全市规模以上工业企业名单xls
- 格式:xls
- 大小:197.00 KB
- 文档页数:26
组织机构代码单位名称750510851江苏江南水务股份有限公司250415815江阴天力燃气有限公司142225336江阴市澄江印染有限公司142216050江阴纺织机械制造有限公司607985985江阴壮欣钢品有限公司142305184江阴市华澄实业有限公司607984632江阴华尔新特种涂装有限公司75507629X江苏富仁集团有限公司795362389江阴金唯特服饰有限公司142210767江阴澄星实业集团有限公司142242953江阴市南菁机械有限公司741345137江苏方程电力科技有限公司142221159江阴市第三轻工机械厂有限公司769861002江苏雪豹日化有限公司782743780江阴市建宇门窗幕墙有限公司79831565X江阴市会德商品混凝土有限公司134758829江苏扬子江船厂有限公司142225627江阴九华集团有限公司142307761江阴市春燕轻工配件有限公司250386612江阴市要塞特种不锈钢冶炼厂703521232江阴市兴业不锈钢有限公司740680689江阴市天地不锈钢有限公司746247915江阴双马特种船舶设备有限公司752749700神宇通信科技股份公司74940922X江阴达胜车辆附件制造有限公司142221298江苏常隆客车有限公司142260422江阴市服装绣品厂有限公司142265434江阴市梅园不锈钢有限公司250373395江阴滨江医疗设备有限公司685330466江阴市八方混凝土有限公司713268517江阴长仪集团有限公司735713159江阴市兰天彩印包装有限公司747330606江阴市恒富机件制造有限公司752749559江阴华建工程机械有限公司762413215江阴奥丽雅鞋业有限公司782744353江阴派克吉英包装有限公司74940930X江阴市华凯针织制衣有限公司142221271江阴市要塞真丝针织印染有限公司142279959江阴市建星纺织有限公司142221220江阴市澄东标准件有限公司703517401江阴市工具厂776885440江阴市凯澄电机有限公司785975851江阴市新利达纺织有限公司142221087江苏红柳床单有限公司663829338江阴市一达管件科技有限公司668951711无锡中稷光电硅业有限公司703521187江阴金达纺织有限公司142279975江阴城南通用设备制造有限公司628424845江阴市盛龙冶金机械制造有限公司142215226江苏海陆科技股份有限公司142277961江阴市钢模铸造有限公司688301054江阴三知工控机械有限公司737812871江阴市惠尔信机械有限公司746246920江阴市安基橡胶工业有限公司769860659江阴市全盛冶化机械制造有限公司771537308江阴市凯润金属制品有限公司142213191江阴市索康电子有限公司250418274江阴众和电力仪表有限公司728691035江阴市锦银针织有限公司734392613江阴市宏茂锻造有限公司743703794江阴市赛英电子有限公司775432351江阴市广盛成套机械设备有限公司76589654X江阴市东源特钢有限公司142213183江阴市德丰塑料容器包装有限公司718649597江阴市信泰纺织有限公司722238571江阴市意戈尔钢制品有限公司725195503江阴天星保温材料有限公司798635012江阴新浩再循环纸业有限公司25032864X江阴五星焊接铜业有限公司607984181江阴永丰余造纸有限公司250418805江阴美源实业有限公司703515748江阴市梅园色织整理有限公司142273442江阴市非标准设备制造有限公司607980551江阴宝柏包装有限公司607980586无锡西林电子材料有限公司628345311江苏界达特异新材料股份有限公司733295918江阴纳尔捷机器人有限公司737837761江阴格林纺织有限公司142213589江阴市镍网厂有限公司142211217申达集团有限公司142242005江苏飞达压铸有限公司142245230江阴市长江耐火材料厂142245249江苏春申电控设备有限公司142251622江苏中煤矿山设备有限公司250325078江苏申港电磁线有限公司250416471江苏阿波罗复合肥有限公司607980076江阴华新钢缆有限公司607982055江苏华兰药用新材料股份有限公司703519925江阴市维宇针纺有限公司713266634江阴市华亚化工有限公司729036788江阴长发耐指纹钢板有限公司739571434江阴市蓝宝石纺织有限公司740681382江阴中卡新材料有限公司760533379泰山石膏(江阴)有限公司768299177江苏中基复合材料有限公司72058258X江苏新华发集团有限公司745566025江阴市东盛包装有限公司746247595江阴市东豪针纺有限公司751440525江阴市华源科技有限公司757953954江阴界顺金属科技有限公司784365795江阴福斯特纺织有限公司69255867X江苏孚尔姆焊业科技有限公司74624647X江阴市美杰针织有限公司769860114江阴华新特殊合金材料有限公司796532984江阴市富豪包装材料有限公司74624575X江阴永盛混凝土有限公司553819198艾尔姆风能叶片制品(江苏)有限公司748729125江阴德玛斯特钻具有限公司756411053江阴市新菊钢包芯线有限公司785977670江阴市润信电器配件有限公司14224158X江阴市银海塑钢制造有限公司142240552江阴市兴源家用电器配件有限公司142241758江阴市好运来石油机械有限公司767398018浚鑫科技股份有限公司74134605X江阴市华明彩色钢板有限公司607981976江阴杰麦尔乐器有限公司732269224江阴金杯安琪乐器有限公司74870629X江阴市港汇包装有限公司739424071江阴新鸿艺针纺有限公司787669153江阴市申龙电工材料有限公司142240632江阴市申港钢厂727237957江阴市荣盛物资利用有限公司729038425江阴市新艺铜业有限公司25038254X江阴硅普搪瓷有限公司250413107江阴市江信电器有限公司743918381江阴江燕塑料有限公司14224617X无锡联信离合器有限公司142243024中船澄西船舶修造有限公司732268723江阴华宇针织制衣有限公司753945850江阴市东鹏液压缸体有限公司755076820江阴泰阳成索业有限公司782745022江阴捷豹针织制衣有限公司78555802X江阴市蓓烨纺织有限公司142251788江阴市双烽板式换热器有限公司142223744江阴市宏武纺织有限公司142224253江苏国联科技有限公司729037828江阴领先服装有限公司743918285江阴新嘉美服饰有限公司607984069江阴苏龙热电有限公司661341427江苏新长江实业集团有限公司733298588联合铁钢(中国)有限公司791060906大韩钢材(江阴)有限公司142224149江阴市医疗器械有限公司250380798江阴市三元钢铁有限公司745566076江阴韩一钢铁有限公司758485152江阴宗承钢铁有限公司775430655江阴邦特科技有限公司553793792江阴市港虹矿山设备有限公司759650471江阴市港虹纸业包装有限公司765897251江阴市兴港纸业有限公司14225003X江阴市澄江船舶设备配件有限公司142226785江阴市虹桥机械制造有限公司250419840江阴市精成数控有限公司250420278江阴市西城钢铁有限公司722239240江阴市远大布业有限公司727409827威茨曼金属制品(江阴)有限公司743918701江阴市海华橡塑有限公司743920019江阴市三联机械制造有限公司753200752江阴市创佳电器有限公司764195848江阴市奇精机械制造有限公司793816674江阴凯迈机械有限公司681616520江阴市鹏泰金属实业有限公司725194543江阴胜源华电高压电器有限公司729036657江阴宇锦制衣有限公司762412132江阴市华澄特种机械工程有限公司79231324X江阴市天和气体有限公司749410685江阴市宏宇化工有限公司250414310江阴市永欣印染机械有限公司758485611江阴福海机械制造有限公司785558003江阴市安海船舶设备有限公司250391120江阴市虹桥起重电器厂有限公司688341355江阴九铖电器有限公司720584251江苏南农高科技股份有限公司722243039江阴市三鑫精密钢管有限公司726564470江阴市倍发印染机械有限公司727409472江阴市永盛冷暖设备有限公司739571039江阴市格兰特锻造有限公司747331561江阴南工锻造有限公司748708893江苏联通塑业科技有限公司755075975江阴艾力特机械制造有限公司758485494江苏宝得换热设备有限公司765897411江阴市中强科技有限公司773782542江阴博纬机械有限公司776887307江阴矿安机械有限公司785976205江阴圆方机械制造有限公司792313370江阴市海洋工程设备有限公司14230830X江阴市宏建印刷厂有限公司73329523X江阴天翔电器有限公司73783814X江阴市勤丰金属制品有限公司142257872江阴市南闸麻棉纺织有限公司562928601江阴共丰机电有限公司76241172X江阴市圣曼不锈钢线棒品有限公司142218101江阴市南闸标准塑剂厂142257901江阴市远东彩印包装厂有限公司142269494江阴市华伟彩印有限公司684115190江阴嘉鑫风电轴承有限公司714144401江阴市兴达染整有限公司716838511江阴凯源针织有限公司724194680江阴宇杰制衣有限公司725194527江阴联通实业有限公司72803991X江阴新光镭射包装材料有限公司673907563江阴宏晟机械热处理有限公司713266044江阴市南华冶金机械制造有限公司727235679江阴市锦明玻璃技术有限公司741346017江阴市恒通电器有限公司767398093江苏安科瑞电器制造有限公司792311957江苏双宇电工材料有限公司55376174X江阴市东泽铝业科技有限公司75320055X江阴市鹏锦机械制造有限公司718652454江阴市南闸中天电器有限公司739572584江阴市恒源涂料有限公司142296353江阴市天一毛纺织有限公司727410561江阴市宇华化纤纺织有限公司748706505江阴科宏纺织有限公司72741030X无锡华晟有荣服装有限公司142279641江阴市减速器有限公司722242511江阴新兴混凝土有限公司782745348江阴市奥中冶金设备制造有限公司142213124江阴市云亭纺织塑化有限公司142213167江阴市利德特种织物有限公司739571581江阴万达外贸进出口有限公司740681200江阴市云集漂染有限公司741344660江阴市互联染整有限公司741345022江阴市德源染整有限公司746247579江阴市五福染整有限公司779654728江阴市宏尔昌毛纺有限公司73957247X无锡百川化工股份有限公司142216237柳工无锡路面机械有限公司250375796江阴市金杯工业用布有限公司628344618江苏东方液压有限公司666361574江阴斯强金属制品有限公司673905461江阴市顺裕科技有限公司677001312江阴市万祥铝业有限公司691314630江阴泰坦高压电气有限公司697910898江阴南方新能源科技有限公司718653924江阴永鼎金属制品有限公司727408947江阴市美景特种纱线有限公司732267755江阴市繁荣色织有限公司733297331江阴市海盛船舶配套装潢有限公司743105516江阴市惠得利电器有限公司743917821江苏宝利沥青股份有限公司743918365江阴市悦达印染有限公司747329912江阴市华嘉纺织有限公司747330462江阴市上丰纺织有限公司748705924江阴新全盛纺织印染有限公司749409182江阴市宇瑞冶金炉料有限公司751440779江阴福茂纺织化纤有限公司751441325江阴市万荣纺织厂751442088江阴博帆机械制造有限公司753201317江阴市七星机械设备制造有限公司753944057江阴峻峰纺织有限公司755076919江阴鼎鹤纺织有限公司756412355江苏吉鑫风能科技股份有限公司759652354江阴晟宏化纤纺织有限公司764195426爱立许德昌机械(江阴)有限公司764197085江阴祥瑞不锈钢精线有限公司767396565江阴市诺金纺织有限公司769859789江阴市锦泰花式线有限公司769860034江阴市明信铝业有限公司769861424江阴市东升法兰有限公司771538140江阴市九天科技有限公司772480518江阴市科茂金属制品有限公司785556358江阴龙泰科技有限公司785976045江阴益翔纺织有限公司785977