8考研数学(二)真题及参考答案
- 格式:doc
- 大小:1.20 MB
- 文档页数:13
2015年全国硕士研究生入学统一考试数学二试题及答案解析一、选择题:1~8小题,每小题4分,共32分;下列每题给出的四个选项中,只有一个选项是符合题目要求的;1下列反常积分中收敛的是A ∫√x 2B ∫lnx x +∞2dxC ∫1xlnx +∞2dxD ∫x e x +∞2dx答案D;解析题干中给出4个反常积分,分别判断敛散性即可得到正确答案;∫√x2=2√x|2+∞=+∞; ∫lnx x +∞2dx =∫lnx +∞2d(lnx)=12(lnx)2|2+∞=+∞; ∫1xlnx +∞2dx =∫1lnx +∞2d(lnx)=ln?(lnx)|2+∞=+∞; ∫xe x +∞2dx =−∫x +∞2de −x =−xe −x |2+∞+∫e −x +∞2dx=2e −2−e −x |2+∞=3e −2, 因此D 是收敛的;综上所述,本题正确答案是D;考点高等数学—一元函数积分学—反常积分2函数f (x )=lim t→0(1+sin t x )x 2t在-∞,+∞内 A 连续 B 有可去间断点C 有跳跃间断点D 有无穷间断点答案B解析这是“1∞”型极限,直接有f (x )=lim t→0(1+sin t x )x 2t =e lim t→0x 2t (1+sin t x −1)=e x lim t→0sint t =e x (x ≠0),f (x )在x =0处无定义,且lim x→0f (x )=lim x→0e x =1,所以 x =0是f (x )的可去间断点,选B; 综上所述,本题正确答案是B;考点高等数学—函数、极限、连续—两个重要极限3设函数f (x )={x αcos 1x β,x >0,0,x ≤0α>0,β>0.若f ′(x )在x =0处连续,则 A α−β>1 B 0<α−β≤1C α−β>2D 0<α−β≤2答案A解析易求出f′(x )={αx α−1cos 1x β+βx α−β−1sin 1x β,x >0,0,x ≤0再有 f +′(0)=lim x→0+f (x )−f (0)x =lim x→0+x α−1cos 1x β={0, α>1,不存在,α≤1,f −′(0)=0 于是,f ′(0)存在α>1,此时f ′(0)=0.当α>1时,lim x→0x α−1cos 1x β=0,lim x→0βx α−β−1sin 1x β={0, α−β−1>0,不存在,α−β−1≤0, 因此,f′(x )在x =0连续α−β>1;选A综上所述,本题正确答案是C;考点高等数学—函数、极限、连续—函数连续的概念,函数的左极限和右极限4设函数f(x)在-∞,+∞内连续,其二阶导函数f ′′(x)的图形如右图所示,则曲线y =f(x)的拐点个数为A OB x A 0 B 1C 2D 3答案C解析f(x)在-∞,+∞内连续,除点x =0外处处二阶可导; y =f(x)的可疑拐点是f ′′(x )=0的点及f ′′(x)不存在的点;f ′′(x )的零点有两个,如上图所示,A 点两侧f ′′(x)恒正,对应的点不是y =f (x )拐点,B 点两侧f ′′(x )异号,对应的点就是y =f (x )的拐点;虽然f ′′(0)不存在,但点x =0两侧f ′′(x)异号,因而0,f(0) 是y =f (x )的拐点;综上所述,本题正确答案是C;考点高等数学—函数、极限、连续—函数单调性,曲线的凹凸性和拐点5设函数f(μ,ν)满足f (x +y,y x )=x 2−y 2,则f μ|μ=1ν=1与f ν|μ=1ν=1依次是 A 12,0 B 0,12C −12,0D 0,−12答案D解析先求出f (μ,ν)令{μ=x +y,ν=y x ,{x =μ1+ν,y =μν1+ν, 于是 f (μ,ν)=μ2(1+ν)2−μ2ν2(1+ν)2=μ2(1−ν)1+ν=μ2(21+ν−1) 因此f μ|μ=1ν=1=2μ(21+ν−1)|(1,1)=0 f ν|μ=1ν=1=−2μ2(1+ν)2|(1,1)=−12 综上所述,本题正确答案是D;考点高等数学-多元函数微分学-多元函数的偏导数和全微分6设D 是第一象限中由曲线2xy =1,4xy =1与直线y =x,y =√3x 围成的平面区域,函数f(x,y)在D 上连续,则∬f (x,y )dxdy =DA ∫dθπ3π4∫f(r cos θ,r sin θ)1sin 2θ12sin 2θrdr B ∫dθπ3π4∫cos θ,r sin θ)√sin 2θ1√2sin 2θrdr C ∫dθπ3π4∫f(r cos θ,r sin θ)1sin 2θ12sin 2θdr D ∫dθπ3π4∫cos θ,r sin θ)1√sin 2θ√2sin 2θdr答案 B 解析D 是第一象限中由曲线2xy =1,4xy =1与直线y =x,y =√3x 围成的平面区域,作极坐标变换,将∬f (x,y )dxdy D化为累次积分; D 的极坐标表示为π3≤θ≤π4√sin 2θ≤θ≤√2sin 2θ因此 ∬f (x,y )dxdy D =∫dθπ3π4∫cos θ,r sin θ)1√sin 2θ√2sin 2θrdr综上所述,本题正确答案是B;考点高等数学—多元函数积分学—二重积分在直角坐标系和极坐标系下的计算;7设矩阵A=[11112a 14a 2],b =[1d d 2];若集合Ω={1,2},则线性方程 Ax =b 有无穷多解的充分必要条件为A aΩ,dΩB aΩ,d ∈ΩC a ∈Ω,dΩD a ∈Ω,d ∈Ω答案D解析Ax =b 有无穷多解?r (A |b )=r (A )<3|A |是一个范德蒙德行列式,值为(a −1)(a −2),如果a?Ω,则|A |≠0,r (A )=3,此时Ax =b 有唯一解,排除A,B类似的,若d?Ω,则r (A |b )=3,排除C当a ∈Ω,d ∈Ω时,r (A |b )=r (A )=2,Ax =b 有无穷多解综上所述,本题正确答案是D;考点线性代数-线性方程组-范德蒙德行列式取值,矩阵的秩,线性方程组求解;8设二次型f(x 1,x 2,x 3)在正交变换x =Py 下的标准形为2y 12+y 22−y 32,其中P =(e 1,e 2,e 3),若Q =(e 1,−e 3,e 2)在正交变换x =Qy 下的标准形为A 2y 12−y 22+y 32B 2y 12+y 22−y 32C 2y 12−y 22−y 32D 2y 12+y 22+y 32答案A解析设二次型矩阵为A ,则P −1AP =P TAP =[20001000−1]可见e 1,e 2,e 3都是A 的特征向量,特征值依次为2,1,-1,于是-e 3也是A 的特征向量,特征值为-1,因此Q T AQ =Q −1AQ =[2000−10001]因此在正交变换x =Qy 下的标准二次型为2y 12−y 22+y 32综上所述,本题正确答案是A;考点线性代数-二次型-矩阵的秩和特征向量,正交变换化二次型为标准形;二、填空题:9~14小题,每小题4分,共24分;9设{x =acr tan t ,y =3t +t 3,则d 2y dx 2|t=1=解析由参数式求导法dy dx =y t ′x t ′=3+3t 211+t 2=3(1+t 2)2再由复合函数求导法则得d 2ydx 2=d dx [3(1+t 2)2]=d dt [3(1+t 2)2]dt dx =6(1+t 2)2t1x t ′ =12t(1+t 2)2, d 2y dx 2|t=1=48综上所述,本题正确答案是48;考点高等数学-一元函数微分学-复合函数求导10函数f (x )=x 22x 在x =0处的n 阶导数f (n )(0)=答案n (n −1)(ln2)n−2(n =1,2,3,)解析解法1 用求函数乘积的n 阶导数的莱布尼茨公式在此处键入公式。
考研数学二(线性代数)历年真题试卷汇编1(题后含答案及解析) 题型有:1. 选择题 2. 填空题 3. 解答题选择题下列每题给出的四个选项中,只有一个选项符合题目要求。
1.记行列式为f(x),则方程f(x)=0的根的个数为A.1B.2C.3D.4正确答案:B解析:计算该行列式可以有多种方法.例如,为了便于降阶,先把第1列的(一1)倍分别加到第2、3、4列,得故方程f(x)=0的根为x=0和x=1,于是知(B)正确.2.行列式A.(ad一bc)2B.一(ad 一bc)2C.a2d2一b2c2D.b2c2一a2d2正确答案:B解析:按第1列展开,得所求行列式D等于=一ad (ad 一bc)+bc(ad 一bc)=一(ad 一bc)2.3.设A是任一n(n≥3)阶方阵,A*是A的伴随矩阵,又k为常数,且k≠0,±1,则必有(kA)*=A.kA*B.kn一1A*C.k一1A*D.k一1A*正确答案:B解析:由于n阶行列式的每个元素的余子式都是一个n一1阶行列式,故|kA|的每个元素的代数余子式等于|A|的对应元素的代数余子式的kn一1倍,于是由伴随矩阵的定义知(kA)*的每个元素等于A*的对应元素的kn一1倍,即(kA)*=kn 一1A*.4.设A是3阶方阵,将A的第1列与第2列交换得B,再把B的第2列加到第3列得C,则满足AQ=C的可逆矩阵Q为A.B.C.D.正确答案:D解析:记交换单位矩阵的第1列与第2列所得初等矩阵为E(1,2),记将单位矩阵第2列的k倍加到第3列所得初等矩阵为E(3,2(k)),则由题设条件,有AE(1,2)=B,BE(3,2(1))=C,故有AE(1,2)E(3,2(1))=C于是得所求逆矩阵为Q=E(1,2)E(3,2(1))=所以只有选项(D)正确.5.设A为n(n≥2)阶可逆矩阵,交换A的第1行与第2行得矩阵B,A*,B*分别为A,B的伴随矩阵,则A.交换A*的第1列与第2列得B*.B.交换A*的第1行与第2行得B*.C.交换A*的第1列与第2列得一B*.D.交换A*的第1行与第2行得一B*.正确答案:C解析:用排除法,以2阶方阵为例,设由此可见,交换A*的第1列与第2列得一B*,而其它选项均不对,故只有(C)正确.记P为交换n阶单位矩阵的第1行与第2行所得初等方阵,则由题设条件有B=PA,且|B|=一|A|,P一1=P.由A可逆知B可逆,利用B一1=|B|一1B*,得B*=|B|一1=一|A|(PA)一1=一(|A|A 一1)一1=一A*P或A*P=一B*因为用P右乘矩阵A*,等价于交换A*的第1列与第2列,故知选项(C)正确.也可利用B*=(PA)*=A*P*,及P*=|P|P一1=一P,得B*=一A*P.6.设A为3阶矩阵,将A的第2行加到第1行得B,再将B的第1列的一1倍加到第2列得C,记P=则A.C=P一1AP,B.C=PAP一1C.C=PTAP.D.C=PAPT.正确答案:B解析:将单位矩阵E的第2行加到第1行即得初等矩阵P,由初等变换与初等矩阵的关系,有B=PA.令矩阵则将E的第1列的一1倍加到第2列即得矩阵Q,于是有C=BQ,从而有C=PAQ.由于P一1=所以,C=PAQ=PAP一1,只有选项(B)正确.7.设A为n阶非零矩阵,E为n阶单位矩阵,若A3=0,则A.E一A不可逆,E+A不可逆.B.E一A不可逆,E+A可逆.C.E一A可逆,E+A可逆.D.E一A可逆,E+A不可逆.正确答案:C解析:由于(E一A)(E+A+A2)=E一A3=E,(E+A)(E—A+A2)=E+A3=E,故由可逆矩阵的定义知:E一A和E+A均是可逆的.8.设A,B均为2阶矩阵,A*,B*分别为A,B的伴随矩阵,若|A|=2,|B|=3,则分块矩阵的伴随矩阵为A.B.C.D.正确答案:B解析:记矩阵并记|C|的(i,j)元素的代数余子式为Aij(i,j=1,2,3,4),则计算可得:A11=0,A21=0,A31=|A|h,A41=一A|f,A12=0,A22=0,A32=一|A| g,A42=|A|e,A13=|B|d,A23=一|B|b,A33=0,A43=0,A14=一|B|c,A24=|B|a,A34=0,A44=0.于是由伴随矩阵的定义(C*的(i,j)元为Aji),得因此选(B).9.设A,P均为3阶矩阵,PT为P的转置矩阵,且PTAP=A.B.C.D.正确答案:A解析:由于Q=[α1+α2,α2,α3]=[α1,α2,α3]所以故只有选项(A)正确.10.设A为3阶矩阵,将A的第2列加到第1列得矩阵B,再交换B的第2行与第3行得单位矩阵.记P1=,则A=A.P1P2.B.P1一1P2.C.P2P1.D.P2P1一1.正确答案:D解析:由题设条件有P2AP1=I,两端左乘P2一1,两端右乘P1一1,得A=P2一1P2一1,因P2一1= P2,而P1一1≠P1,故只有(D)正确.11.设区域D由曲线y=sinx,x=±,y=1围成,则(xy5一1)dxdy=A.π.B.2.C.一2.D.一π.正确答案:B解析:已知A(α1+α2,α2,α3)=(α1+α2,α2,α3)(Aα1+Aα2,A α2,α3)=(α1+α2,α2,2α3)Aα1=α1,Aα2=α2,Aα3=2α3A(α1+α2)=A α1+Aα2=α1+α2AQ=A(α1+α2,α2,α3)=(A(α1+α2),Aα2,Aα3)=(α1+α2,α2 ,2α3)=(α1+α2,α2,α3)两端左乘Q一1,得Q一1AQ=.由已知A相似于对角矩阵diag(1,1,2),知α1+α2,α2,α3是A的3个线性无关特征向量,且依次属于特征值1,1,2.α1+α2≠0(否则α1,α2线性相关,与α1+α2,α2,α3线性无关矛盾),且A(α1+α2)=Aα1+Aα2=α1+α2,因此α1+α2是A的属于特征值1的一个特征向量.从而知α1+α2,α2,α3是A的3个线性无关特征向量,且依次属于特征值1,1,2,因此利用矩阵相似对角化可写出(α1+α2,α2,α3)一1A(α1+α2,α2,α3)=diag(1,1,2),即Q一1AQ=diag(1,1,2).因此选(B).填空题12.设E为4阶单位矩阵,且B=(E+A)一1(E—A),则(E+B)一1=________.正确答案:解析:由题设等式得E+B=E+(E+A)一1(E 一A)用(E+A)左乘上式两端,得(E+A)(E+B)=E+A+E一A=2E13.设α为3维列向量,αT是α的转置,若ααT=,则αTα=________.正确答案:3.解析:于是有a2=1,b2=1,c2=1,从而得αTα= [a b c]=a2+b2+c2=1+1+1=3.14.设三阶方阵A、B满足A2B一A一B=E,其中E为三阶单位矩阵,A=,则|B|=________.正确答案:解析:由题设方程移项得A2B一B=A+E,(A2一E)B=A+E,(A+E)(A—E)B=A+E,注意A+E=可逆,用(A+E)一1左乘上式两端,得(A 一E)B=E两端取行列式,得|A一E||B|=115.设矩阵A=,矩阵B满足ABA*=2BA*+E,其中A*是A的伴随矩阵,E是单位矩阵,则|B|=________.正确答案:解析:由于A*A=|A| E,而|A|=3,所以A*A=3E.用矩阵A右乘题设方程两端,可得3AB=6B+A,或3(A 一2E)B=A,两端取行列式,得33|A一2E||B|=|A|,由于|A一2E|=故有27|B|=3,所以|B|=16.设α1,α2,α3均为3维列向量,记矩阵A =(α1,α2,α3),B=(α1+α2+α3,α1+2α2+4α3,α1+3α2+9α3).如果|A|=1,那么|B|=________.正确答案:2.解析:对行列式|B|依次作等值变形(用c1+ kcj表示第i列加上第j列的k倍)c2 一c1,c3 一c1,得|B|=|α1|+α2+α3,α2+3α3,2α2+8α3|再作等值变形c3一2c2,得|B| =| α1+α2+α3,α2+3α3,2α3|=2|α1+α2+α3,α2+3α3,α3|=2 |α1+α2,α2,α3|=2 |α1,α2,α3|=2 |A|=2.17.设矩阵A=E为2阶单位矩阵,矩阵B满足BA=B+2E,则|B|=________.正确答案:2.解析:由给定矩阵方程得BA 一B=2E B(A 一E)=2E两端取行列式,得|B ||A一E|=|2E因|A一E|==2,|2E|= 22|E|=4所以有 2 |B|=4,从而得|B|=2.18.设矩阵A=则A3的秩为________.正确答案:1.解析:利用矩阵乘法,容易计算得A3=由于A3中非零子式的最高阶数为1,故由矩阵的秩的定义,即知r(A3)=1.19.设A,B为3阶矩阵,且|A|=3,|B|=2,|A一1+B|=2,则|A+B一1|=________.正确答案:3.解析:由于A+B一1=(AB+E)B一1=A(B+A一1)B一1=A(A一1+B)B一1,两端取行列式,并利用|ABC|=|A||B||C|及|B一1|=|B|一1,得|A+B一1|=|A|.|A一1+B|.|B一1}=3×2×=3.20.设A为3阶矩阵,|A|=3,A*为A的伴随矩阵.若交换A的第1行与第2行得矩阵B,则|BA*|=________.正确答案:一27.解析:由于互换行列式的两行,则行列式仅变号,于是知|B|=一3.再利用|A*|=|A|n一1|A|2=9,得|BA*|=|B||A*|=一27.记交换3阶单位矩阵的第1行与第2行所得初等矩阵为E12,则B=E12A,由于AA*=|A|E=3E,得BA*=E12AA*=E12(3E)=3E12,注意|E12|=一1,所以|BA*|=|3E12|= 33|E|12=一27.21.设A=(aij)是3阶非零矩阵,|A|为A的行列式,Aij为aij的代数余子式,若aij+Aij=0(i,j=1,2,3),则|A|=________.正确答案:一1.解析:由A≠0,不妨设a11≠0,由已知的Aij=一aij(i,j=1,2,3),得及A=一(A*)T,其中A*为A的伴随矩阵,以下有两种方法:方法1:用AT右乘A=一(A*)T的两端,得AA*=一(A*)AT=一(AA*)T=一(|A|I)T,其中I为3阶单位矩阵,上式两端取行列式,得|A|2=(一1)3|A|3,或|A|2(1+|A|)=0,因|A|≠0,所以|A|=一1.方法2:从A=一(A*)T两端取行列式,并利用|A*|= |A|2,得|A|= (一1)3 |A*|=一|A|2,或|A| (1+|A|)=0,因|A|≠0,所以|A|=一1.22.设矩阵等价,则a=________.正确答案:2.解析:由知矩阵B的秩为2,由于矩阵与矩阵B相似,所以A的秩也为2,因此A的行列式为零,由得a=一1,或a=2.若a=一1,则A=的秩为1,不合题意;若a=2,则的秩为2,符合题意,因此a=2.23.已知向量组α1=(1,2,一1,1),α2=(2,0,t,0),α3=(0,一4,5,一2)的秩为2,则t=________.正确答案:3.解析:以α1,α2,α3为行作成矩阵A,并对A作初等变换:由此可知当且仅当f=3时,矩阵A的秩、也即向量组α1,α2,α3的秩等于2.由于α1,α3线性无关,故向量组α1,α2,α3的秩为2当且仅当α2可由α1,α3线性表出,即存在常数x1,x2,使得x1α1+x2α3=α2,亦即由此解得t=3.解答题解答应写出文字说明、证明过程或演算步骤。
2023年全国硕士研究生招生考试《数学二》真题及答案解析【完整版】一、选择题:1~10小题,每小题5分,共50分。
在每小题给出的四个选项中,只有一个选项是最符合题目要求的,请将所选项前的字母填在答题纸指定位置上。
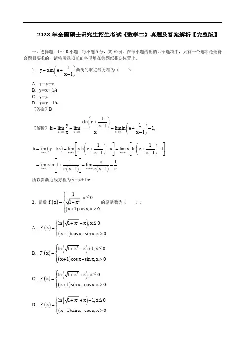
1.1ln 1y x e x ⎛⎫=+⎪-⎝⎭曲线的渐近线方程为( )。
A .y =x +e B .y =x +1/e C .y =xD .y =x -1/e 〖答案〗B〖解析〗1ln 11lim lim lim ln 1,1x x x x e y x k e x x x →∞→∞→∞⎛⎫+ ⎪-⎛⎫⎝⎭===+= ⎪-⎝⎭ ()()()11lim lim ln lim ln 11111lim ln 1lim 11x x x x x b y kx x e x x e x x x x e x e x e →∞→∞→∞→∞→∞⎡⎤⎡⎤⎛⎫⎛⎫=-=+-=+- ⎪ ⎪⎢⎥⎢⎥--⎝⎭⎝⎭⎣⎦⎣⎦⎡⎤=+==⎢⎥--⎣⎦所以斜渐近线方程为y =x +1/e .2.函数()()01cos ,0x f x x x x ≤=+>⎩的原函数为( )。
