SCH英寸对照表
- 格式:doc
- 大小:133.00 KB
- 文档页数:3
承插焊管件(一)Socket Welding FittingsGB/T 14383、SH 3410、HG/T 21634、ASME B16.11、JIS B2316承插焊和螺纹活接头Unions of Socket-Welding&ThreadedHG/T 21634、MSS SP-83承插焊管件的接管外径、承插孔径及流通孔径尺寸表List of The Pipe Outside Diameter,Socket Diameter and Bore Diameter fo SW Fittings材料的化学成分和力学性是指标会因为某项条件的规定而有所改变,使用时请查阅原标准。
·The index of material chemical composition and mechanical properties shall change as to some defined condition,and please refer to the priginal管件形位公差mm管件坡口形式压力等级表(HG 5010.10~16-58,HGJ 514-87,SY 7510-87)mm注:表中HG为HG5010-87标准,HGJ为HGJ514-87,SY为SY7510-87标准。
管件尺寸公差壁厚分级表ANSI B36.10 & B36.19壁厚分级表GB 12459-90 GB/T 13401-92mm壁厚表 GB 12459、GB/T 13401外径公称壁厚 T公称通径A系列B系Sch Sch Sch LG Sch Sch STD Sch Sch Xs Sch Sch Sch Sch Sch列5s 10s 20s 20 30 40 60 80 100 120 140 16015 20 25 21.326.933.71825321.61.61.62.12.12.82.62.63.2┅┅┅┅┅┅┅┅┅┅┅┅2.92.93.2┅┅┅┅┅┅3.64.04.5┅┅┅┅┅┅┅┅┅4.55.66.332 40 50 42.448.360.33845571.61.61.62.82.82.83.23.23.6┅┅┅┅┅3.2┅┅┅┅┅┅3.63.64.0┅┅┅┅┅┅5.05.05.6┅┅┅┅┅┅┅┅┅6.37.18.865 80 90 76.1(73)88.9101.67689┅2.02.02.03.03.03.03.64.04.0┅┅┅4.54.54.5┅┅┅┅┅┅5.05.65.6┅┅┅┅┅┅7.18.08.0┅┅┅┅┅┅┅┅┅10.011.012.5100 125 150 114.3139.7168.31081331592.02.92.93.03.43.44.05.05.0┅┅┅5.05.05.6┅┅┅┅┅┅5.96.37.1┅┅┅┅┅┅8.810.011.1┅┅┅11.012.514.2┅┅┅14.216.017.5200 250 300 219.1273.0323.92192733252.93.64.04.04.04.56.36.36.3┅┅┅6.36.36.37.18.08.8┅┅┅8.08.810.010.012.514.2┅┅┅12.516.017.516.017.522.217.522.225.020.025.028.022.228.032.0350 400 450 500 355.6406.4457.2508.03774264785294.04.04.05.05.05.05.05.68.08.08.08.08.08.08.08.08.08.08.010.010.010.011.012.510.010.010.010.011.012.514.216.016.017.520.020.013.013.013.013.020.022.225.028.025.828.030.032.028.030.036.040.032.036.040.045.036.040.045.050.0550 559 ┅ 5.0 5.6 ┅8.0 ┅┅10.0 ┅┅13.0 30.0。
承插焊管件(一)Socket Welding FittingsGB/T 14383、SH 3410、HG/T 21634、ASME B16.11、JIS B2316承插焊和螺纹活接头Unions of Socket—Welding&ThreadedHG/T 21634、MSS SP-83承插焊管件的接管外径、承插孔径及流通孔径尺寸表List of The Pipe Outside Diameter,Socket Diameter and Bore Diameter fo SW Fittings材料的化学成分和力学性是指标会因为某项条件的规定而有所改变,使用时请查阅原标准.·The index of material chemical composition and mechanical properties shall change as to some defined condition,and please refer to the priginalmm管件坡口形式压力等级表(HG 5010。
10~16—58,HGJ 514—87,SY 7510—87)mm注:表中HG为HG5010—87标准,HGJ为HGJ514-87,SY为SY7510-87标准。
管件尺寸公差mm壁厚分级表ANSI B36。
10 & B36。
