解二元一次方程组练习题
- 格式:doc
- 大小:144.50 KB
- 文档页数:4
二元一次方程组解法练习题精选(含答案)之欧侯瑞魂创作一.解答题(共16小题)1.求适合的x,y的值.2.解下列方程组(1)(2)(3)(4).3.解方程组:4.解方程组:5.解方程组:6.已知关于x,y的二元一次方程y=kx+b的解有和.(1)求k,b的值.(2)当x=2时,y的值.(3)当x为何值时,y=3?7.解方程组:(1);(2).8.解方程组:9.解方程组:10.解下列方程组:(1)(2)11.解方程组:(1)(2)12.解二元一次方程组:(1);(2).13.在解方程组时,由于粗心,甲看错了方程组中的a,而得解为,乙看错了方程组中的b,而得解为.(1)甲把a看成了什么,乙把b看成了什么?(2)求出原方程组的正确解.14.15.解下列方程组:(1);(2).16.解下列方程组:(1)(2)17.方程组2528x yx y+=⎧⎨-=⎩的解是否满足2x-y=8?满足2x-y=8的一对x,y的值是否是方程组2528x yx y+=⎧⎨-=⎩的解?二元一次方程组解法练习题精选(含答案)参考答案与试题解析一.解答题(共16小题)1.求适合的x,y的值.考点:解二元一次方程组.分析:先把两方程变形(去分母),得到一组新的方程,然后在用加减消元法消去未知数x,求出y的值,继而求出x的值.解答:解:由题意得:,由(1)×2得:3x﹣2y=2(3),由(2)×3得:6x+y=3(4),(3)×2得:6x﹣4y=4(5),(5)﹣(4)得:y=﹣,把y的值代入(3)得:x=,∴.点评:本题考查了二元一次方程组的解法,主要运用了加减消元法和代入法.2.解下列方程组(1)(2)(3)(4).考点:解二元一次方程组.分析:(1)(2)用代入消元法或加减消元法均可;(3)(4)应先去分母、去括号化简方程组,再进一步采取适宜的方法求解.解答:解:(1)①﹣②得,﹣x=﹣2,解得x=2,把x=2代入①得,2+y=1,解得y=﹣1.故原方程组的解为.(2)①×3﹣②×2得,﹣13y=﹣39,解得,y=3,把y=3代入①得,2x﹣3×3=﹣5,解得x=2.故原方程组的解为.(3)原方程组可化为,①+②得,6x=36,x=6,①﹣②得,8y=﹣4,y=﹣.所以原方程组的解为.(4)原方程组可化为:,①×2+②得,x=,把x=代入②得,3×﹣4y=6,y=﹣.所以原方程组的解为.点利用消元法解方程组,要根据未知数的系数特点选择代入法还是加减法:评:①相同未知数的系数相同或互为相反数时,宜用加减法;②其中一个未知数的系数为1时,宜用代入法.3.解方程组:考点:解二元一次方程组.专题:计算题.分析:先化简方程组,再进一步根据方程组的特点选用相应的方法:用加减法.解答:解:原方程组可化为,①×4﹣②×3,得7x=42,解得x=6.把x=6代入①,得y=4.所以方程组的解为.点评:注意:二元一次方程组无论多复杂,解二元一次方程组的基本思想都是消元.消元的方法有代入法和加减法.4.解方程组:考点:解二元一次方程组.专题:计算题.分析:把原方程组化简后,观察形式,选用合适的解法,此题用加减法求解比较简单.解答:解:(1)原方程组化为,①+②得:6x=18,∴x=3.代入①得:y=.所以原方程组的解为.点评:要注意:两个二元一次方程中同一未知数的系数相反或相等时,把这两个方程的两边相加或相减,就能消去这个未知数,得到一个一元一次方程,这种方法叫做加减消元法.本题适合用此法.5.解方程组:考点:解二元一次方程组.专题:计算题;换元法.分析:本题用加减消元法即可或运用换元法求解.解答:解:,①﹣②,得s+t=4,①+②,得s﹣t=6,即,解得.所以方程组的解为.点评:此题较简单,要熟练解方程组的基本方法:代入消元法和加减消元法.6.已知关于x,y的二元一次方程y=kx+b的解有和.(1)求k,b的值.(2)当x=2时,y的值.(3)当x为何值时,y=3?考点:解二元一次方程组.专题:计算题.分析:(1)将两组x,y的值代入方程得出关于k、b的二元一次方程组,再运用加减消元法求出k、b的值.(2)将(1)中的k、b代入,再把x=2代入化简即可得出y的值.(3)将(1)中的k、b和y=3代入方程化简即可得出x的值.解答:解:(1)依题意得:①﹣②得:2=4k,所以k=,所以b=.(2)由y=x+,把x=2代入,得y=.(3)由y=x+把y=3代入,得x=1.点评:本题考查的是二元一次方程的代入消元法和加减消元法,通过已知条件的代入,可得出要求的数.7.解方程组:(1);(2).考点:解二元一次方程组.分析:根据各方程组的特点选用相应的方法:(1)先去分母再用加减法,(2)先去括号,再转化为整式方程解答.解答:解:(1)原方程组可化为,①×2﹣②得:y=﹣1,将y=﹣1代入①得:x=1.∴方程组的解为;(2)原方程可化为,即,①×2+②得:17x=51,x=3,将x=3代入x﹣4y=3中得:y=0.∴方程组的解为.点评:这类题目的解题关键是理解解方程组的基本思想是消元,掌握消元的方法有:加减消元法和代入消元法.根据未知数系数的特点,选择合适的方法.8.解方程组:考点:解二元一次方程组.专题:计算题.分析:本题应把方程组化简后,观察方程的形式,选用合适的方法求解.解答:解:原方程组可化为,①+②,得10x=30,x=3,代入①,得15+3y=15,y=0.则原方程组的解为.点评:解答此题应根据各方程组的特点,有括号的去括号,有分母的去分母,然后再用代入法或加减消元法解方程组.9.解方程组:考点:解二元一次方程组.专题:计算题.分析:本题为了计算方便,可先把(2)去分母,然后运用加减消元法解本题.解答:解:原方程变形为:,两个方程相加,得4x=12,x=3.把x=3代入第一个方程,得4y=11,y=.解之得.点评:本题考查的是二元一次方程组的解法,方程中含有分母的要先化去分母,再对方程进行化简、消元,即可解出此类题目.10.解下列方程组:(1)(2)考点:解二元一次方程组.专题:计算题.分析:此题根据观察可知:(1)运用代入法,把①代入②,可得出x,y的值;(2)先将方程组化为整系数方程组,再利用加减消元法求解.解答:解:(1),由①,得x=4+y③,代入②,得4(4+y)+2y=﹣1,所以y=﹣,把y=﹣代入③,得x=4﹣=.所以原方程组的解为.(2)原方程组整理为,③×2﹣④×3,得y=﹣24,把y=﹣24代入④,得x=60,所以原方程组的解为.点评:此题考查的是对二元一次方程组的解法的运用和理解,学生可以通过题目的训练达到对知识的强化和运用.11.解方程组:(1)(2)考点:解二元一次方程组.专题:计算题;换元法.分析:方程组(1)需要先化简,再根据方程组的特点选择解法;方程组(2)采取换元法较简单,设x+y=a,x﹣y=b,然后解新方程组即可求解.解答:解:(1)原方程组可化简为,解得.(2)设x+y=a,x﹣y=b,∴原方程组可化为,解得,∴∴原方程组的解为.点评:此题考查了学生的计算能力,解题时要细心.12.解二元一次方程组:(1);(2).考点:解二元一次方程组.专题:计算题.分析:(1)运用加减消元的方法,可求出x、y的值;(2)先将方程组化简,然后运用加减消元的方法可求出x、y的值.解答:解:(1)将①×2﹣②,得15x=30,x=2,把x=2代入第一个方程,得y=1.则方程组的解是;(2)此方程组通过化简可得:,①﹣②得:y=7,把y=7代入第一个方程,得x=5.则方程组的解是.点评:此题考查的是对二元一次方程组的解法的运用和理解,学生可以通过题目的训练达到对知识的强化和运用.13.在解方程组时,由于粗心,甲看错了方程组中的a,而得解为,乙看错了方程组中的b,而得解为.(1)甲把a看成了什么,乙把b看成了什么?(2)求出原方程组的正确解.考点:解二元一次方程组.专题:计算题.分析:(1)把甲乙求得方程组的解分别代入原方程组即可;(2)把甲乙所求的解分别代入方程②和①,求出正确的a、b,然后用适当的方法解方程组.解答:解:(1)把代入方程组,得,解得:.把代入方程组,得,解得:.∴甲把a看成﹣5;乙把b看成6;(2)∵正确的a是﹣2,b是8,∴方程组为,解得:x=15,y=8.则原方程组的解是.点评:此题难度较大,需同学们仔细阅读,弄清题意再解答.14.考点:解二元一次方程组.分析:先将原方程组中的两个方程分别去掉分母,然后用加减消元法求解即可.解答:解:由原方程组,得,由(1)+(2),并解得x=(3),把(3)代入(1),解得y=,∴原方程组的解为.点评:用加减法解二元一次方程组的一般步调:1.方程组的两个方程中,如果同一个未知数的系数既不互为相反数又不相等,就用适当的数去乘方程的两边,使一个未知数的系数互为相反数或相等;2.把两个方程的两边分别相加或相减,消去一个未知数,得到一个一元一次方程;3.解这个一元一次方程;4.将求出的未知数的值代入原方程组的任意一个方程中,求出另一个未知数,从而得到方程组的解.15.解下列方程组:(1);(2).考点:解二元一次方程组.分将两个方程先化简,再选择正确的方法进行消元.析:解答:解:(1)化简整理为,①×3,得3x+3y=1500③,②﹣③,得x=350.把x=350代入①,得350+y=500,∴y=150.故原方程组的解为.(2)化简整理为,①×5,得10x+15y=75③,②×2,得10x﹣14y=46④,③﹣④,得29y=29,∴y=1.把y=1代入①,得2x+3×1=15,∴x=6.故原方程组的解为.点评:方程组中的方程不是最简方程的,最好先化成最简方程,再选择合适的方法解方程.16.解下列方程组:(1)(2)考点:解二元一次方程组.分析:观察方程组中各方程的特点,用相应的方法求解.解答:解:(1)①×2﹣②得:x=1,将x=1代入①得:2+y=4,y=2.∴原方程组的解为;(2)原方程组可化为,①×2﹣②得:﹣y=﹣3,y=3.将y=3代入①得:x=﹣2.∴原方程组的解为.。