A .())()ln ,01cos sin ,0x x F x x x x x ⎧≤⎪=⎨⎪+->⎩B .())()ln 1,01cos sin ,0x x F x x x x x ⎧+≤⎪=⎨⎪+->⎩C .())()ln ,01sin cos ,0x x F x x x x x ⎧≤⎪=⎨⎪++>⎩D .())()ln 1,01sin cos ,0x x F x x x x x ⎧+≤⎪=⎨⎪++>⎩〖答案〗D〖解析〗当x ≤0时,()(1d ln f x x x C ==+⎰当x >0时,()()()()()2d 1cos d 1dsin 1sin sin d 1sin cos f x x x x xx x x x x x x x x C =+=+=+-=+++⎰⎰⎰⎰原函数在(-∞,+∞)内连续,则在x =0处(110lim ln x x C C -→++=,()220lim 1sin cos 1x x x x C C +→+++=+ 所以C 1=1+C 2,令C 2=C ,则C 1=1+C ,故())()ln 1,0d 1sin cos ,0x C x f x x x x x C x ⎧++≤⎪=⎨⎪+++>⎩⎰,综合选项,令C =0,则f (x )的一个原函数为())()ln 1,01sin cos ,0x x F x x x x x ⎧+≤⎪=⎨⎪++>⎩.3.设数列{x n },{y n }满足x 1=y 1=1/2,x n +1=sinx n ,y n +1=y n 2,当n →∞时( )。
2023年全国硕士研究生入学统一考试数学(二)试题及答案考试时间:180分钟,满分:150分一、选择题:1~10小题,每小题5分,共50分,下列每题给出的四个选项中,只有一个选项符合题目要求,请将所选项前的字母填在答题纸指定位置上.(1)曲线1ln()1yx e x =+−的斜渐近线方程为( ) (A)y x e =+ (B)1y x e=+(C)y x = (D)1y x e=−【答案】B 【解析】1limlimln()11x x y ke x x →∞→∞==+=−,11lim()lim()lim[ln(]lim [ln(ln ]11x x x x b y kx y x x e x x e e x x →∞→∞→∞→∞=−==−=+−=+−−−111lim ln(1lim (1)(1)x x x x e x e x e→∞→∞=+==−−,所以渐进线方程为1y x e =+,答案为B(2)设0()(1)cos ,0x f x x x x ≤=+>⎩的一个原函数为( )(A)),0()(1)cos sin ,0x x F x x x x x ⎧⎪−≤=⎨+−>⎪⎩(B))1,0()(1)cos sin ,0x x F x x x x x ⎧⎪−+≤=⎨+−>⎪⎩(C)),0()(1)sin cos ,0x x F x x x x x ⎧⎪+≤=⎨++>⎪⎩(D))1,0()(1)sin cos ,x x F x x x x x ⎧⎪++≤=⎨++>⎪⎩【答案】D【解析】根据原函数的连续性,可排除(A)(C);再根据原函数的可导性,可排除选项(B),答案为(D) (3)已知{}n x ,{}n y 满足1112x y ==,1sin n n x x +=,21(1,2,)n n y y n +== ,则当n →∞时( )(A)n x 是n y 的高阶无穷小(B)n y 是n x 的高阶无穷小(C)n x 与n y 是等价无穷小(D)n x 与n y 是同阶但不等价的无穷小【答案】B【解析】由已知可得,{}n x ,{}n y 均单调递减,且12n y ≤,又因为sin x x 在(0,2π上单调递减,故2sin 1x x π<<,所以2sin x x π>,所以21112sin sin 24n n n n nn n n n n ny y y y y y x x x x x ππ++==≤=,依次类推可得,111100()444n nn n n n y y y n x x x πππ++⎛⎫⎛⎫≤≤≤≤=→→∞ ⎪ ⎪⎝⎭⎝⎭,故n y 是n x 的高阶无穷小,答案为B (4)若微分方程0y ay by ′′′++=的解在(,)−∞+∞上有界,则( )(A)0,0a b <>(B)0,0a b >>(C)0,0ab =>(D)0,0ab =<【答案】C 【解析】0y ay by ′′′++=的解一共三种情形:①240a b Δ=−>,1212x xy C e C e λλ=+,但此时无论12,λλ取何值,y 在(,)−∞+∞上均无界;②240a b Δ=−=,12()xy C C x eλ=+,但此时无论λ取何值,y 在(,)−∞+∞上均无界;③240a b Δ=−<,12(cos sin )xy e C x C x αββ=+,此时若y 在(,)−∞+∞上有界,则需满足0α=,所以0,0a b =>,答案为(C)(5)设函数()y f x =由2sin x t ty t t⎧=+⎪⎨=⎪⎩确定,则( ) (A)()f x 连续,(0)f ′不存在(B)(0)f ′不存在,()f x ′在0x =处不连续(C)()f x ′连续,(0)f ′′不存在(D)(0)f ′′存在,()f x ′′在0x =处不连续【答案】C 【解析】当0t =时,有0x y ==①当0t>时,3sin x t y t t=⎧⎨=⎩,可得sin 33x xy =,故()f x 右连续;②当0t<时,sin x ty t t=⎧⎨=−⎩,可得sin y x x =−,故()f x 左连续,所以()f x 连续;因为0sin 033(0)lim 0x x x y x ++→−′==;0sin 0(0)lim 0x x x y x −−→−−′==,所以(0)0f ′=;③当0x >时,1sin sin cos 333393x x x x x y ′⎛⎫′==+ ⎪⎝⎭,所以0lim ()0x y x +→′=,即()f x ′右连续;④当0x <时,()sin sin cos y x x x x x ′′=−=−−,所以0lim ()0x y x −→′=,即()f x ′左连续,所以()f x ′连续;考虑01sin cos 23393(0)lim 9x x x xf x ++→+′′==;0sin cos (0)lim 2x x x x f x −−→−−′′==−,所以(0)f ′′不存在,答案为C(6)若函数121()(ln )f dx x x αα+∞+=⎰在0αα=处取得最小值,则0α=( ) (A)1ln(ln 2)−(B)ln(ln 2)− (C)1ln 2(D)ln 2【答案】A 【解析】当0α>时,121()(ln )f dx x x αα+∞+=⎰收敛, 此时21122111111()ln (ln )(ln )(ln )(ln 2)f dx d x x x x x ααααααα+∞+∞+∞++===−=⎰⎰,故211111ln ln 2()(ln 2)(ln 2)(ln 2)f ααααααα′⎡⎤−′==−⎢⎥⎣⎦,令()0f α′=,解得0α=1ln(ln 2)−(7)设函数2()()x f x x a e =+,若()f x 没有极值点,但曲线()y f x =有拐点,则a 的取值范围是( )(A)[0,1)(B)[1,)+∞(C)[1,2)(D)[2,)+∞【答案】C 【解析】2()()x f x x a e =+,2()(2)x f x x x a e ′=++,2()(42)x f x x x a e ′′=+++,因为()f x 没有极值点,所以440a −≤;又因为曲线()y f x =有拐点,所以164(2)0a −+>,联立求解得:[1,2)a ∈(8)设A ,B 为n 阶可逆矩阵,*M 为矩阵M 的伴随矩阵,则*A E OB ⎛⎫= ⎪⎝⎭( ) (A)****A B B A O B A ⎛⎫−⎪⎝⎭(B)****B A A B O A B ⎛⎫−⎪⎝⎭(C)****B A B A OA B ⎛⎫−⎪⎝⎭(D)****A B A B OB A ⎛⎫−⎪⎝⎭【答案】B【解析】*11111A E A E A E A AB A B O B O B O B O B −−−−−⎛⎫−⎛⎫⎛⎫== ⎪ ⎪ ⎪⎝⎭⎝⎭⎝⎭111***1*A B A A B A B B A A B O A B B OA B −−−−⎛⎫⎛⎫−−== ⎪ ⎪⎝⎭⎝⎭,答案为B (9)二次型222123121323(,,)()()4()f x x x x x x x x x =+++−−的规范形为( )(A)2212y y +(B)2212y y −(C)2221234y y y +−(D)222123y y y +−【答案】B 【解析】222123121323(,,)()()4()f x x x x x x x x x =+++−−222123121323233228x x x x x x x x x =−−+++二次型矩阵为211134143A ⎛⎫⎪=− ⎪ ⎪−⎝⎭,211134(7)(3)143E A λλλλλλλ−−−−=−+−=+−−−+ 故答案为B(10)已知向量1123α⎛⎫ ⎪= ⎪ ⎪⎝⎭,2211α⎛⎫ ⎪= ⎪ ⎪⎝⎭,1259β⎛⎫ ⎪= ⎪ ⎪⎝⎭,2101β⎛⎫ ⎪= ⎪⎪⎝⎭,若γ既可由12,αα线性表示,也可由12,ββ线性表示,则γ=( )(A)33,4k k R ⎛⎫⎪∈ ⎪ ⎪⎝⎭ (B)35,10k k R ⎛⎫ ⎪∈ ⎪ ⎪⎝⎭ (C)11,2k k R −⎛⎫ ⎪∈ ⎪ ⎪⎝⎭(D)15,8k k R ⎛⎫⎪∈ ⎪ ⎪⎝⎭【答案】D 【解析】令γ11221122k k l l ααββ=+=+,则有112211220k k l l ααββ+−−=,即12121212(,)0k k l l ααββ⎛⎫ ⎪ ⎪−−= ⎪ ⎪⎝⎭而121212211003(,)2150010131910011ααββ−−⎛⎫⎛⎫ ⎪ ⎪−−=−→− ⎪ ⎪⎪ ⎪−−⎝⎭⎝⎭所以1212(,,,)(3,1,1,1),TT k k l l c c R =−−∈,所以12(1,5,8)(1,5,8),T T c c c k k R γββ=−+=−=∈,答案为D二、填空题:11~16小题,每小题5分,共30分,请将答案写在答题纸指定位置上. (11)当0x →时,函数2()ln(1)f x ax bx x =+++与2()cos x g x e x =−是等价无穷小,则ab =________【答案】2−【解析】由已知可得:2222200022221(())()ln(1)2lim lim lim 1()cos (1())(1())2x x x x ax bx x x o x f x ax bx x g x e x x o x x o x →→→++−++++==−++−−+220221(1)(()2lim 13()2x a x b x o x x o x →++−+==+所以1310,22a b +=−=,即1,2a b =−=,所以2ab =−(12)曲线y =⎰的弧长为________43π【解析】由题意可得函数定义域为[x ∈,根据公式可得:2302sin 24cos L x t tdtπ====⎰304(1cos 2)t dt π=+=⎰43π+(13)设函数(,)z z x y =由2ze xz x y +=−确定,则2(1,1)2zx∂=∂_________【答案】32−【解析】代入(1,1)点可得,0z =,先代入1y =,可得21z e xz x +=−,两边对x 求导,2z e z z xz ′′++=,得(1)1z ′=两边再对x 求导,20z ze z e z z z xz ′′′′′′′++++=,代入(1,1)及0z =,(1)1z ′=得2(1,1)232zx∂=−∂(14)曲线35332x y y =+在1x =对应点处的法线斜率为________【答案】119−【解析】代入1x =得到1y =,两边对x 求导,242956x y y y y ′′=+,代入1x =,1y =可得:911y ′=,故1x =对应点处的法线斜率为1119y −=−′(15)设连续函数()f x 满足:(2)()f x f x x +−=,2()0f x dx =⎰,则31()f x dx =⎰_______【答案】12【解析】323211121()()()()(2)f x dx f x dx f x dx f x dx f x dx=+=++⎰⎰⎰⎰⎰[]2121111()()()022f x dx f x x dx f x dx xdx =++=+=+=⎰⎰⎰⎰(16)已知线性方程组13123123121202ax x x ax x x x ax ax bx +=⎧⎪++=⎪⎨++=⎪⎪+=⎩有解,其中,a b 为常数,若0111412a a a =,则11120a a ab =_______【答案】8【解析】由题意可得:方程组系数矩阵秩为3,可得增广矩阵的秩也为3,即011110012002a a a ab =按照第四列进行行列式展开可得:144411011(1)122(1)11012a a a a a b a ++⋅−+⋅−⋅=所以111280a a ab =三、解答题:17~22小题,共70分.请将解答写在答题纸指定的位置上.解答应写出文字说明、证明过程或演算步骤.(17)(本题满分10分)设曲线:()()L y y x x e =>经过点2(,0)e ,L 上任一点(,)P x y 到y 轴的距离等于该点处的切线在y 轴上的截距(1)求()y x ;(2)在L 上求一点,使得该点处的切线与两坐标轴所围三角形的面积最小,并求此最小面积【答案】(1)()(2ln )y x x x =− (2)33221(,)2e e ,最小面积是3e 【解析】(1)曲线L 上任一点(,)P x y 处的切线方程为()Y y y X x ′−=−,令0X =,则y 轴上的截距为Y y xy ′=−,则有x y xy ′=−,即11y y x′−=−,解得(ln )y x C x =−,其中C 为任意常数,代入2(,0)e 可得2C =,故()(2ln )y x x x =−(2)该点设为000(,(2ln ))x x x −,切线方程为0000(2ln )(1ln )()Y x x x X x −−=−− 令0X =,解得0Y x =;令0Y =,解得00ln 1x X x =−;所以该点处的切线与两坐标轴所围三角形的面积为:200011()22ln 1x S x XY x ==−求导00020(2ln 3)()2(ln 1)x x S x x −′=−,令0()0S x ′=,解得320x e =且为最小值点,最小面积为332()S e e =(18)(本题满分12分) 求函数2cos (,)2yx f x y xe=+的极值【答案】极小值为21(,2)2f e k e π−=−(k Z ∈) 【解析】先求驻点cos cos 0(sin )0y xy y f e x f xe y ⎧′=+=⎪⎨′=−=⎪⎩,解得驻点为1(,(21))e k π−−+和(,2)e k π−,其中k Z∈下求二阶偏导数,cos cos 2cos 1(sin )sin cos xx yxy y y yy f f e y f xe y xe y ⎧′′=⎪⎪′′=−⎨⎪′′=−⎪⎩代入1(,(21))e k π−−+(k Z ∈),解得210xxxy yy A f B f C f e −⎧′′==⎪⎪′′==⎨⎪′′==−⎪⎩,20AC B −<,故1(,(21))e k π−−+不是极值点; 代入(,2)e k π−(k Z ∈),解得210xxxy yy A f B f C f e ⎧′′==⎪⎪′′==⎨⎪′′==⎪⎩,20AC B −>且0A >,故(,2)e k π−是极小值点,其极小值为21(,2)2f e k e π−=−(k Z ∈) (19)(本题满分12分)已知平面区域{(,)01}D x y y x =≤≤≥(1)求D 的面积(2)求D 绕x 轴旋转所成旋转体的体积【答案】(1)ln(1S = (2)24V ππ=−【解析】(1)222214441tan sec csc ln csc cot tan sec D S x t tdt tdt t tt t ππππππ+∞====−⎰⎰⎰ln(1=+;(2)22222111111(1)1x V dx dx dx x x x x πππ+∞+∞+∞⎛⎫===− ⎪++⎝⎭⎰⎰⎰11arctan x x π+∞⎛⎫=−− ⎪⎝⎭24ππ=−(20)(本题满分12分)设平面有界区域D 位于第一象限,由曲线221x y xy +−=,222x y xy +−=与直线y =,0y =围成,计算2213Ddxdy x y +⎰⎰【解析】本题采用极坐标计算,322013Ddxdy d x y πθ=+⎰⎰⎰333222222000111ln 3cos sin 3cos sin 3cos sin d r d d πππθθθθθθθθθ===+++⎰⎰332220011111ln 2ln 2tan ln 22(3tan )cos 23tan 2d d ππθθθθθ=⋅=⋅==++⎰⎰(21)(本题满分12分) 设函数()f x 在[,]a a −上具有2阶连续导数,证明: (1)若(0)0f =,则存在(,)a a ξ∈−,使得21()[()()]f f a f a aξ′′=+−(2)若()f x 在(,)a a −内取得极值,则存在(,)a a η∈−,使得21()()()2f f a f a aη′′≥−−【答案】(1)利用泰勒公式在0x =处展开,再利用介值性定理; (2)利用泰勒公式在极值点处展开,再利用基本不等式进行放缩;【解析】(1)在0x =处泰勒展开,22()()()(0)(0)(0)2!2!f c f c f x f f x x f x x ′′′′′′=++=+, 其中c 介于0与x 之间;代入两个端点有:211()()(0),(0,)2!f f a f a a a ξξ′′′=+∈222()()(0)(),(,0)2!f f a f a a a ξξ′′′−=−+∈−两式相加可得:212()()()()2f f f a f a a ξξ′′′′++−=即122()()1[()()]2f f f a f a a ξξ′′′′++−=因为()f x 在[,]a a −上具有2阶连续导数,所以()f x ′′存在最大值M 与最小值m , 根据连续函数的介值性定理可得,12()()2f f m M ξξ′′′′+≤≤,所以存在(,)a a ξ∈−,使得12()()()2f f f ξξξ′′′′+′′=,即21()[()()]f f a f a aξ′′=+−成立;(2)若()f x 在(,)a a −内取得极值,不妨设0x 为其极值点,则由费马引理可得,0()0f x ′=将()f x 在0x 处泰勒展开,22000000()()()()()()()()()2!2!f d f d f x f x f x x x x x f x x x ′′′′′=+−+−=+−其中d 介于0x 与x 之间;代入两个端点有:210010()()()(),(,)2!f f a f x a x x a ηη′′=+−∈ 220020()()()(),(,)2!f f a f x a x a x ηη′′−=+−−∈−两式相减可得:221200()()()()()()22f f f a f a a x a x ηη′′′′−−=−−−−所以22120022()()11()()()()2222f f f a f a a x a x a a ηη′′′′−−=−−−− 22102021[()()()()]4f a x f a x aηη′′′′≤−++,记112()max[(),()]f f f ηηη′′′′′′=, 又因为22220000()()[()()]4a x a x a x a x a −++≤−++=,所以21()()()2f a f a f aη′′−−≤成立 (22)(本题满分12分)设矩阵A 满足对任意123,,x x x 均有112321233232x x x x A x x x x x x x ++⎛⎫⎛⎫ ⎪ ⎪=−+ ⎪ ⎪⎪ ⎪−⎝⎭⎝⎭(1)求A(2)求可逆矩阵P 与对角矩阵Λ,使得1P AP −=Λ【答案】(1)111211011A ⎛⎫⎪=− ⎪⎪−⎝⎭11 /11 (2)401310112P −⎛⎫ ⎪=− ⎪ ⎪⎝⎭,1221P AP −⎛⎫ ⎪=Λ=− ⎪ ⎪−⎝⎭【解析】(1)因为任意123,,x x x 均有112321233232x x x x A x x x x x x x ++⎛⎫⎛⎫ ⎪ ⎪=−+ ⎪ ⎪ ⎪ ⎪−⎝⎭⎝⎭,即112233*********x x A x x x x ⎛⎫⎛⎫⎛⎫ ⎪ ⎪⎪=− ⎪ ⎪⎪ ⎪ ⎪⎪−⎝⎭⎝⎭⎝⎭故可分别取单位向量100010001⎛⎫⎛⎫⎛⎫ ⎪ ⎪ ⎪ ⎪ ⎪ ⎪ ⎪ ⎪ ⎪⎝⎭⎝⎭⎝⎭,,,可得100111100010211010001011001A ⎛⎫⎛⎫⎛⎫ ⎪ ⎪⎪=− ⎪ ⎪⎪ ⎪ ⎪⎪−⎝⎭⎝⎭⎝⎭所以111211011A ⎛⎫ ⎪=− ⎪ ⎪−⎝⎭(2)111101101211221(2)2110110(2)1011E A λλλλλλλλλλλ−−−−−−−−=−+−=−+−=+−−−+−++−+101(2)211(2)(2)(1)20λλλλλλ−−=+−−=+−+− 所以A 的特征值为21,2−−,,下求特征向量: 当2λ=−时,解方程组(2)0E A x −−=,可得基础解系为1(0,1,1)T ξ=−;当1λ=−时,解方程组()0E A x −−=,可得基础解系为2(1,0,2)Tξ=−当2λ=时,解方程组(2)0E A x −=,可得基础解系为3(4,3,1)T ξ=令401310112P −⎛⎫ ⎪=− ⎪ ⎪⎝⎭,有1221P AP −⎛⎫ ⎪=Λ=− ⎪ ⎪−⎝⎭成立。