523江苏和时利新材料股份有限公司791060105江阴汇坚针织有限公司793816391江阴市九牛科技有限公司793816543江阴市七星电缆有限公司14221619X江阴市特种运输机械制造有限公司25032805X江阴市电力设备冷却器有限公司67012204X江阴市恒华机械有限公司72869149X江阴荣凯纺织有限公司74732963X江阴市金鹤亚麻纺织有限公司75144004X江阴市百顺科技有限公司142225264江阴绮星水泥有限公司250376131江阴市混凝土工程有限公司663817214江阴市三顺化纤有限公司668389685江阴绮星科技有限公司672040769江阴市天恩服装有限公司685882076江阴绮星混凝土有限公司718652753江阴市新盛新材料科技有限公司728690809江阴康瑞不锈钢制品有限公司730116531江阴市新昶虹继电有限公司731154919江阴科强工业胶带有限公司733298211江阴市德泽纺织有限公司734392031江阴华阳毛纺织有限公司737812396江阴市庆鸿纺织有限公司739571477江阴市博帆化纺有限公司739572365江阴市江凌科技有限公司740681198江阴市恒祺布业有限公司741344548江阴市华磊金属加工销售有限公司743106869江阴市佳威纺织有限公司743917653江阴市宝元针织绒有限公司745564783江阴市科安传动机械有限公司747331860江阴市彩林纺织有限公司748705975江阴富宏纺织有限公司749409756江阴市骏业不锈钢制品有限公司749410749江苏阳光云亭热电有限公司750047123江阴市银鹭纺织有限公司755075182江阴市远宏纺织有限公司762409830江苏三禾毛纺织有限公司769859762江阴浩业纺织有限公司773783000江阴九鼎时装有限公司792311316江阴绮星线缆有限公司796148907江阴市长龄机械制造有限公司798636402江阴市鼎顺化纤有限公司73942379X江阴市华天纺织有限公司607985037无锡禾美农化科技有限公司73226786X江阴市伟德纺织有限公司552495574江阴市协力新能源设备材料有限公司607985395江阴江天机械制造有限公司727236129江阴市华江色织有限公司765895766江阴市广翔纱业有限公司142238284江阴苏派服装集团有限公司142238620江阴市前进化工有限公司142254815江阴市铜加工厂607981319江阴好和化工有限公司607983031无锡长江胶囊有限公司667620179江阴华昌食品添加剂有限公司703519327江阴中新工程设备有限公司722242992益诺威(江阴)电子有限公司730115846江苏富菱化工有限公司748728931江苏世华生物科技有限公司71326951X江阴市东杰纺机专件有限公司748706249江阴市天辰特种气体有限公司740680881江阴顺飞精细化工有限公司745565487江苏永达药业有限公司788856508江阴市恒阳石油机械有限公司142237601江阴市蓝天机械制造有限公司562908520江阴南泰家纺面料研发有限公司628423391江阴市东亚包装有限公司660838749江阴市汇源铜业有限公司667629894无锡三工自动化设备有限公司718654564江苏申牌万向轮有限公司745564863江苏大娘食品有限公司748155838东亚化成科技(无锡)有限公司749409449江阴克威齿轮箱制造有限公司751440680江苏林泰阁工程设备有限公司752749524江苏恒通纺织有限公司753200197江苏博大数控成套设备有限公司753200883江苏立思特实业有限公司753201093江苏湟里纸业有限公司753201659江苏联悦纺织有限公司753945906江阴瑞江服饰有限公司756412435江苏东纲金属制品有限公司758486171江阴华峥特种运输机械有限公司758486665无锡市联创印染有限公司765896603江阴市新辉机械有限公司769860480江阴南泰家纺用品有限公司787669364江阴中凌电器制造有限公司793814580江阴宇丰技研机械有限公司795361036江苏朗锐茂达铸造有限公司74068142X江阴市瑞鑫锻造有限公司74733157X江苏顺来工程设备有限公司607981239江阴华理防腐涂料有限公司76419620X江阴市江盛电力管材有限公司250417351江阴市荣新塑化有限公司663272883江苏融泰石油科技股份有限公司674868455江阴艾尔贝缓冲材料科技有限公司703518375江阴市奇凯纺织有限公司722242888江阴天广科技有限公司727235740江阴市瑞源纺织有限公司738275887江阴美棉纺织有限公司741344724江阴技源药业有限公司743105452江苏嘉盛新材料有限公司743702724江阴天梭织造有限公司743702732江阴泰城布业有限公司747330526江阴丰达机械有限公司748728640江阴市建恒化工有限公司749409991江阴长盛化工有限公司751440111江阴明大化工有限公司753943863江阴宏力工程机械有限公司753945287江阴澄星石庄热电有限公司755075297江阴泓康机械制造有限公司760534822建滔(江苏)化工有限公司762413696赛纳尔科技(江阴)有限公司765895643升泰科电子(江阴)有限公司765897382江苏大江金属材料有限公司769859666江阴东进寝装有限公司769861934庆昌科技(江阴)有限公司771537930阿尔法(江阴)沥青有限公司780261681建滔电子材料(江阴)有限公司780261788京仁科技(江阴)有限公司782743895建滔(江阴)复合材料有限公司791061554江阴长翼织造有限公司66898410X江阴泓昇有限公司线缆制品厂72419578X江阴市宇晶布业有限公司73781253X江阴市宏仁机械有限公司250325609江阴市耀宇化工有限公司703515502江阴市克林净化工程有限公司755075449江阴市丰华金属制品有限公司767397322江阴利港发电股份有限公司142212711江阴市华钰化工有限公司250333422江阴市金牛玻璃钢材料有限公司718652593江阴三特空气处理设备有限公司76589734X江阴天明科技有限公司722243143江阴市生一氯碱设备制造有限公司142253679江阴市双赢通信材料有限公司772482329江阴市东瑞船舶工程有限公司758485865江阴市新明工程机械有限公司795361327江阴朗博特钻杆制造有限公司714147127江阴市美托金属制品有限公司753944268江阴市东支织造有限公司765897358江阴市鸿萌橡塑制品有限公司780260590江阴长力科技有限公司142218734江阴苏利科技有限公司142235809江阴市爱特净化科技有限公司142244254江阴市华骏机械有限公司550297531江阴市华星工程机械有限公司607984675江阴加华新材料资源有限公司666811002江阴市华天工程机械有限公司716838183江阴市兴鲁空气分离设备有限公司726565406江阴市华伟机械制造有限公司733295395江阴市亚申石油管件有限公司736541416江阴市宇峰机械有限公司743106594江阴市鑫通重型机械制造有限公司760534398江苏华超重工机械有限公司769861192江阴市华悦机械制造有限公司796532909江阴市宏源燃气表有限公司25036187X江阴市钢利冶金设备有限公司72224121X江阴市丰瑞金属有限公司74310576X无锡光未来新材料有限公司142236254江苏双友重型机械有限公司142244342江苏双良集团有限公司142244924江阴真良机械有限公司142296142江阴市文斌机械制造有限公司250361570江阴市长江冶金起重设备有限公司738275633江阴市恒汇塑业有限公司739571055江阴市常利锻造有限公司746247472江阴市华云纸品有限公司755076978江苏健峰起重机械有限公司772481588江阴太博金属制品有限公司784367424江阴市龙和重型机械有限公司746245311江阴市盛凯环保设备有限公司142234689江阴市华东化工机械有限公司250388829江苏兴飞机械有限公司713265041江阴苏凯机械制造有限公司733298238江阴市华东净化空调安装有限公司773783713江阴瑞德合金材料有限公司14222670X江苏巨光光电科技有限公司25032952X江阴市双友空调机械有限公司142236350江阴市华杰工程机械有限公司250357205江阴市液压油管有限公司250421764江阴市三杰实业有限公司628345151江阴市华德幕墙有限公司749409502江阴扬子江船舶工程有限公司666828648江阴市科源机械有限公司746247261江阴市诚信合金材料有限公司771536452江苏绿钢涂料有限公司14224801X江阴市西石桥溶剂厂68915616X江阴爱科森通信材料有限公司250417423江苏怡达化工有限公司753943329江阴三品包装有限公司758486753江阴市振江钢结构有限公司77965498X江苏国光重型机械有限公司722243338江阴市耀顺塑料机械有限公司740681593江阴中绿化纤工艺技术有限公司250420737多快(江阴)电梯制造有限公司550263227江苏秋林重工股份有限公司669614768江苏佼燕船舶设备有限公司743702265江阴安凯特电化学设备有限公司743918170江阴市宇维高分子化工有限公司743920035江阴超越新材料有限公司751440672江阴友利特金属制品有限公司764194781无锡奇安特保温材料有限公司142266648江阴市天虹印务有限公司142267915江阴市标贴材料厂250415890江阴卧龙玻璃钢船艇有限公司250420913江阴机械制造有限公司669632464江苏昊华华东聚苯工业有限公司670119350江苏神源光电科技有限公司713263740江阴挪赛夫玻璃钢有限公司718649079江阴市北海救生设备有限公司727237869江阴红嘉印染有限公司727410588江阴市恒鼎特钢制品有限公司730114747江阴天祺硅胶制品有限公司736541424江阴市一华纸塑包装材料有限公司740682246江阴市大桥不锈钢管有限公司743107490江阴金润化工制品有限公司745567327江阴耐波特船用设备有限公司750048767江阴市华鼎混凝土有限公司751442555江苏鑫城印刷发展有限公司757953559江阴天奋科技有限公司760533766江阴恒力电子有限公司782744564江阴泰富沥青有限公司74941167X江阴华润金属制品有限公司75004810X江阴锦澄钢铁有限公司76739595X江阴鑫润塑泡制品有限公司739423263江阴市柯明化纤有限公司743920473江阴力恒化学有限公司788874722光大环保能源(江阴)有限公司792313215江阴中鑫资源再生有限公司69454866X江苏金峰月城水泥有限公司662734660江阴春兴合金有限公司675465797江阴市长兴钒氮新材料有限公司697935614江阴市三久铝业科技有限公司716834318江苏省宏晟重工集团有限公司722239451江阴市金捷利制管有限公司730114368江阴市华英冷轧带钢有限公司60798507X江阴华润制钢有限公司142274947江阴协统汽车附件有限公司713262932江阴双华科技有限公司732269232江阴市月城中新纸业有限公司743701078江阴市必得科技发展有限公司782744206江苏协诺汽车附件有限公司142249119江阴市华盛印刷有限公司791061167江阴炜顺钢制品有限公司250325369江阴市塑料制品二厂703517444江阴市长江化工阀门厂743703401江阴安秀工业有限公司767398122江阴市宏创铸造有限公司142256589江阴市东江人造革厂142280183江阴市农药二厂有限公司607980383无锡澄昌座椅有限公司703520301江苏中科能凯夫空调有限公司726566273江阴市洪腾机械有限公司736543497江阴海江塑胶制品有限公司743919253江阴精细化工机械有限公司775430698江阴林源织造有限公司722242378江阴市正达利精细化工有限公司732268002江阴茂祥电子材料有限公司716834000江阴市沪青平绒有限公司748728501江阴市澄润石油化工有限公司69075954X江苏广大钢板加工有限公司142220172江阴市青阳镇针织绒厂661310735无锡中硅科技有限公司738276142无锡源达电工材料有限公司749409051无锡华亿重型机床制造有限公司753200859江阴望春花平绒有限公司753201384无锡月亮电机有限公司755076572江阴中恒科技有限公司73439060X江阴市扬名塑业有限公司554606