二元一次方程组解法练习题精选一.解答题(共16小题)1.求适合的x,y的值.2.解下列方程组.6.已知关于x,y的二元一次方程y=kx+b的解有和.(1)求k,b的值.(2)当x=2时,y的值.(3)当x为何值时,y=3?7.解方程组:(1);(2).8.解方程组: 9.解方程组:10.解下列方程组:12.解二元一次方程组:;.15.解下列方程组:(1)(2).16.解下列方程组:(1)(2)二元一次方程组解法练习题精选(含答案)参考答案与试题解析一.解答题(共16小题)1.求适合的x,y的值.解二元一次方程组.考点:分先把两方程变形(去分母),得到一组新的方程,然后在用加减消元法消析:去未知数x,求出y的值,继而求出x的值.解解:由题意得:,答:由(1)×2得:3x﹣2y=2(3),由(2)×3得:6x+y=3(4),(3)×2得:6x﹣4y=4(5),(5)﹣(4)得:y=﹣,把y的值代入(3)得:x=,∴.点本题考查了二元一次方程组的解法,主要运用了加减消元法和代入法.评:2.解下列方程组(1)(2)(3)(4).考点:解二元一次方程组.分析:(1)(2)用代入消元法或加减消元法均可;(3)(4)应先去分母、去括号化简方程组,再进一步采用适宜的方法求解.解答:解:(1)①﹣②得,﹣x=﹣2,解得x=2,把x=2代入①得,2+y=1,解得y=﹣1.故原方程组的解为.(2)①×3﹣②×2得,﹣13y=﹣39,解得,y=3,把y=3代入①得,2x﹣3×3=﹣5,解得x=2.故原方程组的解为.(3)原方程组可化为,①+②得,6x=36,x=6,①﹣②得,8y=﹣4,y=﹣.所以原方程组的解为.(4)原方程组可化为:,①×2+②得,x=,把x=代入②得,3×﹣4y=6,y=﹣.所以原方程组的解为.点评:利用消元法解方程组,要根据未知数的系数特点选择代入法还是加减法:①相同未知数的系数相同或互为相反数时,宜用加减法;②其中一个未知数的系数为1时,宜用代入法.3.解方程组:考点:解二元一次方程组.专题:计算题.分析:先化简方程组,再进一步根据方程组的特点选用相应的方法:用加减法.解答:解:原方程组可化为,①×4﹣②×3,得7x=42,解得x=6.把x=6代入①,得y=4.所以方程组的解为.点评:注意:二元一次方程组无论多复杂,解二元一次方程组的基本思想都是消元.消元的方法有代入法和加减法.4.解方程组:考点:解二元一次方程组.专题:计算题.分析:把原方程组化简后,观察形式,选用合适的解法,此题用加减法求解比较简单.解答:解:(1)原方程组化为,①+②得:6x=18,∴x=3.代入①得:y=.所以原方程组的解为.点评:要注意:两个二元一次方程中同一未知数的系数相反或相等时,把这两个方程的两边相加或相减,就能消去这个未知数,得到一个一元一次方程,这种方法叫做加减消元法.本题适合用此法.5.解方程组:考点:解二元一次方程组.专题:计算题;换元法.分析:本题用加减消元法即可或运用换元法求解.解答:解:,①﹣②,得s+t=4,①+②,得s﹣t=6,即,解得.所以方程组的解为.点评:此题较简单,要熟练解方程组的基本方法:代入消元法和加减消元法.6.已知关于x,y的二元一次方程y=kx+b 的解有和.(1)求k,b的值.(2)当x=2时,y的值.(3)当x为何值时,y=3?考点:解二元一次方程组.专题:计算题.分析:(1)将两组x,y的值代入方程得出关于k、b 的二元一次方程组,再运用加减消元法求出k、b的值.(2)将(1)中的k、b代入,再把x=2代入化简即可得出y的值.(3)将(1)中的k、b和y=3代入方程化简即可得出x的值.解答:解:(1)依题意得:①﹣②得:2=4k,所以k=,所以b=.(2)由y=x+,把x=2代入,得y=.(3)由y=x+把y=3代入,得x=1.点评:本题考查的是二元一次方程的代入消元法和加减消元法,通过已知条件的代入,可得出要求的数.7.解方程组:(1);(2).考点:解二元一次方程组.分析:根据各方程组的特点选用相应的方法:(1)先去分母再用加减法,(2)先去括号,再转化为整式方程解答.解答:解:(1)原方程组可化为,①×2﹣②得:y=﹣1,将y=﹣1代入①得:x=1.∴方程组的解为;(2)原方程可化为,即,①×2+②得:17x=51,x=3,将x=3代入x﹣4y=3中得:y=0.∴方程组的解为.点评:这类题目的解题关键是理解解方程组的基本思想是消元,掌握消元的方法有:加减消元法和代入消元法.根据未知数系数的特点,选择合适的方法.8.解方程组:考点:解二元一次方程组.专题:计算题.分析:本题应把方程组化简后,观察方程的形式,选用合适的方法求解.解答:解:原方程组可化为,①+②,得10x=30,x=3,代入①,得15+3y=15,y=0.则原方程组的解为.点评:解答此题应根据各方程组的特点,有括号的去括号,有分母的去分母,然后再用代入法或加减消元法解方程组.9.解方程组:考点:解二元一次方程组.专题:计算题.分析:本题为了计算方便,可先把(2)去分母,然后运用加减消元法解本题.解答:解:原方程变形为:,两个方程相加,得4x=12,x=3.把x=3代入第一个方程,得4y=11,y=.解之得.点评:本题考查的是二元一次方程组的解法,方程中含有分母的要先化去分母,再对方程进行化简、消元,即可解出此类题目.10.解下列方程组:(1)(2)考点:解二元一次方程组.专题:计算题.分析:此题根据观察可知:(1)运用代入法,把①代入②,可得出x,y的值;(2)先将方程组化为整系数方程组,再利用加减消元法求解.解答:解:(1),由①,得x=4+y③,代入②,得4(4+y)+2y=﹣1,所以y=﹣,把y=﹣代入③,得x=4﹣=.所以原方程组的解为.(2)原方程组整理为,③×2﹣④×3,得y=﹣24,把y=﹣24代入④,得x=60,所以原方程组的解为.点评:此题考查的是对二元一次方程组的解法的运用和理解,学生可以通过题目的训练达到对知识的强化和运用.11.解方程组:(1)(2)考解二元一次方程组.点:专题:计算题;换元法.分析:方程组(1)需要先化简,再根据方程组的特点选择解法;方程组(2)采用换元法较简单,设x+y=a,x﹣y=b,然后解新方程组即可求解.解答:解:(1)原方程组可化简为,解得.(2)设x+y=a,x﹣y=b,∴原方程组可化为,解得,∴∴原方程组的解为.点评:此题考查了学生的计算能力,解题时要细心.12.解二元一次方程组:(1);(2).考点:解二元一次方程组.专题:计算题.分(1)运用加减消元的方法,可求出x、y的值;析:(2)先将方程组化简,然后运用加减消元的方法可求出x、y的值.解答:解:(1)将①×2﹣②,得15x=30,x=2,把x=2代入第一个方程,得y=1.则方程组的解是;(2)此方程组通过化简可得:,①﹣②得:y=7,把y=7代入第一个方程,得x=5.则方程组的解是.点评:此题考查的是对二元一次方程组的解法的运用和理解,学生可以通过题目的训练达到对知识的强化和运用.13.在解方程组时,由于粗心,甲看错了方程组中的a ,而得解为,乙看错了方程组中的b ,而得解为.(1)甲把a看成了什么,乙把b看成了什么?(2)求出原方程组的正确解.考点:解二元一次方程组.专题:计算题.分析:(1)把甲乙求得方程组的解分别代入原方程组即可;(2)把甲乙所求的解分别代入方程②和①,求出正确的a、b,然后用适当的方法解方程组.解答:解:(1)把代入方程组,得,解得:.把代入方程组,得,解得:.∴甲把a看成﹣5;乙把b看成6;(2)∵正确的a是﹣2,b是8,∴方程组为,解得:x=15,y=8.则原方程组的解是.点评:此题难度较大,需同学们仔细阅读,弄清题意再解答.14.考点:解二元一次方程组.分析:先将原方程组中的两个方程分别去掉分母,然后用加减消元法求解即可.解答:解:由原方程组,得,由(1)+(2),并解得x=(3),把(3)代入(1),解得y=,∴原方程组的解为.点评:用加减法解二元一次方程组的一般步骤:1.方程组的两个方程中,如果同一个未知数的系数既不互为相反数又不相等,就用适当的数去乘方程的两边,使一个未知数的系数互为相反数或相等;2.把两个方程的两边分别相加或相减,消去一个未知数,得到一个一元一次方程;3.解这个一元一次方程;4.将求出的未知数的值代入原方程组的任意一个方程中,求出另一个未知数,从而得到方程组的解.15.解下列方程组:(1);(2).考点:解二元一次方程组.分析:将两个方程先化简,再选择正确的方法进行消元.解答:解:(1)化简整理为,①×3,得3x+3y=1500③,②﹣③,得x=350.把x=350代入①,得350+y=500,∴y=150.故原方程组的解为.(2)化简整理为,①×5,得10x+15y=75③,②×2,得10x﹣14y=46④,③﹣④,得29y=29,∴y=1.把y=1代入①,得2x+3×1=15,∴x=6.故原方程组的解为.点评:方程组中的方程不是最简方程的,最好先化成最简方程,再选择合适的方法解方程.16.解下列方程组:(1)(2)考点:解二元一次方程组.分析:观察方程组中各方程的特点,用相应的方法求解.解答:解:(1)①×2﹣②得:x=1,将x=1代入①得:2+y=4,y=2.∴原方程组的解为;(2)原方程组可化为,①×2﹣②得:﹣y=﹣3,y=3.将y=3代入①得:x=﹣2.∴原方程组的解为.解此类题目要注意观察方程组中各方程的特点,采用加减法或代入法求解.点评:。
二元一次方程组解法练习题一.解答题(共16小题) 1.解下列方程组 (1)(2)(3))(6441125为已知数a a y x ay x ⎩⎨⎧=-=+(4)!(5)(6).&(7)(8)⎩⎨⎧=--+=-++0)1(2)1()1(2x y x x x y y x/(9)(10) ⎪⎪⎩⎪⎪⎨⎧=-++=-++1213222132y x y x,2.求适合的x ,y 的值.!,3.已知关于x ,y 的二元一次方程y=kx+b 的解有和.(1)求k ,b 的值.(2)当x=2时,y 的值. (3)当x 为何值时,y=3."1.解下列方程组(1)(2);(3);(4)|(5).(6);(7)(8)`(9)(10);、$2.在解方程组时,由于粗心,甲看错了方程组中的a,而得解为,乙看错了方程组中的b,而得解为.(1)甲把a看成了什么,乙把b看成了什么(2)求出原方程组的正确解.二元一次方程组解法练习题精选参考答案与试题解析<一.解答题(共16小题)1.求适合的x,y的值.考点:解二元一次方程组.分析:先把两方程变形(去分母),得到一组新的方程,然后在用加减消元法消去未知数x,求出y的值,继而求出x的值.解答:*解:由题意得:,由(1)×2得:3x﹣2y=2(3),由(2)×3得:6x+y=3(4),(3)×2得:6x﹣4y=4(5),(5)﹣(4)得:y=﹣,把y的值代入(3)得:x=,∴.点评:;本题考查了二元一次方程组的解法,主要运用了加减消元法和代入法.2.解下列方程组(1)(2)(3)(4).考点:解二元一次方程组.分析:>(1)(2)用代入消元法或加减消元法均可;(3)(4)应先去分母、去括号化简方程组,再进一步采用适宜的方法求解.解答:解:(1)①﹣②得,﹣x=﹣2,解得x=2,把x=2代入①得,2+y=1,解得y=﹣1.故原方程组的解为.,(2)①×3﹣②×2得,﹣13y=﹣39,解得,y=3,把y=3代入①得,2x﹣3×3=﹣5,解得x=2.故原方程组的解为.(3)原方程组可化为,、①+②得,6x=36,x=6,①﹣②得,8y=﹣4,y=﹣.所以原方程组的解为.(4)原方程组可化为:,①×2+②得,x=,把x=代入②得,3×﹣4y=6,y=﹣.|所以原方程组的解为.点评:利用消元法解方程组,要根据未知数的系数特点选择代入法还是加减法:①相同未知数的系数相同或互为相反数时,宜用加减法;②其中一个未知数的系数为1时,宜用代入法.3.解方程组:*考点:解二元一次方程组.专题:计算题.分析:先化简方程组,再进一步根据方程组的特点选用相应的方法:用加减法.解答:解:原方程组可化为,—①×4﹣②×3,得7x=42,解得x=6.把x=6代入①,得y=4.所以方程组的解为.点评:;二元一次方程组无论多复杂,解二元一次方程组的基本思想都是消元.消元的方法有代入法和加减法.@4.解方程组:考点:解二元一次方程组.专题:计算题.分析:把原方程组化简后,观察形式,选用合适的解法,此题用加减法求解比较简单.(解答:解:(1)原方程组化为,①+②得:6x=18,∴x=3.代入①得:y=.所以原方程组的解为.点评:要注意:两个二元一次方程中同一未知数的系数相反或相等时,把这两个方程的两边相加或相减,就能消去这个未知数,得到一个一元一次方程,这种方法叫做加减消元法.本题适合用此法.#5.解方程组:考点:解二元一次方程组.专题:计算题;换元法.分析:|本题用加减消元法即可或运用换元法求解.解答:解:,①﹣②,得s+t=4,①+②,得s﹣t=6,即,解得.所以方程组的解为.!点评:此题较简单,要熟练解方程组的基本方法:代入消元法和加减消元法.6.已知关于x,y的二元一次方程y=kx+b的解有和.(1)求k,b的值.(2)当x=2时,y的值.(3)当x为何值时,y=3》考点:解二元一次方程组.专题:计算题.分析:(1)将两组x,y的值代入方程得出关于k、b的二元一次方程组,再运用加减消元法求出k、b的值.(2)将(1)中的k、b代入,再把x=2代入化简即可得出y的值.(3)将(1)中的k、b和y=3代入方程化简即可得出x的值.~解答:解:(1)依题意得:①﹣②得:2=4k,所以k=,所以b=.(2)由y=x+,^把x=2代入,得y=.(3)由y=x+把y=3代入,得x=1.点评:本题考查的是二元一次方程的代入消元法和加减消元法,通过已知条件的代入,可得出要求的数.7.解方程组:—(1);(2).考点:解二元一次方程组.分析:根据各方程组的特点选用相应的方法:(1)先去分母再用加减法,(2)先去括号,再转化为整式方程解答.解答:#解:(1)原方程组可化为,①×2﹣②得:y=﹣1,将y=﹣1代入①得:x=1.∴方程组的解为;(2)原方程可化为,即,*①×2+②得:17x=51,x=3,将x=3代入x﹣4y=3中得:y=0.∴方程组的解为.点评:这类题目的解题关键是理解解方程组的基本思想是消元,掌握消元的方法有:加减消元法和代入消元法.{根据未知数系数的特点,选择合适的方法.8.解方程组:考点:解二元一次方程组.专题:计算题.。