19mm壁厚分级表GB 12459—90 GB/T 13401—92mm壁厚表 GB 12459、GB/T 13401公称通径外径公称壁厚 TA 系列B 系列 Sch 5s Sch 10s Sch 20sLGSch 20 Sch 30 STDSch 40 Sch 60 XsSch 80 Sch 100 Sch 120 Sch 140 Sch 160 15 20 2521.3 26。
9 33。
718 25 321.6 1。
6 1.62.1 2。
1 2.8 2。
6 2。
管件尺寸英寸毫米对照表管根据使用环境和压力公称压力不同,相同公称通径的管子可能有不同的管径,希望说明使用条件和公称压力PN,以及温度-压力额定值(Pressure/ temperature Ratings)并且,不同材质的管在相同的公称压力下,也可能有不同的外径公称直径(nominal diameter),又称平均外径(mean outside diameter)。
这是缘自金属管的管璧很薄,管外径与管内径相差无几,所以取管的外径与管的内径之平均值当作管径称呼。
因为单位有公制(mm)及英制(inch)的区分,所以有下列的称呼方法。
1. 以公制(mm)为基准,称 DN (metric unit)2. 以英制(inch)为基准,称NB(inch unit)3. DN (nominal diameter)NB (nominal bore) OD (outside diameter)4. 【例】镀锌钢管DN50,sch 20镀锌钢管NB2”,sch 205. 外径与DN,NB的关系如下:DN(mm)--------NB(inch)-------OD(mm)15-------------- 1/2--------------21.320--------------3/4 --------------26.725-------------- 1 ----------------33.432-------------- 1 1/4 -----------42.240-------------- 1 1/2 -----------48.350-------------- 2 ----------------60.365-------------- 2 1/2 -----------73.080-------------- 3 ----------------88.9100-------------- 4 ------------114.3125-------------- 5 ------------139.8150-------------- 6 ------------168.3200--------------- 8------------219.1英寸对照表。
管件尺寸英寸毫米对照表管件尺寸英寸毫米对照表管根据使用环境和压力公称压力不同,相同公称通径的管子可能有不同的管径,希望说明使用条件和公称压力PN,以及温度-压力额定值(Pressure/ temperature Ratings)并且,不同材质的管在相同的公称压力下,也可能有不同的外径公称直径(nominal diameter),又称平均外径(mean outside diameter)。
这是缘自金属管的管璧很薄,管外径与管内径相差无几,所以取管的外径与管的内径之平均值当作管径称呼。
因为单位有公制(mm)及英制(inch)的区分,所以有下列的称呼方法。
1. 以公制(mm)为基准,称 DN (metric unit)2. 以英制(inch)为基准,称NB(inch unit)3. DN (nominal diameter)NB (nominal bore)OD (outside diameter)4. 【例】镀锌钢管DN50,sch 20镀锌钢管NB2”,sch 205. 外径与DN,NB的关系如下:------DN(mm)--------NB(inch)-------OD(mm)15-------------- 1/2--------------21.320--------------3/4 --------------26.725-------------- 1 ----------------33.432-------------- 1 1/4 -----------42.240-------------- 1 1/2 -----------48.350-------------- 2 ----------------60.365-------------- 2 1/2 -----------73.080-------------- 3 ----------------88.9100-------------- 4 ------------114.3125-------------- 5 ------------139.8150-------------- 6 ------------168.3200--------------- 8------------219.1。
文案大全文案大全文案大全文案大全文案大全承插焊管件(一)Socket Welding FittingsGB/T 14383、SH 3410、HG/T 21634、ASME B16.11、JIS B2316文案大全文案大全承插焊和螺纹活接头Unions of Socket-Welding&ThreadedHG/T 21634、MSS SP-83文案大全文案大全承插焊管件的接管外径、承插孔径及流通孔径尺寸表List of The Pipe Outside Diameter,Socket Diameter and Bore Diameter fo SW Fittings文案大全文案大全文案大全文案大全文案大全文案大全文案大全文案大全文案大全文案大全文案大全文案大全文案大全文案大全文案大全文案大全文案大全文案大全文案大全文案大全文案大全文案大全文案大全文案大全文案大全文案大全文案大全文案大全材料的化学成分和力学性是指标会因为某项条件的规定而有所改变,使用时请查阅原标准。