768江阴市力隆液压机械有限公司745566594江苏江特科技有限公司749409924江阴盛德特种线缆有限公司758486868无锡腾飞机电冲件有限公司142271877江阴市青阳化工涂料厂757953794江阴市德顺液压机械有限公司607983509江阴大伟塑料制品有限公司727236495江阴市华茂化纤有限公司727237615江阴华辉空调机械配件有限公司730114480江苏裕华汽车零部件有限公司732267691江阴新光电子材料有限公司737812943江阴瑞兴塑料玻璃制品有限公司743703241江阴市华昌不锈钢管有限公司713260662江阴华伦达精密不锈钢管有限公司722238475江阴市南方不锈钢管有限公司725195220江阴市国光硅橡胶制品有限公司727237199江阴市泰盛毛制品有限公司729037297江阴市源通高压电器有限公司730116646无锡市兆顺不锈中板有限公司730116742江阴福达染整联合机械有限公司740682561江阴市华强橡塑制品有限公司743918971江苏森森水族用品有限公司745564636江阴市金玉塑料制品有限公司750047174无锡华澄线缆有限公司750048345江阴市志骏电器线缆有限公司751414650无锡优萌汽车部件制造有限公司751440402江阴长源机械制造有限公司756411205无锡早川电子有限公司757954092无锡华能电力电容器有限公司784366181无锡沃尔德轴承有限公司784366544无锡广信感光科技有限公司785976256江阴市东昊不锈钢管有限公司72903925X江阴市浩盛电器线缆制造有限公司77153676X江阴市润华线缆有限公司78766917X无锡宇盛厨卫有限公司250417714江阴市千里马电工材料有限公司718649263江阴市双力紧固件制造有限公司731154791江阴市星宇塑胶有限公司745565284江阴市崇华毛衫有限公司760533061无锡市富阳精密制管有限公司775431084江阴万祥工艺制品有限公司75004693X无锡宏基纸业包装有限公司142272167江阴市桐岐电化有限公司250381707江阴市耐热电线电缆厂730114886江阴市玉丰磁塑有限公司753945113江阴市一本化纤有限公司767397234江阴市嘉伟橡塑制品有限公司69335576X江阴市天澄电子电线有限公司724437240江阴市万润印染有限公司628349750江阴昌盛电子器材有限公司724436440江阴市建业化工有限公司727409835江阴市天源环保科技有限公司759652282江阴盛源科技有限公司250420462江阴市兴达机械有限公司628420297腾辉电子(江阴)有限公司664913371江阴市鼎润精密钢管有限公司703523887江阴市卫康电热电器有限公司741346236江阴市辉龙电热电器有限公司743701035江阴市永真橡塑制品有限公司745566666江阴市伟澄特种电缆有限公司750048062江苏星源航天材料股份有限公司668984898江阴久盛科技有限公司682187254江阴亿欣新材料科技有限公司714145762江阴市银达来塑料制品有限公司722246475江阴市昊亚涤塑包装有限公司756412574江苏阳光璜塘热电有限公司142259528江阴市塑料纺织配件厂250414126江阴市润达轴承有限公司672534777江阴海润太阳能电力有限公司675479064江阴烨星铜业发展有限公司680504156江阴世林博尔冷热设备有限公司683515918江苏大阳光辅股份有限公司687809251江阴中稷半导体材料有限公司722247910江阴市九润管业有限公司726565940江阴市江海非织造布有限公司739572146江阴市伟欣塑胶有限公司760534590海润光伏科技股份有限公司765897446江阴博格机械制冷技术有限公司。
一、统计范围
二、采集渠道规模以上工业总产值按行业分
2023年6月
工业统计范围、采集渠道及主要指标解释
本表统计范围均为规模以上工业企业,即年主营业务收入2000万元及以上的法人工业企业。
规模以上法人工业企业按照《工业统计报表制度》要求,填报统计报表,通过各级统计部门逐级审核上报统计数据。
上海市统计局汇总全市规模以上工业统计数据,经国家统计局统一审核评估后对外发布。
三、主要统计指标解释
工业总产值:指工业企业在报告期内生产的以货币形式表现的工业最终产品和提供工业劳务活动的总价值量,包括生产的成品价值、对外加工费收入、自制半成品在制品期末期初差额价值三部分。
省区市加工企业名称北京市北京古船食品有限公司北京正大畜牧有限公司北京正大饲料有限公司北京玉德顺工贸有限公司北京美好希望有限责任公司北京大发正大有限公司北京东方希望饲料有限公司天津市中粮北海粮油工业(天津)有限公司九三集团天津大豆科技有限公司邦基正大(天津)粮油有限公司天津龙威粮油工业有限公司嘉里粮油(天津)有限公司天津彩虹饲料有限公司大成万达(天津)有限公司天津市聚龙粮油有限公司天津名门动物食品有限公司天津市冠达实业总公司天津市金芦米业有限公司天津市利金粮油股份有限公司河北省华北制药康欣有限公司石家庄正大有限公司石家庄中营淀粉有限公司河北蕙兰面业有限公司今麦郎面粉(正定)有限公司河北华辰淀粉糖有限公司石家庄蟠龙面业有限公司河北邯雪面粉集团赵县有限公司河北赵州利民淀粉企业集团总公司赵县金桥淀粉有限公司赵县兴柏糖业有限公司河北赵罗面业有限公司河北兴达饲料集团有限公司辛集分公司河北省河北黑马粮油工业有限责任公司河北禽塔实业有限公司河北德瑞淀粉有限公司河北常安油脂有限公司益海(石家庄)粮油工业有限公司石家庄希望饲料有限责任公司唐山市丰南区白龙面粉有限公司唐山融商普林畜禽有限公司饲料分公司中粮面业(秦皇岛)鹏泰有限公司秦皇岛金海粮油工业有限公司秦皇岛金海食品工业有限公司秦皇岛正大有限公司昌黎县淀粉有限公司秦皇岛骊骅淀粉股份有限公司今麦郎面粉(邯郸)有限公司河北五得利面粉集团有限公司河北凯发面业集团有限公司河北宇龙粮油有限公司邢台春雨工贸有限公司河北华龙集团面粉有限公司河北健民淀粉糖业有限公司河北龙飞翔面粉有限公司河北玉锋淀粉糖业集团有限公司河北燕南食品集团公司河北广玉淀粉糖业有限公司河北金沙河面业有限责任公司河北兴达饲料集团有限公司河北凯特饲料有限公司河北大午农牧集团有限公司今麦郞面粉(徐水)有限公司承德避暑山庄企业集团有限责任公司河北鲲鹏饲料有限公司河北谷丰源食品有限公司河北廊雪面粉有限责任公司固安县参花面粉有限公司河北梅花味精集团有限公司河北省霸州东方希望动物营养食品有限公司三河汇福粮油集团饲料蛋白有限公司三河汇福粮油集团精炼有限公司河北永生食品有限公司深州金豆饲料有阴公司五得利集团深州面粉有限公司山西省山西正大有限公司山西省古船食品有限公司介休维群生物工程有限公司平遥县龙海实业有限公司山西忠民集团有限公司山西永济晋美油脂有限公司山西亿家康有限公司绛县唯信面粉厂内蒙古自治区内蒙古阜丰生物科技有限公司内蒙古牧泉元兴饲料有限公司内蒙古正大有限公司克什克腾旗建国粮油购销有限责任公司内蒙古塞飞亚食品有限责任公司饲料厂通辽梅花生物科技有限公司扎兰屯市淳江油脂有限责任公司辽宁省沈阳香雪面粉股份有限公司沈阳金豆食品有限公司辽宁中稻股份有限公司辽宁大成农牧实业有限公司沈阳万顺达集团有限公司辽宁众友饲料有限公司大连华农豆业集团股份有限公司大成食品(大连)有限公司大连华康牧业有限公司大连连王集团有限公司九三集团大连大豆科技有限公司大连日清制油有限公司英联饲料(辽宁)有限公司海城市富有油脂有限公司海城正丰牧业有限公司辽宁省海城市禾丰牧业饲料有限责任公司海城市正丰牧业有限公司海城市富有油脂有限公司英联饲料(辽宁)有限公司海城市禾丰牧业饲料有限公司鲁洲生物科技(辽宁)有限公司辽宁鸭绿江集团米业有限公司锦州面粉总厂锦州元成生化科技有限公司北镇市五峰米业加工有限公司辽宁金实集团有限公司饲料分公司嘉里粮油(营口)有限公司阜新六和农牧有限公司饲料分公司德惠尔饲料(辽阳)有限公司富虹集团有限公司盘锦鼎翔米业有限公司益海嘉里(盘锦)粮油工业有限公司铁岭万顺达淀粉有限公司昌图生化科技有限公司葫芦岛希瑞淀粉工业有限公司吉林省农安县松源玉米生化有限公司吉林省禾丰米业有限责任公司中粮生化能源(榆树有限公司)吉林德大有限公司吉林燃料乙醇有限责任公司吉林凯塞生物技术有限公司吉林市博大生华有限公司四平红嘴油脂有限公司四平市和农牧业有限公司天成玉米开发有限公司吉林省新天龙酒业有限公司黄龙食品工业有限公司中粮生化能源公主岭有限公司辽源市巨峰生化科技有限责任公司吉林省德春米业集团有限责任公司辽源红嘴粮油工业有限公司吉林省东丰县华粮生化有限公司梅河口市阜康酒精有限责任公司松原兴和饲料有限公司华润赛力事达玉米工业有限公司松原吉安生化有限公司吉安生化乾安酒清有限责任公司吉粮集团嘉实油脂有限公司黑龙江省黑龙江省阳霖油脂集团有限公司哈尔滨宏德粮油加工有限公司黑龙江明达油脂开发有限责任公司黑龙江正大实业有限公司通河县圣辉有限责任公司齐齐哈尔三合盛面业有限责任公司黑龙江天华油脂股份有限公司依安黄淮油脂有限责任公司泰来县冰玉有限公司庆丰集团克山昆丰农业生产资料有限公司黑龙江省鸿源油脂有限公司绿都集团股份有限公司密山市玉珠米业有限公司黑龙江东粮米业有限公司黑龙江泰丰粮油食品有限公司黑龙江省人和米业有限公司黑龙江省鹤岗市万源粮油食品有限公司黑龙江省鹤岗市海宇米业有限公司黑龙江省鹤岗市佰平米业有限责任公司黑龙江省鹤岗市实实米业有限责任公司黑龙江鹤鸣米业集团有限责任公司鹤岗市东方粮油集团有限公司黑龙江丰瑞化工集团有限公司集贤县福厚油脂有限公司黑龙江集贤亿丰油脂有限公司集贤县天兴生物科技有限公司黑龙江福源米业集团友谊县盛源油脂有限责任公司宝清县罗麦生物工程有限公司黑龙江省黑龙江宏达生物工程有限公司铁力市九河泉米业有限责任公司益海(佳木斯)粮油工业有限公司佳木斯阳光生化有限公司佳木斯市吉庆豆业有限公司佳木斯正大有限公司桦南县宏安油脂有限公司桦南鸿源米业有限责任公司黑龙江省桦川县付士米业有限公司黑龙江华康米业有限公司黑龙江金泉集团金正油脂有限公司勃利县三江浸油厂有限责任公司牡丹江市第三粮库黑龙江联凯大豆加工有限公司绥化市黑龙粉米有限公司黑龙江昊天玉米开发有限公司黑龙江龙凤玉米开发有限公司庆安县鑫利达米业有限公司庆安县双洁天然品有限公司庆安县庆翔粮油开发有限公司环宇格林粮食开发有限公司中粮生化能源(肇东)有限公司黑龙江省肇东希望饲料有限公司黑龙江成福集团有限公司北大荒丰缘集团有限公司黑龙江省北大荒米业有限公司九三集团哈尔滨大豆制品有限公司九三集团哈尔滨惠康食品有限公司九三集团宝泉岭大豆制品有限公司九三集团北安大豆制品有限公司黑龙江省九三油脂化工厂农垦金星米业有限责任公司上海市上海福新面粉有限公司上海良友海狮油脂实业有限公司上海东辰粮油有限公司上海嘉里粮油工业有限公司上海市上海垠海贸易有限公司上海印福油脂工业有限公司上海嘉里食品工业有限公司天下粮仓集团有限公司上海香川饲料有限公司江苏省中储粮镇江粮油有限公司江苏省农垦米业有限公司邦基(南京)粮油有限公司南京沙塘庵粮油实业有限公司宜兴市粮油集团大米公司江苏南顺面粉有限公司维维六朝松面粉产业有限公司徐州彭升面粉有限公司江苏沿湖华升面粉有限公司徐州雅苏麦尔食品有限公司徐州三牛面粉有限公司徐州金孔雀面粉有限公司新沂市良辰工贸有限公司徐州正昌饲料有限公司徐州苏源面粉有限公司徐州湘大骆驼饲料有限公司常州市明华面粉厂常州正大粮油工业有限公司江苏苏南面粉有限公司益江(张家港)粮油工业有限公司路易达孚(霸州)饲料蛋白有限公司张家港分公司张家港恒泰面粉制品有限公司张家港市面粉食品有限公司东海粮油工业(张家港)有限公司吴江市金杨油厂南通顺发面粉有限公司南通一德实业有限公司嘉吉粮油(南通)有限公司南通来宝谷物蛋白有限公司南通大兴面粉有限公司南通家惠油脂发展有限公司江苏省江苏天成科技集团有限公司江苏金太阳油脂有限责任公司江苏东方明珠粮油实业有限公司南通巴大饲料有限公司南通正大有限公司江苏长寿集团江苏省银河面粉有限公司连云港正大饲料有限公司益海(连云港)粮油工业有限公司连云港群鑫工贸有限公司连云港市科苗粮油加工有限公司山东通达粮油制品有限公司连云港分公司连去港市鑫谷粮油有限公司韩友(连云港)饲料有限公司灌云县金灿粮食加工有限公司新丰面粉有限责任公司江苏淮阴正大有限公司淮安天参农牧水产有限公司江苏大山面粉实业有限公司江苏民康油脂有限公司淮安市淮阴大北农饲料有限公司淮安市淮阴区金鑫面粉厂江苏金叶粮油食品有限公司江苏省银河飞业有限公司江苏康威科技饲料有限公司江苏北大荒米业有限公司江苏永芳粮油有限公司江苏宝鑫集团有限公司通威股份有限公司盐城分公司盐城恒兴饲料有限公司扬州宝泰米业有限公司扬州嘉禾油脂有限责任公司仪征方顺粮油工业有限公司江苏双兔食品股份有限公司高邮市万嘉面粉有限公司江都市天一油脂集团有限公司江苏省丹阳莲湖面粉有限公司镇江润扬米业有限公司丹阳市同乐面粉有限公司丹阳正大油脂有限公司丹阳江南面粉有限公司兴化市粮食交易市场江苏楚龙面粉有限公司江苏三零面粉有限公司姜堰市泰洁面粉有限公司江苏天然园米面实业有限公司浙江省杭州恒天面粉集团有限公司宁波正大粮油实业有限公司金光食品(宁波)有限公司宁波正大农业