中考数学专题分类卷 专题三 分式 (真题篇)(含答案)
- 格式:doc
- 大小:724.66 KB
- 文档页数:5
初三数学分式试题答案及解析1.化简的结果是A.B.C.D.【答案】D.【解析】先将分子分解因式,再根据分式的基本性质,将分子与分母的公因式约去..故选D.【考点】分式的化简.2.写出一个只含字母x的分式,满足x的取值范围是,所写的分式是: .【答案】(答案不唯一).【解析】根据分式有意义的条件:分母不等于零可直接得到:(答案不唯一).【考点】1.开放型;2.分式有意义的条件.3.先化简,再求值:,其中x的值为方程的解.【答案】.【解析】先将括号里面的通分后,将除法转换成乘法,约分后再通分;然后求出一元一次方程的解,代x的值化简求值.试题解析:原式=.解方程得.∴当时,原式=.【考点】1.分式的化简求值;2.解一元一次方程.4.先化简,再求值:÷(x+1)其中x=.【答案】【解析】解:原式=×=·=∴当x=时,原式==.5.已知+=(a≠b),求-的值.【答案】【解析】解:∵+=,∴=,∴-=-====.6.先化简,再求值:÷-,其中x=1+.【答案】【解析】先把分式进行化简,然后把x=1+代入化简的式子即可求值.试题解析:把x=1+代入上式得:原式=.考点: 分式的化简求值.7.先化简再求值:,其中.【答案】,2.【解析】先将括号里面的通分后,将除法转换成乘法,约分化简。
然后代x,y的值,进行二次根式化简.试题解析:原式=.当时,原式=.【考点】分式的化简求值.8.若x=-1,y=2,则的值等于A.B.C.D.【答案】D【解析】通分后,约分化简。
然后代x、y的值求值:,当x=-1,y=2时,。
故选D。
9.先化简,再求值:,其中x=-2.【答案】解:原式=。
当x=-2时,原式。
【解析】先将括号里面的通分后,将除法转换成乘法,约分化简。
然后代x的值,进行二次根式化简。
10.(1)计算:(2)先化简,再求值:,其中m=﹣3.【答案】解:原式=。
(2)解:原式=。
中考数学分类(含答案)分式一、选择题1.(2010江苏苏州)化简211a a a a--÷的结果是 A .1aB .aC .a -1D .11a -【答案】C2.(2010山东威海)化简aa b a b -÷⎪⎭⎫⎝⎛-2的结果是A .1--aB .1+-aC .1+-abD .b ab +-【答案】B3.(2010浙江嘉兴)若分式1263+-x x 的值为0,则( ▲ ) (A )2-=x (B )21-=x (C )21=x (D )2=x【答案】D4.(2010浙江绍兴)化简1111--+x x ,可得( ) A.122-x B.122--x C.122-x x D.122--x x 【答案】B5.(2010山东聊城)使分式1212-+x x 无意义的x 的值是( ) A .x =21- B .x =21C . 21-≠xD .21≠x【答案】B6.(2010 四川南充)计算111xx x ---结果是( ). (A )0 (B )1 (C )-1 (D )x 【答案】C7.(2010 黄冈)化简:211()(3)31x x x x +-•---的结果是( ) A .2 B .21x - C .23x - D .41x x --【答案】B8.(2010 河北)化简ba b b a a ---22的结果是 A .22b a - B .b a + C .b a -D .1【答案】B9.(2010 湖南株洲)若分式25x -有意义...,则x 的取值范围是 A .5x ≠ B .5x ≠-C .5x >D .5x >-【答案】A10.(2010湖北荆州)分式112+-x x 的值为0,则A..x=-1 B .x=1 C .x=±1 D .x=0 【答案】B11.(2010云南红河哈尼族彝族自治州)使分式x-31有意义的x 的取值是 A.x ≠0 B. x ≠±3 C. x ≠-3 D. x ≠3 【答案】D12.(2010湖北随州)化简:211()(3)31x x x x +-•---的结果是( ) A .2 B .21x - C .23x - D .41x x --【答案】B13.(2010 福建三明)当分式21-x 没有意义时,x 的值是 ( )A .2B .1C .0D .—2【答案】A14.