·The index of material chemical composition and mechanical properties shall change as to some defined condition,and please refer to the priginal 文案大全文案大全文案大全文案大全管件形位公差文案大全mm管件坡口形式文案大全压力等级表(HG 5010.10~16-58,HGJ 514-87,SY 7510-87)mm文案大全注:表中HG为HG5010-87标准,HGJ为HGJ514-87,SY为SY7510-87标准。
管件尺寸公差文案大全壁厚分级表ANSI B36.10 & B36.19文案大全文案大全壁厚分级表GB 12459-90 GB/T 13401-92mm文案大全壁厚表 GB 12459、GB/T 13401外径公称壁厚 T公称通径A系列B系Sch Sch Sch LG Sch Sch STD Sch Sch Xs Sch Sch Sch Sch Sch文案大全列5s 10s 20s 20 30 40 60 80 100 120 140 16015 20 25 21.326.933.71825321.61.61.62.12.12.82.62.63.2┅┅┅┅┅┅┅┅┅┅┅┅2.92.93.2┅┅┅┅┅┅3.64.04.5┅┅┅┅┅┅┅┅┅4.55.66.332 40 50 42.448.360.33845571.61.61.62.82.82.83.23.23.6┅┅┅┅┅3.2┅┅┅┅┅┅3.63.64.0┅┅┅┅┅┅5.05.05.6┅┅┅┅┅┅┅┅┅6.37.18.865 80 90 76.1(73)88.9101.67689┅2.02.02.03.03.03.03.64.04.0┅┅┅4.54.54.5┅┅┅┅┅┅5.05.65.6┅┅┅┅┅┅7.18.08.0┅┅┅┅┅┅┅┅┅10.011.012.5100 125 150 114.3139.7168.31081331592.02.92.93.03.43.44.05.05.0┅┅┅5.05.05.6┅┅┅┅┅┅5.96.37.1┅┅┅┅┅┅8.810.011.1┅┅┅11.012.514.2┅┅┅14.216.017.5200 250 300 219.1273.0323.92192733252.93.64.04.04.04.56.36.36.3┅┅┅6.36.36.37.18.08.8┅┅┅8.08.810.010.012.514.2┅┅┅12.516.017.516.017.522.217.522.225.020.025.028.022.228.032.0350 400 450 500 355.6406.4457.2508.03774264785294.04.04.05.05.05.05.05.68.08.08.08.08.08.08.08.08.08.08.010.010.010.011.012.510.010.010.010.011.012.514.216.016.017.520.020.013.013.013.013.020.022.225.028.025.828.030.032.028.030.036.040.032.036.040.045.036.040.045.050.0550 559 ┅ 5.0 5.6 ┅8.0 ┅┅10.0 ┅┅13.0 30.0文案大全。
承插焊管件(一)Socket Welding FittingsGB/T 14383、SH 3410、HG/T 21634、ASME B16.11、JIS B2316公称通径Nominal Pipe Size 承插孔深度Depth ofSocket壁厚Wall Thickness中心至承插孔底Center to Bottom of SocketAC min90°弯头、三通、四通90°Elbow、Tee、Cross45°弯头45°ElbowDN NPS J minSCH803000SCH1606000XXS9000SCH803000SCH1606000XXS9000SCH803000SCH1606000XXS9000承插焊和螺纹活接头Unions of Socket-Welding&ThreadedHG/T 21634、MSS SP-83公称通径Nominal Pipe Size外径End DIA壁厚Wall Thickness螺母厚度Nut螺帽每英寸的螺纹扣数Threads Perinch球面凸缘厚度MaleFlange定位口高度Bearin公称装配长度Length AssemNominat结构尺寸LayingLength流通孔径Bore D min C min G min H F min h min L E d2承插焊管件的接管外径、承插孔径及流通孔径尺寸表List of The Pipe Outside Diameter,Socket Diameter and Bore Diameter fo SW Fittings螺纹管件Threaded Fittings GB/T 1426、ASME B16.11公称通径Nominal Pipe Size90°弯头、三通、四通90°Elbows、Tees、Crosses45°弯头45°Elbows所有管件All Fittings中心至端面Center to End中心至端面Center to