有限公司宁波市鄞州梁桥米业有限公司浙江欣欣饲料股份有限公司浙江拳王实业有限公司浙江一星饲料集团有限责任公司海盐通元饲料有限公司平湖超伦贝饲料有限公司桐乡市三珍斋运河饲料厂浙江新市油脂股份有限公司浙江科盛饲料有限公司浙江中大饲料有限公司浙江中大油脂有限公司舟山中海粮油工业有限公司安徽省合肥金润米业有限公司安徽丰原燃料酒精有限公司安徽丰原生物化学股份有限公司(本部)安徽雁湖面粉有限公司安徽省天麒面粉有限公司五河县易禾米业有限责任公司安徽成祥面粉有限公司安徽丰原油脂有限公司凤台县米王粮贸有限责任公司安徽顾桥面粉(集团)有限公司安徽省安徽省宏宇粮贸集团有限公司淮北市华强面粉有限公司淮北市鲁南面粉(集团)公司濉溪县鲁王面粉有限责任公司安徽省稼仙米业集团有限公司望江县利民米业有限责任公司滁州金恒油脂有限公司滁州金弘安米业有限公司定远县大权制米有限公司凤阳县凤宝粮油食品有限公司凤阳县顺通面粉有限公司明光市白云面粉有限公司明光市桂花园面粉有限公司阜阳市日月星面业有限公司安徽省六本食品有限责任公司安徽省东方面粉有限责任公司安徽润发面业有限公司宿州市皖神面制品有限公司华宇面粉实业有限公司安徽新锦丰企业投资集团有限公司安徽金鸽面业集团有限公司安徽银海粉业食品集团有限公司安徽皖北面粉有限公司安徽虹光企业投资集团有限公司萧县金玉米农业科技有限责任公司安徽康美达面业有限公司安徽宿州笑果饲料有限公司安徽槐祥工贸集团有限公司和县金城米业有限公司六安茂源粮油集团有限公司安徽庆发集团安丰油脂有限公司安徽省舒城县青云精米加工有限责任公司安徽友勇米业有限公司安徽正宇面粉有限责任公司安徽良夫面粉有限公司安徽占元面粉有限公司安徽省安徽珠东面粉有限公司安徽瑞福祥食品有限公司安徽家乐米业有限公司福建省福建省东南饲料有限公司福州海马饲料有限公司福建康宏股份有限公司元洪面粉食品(福建)有限公司厦门中盛粮油企业有限公司莆田市东南香米业发展有限公司福建天下农庄食品发展有限公司莆田市华港制油有限公司泉州福海粮油工业有限公司泉州市南贸粮油有限公司泉州金穗米业有限公司福建胜兴米业有限公司鸿一粮油资源股份有限公司福建森宝食品集团股份有限公司江西省江西金佳谷物股份有限公司江西华达牧业有限公司中粮(江西)米业有限公司九江市正大饲料有限公司新余市百乐工贸有限公司双胞胎饲料有限公司江西宝宝仔饲料有限公司江西柯恩科技有限公司江西赣南金利饲料有限公司泰和县白凤米业有限公司万载县顶哥食品有限公司江西圣牛米业有限公司江西赣特米业有限公司江西正邦科技股份有限公司樟树分公司樟树市大丰饲料厂江西省樟树粮油公司江西万年贡米集团有限公司山东省青岛渤海农业发展有限公司青岛白樱花实业有限公司山东省青岛嘉里花生油有限公司青岛正大有限公司青岛品品好粮油有限公司青岛正大农业发展有限公司青岛神丰牧业有限公司天津彩虹饲料有限公司淄博面粉厂淄博泰华饲料有限公司山东梨花面业有限公司山东永盛油脂有限公司山东昕昌制粉有限公司山东枣庄金城淀粉有限公司滕州市东谷面粉公司山东恒仁工贸有限公司利津天普阳光饲料有限公司东营市华誉饲料有限公司山东半球面粉有限公司广饶公司山东半球面粉有限公司东营分公司烟台台华食品实业有限公司益海烟台粮油工业公司山东龙丰集团公司莱阳六和饲料有限公司山东莱阳春雪食品有限公司莱阳鲁花浓香花生油有限公司六和饲料股分有限公司莱州分公司潍坊风筝面粉有限责任公司潍坊白浪河食品有限公司潍城区杏埠面粉厂潍坊六和饲料有限公司潍坊中基饲料有限公司潍坊六和饲料有限公司临朐分公司临朐六和中盛饲料有限公司潍坊乐港食品股份有限公司中惠昌乐饲料有限责任公司潍坊英轩实业有限公司潍坊盛泰药业有限责任公司山东省青州市海军面粉厂青州市通慧饲料有限公司诸城市润生淀粉有限公司诸城兴贸玉米开发有限公司山东得利斯畜牧科技股份有限公司潍坊六合饲料有限公司寿光分公司寿光天成饲料有限公司富氏饲料有限公司寿光市永泰植物油有限公司山东华麟面业有限公司寿光中慧生物饲料有限公司潍坊市布恩饲料有限公司寿光市新丰淀粉有限公司山东寿光巨能金玉米开发有限公司山东柠檬生化有限公司山东惠康饲料有限公司山东恒丰面粉有限公司山东望乡食品有限公司潍坊六和饲料有限公司昌邑分公司昌邑市新昌饲料有限公司菱花集团有限公司济宁鲁鑫油脂有限公司济宁华任面业有限公司山东鲁王集团有限公司山东群星粮油制品有限公司山东美晶米业有限公司山东六合集团股份有限公司嘉祥县嘉冠油脂化工有限公司山东利生集团汶上食品有限公司山东梁山沃德面粉有限公司曲阜市康利源面粉有限公司今麦郎面粉(兖州)有限公司肥城富世康制粉有限公司日照市水木东方有限公司中粮黄海粮油工业(山东)有限公司山东新昌集团有限公司日照饲料分公司山东省六和饲料股份有限公司莒县分公司日照金禾博源生化有限公司山东信中食品有限公司山东新良油脂有限公司邦基三维油脂有限公司六和饲料股份公司临沂分公司沂水大地玉米开发有限公司鲁洲生物科技(山东)有限公司六和饲料股份有限公司沂水分公司六和饲料股份有限公司苍山分公司费县六合饲料有限公司费县中粮油脂工业有限公司六和饲料股份有限公司平邑饲料厂莒南县金胜粮油实业有限公司山东玉皇粮油食品有限公司金沂蒙集团有限公司中粮面业(德州)有限公司德州巨嘴鸟工贸有限公司谷神生物科技集团有限公司山东同兴酒业有限公司陵县颜皓制粉有限公司德州华茂生物科技有限公司山东乐悟集团有限公司宁津县顺发制粉有限公司德州中澳新希望饲料有限公司庆云六和饲料有限公司山东峰宇面粉有限公司山东大蔡牧业有限公司德州福源生物淀粉有限公司发达面粉集团有限公司山东津华集团有限公司山东永乐食品有限公司山东中谷淀粉糖有限公司山东乐陵市天一食品有限公司山东禹王实业公司植物油分公司禹城市禹飞面粉有限公司山东省六和饲料股份有限公司德州六和分公司山东福田糖醇有限公司山东龙力生物科技有限公司山东龙大植物油有限公司希杰(聊城)生物科技有限公司阳谷县神龙面粉有限公司聊城科牧饲料有限公司茌平县同创生物技术有限公司山东信乐粮食收储有限公司茌平县春华淀粉有限公司山东省高唐蓝山集团总公司山东和兴面粉有限公司临清京派粮油集团中兴面粉有限公司滨州泰裕麦业有限公司滨州金汇玉米开发有限公司惠民县宇东面粉有限公司山东黄河粮油科技有限公司山东渤海油脂工业有限公司山东香驰健源生物科技有限公司山东香驰粮油有限公司山东三星集团有限公司西王集团有限公司山东华义玉米科技有限公司菏泽华瑞油脂有限责任公司五得利集团东明面粉有限公司成武大地玉米开发有限公司中粮艾地盟粮油工业(菏泽)有限公司成武利生面业有限公司菏泽华瑞食品有限责任公司菏泽六和饲料有限公司山东坤泰食品有限公司山东永明制粉有限公司单县六合饲料有限公司菏泽金豆饲料有限责任公司山东鲁花浓香花生油有限公司河南省河南爱厨植物油有限公司河南省河南方欣米业集团股份有限公司郑州海嘉食品有限公司郑州金苑面业有限公司河南聚丰饲料科技有限公司河南粮油阳光油脂有限公司郑州天地人面粉实业有限公司河南雪燕制粉有限公司开封江南面粉有限公司开封正大有限公司开封市天丰面业有限责任公司开封市家家福面粉有限公司开封市同乐面粉有限公司洛阳洛粉面业有限公司河南东方正大有限公司洛阳六和饲料有限责任公司平顶山豫美面粉有限责任公司河南巨龙淀粉实业有限公司安阳康亿面粉有限责任公司安阳市银江面业有限公司金麦郎面粉(安阳)有限公司河南神华面业有限责任公司河南星河油脂有限公司河南省益民面业有限公司浚县淇雪淀粉公司浚县中原希望饲料有限公司淇县兴业工贸有限公司河南永昌飞天淀粉糖有限公司河南舒丰食品有限公司五得利集团新乡面粉有限公司河南新乡县刘庄淀粉厂延津县亨通油脂有限责任公司新乡市新粮粮油加工有限责任公司辉县市华豫油脂有限公司辉县市银龙专用粉食品有限公司河南斯美特食品有限公司中粮面业濮阳有限公司河南省南乐县鸿达面粉有限公司南乐县大乐面粉有限公司许昌山花实业有限公司许昌湖雪面粉有限公司许昌许雪面粉有限公司禹州市实佳面粉有限公司河南众誉面业有限公司中粮面业(漯河)有限公司河南省雪健实业有限公司漯河石磨房面业有限公司唐河贤德面粉有限公司邓州市久友面粉有限公司河南省诚实人食品有限公司河南神人助粮油有限公司虞城县广纳利面粉有限公司夏邑县雪枫面粉有限公司河南汇丰面粉有限公司永城市远征商贸有限公司永城市华冠面粉有限公司商丘市奥神面业有限公司白象食品集团(河南)面业有限公司信阳万富油脂河南山信粮业有限公司五得利集团周口面粉有限公司益海(周口)粮油工业有限公司益海(周口)小麦工业有限公司。
单位名称珠海市利加包装材料有限公司珠海市担杆镇外伶仃石矿场珠海市航粤正泰成套电气设备有限公司珠海思科信电线电缆有限公司成利威工业珠海珠澳跨境工业区有限公司珠海珠澳跨境工业区美高时装有限公司珠海珠澳跨境工业区德诚服饰有限公司珠海市创伟电线电缆有限公司珠海经济特区亿丰电子有限公司珠海市东部天亿计算机设备厂诺比节能科技(珠海)有限公司珠海市上永欣服装有限公司珠海市合意服装有限公司珠海市永隆加林饮水机有限公司珠海保税区中富易化工有限公司珠海市中粤纸杯容器有限公司盈贝(珠海)工业有限公司珠海伯轩医疗科仪有限公司圣太科电子(珠海)有限公司珠海威丝曼服饰股份有限公司珠海经济特区联谊机电工程有限公司珠海豪胤杰企业发展有限公司珠海市供水总公司珠海市丰盈织造有限公司确励电子(珠海)有限公司珠海海曼电子模型有限公司杰士达数码科技(珠海)有限公司珠海市新洪业家用纺织品有限公司珠海市永隆饮品有限公司珠海市高业冷暖设备有限公司珠海经济特区海港积层板有限公司珠海市天雅彩色印刷有限公司珠海优特电力科技股份有限公司珠海市永隆加林山矿泉水厂珠海金波科创电子有限公司珠海市东海渔村混凝土配送有限公司珠海华粤离合器有限公司珠海天琴信息科技有限公司珠海康威特电气有限公司珠海思创电气有限公司珠海泰坦能源电子技术有限公司珠海安凯特电力科技有限公司珠海美蓓亚精密马达有限公司圣马可(珠海)皮革制品有限公司珠海亿达科技电子工业有限公司珠海市汇信印务有限公司珠海众能条码自动识别系统有限公司珠海市至力电池有限公司珠海松下马达有限公司珠海吉泰克燃气设备技术有限公司珠海新特电子工业公司珠海市鹰标办公设备配件有限公司艾德拉碳纤维产品(珠海)有限公司珠海友精密(机电)有限公司太阳神(珠海)电子有限公司珠海隆国精机有限公司珠海立成彩印有限公司珠海雪德兰制衣有限公司珠海拜戈电子有限公司珠海理想科学工业有限公司珠海华美汽车制动工业有限公司珠海经济特区特艺塑料容器厂有限公司珠海市亚刚金刚石砂轮有限公司亚太电效系统(珠海)有限公司珠海深能洪湾电力有限公司珠海康晋电气有限公司珠海市舒丽玛温控卫浴设备有限公司珠海经济特区丰利毛衫制衣厂旭建塑料制品(珠海)有限公司珠海市建泰塑胶制品有限公司珠海波利马塑胶制品有限公司珠海欧美克微粉技术有限公司珠海奥晴打印机配件制造有限公司珠海市崧源电子企业有限公司珠海市金宝制衣有限公司珠海福尼亚医疗设备有限公司珠海京力钨钼制品有限公司珠海华冠电容器有限公司银德铝业(珠海)有限公司珠海博佳冷源设备有限公司珠海经济特区科茂橡塑材料有限公司珠海建轩服装有限公司珠海新麒麟食品有限公司珠海市江河混凝土有限公司珠海市船舶制造有限公司赛米控电子(珠海)有限公司珠海市佳和通信科技有限公司光库通讯(珠海)有限公司珠海斯尼克科技有限公司珠海市利圣隆电机有限公司宝力模具塑料制品(珠海)有限公司珠海健发轻纺有限公司力胜精密模具(珠海)有限公司威茂精密五金(珠海)有限公司广东宝莱特医用科技股份有限公司珠海英伟特电子科技有限公司珠海温而耐温控设备有限公司珠海市魅族科技有限公司珠海万力达电气股份有限公司珠海金海纳工艺品设计制造有限公司珠海蓝瑞盟电气有限公司珠海美绿达打印机耗材有限公司珠海美利信新材料技术有限公司希格玛电气(珠海)有限公司珠海科杰高分子材料有限公司珠海共创电力安全技术股份有限公司威克(珠海)电子有限公司珠海金力防水技术有限公司珠海明之源科技有限公司珠海佳讯赛特电子有限公司珠海市友邦电子材料有限公司珠海市三江纸品有限公司珠海市广龙香料发展有限公司珠海市宏广电子有限公司珠海拓力电子有限公司太和精机(珠海)有限公司珠海市科泰食品有限公司珠海市唐家湾信城五金厂有限公司珠海裕华聚酯有限公司珠海市华特雅工业气体有限公司德信行(珠海)香精香料有限公司珠海双喜电器有限公司麒麟啤酒(珠海)有限公司广东德豪润达电气股份有限公司珠海瀚盛精密机械有限公司北美电器(珠海)有限公司珠海泰格汽车配件有限公司珠海市香洲华鹰工贸有限公司珠海市协骏玩具有限公司珠海市南产业电器有限公司珠海市可利电气有限公司珠海畅想印务有限公司珠海市荣成企业电子有限公司珠海市双鱼消防器材有限公司珠海市羊枫针织有限公司珠海市宏科光电子有限公司珠海得佳电器有限公司珠海励致洋行办公家私有限公司良豪五金(珠海)有限公司珠海市菲力特油墨有限公司珠海市彩龙塑胶油墨制品有限公司珠海关中金属制品有限公司珠海市声驰电器有限公司珠海市赛锋金刚石制品科技有限公司珠海市世创金刚石工具制造有限公司珠海市顺成电器有限公司珠海显兴包装有限公司平和龙粉末冶金(珠海)有限公司珠海群晖电气设备有限公司珠海市亮森森光电科技有限公司珠海鼎立得木制品有限公司珠海顺泽电子实业有限公司标立电机(珠海)有限公司珠海宏利药业有限公司珠海利满丰源打印耗材有限公司新斯泰电子(珠海)有限公司康华特电子(珠海)有限公司珠海市智迪科技有限公司珠海盖达实业有限公司新金山五金制品(珠海)有限公司珠海市祥发瓦通包装有限公司珠海宝刚休闲器材有限公司珠海灏源制衣有限