ['bukstɔ:] 书店boots [bu:ts] 靴子bored [bɔ:d]无聊的,烦人的bounce[bauns] 反弹boy [bɔi] 男孩bread [bred] 面包breakfast ['brekfəst] 早餐. .bridge [bridʒ] 桥brother ['brʌðə] 兄妹brown [braun] 棕色的building ['bildiŋ] 建筑物bus [bʌs] 公共汽车busy ['bizi] 忙碌的but[强 bʌt, 弱 bət, bʌt] (但是)buy presents ['prezənts,]—bought[bɔ:t] presents买礼物buy [bai] 购买by [bai] 经,乘Ccabbage[['kæbidʒ]] 洋白菜;卷心菜cake [keik] 蛋糕call [kɔ:l] 打电话can [kæn, kən] 能够;可以Canada ['kænədə] 加拿大canteen [kæn'ti:n] 食堂car [kɑ:] 小汽车carrot ['kærət] 胡萝卜cat [kæt] 猫catch [kætʃ] butterfly ['bʌtəflai] 捉蝴蝶chair [tʃεə] 椅子chart [tʃɑ:t] 图表cheap [tʃi:p] 便宜的.chicken ['tʃikin] 鸡肉Children’s Center 儿童活动中心china ['tʃainə] n. 中国;瓷器Chinese [trai'ni:z] n.中文,汉语;中国人adj. 中国的,中国人的;Chinese book [buk] 语文书chopstick(s) ['tʃɔpstik] 筷子cinema ['sinəmə] 电影院city ['siti] 城市class [klɑ:s] 班级;课程classmate ['klɑ:smeit] 同学classroom ['klɑ:srum] 教室clean [kli:n] 干净的clean [kli:n] the bedroom['bedru(:)m] 打扫卧室clean [kli:n] the room [ru:m, rum]打扫房间clean [kli:n] 打扫;清洁;擦干净的clean—cleaned打扫cleaner ['seilz,pə:sən] 清洁工climb [klaim] 往上爬climb mountains ['mauntin]爬山climb—climbed 爬climber ['klaimə] 攀登者close [kləuz] 关上.closet ['klɔzit] 壁橱clothes [kləuðz] 衣服cloud [klaud] 云cloudy ['klaudi] 多云的cm(centimeter) 厘米coffee ['kɔfi] 咖啡Coke [kəuk] 可乐cold [kəuld] 寒冷的collect [kə'lekt] leaves [li:vz] 收集树叶collect[kə'lekt]stamps[stæmp]—collecting stamps 集邮colour ['kʌlə] 颜色colour ['kʌlə] 颜色colourful ['kʌləful] 色彩丰富的come from 来自,从…来come out 露出comic ['kɔmik] book 漫画书company ['kɔmpəni] 公司computer [kəm'pju:tə] 计算机computer game [kəm'pju:tə] [ɡeim] 电脑游戏computer room 计算机教室cook [kuk] dinner ['dinə] 做饭cook the meals [mi:ls 烧饭cool [ku:] 订好的;酷的.cool [ku:l] 凉爽的;酷的count [kaunt] insects ['insekt] 数昆虫country ['kʌntri] 国家cousin 堂(表)兄弟;堂(表)姐妹Cousin ['kʌzən] 堂(表)兄弟;堂(表)姐妹cow [kau] 奶牛 .crayon ['kreiən] 蜡笔cucumber ['kju:kʌmbə] 黄瓜curtain ['kə:tən] 窗帘Ddad 爸爸口语date [deit] 日期day [dei] 天dear[diə] 亲爱的Dec./December[ di'sembə] 十二月deep [di:p] 深的deer [diə] 鹿design [di'zain] 设计desk [desk] 课桌dictionary ['dikʃənəri] 词典;字典difference ['difərəns]不同;区别different ['difərənt] 不同的dinner ['dinə] 晚餐;正餐. dive—diving 跳水do homework 做作业do an experiment [ik'speriment, ek's-] 做实验do housework ['hauswə:k] 做家务do morning exercises ['eksəsaiz] 晨练do the dishes [diʃ] 洗碗碟doctor [dɔktə] 医生do—did 做does doesn’t=does notdog [dɔɡ, dɔ:ɡ] 狗doll [dɔl] 玩具娃娃donkey ['dɔŋki] 驴子door [dɔ:] 门 .down [daun] 向下draw [drɔ:] pictures ['piktʃəz] 画画dress [dres] 连衣裙.drink [driŋk]饮料drink [driŋk] water['wɔ:tə, 'wɔ-]喝水drive [draiv] 驾驶driver [draivə] 司机.drop [drɔp] 一滴duck[ dʌk ] 鸭子Eeach [i:tʃ] 各自;每个ear [iə] 耳朵east [i:st] 东easy ['i:zi] 简单的eat dinner 吃晚饭eat [i:t] 吃eat breakfast 吃早饭eat good food—ate[et,eit] good food吃好吃的食物e-card 电子卡片eggplant'eɡplɑ:nt,-plænt] 茄子eight [eit] 八eighteen ['ei'ti:n] 十八eighth [eitθ, eiθ]第八either ['aiðə, 'i:-] 也elephant ['elifənt] 大象eleven [i'levən] 十一else [els] 其他;另外empty ['empti] the trash [træʃ] 倒垃圾end [end] table ['teibl] (床头柜)engineer [,endʒi'niə] 工程师England ['iŋglənd] n.英格兰;英国English ['iŋgliʃ] a.英国的;英国人的;英语的n.英语;英国人English book 英语书English class 英语课enjoy [in'dʒɔi] 从…获得乐趣eraser [i'reizə] 橡皮even ['i:vən]甚至evening 夜晚;晚上every ['evri] 每个;所有的everybody ['evri,bədi] 每个人excited [ik'saitid] 兴奋的;激动的excited [ik'saitid] 兴奋的excuse [ik'skju:z, ik'skju:s] me 对不起expensive [iks'pensiv] 昂贵的 . eye [ai] 眼睛Fface [feis] 脸factory ['fæktəri] 工厂fail [feil] 不及格;失败fall [fɔ:l] 落下Fall [fɔ:l] 秋天family ['fæmili] 家庭fan [fæn] 扇子;电扇far 远farm [fɑ:m] 农场farmer ['fɑ:mə] 农民fat [fæt] 胖的father ['fɑ:ðə] 父亲;爸爸favourite ['feivərit] 最喜欢的Feb./February ['dʒænjuəri] 二月feel ['fi:l] 感觉到feel 感觉feet ['fi:t, fi:t] 脚(复数)fifteen ['fifti:n] 十五fifth [fifθ] 第五fifth [fifθ] 第五fifty[ 'fifti ]五十fight [fait] 打架find [faind] 寻找;找到finger ['fiŋɡə] 手指first [fə:st] 第一fish[fiʃ] 鱼five [faiv] 五Fiy (过去式 flew) 飞flat [flæt] 公寓floor [flɔ:] 地板.flower ['flauə] 花flu [flu:] 流感Fly [flai] 飞fly kites 放风筝foot [fut] 脚football ['futbɔ:l] 足球 . for [f ɔ:] 为;给forest ['fɔrist] 森林fork [fɔ:k] 叉子forth [fɔ:θ] 第四forty ['fɔ:ti] 四十forty-one 四十一four [fɔ:] 四fourteen ['fɔ:'ti:n] 十四French [frentʃ] Fries 炸薯条fresh [freʃ] 新鲜的Friday ['fraidi] 星期五fridge [fridʒ] 冰箱friend [frend] 朋友from 从;来自fruit [fru:t] 水果fruit stand [stænd] 水果摊fun 快乐;乐趣fun[fʌn] 有趣;逗笑funnier 更滑稽的funny ['fʌni] (滑稽可笑的)Ggame [ɡeim]比赛garden ['ɡɑ:dn ] 花园garden ['ɡɑ:dn] 花园get off 