实用文档标准二元一次方程组练习题一.解答题(共16小题) 1.解下列方程组 (1)(2)(3))(6441125为已知数a a y x ay x ⎩⎨⎧=-=+ (4)(5)(6).(7)(8)⎩⎨⎧=--+=-++0)1(2)1()1(2x y x x x y y x(9)(10) ⎪⎪⎩⎪⎪⎨⎧=-++=-++1213222132y x y x2.求适合的x ,y 的值.3.已知关于x ,y 的二元一次方程y=kx+b 的解有和.(1)求k ,b 的值.(2)当x=2时,y 的值. (3)当x 为何值时,y=3?1.解下列方程组(1)(2);(3);(4)(5).(6)(7)(8)(9)(10);2.在解方程组时,由于粗心,甲看错了方程组中的a,而得解为,乙看错了方程组中的b,而得解为.(1)甲把a看成了什么,乙把b看成了什么?(2)求出原方程组的正确解.word版本二元一次方程组解法练习题精选参考答案与试题解析一.解答题(共16小题)1.求适合的x,y的值.考点:解二元一次方程组.分析:先把两方程变形(去分母),得到一组新的方程,然后在用加减消元法消去未知数x,求出y的值,继而求出x的值.解答:解:由题意得:,由(1)×2得:3x ﹣2y=2(3),由(2)×3得:6x+y=3(4),(3)×2得:6x﹣4y=4(5),(5)﹣(4)得:y=﹣,把y的值代入(3)得:x=,∴.点评:本题考查了二元一次方程组的解法,主要运用了加减消元法和代入法.2.解下列方程组(1)(2)(3)(4).考点:解二元一次方程组.分析:(1)(2)用代入消元法或加减消元法均可;(3)(4)应先去分母、去括号化简方程组,再进一步采用适宜的方法求解.解答:解:(1)①﹣②得,﹣x=﹣2,解得x=2,把x=2代入①得,2+y=1,解得y=﹣1.故原方程组的解为.(2)①×3﹣②×2得,﹣13y=﹣39,解得,y=3,把y=3代入①得,2x﹣3×3=﹣5,解得x=2.故原方程组的解为.(3)原方程组可化为,①+②得,6x=36,x=6,①﹣②得,8y=﹣4,y=﹣.所以原方程组的解为.(4)原方程组可化为:,①×2+②得,x=,把x=代入②得,3×﹣4y=6,y=﹣.所以原方程组的解为.点评:利用消元法解方程组,要根据未知数的系数特点选择代入法还是加减法:①相同未知数的系数相同或互为相反数时,宜用加减法;②其中一个未知数的系数为1时,宜用代入法.3.解方程组:考点:解二元一次方程组.word版本专题:计算题.分析:先化简方程组,再进一步根据方程组的特点选用相应的方法:用加减法.解答:解:原方程组可化为,①×4﹣②×3,得7x=42,解得x=6.把x=6代入①,得y=4.所以方程组的解为.点评:;二元一次方程组无论多复杂,解二元一次方程组的基本思想都是消元.消元的方法有代入法和加减法.4.解方程组:考点:解二元一次方程组.专题:计算题.分析:把原方程组化简后,观察形式,选用合适的解法,此题用加减法求解比较简单.解答:解:(1)原方程组化为,①+②得:6x=18,∴x=3.代入①得:y=.所以原方程组的解为.点评:要注意:两个二元一次方程中同一未知数的系数相反或相等时,把这两个方程的两边相加或相减,就能消去这个未知数,得到一个一元一次方程,这种方法叫做加减消元法.本题适合用此法.5.解方程组:考点:解二元一次方程组.专题:计算题;换元法.分析:本题用加减消元法即可或运用换元法求解.解答:解:,①﹣②,得s+t=4,①+②,得s﹣t=6,即,解得.所以方程组的解为.点评:此题较简单,要熟练解方程组的基本方法:代入消元法和加减消元法.6.已知关于x,y的二元一次方程y=kx+b的解有和.(1)求k,b的值.(2)当x=2时,y的值.(3)当x为何值时,y=3?考点:解二元一次方程组.专题:计算题.分析:(1)将两组x ,y 的值代入方程得出关于k、b的二元一次方程组,再运用加减消元法求出k、b的值.(2)将(1)中的k、b代入,再把x=2代入化简即可得出y的值.(3)将(1)中的k、b和y=3代入方程化简即可得出x的值.解答:解:(1)依题意得:①﹣②得:2=4k,所以k=,所以b=.(2)由y=x+,把x=2代入,得y=.word 版本(3)由y=x+把y=3代入,得x=1.点评:本题考查的是二元一次方程的代入消元法和加减消元法,通过已知条件的代入,可得出要求的数.7.解方程组:(1);(2).考点:解二元一次方程组.分析:根据各方程组的特点选用相应的方法:(1)先去分母再用加减法,(2)先去括号,再转化为整式方程解答.解答:解:(1)原方程组可化为,①×2﹣②得:y=﹣1,将y=﹣1代入①得:x=1.∴方程组的解为;(2)原方程可化为,即,①×2+②得:17x=51,x=3,将x=3代入x﹣4y=3中得:y=0.∴方程组的解为.点评:这类题目的解题关键是理解解方程组的基本思想是消元,掌握消元的方法有:加减消元法和代入消元法.根据未知数系数的特点,选择合适的方法.8.解方程组:考点:解二元一次方程组.专题:计算题.分析:本题应把方程组化简后,观察方程的形式,选用合适的方法求解.解答:解:原方程组可化为,①+②,得10x=30,x=3,代入①,得15+3y=15,y=0.则原方程组的解为.点评:解答此题应根据各方程组的特点,有括号的去括号,有分母的去分母,然后再用代入法或加减消元法解方程组.9.解方程组:考点:解二元一次方程组.专题:计算题.分析:本题为了计算方便,可先把(2)去分母,然后运用加减消元法解本题.解答:解:原方程变形为:,两个方程相加,得4x=12,x=3.把x=3代入第一个方程,得4y=11,y=.解之得.点评:本题考查的是二元一次方程组的解法,方程中含有分母的要先化去分母,再对方程进行化简、消元,即可解出此类题目.word版本10.解下列方程组:(1)(2)考点:解二元一次方程组.专题:计算题.分析:此题根据观察可知:(1)运用代入法,把①代入②,可得出x,y的值;(2)先将方程组化为整系数方程组,再利用加减消元法求解.解答:解:(1),由①,得x=4+y③,代入②,得4(4+y )+2y=﹣1,所以y=﹣,把y=﹣代入③,得x=4﹣=.所以原方程组的解为.(2)原方程组整理为,③×2﹣④×3,得y=﹣24,把y=﹣24代入④,得x=60,所以原方程组的解为.点评:此题考查的是对二元一次方程组的解法的运用和理解,学生可以通过题目的训练达到对知识的强化和运用.11.解方程组:(1)(2)考点:解二元一次方程组.专题:计算题;换元法.分析:方程组(1)需要先化简,再根据方程组的特点选择解法;方程组(2)采用换元法较简单,设x+y=a,x﹣y=b,然后解新方程组即可求解.解答:解:(1)原方程组可化简为,解得.(2)设x+y=a,x﹣y=b,∴原方程组可化为,解得,∴∴原方程组的解为.点评:此题考查了学生的计算能力,解题时要细心.12.解二元一次方程组:(1);(2).考点:解二元一次方程组.word版本专题:计算题.分析:(1)运用加减消元的方法,可求出x、y的值;(2)先将方程组化简,然后运用加减消元的方法可求出x、y的值.解答:解:(1)将①×2﹣②,得15x=30,x=2,把x=2代入第一个方程,得y=1.则方程组的解是;(2)此方程组通过化简可得:,①﹣②得:y=7,把y=7代入第一个方程,得x=5.则方程组的解是.点评:此题考查的是对二元一次方程组的解法的运用和理解,学生可以通过题目的训练达到对知识的强化和运用.13.在解方程组时,由于粗心,甲看错了方程组中的a ,而得解为,乙看错了方程组中的b,而得解为.(1)甲把a看成了什么,乙把b看成了什么?(2)求出原方程组的正确解.考点:解二元一次方程组.专题:计算题.分析:(1)把甲乙求得方程组的解分别代入原方程组即可;(2)把甲乙所求的解分别代入方程②和①,求出正确的a、b,然后用适当的方法解方程组.解答:解:(1)把代入方程组,得,解得:.把代入方程组,得,解得:.∴甲把a看成﹣5;乙把b看成6;(2)∵正确的a是﹣2,b是8,∴方程组为,解得:x=15,y=8.则原方程组的解是.点评:此题难度较大,需同学们仔细阅读,弄清题意再解答.14.考点:解二元一次方程组.分析:先将原方程组中的两个方程分别去掉分母,然后用加减消元法求解即可.解答:解:由原方程组,得,由(1)+(2),并解得x=(3),把(3)代入(1),解得y=∴原方程组的解为.点评:用加减法解二元一次方程组的一般步骤:1.方程组的两个方程中,如果同一个未知数的系数既不互为相反数又不相等,就用适当的数去乘方程的两边,使一个未知数的系数互为相反数或相等;word版本2.把两个方程的两边分别相加或相减,消去一个未知数,得到一个一元一次方程;3.解这个一元一次方程;4.将求出的未知数的值代入原方程组的任意一个方程中,求出另一个未知数,从而得到方程组的解.15.解下列方程组:(1);(2).考点:解二元一次方程组.分析:将两个方程先化简,再选择正确的方法进行消元.解答:解:(1)化简整理为,①×3,得3x+3y=1500③,②﹣③,得x=350.把x=350代入①,得350+y=500,∴y=150.故原方程组的解为.(2)化简整理为,①×5,得10x+15y=75③,②×2,得10x﹣14y=46④,③﹣④,得29y=29,∴y=1.把y=1代入①,得2x+3×1=15,∴x=6.故原方程组的解为.点评:方程组中的方程不是最简方程的,最好先化成最简方程,再选择合适的方法解方程.16.解下列方程组:(1)(2)考点:解二元一次方程组.分析:观察方程组中各方程的特点,用相应的方法求解.解答:解:(1)①×2﹣②得:x=1,将x=1代入①得:2+y=4,y=2.∴原方程组的解为;(2)原方程组可化为,①×2﹣②得:﹣y=﹣3,y=3.将y=3代入①得:x=﹣2.∴原方程组的解为.点评:解此类题目要注意观察方程组中各方程的特点,采用加减法或代入法求解.word版本。
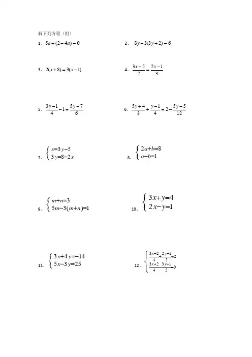