2008考研数学二真题及答案一、选择题:1~8小题,每小题4分,共32分,下列每小题给出的四个选项中,只有一项符合题目要求,把所选项前的字母填在题后的括号内.(1)设2()(1)(2)f x x x x =--,则'()f x 的零点个数为( )()A 0 ()B 1. ()C 2 ()D 3(2)曲线方程为()y f x =函数在区间[0,]a 上有连续导数,则定积分0()at af x dx ⎰( )()A 曲边梯形ABCD 面积.()B 梯形ABCD 面积. ()C 曲边三角形ACD 面积.()D 三角形ACD 面积.(3)在下列微分方程中,以123cos 2sin 2xy C e C x C x =++(123,,C C C 为任意常数)为通解的是( )()A ''''''440y y y y +--= ()B ''''''440y y y y +++=()C ''''''440y y y y --+=()D ''''''440y y y y -+-=(5)设函数()f x 在(,)-∞+∞内单调有界,{}n x 为数列,下列命题正确的是( )()A 若{}n x 收敛,则{}()n f x 收敛. ()B 若{}n x 单调,则{}()n f x 收敛. ()C 若{}()n f x 收敛,则{}n x 收敛.()D 若{}()n f x 单调,则{}n x 收敛.(6)设函数f 连续,若2222()(,)uvD f x y F u v dxdy x y+=+⎰⎰,其中区域uv D 为图中阴影部分,则Fu∂=∂ ()A 2()vf u ()B 2()vf u u ()C ()vf u ()D ()vf u u(7)设A 为n 阶非零矩阵,E 为n 阶单位矩阵. 若30A =,则( )()A E A -不可逆,E A +不可逆.()B E A -不可逆,E A +可逆. ()C E A -可逆,E A +可逆.()D E A -可逆,E A +不可逆.(8)设1221A ⎛⎫=⎪⎝⎭,则在实数域上与A 合同的矩阵为( ) ()A 2112-⎛⎫⎪-⎝⎭.()B 2112-⎛⎫ ⎪-⎝⎭. ()C 2112⎛⎫⎪⎝⎭.()D 1221-⎛⎫⎪-⎝⎭.二、填空题:9-14小题,每小题4分,共24分,请将答案写在答题纸指定位置上. (9) 已知函数()f x 连续,且21cos[()]lim1(1)()x x xf x e f x →-=-,则(0)____f =.(10)微分方程2()0xy x e dx xdy -+-=的通解是____y =.(11)曲线()()sin ln xy y x x +-=在点()0,1处的切线方程为 . (12)曲线23(5)y x x =-的拐点坐标为______. (13)设xyy z x ⎛⎫=⎪⎝⎭,则(1,2)____z x ∂=∂.(14)设3阶矩阵A 的特征值为2,3,λ.若行列式248A =-,则___λ=.三、解答题:15-23小题,共94分.请将解答写在答题纸指定的位置上.解答应写出文字说明、证明过程或演算步骤.(15)(本题满分9分)求极限()4sin sin sin sin limx x x x x →-⎡⎤⎣⎦.(16)(本题满分10分)设函数()y y x =由参数方程20()ln(1)t x x t y u du =⎧⎪⎨=+⎪⎩⎰确定,其中()x t 是初值问题020xt dx te dtx --⎧-=⎪⎨⎪=⎩的解.求22y x ∂∂.(17)(本题满分9分)求积分1⎰.(18)(本题满分11分)求二重积分max(,1),Dxy dxdy ⎰⎰其中{(,)02,02}D x y x y =≤≤≤≤(19)(本题满分11分)设()f x 是区间[)0,+∞上具有连续导数的单调增加函数,且(0)1f =.对任意的[)0,t ∈+∞,直线0,x x t ==,曲线()y f x =以及x 轴所围成的曲边梯形绕x 轴旋转一周生成一旋转体.若该旋转体的侧面积在数值上等于其体积的2倍,求函数()f x 的表达式. (20)(本题满分11分)(1) 证明积分中值定理:若函数()f x 在闭区间[,]a b 上连续,则至少存在一点[,]a b η∈,使得()()()baf x dx f b a η=-⎰(2)若函数()x ϕ具有二阶导数,且满足32(2)(1),(2)()x dx ϕϕϕϕ>>⎰,证明至少存在一点(1,3),()0ξϕξ''∈<使得 (21)(本题满分11分)求函数222u x y z =++在约束条件22z x y =+和4x y z ++=下的最大值与最小值. (22)(本题满分12分)设矩阵2221212n na a a A a a ⨯⎛⎫⎪⎪= ⎪⎪⎝⎭OO O ,现矩阵A 满足方程AX B =,其中()1,,Tn X x x =L ,()1,0,,0B =L ,(1)求证()1nA n a =+;(2)a 为何值,方程组有唯一解,并求1x ; (3)a 为何值,方程组有无穷多解,并求通解. (23)(本题满分10分)设A 为3阶矩阵,12,αα为A 的分别属于特征值1,1-特征向量,向量3α满足323A ααα=+,(1)证明123,,ααα线性无关; (2)令()123,,P ααα=,求1P AP -. 参考答案 一、选择题 (1)【答案】D【详解】因为(0)(1)(2)0f f f ===,由罗尔定理知至少有1(0,1)ξ∈,2(1,2)ξ∈使12()()0f f ξξ''==,所以()f x '至少有两个零点. 又()f x '中含有因子x ,故0x =也是()f x '的零点, D 正确.本题的难度值为0.719. (2)【答案】C 【详解】00()()()()()()aa a aaxf x dx xdf x xf x f x dx af a f x dx '==-=-⎰⎰⎰⎰其中()af a 是矩形ABOC 面积,0()af x dx ⎰为曲边梯形ABOD 的面积,所以0()axf x dx '⎰为曲边三角形的面积.本题的难度值为0.829.(3)【答案】D【详解】由微分方程的通解中含有xe 、cos2x 、sin 2x 知齐次线性方程所对应的特征方程有根1,2r r i ==±,所以特征方程为(1)(2)(2)0r r i r i --+=,即32440r r r -+-=. 故以已知函数为通解的微分方程是40y y y ''''''-+-= 本题的难度值为0.832. (4) 【答案】A【详解】0,1x x ==时()f x 无定义,故0,1x x ==是函数的间断点因为 000ln 11lim ()lim lim lim csc |1|csc cot x x x x x xf x x x x x++++→→→→=⋅=-- 200sin lim lim 0cos cos x x x xx x x++→→=-=-=同理 0lim ()0x f x -→= 又 1111ln 1lim ()lim lim sin lim sin1sin11x x x x x f x x x x ++++→→→→⎛⎫=⋅== ⎪-⎝⎭所以 0x =是可去间断点,1x =是跳跃间断点. 本题的难度值为0.486.(5)【答案】B【详解】因为()f x 在(,)-∞+∞内单调有界,且{}n x 单调. 所以{()}n f x 单调且有界. 故{()}n f x 一定存在极限.本题的难度值为0.537. (6)【答案】A【详解】用极坐标得 ()222()2011,()vu uf r r Df u v F u v dv rdr v f r dr +===⎰⎰⎰所以()2Fvf u u∂=∂ 本题的难度值为0.638. (7) 【答案】C【详解】23()()E A E A A E A E -++=-=,23()()E A E A A E A E +-+=+= 故,E A E A -+均可逆. 本题的难度值为0.663. (8) 【答案】D【详解】记1221D -⎛⎫=⎪-⎝⎭,则()2121421E D λλλλ--==---,又()2121421E A λλλλ---==----所以A 和D 有相同的特征多项式,所以A 和D 有相同的特征值.又A 和D 为同阶实对称矩阵,所以A 和D 相似.由于实对称矩阵相似必合同,故D 正确. 本题的难度值为0.759. 二、填空题 (9)【答案】2【详解】222220001cos[()]2sin [()2]2sin [()2]()lim lim lim ()[()2]4(1)()x x x x xf x xf x xf x f x x f x xf x e f x →→→-⋅==⋅- 011lim ()(0)122x f x f →=== 所以 (0)2f = 本题的难度值为0.828. (10)【答案】()xx eC --+【详解】微分方程()20x y x e dx xdy -+-=可变形为x dy yxe dx x--= 所以 111()dx dx x x xx x y e xe e dx C x xe dx C x e C x ----⎡⎤⎛⎫⎰⎰=+=⋅+=-+⎢⎥ ⎪⎝⎭⎣⎦⎰⎰本题的难度值为0.617. (11)【答案】1y x =+【详解】设(,)sin()ln()F x y xy y x x =+--,则1cos()11cos()x yy xy F dy y xdx F x xy y x--'-=-=-'+-, 将(0)1y =代入得1x dy dx==,所以切线方程为10y x -=-,即1y x =+本题的难度值为0.759. (12)【答案】(1,6)-- 【详解】53235y xx =-⇒23131351010(2)333x y x x x -+'=-=⇒134343101010(1)999x y x x x --+''=+=1x =-时,0y ''=;0x =时,y ''不存在在1x =-左右近旁y ''异号,在0x =左右近旁0y ''>,且(1)6y -=- 故曲线的拐点为(1,6)-- 本题的难度值为0.501. (13)【答案】21)2- 【详解】设,y xu v x y==,则v z u = 所以121()ln v v z z u z v y vu u u x u x v x x y-∂∂∂∂∂=⋅+⋅=-+⋅∂∂∂∂∂ 2ln 11ln x yv vy u y y u uxy x y x ⎛⎫⎛⎫⎛⎫=-+=⋅-+ ⎪ ⎪⎪⎝⎭⎝⎭⎝⎭ 所以(1,2)21)z x ∂=-∂本题的难度值为0.575. (14)【答案】-1【详解】||236A λλ =⨯⨯=Q 3|2|2||A A = 32648λ∴ ⨯=- 1λ⇒=- 本题的难度值为0.839.三、解答题 (15)【详解】 方法一:4300[sin sin(sin )]sin sin sin(sin )limlim x x x x x x x x x→→--= 22220001sin cos cos(sin )cos 1cos(sin )12lim lim lim 3336x x x xx x x x x x x →→→--==== 方法二:331sin ()6x x x o x =-+Q 331sin(sin )sin sin (sin )6x x x o x =-+4444400[sin sin(sin )]sin sin (sin )1lim lim 66x x x x xx o x x x x →→⎡⎤-∴ =+=⎢⎥⎣⎦本题的难度值为0.823. (16)【详解】方法一:由20x dx te dt--=得2x e dx tdt =,积分并由条件0t x =得21x e t =+,即2ln(1)x t =+ 所以 2222ln(1)2(1)ln(1)21dydy t tdt t t dxt dx dt t +⋅===+++222222[(1)ln(1)]2ln(1)221dt t d y d dy t t tdt dx t dx dx dx dt t ++++⎛⎫=== ⎪⎝⎭+ 22(1)[ln(1)1]t t =+++方法二:由20x dx te dt--=得2x e dx tdt =,积分并由条件0t x =得21x e t =+,即2ln(1)x t =+ 所以 2222ln(1)2(1)ln(1)21x dydy t tdt t t e x dxt dx dt t +⋅===++=+所以 22(1)xd ye x dx=+本题的难度值为0.742.(17)【详解】 方法一:由于21x -→=+∞,故21⎰是反常积分.令arcsin x t =,有sin x t =,[0,2)t π∈22122220000sin cos 2cos sin ()cos 22t t t t t tdt t tdt dt t πππ===-⎰⎰⎰⎰2222220001sin 21sin 2sin 2441644tt t td t tdt πππππ=-=-+⎰⎰ 222011cos 2168164t πππ=-=+方法二:21⎰12201(arcsin )2x d x =⎰ 121122220001(arcsin )(arcsin )(arcsin )28x x x x dx x x dx π=-=-⎰⎰令arcsin x t =,有sin x t =,[0,2)t π∈1222200011(arcsin )sin 2cos 224x x dx tdt t d t ππ==-⎰⎰⎰ 222200111(cos 2)cos 242164t t t tdt πππ=-+=-⎰故,原式21164π=+ 本题的难度值为0.631.(18)【详解】 曲线1xy =将区域分成两个区域1D 和23D D +,为了便于计算继续对 区域分割,最后为()max ,1Dxy dxdy ⎰⎰123D D D xydxdy dxdy dxdy =++⎰⎰⎰⎰⎰⎰112222211102211x xdx dy dx dy dx xydy =++⎰⎰⎰⎰⎰⎰1512ln 2ln 24=++-19ln 24=+ 本题的难度值为0.524. (19)【详解】旋转体的体积20()tV f x dx π=⎰,侧面积02(tS f x π=⎰,由题设条件知20()(ttf x dx f x =⎰⎰上式两端对t 求导得2()(f t f t = 即y '=由分离变量法解得1ln(y t C =+, 即t y Ce =将(0)1y =代入知1C =,故t y e =,1()2t t y e e -=+于是所求函数为 1()()2x xy f x e e -==+本题的难度值为0.497.(20)【详解】(I) 设M 与m 是连续函数()f x 在[,]a b 上的最大值与最小值,即()m f x M ≤≤ [,]x a b ∈由定积分性质,有 ()()()bam b a f x dx M b a -≤≤-⎰,即 ()baf x dx m M b a≤≤-⎰由连续函数介值定理,至少存在一点[,]a b η∈,使得 ()()b af x dx f b aη=-⎰即()()()baf x dx f b a η=-⎰(II) 由(I)的结论可知至少存在一点[2,3]η∈,使 32()()(32)()x dx ϕϕηϕη=-=⎰又由 32(2)()()x dx ϕϕϕη>=⎰,知 23η<≤对()x ϕ在[1,2][2,]η上分别应用拉格朗日中值定理,并注意到(1)(2)ϕϕ<,()(2)ϕηϕ<得1(2)(1)()021ϕϕϕξ-'=>- 112ξ<<2()(2)()02ϕηϕϕξη-'=<- 123ξη<<≤在12[,]ξξ上对导函数()x ϕ'应用拉格朗日中值定理,有2121()()()0ϕξϕξϕξξξ''-''=<- 12(,)(1,3)ξξξ∈⊂本题的难度值为0.719. (21)【详解】方法一:作拉格朗日函数22222(,,,,)()(4)F x y z x y z x y z x y z λμλμ=++++-+++-令 2222022020040x y z F x x F y y F z F x y z F x y z λμλμλμλμ'=++=⎧⎪'=++=⎪⎪'=-+=⎨⎪'=+-=⎪'=++-=⎪⎩解方程组得111222(,,)(1,1,2),(,,)(2,2,8)x y z x y z ==-- 故所求的最大值为72,最小值为6.方法二:问题可转化为求2242242u x y x x y y =++++在224x y x y +++=条件下的最值 设44222222(,,)2(4)F x y u x y x y x y x y x y λλ==++++++++-令 323222442(12)0442(12)040x y F x xy x x F y x y y y F x y x y λλλ'⎧=++++=⎪'=++++=⎨⎪'=+++-=⎩解得1122(,)(1,1),(,)(2,2)x y x y ==--,代入22z x y =+,得122,8z z == 故所求的最大值为72,最小值为6. 本题的难度值为0.486. (22)【详解】(I)证法一:2222122212132101221221122a a a a a a a a a A r ar aaa a =-=O O L OO O OO O OO OO121301240134(1)2(1)3231(1)0n n n a a an a a n a r ar a n a nnn a n--+-=⋅⋅⋅=++O K O OO OO证法二:记||n D A =,下面用数学归纳法证明(1)nn D n a =+.当1n =时,12D a =,结论成立. 当2n =时,2222132a D a a a==,结论成立. 假设结论对小于n 的情况成立.将n D 按第1行展开得2212102121212n n a a a a D aD a a-=-OO O OO21221222(1)(1)n n n n n aD a D ana a n a n a ---- =-=--=+故 ||(1)nA n a =+证法三:记||n D A =,将其按第一列展开得 2122n n n D aD a D --=-, 所以 211212()n n n n n n D aD aD a D a D aD ------=-=-222321()()n n n n a D aD a D aD a ---=-==-=L即 12122()2n n n n n n n n D a aD a a a aD a a D ----=+=++=++2121(2)(1)n n n n n a a D n a a D --==-+=-+L1(1)2(1)n n n n a a a n a -=-+⋅=+(II)因为方程组有唯一解,所以由Ax B =知0A ≠,又(1)nA n a =+,故0a ≠. 由克莱姆法则,将n D 的第1列换成b ,得行列式为2221122(1)(1)112102*********n n n nn n a a a aa a a a D na a a a a --⨯-⨯-===O O OO O OO O OO OO所以 11(1)n n D nx D n a-==+ (III)方程组有无穷多解,由0A =,有0a =,则方程组为12101101001000n n x x x x -⎛⎫⎛⎫⎛⎫ ⎪⎪ ⎪ ⎪ ⎪ ⎪ ⎪ ⎪ ⎪=⎪ ⎪ ⎪ ⎪ ⎪ ⎪ ⎪ ⎪ ⎪⎝⎭⎝⎭⎝⎭M O O M此时方程组系数矩阵的秩和增广矩阵的秩均为1n -,所以方程组有无穷多解,其通解为()()10000100,TTk k +L L为任意常数.本题的难度值为0.270.(23)【详解】(I)证法一:假设123,,ααα线性相关.因为12,αα分别属于不同特征值的特征向量,故12,αα线性无关,则3α可由12,αα线性表出,不妨设31122l l ααα=+,其中12,l l 不全为零(若12,l l 同时为0,则3α为0,由323A ααα=+可知20α=,而特征向量都是非0向量,矛盾)Q 11,A αα=-22A αα=∴32321122A l l αααααα=+=++,又311221122()A A l l l l ααααα=+=-+ ∴112221122l l l l ααααα-+=++,整理得:11220l αα+=则12,αα线性相关,矛盾. 所以,123,,ααα线性无关.证法二:设存在数123,,k k k ,使得1122330k k k ααα++= (1)用A 左乘(1)的两边并由11,A αα=-22A αα=得1123233()0k k k k ααα-+++= (2)(1)—(2)得 113220k k αα-= (3) 因为12,αα是A 的属于不同特征值的特征向量,所以12,αα线性无关,从而130k k ==,代入(1)得220k α=,又由于20α≠,所以20k =,故123,,ααα线性无关.(II) 记123(,,)P ααα=,则P 可逆,123123(,,)(,,)AP A A A A αααααα==1223(,,)αααα=-+123100(,,)011001ααα-⎛⎫ ⎪= ⎪ ⎪⎝⎭100011001P -⎛⎫ ⎪= ⎪ ⎪⎝⎭所以 1100011001P AP --⎛⎫ ⎪= ⎪ ⎪⎝⎭.本题的难度值为0.272.。