下车get to 到达get up 起床get up [ɡet][ʌp ] 起床get—got 到达giraffe [dʒi'rɑ:f] 长颈鹿girl [ɡə:l] 女孩go fishing—went fishing去钓鱼go hiking [haiking] 去远足go hiking—went hiking 去郊游go home [həum] 回家go ice-skating—went ice-skating 去滑冰go shopping ['ʃɔpiŋ] 购物;买东西go skiing—went skiing 去滑雪go swimming—went swimming去游泳go to a park—went to a park 去公园go to bed 上床睡觉go to school [sku:l] 上学go to school 上学go to the cinema ['sinəmə] 去看电影go to the playground ['pleiɡraund] 去操场goal[ɡəul] 得分goat [ɡəut] 山羊 .go—goes 去good afternoon [,ɑ:ftə:'nu:n]"下午好good idea [ɡud] [ ai'diə] 好主意good job [jɔb] 干得好good morning ['mɔ:niŋ] 早上好goodbye [,ɡud'bai] 再见go—went去grandfather ['ɡrænd,fɑ:ðə] (外)祖父grandma ['ɡrændmɑ:](口语)(外)祖母grandmother ['ɡrænd,mʌðə] 外祖母grandpa ['ɡrændpɑ:] 爷爷;外公grandpa ['ɡrændpɑ:](口语(外)祖父grape [ɡreip] 葡萄grape [ɡreip] 葡萄grass [ɡrɑ:s, ɡræs] 草great [ɡreit] 太好了green [ɡri:n] 绿色的green[ɡri:n] beans[bi:n] 青豆gues s[ɡes] 猜测gym [dʒim] 体育馆 .HHalloween [,hæləu'i:n]万圣节之前夕hamburger ['hæmbə:ɡə] 汉堡包happy ['hæpi]高兴的hardly ['hɑ:dli]几乎不have 有、吃have a cold [kəuld]感冒have a fever ['fi:və] 发烧have a headache ['hedeik] 头疼have a look [luk] 看一看have a picnic ['piknik]举行野餐have a sore[sɔ:] throat[θrəut]喉咙疼have a toothache ['tu:θeik] 牙疼have a try 试一试have English class 上英语课have to 不得不have to 必须;不得不have—hadhead [hed] 头healthy['helθi] 健康的hear[hiə] 听见heavy ['hevi] 重的;沉重的. heavy—heavier 更重的help [help] 帮助helpful ['helpful] 有帮助的helpyourself [help] [jɔ:'self] 随便吃hen [hen] 母鸡her 她的Her [ hə: ] 她的here you are [hiə] 给你high [hai] 高的him 他(宾格)Hobby ['hɔbi] 爱好holiday ['hɔlədi] 假期honey ['hʌni] 蜂蜜Hong Kong 香港horse [hɔ:s] 马hospital ['hɔspitəl] 医院hot [hɔt] 炎热的 .hot dog 热狗house [haus, hauz] 房子how [hau] 多么;怎么样how [hau] 怎样how [hau] many ['meni]多少how much 多少钱how 怎么,如何however [hau'evə] 但是hundred ['hʌndrəd] 百hungry ['hʌŋɡri] 饥饿的hurry ['hʌri] 抓紧;赶快 .hurt [hə:t]疼痛II’m=I am 我是if 如果ill [il] 有病的in 在…里面interesting [ˈɪntrɪstɪŋ,ˈɪntrəstɪŋ] 有趣的into ['intu:] 进入Jjacket [ 'dʒækit] 夹克衫Jan./January ['dʒænjuəri] 一月jeans [dʒi:nz] 牛仔裤jeep [dʒi:p] 吉普车juice [dʒu:s] 果汁July [dʒʊˈlaɪ] 七月jump [dʒʌmp] 跳June [dʒu:n] 六月just [dʒʌst] do it 就这么干吧just a minute['minit] 再多一会Kkangaroo [,kænɡə'ru:] 袋鼠key [ki:] 钥匙 .kick[kik] 踢kid [kid] 小孩;孩子Killer ['kilə] whale 虎鲸kind [kaind] 和蔼的、亲切的kitchen ['kitʃin] 厨房kite [kait] 风筝knife [naif] 刀know [nəu] 知道Llady['leidi] 女士;小姐;夫人lake [leik] 湖泊lamb [læm] 小羊;羔羊lamp [læmp] 台灯last weekend上一个周末last上一个的,仅余的,留在最后的laugh [lɑ:f, læf] at 因…而发笑leaf [li:f] (复数 leaves)叶子learn[lə:n] Chinese—learned Chinese学汉语leave ['piknik] 离开left 左边left [left] 左边的leg [leɡ] 腿let’s=let [let] us [ʌs] 让我们Library ['laibrəri] 图书馆library ['laibrəri] 图书馆 .light ['lait] 灯;管灯like [laik] 喜欢listen ['lisən] to music ['mju:zik]听音乐little ['litl] 小的live –lives 居住living ['liviŋ] room 起居室lobster ['lɔbstə] 龙虾long [lɔŋ, lɔ:ŋ] 长的long hair [ lʌŋ] [ hεə ] 长头发. long—longer 更长的look [luk] at [强æt, 弱ət]看;瞧look at 看一看look for 寻找love [lʌv] 爱;热爱lovely ['lʌvli] 可爱的lunch [lʌntʃ] 午餐Mmagazine [,mæɡə'zi:n] 杂志make [meik] the bed 铺床make a snowman ['snəumæn]堆雪人make kites—making kites 制作风筝make sure [ʃuə, ʃɔ:] 核实man [mæn] 男人many ['meni] 许多的Mar./March [mɑ:tʃ] 三月match[mætʃ] 比赛math [mæθ] 数学ma th book [mæθ] 数学书matter ['mætə] 事情;麻烦matter['mætə]事情,麻烦may [mei] 可以May [mei] 五月mean [mi:n] 意思是medicine ['medisin] 药meet [mi:t] 遇见;碰见member ['membə] 成员 .menu ['menju:, mə'nju:] 菜单meter [mi:tə] 米Mew Mew 猫咪might [mait]可以;能milk [milk] 牛奶minute['minit] 分钟mirror ['mirə] 镜子Miss 小姐mom 妈妈mom 妈妈口语Monday ['mʌndi, 'mʌndei]星期一)money ['mʌni] 钱monkey ['mʌŋki] 猴子month [mʌnθ] 月份Moral ['mɔrəl, 'mɔ:-] Studies 思想品德课mother ['mʌðə] 母亲;妈妈motor cycle ['saikl] 摩托车mountain ['mauntin] 山;山脉mouse ]maus, mauz] 老鼠mouth [mauθ] 嘴Mr (先生)music ['mju:zik] 音乐music class [klɑ:s] 音乐课music room ['mju:zik] 音乐教室.must 必须must 一定;肯定mutton['mʌtən] 羊肉my 我的Nnature ['neitʃə] park 自然公园near [niə] 在..旁边near [niə] 在…的旁边need [ni:d] 需要neighbour ['neibə] 邻居new [nju:] 新的New York 纽约newspaper ['nju:s,peipə, 'nju:z-] 报纸next [nekst] 下一个next to 与…相邻next week 下周nice [nais] 好的;愉快的nine [nain] 九nineteen [,nain'ti:n] 十九ninety-nine ['nainti] 九十九ninth [na inθ]第九no [nəu] 不;不是noodle(s) ['nu:dl] 面条(复数)noon 中午north 北方;向北方nose [nəuz] 鼻子not [nɔt] 不;不是的not much [mʌtʃ] 没什么notebook ['nəutbuk] 笔记本Nov./November [nəu'vembə] 十一月nurse [nə:s] 护士OOct./October [ɔk'təubə] 十月off 距;离;离开often ['ɔfən, 'ɔftən, 'ɔ:-] 经常often ['ɔfən, 'ɔftən, 'ɔ:-] 经常)old [əuld] (年老的)old—older 年龄更大的on 在…时候on 在…上面one [wʌn] 一onion ['ɔnjən] 洋葱.only ['əunli] 只有;仅仅open ['əupən] 打开orange ['ɔrindʒ] 橙色的orange ['ɔrindʒ] 橙子other ['ʌðə] 其他的our ['auə] 我们的.over ['əuvə] 结束over ['əuvə] 在…上面own [əun] 自己的PP.E. class 体育课P.E. 