解下列方程(组)1、 0)42(5=-+a a2、 6)23(38=+-y y3、)1(3)8(2-=+x x4、312253-=+x x 5、6751413-=--y y 6、1255241345--=-++y y y7、{35382x y y x=-=- 8、{281a b a b +=-=9、{353()1m n m m n +=-+= 10、{3421x y x y +=-=11、{34145325x y x y +=--= 12、32212453231045x y x y --+=++-=⎧⎨⎩二元一次方程组解法练习题精选(含答案)一.解答题(共16小题)1.求适合的x,y的值.2.解下列方程组(1)(2)(3)(4).3.解方程组:4.解方程组:5.解方程组:6.已知关于x,y的二元一次方程y=kx+b的解有和.(1)求k,b的值.(2)当x=2时,y的值.(3)当x为何值时,y=3?7.解方程组:(1);(2).8.解方程组:9.解方程组:10.解下列方程组:(1)(2)11.解方程组:(1)(2)12.解二元一次方程组:(1);(2).13.在解方程组时,由于粗心,甲看错了方程组中的a,而得解为,乙看错了方程组中的b,而得解为.(1)甲把a看成了什么,乙把b看成了什么?(2)求出原方程组的正确解.14.15.解下列方程组:(1);(2).16.解下列方程组:(1)(2)二元一次方程组解法练习题精选(含答案)参考答案与试题解析一.解答题(共16小题)1.求适合的x,y的值.解二元一次方程组.考点:分析:先把两方程变形(去分母),得到一组新的方程,然后在用加减消元法消去未知数x,求y的值,继而求出x的值.解答:解:由题意得:,由(1)×2得:3x﹣2y=2(3),由(2)×3得:6x+y=3(4),(3)×2得:6x﹣4y=4(5),(5)﹣(4)得:y=﹣,把y的值代入(3)得:x=,∴.点本题考查了二元一次方程组的解法,主要运用了加减消元法和代入法.评:2.解下列方程组(1)(2)(3)(4).考点:解二元一次方程组.分析:(1)(2)用代入消元法或加减消元法均可;(3)(4)应先去分母、去括号化简方程组,再进一步采用适宜的方法求解.解答:解:(1)①﹣②得,﹣x=﹣2,解得x=2,把x=2代入①得,2+y=1,解得y=﹣1.故原方程组的解为.(2)①×3﹣②×2得,﹣13y=﹣39,解得,y=3,把y=3代入①得,2x﹣3×3=﹣5,解得x=2.故原方程组的解为.(3)原方程组可化为,①+②得,6x=36,x=6,①﹣②得,8y=﹣4,y=﹣.所以原方程组的解为.(4)原方程组可化为:,①×2+②得,x=,把x=代入②得,3×﹣4y=6,y=﹣.所以原方程组的解为.点评:利用消元法解方程组,要根据未知数的系数特点选择代入法还是加减法:①相同未知数的系数相同或互为相反数时,宜用加减法;②其中一个未知数的系数为1时,宜用代入法.3.解方程组:考点:解二元一次方程组.专题:计算题.分析:先化简方程组,再进一步根据方程组的特点选用相应的方法:用加减法.解答:解:原方程组可化为,①×4﹣②×3,得7x=42,解得x=6.把x=6代入①,得y=4.所以方程组的解为.点评:注意:二元一次方程组无论多复杂,解二元一次方程组的基本思想都是消元.消元的方法有代入法和加减法.4.解方程组:考点:解二元一次方程组.专题:计算题.分把原方程组化简后,观察形式,选用合适的解法,此题用加减法求解比较简单.析:解答:解:(1)原方程组化为,①+②得:6x=18,∴x=3.代入①得:y=.所以原方程组的解为.点评:要注意:两个二元一次方程中同一未知数的系数相反或相等时,把这两个方程的两边相加或相减,就能消去这个未知数,得到一个一元一次方程,这种方法叫做加减消元法.本题适合用此法.5.解方程组:考点:解二元一次方程组.专题:计算题;换元法.分析:本题用加减消元法即可或运用换元法求解.解答:解:,①﹣②,得s+t=4,①+②,得s﹣t=6,即,解得.所以方程组的解为.点评:此题较简单,要熟练解方程组的基本方法:代入消元法和加减消元法.6.已知关于x,y的二元一次方程y=kx+b的解有和.(1)求k,b的值.(2)当x=2时,y的值.(3)当x为何值时,y=3?考点:解二元一次方程组.专题:计算题.分析:(1)将两组x,y的值代入方程得出关于k、b的二元一次方程组,再运用加减消元法求出k b的值.(2)将(1)中的k、b代入,再把x=2代入化简即可得出y的值.(3)将(1)中的k、b和y=3代入方程化简即可得出x的值.解答:解:(1)依题意得:①﹣②得:2=4k,所以k=,所以b=.(2)由y=x+,把x=2代入,得y=.(3)由y=x+把y=3代入,得x=1.点评:本题考查的是二元一次方程的代入消元法和加减消元法,通过已知条件的代入,可得出要求的数.7.解方程组:(1);(2).考点:解二元一次方程组.分析:根据各方程组的特点选用相应的方法:(1)先去分母再用加减法,(2)先去括号,再转化为整式方程解答.答:解:(1)原方程组可化为,①×2﹣②得:y=﹣1,将y=﹣1代入①得:x=1.∴方程组的解为;(2)原方程可化为,即,①×2+②得:17x=51,x=3,将x=3代入x﹣4y=3中得:y=0.∴方程组的解为.点评:这类题目的解题关键是理解解方程组的基本思想是消元,掌握消元的方法有:加减消元法和代入消元法.根据未知数系数的特点,选择合适的方法.8.解方程组:考点:解二元一次方程组.专题:计算题.分析:本题应把方程组化简后,观察方程的形式,选用合适的方法求解.解答:解:原方程组可化为,①+②,得10x=30,x=3,代入①,得15+3y=15,y=0.则原方程组的解为.点评:解答此题应根据各方程组的特点,有括号的去括号,有分母的去分母,然后再用代入法或加减消元法解方程组.9.解方程组:考点:解二元一次方程组.专题:计算题.分析:本题为了计算方便,可先把(2)去分母,然后运用加减消元法解本题.解答:解:原方程变形为:,两个方程相加,得4x=12,x=3.把x=3代入第一个方程,得4y=11,y=.解之得.点评:本题考查的是二元一次方程组的解法,方程中含有分母的要先化去分母,再对方程进行化简、消元,即可解出此类题目.10.解下列方程组:(1)(2)考点:解二元一次方程组.专题:计算题.分析:此题根据观察可知:(1)运用代入法,把①代入②,可得出x,y的值;(2)先将方程组化为整系数方程组,再利用加减消元法求解.解答:解:(1),由①,得x=4+y③,代入②,得4(4+y)+2y=﹣1,所以y=﹣,把y=﹣代入③,得x=4﹣=.所以原方程组的解为.(2)原方程组整理为,③×2﹣④×3,得y=﹣24,把y=﹣24代入④,得x=60,所以原方程组的解为.点评:此题考查的是对二元一次方程组的解法的运用和理解,学生可以通过题目的训练达到对知识的强化和运用.11.解方程组:(1)(2)考点:解二元一次方程组.专题:计算题;换元法.分析:方程组(1)需要先化简,再根据方程组的特点选择解法;方程组(2)采用换元法较简单,设x+y=a,x﹣y=b,然后解新方程组即可求解.解答:解:(1)原方程组可化简为,解得.(2)设x+y=a,x﹣y=b,∴原方程组可化为,解得,∴∴原方程组的解为.点评:此题考查了学生的计算能力,解题时要细心.12.解二元一次方程组:(1);(2).考点:解二元一次方程组.专题:计算题.分析:(1)运用加减消元的方法,可求出x、y的值;(2)先将方程组化简,然后运用加减消元的方法可求出x、y的值.解答:解:(1)将①×2﹣②,得15x=30,x=2,把x=2代入第一个方程,得y=1.则方程组的解是;(2)此方程组通过化简可得:,①﹣②得:y=7,把y=7代入第一个方程,得x=5.则方程组的解是.点评:此题考查的是对二元一次方程组的解法的运用和理解,学生可以通过题目的训练达到对知识的强化和运用.13.在解方程组时,由于粗心,甲看错了方程组中的a,而得解为,乙看错了方程组中的b,而得解为.(1)甲把a看成了什么,乙把b看成了什么?(2)求出原方程组的正确解.考点:解二元一次方程组.专题:计算题.分析:(1)把甲乙求得方程组的解分别代入原方程组即可;(2)把甲乙所求的解分别代入方程②和①,求出正确的a、b,然后用适当的方法解方程组.解答:解:(1)把代入方程组,得,解得:.把代入方程组,得,解得:.∴甲把a看成﹣5;乙把b看成6;(2)∵正确的a是﹣2,b是8,∴方程组为,解得:x=15,y=8.则原方程组的解是.点评:此题难度较大,需同学们仔细阅读,弄清题意再解答.14.考点:解二元一次方程组.分析:先将原方程组中的两个方程分别去掉分母,然后用加减消元法求解即可.解答:解:由原方程组,得,由(1)+(2),并解得x=(3),把(3)代入(1),解得y=,∴原方程组的解为.点评:用加减法解二元一次方程组的一般步骤:1.方程组的两个方程中,如果同一个未知数的系数既不互为相反数又不相等,就用适当的数去乘方程的两边,使一个未知数的系数互为相反数或相等;2.把两个方程的两边分别相加或相减,消去一个未知数,得到一个一元一次方程;3.解这个一元一次方程;4.将求出的未知数的值代入原方程组的任意一个方程中,求出另一个未知数,从而得到方程组的解.15.解下列方程组:(1);(2).考点:解二元一次方程组.分析:将两个方程先化简,再选择正确的方法进行消元.解答:解:(1)化简整理为,①×3,得3x+3y=1500③,②﹣③,得x=350.把x=350代入①,得350+y=500,∴y=150.故原方程组的解为.(2)化简整理为,①×5,得10x+15y=75③,②×2,得10x﹣14y=46④,③﹣④,得29y=29,∴y=1.把y=1代入①,得2x+3×1=15,∴x=6.故原方程组的解为.点评:方程组中的方程不是最简方程的,最好先化成最简方程,再选择合适的方法解方程.16.解下列方程组:(1)(2)考点:解二元一次方程组.分析:观察方程组中各方程的特点,用相应的方法求解.解答:解:(1)①×2﹣②得:x=1,将x=1代入①得:2+y=4,y=2.∴原方程组的解为;(2)原方程组可化为,①×2﹣②得:﹣y=﹣3,y=3.将y=3代入①得:x=﹣2.∴原方程组的解为.解此类题目要注意观察方程组中各方程的特点,采用加减法或代入法求解.点评:。
解二元一次方程50道练习题(带答案)
1. 解方程组:
{2x - y = 3
{3x + 2y = 8
解答:
首先,可以通过消元法来解决这个问题。
将第一个方程乘以2,并将第二个方程乘以3,得到:
{4x - 2y = 6
{9x + 6y = 24
接下来,将第一个方程的两倍加到第二个方程上,得到:
{4x - 2y = 6
{13x + 4y = 30
然后,将第一个方程的2倍加到第二个方程上,得到:
{4x - 2y = 6
{8x - 8y = 12
接下来,将第二个方程的两倍加到第一个方程上,得到:
{36x = 18
{8x - 8y = 12
最后,解方程得到:
{x = 0.5
{y = 2
2. 解方程组:
{3x + 2y = 7
{5x + 3y = 11
解答:
可以使用消元法来解决这个方程组。
将第一个方程乘以3,并将第二个方程乘以2,得到:
{9x + 6y = 21
{10x + 6y = 22
接下来,将第二个方程的两倍减去第一个方程,得到:
{9x + 6y = 21
{2x = 1
最后,解方程得到:
{x = 0.5
{y = 2
3. ...