考研数学二(行列式、矩阵、向量)历年真题试卷汇编2(题后含答案及解析)题型有:1. 选择题 2. 填空题 3. 解答题选择题下列每题给出的四个选项中,只有一个选项符合题目要求。
1.记行列式为f(x),则方程f(x)=0的根的个数为A.1.B.2C.3D.4正确答案:B解析:[分析] 本题实质上是考查四阶行列式的计算问题,可利用行列式的性质进行计算,得到f(x)后,即可确定其根的个数.[详解] 因为由此可知f(x)=0的根的个数为2,故应选(B).[评注] 由于数学二只要求考查线性代数初步,相对内容较少,行列式的计算问题基本上每年出一题,因此利用行列式的定义、性质和按行或列展开定理进行计算应熟练掌握.知识模块:行列式2.设A是m×n矩阵,B是n×m矩阵,则A.当m>n时,必有行列式|AB|≠0.B.当m>n时,必有行列式|AB|=0.C.当n>m时,必有行列式|AB|≠0.D.当n>m时,必有行列式|AB|=0.正确答案:B解析:[分析] 四个选项在于区分行列式是否为零,而行列式是否为零又是矩阵是否可逆的充要条件,问题转化为矩阵是否可逆,而矩阵是否可逆又与矩阵是否满秩相联系,最终只要判断AB是否满秩即可.[详解] 因为AB为m 阶方阵,且r(AB)≤min{r(A),r(B)}≤min{m,n),当m>n时,由上式可知,r(AB)≤n<m,即AB不是满秩的,故有行列式|AB|=0.故应选(B).[评注] 本题不知矩阵AB的具体元素,因此直接应用行列式的有关计算方法进行求解是困难的.对于此类抽象矩阵行列式的计算往往可考虑转换为利用:1.矩阵的秩(判断行列式是否为零);2.行(列)向量组的线性相关性;3.方程组解的判定;4.特征值和相似矩阵的性质等进行计算.知识模块:行列式3.设A是3阶方阵,将A的第1列与第2列交换得B,再把B的第2列加到第3列得C,则满足AQ—c的可逆矩阵Q为A.B.C.D.正确答案:D解析:[分析] 本题考查初等矩阵的概念与性质,对A作两次初等列变换,相当于右乘两个相应的初等矩阵,而Q即为这两个初等矩阵的乘积.[详解] 由题设,有,于是,故应选(D).知识模块:矩阵4.设A为n(n≥2)阶可逆矩阵,交换A的第1行与第2行得矩阵B,A*,B*分别为A,B的伴随矩阵,则A.交换A*的第1列与第2列得B*.B.交换A*的第1行与第2行得B*.C.交换A*的第1列与第2列得-B*.D.交换A*的第1行与第2行得-B*.正确答案:C解析:[分析] 本题考查初等变换的概念与初等矩阵的性质,只需利用初等变换与初等矩阵的关系以及伴随矩阵的性质进行分析即可.[详解] 由题设,存在初等矩阵E12(交换n阶单位矩阵的第1行与第2行所得),使得E12A=B,于是B*=(E12A)*=A*E12*=A*|E12|.E12-1=-A*E12,即A*E12=-B*,故应选(C).[评注] 注意伴随矩阵的运算性质:AA*=A*A==|A|E,当A可逆时,A*=|A|A-1,(AB)*=B*A*.知识模块:矩阵5.设A为3阶矩阵,将A的第2行加到第1行得B,再将B的第1列的-1倍加到第2列得C,记P=,则A.C=P-1AP.B.C=PAP-1.C.C=PTAP.D.C=PAPT.正确答案:B解析:由题设可得,而,则有C=PAP-1.故应选(B).知识模块:矩阵6.设A,P均为3阶矩阵,PT为P的转置矩阵,且PTAP=.若P=(α1,α2,α3),Q=(α1+α2,α2,α3),则QTAQ为A.B.C.D.正确答案:A解析:因为Q=P.于是.即(A)正确.知识模块:矩阵7.设A为3阶矩阵,将A的第二列加到第一列得矩阵B,再交换B的第二行与第三行得单位矩阵,记,则A=A.P1P2.B.P1-1P2.C.2P1.D.2P1-1.正确答案:D解析:由已知条件有P2AP1E得A=P2-1EP1-1=P2P1-1.故应选(D).知识模块:矩阵8.设A为3阶矩阵,P为3阶可逆矩阵,且P-1AP=若P=(α1,α2,α3),Q=(α1+α2,α2,α3),则Q-1AQ=A.B.C.D.正确答案:B解析:由已知条件有Q=P,因此故应选(B).知识模块:矩阵9.设A是任一n(n≥3)阶方阵,A*是其伴随矩阵,又k为常数,且k≠0,±1,则必有(kA)*等于A.kA*.B.kn-1A*.C.knA*.D.k-1A*.正确答案:B解析:[分析] 利用伴随矩阵的定义讨论即可.若加强条件,则可令A可逆.[详解1] 采用加强条件的技巧,设A可逆,则由AA*=A*A=|A|E,知A*=|A|A-1,于是(kA)*=|kA|(kA)-1=kn|=kn-1|A|A-1=kn-1A*.故应选(B).题设k≠0,±1,n≥3,主要是为了做到四个选项只有一个是正确的.[详解2] 由A*的定义,设A=(aij)n ×n,其元素aij的代数余子式记作Aij,则矩阵kA=(kaij)n×n,若其元素的代数余子式记作△ij(i,j=1,2,…,n),由行列式性质有△ij=kn-1Aij(i,j=1,2,…,n).从而(kA)*=kn-1A*.[评注] 涉及与A*有关的题目,一般利用A*的定义和公式AA*=|A|E.知识模块:矩阵10.设A,B均为2阶矩阵,A*,B*分别为A,B的伴随矩阵.若|A|=2,|B|=3,则分块矩阵的伴随矩阵为A.B.C.D.正确答案:B解析:利用伴随矩阵的公式,有。
2008年全国硕士研究生入学统一考试数学二试题一、选择题:1~8小题,每小题4分,共32分,下列每小题给出的四个选项中,只有一项符合题目要求,把所选项前的字母填在题后的括号内.(1) 设2()(1)(2)f x x x x =--,求()f x '的零点个数( )()A 0()B 1 ()C 2()D 3(2) 如图,曲线段方程为()y f x =, 函数在区间[0,]a 上有连续导数,则 定积分()axf x dx '⎰等于( )()A 曲边梯形ABOD 面积.()B 梯形ABOD 面积. ()C 曲边三角形ACD 面积.()D 三角形ACD 面积.(3) 在下列微分方程中,以123cos 2sin 2xy C e C x C x =++(123,,C C C 为任意常数)为通解的是( )()A 440y y y y ''''''+--=. ()B 440y y y y ''''''+++=. ()C 440y y y y ''''''--+=.()D 440y y y y ''''''-+-=.(4) 判断函数ln ()sin (0)1xf x x x x =>-间断点的情况( ) ()A 有1个可去间断点,1个跳跃间断点 ()B 有1个跳跃间断点,1个无穷间断点 ()C 有两个无穷间断点yC (0, f (a )) A (a , f (a ))y =f (x )O B (a ,0) xD()D 有两个跳跃间断点(5) 设函数()f x 在(,)-∞+∞内单调有界,{}n x 为数列,下列命题正确的是( )()A 若{}n x 收敛,则{}()n f x 收敛. ()B 若{}n x 单调,则{}()n f x 收敛. ()C 若{}()n f x 收敛,则{}n x 收敛.()D 若{}()n f x 单调,则{}n x 收敛.(6) 设函数f 连续. 若()2222,uvD f x y F u v dxdy x y+=+⎰⎰,其中区域uv D 为图中阴影部分,则Fu∂=∂( ) ()A ()2vf u()B ()2vf u u()C ()vf u()D ()vf u u(7) 设A 为n 阶非零矩阵,E 为n 阶单位矩阵. 若3A O =,则( )()A E A -不可逆,E A +不可逆.()B E A -不可逆,E A +可逆. ()C E A -可逆,E A +可逆.()D E A -可逆,E A +不可逆.(8) 设1221A ⎛⎫= ⎪⎝⎭,则在实数域上与A 合同的矩阵为( )()A 2112-⎛⎫⎪-⎝⎭.()B 2112-⎛⎫⎪-⎝⎭.()C 2112⎛⎫ ⎪⎝⎭.()D 1221-⎛⎫⎪-⎝⎭.二、填空题:9-14小题,每小题4分,共24分,请将答案写在答题纸指定位置上. (9) ()f x 连续,21cos(sin )lim1(1)()x x x e f x →-=-,则(0)f =O xvx 2+y 2=u 2 x 2+y 2=1 D uvy(10) 微分方程2()0xy x e dx xdy -+-=的通解是y = (11) 曲线()()sin ln xy y x x +-=在点()0,1处的切线方程为 . (12) 求函数23()(5)f x x x =-的拐点______________. (13) 已知xyy z x ⎛⎫=⎪⎝⎭,则(1,2)_______z x ∂=∂. (14) 矩阵A 的特征值是,2,3λ,其中λ未知,且248A =-,则λ=_______.三、解答题:15-23小题,共94分.请将解答写在答题纸指定的位置上.解答应写出文字说明、证明过程或演算步骤. (15)(本题满分9分)求极限()40sin sin sin sin lim x x x x x →-⎡⎤⎣⎦.(16) (本题满分10分)设函数()y y x =由参数方程20()ln(1)t x x t y u du =⎧⎪⎨=+⎪⎩⎰确定,其中()x t 是初值问题 020|0xt dx te dtx -=⎧-=⎪⎨⎪=⎩的解. 求22d y dx .(17)(本题满分9分)计算2121dx x-⎰(18)(本题满分11分)计算{}max ,1,Dxy dxdy ⎰⎰其中{(,)02,02}D x y x y =≤≤≤≤(19)(本题满分11分)设()f x 是区间[0,)+∞上具有连续导数的单调增加函数,且(0)1f =. 对于任意的[0,)t ∈+∞,直线0,x x t ==,曲线()y f x =以及x 轴所围成曲边梯形绕x 轴旋转一周生成一旋转体. 若该旋转体的侧面面积在数值上等于其体积的2倍,求函数()f x 的表达式.(20)(本题满分11分)(I) 证明积分中值定理:若函数()f x 在闭区间[,]a b 上连续,则至少存在一点[,]a b η∈,使得()()()baf x dx f b a η=-⎰;(II) 若函数()x ϕ具有二阶导数,且满足,32(2)(1),(2)()x dx ϕϕϕϕ>>⎰,则至少存在一点(1,3)ξ∈,()0ϕξ''<使得.(21)(本题满分11分)求函数222u x y z =++在约束条件22z x y =+和4x y z ++=下的最大和最小值.(22)(本题满分12分)设n 元线性方程组Ax b =,其中2221212n n a a a A a a ⨯⎛⎫ ⎪⎪= ⎪⎪⎝⎭,12n x x x x ⎛⎫ ⎪ ⎪= ⎪ ⎪⎝⎭,100b ⎛⎫⎪⎪= ⎪ ⎪⎝⎭(I) 证明行列式()1nA n a =+(II) 当a 为何值时,该方程组有唯一解,并求1x (III) 当a 为何值时,该方程组有无穷多解,并求通解(23)(本题满分10分)设A 为3阶矩阵,12,αα为A 的分别属于特征值1,1-的特征向量,向量3α满足323A ααα=+,(I) 证明123,,ααα线性无关; (II) 令()123,,P ααα=,求1P AP -2008年全国硕士研究生入学统一考试数学二试题解析一、选择题 (1)【答案】D【详解】因为(0)(1)(2)0f f f ===,由罗尔定理知至少有1(0,1)ξ∈,2(1,2)ξ∈使12()()0f f ξξ''==,所以()f x '至少有两个零点. 由于()f x '是三次多项式,三次方程()0f x '=的实根不是三个就是一个,故D 正确.(2)【答案】C 【详解】00()()()()()()aa a aaxf x dx xdf x xf x f x dx af a f x dx '==-=-⎰⎰⎰⎰其中()af a 是矩形ABOC 面积,0()af x dx ⎰为曲边梯形ABOD 的面积,所以0()axf x dx '⎰为曲边三角形的面积.(3)【答案】D【详解】由微分方程的通解中含有xe 、cos2x 、sin 2x 知齐次线性方程所对应的特征方程有根1,2r r i ==±,所以特征方程为(1)(2)(2)0r r i r i --+=,即32440r r r -+-=. 故以已知函数为通解的微分方程是440y y y ''''''-+-=(4) 【答案】A【详解】0,1x x ==时()f x 无定义,故0,1x x ==是函数的间断点因为 000ln 11lim ()lim lim lim csc |1|csc cot x x x x x xf x x x x x++++→→→→=⋅=-- 200sin lim lim 0cos cos x x x xx x x++→→=-=-=同理 0lim ()0x f x -→= 又 1111ln 1lim ()lim lim sin lim sin1sin11x x x x x f x x x x ++++→→→→⎛⎫=⋅== ⎪-⎝⎭ 111ln lim ()lim lim sin sin11x x x xf x x x--+→→→=⋅=--所以 0x =是可去间断点,1x =是跳跃间断点.(5)【答案】B【详解】因为()f x 在(,)-∞+∞内单调有界,且{}n x 单调. 所以{()}n f x 单调且有界. 故{()}n f x 一定存在极限.(6)【答案】A【详解】用极坐标得 ()222()22211,()vu uf r r Df u v F u v dudv dv rdr v f r dr u v +===+⎰⎰⎰所以()2Fvf u u∂=∂(7) 【答案】C【详解】23()()E A E A A E A E -++=-=,23()()E A E A A E A E +-+=+= 故,E A E A -+均可逆.(8) 【答案】D【详解】记1221D -⎛⎫= ⎪-⎝⎭,则()2121421E D λλλλ--==---,又()2121421E A λλλλ---==----所以A 和D 有相同的特征多项式,所以A 和D 有相同的特征值.又A 和D 为同阶实对称矩阵,所以A 和D 相似.由于实对称矩阵相似必合同,故D 正确.二、填空题 (9)【答案】2【详解】222220001cos[()]2sin [()2]2sin [()2]()lim lim lim ()[()2]4(1)()x x x x xf x xf x xf x f x x f x xf x e f x →→→-⋅==⋅- 011lim ()(0)122x f x f →=== 所以 (0)2f =(10)【答案】()xx eC --+【详解】微分方程()20x y x e dx xdy -+-=可变形为x dy yxe dx x--= 所以 111()dx dx x x x x xy e xe e dx C x xe dx C x e C x ----⎡⎤⎛⎫⎰⎰=+=⋅+=-+⎢⎥ ⎪⎝⎭⎣⎦⎰⎰(11)【答案】1y x =+【详解】设(,)sin()ln()F x y xy y x x =+--,则1cos()11cos()x y y xy F dy y xdx F x xy y x--'-=-=-'+-, 将(0)1y =代入得01x dy dx==,所以切线方程为10y x -=-,即1y x =+(12)【答案】(1,6)-- 【详解】53235y xx =-⇒2311351010(2)333x y x x x -+'=-= ⇒134343101010(1)999x y x x x--+''=+= 1x =-时,0y ''=;0x =时,y ''不存在在1x =-左右近旁y ''异号,在0x =左右近旁0y ''>,且(1)6y -=- 故曲线的拐点为(1,6)--(13)【答案】2(ln 21)2- 【详解】设,y xu v x y==,则v z u = 所以121()ln v v z z u z v y vu u u x u x v x x y-∂∂∂∂∂=⋅+⋅=-+⋅∂∂∂∂∂ 2ln 11ln x yv vy u y y u ux y x y x ⎛⎫⎛⎫⎛⎫=-+=⋅-+ ⎪ ⎪⎪⎝⎭⎝⎭⎝⎭所以(1,2)2(ln 21)2z x ∂=-∂(14)【答案】-1【详解】||236A λλ =⨯⨯= 3|2|2||A A =32648λ∴⨯=- 1λ⇒=-三、解答题 (15)【详解】 方法一:4300[sin sin(sin )]sin sin sin(sin )limlim x x x x x x x x x→→--= 22220001sin cos cos(sin )cos 1cos(sin )12lim lim lim 3336x x x xx x x x x x x →→→--==== 方法二:331sin ()6x x x o x =-+ 331sin(sin )sin sin (sin )6x x x o x =-+4444400[sin sin(sin )]sin sin (sin )1lim lim 66x x x x xx o x x x x →→⎡⎤-∴ =+=⎢⎥⎣⎦(16)【详解】方法一:由20x dx te dt--=得2x e dx tdt =,积分并由条件0t x =得21x e t =+,即2ln(1)x t =+ 所以 2222ln(1)2(1)ln(1)21dydy t tdt t t dxt dx dt t +⋅===+++222222[(1)ln(1)]2ln(1)221dt t d y d dy t t tdt dx t dx dx dx dt t ++++⎛⎫=== ⎪⎝⎭+ 22(1)[ln(1)1]t t =+++方法二:由20x dx te dt--=得2x e dx tdt =,积分并由条件0t x =得21x e t =+,即2ln(1)x t =+ 所以 2222ln(1)2(1)ln(1)21x dydy t tdt t t e x dxt dx dt t +⋅===++=+所以 22(1)x d ye x dx=+(17)【详解】 方法一:由于2211x x-→=+∞-,故2121dx x-⎰是反常积分.