End端部外径Outside Diameter of Band 最小壁厚Minimum Wall Thickness螺纹长度Length of Thread MinA G D CDN NPS SCH802000SCH1603000XXS6000SCH802000SCH1603000XXS6000SCH802000SCH1603000XXS6000SCH802000SCH1603000XXS6000B L2螺纹管件Threaded Fittings GB/T 1426、ASME B16.11公称通径Nominal Pipe Size 管箍、半管接头Couplings、Boss管帽Caps所有管件All Fittings端面至端面End to End端面至端面End to End底部壁厚End Wall Thickness外径Outside Diameter 螺纹长度Length of Thread MinE F C min DDN NPS SCH160、XXS3000、6000SCH1603000 XXS SCH1603000XXS6000SCH1603000XXS6000B L2螺纹管件Threaded Fittings GB/T 1426、ASME B16.11公称通径Nominal Pipe Size长度Length方头管塞Square Head Plugs圆头管塞Round Head Plugs六角头管塞和内外螺纹接头Hex Plugs and Bushings方头高度Height of Square 对边宽度Width Flats头部直径NominalDiameter ofHead长度Length对边宽度Width Flats(Nominal)六角头高度Hex HeighDN NPS L2 min B min C min D L min S K min H min25-50 1-2 ±2.0 ±2.0 ±1.0 65-100 21/2-4 ±2.5六角头双丝头Hexagonal Nipples六角头双丝头Hexagonal Nipples公称通径Nominal Pipe Size 尺寸SizeDN NPS C E1 E2 WD螺纹短节Nipples公称通径Nominal Pipe Size管子外径Outside Diameter of Pipe螺纹长度Length of Thread Min长度End to End管子壁厚Wall Thickness of PipeDN NPS D L2 min L T6 8 10 1/81/43/810.313.717.19.511.012.575、100、150 SCH80、SCH16015 20 1/23/421.326.714.516.0材料的化学成分和力学性是指标会因为某项条件的规定而有所改变,使用时请查阅原标准。
承插焊管件(一)Socket Welding FittingsGB/T 14383、SH 3410、HG/T 21634、ASME B16.11、JIS B2316公称通径Nominal Pipe Size 承插孔深度Depth ofSocket壁厚Wall Thickness中心至承插孔底Center to Bottom of SocketAC min90°弯头、三通、四通90°Elbow、Tee、Cross45°弯头45°ElbowDN NPS J minSCH803000SCH1606000XXS9000SCH803000SCH1606000XXS9000SCH803000SCH1606000XXS9000承插焊和螺纹活接头Unions of Socket-Welding&ThreadedHG/T 21634、MSS SP-83公称通径Nominal Pipe Size外径End DIA壁厚Wall Thickness螺母厚度Nut螺帽每英寸的螺纹扣数Threads Perinch球面凸缘厚度MaleFlange定位口高度Bearin公称装配长度Length AssemNominat结构尺寸LayingLength流通孔径Bore D min C min G min H F min h min L E d2承插焊管件的接管外径、承插孔径及流通孔径尺寸表List of The Pipe Outside Diameter,Socket Diameter and Bore Diameter fo SW Fittings螺纹管件Threaded Fittings GB/T 1426、ASME B16.11公称通径Nominal Pipe Size90°弯头、三通、四通90°Elbows、Tees、Crosses45°弯头45°Elbows所有管件All Fittings中心至端面Center to End中心至端面Center to End端部外径Outside Diameter of Band 最小壁厚Minimum Wall Thickness螺纹长度Length of Thread MinA G D CDN NPS SCH802000SCH1603000XXS6000SCH802000SCH1603000XXS6000SCH802000SCH1603000XXS6000SCH802000SCH1603000XXS6000B L2螺纹管件Threaded Fittings GB/T 1426、ASME B16.11公称通径Nominal Pipe Size 管箍、半管接头Couplings、Boss管帽Caps所有管件All Fittings端面至端面End to End端面至端面End to End底部壁厚End Wall Thickness外径Outside