公司珠海元朗食品有限公司珠海格力新元电子有限公司珠海华冠电子科技有限公司珠海观中电子有限公司珠海新明珠表业有限公司珠海三色实业有限公司珠海市劲威化工有限公司珠海市海裕鑫锡业有限公司珠海经济特区亨利来电子有限公司珠海市现代色彩建筑材料有限公司珠海三谷印刷有限公司珠海市爱特保实业发展有限公司珠海裕富通聚酯有限公司珠海市金益峰商品混凝土有限公司珠海市富尔得实业有限公司炬力集成电路设计有限公司珠海上富电技有限公司珠海保时佳针织服装有限公司珠海市恒利多涂料有限公司珠海经济特区宝诚电子有限公司珠海茂薪电子有限公司珠海经济特区可达电子有限公司珠海市乐通化工股份有限公司金达(珠海)电路版有限公司珠海全珈焊接材料有限公司珠海创一电子科技有限公司珠海市香洲区金鼎威发塑胶制品厂华贵机电(珠海)有限公司珠海派诺电子有限公司珠海黑马医学仪器有限公司珠海市东部颖承精密压铸有限公司珠海天瑞电力科技有限公司珠海瓦特电力设备有限公司毅智科技(珠海)有限公司珠海欧美克科技有限公司珠海力成数码科技有限公司珠海金永进科技有限公司珠海市胜美加包装制品有限公司珠海市三超模型有限公司高鼎精密工业(珠海)有限公司珠海亿威电动产业股份有限公司珠海市机械厂有限公司珠海优泰科技有限公司珠海市唐家南艺精品厂珠海市荣志塑胶制品有限公司珠海市富海生物科技有限公司珠海粤科京华电子陶瓷有限公司珠海麦克赛尔电子有限公司珠海丽珠医用生物材料有限公司珠海索夫杰生物技术有限公司珠海经济特区大海水产饲料有限公司珠海市新天龙电子有限公司珠海西格医疗设备有限公司珠海雅迪有限公司珠海经济特区海泰生物制药有限公司启帆物流设备(珠海)有限公司珠海市敏夫光学仪器有限公司岩谷气具(珠海)有限公司珠海江有机电有限公司威士茂安商住电子科技(珠海)有限公司威士茂电子塑胶(珠海)有限公司和宏华进纳米科技(珠海)有限公司威士茂科技工业园(珠海)有限公司天年生物(中国)有限公司珠海市晶芯有限公司珠海经济特区富来时装制衣有限公司珠海科大工业胶带有限公司珠海泰坦科技股份有限公司广东亚仿科技股份有限公司珠海海狮龙生物科技有限公司鸿康电子(珠海)有限公司珠海市嘉德电能科技有限公司珠海格力磁电有限公司珠海诚锋电器有限公司珠海鑫汇电子科技有限公司珠海藤仓电装有限公司珠海经济特区红湖消声器企业公司珠海兴利电脑制品有限公司珠海市华晶微电子有限公司珠海市新鼎泰包装材料有限公司珠海香记食品有限公司珠海腾云纺织服装有限公司珠海市金竹电子有限公司珠海佳丰电线电缆有限公司珠海市日强印刷有限公司珠海市香洲华兴隆包装制品有限公司心华制衣发展(珠海)有限公司珠海鲜兴实业磁讯有限公司珠海市华美力纸制品有限公司欧玛嘉宝(珠海)开关设备有限公司珠海佳科新科技有限公司珠海市凯骏精密塑胶制品有限公司珠海市东艺制衣厂有限公司珠海市东部凯晟精密模具有限公司珠海市丰达针织制衣厂有限公司珠海市振裕实业发展有限公司珠海经济特区广达电器设备有限公司珠海汇达丰电气有限公司珠海鑫辉制衣有限公司珠海博威电气有限公司香港宏正工业(珠海)有限公司珠海市鹏深印刷有限公司珠海艾派克微电子有限公司珠海香华打印耗材有限公司珠海市建力混凝土有限公司珠海森维包装材料有限公司珠海市永利玩具厂珠海市盛铭工贸企业有限公司珠海市飞迅服饰有限公司珠海格力电器股份有限公司正大水产(珠海)有限公司珠海钢棉有限公司珠海市希斯达包装材料有限公司珠海清岚纸业有限公司珠海亿利服装有限公司珠海市晶电实业有限公司珠海宇讯同轴电缆有限公司达联精密电子(珠海)有限公司三井铜箔(广东)有限公司珠海市今明彩印包装有限公司传美讯电子科技(珠海)有限公司珠海市雷鸣达通讯技术发展有限公司珠海泰阳电子塑胶制品有限公司珠海市那美科技发展有限公司珠海市三杨精密塑胶制品有限公司珠海立研电子有限公司珠海研成模具有限公司珠海亚晶电子显示技术有限公司珠海市三精实业有限公司珠海真绿色技术有限公司珠海华电印务有限公司瀚威司通(珠海)电子有限公司珠海市德运实业有限公司旭诠电子科技(珠海)有限公司珠海市卡都九洲食品有限公司珠海市丰兰实业有限公司珠海松下通信系统设备有限公司珠海成镐电子有限公司珠海三本印刷有限公司珠海市盛天科技有限公司珠海进成电子有限公司三井金属(珠海)环境技术有限公司诺氏塑料制品(珠海)有限公司珠海休曼纸品有限公司珠海东信和平智能卡股份有限公司珠海紫翔电子科技有限公司松下能源(珠海)有限公司珠海市肯普电子科技有限公司珠海市巨海超硬材料开发有限公司佰佩织造(珠海)有限公司珠海汉彩强电测控设备有限公司珠海市佳达柯色包装材料有限公司益仕敦电子(珠海)有限公司珠海市华普食品机械制造有限公司珠海飞天利商品混凝土有限公司海蒂诗家俱五金配件(珠海)有限公司珠海市世海饲料有限公司珠海仕高玛机械设备有限公司珠海市宝城混凝土有限公司珠海市唯能车灯实业有限公司珠海市三荣包装纸品有限公司珠海安生凤凰制药有限公司珠海天成树脂有限公司珠海市利明实业有限公司珠海市珠光汽车维修厂有限公司珠海永顺机械设备有限公司珠海市时代经典化妆品有限公司珠海市伟高电子有限公司珠海君威服装有限公司珠海经济特区海纳激光制作有限公司珠海天峰光电有限公司珠海市柔乐电器有限公司珠海维登国际义齿研发制造有限公司珠海天达铭牌制造有限公司珠海市科瑞思机械科技有限公司珠海中珠澳峰商品混凝土有限公司艾斯威科技(珠海)有限公司珠海华博科技工业有限公司珠海发菱电子科技工业有限公司珠海中润靖杰打印机耗材有限公司君柏电子(珠海)有限公司珠海市东区粤兴纸品有限公司万佳(珠海)磁性材料科技有限公司马田工业(珠海)有限公司隆港精密工业(珠海)有限公司广东溢多利生物科技股份有限公司珠海天威飞马打印耗材有限公司珠海宏威模具有限公司珠海高密锂电能有限公司珠海思美亚碳粉有限公司珠海金仁药业股份有限公司珠海市粤茂激光设备工程有限公司珠海市德能彩印有限公司珠海市广通汽车有限公司珠海市云田电器有限公司珠海许继芝电网自动化有限公司珠海乐星电子有限公司珠海市仁智电子有限公司珠海市垃圾发电厂珠海市振光包装材料有限公司珠海市众晟包装材料有限公司珠海市香洲裕得胶粘制品有限公司珠海格隆博金属技术有限公司珠海市香洲森华制衣厂珠海市顺忆针织有限公司珠海市鑫泰注塑有限公司珠海市颖州印务有限公司珠海南丰化工实业有限公司珠海中富鲜果汁瓶盖有限公司珠海市顶盛食品包装机械有限公司英吉利制药(珠海西区)有限公司珠海市中富热灌装瓶有限公司珠海市中富船厂有限公司珠海中富实业股份有限公司珠海市中富胶盖有限公司珠海保税区中富广珠瓶胚有限公司霍华德模坯(珠海)有限公司珠海经济特区怡利线路板厂有限公司珠海市众源实业有限公司珠海盛普电源有限公司珠海市东部金陆电器有限公司珠海明佳电子有限公司珠海汇高机械设备有限公司珠海市新力达绿色能源有限公司珠海市江耀制衣有限公司樱花食品(珠海)有限公司珠海市超发纸箱有限公司珠海安士佳电子有限公司珠海市新正新制衣有限公司珠海拓普智能电气有限公司珠海市威鼎锡业制品有限公司珠海盈汇制衣有限公司珠海德豪润达电机有限公司珠海市宝杰数码喷绘材料有限公司珠海市鑫彩印刷包装用品有限公司珠海市英豪电子科技有限公司珠海市鼎胜胶粘制品有限公司珠海新艺华印务有限公司珠海市业佳精密橡胶制品有限公司珠海盛田实业有限公司珠海关口精密工业有限公司珠海永辰胶粘制品有限公司珠海市琛龙船厂有限公司珠海市大昌管桩有限公司珠海永新纺织染有限公司珠海经济特区承达胶粘制品有限公司珠海市宝龙木业制品有限公司珠海星丰实业有限公司珠海悦新包装制品有限公司珠海经济特区中港混凝土有限公司珠海市顺志机械制造有限公司珠海世雅精密工业有限公司珠海市荣泰隆电器有限公司珠海百货电宝实业有限公司珠海合盈制衣有限公司名辉家具(珠海)有限公司珠海捷英达电子有限公司天威打印机耗材制造厂珠海麟盛电子科技有限公司珠海光乐电力母线槽有限公司珠海经济特区光乐电控设备厂珠海立德万电子有限公司珠海宏马电器有限公司宏升电机科技(珠海)有限公司珠海及成通讯科技股份有限公司珠海尼尔生电能科技有限公司骏雄模具(珠海)有限公司珠海市惟达电子有限公司珠海市博杰电子有限公司珠海飞乐恒星汽车电器有限公司珠海经济特区超柏时装制衣厂珠海市嘉信食品发展有限公司然健环球(中国)日用品有限公司珠海市通晶塑胶制品有限公司梅木精密工业(珠海)有限公司珠海市伊特高科技有限公司珠海市祥盛特种门实业有限公司珠海市希友达油墨涂料有限公司珠海晨新科技有限公司珠海华网通信技术有限公司珠海施诺美机电工业有限公司珠海市天健饮水设备有限公司珠海经济特区海通纸品包装材料厂有限公司珠海市丹海包装材料有限公司珠海市非力达电子有限公司珠海市奥凯励光电技术有限公司珠海许继电气有限公司珠海市新威精密机械有限公司珠海市凯骏电子科技有限公司珠海经济特区秦海制衣有限公司珠海跃华电子有限公司珠海佳信明华印务有限公司兰吉尔仪表系统(珠海)有限公司珠海精特模具有限公司珠海经济特区富民塑胶五金制品厂珠海太连运动器材有限公司珠海广洋五金制品有限公司珠海市天木塑胶有限公司珠海斯达纬制管有限公司珠海经济特区金品电器有限公司珠海市华纶无纺布有限公司珠海市多明丽新能源有限公司珠海经济特区艾博化工发展有限公司珠海东方制冷空调设备配件有限公司珠海市远翔机电设备有限公司珠海市爱高普净水工程有限公司珠海市香洲华托企业有限公司珠海经济特区星威时装有限公司珠海市鹰旗办公设备有限公司珠海经济特区美星制鞋有限公司珠海市诚合印刷有限公司珠海市奇采商标印刷有限公司珠海市顶艺制衣有限公司珠海市金怡电子发展有限公司珠海市雅力实业有限公司珠海市远康企业有限公司珠海经济特区恒辉印刷有限公司珠海经济特区亿控智能自动化有限公司珠海市敏登服装有限公司珠海市胜美电子有限公司珠海镇东有限公司珠海琦乐电子制品有限公司珠海经济特区裕元工业有限公司珠海市字艺印刷有限公司珠海天虹特殊海棉有限公司珠海市南宇星电子有限公司珠海兰迪光盘制作有限公司珠海亿胜生物制药有限公司珠海莱茵柯电子有限公司珠海赛纳科技有限公司珠海市正阳印刷有限公司珠海纳思达电子科技有限公司珠海铭祥汽车工业有限公司珠海华大浩宏化工有限公司珠海经济特区东大鞋业有限公司珠海康盛隆毛织厂有限公司珠海一多电气自动化有限公司珠海鸿富达机械设备有限公司珠海德凌电子科技有限公司珠海三大塑胶企业有限公司珠海市中大电器有限公司珠海佳一电子技术有限公司珠海邦兴电子科技有限公司珠海科达信电子科技有限公司珠海市和谐电子科技有限公司珠海市恒富制衣有限公司珠海市沛荣制衣有限公司珠海市泰德企业有限公司珠海市东立电子有限公司珠海东精大电子科技有限公司珠海春明纸品包装有限公司江原技术(珠海)有限公司珠海市拱北生龙纸业有限公司珠海市东鸿食品有限公司珠海市激发塑料制品有限公司珠海经济特区珠瑞橡胶化学工业有限公司珠海经济特区信康电子器件有限公司珠海满天电子有限公司珠海金朗电器有限公司珠海经济特区统基纺织品有限公司珠海市华力包装有限公司珠海湛海时装厂有限公司珠海市通胜模具有限公司珠海市畅百川纸品有限公司珠海市奔码打印耗材有限公司珠海益品电器有限公司珠海万通塑料模具厂珠海市裕鸿嘉五金制品有限公司珠海市宝恒星科技有限公司珠海跃华科技发展有限公司珠海市预见科技有限公司珠海市锐晟印刷有限公司珠海驰力灯饰电子有限公司珠海市洪富食品机械制造有限公司东亚合成(珠海)有限公司珠海经济特区君雅时装有限公司珠海西伊加梯电信科技有限公司珠海东锦石英科技有限公司珠海新峰工贸公司艾尔伦电子仪器(珠海)有限公司佳能珠海有限公司珠海凌达压缩机有限公司珠市诚禾电子科技有限公司珠海家普乐电子科技有限公司珠海市佳讯实业有限公司珠海市欧陆模型有限公司珠海经济特区海波制线有限公司珠海市力众实业有限公司金亨科技(珠海)有限公司珠海经济特区三联企业(集团)有限公司汽车珠海蓝星特种玻璃有限公司珠海市科力通电器有限公司珠海市香之君电子有限公司珠海华斯特启帆疏浚设备有限公司珠海市大全印务有限公司珠海金秋基业数码光电有限公司珠海格力罗西尼表业有限公司珠海盛源票据打印机有限公司珠海市正宏机械有限公司正大康地珠海有限公司旭新(珠海)精密工业有限公司珠海积家机械工业有限公司珠海永骅服装有限公司珠海经济特区红塔仁恒纸业有限公司珠海经济特区诚成印务有限公司珠海市田仓特种包装材料有限公司珠海醋酸纤维有限公司仓纺(珠海)纺织有限公司珠海市盈骏模具有限公司珠海市锦泓服装有限公司珠海市联发丝花有限公司珠海市金稻电子科技有限公司珠海同帆精密五金制造有限公司珠海市东部永余电子有限公司珠海市丰运织造有限公司珠海贝索生物技术有限公司珠海南科电子有限公司珠海南科集成电子有限公司珠海南科单晶硅有限公司珠海格力电工有限公司珠海红湖不锈钢制品有限公司珠海经济特区顺成制衣厂有限公司珠海市爱声电器有限公司珠海柏卫宽带电子有限公司珠海市竞争电子科技有限公司珠海泰坦电源系统有限公司珠海市进祯企业有限公司珠海力合环保有限公司珠海经济特区康龙兴源食品工业有限公司珠海市华晶达电子有限公司珠海市摩华电讯科技有限公司珠海中油管道燃气有限公司珠海经济特区凯华制衣有限公司珠海市幸福注射器厂有限公司珠海市康定电子器件有限公司珠海正和电子科技有限公司珠海市金质五金厂有限公司珠海市金胜电子有限公司珠海威立雅水务污水处理管理有限公司珠海市隆润企业有限公司珠海市润国企业有限公司珠海石头电子有限公司珠海益佳精密塑胶制品有限公司珠海固得焊接自动化设备有限公司。