令arcsin x t =,有sin x t =,[0,2)t π∈221222220000sin cos 2cos sin ()cos 221t t t t t dx tdt t tdt dt t xπππ===--⎰⎰⎰⎰2222220001sin 21sin 2sin 2441644tt t td t tdt πππππ=-=-+⎰⎰ 222011cos 2168164t πππ=-=+ 方法二:2121dx x -⎰12201(arcsin )2x d x =⎰ 121122220001(arcsin )(arcsin )(arcsin )28x x x x dx x x dx π=-=-⎰⎰令arcsin x t =,有sin x t =,[0,2)t π∈12222200011(arcsin )sin 2cos 224x x dx t tdt t d t ππ==-⎰⎰⎰ 222200111(cos 2)cos 242164t t t tdt πππ=-+=-⎰故,原式21164π=+(18)【详解】 曲线1xy =将区域分成两 个区域1D 和23D D +,为了便于计算继续对 区域分割,最后为()max ,1Dxy dxdy ⎰⎰D 1123D D D xydxdy dxdy dxdy =++⎰⎰⎰⎰⎰⎰112222211102211x xdx dy dx dy dx xydy =++⎰⎰⎰⎰⎰⎰1512ln 2ln 24=++-19ln 24=+(19)【详解】旋转体的体积20()tV f x dx π=⎰,侧面积202()1()tS f x f x dx π'=+⎰,由题设条件知220()()1()ttf x dx f x f x dx '=+⎰⎰上式两端对t 求导得 22()()1()f t f t f t '=+ 即 21y y '=-由分离变量法解得 21ln(1)y y t C -=+, 即 21t y y Ce -=将(0)1y =代入知1C =,故21t y y e -=,1()2t t y e e -=+于是所求函数为 1()()2t t y f x e e -==+(20)【详解】(I) 设M 与m 是连续函数()f x 在[,]a b 上的最大值与最小值,即()m f x M ≤≤ [,]x a b ∈由定积分性质,有 ()()()bam b a f x dx M b a -≤≤-⎰,即 ()baf x dx m M b a≤≤-⎰由连续函数介值定理,至少存在一点[,]a b η∈,使得 ()()b af x dx f b aη=-⎰即()()()baf x dx f b a η=-⎰(II) 由(I)的结论可知至少存在一点[2,3]η∈,使 32()()(32)()x dx ϕϕηϕη=-=⎰又由 32(2)()()x dx ϕϕϕη>=⎰,知 23η<≤对()x ϕ在[1,2][2,]η上分别应用拉格朗日中值定理,并注意到(1)(2)ϕϕ<,()(2)ϕηϕ<得 1(2)(1)()021ϕϕϕξ-'=>- 112ξ<<2()(2)()02ϕηϕϕξη-'=<- 123ξη<<≤在12[,]ξξ上对导函数()x ϕ'应用拉格朗日中值定理,有2121()()()0ϕξϕξϕξξξ''-''=<- 12(,)(1,3)ξξξ∈⊂(21)【详解】方法一:作拉格朗日函数22222(,,,,)()(4)F x y z x y z x y z x y z λμλμ=++++-+++-令 2222022020040x y z F x x F y y F z F x y z F x y z λμλμλμλμ'=++=⎧⎪'=++=⎪⎪'=-+=⎨⎪'=+-=⎪'=++-=⎪⎩解方程组得111222(,,)(1,1,2),(,,)(2,2,8)x y z x y z ==-- 故所求的最大值为72,最小值为6.方法二:问题可转化为求2242242u x y x x y y =++++在224x y x y +++=条件下的最值 设44222222(,,)2(4)F x y u x y x y x y x y x y λλ==++++++++-令 323222442(12)0442(12)040x y F x xy x x F y x y y y F x y x y λλλ'⎧=++++=⎪'=++++=⎨⎪'=+++-=⎩解得1122(,)(1,1),(,)(2,2)x y x y ==--,代入22z x y =+,得122,8z z == 故所求的最大值为72,最小值为6.(22)【详解】(I)证法一:2222122212132101221221122a a a a a a aa aA r ar aaa a =-=121301240134(1)2(1)3231(1)0n n n a a a n a a n ar ar a n a nnn a n--+-=⋅⋅⋅=++ 证法二:记||n D A =,下面用数学归纳法证明(1)nn D n a =+.当1n =时,12D a =,结论成立. 当2n =时,2222132a D a aa==,结论成立.假设结论对小于n 的情况成立.将n D 按第1行展开得2212102121212n n a a a aD aD a a-=-21221222(1)(1)n n n n n aD a D ana a n a n a ---- =-=--=+故 ||(1)nA n a =+证法三:记||n D A =,将其按第一列展开得 2122n n n D aD a D --=-, 所以 211212()n n n n n n D aD aD a D a D aD ------=-=-222321()()n n n n a D aD a D aD a ---=-==-=即 12122()2n n n n n n n n D a aD a a a aD a a D ----=+=++=++2121(2)(1)n n n n n a a D n a a D --==-+=-+1(1)2(1)n n n n a a a n a -=-+⋅=+(II)因为方程组有唯一解,所以由Ax B =知0A ≠,又(1)n A n a =+,故0a ≠.由克莱姆法则,将n D 的第1列换成b ,得行列式为2221122(1)(1)112102*********n n n nn n a a a aa aa aD na a a a a --⨯-⨯-===所以 11(1)n n D nx D n a-==+ (III)方程组有无穷多解,由0A =,有0a =,则方程组为12101101001000n n x x x x -⎛⎫⎛⎫⎛⎫⎪⎪ ⎪⎪ ⎪ ⎪⎪ ⎪ ⎪=⎪ ⎪ ⎪ ⎪ ⎪ ⎪⎪ ⎪ ⎪⎝⎭⎝⎭⎝⎭ 此时方程组系数矩阵的秩和增广矩阵的秩均为1n -,所以方程组有无穷多解,其通解为()()10000100,TTk k +为任意常数.(23)【详解】(I)证法一:假设123,,ααα线性相关.因为12,αα分别属于不同特征值的特征向量,故12,αα线性无关,则3α可由12,αα线性表出,不妨设31122l l ααα=+,其中12,l l 不全为零(若12,l l 同时为0,则3α为0,由323A ααα=+可知20α=,而特征向量都是非0向量,矛盾)11,A αα=-22A αα=∴32321122A l l αααααα=+=++,又311221122()A A l l l l ααααα=+=-+ ∴112221122l l l l ααααα-+=++,整理得:11220l αα+=则12,αα线性相关,矛盾. 所以,123,,ααα线性无关.证法二:设存在数123,,k k k ,使得1122330k k k ααα++= (1)用A 左乘(1)的两边并由11,A αα=-22A αα=得1123233()0k k k k ααα-+++= (2)(1)—(2)得 113220k k αα-= (3) 因为12,αα是A 的属于不同特征值的特征向量,所以12,αα线性无关,从而130k k ==,代入(1)得220k α=,又由于20α≠,所以20k =,故123,,ααα线性无关.(II) 记123(,,)P ααα=,则P 可逆,123123(,,)(,,)AP A A A A αααααα==1223(,,)αααα=-+123100(,,)011001ααα-⎛⎫ ⎪= ⎪ ⎪⎝⎭100011001P -⎛⎫ ⎪= ⎪ ⎪⎝⎭所以 1100011001P AP --⎛⎫ ⎪= ⎪ ⎪⎝⎭.。
目录2017年全国硕士研究生招生考试数学(二)试题 (1)2018年全国硕士研究生招生考试数学(二)试题 (8)2019年全国硕士研究生招生考试数学(二)试题 (15)2017年全国硕士研究生招生考试数学(二)试题一、选择题(1~8小题,每小题4分,共32分。
下列每题给出的四个选项中,只有一个选项是符合题目要求的,请将所选项的字母填在答题纸指定的括号内。
)1.若函数10,(), 0x f x axb x ⎧->⎪=⎨⎪≤⎩0x =在处连续,则( ) A.12ab =B.12ab =-C.0ab =D.2ab =2.设二阶可导函数()f x 满足(1)(1)1,(0)1,0,f f f f x ''=-==->且()则( ). A.1-1()0f x dx >⎰B.1-1()0f x dx <⎰C.11()()f x dx f x dx ->⎰⎰ D.110()()f x dx f x dx -<⎰⎰3.设数列{}n x 收敛,则( ).A.n n limsin 0lim 0n n x x →∞→∞==当时,B.(lim 0lim 0n n n n x x →∞→∞==当时,C.()2lim 0lim 0n n n n n x x x →∞→∞+==当时,D.()lim sin 0lim 0n n n n n x x x →∞→∞+==当时, 4.微分方程()24+81cos2xy y y e x '''-=+的特解可设为*y =().A.()22cos2sin 2xx Ae e B x C x ++ B.()22cos2sin 2xx Axee B x C x ++ C.()22cos2sin 2xx Aexe B x C x ++D.()22cos2sin 2xx Axexe B x C x ++5.设(),f x y 具有一阶偏导数,且任意的(),x y 都有()(),,0,0,f x y f x y x y∂∂><∂∂则( ).A.()()0,01,1f f >B.()()0,01,1f f <C.()()0,11,0f f >D.()()0,11,0f f <6.甲乙两人赛跑,计时开始时,甲在乙前方10(单位:m),图中,实践表示甲的速度曲线()1v v t =(单位m/s ),虚线表示乙的速度曲线 ()2,v v t = 三块阴影部分面积的数值依次为10,20,3,计时开始后乙追甲的时刻为0t (单位:s),则( ).A.010t =B.01520t <<C.025t =D.025t >7.设A 为3阶矩阵, ()123,,P ααα= 为可逆矩阵,使得1000010,002P AP -⎛⎫ ⎪= ⎪ ⎪⎝⎭则()123A ααα++=( ).A.12+ααB.13+2ααC.23+ααD.13+2αα8.已知矩阵200210100021020020001001002A B C ⎛⎫⎛⎫⎛⎫⎪ ⎪ ⎪=== ⎪ ⎪ ⎪ ⎪ ⎪ ⎪⎝⎭⎝⎭⎝⎭,,,则( ).A. A C B C 与相似,与相似B. A C B C 与相似,与不相似C. A C B C 与不相似,与相似D. A C B C 与不相似,与不相似二、填空题(9~14小题,每小题4分,共24分。
考研数学二(高等数学)历年真题试卷汇编9(题后含答案及解析) 题型有:1. 选择题 2. 填空题 3. 解答题选择题下列每题给出的四个选项中,只有一个选项符合题目要求。
1.设函数f(x)在x=0处可导,且f(0)=0,则A.一2f’(0).B.一f’(0).C.f’(0).D.0正确答案:B解析:2.函数f(x)=ln|(x一1)(x一2)(x一3)|的驻点个数为A.0B.1C.2D.3正确答案:C解析:令3x2—12x+11=0由于△= 122一12x+11>0,则该方程有两个实根,f(x)有两个驻点.3.曲线y=渐近线的条数为A.0B.1C.2D.3正确答案:C解析:由于=1,则该曲线有水平渐近线y=1.又=∞,则x=1为该曲线的一条垂直渐近线,故应选(C).4.设函数f(x)=(ex一1)(e2x一2)…(enx一n),其中n为正整数,则f’(0)= A.(一1)n一1(n一1)!.B.(一1)n(n一1)!.C.(一1)n1n!.D.(一1)nn!.正确答案:A解析:排除法:当n=2时,f(x)=(ex一1)(e2x一2)f’(x)=ex(e2x一2)+2e2x(ex一1)f’(0)=一1显然,(B)(C)(D)都不正确,故应选(A).5.设函数y=f(x)由方程cos(xy)+lny一x=1确定,则A.2B.1C.一1D.一2正确答案:A解析:由方程cos(xy)+lny一x=1知,当x=0时,y=1,即f(0)=1,以上方程两端对x求导得将x=0,y=1代入上式得y’|x=0=1,即f’(0)=1,6.下列曲线中有渐近线的是A.y=x+sinxB.y=x2+sinxC.y=x+sinD.y=x2+sin正确答案:C解析:由于所以曲线y=x+有斜渐近线y=x,故应选(C).7.设函数f(x)具有2阶导数,g(x)=f(0)(1一x)+f(1)x,则在区间[0,1]上A.当f’(x)≥0时,f(x)≥g(x)B.当f’(x)≥0时,f(x)≤g(x)C.当f”(x)≥0时,f(z)≥g(x)D.当f”(x)≥0时,f(x)≤g(x)正确答案:D解析:由于g(0)=f(0),g(1)=f(1),则直线y=f(0)(1一x)+f(1)x过点(0,f(0))和(1,f(1)),当f”(x)≥0时,曲线y=f(x)在区间[0,1]上是凹的,曲线y=f(x)应位于过两个端点(0,f(0))和(1,f(1))的弦y=f(0)(1一x)+f(1)x的下方,即f(x)≤g(x) 故应选(D).8.曲线上对应于t=1的点处的曲率半径是A.B.C.D.正确答案:C解析:故应选(C).9.设函数f(x)=arctanx,若f(x)=xf’(ξ),则A.B.C.D.正确答案:D解析:由f(x)= arctanx,及f(x)=xf’(ξ)得故应选(D).10.设函数f(x)=(α>0,β>0).若f’(x)在x=0处连续,则A.α一β>1.B.0<α一β≤1.C.α一β>2.D.0<α一β≤2.正确答案:A解析:f一’(0)=0,f+’(0)=该极限存在当且仅当α一1>0,即α>1.此时,α>1,f+’(0)=0,f’(0)=0.当x>0时,f’(x)=axα一1+βxα一β一1cos要使上式的极限存在且为0,当且仅当α一β一1>0.则α一β>1.故应选(A).11.设函数f(x)在(一∞,+∞)内连续,其2阶导函数f”(x)的图形如右图所示,则曲线y=f(x)的拐点个数为A.0B.1C.2D.3正确答案:C解析:由右图知f”(x1)=f”(x2)=0,f”(0)不存在,其余点上二阶导数f”(x)存在且非零,则曲线y=f(x)最多三个拐点,但在x=x1两侧的二阶导数不变号,因此不是拐点,而在x=0和x=x2两侧的二阶导数变号,则曲线y=f(x)有两个拐点,故应选(C).12.设函数f(x)在(一∞,+∞)内连续,其导函数的图形如图所示,则A.函数f(x)有2个极值点,曲线y=f(x)有2个拐点.B.函数f(x)有2个极值点,曲线y=f(x)有3个拐点.C.函数f(x)有3个极值点,曲线y=f(x)有1个拐点.D.函数f(x)有3个极值点,曲线y=f(x)有2个拐点.正确答案:B解析:x1,x3,x5为驻点,而在x1和x3两侧一阶导数f’(x)变号,则为极值点,在x5两侧一阶导数f’(x)不变号,则不是极值点,在x2处一阶导数不存在,但在x2两侧f’(x)不变号,则不是极值点.在x2处二阶导数不存在,在x4和x5处二阶导数为零,在这三个点两侧一阶导函数的增减性发生变化,则都为拐点,故应选(B).13.设函数fi(x)(i=1,2)具有二阶连续导数,且fi”(x0)<0(i=1,2).若两条曲线y=fi(x)(i=1,2)在点(x0,y0)处具有公切线y=g(x),且在该点处曲线y=f1(x)的曲率大于曲线y=f2(x)的曲率,则在x0的某个邻域内,有A.f1(x)≤f2(x)≤g(x).B.f2(x)≤f1(x)≤g(x).C.f1(x)≤g(x)≤f2(x).D.f2(x)≤g(x)≤f1(x).正确答案:A解析:由函数fi(x)(i=1,2)具有二阶连续导数,且fi”(x0)<0(i=1,2)可知,在x0某邻域内曲线y =fi(x)(i=1,2)是凸的,而两曲线y=fi(x)(i=1,2)在点(x0,y0)处有公共切线y=g(x),且在该点处曲线y=f1(x)的曲率大于曲线y=f2(x)的曲率,则在x0的某邻域内三条曲线如图所示,故在x0点的该邻域内f1(x)≤f2(x)≤g(x)故应选(A).填空题14.曲线y=的渐近线方程为________.正确答案:y=2x.解析:显然曲线y=无水平渐近线和垂直渐近线,则原曲线有斜渐近线y=2x.15.函数y=ln(1一2x)在x=0处的n阶导数y(n)(0)=________.正确答案:一2n(n一1)!.解析:利用ln(l+x)的麦克劳林展开式16.已知一个长方形的长l以2cm/s的速率增加,宽ω以3 cm/s的速率增加,则当l=12 cm,ω=5 cm时,它的对角线增加的速率为________.正确答案:3.解析:设l=x(t),ω=y(t),其对角线长为z(t),则z2(t)=x2(t)+y2(t),2z(t)z’(t)=2x(t)x’(t)+2y(t)y’(t)将x(t)=12,y(t)=5,x’(t)=2,y’(t)=3,z(t)==13代入上式得z’(t)=3.17.设y=y(x)是由方程x2一y+1=ey所确定的隐函数,则|x=0=________.正确答案:1.解析:在方程x2一y+1=ey中令x=0,得y=0,该方程两端对x求导得2x 一y’=eyy’将x=0,y=0代入上式得y’(0)=0,上式再对x求导2一y”=eyy’2+eyy”将x=0,y=0,y’(0)代入上式得y”(0)=1.18.曲线y=x2+x(x<0)上曲率为的点的坐标是________.正确答案:(一1,0).解析:由y=x2+x得,y’=2x+1,y”=2,代入曲率计算公式得由K=得(2x+1)2=1解得x=0或x=一1,又x<0,则x=一1,这时y=0,故所求点的坐标为(一1,0).19.曲线上对应于t=1的点处的法线方程为________.正确答案:y+x=解析:而t=1时,x=则t=1处的法线方程为20.设f(x)是周期为4的可导奇函数,且f’(x)=2(x 一1),x∈[0,2],则f(7)=________.正确答案:1.解析:由f’(x)=2(x一1),x∈[0,2]知,f(x)=(x一1)2+C.又f(x)为奇函数,则f(0)=0,C=一1.f(x)=(x一1)2一1.由于f(x)以4为周期,则f(7)=f[8+(一1)]=f(一1)=一f(1)=1.21.曲线L的极坐标方程是r=θ,则L在点(r,θ)=处的切线的直角坐标方程是________.正确答案:解析:22.=________.正确答案:48.解析:23.函数f(x)=x22x在x=0处的竹阶导数f(n)(0)=________.正确答案:n(n一1)(ln2)n一2.解析:24.曲线y=+arctan(1+x2)的斜渐近线方程为________.正确答案:y=x+解析:则该曲线的斜渐近线方程为y=x+25.已知函数f(x)在(一∞,+∞)上连续,且f(x)=(x+1)2+2∫0xf(t) dt,则当n≥2时,f(n)(0)=________.正确答案:5.2n一1.解析:等式f(x)=(x+1)2+2∫0xf (t)dt两边对x求导得f’(x)=2(x+1)+2f(x),f’(0)=2+2f(0)=4f”(x)=2+2f’(x),f”(0)=2+2f’(0)=10f”‘(x)=2f”(x)f(n)(x)=2f(n一1)(x)=22f(n一2)(x)=…=2n一2f”(x) (n>2)f(n)(0)=2n一22f”(0) (n>2)= 2n一2.10=2n一1.5.26.已知动点P在曲线y=x3上运动,记坐标原点与点P间的距离为l.若点P的横坐标对时间的变化率为常数υ0,则当点P运动到点(1,1)时,l对时间的变化率是________.正确答案:解析:由题设知解答题解答应写出文字说明、证明过程或演算步骤。