Diameter 螺纹长度Length of Thread MinE F C min DDN NPS SCH160、XXS3000、6000SCH1603000 XXS SCH1603000XXS6000SCH1603000XXS6000B L2螺纹管件Threaded Fittings GB/T 1426、ASME B16.11公称通径Nominal Pipe Size长度Length方头管塞Square Head Plugs圆头管塞Round Head Plugs六角头管塞和内外螺纹接头Hex Plugs and Bushings方头高度Height of Square 对边宽度Width Flats头部直径NominalDiameter ofHead长度Length对边宽度Width Flats(Nominal)六角头高度Hex HeighDN NPS L2 min B min C min D L min S K min H min25-50 1-2 ±2.0 ±2.0 ±1.0 65-100 21/2-4 ±2.5六角头双丝头Hexagonal Nipples六角头双丝头Hexagonal Nipples公称通径Nominal Pipe Size 尺寸SizeDN NPS C E1 E2 WD螺纹短节Nipples公称通径Nominal Pipe Size管子外径Outside Diameter of Pipe螺纹长度Length of Thread Min长度End to End管子壁厚Wall Thickness of PipeDN NPS D L2 min L T6 8 10 1/81/43/810.313.717.19.511.012.575、100、150 SCH80、SCH16015 20 1/23/421.326.714.516.0材料的化学成分和力学性是指标会因为某项条件的规定而有所改变,使用时请查阅原标准。
精彩文档精彩文档精彩文档精彩文档承插焊管件(一) Socket Welding FittingsGB/T 14383、SH 3410、HG/T 21634、ASME B16.11、JIS B2316承插焊和螺纹活接头 Unions of Socket-Welding&ThreadedHG/T 21634、MSS SP-83承插焊管件的接管外径、承插孔径及流通孔径尺寸表List of The Pipe Outside Diameter,Socket Diameter and Bore Diameter fo SW Fittings精彩文档精彩文档精彩文档精彩文档精彩文档精彩文档精彩文档材料的化学成分和力学性是指标会因为某项条件的规定而有所改变,使用时请查阅原标准。
·The index of material chemical composition and mechanical properties shall change as to some defined condition,and please refer to the priginal 精彩文档精彩文档精彩文档精彩文档精彩文档管件形位公差mm管件坡口形式压力等级表(HG 5010.10~16-58,HGJ 514-87,SY 7510-87)mm注:表中HG为HG5010-87标准,HGJ为HGJ514-87,SY为SY7510-87标准。
管件尺寸公差壁厚分级表ANSI B36.10 & B36.19壁厚分级表GB 12459-90 GB/T 13401-92mm精彩文档壁厚表 GB 12459、GB/T 13401公称通径外径公称壁厚 TA 系列B 系列 Sch 5s Sch 10s Sch 20sLGSch 20 Sch 30 STDSch 40 Sch 60 XsSch 80 Sch 100 Sch 120 Sch 140 Sch 160 15 20 25 21.3 26.9 33.7 18 25 32 1.6 1.6 1.6 2.1 2.1 2.8 2.6 2.6 3.2 ┅ ┅ ┅ ┅ ┅ ┅ ┅ ┅ ┅ ┅ ┅ ┅ 2.9 2.9 3.2 ┅ ┅ ┅ ┅ ┅ ┅ 3.6 4.0 4.5 ┅ ┅ ┅ ┅ ┅ ┅ ┅ ┅ ┅ 4.5 5.6 6.3 32 40 50 42.4 48.3 60.338 45 571.6 1.6 1.62.8 2.8 2.83.2 3.2 3.6 ┅ ┅┅ ┅ ┅3.2 ┅ ┅ ┅ ┅ ┅ ┅ 3.6 3.64.0 ┅ ┅ ┅ ┅ ┅ ┅5.0 5.0 5.6 ┅ ┅ ┅ ┅ ┅ ┅ ┅ ┅ ┅6.37.18.8 65 80 90 76.1(73) 88.9 101.6 76 89 ┅2.0 2.0 2.03.0 3.0 3.0 3.64.0 4.0 ┅ ┅ ┅ 4.5 4.5 4.5┅ ┅ ┅ ┅ ┅ ┅ 5.0 5.6 5.6 ┅ ┅ ┅ ┅ ┅ ┅ 7.1 8.0 8.0 ┅ ┅ ┅ ┅ ┅ ┅ ┅ ┅ ┅ 10.0 11.0 12.5 100 125 150 114.3 139.7 168.3 108 133 159 2.0 2.9 2.9 3.0 3.4 3.4 4.0 5.0 5.0 ┅ ┅ ┅ 5.0 5.0 5.6┅ ┅ ┅┅ ┅ ┅ 5.9 6.3 7.1┅ ┅ ┅┅ ┅ ┅8.8 10.0 11.1 ┅ ┅ ┅ 11.0 12.5 14.2 ┅ ┅ ┅ 14.2 16.0 17.5 200 250 300219.1 273.0 323.9219 273 325 2.9 3.6 4.0 4.0 4.0 4.5 6.3 6.3 6.3 ┅ ┅ ┅ 