单位:注: 全部国有及规企 业1990年 当年价格单位数 1990年 当年价格不变价格不变价格11307.6113179.6741203873.884334.46158.94168.724965.1562.26410.55467.751940.4240.60594.91680.87244111.55167.29201.36223.739050.4463.6030.9938.906245.0754.01330.39364.46124136.32134.8781.3688.8812769.4476.7196.80120.7791154.35202.89477.92561.7157154.82152.172026.532309.94337336.87388.631540.291372.98262330.09394.14195.28216.95227139.91187.00151.86173.5595106.59103.7583.7393.541912.3914.891961.332206.64430418.53474.4750.26866.20358144.53228.34579.45654.16407329.01358.14163.29223.5812048.1558.501417.611480.13212595.78516.77145.74171.127252.5066.315.296.602337.3639.75总 产 值 # 集 体 企 业# 股份有限公司总 产 值72.0173.8611394.11103.48 208.97239.75340195.64232.88 39.7945.40435.8218.38 94.30115.627950.8060.96 0.98 1.2250.79 1.5870.3275.908068.5462.31 76.5381.963112.1015.13 5.18 5.92227.2415.84 8.4210.181310.1415.26 27.2338.66819.4523.55企 业企 业单位数1990年当年价格单位数 1990年不变价格不变价格107178455.168458.43157257618.37523490.22464.01370102.94702704.44646.67394187.99322123.49148.84286129.165117.0620.435025.494112.2215.944018.71597381.22420.23248101.00146156.75150.586432.279546.2454.559651.1918041900.261718.041339792.2814811041.671119.661418647.36858318.58319.631011485.8310473.0178.369635.34654288.15316.512056897.665444.8447.868121.901031563.40638.24556211.1518036.3994.2325845.38128154.97146.10233104.968047.1866.889221.0313361738.291639.2065083481.1310861.0470.769526.184014.0720.246117.95总 产 值13-6 全部国有及规模以上工业外商投资企业港澳台商投资企业总 产 值7050.9052.645733.39 13074.3174.0410636.79 2211.9412.5525 5.78 4926.5231.657016.10 40.030.046151.5662.065662.20 8 4.35 5.881916.49 30.630.8311 2.12 1416.0815.0010 2.30 21 5.36 6.8319 6.27企 业企 业当年价格单位数 1990年当年价格单位数不变价格8299.478373826314.9029081.7981342116.222268463.04532.312229194.552786735.42763.562626154.753419868.67958.20417823.651172142.43157.24275322.47680130.11165.31809125.382450599.11657.08379930.451319297.61297.95147148.591772332.16401.831752824.7951431939.712103.104177709.7188903387.973709.659067461.6280902854.482676.38538528.602065570.48656.491822914.4537711122.021182.09233525.251952260.90298.401985245.2958752658.202984.235527130.024878544.951171.105572108.393581943.201064.29381829.911936342.08495.8126183863.63110955490.545765.51688529.031537357.04413.61182823.43341105.64125.79299上工业企业单位数和工业总产值 (1998年)企业轻 工 业总 产 值 产 值30.49965278.45277.561035 38.772296873.91849.322684 5.16868163.10185.661180 19.941127316.76559.931389144 2.55 4.4019859.531238301.69327.101447 20.9170586.82100.69936 2.9522713.7917.31346 2.5221022.4927.41310 9.03938109.58152.50882企 业1990年当年价格单位数1990年 当年价格 不变价格 不变价格31259.7138655.35755823125.9227977.621299.041284.17253923.40954.141157.381299.14319976.821041.601286.111760.90320754.451082.62702.73949.48133317.39487.82280.23409.3282171.57269.671934.912490.785061554.362060.62762.98927.52161678.66791.19758.921337.90280711.301249.952924.613088.336512674.362772.223786.994343.386042120.772426.611926.012026.063311177.841198.71624.41824.27206503.22706.40715.75855.4394347.06368.72400.87521.3997258.23331.512696.453414.167151934.972440.83764.451865.20326756.891064.661420.621668.77327944.881137.72600.62791.62208442.52613.073573.183973.057512747.662933.97421.61515.06162322.58380.3742.3261.813544.0452.22大 型 企 业重 工 业总 产 值总 产 值430.41489.23130331.18362.90 831.061069.05292900.53966.66 268.15322.25100222.62266.85 339.87457.3789326.89574.18 4.298.43510.24599.48189410.04446.30 365.90560.8793270.10448.25 79.48130.872958.45104.36 107.68155.792862.1984.05 242.43454.2847180.94359.46企 业企 业单位数1990年 当年价格单位 数1990年 不变价格不变价格158508665.789574.7214167225782.9124494.11117.894000744.57482188.48200.104611727.50826300.19357.7364511100.14261117.75143.413531410.02219102.13143.651188136.63825270.36308.634918709.30404139.35166.322225242.58491159.36189.782753220.42779565.56555.1478901624.4017851238.821384.38155683815.371098997.41915.60120462605.25564233.09257.393117458.58259229.22247.7257531261.49349137.03165.003491266.511555806.80958.7791322612.89809275.69439.279315276.82609337.49365.7464631081.45495128.21160.703851371.9713581313.271235.19158715002.79416176.31206.552787279.768964.4082.8451639.52中 型 企 业小 型 企 业总 产 值总 产 值204104.59116.331666273.09 578283.24336.174110521.20 13047.6551.671818160.97 287118.35151.302140211.40 60.40 1.38336 6.4328083.11109.602216318.78 16347.1658.951385135.46 5210.9613.3649223.86 6326.1339.1142941.85 17069.1695.041603101.91产 值当年价格30184.80744.45820.991278.75475.49161.31778.61267.96300.001864.074242.042588.12516.971421.08323.282998.791532.371229.60513.665569.40341.7552.54287.56 615.54 189.39 291.81 11.45370.68 154.36 30.46 60.04 152.28。
规模以上工业企业名单
一、盐行业(3户)
内蒙古兰太实业公司
阿左旗查汉池盐业有限责任公司
阿左旗和彤池盐业有限责任公司
二、煤炭行业(20户)
内蒙古太西煤集团公司庆华集团百灵煤炭公司
庆华集团阿拉木斯有限公司福泉煤炭有限公司
天荣煤炭有限责任公司查哈尔(诚信)煤炭公司宁发煤炭有限责任公司德发通煤炭有限责任公司永丰煤炭有限责任公司中凯煤炭有限责任公司
新鑫煤炭公司青铜峡新井煤炭公司
晨宏力集团宏力公司泰升煤炭公司
天众红焦化有限公司永泰活性炭公司
黎明煤炭有限责任公司太西焦化公司
庆华集团百灵洗煤公司庆华集团煤化有限责任公司三、化工行业(12户)
西北染料有限公司内蒙古远兴天然碱公司
富达盐化有限公司腾格里化工有限责任公司
旻顺化工有限责任公司春明公司
满达化工有限责任公司达康精细化工有限责任公司大龙化工有限公司众川化工有限责任公司
凯达化工有限责任公司恒盛化工有限责任公司四、有色金属行业(13户)
华钢太稀土金属公司珠拉黄金开发公司
阿盟瑞钢联公司阿盟瑞镁联公司
华亿铁合金公司金钢联公司
利源铁合金公司博宇公司
漠鑫矿产资源公司万泉矿业有限公司
华祥冶炼有限公司银旗矿山冶炼公司
春敏资源综合公司
五、建材行业(6户)
宝太实业公司松塔水泥公司
金帅草原水泥公司百建水泥有限责任公司
劲豪水泥熟料公司兴邦水泥公司
六、饮料制造行业(2户)
驼乡酒业公司路路旺酒业公司
七、金属制品行业(1户)
阿左旗水泵厂
八、电力及水生产供应业(3户)
阿盟电力实业公司阿左旗城市给排水公司阿盟万龙热力公司
九、其它行业(2户)
阿左旗北方和平化工有限公司嘉利绒毛有限责任公司。