体育painting ['peintiŋ] 绘画pair [pεə] 一双;一对. panda ['pændə] 熊猫pants [pænts] 长裤parents ['pεərənts] 父母parents ['pεərənts] 父母亲park [pɑ:k] 公园party ['pɑ:ti] 聚会;晚会pass [pɑ:s] 传递pass[pɑ:s, pæs] 传递path [pɑ:θ, pæθ] 路peach [pi:tʃ] 桃pear [pεə] 梨Pen [pen] 钢笔pen pal 笔友pencil ['pensəl] 铅笔pencil-case ['pensəlkeis] 铅笔盒people ['pi:pl] 人们people ['pi:pl]人pet shop 宠物商店phone [fəun] 电话Photo ['fəutəu] 照片.pick [pik] up leaves[li:vz] 采摘树叶picture ['piktʃə] 照片picture ['piktʃə] 画;图画pig [piɡ] 猪pink [piŋk] 粉色的plane [plein] 飞机plant [plɑ:nt, plænt] 植物plant [plɑ:nt, plænt] trees [tri:]种树plant[plɑ:nt, plænt] 植物,种植plate [pleit] 盘子play [plei] chess[tʃes] 下棋play chess 下棋play sports 进行体育运动play the piano [pi'ænəu, pi'ɑ:-]弹钢琴play the violin—playing the violin[,vaiə'lin] 拉小提琴play with 玩…playground ['pleiɡraund] 操场play—played玩please 请police [pə'li:s] 警方;警察部门policeman [pə'li:smən] 警察pork[pɔ:k] 猪肉post [pəust] card [kɑ:d] 明信片Post [pəust] office['ɔfis, 'ɔ:-] 邮局pot [pɔt] 锅碗瓢盆potato [pə'teitəu] 土豆prepare [pri'pεə] 准备pretty ['priti] 漂亮的;可爱的principal ['prinsəpəl] 校长puppy ['pʌpi] 小狗purple ['pə:pl] 紫色的put [put] 放put away [ə'wei] the clothes 收拾衣服put on穿上. put on 动词,表示穿上衣服的动词,强调动作wear 动词,表示穿上衣服的动作,也可表示穿着衣服的状态,强调状态Qquiet ['kwaiət] 安静的 .Rrabbit ['ræbit] 兔子rabbit ['ræbit] 兔子 .rain [rein] 下雨rain [rein] 雨rain [rein] n.雨vi.下雨rainy ['reini] 下雨的.read a book 看书read a magazine [,mæɡə'zi:n] 阅读杂志read[ri:d] books 读书read—read 读read—reads 读,看ready ['redi] 准备好的really ['riəli, 'ri:li] 真地;确切地red [red] 红色的relax [ri'læks] 放松remember [ri'membə] 记住return [[ri'tə:n]] 送回;归还rice [rais] 米饭ride a bike--riding a bike 骑自行车right 右边right [rait] 右边的right [rait] 对的;正确的river ['rivə] 河流road [rəud] 公路robot['rəubɔt, -bət, 'rɔbət] 机器人room [ru:m] 房间row [rəu] a boat[bəut]—rowed a boat 划船ruler ['ru:lə] 尺子run [rʌn] 跑Ssad [sæd] 忧伤的,悲伤的salesperson ['seilz,pə:sən] 销售员salty ['sɔ:lti] 咸的same [seim] 相同的sandals ['sandl] 凉鞋Saturday ['sætədi; -dei] 星期六say [sei] 说school [sku:l] 学校schoolbag ['sku:lbæɡ] 书包science ['saiəns] 科学science ['saiəns] museum [mju:'ziəm] 科学博物馆seal [si:l] 海豹season ['si:zən] 季节seat [si:t] 座位.second ['sekənd] 第二See [si:] elephant['elifənt]—saw [sɔ:] elephant 看大象see you later 再见see 看见seed [si:d] 种子send [send] 寄;发送Sept./September [sep'tembə]九月set[set] the table 摆饭桌seven ['sevən] 七seventeen [,sevən'ti:n] 十七seventy ['sevənti] 七十.several ['sevərəl] 一些shark [ʃɑ:k] 鲨鱼sharpener['ʃɑ:pənə] 卷笔刀sheep [ʃip] 绵羊shelf [ʃelf ] 书架shine [ʃain] 照耀ship [ʃip] 船;舰shirt [ʃə:t] 衬衫shoe store 鞋店shoes [ʃuz] 鞋子shop [ʃɔp] 商店short [ʃɔ:t] 短的;矮的short [ʃɔ:t](矮的)short hair [ʃɔ:t ] 短头发shorts [ʃɔ:ts] 短裤short—shorter 更矮的should 应该show [ʃəu] 展示show[stæmp] 展览sick [sik] 不舒服的;有病的side [said] 边sing[siŋ] and dance[dɑ:ns, dæns]—sang[sæŋ] and danced 唱歌和跳舞singer ['siŋə] 歌唱家,歌手sister ['sistə] 姐妹six [siks] 六sixteen ['siks'ti:n] 十六sixty ['siksti(:)] 六十size [saiz] 尺码size [saiz]号码;尺码skate [skeit] 滑冰;滑冰鞋skirt [skə:t] 裙子sky [skai] 天空sleep [sli:p] 睡觉slippers ['slipə] 拖鞋small [smɔ:l] 小的small—smaller (体型)更小smart [smɑ:t] (聪明的、巧妙的)sneakers ['sni:kəz] 胶底帆布鞋;网球鞋snow [snəu] n.雪;vi.下雪snow [snəu] 雪snowy ['snəui] 下雪的 .so much 很;非常Social ['səuʃəl] Studies 社会课socks [sɔks] 袜子sofa ['səufə] 沙发soil [sɔil] 土壤some [sʌm] 一些;某些something ['sʌmθiŋ] 某事物sometimes ['sʌmtaimz](有时候)son [sʌn] 儿子soon [su:n] 不久soon 立刻;不久sore 疼的sorry ['sɔ:ri] 对不起 .sound [saund] 听起来soup [su:p]汤sour ['sauə] 酸的south [sauθ, sauð] 南speak [spi:k] to 和…讲话sperm [spə:m] whale[hweil] 抹香鲸spoon [spu:n] 勺子sports [spɔ:ts] 体育运动.Spring [spriŋ] 春天sprout[spraut] 苗,芽squid [skwid] 鱿鱼squirrel ['skwə:rəl] 松鼠start [stɑ:t] 开始stay [stei] 在;逗留still [stil] 仍然stop [stɔp] 停,停车站story-book['stɔ:ri] 故事书straight [streit] 成直线地strawberry ['strɔ:bəri] 草莓stream[stri:m] 河,溪strict [strikt] (严格的)strong [strɔŋ, strɔ:ŋ] (强壮的)strong [strɔŋ] 强壮的strong—stronger更强壮的student ['stju:dənt] 学生study ['stʌdi] 书房study ['stʌdi](过去式 studied)学习subway ['sʌbwei] 地铁Summer ['sʌmə] 夏天sun [sʌn] 太阳sun [sʌn] 太阳sun [sʌn] 太阳.Sunday ['sʌndei; -di] 星期天sunny ['sʌni] 晴朗的supermarket ['sju:pə,mɑ:kit] 