6.3 6.3 6.3 7.1 8.0 8.8┅ ┅ ┅8.0 8.8 10.0 10.0 12.5 14.2 ┅ ┅ ┅12.5 16.017.5 16.0 17.522.2 17.5 22.225.0 20.0 25.028.022.2 28.0 32.0350 400 450 500 355.6406.4457.2508.03774264785294.04.04.05.05.05.05.05.68.08.08.08.08.08.08.08.08.08.08.010.010.010.011.012.510.010.010.010.011.012.514.216.016.017.520.020.013.013.013.013.020.022.225.028.025.828.030.032.028.030.036.040.032.036.040.045.036.040.045.050.0550 600 650 700 559610660711┅630┅7205.05.6┅┅5.66.3┅┅┅┅┅┅8.08.08.08.0┅┅┅┅┅┅┅┅10.010.010.010.0┅17.5┅┅┅┅┅┅13.013.013.013.030.032.0750 800 850 900 762813864914┅820┅920┅┅┅┅┅┅┅┅┅┅┅┅8.08.08.08.0┅┅┅┅┅┅┅┅10.010.010.010.0┅┅┅┅┅┅┅┅13.013.013.013.0950 1000 1050 96510161067┅1020┅┅┅┅┅┅┅┅┅┅8.08.08.0┅┅┅┅┅┅10.010.010.0┅┅┅┅┅┅13.013.013.01100 1150 1200 1118116812201120┅1220┅┅┅┅┅┅┅┅┅8.08.08.0┅┅┅┅┅┅10.010.010.0┅┅┅┅┅┅13.013.013.0注:1、sch5s、10s、20s用于不锈钢管件。
管件尺寸英寸毫米对照表
管根据使用环境和压力公称压力不同,相同公称通径的管子可能有不同的管径,希望说明使用条件和公称压力PN,以及温度-压力额定值
(Pressure/ temperature Ratings)
并且,不同材质的管在相同的公称压力下,也可能有不同的外径
公称直径(nominal diameter),又称平均外径(mean outside diameter)。
这是缘自金属管的管璧很薄,管外径与管内径相差无几,所以取管的外径与管的内径之平均值当作管径称呼。
因为单位有公制(mm)及英制(inch)的区分,所以有下列的称呼方法。
1. 以公制(mm)为基准,称DN (metric unit)
2. 以英制(inch)为基准,称NB(inch unit)
3. DN (nominal diameter)
NB (nominal bore) OD (outside diameter)
4. 【例】
镀锌钢管DN50,sch 20
镀锌钢管NB2”,sch 20
5. 外径与DN,NB的关系如下:
DN(mm)--------NB(inch)-------OD(mm)
--- 1/
20--------------3/4
25-------------- 1
32-------------- 1 1/4
40-------------- 1 1/2
50-------------- 2
65-------------- 2 1/2
80-------------- 3
---- 4
---- 5
---- 6
200---------------
英寸对照表。
文案大全文案大全文案大全承插焊管件(一)Socket Welding FittingsGB/T 14383、SH 3410、HG/T 21634、ASME B16.11、JIS B2316文案大全文案大全承插焊和螺纹活接头Unions of Socket-Welding&ThreadedHG/T 21634、MSS SP-83文案大全文案大全承插焊管件的接管外径、承插孔径及流通孔径尺寸表List of The Pipe Outside Diameter,Socket Diameter and Bore Diameter fo SW Fittings文案大全文案大全文案大全文案大全文案大全文案大全文案大全文案大全文案大全文案大全文案大全文案大全文案大全文案大全文案大全文案大全文案大全文案大全文案大全文案大全文案大全文案大全材料的化学成分和力学性是指标会因为某项条件的规定而有所改变,使用时请查阅原标准。
·The index of material chemical composition and mechanical properties shall change as to some defined condition,and please refer to the priginal文案大全文案大全文案大全文案大全管件形位公差mm管件坡口形式压力等级表(HG 5010.10~16-58,HGJ 514-87,SY 7510-87)mm 文案大全注:表中HG为HG5010-87标准,HGJ为HGJ514-87,SY为SY7510-87标准。