1大庆市艾路交通设施有限公司2E+05###萨区2大庆市美食乐食品有限责任公司2E+05###萨区3大庆创维化工有限责任公司2E+05###萨区4大庆日报社印刷厂2E+05###萨区5大庆油田华谊实业公司2E+05###萨区6大庆油田利达实业公司2E+05###萨区7大庆市龙兴石油机械有限公司2E+05###萨区8大庆市萨尔图区实业混凝土构件厂2E+05###萨区9大庆市萨尔图区勇峰化学添加剂厂2E+05###萨区10大庆市热力公司2E+05###萨区11大庆鲁冀防腐保温钢管制造有限公司2E+05###萨区12大庆古鼎直线电机制造有限公司2E+05###萨区13大庆旺佳新型建材有限公司2E+05###萨区14黑龙江油城混凝土有限公司2E+05###萨区15大庆昌鼎商品混凝土有限责任公司2E+05###萨区16大庆鑫达华科技有限公司2E+05###萨区17大庆市昌鼎盛金属制造有限责任公司2E+05###萨区18大庆中田胜龙门窗制造有限公司2E+05###萨区19大庆市三环钻井工程有限公司2E+05###萨区20大庆慧龙石油机械有限公司2E+05###萨区21大庆星辰热力有限公司2E+05###萨区22大庆市天和顺混凝土制造有限公司2E+05###萨区23大庆北岛食品有限公司2E+05###萨区24大庆建海隆石油设备制造有限公司2E+05###萨区25大庆维朗保温材料制造有限公司2E+05###萨区26大庆市兴荣物业管理集团有限公司2E+05###萨区27大庆金锣肉制品有限公司2E+05###萨区28临沂山松生物制品有限公司大庆分公司2E+05###萨区29黑龙江省万意达石油工程有限公司2E+05###萨区30大庆弘久亿机械设备制造有限责任公司2E+05###萨区31大庆金盛伟业防水材料制造有限责任公司2E+05###萨区32大庆晟凯塑料制品有限公司2E+05###萨区33大庆市红宝石冰淇淋有限公司2E+05###龙凤34大庆石油化工机械厂2E+05###龙凤35大庆龙化新实业总公司2E+05###龙凤36大庆庆润润滑油有限责任公司2E+05###龙凤37大庆市金增制桶有限公司2E+05###龙凤38大庆市华禹石油机械制造有限公司2E+05###龙凤大庆市市规模以下工业企业名单萨区 32家龙凤区 41家单位代码企业名称区域行业39大庆市东城热力有限公司2E+05###龙凤40大庆市龙凤区龙新热力有限公司2E+05###龙凤41大庆交联电缆有限公司2E+05###龙凤42大庆禹泰保温材料有限公司2E+05###龙凤43大庆云辉石油科技开发有限公司2E+05###龙凤44大庆市鸿固建筑材料有限公司2E+05###龙凤45大庆市金麦隆食品有限公司2E+05###龙凤46大庆鑫鑫龙鑫建材有限公司2E+05###龙凤47大庆市凤龙混凝土有限公司2E+05###龙凤48大庆市百信源商品混凝土有限公司2E+05###龙凤49大庆市学伟混凝土制造有限公司2E+05###龙凤50大庆正沅混凝土制造有限公司2E+05###龙凤51大庆泓洋机械设备有限公司2E+05###龙凤52大庆市森洁环卫设备有限公司2E+05###龙凤53大庆达华灌溉设备有限公司2E+05###龙凤54大庆市丰收包装制品有限公司2E+05###龙凤55大庆金峰润滑油脂有限责任公司2E+05###龙凤56大庆市国美建筑装饰有限公司2E+05###龙凤57大庆市三丰科技有限公司2E+05###龙凤58大庆市龙凤区银河化工厂2E+05###龙凤59大庆市万德福食品有限公司2E+05###龙凤60大庆市庆炼石化有限公司2E+05###龙凤61大庆盛泰洁净煤燃料有限公司2E+05###龙凤62大庆市赞峰工艺包装有限公司2E+05###龙凤63大庆同益润滑油有限公司2E+05###龙凤64中泰科技有限公司2E+05###龙凤65大庆市群柏昂办公家具制造有限公司2E+05###龙凤66大庆华夏绿垣建材科技开发有限公司2E+05###龙凤67大庆三林管业有限公司2E+05###龙凤68庆丰集团大庆谷丰复混肥有限公司2E+05###龙凤69大庆市首创钢管制造有限公司2E+05###龙凤70大庆市昌盛达建材有限公司2E+05###龙凤71大庆市亿丰复合肥生产有限公司2E+05###龙凤72大庆市宇通润滑油有限公司2E+05###龙凤73大庆中海改性沥青科技有限公司2E+05###龙凤让区 67家74大庆市让胡路区建民预制厂2E+05###让区75大庆市福收玻璃钢厂2E+05###让区76大庆志环微电子技术有限公司2E+05###让区77大庆市让胡路区直属机关劳动服务公司2E+05###让区78大庆油田井田实业公司2E+05###让区79大庆华玺实验室设备有限公司2E+05###让区80大庆汽车改装厂2E+05###让区81大庆市万通化工厂2E+05###让区82大庆油田庆升实业公司2E+05###让区83大庆市让胡路区飞马机械加工厂2E+05###让区84大庆中方天际建材有限公司2E+05###让区85大庆市德维商品混凝土有限公司2E+05###让区86大庆方源混凝土制造有限公司2E+05###让区87大庆海华铁建商品混凝土制造有限公司2E+05###让区88大庆市千秋同源商品混凝土有限公司2E+05###让区89大庆市中庆众发特钢有限公司2E+05###让区90大庆达源新型建筑材料(集团)有限公司2E+05###让区91大庆澳龙石油化工有限公司2E+05###让区92大庆东华油气开发股份有限公司2E+05###让区93大庆恒源利通石油机械设备制造有限公司2E+05###让区94大庆西城热力有限公司2E+05###让区95中石油昆仑燃气有限公司黑龙江分公司2E+05###让区96大庆北海银河电气设备有限公司2E+05###让区97大庆华阳家具制造有限公司2E+05###让区98大庆市盛兴化工建材有限公司2E+05###让区99大庆市让胡路区东华水泥厂2E+05###让区100大庆市让胡路区好运来有限公司2E+05###让区101黑龙江惠尔康庆新乳业有限公司2E+05###让区102大庆油田开普化工有限公司2E+05###让区103大庆油田庆海塑料制品有限公司2E+05###让区104大庆市让胡路区天晟建筑材料厂2E+05###让区105大庆市让胡路区福利线路金具厂2E+05###让区106大庆市让胡路区朝庆特种水泥厂2E+05###让区107大庆市北星电器制造有限公司2E+05###让区108大庆市龙窖白酒酿造有限公司2E+05###让区109大庆市让胡路区天佑污油处理有限公司2E+05###让区110大庆油田庆新工程材料有限公司2E+05###让区111大庆耕美塑料有限公司2E+05###让区112大庆东方塑胶工业有限公司2E+05###让区113大庆市海兴石油科技发展有限公司2E+05###让区114大庆市新中瑞环保有限公司2E+05###让区115大庆赛恩思电子仪器设备有限公司2E+05###让区116大庆再创科技有限公司2E+05###让区117大庆博泰消防设备有限公司2E+05###让区118大庆市让胡路区中庆特钢有限责任公司2E+05###让区119大庆市建瑞建筑材料有限公司2E+05###让区120大庆油田新世纪防腐管道厂2E+05###让区121大庆市佳明养殖有限责任公司2E+05###让区122大庆万赛化工科技有限公司2E+05###让区123大庆同方电控设备有限公司2E+05###让区124大庆市乾晟机械制造有限公司2E+05###让区125大庆石油新科庆联防腐有限公司2E+05###让区126大庆中鼎电器有限公司2E+05###让区127大庆松麾管道设备有限公司2E+05###让区128大庆雪洁塑料制品厂2E+05###让区129大庆华洋数码彩印有限公司2E+05###让区130大庆奥翔钻井泥浆有限公司2E+05###让区131大庆市金特竹钢木办公家具制造有限公司2E+05###让区132大庆摩恩达工程有限公司2E+05###让区133大庆中蓝化建有限公司2E+05###让区134大庆万事达石油科技有限公司2E+05###让区135大庆乾方油田设备制造有限公司2E+05###让区136大庆阳光热力有限公司2E+05###让区137大庆文迪石油设备有限公司2E+05###让区138大庆玉塑门窗制造有限公司2E+05###让区139大庆华谊电气工程自动化有限公司2E+05###让区140大庆市让胡路区龙庆仪表厂2E+05###让区红岗 52家141大庆油田萨南实业公司2E+05###红岗142大庆油田九龙实业公司2E+05###红岗143大庆新世纪精细化工有限公司2E+05###红岗144大庆市祥泰和塑料包装制品有限公司2E+05###红岗145大庆百恒玻璃制品有限公司2E+05###红岗146大庆市绿叶乳品有限公司2E+05###红岗147大庆中田石油机械设备制造有限公司2E+05###红岗148大庆蒙西水泥有限公司2E+05###红岗149大庆市金拓石油机械制造有限公司2E+05###红岗150大庆市红岗区龙腾金属管业制造有限责任公司2E+05###红岗151大庆市鑫运通玻璃制品有限公司2E+05###红岗152大庆市新达塑钢制品有限公司2E+05###红岗153大庆市得尔塑胶有限公司2E+05###红岗154大庆市富荣玻璃容器有限公司2E+05###红岗155大庆市红岗区恒昌化工有限责任公司2E+05###红岗156大庆市双兔食品有限公司2E+05###红岗157大庆市海岳建筑材料有限责任公司2E+05###红岗158大庆市超力机械制造有限公司2E+05###红岗159大庆市华信达塑料包装制品有限公司2E+05###红岗160大庆西姆莱斯石油专用管制造有限公司2E+05###红岗161大庆华力机械制造有限公司2E+05###红岗162大庆市宝泽管件制造有限公司2E+05###红岗163大庆油田创业金属防腐有限公司2E+05###红岗164大庆环通商品混凝土有限公司2E+05###红岗165大庆市康港食品有限公司2E+05###红岗166大庆市红岗区拓朴化学制品有限公司2E+05###红岗167大庆市井升钢结构建筑安装有限公司2E+05###红岗168大庆九环石油机械制造有限公司2E+05###红岗169大庆中油庆瑞石油科技有限公司2E+05###红岗170大庆声瑞塑料制品有限公司2E+05###红岗171大庆油田龙丰实业公司2E+05###红岗172大庆市云东机械制造有限责任公司2E+05###红岗173大庆林克机械制造有限公司2E+05###红岗174大庆五塑塑料制品有限公司2E+05###红岗175大庆市化芙纸业有限公司2E+05###红岗176大庆圣兴石油机械有限责任公司2E+05###红岗177大庆市顺达石油设备制造有限公司2E+05###红岗178大庆市祥煜食品有限公司2E+05###红岗179大庆宏业电子机械科技开发有限公司2E+05###红岗180哈药集团三精大庆玻璃工业园有限公司2E+05###红岗181大庆市新运塑料包装有限责任公司2E+05###红岗182大庆市红岗区广泰机电科技有限公司2E+05###红岗183大庆市联勤装备制造工程有限责任公司2E+05###红岗184大庆中科达油田助剂有限公司2E+05###红岗185大庆市红岗区阳堃建筑材料有限公司2E+05###红岗186大庆市红岗区萨南管件制造有限公司2E+05###红岗187大庆市图强劳保用品有限公司2E+05###红岗188大庆东方化工有限公司2E+05###红岗189大庆市亚东无纺布有限责任公司2E+05###红岗190大庆宏富来电气设备制造有限公司2E+05###红岗191大庆市弘扬太阳能科技开发有限公司2E+05###红岗192大庆市红岗区杏五井下作业有限公司2E+05###红岗大同区 16家193大庆油田南垣实业公司2E+05###大同194大庆联谊石化股份有限公司助剂厂2E+05###大同195大庆绿源风力发电有限公司2E+05###大同196大庆庆然天然气有限公司2E+05###大同197大庆高新区黑帝庙稠油试采技术开发有限公司2E+05###大同198大庆龙根肥业有限公司2E+05###大同199大庆九洲玉米加工有限公司2E+05###大同200大庆绿永丰肥业有限公司2E+05###大同201大庆太阳升石化产品科技有限公司2E+05###大同202大庆市新华水泥有限责任公司2E+05###大同203大庆家良食品有限公司2E+05###大同204大庆油田康泰实业公司2E+05###大同205大庆宏桥纸业有限责任公司2E+05###大同206大庆市同源水泥有限责任公司2E+05###大同207大庆博润生物科技有限公司2E+05###大同208大庆市大同区葡东纸业有限责任公司2E+05###大同高新区 