美标钢管SCH英寸对照表
- 格式:pdf
- 大小:351.71 KB
- 文档页数:1
美标钢管管件尺寸对照表以下表格为美标钢管管件尺寸对照表,仅供大家参考使用:16" 406.40 4.19 42.35 4.78 48.220 - - - - 6.35 62.58 7.92 77.90 9.52 93.13 9.52 93.18 18" 457.20 4.19 47.7 4.78 54.300 - - - - 6.35 70.50 7.92 87.80 11.13 122.12 9.52 105.05 20" 508 4.77 60.32 5.53 69.766 - - - - 6.35 78.47 9.52 116.97 12.7 155.00 9.52 116.97 22" 553.8 4.77 - 5.53 - - - - - 6.35 86.42 9.52 128.89 12.7 170.86 9.52 128.89 24" 609.6 5.54 84.10 6.35 96.215 - - - - 6.35 96.215 9.52 140.80 14.7 209.54 9.52 140.81 26" 660.4 - - - - - - - - 7.92 127.58 12.7 202.65 - - 9.52 152.73 28" 711.6 - - - - - - - - 7.92 137.52 12.7 218.54 15.88 271.94 9.52 164.65 30" 762 6.35 120.59 7.92 147.45 - - - - 7.92 147.45 12.7 234.44 15.88 291.81 9.52 176.57 32" 812.8 - - - - - - - - 7.92 157.39 12.7 250.33 15.88 311.67 9.52 188.50 34" 863.6 - - - - - - - - 7.92 167.32 12.7 266.22 15.88 331.54 9.52 200.42 36" 914.4 - - - - - - - - 7.92 177.26 12.7 282.18 15.88 351.41 9.52 212.34 上海迎运管件有限公司专业生产各种材质,型号的弯头,大小头,三通,法兰等管道配件,欢迎新老客户来电咨询:************sch是什么意思字体大小:大| 中| 小2010-02-01 20:51 - 阅读:3330 - 评论:0sch是美标钢管的壁厚系列钢管壁厚的分级,在不同标准中所表示的方法也各不相同。
SCH美标无缝钢管SCH美标无缝钢管中ASTM A53 Gr.B一般用途无缝钢管,ASTM A106/A53 Gr.B倒角的倒棱的倒坡口的钢管,Bs1387-1985 英标erw高频焊管和镀锌管,ASTM A333 -40℃-101℃低温无缝钢管.,ASTM A179换热器及冷凝器用无缝钢管. 钢管长度:可5.8米定尺,6米定尺,以及长达12米定尺,还可根据用户需要定尺。
产品外径为1/2″-28″,21.3-711.2mm,壁厚SCH30 、SCH40、STD、XS、SCH80、SCH160 、XXS etc. 无缝管按要求可以进行表面防腐处理,两端带塑料管帽,可按要求倒棱,并可办理商检。
SCH美标无缝钢管是一种具有中空截面、周边没有接缝的长条钢材。
钢管具有中空截面,大量用作输送流体的管道,美标无缝钢管标准如输送石油、天然气、煤气、水及某些固体物料的管道等。
钢管与圆钢等实心钢材相比,在抗弯抗扭强度相同时,重量较轻,是一种经济截面钢材,广泛用于制造结构件和机械零件,如石油钻杆、汽车传动轴、自行车架以及建筑施工中用的钢脚手架等。
用钢管制造环形零件,可提高材料利用率,简化制造工序,节约材料和加工工时,如滚动轴承套圈、千斤顶套等,目前已广泛用钢管来制造。
钢管还是各种常规武器不可缺少的材料,枪管、炮筒等都要钢管来制造。
钢管按横截面积形状的不同可分为圆管和异型管。
由于在周长相等的条件下,圆面积最大,用圆形管可以输送更多的流体。
此外,圆环截面在承受内部或外部径向压力时,受力较均匀,因此,绝大多数钢管是圆管。
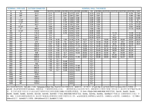