...
50. ...
...
这是前面五道解二元一次方程的练习题,你可以根据相同的方法解答剩下的题目。
希望这些练习题对你有帮助!。
二元一次方程组解法练习题精选(含答案) 二元一次方程组解法练题精选(含答案)一.解答题(共16小题)1.求适合 $3x-2y=2$ 和 $6x+y=3$ 的 $x$,$y$ 的值。
解答:由 $(1)\times2$ 得:$3x-2y=2$(3),由$(2)\times3$ 得:$6x+y=3$(4),$(3)\times2$ 得:$6x-4y=4$(5),$(5)-(4)$ 得:$y=-\frac{1}{2}$,把 $y$ 的值代入 $(3)$ 得:$x=\frac{1}{2}$,故原方程组的解为$(x,y)=(\frac{1}{2},-\frac{1}{2})$。
2.解下列方程组:begin{cases} \frac{x}{2}+\frac{y}{3}=1 \\\frac{x}{3}+\frac{y}{2}=2 \end{cases}$$解答:由题意得:$\frac{x}{2}+\frac{y}{3}=1$(1),$\frac{x}{3}+\frac{y}{2}=2$(2),先把两方程变形(去分母),得到一组新的方程,然后在用加减消元法解二元一次方程组。
把 $(1)\times3$ 减去 $(2)\times2$,得到 $x=-1$,把$x=-1$ 代入 $(1)$,得到 $y=6$,故原方程组的解为 $(x,y)=(-1,6)$。
3.解方程组:begin{cases} 3x+2y=7 \\ 2x+3y=8 \end{cases}$$解答:把两方程相加得到 $5x+5y=15$,即 $x+y=3$,把$x+y=3$ 代入其中一个方程,如 $(1)$,得到 $x=-1$,再把$x=-1$ 代入 $(1)$ 或 $(2)$ 中的一个方程,如 $(1)$,得到$y=4$,故原方程组的解为 $(x,y)=(-1,4)$。
4.解方程组:begin{cases} x+y=5 \\ 2x-y=4 \end{cases}$$解答:把两方程相加得到 $3x=9$,即 $x=3$,把$x=3$ 代入其中一个方程,如 $(1)$,得到 $y=2$,再把 $x=3$,$y=2$ 代入原方程组检验,发现符合,故原方程组的解为$(x,y)=(3,2)$。
二元一次方程组经典练习题+答案解析100道二元一次方程组练题100道(卷一)1、判断1、方程组xy526的解是()。
解:这不是一个完整的方程组,缺少另一个方程,无法判断解。
2、方程组1是方程组yx3 2的解是方程3x-2y=13的一个解()。
解:将方程组代入3x-2y=13中,得到3x-2(-x/3-1/2)=13,化简得到x=5,y=-4,代入方程组可验证是解,因此选(√)。
3、由两个二元一次方程组成方程组一定是二元一次方程组()。
解:不一定,例如x+y=1和2x+2y=2就不是二元一次方程组。
4、方程组x3y 573x2y12235 3可以转化为方程组解:将第一个方程移项得到x+3y=2,代入第二个方程中消去x得到-7y=-18,解得y=18/7,代入第一个方程得到x=-41/7,因此可以转化为方程组5x-6y=-27和2y-3x+4=2,选(√)。
5、若(a-1)x+(a-1)x+(2a-3)y=0是二元一次方程,则a的值为±1()。
解:将XXX提取出来得到(a-1)(x+y)+(2a-3)y=0,因此x+y=-2a+3y/y-2,这是一个关于a的一次函数,当a=±1时,x+y=±1,此时方程组化为x+y=±1和-2x-2y=0,是二元一次方程组,因此选(√)。
6、若x+y=0,且|x|=2,则y的值为2()。
解:由x+y=0得到y=-x,代入|x|=2中得到|x|=|x+y|=|-x+y|=2,解得x=±1,因此y=±1,不等于2,选(×)。
7、方程组mx my m3x4x10y8有唯一的解,那么m的值为m≠-5()。
解:将第一个方程移项得到(m+3)x+my=m,代入第二个方程中消去x得到(3m+2)y=8-m,因为有唯一解,所以3m+2≠0,即m≠-2/3,代入方程组中验证,当m≠-5时,有唯一解,因此选(√)。
8、方程组1x y 233有无数多个解()。
二元一次方程组计算题100题1.解方程组:2x+9y=81,3x+y=34.2.解方程组:9x+4y=35,8x+3y=30.3.解方程组:7x+2y=52,7x+4y=62.4.解方程组:4x+6y=54,9x+2y=87.5.解方程组:2x+y=7,2x+5y=19.6.解方程组:x+2y=21,3x+5y=56.7.解方程组:5x+7y=52,5x+2y=22.8.解方程组:5x+5y=65,7x+7y=203.9.解方程组:8x+4y=56,x+4y=21.10.解方程组:5x+7y=41,5x+8y=44.11.解方程组:7x+5y=54,3x+4y=38.12.解方程组:x+8y=15,4x+y=29.13.解方程组:3x+6y=24,9x+5y=46.14.解方程组:9x+2y=62,4x+3y=36.15.解方程组:9x+4y=46,XXX。
16.解方程组:9x+7y=135,4x+y=41.17.解方程组:3x+8y=51,x+6y=27.18.解方程组:9x+3y=99,4x+7y=95.19.解方程组:9x+2y=38,3x+6y=18.20.解方程组:5x+5y=45,7x+9y=69.21.解方程组:8x+2y=28,7x+8y=62.22.解方程组:x+6y=14,3x+3y=27.23.解方程组:7x+4y=67,2x+8y=26.24.解方程组:5x+4y=52,7x+6y=74.25.解方程组:7x+y=9,4x+6y=16.26.解方程组:6x+6y=48,XXX。
27.解方程组:8x+2y=16,7x+y=11.28.解方程组:4x+9y=77,8x+6y=94.29.解方程组:6x+8y=68,7x+6y=66.30.解方程组:2x+2y=22,7x+2y=47.31.解方程组:5x+3y=8,3x+5y=8.32.解方程组:6x-7y=5,x+2y=4.33.解方程组:10x-8y=14,x+y=5.34.解方程组:4x+7y=3,x+y=0.35.解方程组:3x+y=10,7x-y=20.36.解方程组:44x+10y=27,x+y=1.37.解方程组:8x-y=0,x+y=18.38.解方程组:11x-y=12,11y-x=-12.39.解方程组:5x+6y=27,2x+3y=12.40.解方程组:2x+3y=12,7x-2y=4.41.解方程组:2x-5y=0,2x+y=2.42.解方程组:7x-3y=3,3x+2y=21.43.解方程组:7x+2y=21,6x-y=1.54.5x+6y=4805x+3y=240改写:将第一行乘以0.5,得到第二行。
二元一次方程组解法练习题一.解答题(共16小题) 1.解下列方程组 (1)(2)(3))(6441125为已知数a a y x a y x ⎩⎨⎧=-=+ (4)(5)(6).(7)(8)⎩⎨⎧=--+=-++0)1(2)1()1(2x y x x x y y x(9)(10) ⎪⎪⎩⎪⎪⎨⎧=-++=-++1213222132y x y x2.求适合的x ,y 的值.3.已知关于x ,y 的二元一次方程y=kx+b 的解有和.(1)求k ,b 的值.(2)当x=2时,y 的值. (3)当x 为何值时,y=3?1.解下列方程组(1)(2);(3);(4)(5).(6)(7)(8)(9)(10);2.在解方程组时,由于粗心,甲看错了方程组中的a ,而得解为,乙看错了方程组中的b ,而得解为.(1)甲把a看成了什么,乙把b看成了什么?(2)求出原方程组的正确解..求适合得到一组新的方程解:由题意得:﹣,((()故原方程组的解为.故原方程组的解为.)原方程组可化为.所以原方程组的解为)原方程组可化为:x=x=代入×所以原方程组的解为:原方程组可化为,所以方程组的解为4.解方程组:)原方程组化为y=所以原方程组的解为5.解方程组:解:即解得所以方程组的解为.6.已知关于x,y的二元一次方程y=kx+b的解有和.(1)求k,b的值.(2)当x=2时,y的值.(3)当x为何值时,y=3?的二元一次方程组,再运用加减消元)依题意得:,.y=,.x+7.解方程组:(1);(2).)原方程组可化为∴方程组的解为)原方程可化为,,∴方程组的解为解:原方程组可化为则原方程组的解为.9.解方程组:解:原方程变形为:y=解之得10.解下列方程组: (1)(2),,代入=.所以原方程组的解为)原方程组整理为所以原方程组的解为.(2),解得∴原方程组可化为,解得∴∴原方程组的解为.12.解二元一次方程组: (1);.则方程组的解是)此方程组通过化简可得:则方程组的解是13.在解方程组时,由于粗心,甲看错了方程组中的a ,而得解为,乙看错了方程组中的b ,而得解为.(1)甲把a 看成了什么,乙把b 看成了什么? (2)求出原方程组的正确解. 代入方程组,得解得:把,得解得:∴方程组为则原方程组的解是.,x=y=∴原方程组的解为;.,故原方程组的解为.)化简整理为,故原方程组的解为.(∴原方程组的解为;)原方程组可化为∴原方程组的解为.。
二元一次方程组练习题(含答案) 二元一次方程组练题一.解答题(共16小题)1.解下列方程组:1)x+2y-1=23x-2y=52)1-yx+2/3=1/22y+3=3x3)5x+2y=11a4x-4y=6a4)2x+3y=73x-2y=15)2x-3y=75x+4y=176)2x+3y=13x-2y=57)3x-4y=-12x+5y=138)x(y+1)+y(1-x)=2x(x+1)-y-x^2=09)3x+y=72x-3y=-810)x^2+xy=2y-x+2=02.求适合的x,y的值。
已知关于x,y的二元一次方程y=kx+b的解有和。
1)求k,b的值。
2)当x=2时,y的值。