管件尺寸公差文案大全文案大全壁厚分级表ANSI B36.10 & B36.19文案大全壁厚分级表GB 12459-90 GB/T 13401-92mm文案大全文案大全壁厚表 GB 12459、GB/T 13401公称通径外径公称壁厚 TA 系列B 系列 Sch 5s Sch 10s Sch 20sLGSch 20 Sch 30 STDSch 40 Sch 60 XsSch 80 Sch 100 Sch 120 Sch 140 Sch 160 15 20 25 21.3 26.9 33.7 18 25 32 1.6 1.6 1.6 2.1 2.1 2.8 2.6 2.6 3.2 ┅ ┅ ┅ ┅ ┅ ┅ ┅ ┅ ┅ ┅ ┅ ┅ 2.9 2.9 3.2 ┅ ┅ ┅ ┅ ┅ ┅ 3.6 4.04.5 ┅ ┅┅ ┅ ┅ ┅ ┅ ┅ ┅ 4.5 5.6 6.3 32 40 50 42.4 48.3 60.3 38 45 57 1.6 1.6 1.6 2.8 2.8 2.8 3.2 3.2 3.6 ┅ ┅┅ ┅ ┅3.2 ┅ ┅ ┅ ┅ ┅ ┅ 3.6 3.64.0 ┅ ┅ ┅ ┅ ┅ ┅5.0 5.0 5.6 ┅ ┅ ┅ ┅ ┅ ┅ ┅ ┅ ┅6.37.18.8 65 80 9076.1(73) 88.9 101.676 89 ┅2.0 2.0 2.03.0 3.0 3.0 3.64.0 4.0 ┅ ┅ ┅ 4.5 4.5 4.5┅ ┅ ┅┅ ┅ ┅5.0 5.6 5.6┅ ┅ ┅┅ ┅ ┅7.1 8.0 8.0┅ ┅ ┅┅ ┅ ┅┅ ┅ ┅10.0 11.0 12.5100 125 150 114.3139.7168.31081331592.02.92.93.03.43.44.05.05.0┅┅┅5.05.05.6┅┅┅┅┅┅5.96.37.1┅┅┅┅┅┅8.810.011.1┅┅┅11.012.514.2┅┅┅14.216.017.5200 250 300 219.1273.0323.92192733252.93.64.04.04.04.56.36.36.3┅┅┅6.36.36.37.18.08.8┅┅┅8.08.810.010.012.514.2┅┅┅12.516.017.516.017.522.217.522.225.020.025.028.022.228.032.0350 400 450 500 355.6406.4457.2508.03774264785294.04.04.05.05.05.05.05.68.08.08.08.08.08.08.08.08.08.08.010.010.010.011.012.510.010.010.010.011.012.514.216.016.017.520.020.013.013.013.013.020.022.225.028.025.828.030.032.028.030.036.040.032.036.040.045.036.040.045.050.0550 600 650 700 559610660711┅630┅7205.05.6┅┅5.66.3┅┅┅┅┅┅8.08.08.08.0┅┅┅┅┅┅┅┅10.010.010.010.0┅17.5┅┅┅┅┅┅13.013.013.013.030.032.0750 800 850 900 762813864914┅820┅920┅┅┅┅┅┅┅┅┅┅┅┅8.08.08.08.0┅┅┅┅┅┅┅┅10.010.010.010.0┅┅┅┅┅┅┅┅13.013.013.013.0950 1000 1050 96510161067┅1020┅┅┅┅┅┅┅┅┅┅8.08.08.0┅┅┅┅┅┅10.010.010.0┅┅┅┅┅┅13.013.013.01100 1150 1200 1118116812201120┅1220┅┅┅┅┅┅┅┅┅8.08.08.0┅┅┅┅┅┅10.010.010.0┅┅┅┅┅┅13.013.013.0注:1、sch5s、10s、20s用于不锈钢管件。
SCH英寸对照表(2009/07/29 15:31)
sch是美标钢管的壁厚系列
钢管壁厚的分级,在不同标准中所表示的方法也各不相同。
但主要有三种表示方法。
1.以管子表号(Sch.)表示壁厚系列
这是1938年美国国家怔准协会ANSIB36.10(焊接和无缝钢管)标准所规定的。
管子表号(Sch.)是设计压力与设计温度下材料的许用应力的比值乘以1000,并经圆
整后的数值。
即
Sch .=P/[ó]t×1000 (1-2-1)
式中P—设计压力,MPa;
[ó]t—设计温度下材料的许用应力,MPa。
无缝钢管与焊接钢管的管子表号可查资料确定。
ANSI B36.10和JIS标准中的管子表号为;Schl0、20、30、40、60、80、100、120、140、160。
ANSI B36.19中的不锈钢管管子表号为:5S、10S、40S、80S。
管表号(Sch.)并不是壁厚,是壁厚系列。
实际的壁厚,同一管径,在不同的管子表
号中其厚度各异。
不同管子表号的管壁厚度,在美国和日本是应用计算承受内压薄壁管厚度
的Barlow公式计算并考虑了腐蚀裕量和螺纹深度及壁厚负偏差-12.5%之后确定的,如公式
(1-2-2)和(1-2-3)所示。
tB=D0P/2[ó]t (1-2-2)
t=[D0/2(1-0.125)×P/[ó]t]+2.54 (1-2-3)
式中tB t——分别表示理论和计算壁厚,mm
D0————管外径,mm
P——设计压力,MPa
[ó]t——在设计温度下材料的许用压力,MPa
计算壁厚径圆整后才是实际的壁厚。
如果已知钢管的管子表号,可根据式(1-2-1)计算出该钢管所能适应的设计压力,即
P=Sch..× [ó]t/1000 (1-2-4)
例如,库存Sch40,碳素钢20无缝钢管,当设计温度为350oC时给钢管所能适应设计压力为:
P=40×92/1000①=3.68 MPa
中国石化总公司标准SHJ405规定了无缝钢管的壁厚系列并Sch.5S②,Sch.10,
Sch.10s,Sch.20,Sch.20s,Sch.30,Sch.40,Sch。