2008年考研数学二真题及参考答案一,选择题:(本题共8小题,每小题4分,共32分. 每小题给出的四个选项中,只有一项符合题目要求,把所选项前的字母填在题后的括号内)(1)设2()(1)(2)f x x x x =-+,则()f x '的零点个数为【 】. (A) 0. (B) 1. (C) 2. (D) 3. 【答案】应选(D).【详解】322()434(434)f x x x x x x x '=+-=+-.令()0f x '=,可得()f x '有三个零点.故应选(D).(2)曲线方程为()y f x =,函数在区间[0,]a 上有连续导数,则定积分0()axf x dx '⎰在几何上表示【 】.(A) 曲边梯形ABCD 的面积. (B) 梯形ABCD 的面积. (C) 曲边三角形ACD 面积. (D) 三角形ACD 面积. 【答案】 应选(C). 【详解】'0()()()()aa axf x dx xdf x af a f x dx ==-⎰⎰⎰,其中()af a 是矩形面积,0()af x dx ⎰为曲边梯形的面积,所以'()axf x dx ⎰为曲边三角形ACD的面积.故应选(C).(3)在下列微分方程中,以123cos 2sin 2xy C e C x C x =++(123,,C C C 为任意的常数)为通解的是【 】.(A) 440y y y y ''''''+--=. (B) 440y y y y ''''''+++=.(C) 440y y y y ''''''--+=. (D) 440y y y y ''''''-+-=. 【答案】 应选(D).【详解】由123cos 2sin 2xy C e C x C x =++,可知其特征根为11λ=,2,32i λ=±,故对应的特征值方程为2(1)(2)(2)(1)(4)i i λλλλλ-+-=-+3244λλλ=+-- 32444λλλ=-+-所以所求微分方程为440y y y y ''''''-+-=.应选(D).(4) 判定函数ln ()|1|xf x x =-,(0)x >间断点的情况【 】.(A) 有一个可去间断点,一个跳跃间断点. (B) 有一跳跃间断点,一个无穷间断点. (C) 有两个无穷间断点. (D)有两个跳跃间断点. 【答案】 应选(A).(5)设函数()f x 在(,)-∞+∞内单调有界,{}n x 为数列,下列命题正确的是【 】.(A) 若{}n x 收敛,则{()}n f x 收敛 (B) 若{}n x 单调,则{()}n f x 收敛 (C) 若{()}n f x 收敛,则{}n x 收敛. (D) 若{()}n f x 单调,则{}n x 收敛. 【答案】 应选(B).【详解】若若{}n x 单调,则由函数()f x 在(,)-∞+∞内单调有界知,若{()}n f x 单调有界,因此若{()}n f x 收敛.故应选(B).(6)设函数()f x 连续,221x y +=,222,1x y u u +=>,若22(,)DF u v =,则Fu∂=∂【 】. (A) 2()vf u (B) ()vf u (C)2()v f u u (D) ()vf u u【答案】 应选(A).【详解】利用极坐标,得2222011()(,)()v uu Df r F u v dv rdr v f r drr===⎰⎰⎰,所以Fu∂=∂2()vf u .故应选(A). (7)设A 为n 阶非零矩阵,E 为n 阶单位矩阵.若30A =,则下列结论正确的是【 】. (A) E A -不可逆,则E A +不可逆. (B) E A -不可逆,则E A +可逆.(C) E A -可逆,则E A +可逆. (D) E A -可逆,则E A +不可逆. 【答案】应选(C).【详解】23()()E A E A A E A E -++=-=,23()()E A E A A E A E +-+=+=.故E A -,E A +均可逆.故应选(C).(8) 设1221A ⎛⎫= ⎪⎝⎭,则在实数域上,与A 合同矩阵为【 】. (A) 2112-⎛⎫⎪-⎝⎭ . (B)2112-⎛⎫ ⎪-⎝⎭. (C) 2112⎛⎫ ⎪⎝⎭. (D) 1221-⎛⎫ ⎪-⎝⎭.【答案】 应选(D). 【详解】2212(1)423(1)(3)021E A λλλλλλλλ---==--=--=+-=--则121,3λλ=-=,记1221D -⎛⎫=⎪-⎝⎭,则2212(1)423(1)(3)021E D λλλλλλλλ--==--=--=+-=-则121,3λλ=-=,正负惯性指数相同.故选D.二、填空题:(9-14小题,每小题4分,共24分. 把答案填在题中横线上.) (9)已知函数()f x 连续,且01cos[()]lim 1(1)()x x xf x e f x →-=-,则(0)f =【答案】 应填2.(10)微分方程2()0xy x e dx xdy -+-=的通解是 . 【答案】 应填()xy x C e -=-.(11)曲线sin()ln()xy y x x +-=在点(0,1)的切线方程为 . 【答案】 应填1y x =+. 【详解】(12)曲线23(5)y x x =-的拐点坐标为 . 【答案】 (1,6)--. 【详解】 (13)设x yy z x ⎛⎫=⎪⎝⎭,则(1,2)z x ∂=∂ . 【答案】21)-. (14)设3阶矩阵A 的特征值为2,3,λ.若行列式|2|48A =-,则λ=___________. 【答案】应填1-.三、解答题(15-23小题,共94分).(15)(本题满分9分) 求极限[]4sin sin(sin )sin limx x x x x →-.【详解1】[]40sin sin(sin )sin limx x x x x →-[]3sin sin(sin )lim x x x x →-==20cos cos(sin )cos lim3x x x x x →-201cos(sin )lim3x x x →-= 0sin(sin )cos lim6x x x x →=(或2201(sin )2lim 3x x x →=,或22201sin (sin )2lim 3x x o x x →+=) 16=. 【详解2】[]40sin sin(sin )sin limx x x x x →-[]40sin sin(sin )sin lim sin x x x x x→-==30sin lim t t t t →-201cos lim 3t t t →-=2202lim 3t t t →=(或0sin lim 6t t t →=) 16=. (16)(本题满分10分)设函数()y y x =由参数方程20()ln(1)t x x t y u du =⎧⎪⎨=+⎪⎩⎰确定,其中()x x t =是初值问题020xt dx te dtx -=⎧-=⎪⎨⎪=⎩的解,求22d y dx . 【详解1】由20x dxte dt--=得 2x e dx tdt =,积分得2x e t C =+.由条件00t x ==,得1C =,即21x e t =+, 故 2ln(1)x t =+.方程组220ln(1)ln(1)t x t y u du ⎧=+⎪⎨=+⎪⎩⎰两端同时对t 求导得 22212ln(1)dx t dt t dy t t dt⎧=⎪⎪+⎨⎪=+⎪⎩. 所以22(1)ln(1)dy dy dt t t dxdx dt==++,从而222222(1)ln(1)(1)ln(1)d t t d t t d y dtdx dx dxdt⎡⎤++⎣⎦⎡⎤++⎣⎦==22222ln(1)2(1)[ln(1)1]21t t t t t t t ++==++++.17(本题满分9分)计算21⎰.【详解1】由于21lim x -→=+∞,故21⎰是反常积分.令arcsin x t =,有sin x t =,[0,)2t π∈.2122200cos 2sin ()22t tt tdt dt ππ==-⎰⎰⎰222001sin 244t td t ππ=-⎰2220sin 21sin 21644t t tdt πππ=-+⎰ 2201cos 2168t ππ=-21164π=+. 【详解2】2112201(arcsin )2x d x =⎰⎰21222001(arcsin )(arcsin )2x x x x dx π=-⎰2120(arcsin )8x x dx π=-⎰令arcsin x t =,有sin x t =,[0,)2t π∈.1222001(arcsin )sin 22x x dx t tdt π=⎰⎰222001(cos 22cos 2)4t t t tdt ππ=--⎰21164π=-,所以2211164π=+⎰. (18)(本题满分11分) 计算max{,1}Dxy dxdy ⎰⎰,其中{}(,),02,02D x y x y =≤≤≤≤.【详解】将区域D 分成如图所示得两个子区域12,D D 和3D .于是123max{,1}max{,1}max{,1}max{,1}DD D D xy dxdy xy dxdy xy dxdy xy dxdy =++⎰⎰⎰⎰⎰⎰⎰⎰12311D D D xydxdy dxdy dxdy =++⎰⎰⎰⎰⎰⎰1122222111022x xdx xydy dx dy dx dy =++⎰⎰⎰⎰⎰⎰1519ln 212ln 2ln 244=-++=+. (19)(本题满分11分)设()f x 是区间[0,)+∞上具有连续导数的单调增加函数,且(0)1f =.对任意的[0,)t ∈+∞,直线0,x x t ==,曲线()y f x =以及x 轴所围成的曲边梯形绕x 轴旋转一周生成一旋转体,若该旋转体的侧面面积在数值上等于其体积的2倍,求函数()f x 的表达式. 【详解】根据题意,因为旋转体体积20()tV f x dx π=⎰,侧面积02(tS f x π=⎰.所以 22()2(tt f x dx f x ππ=⎰⎰.上式两边同时对t 求导得2()(f t f t =解得 1ln(y t C =+,t y Ce +=.由(0)1y =,得1C =.所以 t y e = 或 1()()2t t y f x e e -==+.(20)(本题满分11分) (I)证明积分中值定理:若函数()f x 在闭区间[,]a b 上连续,则至少存在一点[,]a b η∈,使得()()()baf x dx f b a η=-⎰;(II)若函数()x ϕ具有二阶导数,且满足(2)(1)ϕϕ>,32(2)()x dx ϕϕ>⎰,则至少存在一点(1,3)ξ∈,使得()0ϕξ''<.【证法1】若函数()f x 在闭区间[,]a b 上连续,则必存在最大值M 和最小值m .即()m f x M ≤≤,[,]x a b ∈于是有()()()bam b a f x dx M b a -≤≤-⎰.即1()b a m f x dx M b a≤≤-⎰ 根据闭区间上连续函数的介值定理,在[,]a b 上至少存在一点[,]a b η∈,使得1()()b a f f x dx b aη=-⎰ 因此而的证.(II )存在[2,3]η∈,使得32()()x dx ϕϕη=⎰.由32(2)()()x dx ϕϕϕη>=⎰,知(2,3]η∈.由(2)(1)ϕϕ>,利用微分中值定理,存在1(1,2)ξ∈,使得1(2)(1)()021ϕϕϕξ-'=>-.由(2)()ϕϕη>,利用微分中值定理,存在2(2,)ξη∈,使得2()(2)()02ϕηϕϕξη-'=<-.存在存在12(,)(1,3)ξξξ∈⊂,使得2121()()()0ϕξϕξϕξξξ''-''=<-.(21)(本题满分11分)求函数222u x y z =++在约束条件22z x y =+和4x y z ++=下的最大值和最小值. 【详解1】作拉格朗日函数22222(,,)()(4)F x y z x y z x y z x y z λμ=++++-+++-.令2222022020040xy z F x x F y y F z x y z x y z λμλμλμ⎧'=++=⎪⎪'=++=⎪⎪'=-+=⎨⎪+-=⎪⎪++-=⎪⎩解之得111222(,,)(1,1,2),(,,)(2,2,8),x y z x y z ==--故所求得最大值为72,最小值为6.【详解2】由题意知,4422222u x y x y x y =++++在条件224x y x y +++=下的最值.令323222442(12)0442(12)040x y F x xy x x F y x y y y x y x y λλ⎧'=++++=⎪⎪'=++++=⎨⎪+-++=⎪⎩2222022020040xy z F x x F y y F z x y z x y z λμλμλμ⎧'=++=⎪⎪'=++=⎪⎪'=-+=⎨⎪+-=⎪⎪++-=⎪⎩解之得111222(,,)(1,1,2),(,,)(2,2,8),x y z x y z ==--故所求得最大值为72,最小值为6.(22) (本题满分12分).设n 元线性方程组Ax b =,其中2222212121212a a a a a A a a a a ⎛⎫ ⎪⎪⎪=⎪ ⎪⎪ ⎪ ⎪⎝⎭,12n x x x x ⎛⎫ ⎪ ⎪= ⎪ ⎪⎝⎭,12n b bb b ⎛⎫ ⎪ ⎪= ⎪ ⎪⎝⎭.(I )证明行列式||(1)n A n a =+;(II )当a 为何值时,该方程组有惟一解,并求1x . (III )当a 为何值时,该方程组有无穷多解,并求其通解.【详解】(I )【证法1】数学归纳法.记2222212121||212n na a a a aD A a a a a ==以下用数学归纳法证明(1)nn D n a =+.当1n =时,12D a =,结论成立. 当2n =时,2222132a D a a a==,结论成立. 假设结论对小于n 的情况成立.将n D 按第一行展开得2212212121212212n n n a a a a aD aD a a a a --=-2122n n aD a D --=-1222(1)n n ana a n a --=-- (1)n n a =+故 (1)nA n a =+.【注】本题(1)也可用递推法.由2122n n n D aD a D --==-得,2211221()()n n n n n n n D aD a D aD a D a D a ------=-==-=.于是(1)n n D n a =+(I )【证法2】消元法.记2222212121||212na a a a aA a a a a =22122213121212212na a a ar ar a a a a -322222130124123321212naa a r ar a aa a a a -=21213122110111n n na a aan r ar nn a n n a n ----+(1)n n a =+.(II )【详解】当0a ≠时,方程组系数行列式0n D ≠,故方程组有惟一解.由克莱姆法则,将n D 得第一列换成b ,得行列式为22211222211121021212121212122n n nn a aa a a aa aD na a a a a a a a a ---===所以,11(1)n n D ax D n a-==+. (III )【详解】 当0a =时,方程组为12101101001000n n x x x x -⎛⎫⎛⎫⎛⎫ ⎪⎪ ⎪ ⎪ ⎪ ⎪⎪ ⎪ ⎪=⎪ ⎪ ⎪ ⎪ ⎪ ⎪ ⎪ ⎪ ⎪⎝⎭⎝⎭⎝⎭ 此时方程组系数矩阵得秩和增广矩阵得秩均为1n -,所以方程组有无穷多组解,其通解为()()010100TTx k =+,其中k 为任意常数.(23) (本题满分10分)设A 为3阶矩阵,12,αα为A 的分别属于特征值1,1-的特征向量,向量3α满足321A ααα=+,(I)证明123,,ααα线性无关; (II)令123(,,)P ααα=,求1P AP -.【详解】(I)【证明】设有一组数123,,k k k ,使得 122330k k k ααα++=. 用A 左乘上式,得112233()()()0k A k A k A ααα++=. 因为 11A αα=-, 22A αα=,321A ααα=+, 所以 1123233()0k k k k ααα-+++=, 即113220k k αα-=.由于12,αα是属于不同特征值得特征向量,所以线性无关,因此130k k ==,从而有20k =.故 123,,ααα线性无关.(II )由题意,100011001AP P -⎛⎫ ⎪= ⎪ ⎪⎝⎭.而由(I )知,123,,ααα线性无关,从而123(,,)P ααα=可逆.故1100011001P AP --⎛⎫⎪= ⎪ ⎪⎝⎭.。
2010年考研数学二真题(强烈推荐)一填空题(8×4=32分)2009年全国硕士研究生入学统一考试数学二试题一、选择题:1~8小题,每小题8分,共32分,下列每小题给出的四个选项中,只有一项符合题目要求,把所选项前的字母填在题后的括号内。
(1)函数3()sin x x f x nx-=与2()ln(1)g x x bx =-是等价无穷小,则()(A )1(B )2(C )3(D )无穷多个(2)当0x →时,()sin f x x ax =-与2()ln(1)g x x bx =-是等价无穷小,则() (A )11,6a b ==-(B )11,6a b == (C )11,6a b =-=-(D )11,6a b =-= (3)设函数(,)z f x y =的全微分为dz xdx ydy =+,则点(0,0)() (A )不是(,)f x y 的连续点 (B )不是(,)f x y 的极值点 (C )是(,)f x y 的极大值点(D )是(,)f x y 的极小值点(4)设函数(,)f x y 连续,则222411(,)(,)yxydx f x y dy dy f x y dx -+⎰⎰⎰⎰=()(A )2411(,)ydx f x y dy -⎰⎰(B )241(,)xx dx f x y dy -⎰⎰(C )2411(,)ydx f x y dx -⎰⎰(D )221(,)ydx f x y dx ⎰⎰(5)若()f x ''不变号,且曲线()y f x =在点(1,1)的曲率圆为222x y +=,则()f x 在区间(1,2)内()(A )有极值点,无零点 (B )无极值点,有零点(C )有极值点,有零点(D )无极值点,无零点(6)设函数()y f x =在区间[-1,3]上的图形为则函数0()()xF x f t dt =⎰为()(7)设A、B 均为2阶矩阵,,A B **分别为A 、B 的伴随矩阵。
考研数学二(高等数学)历年真题试卷汇编29(题后含答案及解析) 题型有:1. 选择题 2. 填空题 3. 解答题选择题下列每题给出的四个选项中,只有一个选项符合题目要求。
1.甲乙两人赛跑,计时开始时,甲在乙前方10(单位:米)处,图中实线表示甲的速度曲线v=v1(t)(单位:m/s),虚线表示乙的速度曲线v=v2(t),三块阴影部分的面积的数值依次为10,20,3。
计时开始后乙追上甲的时刻记为t0(单位:s),则( )A.t0=10。
B.15<t0<20。
C.t0=25。
D.t0>25。
正确答案:C解析:从0到t0时刻,甲、乙的位移分别为v1(t)dt和v2(t)dt。
要使乙追上甲,则需[v2(t)-v1(t)]dt=10。
由定积分的几何意义可知∫025[v2(t)-v1(t)]dt=20-10=10,则t0=25。
故选C。
知识模块:一元函数积分学2.设f(x)=x2(x-1)(x-2),则f’(x)的零点个数为( )A.0。
B.1。
C.2。
D.3。
正确答案:D解析:因为f(0)=f(1)=f(2)=0,由罗尔定理知有ξ1∈(0,1),ξ2∈(1,2)使f’(ξ1)=f’(ξ2)=0,所以f’(x)至少有两个零点。
又f’(x)中含有因子x,故x=0也是f’(x)的零点,D正确。
知识模块:中值定理填空题3.一根长为1的细棒位于x轴的区间[0,1]上,若其线密度ρ(x)=-x2+2x+1,则该细棒的质心坐标=_______。
正确答案:11/20解析:质心横坐标其中∫01xρ(x)dx=∫01x(-x2+2x+1)dx=(-)|01=11/12,∫01ρ(x)dx=∫01(-x2+2x+1)dx=(-+x2+x)|01=5/3,所以得知识模块:一元函数积分学解答题解答应写出文字说明、证明过程或演算步骤。
4.设函数f(x)=,x∈[0,1],定义函数列:f1(x)=f(x),f2(x)=f[f1(x)],…,fn(x)=f[fn-1(x)],…。