3)当y=3时,x的值为多少?解答:1.1)将第二个方程变形得到y=(3x-5)/2,代入第一个方程中,得到x=3,y=-2.2)将第一个方程变形得到y=(1/2-1+xy)/x,代入第二个方程中,得到x=3,y=-1.3)将第二个方程变形得到y=x-3/2,代入第一个方程中,得到x=2,y=1.4)将第二个方程变形得到y=(3x-1)/2,代入第一个方程中,得到x=2,y=1.5)将第一个方程变形得到y=(2x-7)/3,代入第二个方程中,得到x=1,y=-1.6)将第二个方程变形得到y=(3x-5)/2,代入第一个方程中,得到x=1,y=-1.7)将第二个方程变形得到y=(3x+1)/4,代入第一个方程中,得到x=5,y=2.8)将第一个方程变形得到y=(2-x^2)/(1-x),代入第二个方程中,得到x=1,y=1.9)将第二个方程变形得到y=(2x+8)/3,代入第一个方程中,得到x=1,y=1.10)将第一个方程变形得到y=2/x-x,代入第二个方程中,得到x=1,y=0.2.1)由于y=kx+b,所以当x=1时,y=k+b;当x=2时,y=2k+b。
又因为已知y=3时,x的值为多少,所以将y=kx+b代入得到kx+b=3,解得x=(3-b)/k。
(7)二元一次方程组练习题一.解答题(共16小题)1.解下列方程组⑴g[2x+y=3 ⑵严一3厂一5l3x+2y-12(3)5x + 2y = 1k?4.v-4y = 6a(a为己知数)(4)pr13耳-4y=2Cx- 1)3 (x-4) =4 (y+2)x+1 y 一TP -=22x- 1 1 ■ y・3亠2 =13耳-2 (2y+l) =4x(y + i) + y(i-x)= 2 x(x +l)-y-x2 =03 (s- t) - 2 (s+t) =103 (s-t) +2 (s+t) =26(10)2.求适令¥号jx,心.3.已知关于x, y的二元一次方程y二kx+b的解有(沪彳和[沪一1尸4 (尸2(1) 求k, b的值.(2) 当x=2时.y的值.(3) 当x为何值吋,y=31.解下列方程组J9x+2y=20|.3x+4y=10:<+7=1(6) | 3 53 (x+y) +2 (x-3y) =15x+4y=14(7) ( x- 3 _ y~ 3_ 13 =124 (x+y) -5 (x -y) =2x - 7=44x+2y= 一 1f3x-2 (x+2y)二3 [llx+4 Cx+2y)二452 _ y_ 7 :5刁Fx-2 "T" 5 - yI-"1fx+y=l|.20%x+30%y=25%X22.在解方程组f ax+5y=104K -by= - 4 时,由于粗心,甲看错了方程组中的a,而得解为3],乙看错了方程组中的b,而得解为丫x=5(1)甲把a看成了什么,乙把b看成了什么(2)求出原方程组的正确解.二元一次方程姐解法练习题稱选券孝签箋与试题解析-・解答題(共16小题) 「求适合冒竽恥X,沖值.X_15点评:本题考查了二元一次方程组的解法,主要运用了加减消元法和代入法.考点:解二元一次方程组.分析:(1) (2)用代入消元法或加减消元法均可;(3) (4)应先去分母、去括号化简方程组,再进一步釆用适宜的方法求解. 解答:解:(1)①-②得,-x=-2,解得x=2,把x=2代入①得,2+y=1, 解得y=-1.考点: 分析:解二元一次方程组. 先把两方程变形(去分母),得到一组新的方程!$ — 0^0y,然后在用加减消元法消去未知数6x+y=3解答:求出y 的值,继而求出x 的值.•2^1 ⑴ 牛⑵»由(1) X2 得:3x - 2y=2 (3), 由(2) X3得:6x+y=3 (4), (3) X2 得:6x -4y=4 (5), (5) - (4)得:y=-l,5把y 的值代入(3)得:x 起,15X,解:由题意得:2.解下列方程组(1)严尸1 (2)严7尸-5 k 2x+y=3[3x+2y=12rx v 4(3)刁気3 (x-4) =4 (y+2)⑷芳"1)3x-2 (2y+l) =4故原方程组的解为!x "2尸一 1(2)① X3 ■② X2 彳寻,-13y=-39, 解得,y=3,把y=3代入①得,2x-3X3=-5, 解得x=2・ 故原方程组的解为!x=2.1尸3考解二元一次方程纽.(3)原方程组可化为?3x+4y=16 3x- 4y=20①+②得,6x=36,x=6,①-②得.8y=-4,4-所以原方程组的解为x=61-2(4)原方程组可化为:- 6x+2y=- 9 3x -①x 2+②得,x=i,3把x 二代入②得,3xi-4y=6,33所以原方程组的解为彳点评:利用消元法解方程组,要根据未知数的系数特点选择代入法还是加减法:① 相同未知数的系数相同或互为相反数时,宜用加减法: ② 其中一个未知数的系数为1时,宜用代入法.3 •解方程组:专计算题.分先化简方程组,再进一步根据方程组的特点选用相应的方法:用加减法.析■解f4x-3y=12 ①答解:原方程组可化为—,[3x-4y=2 ②■①X4-②X3,得7x=42,解得x=6・把x=6代入①,得y=4.所以方程组的解为f X=6.(y=4占・八・0 ■评二元一次方程纽无论多复杂,解二元一次方程组的基本思想都是消元•消元的方法有代入法和加减法.4. 解方程纽:考点:解二元一次方程组.专题:计算题.分析:把原方程组化简后,观察形式.选用合适的解法,此题用加减法求解比较简单.解答:,f2x+3y=13 ①解:(1)原方程组化为q 心]弧-3尸5②①+②得:6x=18,Ax=3.代入①得:y=X3” x=3所以原方程组的解为7・点评:要注意:两个二元一次方程中同一未知数的系数相反或相等吋,把这两个方程的两边相加或相减,就能消去这个未知数,得到一个一元一次方程,这种方法叫做加减消元法.本题适合用此法.①-②得:2=4k, 所以k —,25.解方程纽:(s- t) - 2 (s+t) =10 |_3 (s-t) +2 (s+t) =26考点:解二元一次方程组. 专题:计算题;换元法.分析:本题用加减消元法即可或运用换元法求解.3 (s - t) - 2 (s+t) =10 ① 3 (s-t) +2 (s+t) =26 ②’①-②,得s+t=4,①+②,得s-t=6t n fs+t=4 即 广,[s- t=6s=5解得q[■t 二-1 所以方程组的解为J s=5・[t 二-1点评:此题较简单,要熟练解方程组的基本方法:代入消元法和加减消元法.(y —3Y ——6.已知关于x, y 的二元一次方程y 二kx+b 的解有( 和彳1尸4 I 尸2(1) 求k, b 的值. (2) 当x=2时.y 的值. (3)当x 为何值吋,y=3考点:解二元一次方程组. 专题:计算题.分析:(1)将两组x, y 的值代入方程得出关于k 、b 的二元一次方程组4=3k+b 2= - k+b法求出k 、b 的值.,再运用加减消元解答:(2) 将(1)中的k 、b 代入,再把x=2代入化简即可得出y 的值. (3)将(1)中的k 、b 和y=3代入方程化简即可得出x 的值.解:#3k+b …① 2二一 k+b …②依题意得:所以哼(2)把y 二3代入,得x=1・点评:本题考查的是二元一次方程的代入消元法和加减消元法,通过已知条件的代入,可得出要求的 数.7.解方程组:x - 2y=3(1) X _7 ;3考点:解二元一次方程组.分析:根据各方程组的特点选用相应的方法:(1)先去分母再用加减法,(2)先去括号,再转化为整式方程解答.解答:fx-2y=3解:(1)原方程组可化为,2x - 5y=7①X2-②得:y= - 1,< y= - 1代入①得: x=1・⑵原方程可化为严仏7曲Jlx+4x+8y=45X- 4y=3 15x+8y=45①x 2+②得:3x - 2 llx+4 (x+2y)二3 (x+2y)二45•••方程组的解为Q1尸_17x=51, x =3,将x=3代入x-4y 二3中得:y 二0.•••方程组的解为J X=3.ly=o点评:这类题目的解题关键是理解解方程纽的基本思想是消元,掌握消元的方法有:加减消元法和代 入消元法.根据未知数系数的特点,选择合适的方法.—+~二 18•解方程纽:3 53 (x+y) +2 (x-3y) =15考点:解二元一次方程组. 专题:计算题.分析:本题应把方程组化简后,观察方程的形式,选用合适的方法求解.①+②,得10x=30,x=3,代入①,得15+3y=15,y 二0・ 则原方程组的解为]X=:3.1尸0点评:解答此题应根据以方程纽的特点,有括号的去括号,有分母的去分母,然后再用代入法或加减 消元法解方程组.x+4y=149.解方程组:< 乂 一3 3[F' 3 "12考点:解二元一次方程组. 专题:计算题.分析:本题为了计算方便,可先把(2)去分母,然后运用加减消元法解本题.两个方程相加,得4x=12, x=3.解答:解:原方程组可化为q石x+3y=15 ①5x-3y=15 ②解答:解: 原方程变形为:x+4y=143x 一 4y= 一 2把x=3代入第一个方程,得4y=11,点评:本题考查的是二元一次方程组的解法,方程中含有分母的要先化去分母,再对方程进行化简、 消元,即可解出此类题目. 10 •解下列方程组:考点:解二元一次方程组.专题:计算题.分析:此题根据观察可知:(1)运用代入法,把①代入②,可得出x, y 的值: (2)先将方程纽化为整系数方程纽,再利用加减消元法求解.由①,得x=4+y ③,代入②,得 4 (4+y) +2y= - 1,③ X2-④X3,得 y 二-24, 把y 二-24代入④,得x=60,解答:把y 二-21代入③,得x=4 -6 6 6*⑵原方程组整理为®+4曲4叟 (2)原方程组整理为 2x+3y=48 ②所以原方程组的解为<x=60 所以原方程组的解为 y= - 24点评:此题考查的是对二元一次方程组的解法的运用和理解,学生可以通过题目的训练达到对知识的强化和运用.11 •解方程纽:=1(1)4 (x+y) -5 (x - y)二2考点:解二元一次方程组.专题:计算题;换元法.分析:方程纽(1)需要先化简,再根据方程组的特点选择解法:方程纽(2)釆用换元法较简单,设x+y 二a, x-y=b,然后解新方程组即可求解. 解答:f4x- 3y=12 解:(D 原方程组可化简为q ,L 3x+2y=12(2)设 x+y=a, x - y=b,匕』二6•:原方程组可化为2 34o —5b 二 2解得(巴lb 二 6x+y=8x- y=l点评:此题考查了学生的计算能力,解题时要细心.12 •解二元一次方程纽:解得彳•:原方程组的解为 x=7v=lX "17⑴9展y=2Q;k3x+4y=10“、[3 (x-1) -4 (丫-4) =0(2) .5 (y-1)二3 35)■考点:解二元一次方程组.专趣:计算题.分析:(1)运用加减消元的方法,可求出x、y的值:(2)先将方程组化简,然后运用加减消元的方法可求出x、y的值. 