超市sure [ʃuə] 当然可以.sweater ['swetə] 毛衣 .sweep [swi:p] the floor [flɔ:] 扫地sweet [[swi:t]] 甜的swim [swim] 游泳swim [swim](过去式 swam)游泳swing [swiŋ] 荡;荡秋千Ttake [teik] 乘坐take [teik] 买.take a trip [trip] 去旅行take pictures ['piktʃəz] 照相take pictures—took[tuk] pictures 照相talk [tɔ:k] 讲话tall [tɔ:l] 高的tall—taller更高的tasty ['teisti] 好吃的taxi ['tæksi] 出租车tea [ti:] 茶teacher ['ti:tʃə] 教师teacher,s-office ['ɔfis] 教师办公室teacher’s desk [desk] 讲台teach—teaches 教tell [tel] 告诉;说ten [ten] 十test [test]测试than 与…相比较thanks 多谢Thank sgiving ['θæŋks,ɡiviŋ; ,θæŋks'ɡ-] 感恩节that [ðæt] 那;那个 .the Great [ɡreit] Wall [wɔ:l]长城them [ðem] 它(他、她)们theme [θi:m] park [pɑ:k] 主题公园then 然后then [ðen] 那么then [ðen] 然后there [ðεə] be 有there [ðεə] 哪儿;那里these [ði:z] 这些.they are 他们是thin [θin] 瘦的thing [θiŋ] 东西;物think [θiŋk] 想;思考thin—thinner 更瘦的third [θə:d] 第三的third[θə:d] 第三thirteen 'θə:'ti:n] 十三thirty ['θə:ti] 三十.thirty-one 三十一this [ðis, 弱ðəs] 这个this afternoon 今天下午this evening 今天晚上this morning 今天上午this way [wei] 这边those [ðəuz] 那些.three[θri:] 三Thursday ['θə:zdi; -dei] 星期四tip [tip] 有用的小建议tired ['taiəd] 疲劳的,累的tofu 豆腐together [tə'ɡeðə] 一起地tomato[tə'mɑ:təu, -'mei-]西红柿tomorrow [tə'mɔrəu -'mɔ:-]明天tomorrow [tə'mɔrəu] 明天tomoto [tə'ma:təu] 西红柿ton [tʌn, tuŋ] 吨Tongue [tʌŋ] twister['twistə] 绕口令tonight [tə'nait] 今晚too [tu:] 也;太too many 太多了tourist ['tuərist] 旅行者;traffic ['træfik] 交通traffic light ['lait] 交通灯traffic rule [ru:l] 交通规则train [trein] 火车trash bin 垃圾箱tree [tri:] 树trip [trip] 旅行trunk [trʌŋk]象鼻try [trai] 尝试T-shirt T恤衫Tuesday ['tju:zdi] 星期二turn [tə:n] 转弯TV reporter [ri'pɔ:tə] 电视台记者TV room 电视机房twelfth [twelfθ] 第十二twelve [twelv] 十二twentieth ['twentiiθ] 第二十twenty ['twenti] 二十twenty ['twenti]-one 二十一twin[twin] 双胞胎之一two [tu:] 二Uuncle['ʌŋkl] 叔叔;舅舅.under ['ʌndə] 在…下面university [,ju:ni'və:səti] student ['stju:dənt, 'stu:-] 大学生up [ʌp] 至北方或北方城市us 我们(宾格 over there在那边use [ju:z] a computer[kəm'pju:tə] 使用计算机use [ju:z] 使用usually 通常;一般Vvapour ['veipə] 蒸汽;水汽vegetable ['vedʒitəbl] 蔬菜.very['veri] (很、非常)village ['vilidʒ] 乡村;村庄visit ['vizit] grandparents ['ɡrænd,pεərənt] 看望祖父母visitor ['vizitə] 客人;参观者visit—visited 看望W wait [weit] 等;等待wake [weik] up 醒来walk [wɔ:k] 走Walkman 随身听wall [wɔ:l] 墙want [wɔnt] 想要 .warm [wɔ:m] 暖和的wash [wɔʃ, wɔ:ʃ] the clothes[kləuðz] 洗衣服wash [wɔʃ, wɔ:ʃ] the windows ['windəu] 擦窗户washroom ['wɔʃrum] 卫生间wash—washed 洗watch TV 看电视watch[ wɔtʃ, wɔ:tʃ] insects ['insekt] 观察昆虫watch—watched 看water ['wɔ:tə] 水water the flowers ['flauə]浇花watermelon ['wɔ:təmelən] 西瓜way [wei] 路;道we 我们wear [wεə] 穿weather ['weðə] 天气.weather report [ri'pɔ:t] 天气预报. Wednesday ['wenzdi; -dei] (星期三)week [wi:k] 星期;周weekend [,wi:k'end, 'wi:kend] 周末well 好;对;满意地west [west] 西what for [wɔt] 为什么when 什么时候where [hwεə] 在哪里,到哪里where [wεə] 在哪里which [hwitʃ] 哪一个white [wait] 白色的whose [hu:z] 谁的why [hwai] 为什么win [win](过去式won)赢wind [wind] n.风window ['windəu] 窗户windy ['windi] 有风的winter ['wintə] 冬天with 同…woman ['wumən] 女人woods [wuds] 树木work [wə:k] 工作worry ['wʌri, 'wə:ri] 烦恼;担忧write [rait] a letter ['letə] 写信write an e-mail 写电子邮件writer ['raitə] 作家wtite a report [ri'pɔ:t] 写报告Yyellow ['jeləu] 黄色的yesterday ['jestədi,-dei] 昨天Young [jʌŋ] (年轻的)young—younger 更年轻的your [jɔ:, jəu, 弱jə] 你的;你们的yummy[ 'jʌmi] 好吃的.Zzoo [zu:] 动物园。
我这里有3~6年级的,包括每个单元和单词翻译,6个单元的单词都你能采纳。
Unit 1pen 钢笔pencil 铅笔pencil-case 铅笔盒ruler 尺子eraser 橡皮crayon 蜡笔book 书bag 书包sharpener 卷笔刀school 学校Unit 2 head 头face 脸nose 鼻子mouth 嘴eye 眼睛ear 耳朵arm 胳膊finger 手指leg 腿foot 脚body 身体Unit3red 红色的yellow 黄色的green 绿色的blue 蓝色的purple 紫色的white 白色的black 黑色的orange 橙色的pink 粉色的brown 棕色的Unit 4cat 猫dog 狗monkey 猴子panda 熊猫rabbit 兔子duck 鸭子pig 猪bird 鸟bear 熊elephant 大象mouse 老鼠squirrel 松鼠Unit 5cake 蛋糕bread 面包hot dog 热狗hamburger 汉堡包chicken 鸡肉French fries 榨薯条Coke 可乐juice 果汁milk 牛奶water 水tea 茶coffee 咖啡Unit 6one 一two 二three 三four 四five 五six 六seven 七eight 八nine 九ten 十doll 玩具娃娃boat 小船ball 球kite 风筝balloon 气球car 小汽车plane 飞机PEP英语三年级(下册)三会单词Unit 1boy 男孩girl 女孩teacher 教师student 学生this 这个my 我的friend 朋友I’m=I am 我是nice 好的;愉快的good morning 早上好good afternoon 下午好meet 遇见;碰见goodbye 再见too 也;太father 父亲;爸爸dad 爸爸(口语)mother 母亲;妈妈mom 妈妈(口语)man 男人woman 女人grandmother (外)祖母grandma (口语)(外)祖母grandfather (外)祖父grandpa (口语)(外)祖父sister 姐妹brother 兄妹let’s=let us 让我们great 太好了really 真地;确切地and 和;并且how 多么;怎么样Unit 3eleven 十一twelve 十二thirteen 十三fourteen 十四fifteen 十五sixteen 