1997 年全国硕士研究生入学统一考试(数学二)一、填空题(本题共5小题,每小题3分,满分15分.把答案填在题中横线上)(1)已知()()==⎪⎩⎪⎨⎧=≠=-a x x a x xosx x f x 处连续,则,在,,0002_____________.(2)设则,11ln2xxy +-==''=0x y _____________.(3)()=-⎰x x dx4_____________.(4)设=++⎰+∞284x x dx_____________.(5)已知向量组)2,5,4,0(,0,0,21,12,132,1--==-=ααα),(),(t 的秩为2,则t =_____________. 二、选择题 1.设n x xx e e x 与时,-→tan ,0是同阶无穷小,则n 为( )(A )1(B )2(C )3(D )4(2)设在区间[,]a b 上()0,()0,()0.f x f x f x '''><>记1231(),()(),[()()](),2b a S f x dx S f b b a S f a f b b a ==-=+-⎰则( ) (A)123S S S << (B) 231S S S << (C)312S S S <<(D)213S S S <<(3)已知函数()x f y =对一切x 满足()()()()则若,00,1][3002≠='-='+''-x x f e x f x x f x x( )(A)()()的极大值是x f x f 0 (B)()()的极小值是x f x f 0(C)())的拐点(是,x f y x f x =)(00(D)()()()()的拐点也不是曲线的极值,不是x f y x f x x f x f =)(,000 (4)设2sin ()e sin ,x t xF x tdt π+=⎰则()F x ( )(A)为正常数(B)为负常数(C)恒为零(D)不为常数(5).设()()()为则][,0,0,,0,20,22x f g x x x x x f x x x x x g ⎪⎩⎪⎨⎧⎩⎨⎧≥-<=>+≤-=( ) (A )⎧<+0,22x x(B )⎧<-0,22x x1996 年全国硕士研究生入学统一考试(数学二)一、填空题(本题共5小题,每小题3分,满分15分.把答案填在题中横线上)(1)设='+==-0x 322y ,)(则x e x y _____________.(2)=-+⎰-dx x x 21121)(_____________.(3)微分方程的052=+'+''y y y 通解为_____________.(4)=⎥⎦⎤⎢⎣⎡+-+∞→)11ln(sin )31ln(sin lim x x x x _____________.(5)由曲线22,1==+=y x x y 及所围图形的面积=S _____________.(2)设函数()x f 在区间),(δδ-内有定义,若当),(δδ-∈x 时,恒有()0,2=≤x x x f 则必是()x f 的( ) (A)间断点(B)连续而不可导的点 (C)可导的点,且0)0(='f(D)可导的点,且()00≠'f(3)设)(x f 处处可导,则( )(A)()()-∞='-∞=-∞→-∞→x f x f x x lim ,lim 必有当(B)()()-∞=-∞='-∞→-∞→x f x f x x lim ,lim 必有当(C)()()+∞='+∞=-∞→-∞→x f x f x x lim ,lim 必有当(D)()()+∞=+∞='-∞→-∞→x f x f x x lim ,lim 必有当(4)在区间0cos 2141=-+∞+∞-x x x )内,方程,(( ) (A)无实根 (B)有且仅有一个实根 (C)有且仅有两个实根(D)有无穷多个实根(5).设),()()()(],[)(),(x g y m m x f x g b a x g x f =<<,由曲线为常数上连续,且在区间b x a x x f y ===及),(所围平面图形绕直线m y =旋转体体积为( ) (A )⎰-+-badx x g x f x g x f m )]()()][()(2[π(B )⎰---badx x g x f x g x f m )]()()][()(2[π(C )⎰-+-bdx x g x f x g x f m )]()()][()([π(D )⎰---bdx x g x f x g x f m )]()()][()([π(1)计算.12102dx e n x ⎰--(2)求.sin 1⎰+x dx(3)设⎪⎩⎪⎨⎧==⎰,)]([,)(2202t f y du u f x t其中)(u f 具有二阶导数,且.,0)(22dx y d u f 求≠(4)求函数011)(=+-=x xxx f 在点处带拉格朗日型余项n 阶泰勒展开式。
2008年全国硕士研究生入学统一考试数学二试题解析一、选择题 (1)【答案】D【详解】因为(0)(1)(2)0f f f ===,由罗尔定理知至少有1(0,1)x Î,21(1,2),2)x Î使12()()0f f x x ¢¢==,所以()f x ¢至少有两个零点. 又()f x ¢中含有因子x ,故0x =也是()f x ¢的零点,的零点, D 正确. 本题的难度值为0.719. (2)【答案】C【详解】000()()()()()()aaaaa xf x dx xdf x xf x f x dx af a f x dx ¢==-=-òòòò其中()af a 是矩形ABOC 面积,0()a f x dx ò为曲边梯形ABOD 的面积,所以0()a xf x dx ¢ò为曲边三角形的面积.曲边三角形的面积. 本题的难度值为0.829. (3)【答案】D【详解】由微分方程的通解中含有xe 、cos 2x 、sin 2x 知齐次线性方程所对应的特征方程有根1,2r r i ==±,所以特征方程为(1)(2)(2)0r r i r i --+=,即32440r r r -+-=. 故以已知函数为通解的微分方程是40y y y ¢¢¢¢¢¢-+-= 本题的难度值为0.832. (4) 【答案】A【详解】0,1x x ==时()f x 无定义,故0,1x x ==是函数的间断点是函数的间断点 因为因为 0000ln11lim ()limlimlim csc |1|csc cot x x x x x x f x xx x x++++®®®®=×=--20sin lim lim 0cos cos x x x xx xx++®®=-=-= 同理同理 0lim ()0x f x -®= 又 1111ln 1lim ()lim lim sin lim sin1sin11x x x x x f x x x x ++++®®®®æö=×==ç÷-èø所以所以 0x =是可去间断点,1x =是跳跃间断点. 本题的难度值为0.486. (5)【答案】B【详解】因为()f x 在(,)-¥+¥内单调有界,且{}nx 单调. 所以{()}nf x 单调且有界. 故{()}nf x 一定存在极限. 本题的难度值为0.537. (6)【答案】A【详解】用极坐标得【详解】用极坐标得 ()()222()22211,()vuuf r rDf u v F u v dudv dvrdr vf r dr u v +===+òòòòò所以所以 ()2F vf u u ¶=¶本题的难度值为0.638. (7) 【答案】C【详解】23()()E A E A A E A E -++=-=,23()()E A E A A E A E +-+=+= 故,E A E A -+均可逆.均可逆. 本题的难度值为0.663. (8) 【答案】D【详解】记1221D -æö=ç÷-èø, 则()2121421E D l l l l --==---,又()2121421E A l l l l ---==----所以A 和D 有相同的特征多项式,所以A 和D 有相同的特征值. 又A 和D 为同阶实对称矩阵,所以A 和D 相似.由于实对称矩阵相似必合同,故D 正确. 本题的难度值为0.759. 二、填空题 (9)【答案】2 【详解】222220001cos[()]2sin [()2]2sin [()2]()lim lim lim ()[()2]4(1)()x x x x xf x xf x xf x f x x f x xf x e f x ®®®-×==×- 011lim ()(0)122x f x f ®=== 所以所以 (0)2f = 本题的难度值为0.828. (10)【答案】()xx eC --+【详解】微分方程()20xy x e dx xdy -+-=可变形为xdy y xe dx x--=所以所以 111()dx dx x x x x x y e xe e dx C x xe dx C x e C x ----éùæöòò=+=×+=-+êúç÷èøëûòò本题的难度值为0.617. (11)【答案】1y x =+【详解】设(,)sin()ln()F x y xy y x x =+--,则1cos()11cos()x y y xy F dy y xdx F x xy y x--¢-=-=-¢+-,将(0)1y =代入得01x dydx==,所以切线方程为10y x -=-,即1y x =+本题的难度值为0.759. (12)【答案】(1,6)--【详解】53235y xx=-Þ23131351010(2)333x y x x x -+¢=-= Þ134343101010(1)999x y xx x --+¢¢=+= 1x =-时,0y ¢¢=;0x =时,y ¢¢不存在不存在在1x =-左右近旁y ¢¢异号,在0x =左右近旁0y ¢¢>,且(1)6y -=- 故曲线的拐点为(1,6)-- 本题的难度值为0.501. (13)【答案】2(ln 21)2- 【详解】设,y xu v x y==,则v z u = 所以所以121()ln v v z z u z vy vu u u x u x v xx y -¶¶¶¶¶=×+×=-+×¶¶¶¶¶ 2ln 11ln x y vvy u y y u uxy x y x æöæöæö=-+=×-+ç÷ç÷ç÷èøèøèø所以所以 (1,2)2(ln 21)2zx ¶=-¶本题的难度值为0.575. (14)【答案】-1 【详解】||236A l l =´´= 3|2|2||A A =32648l \ ´=- 1l Þ=- 本题的难度值为0.839. 三、解答题 (15)【详解】【详解】 方法一:43[sin sin(sin )]sin sin sin(sin )limlim x xx x xx x x x ®®--=22220001sin cos cos(sin )cos 1cos(sin )12lim lim lim 3336x x x xx x x x x x x ®®®--==== 方法二:331sin ()6x x x o x =-+ 331sin(sin )sin sin (sin )6x x x o x =-+4444400[sin sin(sin )]sin sin (sin )1lim lim 66x x x x x x o x x x x ®®éù-\ =+=êúëû 本题的难度值为0.823. (16)【详解】【详解】方法一:由20x dx te dt--=得2x e dx tdt =,积分并由条件0t x =得21x e t =+,即2l n (1)x t =+所以所以 2222ln(1)2(1)ln(1)21dydy t tdt t t dx t dxdt t +×===+++ 222222[(1)ln(1)]2ln(1)221d t t d y d dy t t t dtdx t dx dx dx dt t ++++æö===ç÷èø+22(1)[ln(1)1]t t =+++方法二:由20x dxte dt --=得2x e dx tdt =,积分并由条件0t x =得21x e t =+,即2l n (1)x t =+所以所以 2222ln(1)2(1)ln(1)21xdydy t t dt t t e x dx t dxdt t +×===++=+ 所以所以22(1)xd ye x dx =+本题的难度值为0.742. (17)【详解】【详解】 方法一:由于221arcsin lim 1x x x x-®=+¥-,故212arcsin 1x x dx x-ò是反常积分. 2)1dx tx ppp-22200sin 244tt t p p 2ppp21dx x -20pp p 221x xòòòD 1D 3 D 2(19)【详解】旋转体的体积2()t V f x dx p =ò,侧面积202()1()tS f x f x dx p ¢=+ò,由题设条件知设条件知220()()1()ttf x dx f x f x dx ¢=+òò上式两端对t 求导得求导得 22()()1()f t f t f t ¢=+, 即 21y y ¢=- 由分离变量法解得由分离变量法解得 21l n (1)y y t C +-=+, 即 21t y y C e +-=将(0)1y =代入知1C =,故21t y y e +-=,1()2t t ye e -=+于是所求函数为于是所求函数为 1()()2xxy f x ee -==+本题的难度值为0.497. (20)【详解】(I) 设M 与m 是连续函数()f x 在[,]a b 上的最大值与最小值,即上的最大值与最小值,即()m f x M ££ [,]x a b Î由定积分性质,有由定积分性质,有 ()()()bam b a f x dx M b a -££-ò,即,即 ()baf x dx m M b a££-ò由连续函数介值定理,至少存在一点[,]a b h Î,使得,使得 ()()b af x dx f b ah =-ò即()()()baf x dx f b a h =-ò(II) 由(I)的结论可知至少存在一点[2,3]h Î,使,使 32()()(32)()x dx j j h j h =-=ò又由又由 32(2)()()x d x j j j h>=ò,知,知 23h <£ 对()x j 在[1,2][2,]h 上分别应用拉格朗日中值定理,并注意到(1)(2)j j <,()(2)j h j <得1(2)(1)()021jjj x -¢=>- 112x <<2()(2)()02j h j j x h -¢=<- 123x h <<£在12[,]x x 上对导函数()x j ¢应用拉格朗日中值定理,有应用拉格朗日中值定理,有2121()()()0j x j x j x x x ¢¢-¢¢=<- 12(,)1(1,3),3)x x x ÎÌ 本题的难度值为0.719. (21)【详解】【详解】方法一:作拉格朗日函数22222(,,,,)()(4)F x y z x y z x y z x y z l m l m =++++-+++-令 2222022020040x y z F x x F y y F z F x y z F x y z l ml m l m l m ¢=++=ì¢=++=ïï¢=-+=íï¢=+-=ï¢=++-=ïî解方程组得111222(,,)1(1,1,1,1,2),(,2),(,,)(2,2,8)x y z x y z ==-- 故所求的最大值为72,最小值为6. 方法二:问题可转化为求2242242u x y x x y y =++++在224x y x y +++=条件下的最值条件下的最值设44222222(,,)2(4)F x y u x y x y x y x y x y l l ==++++++++-令 323222442(12)0442(12)040x y F x xy x x F y x y y y F x y x y ll l ¢ì=++++=ï¢=++++=íï¢=+++-=î 解得1122(,)1(1,1,1,1),(),(,)(2,2)x y x y ==--,代入22z x y =+,得122,8z z == 故所求的最大值为72,最小值为6. 本题的难度值为0.486. (22)【详解】(I)证法一:222212221213211221221122a a a a a a aa aA r ar aaa a =-=121301240134(1)2(1)3231(1)0nn n a a a n a a n a r ar a n a nnn a n--+-=×××=++证法二:记||nDA =,下面用数学归纳法证明(1)n n D n a =+.当1n =时,12D a =,结论成立.,结论成立. 当2n =时,2222132a D a a a==,结论成立.,结论成立. 假设结论对小于n 的情况成立.将n D 按第1行展开得行展开得2212102121212n n a a a a D aD a a-=-21221222(1)(1)n n nn n aD a D ana a n a n a ---- =-=--=+故 ||(1)n A n a =+证法三:记||nD A =,将其按第一列展开得,将其按第一列展开得 2122n n n D aD a D --=-, 所以所以 2211212()n n n n n n D aD aD a D a D aD ------=-=-222321()()n n n n a D aD a D aD a ---=-==-=即 12122()2n n n n n n n n D a aD a a a aD a a D ----=+=++=++2121(2)(1)n n n n n a a D n a a D --==-+=-+ 1(1)2(1)n nn n a a a n a -=-+×=+(II)因为方程组有唯一解,所以由Ax B =知0A ¹,又(1)nA n a =+,故0a ¹. 由克莱姆法则,将n D 的第1列换成b ,得行列式为,得行列式为2221122(1)(1)112102121221122n n n nn n a a a aa aa aD naa a a a --´-´-===所以所以 11(1)n nD nxD n a-==+ (III)方程组有无穷多解,由0A =,有0a =,则方程组为,则方程组为12101101001000n n x x x x -æöæöæöç÷ç÷ç÷ç÷ç÷ç÷ç÷ç÷ç÷=ç÷ç÷ç÷ç÷ç÷ç÷èøèøèø 此时方程组系数矩阵的秩和增广矩阵的秩均为1n -,所以方程组有无穷多解,其通解为,所以方程组有无穷多解,其通解为()()10000100,TTk k +为任意常数.为任意常数.本题的难度值为0.270. (23)【详解】(I) 证法一:假设123,,a a a 线性相关.因为12,a a 分别属于不同特征值的特征向量,故12,a a 线性无关,则3a 可由12,a a 线性表出,不妨设31122l l a a a =+,其中12,l l 不全为零(若12,l l 同时为0,则3a 为0,由323A a a a =+可知20a =,而特征向量都是非0向量,矛盾) 11,A a a =-22A a a =\32321122A l l a a a a a a =+=++,又311221122()A A l l l l a a a a a =+=-+ \112221122l l l l a a a a a -+=++,整理得:11220l a a +=则12,a a 线性相关,矛盾. 所以,123,,a a a 线性无关. 证法二:设存在数123,,k k k ,使得1122330k k k a a a ++= (1) 用A 左乘(1)的两边并由11,A a a =-22A a a =得1123233()0k k k k a a a -+++= (2) (1)—(2)得 113220k k a a -= (3) 因为12,a a 是A 的属于不同特征值的特征向量,所以12,a a 线性无关,从而130k k ==,代入(1)得220k a =,又由于20a ¹,所以20k =,故123,,a a a 线性无关. (II) 记123(,,)P a a a =,则P 可逆,可逆,123123(,,)(,,)AP A A A A a a a a a a ==1223(,,)a a a a =-+123100(,,)01101a a a -æöç÷=ç÷ç÷èø10001101P -æöç÷=ç÷ç÷èø所以所以 1100011001P AP --æöç÷=ç÷ç÷èø. 本题的难度值为0.272. 。