40s,Sch.60,Sch.80,Sch.100,Sch.120,Sch.140,Sch。
160,如表1-2-9所示。
2.以管子重量表示管壁厚度的壁厚系列
美国MSS和ANSI规定的以管子重量表示壁厚方法,将管子壁厚分为;种:
(1)标准重量管以STD 表示; (2)加厚管以XS 表示; (3)特厚管以XXS 表示。
<DN250mm 的管子,Sch40相当于STD 管。
<DN200mm 的管子,Sch80相当于XS 管。
3.以钢管壁厚尺寸表示壁厚系列
中国、ISO 和日本部分钢管标准采用壁厚尺寸表示钢管壁厚系列。
例如:我国 低压流体输送用焊接钢管的壁厚分为普通管和加强管、对于流体输送用焊接钢管;日本JIS 标准的SGP 和STPY 焊接钢管系列等只规定实际厚度系列。
对这类钢管规格的表示方法为管外径×壁厚。
例如ф60.5×3.8。
目录: 美标钢管知识
浏览字体:大 中 小
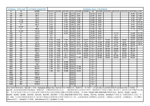
NOMINAL
P IPE SIZE
OUTSID
E
DIAMET
ER NOMINAL WALL THICKNESS
A B
ASME SCH10 SCH20 SCH30 STD SCH40 SCH60 XS SCH80 SCH100 S CH120
SCH1
40
SCH1
60
XXS 15 1/2" 21.3 2.11 2.41 2.77 2.77 3.73 3.73 4.78 7.47 20 3/4" 26.7 2.11 2.41 2.87 2.87 3.91 3.91 5.56 7.82 25 1" 33.4 2.77 2.9 3.38 3.38 4.55 4.55 6.35 9.09 32
1.1/4" 4
2.2 2.77 2.97
3.56 3.56
4.85 4.85 6.35 9.7
40 1.1/2" 48.3 2.77 3.18 3.68 3.68 5.08 5.08 7.14 10.15
50 2"
60.3 2.77
3.18 3.91 3.91 5.54 5.54 8.74 11.07
65 2.1/2" 73 3.05
4.78
5.16 5.16 7.01 7.01 9.53 14.02
80 3"
88.9 3.05
4.78
5.49 5.49 7.62 7.62 11.13 15.2
5
90 3.1/2" 101.6 3.05 4.78 5.74 5.74 8.08 8.08
100 4" 114.3 3.05 4.78 6.02 6.02 8.56 8.56 11.13 13.49 17.1
2
125 5"
141.3 3.4
6.55 6.55
9.53 9.53
12.7
15.88 19.0
5
150 6" 168.3 3.4
7.11 7.11 10.9
7
10.97 14.27
18.2
6 21.9
5 200 8" 219.1 3.7
6 6.35 7.04 8.18 8.18 10.31 12.
7 12.7 15.09 18.26
20.62 23.0
1
22.2
3 250 10" 273
4.19 6.35 7.8
9.27 9.27 12.7 12.7 15.09 18.26 21.44 25.4
28.5
8 25.4 300 12" 323.8 4.57 6.35 8.38 9.53 10.31 14.27 12.7 17.48 21.44 25.4
28.58 33.3
2 25.4 350 14" 355.6 6.35 7.92 9.5
3 9.53 11.13 15.09 12.7 19.05 23.83 27.79
31.75 35.7
1 400 16" 406.4 6.35 7.9
2 9.5
3 9.53 12.7 16.66 12.7 21.4
4 26.19 30.96
36.53 40.1
9 450 18" 457.2 6.35 7.92 11.13 9.53 14.27 19.05 12.7 23.83 39.36 34.93
39.67 45.2
4 500 20" 508
6.35 9.53 12.7
9.53 15.09 20.62 12.7 26.19 32.54 38.1
44.45 50.0
1 550 22" 558.8 6.35 9.53 12.7 9.53 22.23 12.7 28.58 34.93 41.28
47.63 53.9
8 600 24" 609.6 6.35 9.53 14.27 9.53 17.48 24.61 12.7 30.96 38.89 46.02
52.37 59.5
4
650 26" 660.4 7.92 12.7
9.53 12.7 700 28" 711.2 7.92 12.7 15.88 9.53 12.7 750 30" 762 7.92 12.7 15.88 9.53 12.7 800 32" 812.8 7.92 12.7 15.88 9.53 17.48 12.7 850 34" 863.6 7.92 12.7 15.88 9.53 17.48 12.7 900 36" 914.4 7.92 12.7 15.88 9.53 19.05 12.7 950 38" 965.2 9.53 12.7 1000 40" 1016 9.53 12.7 1050 42" 1066.8 9.53 12.7 1100 44" 1117.6 9.53 12.7 1150 46" 1168.4 9.53 12.7
1200 48"
1219.2
9.53 12.7。