解答:解:(1)将①X2-②,得15x=30,x=2,把x=2代入第一个方程,得y=・则方程组的解是丿X7;(2)此方程组通过化简可得:\ °尸13- 5尸- 20①-②得:y=7,把y=7代入第一个方程,得x=5・"Y=r则方程组的解是点评:此题考查的是对二元一次方程组的解法的运用和理解,学生可以通过題目的训练达到对知识的强化和运用.ax+5y=10 时,由于粗心,甲看错了方程组中的a,而得解为<4x 一by= 一4程组中的b,而得解为f x=5.\尸4(1) 甲把a看成了什么.乙把b看成了什么(2) 求出原方程组的正确解.考点:解二元一次方程组.专題:计算题.分析:(1)把甲乙求得方程组的解分别代入原方程组即可:(2)把甲乙所求的解分别代入方程②和①,求出正确的a、b,然后用适当的方法解方程纽. x= - 3,乙看错了方尸一113.在解方程组考点:解二元一次方程组.分析:先将原方程组中的两个方程分别去掉分母,然后用加减消元法求解即可. 解答:解:由原方程组,得3x+2y=22 (1)3x-2y=5 (2)由(1) + (2),并解得 x=^ ⑶,2把(3)代入(1).解得解答:解: (1)把 上二-3 y=- 1代入方程组Q ax+5y=104x 一 by= 一4 把产5代入方程组严5尸10(y=4|^4x- by= - 4 r r5a+20=10<\20-4b=-4,a= _ 2解得:・ lb 二 6甲把a 看成-5;乙把b 看成6;(2) •••正确的a 是-2, b 是&•••方程组为 -2x+5y=104x 一 8y= 一4解得:x=15, y=8.则原方程组的解是J X=15・k y=8点评:此题难度较大,需同学们仔细阅读,弄淸题意再解答. 14.10.2 卩+10.34 4r 9X_2•••原方程组的解初17' r点评:用加减法解二元一次方程组的一般步骤:1.方程组的两个方程中,如果同一个未知数的系数既不互为相反数又不相等,就用适当的数去 乘方程的两边,使一个未知数的系数互为相反数或相等; 2. 把两个方程的两边分别相加或相减,消去一个未知数.得到一个一元一次方程: 3 •解这个一元一次方程; 4.将求出的耒知数的值代入原方程组的任意一个方程中,求出另一个未知数,从而得到方程组 的解.15 •解下列方程组:⑴ x+y=50080%x+60%y=500X 74% :r 2x+3y=15⑵'x+1 _ 汨4 ■、7 = 5考点:解二元一次方程组.分析:将两个方程先化简,再选择正确的方法进行消元.解答:解:(1)化简整理为严芦00①(4x+3y=1850@®X3,得 3x+3y=500③,②-③,得x=350.把 x=350 代入①,得 350+y 二500,Ay=150.故原方程组的解为f X=35°・ (y=150①X5,得 10x+15y=75③, ② X2,得 10x-14y=46④,③ -④,得29y=29,:.y —1 ・把yh 代入①,得2x+3X1=15, ••x—6.故原方程组的解为!x=6.1 v=l(2)化简整理为Qlx+3y=15 ① 5x - 7y=23@点评:方程纽中的方程不是最简方程的,说好先化成最简方程,再选择合适的方法解方程. 16•解下列方程组:(1) 2x+y=4x+2y=5 考点:解二元一次方程组.分析:观察方程组中各方程的特点,用相应的方法求解.解答:解:(1)①X2-②彳寻:x=1,将xh 代入①得:2+y=4,y=2.•••原方程组的解为!x=1:♦(2)原方程组可化为j x+y=1, ^2x+3y=5①X2 -②得: -y=-3,y =3.将y=3代入①得:x= - 2.点评:解此类題目要注意观察方程组中各方程的特点,釆用加减法或代入法求解. •••原方程组的解为Qx= - 2 y=3 x+y=l20録+30%尸25% X 2。
二元一次方程组解法练习题精选(含答案)————————————————————————————————作者:————————————————————————————————日期:2二元一次方程组解法练习题一.解答题(共16小题) 1.解下列方程组 (1)(2)(3))(6441125为已知数a a y x a y x ⎩⎨⎧=-=+ (4)(5)(6).(7)(8)⎩⎨⎧=--+=-++0)1(2)1()1(2x y x x x y y x(9)(10) ⎪⎪⎩⎪⎪⎨⎧=-++=-++1213222132y x y x2.求适合的x ,y 的值.3.已知关于x ,y 的二元一次方程y=kx+b 的解有和.(1)求k ,b 的值.(2)当x=2时,y 的值. (3)当x 为何值时,y=3?1.解下列方程组(1)(2);(3);(4)(5).(6)(7)(8)(9)(10);2.在解方程组时,由于粗心,甲看错了方程组中的a ,而得解为,乙看错了方程组中的b ,而得解为.(1)甲把a看成了什么,乙把b看成了什么?(2)求出原方程组的正确解.4二元一次方程组解法练习题精选参考答案与试题解析一.解答题(共16小题)1.求适合的x,y的值.考点:解二元一次方程组.分析:先把两方程变形(去分母),得到一组新的方程,然后在用加减消元法消去未知数x,求出y的值,继而求出x的值.解答:解:由题意得:,由(1)×2得:3x﹣2y=2(3),由(2)×3得:6x+y=3(4),(3)×2得:6x﹣4y=4(5),(5)﹣(4)得:y=﹣,把y的值代入(3)得:x=,∴.点评:本题考查了二元一次方程组的解法,主要运用了加减消元法和代入法.2.解下列方程组(1)(2)(3)(4).考点:解二元一次方程组.分析:(1)(2)用代入消元法或加减消元法均可;(3)(4)应先去分母、去括号化简方程组,再进一步采用适宜的方法求解.解答:解:(1)①﹣②得,﹣x=﹣2,解得x=2,把x=2代入①得,2+y=1,解得y=﹣1.故原方程组的解为.(2)①×3﹣②×2得,﹣13y=﹣39,解得,y=3,把y=3代入①得,2x﹣3×3=﹣5,解得x=2.故原方程组的解为.(3)原方程组可化为,①+②得,6x=36,x=6,①﹣②得,8y=﹣4,y=﹣.所以原方程组的解为.(4)原方程组可化为:,①×2+②得,x=,把x=代入②得,3×﹣4y=6,y=﹣.所以原方程组的解为.点评:利用消元法解方程组,要根据未知数的系数特点选择代入法还是加减法:①相同未知数的系数相同或互为相反数时,宜用加减法;②其中一个未知数的系数为1时,宜用代入法.3.解方程组:考点:解二元一次方程组.5专题:计算题.分析:先化简方程组,再进一步根据方程组的特点选用相应的方法:用加减法.解答:解:原方程组可化为,①×4﹣②×3,得7x=42,解得x=6.把x=6代入①,得y=4.所以方程组的解为.点评:;二元一次方程组无论多复杂,解二元一次方程组的基本思想都是消元.消元的方法有代入法和加减法.4.解方程组:考点:解二元一次方程组.专题:计算题.分析:把原方程组化简后,观察形式,选用合适的解法,此题用加减法求解比较简单.解答:解:(1)原方程组化为,①+②得:6x=18,∴x=3.代入①得:y=.所以原方程组的解为.点评:要注意:两个二元一次方程中同一未知数的系数相反或相等时,把这两个方程的两边相加或相减,就能消去这个未知数,得到一个一元一次方程,这种方法叫做加减消元法.本题适合用此法.5.解方程组:考点:解二元一次方程组.专题:计算题;换元法.分析:本题用加减消元法即可或运用换元法求解.解答:解:,①﹣②,得s+t=4,①+②,得s﹣t=6,即,解得.所以方程组的解为.点评:此题较简单,要熟练解方程组的基本方法:代入消元法和加减消元法.6.已知关于x,y的二元一次方程y=kx+b 的解有和.(1)求k,b的值.(2)当x=2时,y的值.(3)当x为何值时,y=3?考点:解二元一次方程组.专题:计算题.分析:(1)将两组x,y的值代入方程得出关于k、b 的二元一次方程组,再运用加减消元法求出k、b的值.(2)将(1)中的k、b代入,再把x=2代入化简即可得出y的值.(3)将(1)中的k、b和y=3代入方程化简即可得出x的值.解答:解:(1)依题意得:①﹣②得:2=4k,所以k=,所以b=.(2)由y=x+,把x=2代入,得y=.6(3)由y=x+把y=3代入,得x=1.点评:本题考查的是二元一次方程的代入消元法和加减消元法,通过已知条件的代入,可得出要求的数.7.解方程组:(1);(2).考点:解二元一次方程组.分析:根据各方程组的特点选用相应的方法:(1)先去分母再用加减法,(2)先去括号,再转化为整式方程解答.解答:解:(1)原方程组可化为,①×2﹣②得:y=﹣1,将y=﹣1代入①得:x=1.∴方程组的解为;(2)原方程可化为,即,①×2+②得:17x=51,x=3,将x=3代入x﹣4y=3中得:y=0.∴方程组的解为.点评:这类题目的解题关键是理解解方程组的基本思想是消元,掌握消元的方法有:加减消元法和代入消元法.根据未知数系数的特点,选择合适的方法.8.解方程组:考点:解二元一次方程组.专题:计算题.分析:本题应把方程组化简后,观察方程的形式,选用合适的方法求解.解答:解:原方程组可化为,①+②,得10x=30,x=3,代入①,得15+3y=15,y=0.则原方程组的解为.点评:解答此题应根据各方程组的特点,有括号的去括号,有分母的去分母,然后再用代入法或加减消元法解方程组.9.解方程组:考点:解二元一次方程组.专题:计算题.分析:本题为了计算方便,可先把(2)去分母,然后运用加减消元法解本题.解答:解:原方程变形为:,两个方程相加,得4x=12,x=3.把x=3代入第一个方程,得4y=11,y=.解之得.点评:本题考查的是二元一次方程组的解法,方程中含有分母的要先化去分母,再对方程进行化简、消元,即可解出此类题目.710.解下列方程组:(1)(2)考点:解二元一次方程组.专题:计算题.分析:此题根据观察可知:(1)运用代入法,把①代入②,可得出x,y的值;(2)先将方程组化为整系数方程组,再利用加减消元法求解.解答:解:(1),由①,得x=4+y③,代入②,得4(4+y)+2y=﹣1,所以y=﹣,把y=﹣代入③,得x=4﹣=.所以原方程组的解为.(2)原方程组整理为,③×2﹣④×3,得y=﹣24,把y=﹣24代入④,得x=60,所以原方程组的解为.点评:此题考查的是对二元一次方程组的解法的运用和理解,学生可以通过题目的训练达到对知识的强化和运用.11.解方程组:(1)(2)考点:解二元一次方程组.专题:计算题;换元法.