十六seventeen 十七eighteen 十八nineteen 十九twenty 二十how many 多少can 能够;可以look at 看;瞧Unit 4peach 桃pear 梨orange 橙子watermelon 西瓜apple 苹果banana 香蕉strawberry 草莓grape 葡萄like 喜欢some 一些;某些thanks 多谢bus 公共汽车bike 自行车taxi 出租车jeep 吉普车desk 课桌chair 椅子walkman 随身听lamp 台灯your 你的;你们的zoo 动物园Unit 6small 小的big 大的long 长的short 短的;矮的tall 高的giraffe 长颈鹿deer 鹿PEP四年级上册四会单词词汇表Unit 1computer(计算机) board(写字板) fan(风扇) light(灯) this(这;这个) is(是)my(我的) that(那;那个) your(你的) teacher’s desk(讲台) picture(图画;照片) wall(墙壁) floor(地板) yes(是;是的) it(它)Unit 2one(一) two(二) three(三) four(四) five(五) six(六) seven(七) eight(八) nine(九) ten(十) what(什么) time(时间) it’s=it is …o’clock(…点钟) math(数学) Chinese(语文) English(英语) P.E.(体育) music(音乐) for(为;给) class(课程)Unit 3jacket(夹克衫) shirt(衬衫) skirt(裙子) dress(连衣裙) T-shirt(T恤衫) red(红色的) blue(蓝色的) yellow(黄色的) green(绿色的) white(白色的) no(不;不是) not(不;不是的) colour(颜色)Unit 4warm(暖和的) cold(寒冷的) cool(凉爽的) today(今天) jeans(牛仔裤) pants(长裤) socks(袜子) shoes(鞋子) let’s=let us play(玩;踢) football(足球) snowy(下雪的) sunny(晴朗的)Unit 5how much(多少钱) big(大的) small(小的) long(长的) short(短的) apple(苹果) banana(香蕉) pear(梨) orange(橙子) watermelon(西瓜) are(是)they 它(他、她)们Unit 6horse(马) aren’t=are not cat(猫) rabbit(兔子) pig(猪) duck(鸭子) dog(狗)eleven(十一) twelve(十二) thirteen(十三) fifteen(十五) twenty(二十) how many(多少) there(那儿;那里)PEP四年级下册四会单词词汇表Unit 1computer(计算机) board(写字板) fan(风扇) light(灯) this(这;这个) is(是)my(我的) that(那;那个) your(你的) teacher’s desk(讲台) picture(图画;照片) wall(墙壁) floor(地板) yes(是;是的) it(它)Unit 2one(一) two(二) three(三) four(四) five(五) six(六) seven(七) eight(八) nine(九) ten(十) what(什么) time(时间) it’s=it is …o’clock(…点钟) math(数学) Chinese(语文) English(英语) P.E.(体育) music(音乐) for(为;给) class(课程)Unit 3jacket(夹克衫) shirt(衬衫) skirt(裙子) dress(连衣裙) T-shirt(T恤衫) red(红色的) blue(蓝色的) yellow(黄色的) green(绿色的) white(白色的) no(不;不是) not(不;不是的) colour(颜色)Unit 4warm(暖和的) cold(寒冷的) cool(凉爽的) today(今天) jeans(牛仔裤) pants(长裤) socks(袜子) shoes(鞋子) let’s=let us play(玩;踢) football(足球) snowy(下雪的) sunny(晴朗的)Unit 5how much(多少钱) big(大的) small(小的) long(长的) short(短的) apple(苹果) banana(香蕉) pear(梨) orange(橙子) watermelon(西瓜) are(是)they 它(他、她)们Unit 6horse(马) aren’t=are not cat(猫) rabbit(兔子) pig(猪) duck(鸭子) dog(狗)eleven(十一) twelve(十二) thirteen(十三) fifteen(十五) twenty(二十) how many(多少) there(那儿;那里)PEP五年级上册四会单词词汇表Unit 1Young (年轻的)funny (滑稽可笑的)tall (高的)strong (强壮的)kind (和蔼的、亲切的)old (年老的)short (矮的)thin (瘦的)Mr (先生)like (像、喜欢)strict (严格的)smart (聪明的、巧妙的)active (积极的、活跃的)quiet (安静的、文静的)very (很、非常)but (但是)Unit 2Mondy (星期一)Tuesday (星期二)Wednesday (星期三)Thursday (星期四)Friday (星期五)Saturday (星期六)Sunday (星期天)day (天)have (有、吃)on (在…..时候)do homework (做作业)watch TV (看电视)read books (读书)Unit 3eggplant (茄子)fish (鱼)green beans (青豆)tofu (豆腐)potato (土豆)tomato (西红柿)for (为)lunch (中餐)we (我们)tasty (好吃的)sweet (甜的)sour (酸的)fresh (新鲜的)salty (咸的)favourite (最喜欢的)they are (他们是)fruit (水果)grape (葡萄)Unit 4Cook the meals (倒垃圾)water the flowers (浇花)sweep the floor (扫地)clean the bedroom (打扫卧室)make the bed (铺床)set the table (摆饭桌)wash the clothes (洗碗碟)do the dishes (收拾衣服)use a computer (使用计算机Unit 5curtain (空调)trash bin (垃圾箱)closet (壁橱)mirror (镜子)end table (床头柜)bedroom (卧室)kitchen (厨房)bathroom (卫生间)livingroom (客厅)in (在…里面)on (在…上面)under (在…下面)near (在..旁边)behind (在…后边)clothes (衣服)Unit 6river (河流)flower (花)grass (草)lake (湖泊)forest (森林)path (路)pake (公园)picture (照片)hourse (房子)bridge (桥)tree (树)road (公路)building (建筑物)clean (干净的)PEP五年级下册四会单词词汇表Unit 1do morning exercises(晨练)eat breakfast(吃早饭)have english class(上英语课)play sports(进行体育运动)eat dinner(吃晚饭)when(什么时候)evening(夜晚;晚上)get up(起床)at(在……点钟)usually(通常;一般)noon(中午)climb mountains(爬山)go shopping(购物;买东西)play the piano(弹钢琴)visit grandparents(看望祖父母)go hiking(去远足)weekend(周末)often(经常)sometimes(有时候)Unit 2spring(春天)summer(夏天)fall(秋天)winter(冬天)season季节)which (哪一个)best(最;极)swim(游泳)fly kites(放风筝)skate(滑冰;滑冰鞋)make a snowman(堆雪人)plant trees(种树)why(为什么)because (因为)sleep(睡觉)Unit 3Jan./January(一月)Feb./February(二月)Mar./March(三月)Apr./April (四月)May(五月)June(六月)July(七月)Aug./Augest(八月)Sept./September(九月)Oct./October(十月)Nov./November(十一月)Dec./December(十二月)birthday(生日)uncle(叔叔;舅舅)her(她的)date(日期)Unit 4draw pictures(画画)cook dinner(做饭)read a book(看书)answer the phone (接电话)listen to music9(听音乐)clean the room(打扫房间)write a letter (写信)write an e-mail(写电子邮件)mom(妈妈)grandpa(爷爷;外公)study(书房)Unit 