2008年研究生入学统一考试数学二试题与答案一、选择题:1~8小题,每小题4分,共32分,下列每小题给出的四个选项中,只有一项符合题目要求,把所选项前的字母填在题后的括号内.(1)设2()(1)(2)f x x x x =--,则'()f x 的零点个数为( )()A 0 ()B 1. ()C 2 ()D 3(2)曲线方程为()y f x =函数在区间[0,]a 上有连续导数,则定积分()at af x dx ⎰( )()A 曲边梯形ABCD 面积. ()B 梯形ABCD 面积. ()C 曲边三角形ACD 面积.()D 三角形ACD 面积.(3)在下列微分方程中,以123cos 2sin 2xy C e C x C x =++(123,,C C C 为任意常数)为通解的是( )()A ''''''440y y y y +--= ()B ''''''440y y y y +++=()C ''''''440y y y y --+=()D ''''''440y y y y -+-=(5)设函数()f x 在(,)-∞+∞内单调有界,{}n x 为数列,下列命题正确的是( )()A 若{}n x 收敛,则{}()n f x 收敛. ()B 若{}n x 单调,则{}()n f x 收敛. ()C 若{}()n f x 收敛,则{}n x 收敛.()D 若{}()n f x 单调,则{}n x 收敛.(6)设函数f 连续,若2222()(,)uvD f x y F u v dxdy x y +=+⎰⎰,其中区域uv D 为图中阴影部分,则Fu∂=∂ ()A 2()vf u ()B 2()vf u u ()C ()vf u ()D ()vf u u(7)设A 为n 阶非零矩阵,E 为n 阶单位矩阵. 若30A =,则( )()A E A -不可逆,E A +不可逆.()B E A -不可逆,E A +可逆. ()C E A -可逆,E A +可逆.()D E A -可逆,E A +不可逆.(8)设1221A ⎛⎫=⎪⎝⎭,则在实数域上与A 合同的矩阵为( ) ()A 2112-⎛⎫⎪-⎝⎭.()B 2112-⎛⎫⎪-⎝⎭.()C 2112⎛⎫ ⎪⎝⎭.()D 1221-⎛⎫⎪-⎝⎭.二、填空题:9-14小题,每小题4分,共24分,请将答案写在答题纸指定位置上. (9) 已知函数()f x 连续,且21cos[()]lim1(1)()x x xf x e f x →-=-,则(0)____f =.(10)微分方程2()0xy x e dx xdy -+-=的通解是____y =.(11)曲线()()sin ln xy y x x +-=在点()0,1处的切线方程为 . (12)曲线23(5)y x x =-的拐点坐标为______. (13)设xyy z x ⎛⎫=⎪⎝⎭,则(1,2)____z x ∂=∂.(14)设3阶矩阵A 的特征值为2,3,λ.若行列式248A =-,则___λ=.三、解答题:15-23小题,共94分.请将解答写在答题纸指定的位置上.解答应写出文字说明、证明过程或演算步骤.(15)(本题满分9分)求极限()40sin sin sin sin lim x x x x x →-⎡⎤⎣⎦. (16)(本题满分10分)设函数()y y x =由参数方程20()ln(1)t x x t y u du =⎧⎪⎨=+⎪⎩⎰确定,其中()x t 是初值问题0200x t dx te dt x --⎧-=⎪⎨⎪=⎩的解.求22y x ∂∂. (17)(本题满分9分)求积分1⎰.(18)(本题满分11分)求二重积分max(,1),Dxy dxdy ⎰⎰其中{(,)02,02}D x y x y =≤≤≤≤(19)(本题满分11分)设()f x 是区间[)0,+∞上具有连续导数的单调增加函数,且(0)1f =.对任意的[)0,t ∈+∞,直线0,x x t ==,曲线()y f x =以及x 轴所围成的曲边梯形绕x 轴旋转一周生成一旋转体.若该旋转体的侧面积在数值上等于其体积的2倍,求函数()f x 的表达式. (20)(本题满分11分)(1) 证明积分中值定理:若函数()f x 在闭区间[,]a b 上连续,则至少存在一点[,]a b η∈,使得()()()baf x dx f b a η=-⎰(2)若函数()x ϕ具有二阶导数,且满足32(2)(1),(2)()x dx ϕϕϕϕ>>⎰,证明至少存在一点(1,3),()0ξϕξ''∈<使得(21)(本题满分11分)求函数222u x y z =++在约束条件22z x y =+和4x y z ++=下的最大值与最小值. (22)(本题满分12分)设矩阵2221212n na a aA a a ⨯⎛⎫⎪⎪= ⎪⎪⎝⎭,现矩阵A 满足方程AX B =,其中()1,,Tn X x x =,()1,0,,0B =,(1)求证()1nA n a =+;(2)a 为何值,方程组有唯一解,并求1x ; (3)a 为何值,方程组有无穷多解,并求通解. (23)(本题满分10分)设A 为3阶矩阵,12,αα为A 的分别属于特征值1,1-特征向量,向量3α满足323A ααα=+, (1)证明123,,ααα线性无关; (2)令()123,,P ααα=,求1P AP -.2008年全国硕士研究生入学统一考试数学二试题解析一、选择题 (1)【答案】D【详解】因为(0)(1)(2)0f f f ===,由罗尔定理知至少有1(0,1)ξ∈,2(1,2)ξ∈使12()()0f f ξξ''==,所以()f x '至少有两个零点. 又()f x '中含有因子x ,故0x =也是()f x '的零点, D 正确. 本题的难度值为0.719. (2)【答案】C 【详解】00()()()()()()aa a aaxf x dx xdf x xf x f x dx af a f x dx '==-=-⎰⎰⎰⎰其中()af a 是矩形ABOC 面积,0()af x dx ⎰为曲边梯形ABOD 的面积,所以0()axf x dx '⎰为曲边三角形的面积.本题的难度值为0.829.(3)【答案】D【详解】由微分方程的通解中含有xe 、cos2x 、sin 2x 知齐次线性方程所对应的特征方程有根1,2r r i ==±,所以特征方程为(1)(2)(2)0r r i r i --+=,即32440r r r -+-=. 故以已知函数为通解的微分方程是40y y y ''''''-+-= 本题的难度值为0.832. (4) 【答案】A【详解】0,1x x ==时()f x 无定义,故0,1x x ==是函数的间断点因为 000ln 11lim ()lim lim lim csc |1|csc cot x x x x x xf x x x x x++++→→→→=⋅=-- 200sin lim lim 0cos cos x x x xx x x++→→=-=-=同理 0lim ()0x f x -→= 又 1111ln 1lim ()lim lim sin lim sin1sin11x x x x x f x x x x ++++→→→→⎛⎫=⋅== ⎪-⎝⎭ 所以 0x =是可去间断点,1x =是跳跃间断点.本题的难度值为0.486.(5)【答案】B【详解】因为()f x 在(,)-∞+∞内单调有界,且{}n x 单调. 所以{()}n f x 单调且有界. 故{()}n f x 一定存在极限.本题的难度值为0.537. (6)【答案】A【详解】用极坐标得 ()222()2011,()vu uf r r Df u v F u v dv rdr v f r dr +===⎰⎰⎰所以()2Fvf u u∂=∂ 本题的难度值为0.638. (7) 【答案】C【详解】23()()E A E A A E A E -++=-=,23()()E A E A A E A E +-+=+= 故,E A E A -+均可逆. 本题的难度值为0.663. (8) 【答案】D【详解】记1221D -⎛⎫= ⎪-⎝⎭,则()2121421E D λλλλ--==---,又()2121421E A λλλλ---==----所以A 和D 有相同的特征多项式,所以A 和D 有相同的特征值.又A 和D 为同阶实对称矩阵,所以A 和D 相似.由于实对称矩阵相似必合同,故D 正确. 本题的难度值为0.759. 二、填空题 (9)【答案】2【详解】222220001cos[()]2sin [()2]2sin [()2]()lim lim lim ()[()2]4(1)()x x x x xf x xf x xf x f x x f x xf x e f x →→→-⋅==⋅- 011lim ()(0)122x f x f →=== 所以 (0)2f = 本题的难度值为0.828. (10)【答案】()xx eC --+【详解】微分方程()20xy x edx xdy -+-=可变形为x dy yxe dx x--= 所以 111()dx dx x x x x xy e xe e dx C x xe dx C x e C x ----⎡⎤⎛⎫⎰⎰=+=⋅+=-+⎢⎥ ⎪⎝⎭⎣⎦⎰⎰本题的难度值为0.617. (11)【答案】1y x =+【详解】设(,)sin()ln()F x y xy y x x =+--,则1cos()11cos()x y y xy F dy y xdx F x xy y x--'-=-=-'+-, 将(0)1y =代入得1x dydx ==,所以切线方程为10y x -=-,即1y x =+ 本题的难度值为0.759. (12)【答案】(1,6)-- 【详解】53235y xx =-⇒2311351010(2)333x y x x x -+'=-= ⇒134343101010(1)999x y x x x --+''=+=1x =-时,0y ''=;0x =时,y ''不存在在1x =-左右近旁y ''异号,在0x =左右近旁0y ''>,且(1)6y -=- 故曲线的拐点为(1,6)-- 本题的难度值为0.501. (13)21)- 【详解】设,y xu v x y==,则v z u = 所以121()ln v v z z u z v y vu u u x u x v x x y-∂∂∂∂∂=⋅+⋅=-+⋅∂∂∂∂∂ 2ln 11ln x yvvy u y y u uxy x y x ⎛⎫⎛⎫⎛⎫=-+=⋅-+ ⎪ ⎪⎪⎝⎭⎝⎭⎝⎭ 所以(1,2)(ln 21)2z x ∂=-∂本题的难度值为0.575.(14)【答案】-1【详解】||236A λλ =⨯⨯= 3|2|2||A A =32648λ∴⨯=- 1λ⇒=- 本题的难度值为0.839.三、解答题 (15)【详解】 方法一:4300[sin sin(sin )]sin sin sin(sin )limlim x x x x x x x x x→→--= 22220001sin cos cos(sin )cos 1cos(sin )12lim lim lim 3336x x x xx x x x x x x →→→--==== 方法二:331sin ()6x x x o x =-+ 331sin(sin )sin sin (sin )6x x x o x =-+4444400[sin sin(sin )]sin sin (sin )1lim lim 66x x x x xx o x x x x →→⎡⎤-∴ =+=⎢⎥⎣⎦ 本题的难度值为0.823. (16)【详解】方法一:由20x dxte dt--=得2x e dx tdt =,积分并由条件0t x =得21x e t =+,即2ln(1)x t =+ 所以 2222ln(1)2(1)ln(1)21dydy t tdt t t dxt dx dt t +⋅===+++222222[(1)ln(1)]2ln(1)221dt t d y d dy t t tdt dx t dx dx dx dt t ++++⎛⎫=== ⎪⎝⎭+ 22(1)[ln(1)1]t t =+++方法二:由20x dxte dt--=得2x e dx tdt =,积分并由条件0t x =得21x e t =+,即2ln(1)x t =+ 所以 2222ln(1)2(1)ln(1)21x dydy t tdt t t e x dxt dx dt t +⋅===++=+所以 22(1)x d y e x dx=+ 本题的难度值为0.742. (17)【详解】 方法一:由于21x -→=+∞,故21⎰是反常积分.令arcsin x t =,有sin x t =,[0,2)t π∈22122220000sin cos 2cos sin ()cos 22t t t t t tdt t tdt dt t πππ===-⎰⎰⎰⎰2222220001sin 21sin 2sin 2441644tt t td t tdt πππππ=-=-+⎰⎰ 222011cos 2168164t πππ=-=+方法二:21⎰12201(arcsin )2x d x =⎰121122220001(arcsin )(arcsin )(arcsin )28x x x x dx x x dx π=-=-⎰⎰令arcsin x t =,有sin x t =,[0,2)t π∈1222200011(arcsin )sin 2cos 224x x dx tdt t d t ππ==-⎰⎰⎰222200111(cos 2)cos 242164t t t tdt πππ=-+=-⎰故,原式21164π=+ 本题的难度值为0.631.(18)【详解】 曲线1xy =将区域分成两个区域1D 和23D D +,为了便于计算继续对 区域分割,最后为()max ,1Dxy dxdy ⎰⎰123D D D xydxdy dxdy dxdy =++⎰⎰⎰⎰⎰⎰112222211102211x xdx dy dx dy dx xydy =++⎰⎰⎰⎰⎰⎰1512ln 2ln 24=++-19ln 24=+本题的难度值为0.524.(19)【详解】旋转体的体积20()tV f x dx π=⎰,侧面积02(tS f x π=⎰,由题设条件知2()(ttf x dx f x =⎰⎰上式两端对t 求导得2()(f t f t = 即y '=由分离变量法解得1ln(y t C =+, 即t y Ce =将(0)1y =代入知1C =,故t y e =,1()2t t y e e -=+于是所求函数为 1()()2x x y f x e e -==+本题的难度值为0.497.(20)【详解】(I) 设M 与m 是连续函数()f x 在[,]a b 上的最大值与最小值,即()m f x M ≤≤ [,]x a b ∈由定积分性质,有 ()()()bam b a f x dx M b a -≤≤-⎰,即 ()baf x dx m M b a≤≤-⎰由连续函数介值定理,至少存在一点[,]a b η∈,使得 ()()b af x dx f b aη=-⎰即()()()baf x dx f b a η=-⎰(II) 由(I)的结论可知至少存在一点[2,3]η∈,使 32()()(32)()x dx ϕϕηϕη=-=⎰又由 32(2)()()x dx ϕϕϕη>=⎰,知 23η<≤对()x ϕ在[1,2][2,]η上分别应用拉格朗日中值定理,并注意到(1)(2)ϕϕ<,()(2)ϕηϕ<得1(2)(1)()021ϕϕϕξ-'=>- 112ξ<<2()(2)()02ϕηϕϕξη-'=<- 123ξη<<≤在12[,]ξξ上对导函数()x ϕ'应用拉格朗日中值定理,有2121()()()0ϕξϕξϕξξξ''-''=<- 12(,)(1,3)ξξξ∈⊂本题的难度值为0.719. (21)【详解】方法一:作拉格朗日函数22222(,,,,)()(4)F x y z x y z x y z x y z λμλμ=++++-+++-令 2222022020040x y z F x x F y y F z F x y z F x y z λμλμλμλμ'=++=⎧⎪'=++=⎪⎪'=-+=⎨⎪'=+-=⎪'=++-=⎪⎩解方程组得111222(,,)(1,1,2),(,,)(2,2,8)x y z x y z ==-- 故所求的最大值为72,最小值为6.方法二:问题可转化为求2242242u x y x x y y =++++在224x y x y +++=条件下的最值 设44222222(,,)2(4)F x y u x y x y x y x y x y λλ==++++++++-令 323222442(12)0442(12)040x y F x xy x x F y x y y y F x y x y λλλ'⎧=++++=⎪'=++++=⎨⎪'=+++-=⎩解得1122(,)(1,1),(,)(2,2)x y x y ==--,代入22z x y =+,得122,8z z == 故所求的最大值为72,最小值为6. 本题的难度值为0.486. (22)【详解】(I)证法一:222212221213211221221122a a a a a a aa aA r ar aaa a =-=121301240134(1)2(1)3231(1)0n n n a a a n a a n ar ar a n a nnn a n--+-=⋅⋅⋅=++ 证法二:记||n D A =,下面用数学归纳法证明(1)nn D n a =+.当1n =时,12D a =,结论成立.当2n =时,2222132a D a a a==,结论成立.假设结论对小于n 的情况成立.将n D 按第1行展开得2212102121212n n a a a aD aD a a-=-21221222(1)(1)n n n n n aD a D ana a n a n a ---- =-=--=+故 ||(1)nA n a =+证法三:记||n D A =,将其按第一列展开得 2122n n n D aD a D --=-, 所以 211212()n n n n n n D aD aD a D a D aD ------=-=-222321()()n n n n a D aD a D aD a ---=-==-=即 12122()2n n n n n n n n D a aD a a a aD a a D ----=+=++=++2121(2)(1)n n n n n a a D n a a D --==-+=-+1(1)2(1)n n n n a a a n a -=-+⋅=+(II)因为方程组有唯一解,所以由Ax B =知0A ≠,又(1)nA n a =+,故0a ≠. 由克莱姆法则,将n D 的第1列换成b ,得行列式为2221122(1)(1)112102121221122n n n nn n a a a a a aa aD na a a a a --⨯-⨯-===所以 11(1)n n D nx D n a-==+(III)方程组有无穷多解,由0A =,有0a =,则方程组为12101101001000n n x x x x -⎛⎫⎛⎫⎛⎫ ⎪⎪ ⎪ ⎪ ⎪ ⎪⎪ ⎪ ⎪=⎪ ⎪ ⎪ ⎪ ⎪ ⎪ ⎪ ⎪ ⎪⎝⎭⎝⎭⎝⎭ 此时方程组系数矩阵的秩和增广矩阵的秩均为1n -,所以方程组有无穷多解,其通解为()()10000100,TTk k +为任意常数.本题的难度值为0.270.(23)【详解】(I)证法一:假设123,,ααα线性相关.因为12,αα分别属于不同特征值的特征向量,故12,αα线性无关,则3α可由12,αα线性表出,不妨设31122l l ααα=+,其中12,l l 不全为零(若12,l l 同时为0,则3α为0,由323A ααα=+可知20α=,而特征向量都是非0向量,矛盾)11,A αα=-22A αα=∴32321122A l l αααααα=+=++,又311221122()A A l l l l ααααα=+=-+ ∴112221122l l l l ααααα-+=++,整理得:11220l αα+=则12,αα线性相关,矛盾. 所以,123,,ααα线性无关.证法二:设存在数123,,k k k ,使得1122330k k k ααα++= (1)用A 左乘(1)的两边并由11,A αα=-22A αα=得1123233()0k k k k ααα-+++= (2)(1)—(2)得 113220k k αα-= (3)因为12,αα是A 的属于不同特征值的特征向量,所以12,αα线性无关,从而130k k ==,代入(1)得220k α=,又由于20α≠,所以20k =,故123,,ααα线性无关.(II) 记123(,,)P ααα=,则P 可逆,123123(,,)(,,)AP A A A A αααααα==1223(,,)αααα=-+123100(,,)011001ααα-⎛⎫ ⎪= ⎪ ⎪⎝⎭100011001P -⎛⎫ ⎪= ⎪ ⎪⎝⎭所以 1100011001P AP --⎛⎫ ⎪= ⎪ ⎪⎝⎭.本题的难度值为0.272.。