∙美标无缝钢管公称直径壁厚换算∙2A B ASME SCH10 SCH20 SCH30 STD SCH40 SCH60 XS SCH80 SCH100 SCH120 SCH140 SCH160 XXS∙315 1/2" 21.3 2.11 2.41 2.77 2.77 3.73 3.73 4.78 7.47∙420 3/4" 26.7 2.11 2.41 2.87 2.87 3.91 3.91 5.56 7.82∙525 1" 33.4 2.77 2.9 3.38 3.38 4.55 4.55 6.35 9.09∙632 1.1/4" 42.2 2.77 2.97 3.56 3.56 4.85 4.85 6.35 9.7∙740 1.1/2" 48.3 2.77 3.18 3.68 3.68 5.08 5.08 7.14 10.15∙850 2" 60.3 2.77 3.18 3.91 3.91 5.54 5.54 8.74 11.07∙965 2.1/2" 73 3.05 4.78 5.16 5.16 7.01 7.01 9.53 14.02∙1080 3" 88.9 3.05 4.78 5.49 5.49 7.62 7.62 11.13 15.25∙1190 3.1/2" 101.6 3.05 4.78 5.74 5.74 8.08 8.08∙12100 4" 114.3 3.05 4.78 6.02 6.02 8.56 8.56 11.13 13.49 17.12∙13125 5" 141.3 3.4 6.55 6.55 9.53 9.53 12.7 15.88 19.05∙14150 6" 168.3 3.4 7.11 7.11 10.97 10.97 14.27 18.26 21.95∙15200 8" 219.1 3.76 6.35 7.04 8.18 8.18 10.31 12.7 12.7 15.09 18.26 20.62 23.01 22.23。
A B ASME SCH10SCH20SCH30STD SCH40SCH60XS SCH80SCH100SCH120SCH140SCH160XXS 151/2"21.3 2.11 2.41 2.77 2.77 3.73 3.73 4.787.47203/4"26.7 2.11 2.41 2.87 2.87 3.91 3.91 5.567.82251"33.42.77 2.93.38 3.384.55 4.55 6.359.09321.1/4"42.22.772.973.563.564.854.856.359.7NOMINAL PIPE SIZE OUTSIDE DIAMETER NOMINAL WALL THICKNESSsch是美标钢 管 的 壁 厚 系 列钢管壁厚的分级,在不同标准中所表示的方法也各不相同。
但主要有三种表示方法。
1.以管子表号(Sch.)表示壁厚系列这是1938年美国国家怔准协会ANSIB36.10(焊接和无缝钢管)标准所规定的。
管子表号(Sch.)是设计压力与设计温度下材料的许用应力的比值乘以1000,并经圆整后的数值。
即Sch .=P/[ó]t×1000 (1-2-1)式中 P—设计压力,MPa;[ó]t—设计温度下材料的许用应力,MPa。
无缝钢管与焊接钢管的管子表号可查资料确定。
ANSI B36.10和JIS标准中的管子表号为;Schl0、20、30、40、60、80、100、120、140、160。
ANSI B36.19中的不锈钢管管子表号为:5S、10S、40S、80S。
管表号(Sch.)并不是壁厚,是壁厚系列。
实际的壁厚,同一管径,在不同的管子表号中其厚度各异。
不同管子表号的管壁厚度,在美国和日本是应用计算承受内压薄壁管厚度的Barlow公式计算并考虑了腐蚀裕量和螺纹深度及壁厚负偏差-12.5%之后确定的,如公式(1-2-2)和(1-2-3)所示。
美标公称直径壁厚及压⼒对照表(美国ASME标准)
管道公称直径⼀览表(美国ASME标准)
管道公称直径⼀览表(美国ASME标准)
注:STD 指标准壁厚管XS 加厚壁厚管XXS 特别加厚壁厚管
S指不锈钢系列,不带S指其他钢种焊接和⽆缝钢管壁厚系列数据中系列加上Sch与没有Sch的意义相同如Sch5S与5S意义相同,Sch30与30意义相同
管道公称直径⼀览表(SH3405-96)
注:STD 指标准壁厚管XS 加厚壁厚管XXS 特别加厚壁厚管
S指不锈钢系列,不带S指其他钢种焊接和⽆缝钢管壁厚系列数据中系列加上Sch与没有Sch的意义相同如Sch5S与5S意义相同,Sch30与30意义相同
SH3405-1996中规定不锈钢⼯程壁厚超过SCH 80S按碳钢此后规格的管道壁厚进⾏考虑。