5fly(飞)jump(跳)walk(走)run(跑)swim(游泳)kangaroo(袋鼠)sleep(睡觉)climb(往上爬)fight(打架)swing(荡;荡秋千)drink water (喝水)Unit 6take pictures(照相)watch insects(观察昆虫)pick up leaves(采摘树叶)do an experiment(做实验)catch butterfly(捉蝴蝶)honey(蜂蜜)count insects (数昆虫)collect leaves(收集树叶)wtite a report(写报告)play chess(下棋)have a picnic(举行野餐)PEP六年级上册四会单词词汇表Unit 1by (经,乘) foot(脚) bike(自行车) bus(公共汽车) train(火车) how(怎样) go to school(上学)traffic(交通)traffic light(交通灯)traffic rule(交通规则)stop(停,停车站)wait(等待)get to(到达)Unit 2library(图书馆) post office(邮局) hospital(医院) cinema(电影院) bookstore(书店) where(在哪里,到哪里) please(请) next to(与…相邻) turn(转弯) right (右边)left(左边) straight(成直线地) then (然后)Unit 3next week(下周) this morning(今天上午) this afternoon(今天下午) this evening (今天晚上) comic book(漫画书) post card(明信片) newspaper(报纸) buy(购买)Unit 4hobby(爱好) ride a bike--riding a bike(骑自行车) dive--diving(跳水) play the violin—playing the violin(拉小提琴) make kites—making kites(制作风筝) collect stamps—collecting stamps(集邮) live –lives(居住) teach--teaches(教)go--goes(去) watch--watches(看) read--reads(读,看) does doesn’t=does notUnit 5singer(歌唱家,歌手) writer(作家) actor(男演员) actress(女演员) artist(画家) TV reporter(电视台记者) engineer(工程师) accountant(会计) policeman(男警察) salesperson(销售员) cleaner(清洁工) where(在哪里,到哪里)work(工作)Unit 6rain(雨) cloud (云) sun(太阳) stream(河,溪) come from(来自,从…来) seed(种子) soil(土壤) sprout (苗,芽) plant(植物,种植) should (应该) then(然后)PEP六年级下册四会单词词汇表Unit 1tall—taller更高的short—shorter 更矮的strong—stronger 更强壮的old—older 年龄更大的young—younger 更年轻的big—bigger 更大的heavy—heavier 更重的long—longer 更长的thin—thinner 更瘦的small—smaller (体型)更小的Unit 2have a fever 发烧have a sore throat喉咙疼have a cold感冒have a toothache 牙疼have a headache 头疼matter事情,麻烦sore 疼的hurt疼痛nose 鼻子tired疲劳的,累的excited兴奋的angry生气的happy高兴的bored无聊的,烦人的sad 忧伤的,悲伤的Unit 3watch—watched 看wash—washed 洗clean—cleaned打扫play—played玩visit—visited 看望do—did last weekend 上一个周末go—went去go to apark—went to a park 去公园go swimming—went swimming去游泳go fishing—went fishing去钓鱼read—read 读go hiking—went hiking 去郊游Unit 4leran Chinese—learned Chinese学汉语sing and dance—sang and danced 唱歌和跳舞eat good food—ate good food吃好吃的食物take pictures—took pictures 照相climb—climbed 爬have—had buy presents—bought presents买礼物row a boat—rowed a boat 划船see elephant—saw elephant 看大象go skiing—went skiing 去滑雪go ice-skating—went ice-skating 去滑冰how怎么,如何get—got 到达last 上一个的,仅余的,留在最后的小学英语词汇表(共619个单词)Aa, an, about, after, afternoon, again, ago, air, all, along, am, and, angry, animal, answer, ant, any, apple, April, are, ask, at, August, aunt, auntie, aunty, autumnBback, bad, bag, ball, banana, bank, basketball, bathroom, be, bean, bear, beautiful, bed, bee, before, begin, best, between, big, bike, bird, birthday, black, blackboard, blue, blow, boat, book, borrow, boots, bowl, box, pencil box, boy, bread, breakfast, bright, bring, brother, bus, but, buy, by, byeCcake, can, car, card, careful, carry, cartoon, cat, chair, cheap, cheese, chess, chick, chicken, child, children, chocolate, city, class, classroom, clean, clear, clearly, clever, climb, clock, close, clothes, coat, coffee, coin, cold, have a cold, colour,come, come back, come out, come to school, computer, cook, cool, corner, of course, cup, cutDdad, dance, dark, date, day, dear, December, deer, desk, difference, dirty, do, doctor, dog, door, down, draw, dress, drink, driver, dry, duckEear, early, east, eat, egg, eggplant, e-mail, English, enjoy, eraser, evening, every, every day, example, excuse, eyeFface, factory, family, ,far, farm, farmer, fast, fasten, fat, fax, February, feel, film, find, fine, finger, finish, first, fish, five, flag, flower, follow, fly, follow, food, foot, football, for, fork, fox, Friday, friend, fruitGgame, garden, gate, get, girl, give, glass, glasses, go, go to bed, go to school, goat, good, grade, grape, grass, great, green, guessHhair, half, hall, music, hand, happy, hard, hare, have, he, head, hear, hello, help, her, here, hers, hi, high, him, his, hold, hold on, holiday, home, go home, at home, homework, horse, hospital, in hot, hotel, hour, half an hour, house, how, hundred, hungry, hurryII, ice cream, idea, if, ill, in, in