分析:方程组(1)需要先化简,再根据方程组的特点选择解法;方程组(2)采用换元法较简单,设x+y=a,x﹣y=b,然后解新方程组即可求解.解答:解:(1)原方程组可化简为,解得.(2)设x+y=a,x﹣y=b,∴原方程组可化为,解得,∴∴原方程组的解为.点评:此题考查了学生的计算能力,解题时要细心.12.解二元一次方程组:(1);(2).考点:解二元一次方程组.8专题:计算题.分析:(1)运用加减消元的方法,可求出x、y的值;(2)先将方程组化简,然后运用加减消元的方法可求出x、y的值.解答:解:(1)将①×2﹣②,得15x=30,x=2,把x=2代入第一个方程,得y=1.则方程组的解是;(2)此方程组通过化简可得:,①﹣②得:y=7,把y=7代入第一个方程,得x=5.则方程组的解是.点评:此题考查的是对二元一次方程组的解法的运用和理解,学生可以通过题目的训练达到对知识的强化和运用.13.在解方程组时,由于粗心,甲看错了方程组中的a ,而得解为,乙看错了方程组中的b ,而得解为.(1)甲把a看成了什么,乙把b看成了什么?(2)求出原方程组的正确解.考点:解二元一次方程组.专题:计算题.分析:(1)把甲乙求得方程组的解分别代入原方程组即可;(2)把甲乙所求的解分别代入方程②和①,求出正确的a、b,然后用适当的方法解方程组.解答:解:(1)把代入方程组,得,解得:.把代入方程组,得,解得:.∴甲把a看成﹣5;乙把b看成6;(2)∵正确的a是﹣2,b是8,∴方程组为,解得:x=15,y=8.则原方程组的解是.点评:此题难度较大,需同学们仔细阅读,弄清题意再解答.14.考点:解二元一次方程组.分析:先将原方程组中的两个方程分别去掉分母,然后用加减消元法求解即可.解答:解:由原方程组,得,由(1)+(2),并解得x=(3),把(3)代入(1),解得y=∴原方程组的解为.点评:用加减法解二元一次方程组的一般步骤:1.方程组的两个方程中,如果同一个未知数的系数既不互为相反数又不相等,就用适当的数去乘方程的两边,使一个未知数的系数互为相反数或相等;92.把两个方程的两边分别相加或相减,消去一个未知数,得到一个一元一次方程;3.解这个一元一次方程;4.将求出的未知数的值代入原方程组的任意一个方程中,求出另一个未知数,从而得到方程组的解.15.解下列方程组:(1);(2).考点:解二元一次方程组.分析:将两个方程先化简,再选择正确的方法进行消元.解答:解:(1)化简整理为,①×3,得3x+3y=1500③,②﹣③,得x=350.把x=350代入①,得350+y=500,∴y=150.故原方程组的解为.(2)化简整理为,①×5,得10x+15y=75③,②×2,得10x﹣14y=46④,③﹣④,得29y=29,∴y=1.把y=1代入①,得2x+3×1=15,∴x=6.故原方程组的解为.点评:方程组中的方程不是最简方程的,最好先化成最简方程,再选择合适的方法解方程.16.解下列方程组:(1)(2)考点:解二元一次方程组.分析:观察方程组中各方程的特点,用相应的方法求解.解答:解:(1)①×2﹣②得:x=1,将x=1代入①得:2+y=4,y=2.∴原方程组的解为;(2)原方程组可化为,①×2﹣②得:﹣y=﹣3,y=3.将y=3代入①得:x=﹣2.∴原方程组的解为.点评:解此类题目要注意观察方程组中各方程的特点,采用加减法或代入法求解.10。
二元一次方程组练习题(含答案)1.解下列方程组:1) 5x + 2y = 11a,-4y = 6a;2) 4x + 3y - 1 = 0,2x + y - 2 = 0;3) x + 2y/3 - 1/3 = 2,x/3 + 1 - y/2 = 1/2;4) x - y/2 = 1,x + y/2 = 3.2.求解以下方程组:1) 2x + 3y = 7,x - y = 1;2) x + 2y = 5,2x + y = 7;3) 3x + 2y = 8,4x - 3y = -11.3.已知二元一次方程y = kx + b的解有(2,5)和(-1,0)。
1) 求k,b的值;2) 当x = 2时,y的值;3) 当y = 3/5时,x的值。
4.在解方程组2x + y = 5,x - y = 1时,甲看错了方程组中的a,而得到解x = 2,y = 1.乙看错了方程组中的b,而得到解x = 3,y = -1.1) 甲把a看成了什么,乙把b看成了什么?2) 求出原方程组的正确解。
参考答案与解析:1.解下列方程组:1) 5x + 2y = 11a,-4y = 6a。
将第二个方程式化简为y = -3/2a,代入第一个方程式中得到5x + 2(-3/2a) = 11a,化简得到x = (23/10)a,y = (-9/5)a。
2) 4x + 3y - 1 = 0,2x + y - 2 = 0.将第二个方程式中的y用第一个方程式中的x表示,得到y = 2 - 2x,代入第一个方程式中得到4x + 3(2 - 2x) - 1 = 0,化简得到x = 1/2,y = 1.3) x + 2y/3 - 1/3 = 2,x/3 + 1 - y/2 = 1/2.将第二个方程式中的x用第一个方程式中的y表示,得到x = 6 - 2y,代入第一个方程式中得到6 - 4y/3 = 2,化简得到y = 3/2,x = 0.4) x - y/2 = 1,x + y/2 = 3.将两个方程式相加得到2x = 4,化简得到x = 2,代入第一个方程式中得到y = 2.2.求解以下方程组:1) 2x + 3y = 7,x - y = 1.将第二个方程式中的x用第一个方程式中的y表示,得到x = y + 1,代入第一个方程式中得到2(y + 1) + 3y = 7,化简得到y = 1,x = 2.2) x + 2y = 5,2x + y = 7.将第一个方程式中的x用第二个方程式中的y表示,得到x = (7 - y)/2,代入第一个方程式中得到(7 - y)/2 + 2y = 5,化简得到y = 1,x = 2.3) 3x + 2y = 8,4x - 3y = -11.将第一个方程式中的x用第二个方程式中的y表示,得到x = (3y - 11)/4,代入第一个方程式中得到3(3y - 11)/4 + 2y = 8,化简得到y = 1,x = 1.3.已知二元一次方程y = kx + b的解有(2,5)和(-1,0)。
第7章 解二元一次方程组复习(1)
初一( )班 学号: 姓名: 月 日
知识点一:二元一次方程的概念 1、
指出下列方程那些是二元一次方程?并说明理由。
(1)3x+y=z+1 ( ) (2) x(y+1)=6 ( ) (3) 2x(3-x)=x 2-3(x 2+y) ( )
2、下列方程中,是二元一次方程的有( )
① 1225=-n m ② a z y -=-61147 ③ 312=-+b
a ④ mn+m=7
⑤ x+y=6 A 、1个 B 、2个 C 、3个 D 、4个 3、下列方程中,是二元一次方程组的是 ( )
① ⎩⎨⎧=+=-7232z y y x ② ⎪⎩⎪⎨⎧-=-=+1241
x y y x ③ ⎩⎨⎧=-=--51
2)4(3y x x x ④ ⎪⎩
⎪⎨
⎧=
+=-2132132y x y x
A 、①②③
B 、②③
C 、③④
D 、①②
知识点二:用加减法解二元一次方程解方程组:
(1)⎩⎨
⎧=+=-13y x y x (2)⎩⎨
⎧=+=-8
3120
34y x y x
(3)⎩⎨
⎧=+=-1464534y x y x (4)⎩⎨
⎧=-=+1
235
4y x y x
(5)⎩⎨
⎧=+=+132645y x y x (6)⎩⎨
⎧=+=-17
327
23y x y x
知识点三:代入消元法解方程组:
(1)23321y x x y =-⎧⎨
+=⎩ (2)⎩⎨
⎧-=-=+4
23
57y x y x
(3) 23
3418x y
x y ⎧=⎪
⎨⎪+=⎩ (4)56
3640
x y x y +=⎧⎨
--=⎩
综合训练: 一.填空题
1.在方程32y x =--中,若2x =,则_____y =.若2y =,则______x =;
2.若方程23x y -=写成用含x 的式子表示y 的形式:_________________;写成用含y 的式子表示x 的形式:___________________________;
3. 已知⎩⎨
⎧==1
2
y x 是方程2x +ay=5的解,则 a= .
4.二元一次方程343x my mx ny -=+=和有一个公共解1
1x y =⎧⎨=-⎩,则
m=______,n=_____;
5.已知2|2|(3)0a b b -++-=,那么______ab = 二选择题
1.对于方程组5
322(1),(2),(3),(4)161021x y x y x x y x xy x y x y y +=⎧+===⎧⎧⎧⎪
⎨⎨⎨⎨
-==-+=--=⎩⎩⎩⎪⎩,是二元一次方程组的为( )
A.(1)和(2)
B.(3)和(4)
C.(1)和(3)
D.(2)和(4)
2.若25
x y =⎧⎨=⎩是方程22kx y -=的一个解,则k 等于( )
858 (6)
.5
3
3
A B C D -
3.方程组341112
38x y x y =⎧⎪
⎨-=⎪⎩的解为( )
1
214
2 (43)
33
02
8
x x x x A B C D y y y y ⎧
==⎧⎧⎪==⎧⎪⎪⎪⎨
⎨⎨⎨==⎩⎪⎪⎪==⎩⎩
⎪⎩
4.已知,a b 满足方程组28
27a b a b +=⎧⎨+=⎩,则a b -的值为( )
.0 C
2、若3122
x m y m =+⎧⎨
=-⎩,是方程组1034=-y x 的一组解,求m 的值。
3、已知等式(2A -7B)x+(3A -8B)=8x+10,对一切实数x 都成立,求A 、B 的值。
拓展训练:
解下列方程:
(1)⎩⎨
⎧-=-+=-85)1(21)2(3y x x y (2)⎪⎩⎪⎨⎧=+=
18
433
2y x y x
(3)⎩⎨
⎧=--=--0232560
17154y x y x (4)⎪⎩⎪⎨
⎧=-=+2
3432
13
32y x y x
(5)⎪⎩⎪⎨⎧=-+=+1
323
241y x x y (6)⎩⎨
⎧=+=+241
2123243
2321y x y x
(7)⎪⎩⎪⎨
⎧=+-+=-+-0
4235
132423512y x y x (8)⎪⎩⎪⎨
⎧=+--=++-5
7326
231
732623y x y x y x y x。