106家209大庆高新技术产业开发区景宏钻采技术开发有2E+05###高新区210大庆开发区东油新技术有限公司2E+05###高新区211大庆油田自动化仪表有限公司2E+05###高新区212大庆开发区竹田复合材料有限公司2E+05###高新区213大庆高新技术产业开发区南天实业有限公司2E+05###高新区214大庆市亚东建筑防水有限责任公司2E+05###高新区215大庆乳品厂有限责任公司2E+05###高新区216大庆三维科技有限责任公司2E+05###高新区217大庆金星燃气股份有限公司2E+05###高新区218大庆得大有限责任公司2E+05###高新区219大庆龙唐供热有限公司2E+05###高新区220格兰农业设备(大庆)有限公司2E+05###高新区221大庆盛唐奥维型材有限公司2E+05###高新区222大庆亿鑫源化工有限公司2E+05###高新区223大庆油田昆仑集团有限公司管业分公司2E+05###高新区224大庆锡达石油化工有限公司2E+05###高新区225大庆油田力神泵业有限公司2E+05###高新区226大庆油田飞马有限公司2E+05###高新区227大庆石油学院开发区科技开发中心2E+05###高新区228黑龙江凯旋管桩有限公司2E+05###高新区229大庆市巨和塑料制品有限公司2E+05###高新区230大庆惠博普石油机械设备制造有限公司2E+05###高新区231黑龙江省爱普照明电器有限公司2E+05###高新区232大庆米旗食品有限公司2E+05###高新区233大庆安泰管桩有限公司2E+05###高新区234大庆凯明风电塔筒制造有限公司2E+05###高新区235大庆同创信息产业股份有限公司2E+05###高新区236大庆华科股份有限公司2E+05###高新区237大庆天鸿科技有限责任公司2E+05###高新区238大庆开发区庆鲁精细化工有限公司2E+05###高新区239大庆油田昆仑集团电缆有限公司2E+05###高新区240大庆振富供热有限公司2E+05###高新区241大庆油田水泥有限责任公司2E+05###高新区242大庆开发区和义有限公司2E+05###高新区243大庆振富科技信息股份有限公司2E+05###高新区244大庆东达节能技术开发服务有限公司2E+05###高新区245大庆通用电器设备有限公司2E+05###高新区246大庆市日上仪器制造有限公司2E+05###高新区247大庆开发区三惠化工有限公司2E+05###高新区248大庆市富杰化工有限公司2E+05###高新区249大庆富士化工有限公司2E+05###高新区250黑龙江天翼药业有限公司2E+05###高新区251中国石油天然气股份有限公司大庆润滑油一厂2E+05###高新区252中国石油天然气股份有限公司大庆润滑油二厂2E+05###高新区253哈尔滨啤酒(大庆晓雪)有限公司2E+05###高新区254大庆精诚化工有限责任公司2E+05###高新区255大庆高新技术产业开发区林强油剂制品有限公2E+05###高新区256大庆华泰技术开发有限公司2E+05###高新区257大庆市久隆精细化工有限公司2E+05###高新区258大庆油田创业集团2E+05###高新区259大庆油田井泰石油工程技术有限公司2E+05###高新区260大庆雪龙石化技术开发有限公司2E+05###高新区261大庆永磁电机制造有限公司2E+05###高新区262大庆晟凯毛纺有限公司2E+05###高新区263黑龙江同禹傲思铝业股份有限公司2E+05###高新区264大庆大丰油田科技有限公司2E+05###高新区265大庆市星宇复合材料有限公司2E+05###高新区266大庆高新区百世环保科技开发有限公司2E+05###高新区267大庆高新区华纳新技术开发有限公司2E+05###高新区268大庆汉维长垣高压玻璃钢管道有限公司2E+05###高新区269大庆佳昌科技有限公司2E+05###高新区270大庆海力石油化工有限公司2E+05###高新区271黑龙江省瓦茨环保机电设备有限责任公司2E+05###高新区272大庆同拓瑞尔防腐科技有限公司2E+05###高新区273大庆天鸿电热器材有限公司2E+05###高新区274大庆高新区华美科技有限公司2E+05###高新区275大庆市天能波纹管制造有限公司2E+05###高新区276大庆高新区北油创业科技有限公司2E+05###高新区277大庆高新区飞驰减震器制造有限公司2E+05###高新区278大庆路通科技有限公司2E+05###高新区279大庆志飞生物化工有限公司2E+05###高新区280大庆高新区华龙祥化工有限公司2E+05###高新区281大庆高新区隆迪石化科技有限公司2E+05###高新区282大庆宏大电器有限公司2E+05###高新区283大庆沃太斯化工有限公司2E+05###高新区284大庆格瑞油田科技有限公司2E+05###高新区285大庆日月星有限公司2E+05###高新区286大庆隆赫达食品有限公司2E+05###高新区287大庆油田化工有限公司2E+05###高新区288大庆航天三沃新技术产业有限责任公司2E+05###高新区289大庆高新区元吉化工有限公司2E+05###高新区290大庆禾丰八一农大动物科技有限公司2E+05###高新区291大庆铭威电气机械制造有限公司2E+05###高新区292黑龙江康麦斯药业有限公司2E+05###高新区293大庆凤颐化工科技有限公司2E+05###高新区294大庆井泰机械制造有限公司2E+05###高新区295大庆中英化工有限公司2E+05###高新区296大庆高新区引航石油化工有限公司2E+05###高新区297大庆高新热力有限公司2E+05###高新区298大庆高新给排水有限公司2E+05###高新区299大庆联合科技有限公司2E+05###高新区300大庆科美达采油成套设备有限公司2E+05###高新区301大庆英华管业有限公司2E+05###高新区302大庆北研石油设备制造有限公司2E+05###高新区303大庆执中机械制造有限公司2E+05###高新区304大庆中蓝石化有限公司2E+05###高新区305大庆市普罗石油科技有限公司2E+05###高新区306大庆浩拓化工有限公司2E+05###高新区307大庆市金轩服饰有限公司2E+05###高新区308大庆市北洲金属制品有限公司2E+05###高新区309大庆锦联石油化工有限公司2E+05###高新区310大庆华营化工有限公司2E+05###高新区311大庆巍天能源有限公司2E+05###高新区312大庆万科油田设备制造有限公司2E+05###高新区313大庆紫源石油科技开发有限公司2E+05###高新区314大庆鸿庆水泥有限公司2E+05###高新区肇州县 39家315肇州县电业局2E+05###肇州316肇州县建筑工程预制构件厂2E+05###肇州317肇州县动力工业有限责任公司2E+05###肇州318肇州县中大化工有限公司2E+05###肇州319大庆六和饲料有限公司2E+05###肇州320大庆隆兴汰玻璃容器制造有限公司2E+05###肇州321大庆丰收饲料有限公司2E+05###肇州322肇州县谷源香农产品有限公司2E+05###肇州323大庆太爱肽生物工程科技有限公司2E+05###肇州324大庆市鑫珑腾肉业有限公司2E+05###肇州325大庆市海钰金属制品有限公司2E+05###肇州326大庆市佳特饮品有限公司2E+05###肇州327肇州县德龙商品混凝土有限公司2E+05###肇州328大庆思美琪食品有限公司2E+05###肇州329大庆豪森建筑材料有限公司2E+05###肇州330大庆润鑫管业有限公司2E+05###肇州331肇州县方正新型建筑材料有限公司2E+05###肇州332大庆市黑土香粮油经贸有限公司2E+05###肇州333肇融亚麻纺织有限公司2E+05###肇州334黑龙江鸿大田原牧业有限公司2E+05###肇州335大庆柏盛生物科技有限公司2E+05###肇州336大庆万州食品有限公司2E+05###肇州337大庆爱思开燃气有限公司2E+05###肇州338大庆鑫融泰玻璃容器制造有限公司2E+05###肇州339大庆老街基农副产品有限公司2E+05###肇州340大庆市丰绅淀粉加工有限公司2E+05###肇州341大庆卫星隆泰牧业有限公司2E+05###肇州342肇州县摇篮乳业有限责任公司2E+05###肇州343中亚石油有限公司2E+05###肇州344肇州县禾鑫农产品经销有限公司2E+05###肇州345肇州县华鑫亚麻纺织有限公司2E+05###肇州346大庆市托古农产品有限公司2E+05###肇州347大庆市双兴畜禽产品加工有限公司2E+05###肇州348黑龙江凯丰纸业有限公司2E+05###肇州349哈尔滨太行兴隆水泥有限公司肇州分公司2E+05###肇州350大庆市宝鑫肉联有限公司2E+05###肇州351大庆圣源兴州生物工程有限公司2E+05###肇州352大庆兴和农牧发展有限公司2E+05###肇州353肇州县龙海鹤天畜产品有限公司2E+05###肇州肇源县 26家354肇源县电业局2E+05###肇源355大庆市松梅酒业有限责任公司2E+05###肇源356大庆市益华羊毛衫服饰有限公司2E+05###肇源357大庆市正源皮革有限公司2E+05###肇源358大庆马斯勒皮业有限公司2E+05###肇源359大庆市天宏皮毛制品加工有限公司2E+05###肇源360大庆展华生化科技有限公司2E+05###肇源361大庆市东山皮业有限公司2E+05###肇源362大庆辉华水泥粉磨有限公司2E+05###肇源363大庆市福兴制革有限公司2E+05###肇源364肇源县禾丰米业有限公司2E+05###肇源365黑龙江良运油脂有限责任公司2E+05###肇源366肇源县文国冷冻食品有限公司2E+05###肇源367黑龙江省天源食品有限公司2E+05###肇源368肇源县茂兴镇宏达细木板厂2E+05###肇源369大庆市肇源县北斗米业有限公司2E+05###肇源370肇源县恒瑞机械制造有限公司2E+05###肇源371大庆罗姆斯制衣有限公司2E+05###肇源372大庆市龙华制衣有限公司2E+05###肇源373黑龙江北国米业有限公司2E+05###肇源374肇源县雪源皮草加工有限公司2E+05###肇源375肇源县达丰糠醛有限公司2E+05###肇源376大庆市帅亿生物质技术有限公司2E+05###肇源377大庆市君威皮草有限公司2E+05###肇源378大庆鑫源机械制造有限公司2E+05###肇源379大庆市豫源皮业有限公司2E+05###肇源林甸县 10家380林甸县电业局2E+05###林甸381林甸县嫩江源米业有限责任公司2E+05###林甸382林甸县兴海肉业食品有限公司2E+05###林甸383大庆市龙兴塑料制品有限责任公司2E+05###林甸384林甸海达纸业有限责任公司2E+05###林甸385大庆市盛吉肉食品有限公司2E+05###林甸386林甸伊利乳业有限责任公司2E+05###林甸387大庆嵩天淀粉有限公司2E+05###林甸388大庆天圜日月星蛋白有限公司2E+05###林甸389大庆天泰生化开发有限公司2E+05###林甸杜蒙县 22家390大庆市华茂饲料有限公司2E+05###杜蒙391杜尔伯特县电业局2E+05###杜蒙392杜尔伯特县泰康老窖酒业有限公司2E+05###杜蒙393杜尔伯特县县直机关供热服务站2E+05###杜蒙394黑龙江伊利乳业有限责任公司2E+05###杜蒙395杜尔伯特隆舜精制米业有限公司2E+05###杜蒙396黑龙江省龙泰农业股份有限公司2E+05###杜蒙397杜尔伯特金山乳品有限责任公司2E+05###杜蒙398杜尔伯特伊利乳业有限责任公司2E+05###杜蒙399大庆市吉禾乳品有限公司2E+05###杜蒙400大庆市众兴石油机械制造有限公司2E+05###杜蒙401杜尔伯特伊利饲料有限责任公司2E+05###杜蒙402杜尔伯特县万川禽业加工有限公司2E+05###杜蒙403杜尔伯特县鑫亿粮油加工有限责任公司2E+05###杜蒙404杜尔伯特县海达纸业有限公司2E+05###杜蒙405大庆联塑科技发展有限公司2E+05###杜蒙406黑龙江合隆羽绒有限公司2E+05###杜蒙407杜尔伯特馋神食品有限公司2E+05###杜蒙408黑龙江鑫龙翔生物科技有限公司2E+05###杜蒙409大庆市牧源动物药业有限公司2E+05###杜蒙410永富容器(哈尔滨)有限公司杜尔伯特分公司2E+05###杜蒙411大庆龙江风电有限责任公司2E+05###杜蒙中直 5家412大庆石油管理局2E+05###中直413大庆油田有限责任公司2E+05710中直414中国石油天然气股份有限公司大庆石化分公司2E+05###中直415中国石油天燃气股份有限公司大庆炼化分公司2E+05###中直416华能新华发电有限责任公司2E+05###中直。
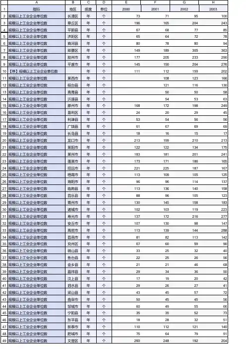
全 市 规 模 以 上 工 业 企 业 名 单
全 市 规 模 以 上 工 业 企 业 名 单
全 市 规 模 以 上 工 业 企 业 名 单
全 市 规 模 以 上 工 业 企 业 名 单
全 市 规 模 以 上 工 业 企 业 名 单
全 市 规 模 以 上 工 业 企 业 名 单
全 市 规 模 以 上 工 业 企 业 名 单
全 市 规 模 以 上 工 业 企 业 名 单
全 市 规 模 以 上 工 业 企 业 名 单
全 市 规 模 以 上 工 业 企 业 名 单
全 市 规 模 以 上 工 业 企 业 名 单
全 市 规 模 以 上 工 业 企 业 名 单
全 市 规 模 以 上 工 业 企 业 名 单
全 市 规 模 以 上 工 业 企 业 名 单
全 市 规 模 以 上 工 业 企 业 名 单
全 市 规 模 以 上 工 业 企 业 名 单
全 市 规 模 以 上 工 业 企 业 名 单
全 市 规 模 以 上 工 业 企 业 名 单
全 市 规 模 以 上 工 业 企 业 名 单
全 市 规 模 以 上 工 业 企 业 名 单
全 市 规 模 以 上 工 业 企 业 名 单
全 市 规 模 以 上 工 业 企 业 名 单
全 市 规 模 以 上 工 业 企 业 名 单
全 市 规 模 以 上 工 业 企 业 名 单
全 市 规 模 以 上 工 业 企 业 名 单
全 市 规 模 以 上 工 业 企 业 名 单。