time, ink, interesting, internet, into, is, it, Italy, itsJjacket, Jane, January, jeep, join, juice, July, jump, June, justKkeep, key, kind, kite, knife, knowLladder, lady, lake, land, last, late, learn, leave, lend, lesson, let, letter, library, lift, light, like, line, listen, little, live, long, look, lose, a lot, love, luck, lunchMmadam, make, man, many, mango, how many, map, March, match, maths, May, may, maybe, me, meal, meet, meeting, merry, message, middle, milk, mine, minute, mirror, miss, model, mom(=mum) , moment, Monday, money, month,moon, morning, mother, mountain, mouse, mouth, movie, Mr, Mrs, much, how much, music, must, my, myselfNname, near, neat, need, neighbour, nervous, net, new, news, newspaper, next, nice, night, last night, no, No.(=number) , nose, not, nothing, November, now, number, nurseOOctober, of, office, often, oh, OK, old, on, one, only, open, or, orange, our, ours, out, outside, overPpanda, paper, parents, park, party, pass, past, peach, pear, pen, pencil, pet, phone, photo, piano, picture, pig, place, plane, plate, play, please, post, post office, postcard, postman, potato, price, purse, put, put onQquarter, question, queue, quietrabbit, radio, rain, raise, read, ready, red, remember, repair, return, right, river, road, room, round, row, ruler, runSsad, salad, salesman, same, sandwich, Saturday, sausage, save, say, school, schoolbag, season, second, see, September, shark, she, sheep, shelf, shell, ship, T-shirt, shoe, shop, shopping, short, should, shy, sick, sing, sister, sit, size, skate, skirt, sleep, slow, small, snail, snake, snow, so, sofa, some, something, son, song, sorry, speak, spell, sport, spring, stamp, stand, star, start, station, stay, stop, store, story, street, student, study, subway, summer, sun, Sunday, swimTtable, tail, take, take pictures, talk, tall, tea, teach, teacher, telephone, tell, temperature, tennis, test, thank, that, the, their, theirs, them, then, there, these, they, thick, thin, think, this, those, through, Thursday, ticket, tidy, time, to, today, toe, together, tomorrow, too, tooth, toy, train, tree, truck, try, Tuesday, turn,TV(=television) ,Uuncle, under, us, use,Vvery, visit, visitor volleyballWwait, wait for, walk, wall, want, warm, wash, watch, water, way, we, weather, Wednesday, week, welcome, well, wet, what, when, where, which, white, who, whose, why, will, wind, window, winter, with, wolf, woman, women, woods, word, work, worker, world, write, wrong,Yyea, yellow, yes, yesterday, you, young, your, yoursZZoo小学英语单词分类表一、学习用品(school things)pen钢笔pencil铅笔pencil-case铅笔盒ruler尺子book 书bag 包post card明信片newspaper报纸schoolbag书包eraser橡皮crayon蜡笔sharpener卷笔刀story-book故事书notebook笔记本Chinese book语文书English book英语书maths book数学书magazine杂志newspaper 报纸dictionary词典二、身体部位(body)foot脚head头face脸hair头发nose鼻子mouth嘴eye眼睛ear耳朵arm手臂hand手finger手指leg腿tail尾巴三、颜色(colours)red红blue蓝yellow黄green绿white白black黑pink粉红purple紫orange 橙brown棕四、动物(animals)cat猫dog狗pig猪duck鸭rabbit兔子horse马elephant大象ant蚂蚁fish鱼bird鸟snake蛇mouse鼠kangaroo袋鼠monkey猴子panda熊猫bear熊lion狮tiger老虎fox狐狸zebra斑马deer鹿giraffe长颈鹿goose鹅hen母鸡turkey火鸡lamb小羊sheep绵羊goat山羊cow奶牛shark鲨鱼seal海豹五、人物(people)friend朋友boy男孩girl女孩mother母亲father父亲sister姐妹brother兄弟uncle叔叔man男人woman女人Mr先生Miss小姐lady女士mom妈妈dad 爸爸parents父母grandma/grandmother(外)祖母grandpa/grandfather(外)祖父aunt阿姨cousin堂表兄弟姐妹son儿子baby婴儿kid小孩classmate同学queen女王visitor参观者neighbour邻居principal校长pen pal笔友tourist旅行者people人物robot机器人六、职业(job)teacher教师student学生doctor医生nurse护士driver司机farmer农民singer歌唱家writer作家actor男演员actress女演员artist画家TV reporter电视台记者engineer工程师policeman(男)警察salesperson销售员cleaner清洁工baseball player棒球运动员assistant售货员七、食品(food and drink:)breakfast早餐lunch中餐dinner晚餐egg鸡蛋rice米饭cake蛋糕bread面包jam果酱biscuit饼干sausage香肠sandwich三明治dumplings 饺子fish and chips炸鱼薯条meat肉chicken鸡肉mutton羊肉beef牛肉pork猪肉fish鱼hamburger汉堡hot dog热狗noodles面条soup汤salad沙拉milk牛奶water水ice-cream冰淇淋cola可乐juice果汁tea茶coffee咖啡fruit 水果apple苹果banana香蕉pear梨orange橙watermelon西瓜grape葡萄cherry 樱桃lemon 柠檬mango 芒果coconut椰子peach桃strawberry草莓vegetable 蔬菜eggplant茄子green beans青豆tomato西红柿potato土豆cucumber黄瓜onion洋葱carrot胡萝卜cabbage卷心菜pumpkin 南瓜sweet potato红薯pea 豌豆八、衣服(clothes)jacket夹克衫shirt衬衫T-shirt T恤衫skirt短裙子dress连衣裙jeans牛仔裤pants/trousers裤子socks袜子shoes鞋子sweater毛衣coat上衣raincoat雨衣s horts短裤sandals凉鞋boots靴子hat帽子cap鸭舌帽sunglasses太阳镜tie领带scarf围巾gloves手套九、交通工具(vehicles)bike自行车bus公共汽车train火车水boat小船ship轮船yacht快艇car小汽车taxi出租车jeep吉普车van小货车plane飞机subway地铁motor cycle摩托车十、杂物(other things)window窗户door门desk课桌chair椅子bed床computer 计算机board写字板fan风扇light灯teacher’s desk讲台picture图画;photo照片wall墙壁floor地板mirror镜子football足球present/gift礼物walkman随身听lamp台灯phone电话sofa沙发shelf书架fridge冰箱table桌子TV电视air-conditioner空调key钥匙lock锁plate盘子k nife刀fork叉spoon勺子chopsticks筷子pot锅toy玩具doll洋娃娃ball球balloon气球kite风筝jigsaw puzzle拼图游戏box盒子umbrella伞zipper拉链violin小提琴yo-yo溜溜nest鸟窝hole洞toothbrush牙刷menu菜单e-card电子卡片e-mail电子邮件traffic light交通灯money钱medicine药十一、地点(locations)home家room房间bedroom卧室bathroom卫生间living room起居室/客厅kitchen厨房classroom教室school学校park公园library图书馆post office邮政局hospital医院cinema电影院bookstore书店farm农场zoo动物园garden花园playground操场canteen餐厅teacher’s office教师办公室gym体育馆washroom盥洗室art room美术室computer room电脑房music room音乐教室TV room电视房flat 公寓company公司factory 工厂pet shop 宠物店science museum科学博物馆the Great Wall 长城supermarket超市bank 银行country乡村village村庄city城市十二、气象(weather)cold 冷的hot 热的warm温暖的cool 凉爽的snowy下雪的sunny晴朗的rainy下雨的windy刮风的cloudy多云的weather report天气预报十三、景物(nature)river河流lake湖泊stream小溪forest森林path小路road马路house房子bridge桥building建筑物rain雨cloud 云sun太阳mountain大山sky天空rainbow彩虹wind风air空气十四、植物(plants)flower 花grass草tree 树seed 种子plant 植物rose玫瑰leaf 树叶十五、星期(week)Monday Tuesday Wednesday Thursday Friday Saturday Sunday weekend周末十六、月份(months)January February March April May June July August September October November December十七、季节(seasons)spring summer fall/autumn winter十八、方位(directions)south南north北east东west西left 左right右十九、患病(illness)have a fever发高烧hurt 疼痛have a cold 伤风have a toothache 牙疼have a headache 头疼have a sore throat喉咙疼have a stomachache胃痛二十、数词(number)one two three four five six seven eight nine ten eleven twelve thirteen fourtee n fifteensixteen seventeen eighteen nineteen twenty二十thirty三十forty四十fifty五十s ixty六十seventy七十eighty八十ninety九十hundred一百first第一second第二third 第三fourth第四fifth第五月sixth第六seventh第七eighth第八ninth第九tenth 第十elevent h 第十一twelfth第十二二十一、形容词(adj.)big 大的small 小的long 长的tall高的short短的young 年轻的old老的strong强壮的thin瘦的active 积极的quiet安静的nice好的kind 善良的strict 严格的smart 聪明的funny滑稽的sweet甜的salty 咸的sour酸的fresh 新鲜favourite最喜欢的clean干净的tired累的excited(感觉)兴奋的angry生气的happy 高兴的bored无聊的sad 难过的taller更高的shorter更短的stronger更强壮的older更老的younger更年轻的bigger更大的heavier更重的longer 更长的thinner更瘦的smaller更小的good好的better更好的higher更高的fine好的great棒的heavy重的new新的fat胖的right对的hungry饿的cute可爱的little小的lovely可爱的beautiful漂亮的colourful五颜六色的pretty漂亮的cheap便宜的expensive贵的juicy有汁的healthy健康的helpful 有帮助的high高的easy简单的proud 骄傲的二十二、介词(prep.)in在……里面on 在……上面under在……下面near在……附近behind 在……后面next to 在……旁边over悬在……上面in front of在……前面二十三、代词(pron.)I 我we 我们you你,你们he 他she她it它they 他们my我的our我们的y our你的,你们的his他的her她的二十四、动词(verb.)play 玩swim 游泳skate溜冰fly 飞jump跳walk走run跑climb爬fight 打架swing荡秋千eat 吃sleep睡觉like喜欢have有buy买take拍(照),带live 居住teach 教go去study学习learn学习sing 唱歌dance跳舞row划read books读书do homework做作业watch TV 看电视cook the meals烧菜water the flowers浇花sweep the f loor 拖地clean the bedroom打扫房间make the bed铺床叠被set thetable摆餐桌wash the clothes洗衣服wash the dishes洗盘子use a computer 用电脑do morning exercises 做早操eat breakfast 吃早餐eat dinner 吃晚饭go to school去上学have English class上英语课play sports体育运动get up起床climb mountains爬山go shopping去购物p lay the piano弹钢琴visit grandparents拜访祖父母go hiking去远足fly kites 放风筝make a snowman堆雪人plant trees植树draw pictures画画cook dinner烧晚饭read a book读书answer the phone接电话listen to music听音乐clean the room打扫房间write a letter写信write an e-mail写电子邮件drink water喝水take pictures拍照片pick up leaves摘树叶write a report写报告play chess下棋have a picnic野餐get to到达ride a bike骑自行车play the violin拉小提琴collect stamps集邮meet遇见welcome欢迎thank 谢谢work工作drink喝taste尝smell闻feed喂milk挤牛奶look看guess猜help帮助pass传递show展示,给……看use用clean打扫open打开close关put放read读,看write写paint画画tell告诉kick踢ride骑stop停wait等find找drive驾驶fold折叠send送,寄wash洗shine照耀become变成feel感觉think想fall掉下leave离开wake up醒过来put on穿上take off 脱下hang up挂起来wear穿go home回家go to bed去睡觉play computer games玩电脑游戏play chess下棋do housework做家务empty the trash倒垃圾put away the clothes放好衣服get off下车take a trip去郊游read a magazine 读杂志go to the cinema 去电影院二十五、疑问词what(什么)what colour(什么颜色)what time(几点)what day(星期几)how(怎样)how old(年龄多大、几岁)how many(多少)how much (多少钱) how tall (多高)how heavy(多重)how long(多长)how big(多大)how large(面积多大)who(谁)when(什么时候)whose (谁的)where(在哪里)why(为什么)which(哪一个)。