(2010 山东淄博)下列运算正确的是(A )1=---a b b b a a (B )b a nm b n a m --=- (C )a a b a b 11=+- (D )ba b a b a b a -=-+--1222 【答案】D15.(2010云南玉溪) 若分式221-2b-3b b - 的值为0,则b 的值是A. 1B. -1C.±1D. 2 【答案】A16.(2010 内蒙古包头)化简22424422x x xx x x x ⎛⎫--+÷ ⎪-++-⎝⎭,其结果是( ) A .82x -- B .82x - C .82x -+ D .82x + 【答案】D17.(2010 福建泉州南安)要使分式11x +有意义,则x 应满足的条件是( ).A .1x ≠B .1x ≠-C .0x ≠D .1x >【答案】B18.(2010广西柳州)若分式x-32有意义,则x 的取值范围是 A .x ≠3 B .x =3 C .x <3 D .x >3 【答案】A二、填空题1.(2010四川凉山)已知:244x x -+与 |1y -| 互为相反数,则式子()xy x y y x ⎛⎫-÷+ ⎪⎝⎭的值等于 。
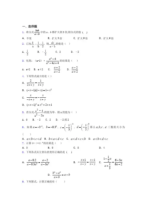
一、选择题1.将分式3ab a b -中的a 、b 都扩大到3倍,则分式的值 ( ) A .不变B .扩大3倍C .扩大9倍D .扩大6倍2.已知,则的值是( ) A . B .﹣ C .2 D .﹣23.化简:(a-2)·22444a a a --+的结果是( ) A .a-2 B .a +2 C . 22-+a a D .22+-a a 4.下列等式成立的是( )A .212x y x y=++ B .2(1)(1)1x x x ---=-C .x x x y x y=--++ D .22(1)21x x x --=++5.若分式的值为零,则x 的值为( )A .0B .﹣2C .2D .﹣2或26.如果23,a -=- 20.3b =-, 213c -⎛⎫=- ⎪⎝⎭, 015d ⎛⎫=- ⎪⎝⎭那么,,a b c ,d 三数的大小为( ) A .a b c d <<< B .b a d c <<< C .a d c b <<< D .a b d c <<<7.计算4-(-4)0的结果是( )A .3B .0C .8D .48.下列各式从左到右的变形正确的是 ( )A .220.220.33a a a a a a--=-- B .11x x x y x y +--=-- C .116321623a a a a --=++D .22b a a b a b -=-+ 9.下列算式,计算正确的有( )①10-3=0.0001; ②(0.0001)0=1; ③3a -2=213a ; ④(-2)3÷(-2)5=-2-2. A .1个 B .2个 C .3个 D .4个10.使代数式7x -有意义的x 的取值范围是( ) A .x≠3 B .x <7且x≠3 C .x≤7且x≠2 D .x≤7且x≠311.下列各式12x y +,52a b a b --,2235a b -,3m ,37xy 中,分式共有( )个. A .2 B .3 C .4 D .512.当012=-+a a 时,分式2222-21a a a a a ++++的结果是( ) A .25-1- B .251-+ C .1 D .0 13.下列计算正确的是( ).A .32b b b x x x += B .0a a a b b a -=-- C .2222bc a a b c ab ⋅= D .22()1a a a a a -÷=- 14.用科学记数方法表示0.00000601,得( )A .0.601×10-6B .6.01×10-6C .60.1×10-7D .60.1×10-615.无论a 取何值,下列分式总有意义的是( )A .21a a +B .211a a -+C .211a -D .11a + 16.下列式子:22222213,,,,,x y a x x ab a xy yπ----其中是分式的个数( ). A .2 B .3 C .4 D .517.已知0≠-b a ,且032=-b a ,则ba b a -+2的值是( ) A .12- B . 0 C .8 D .128或18.若分式的值为0,则x 的值是( )A .3B -3C .4D .-419.化简﹣的结果是( )m+3 B .m-3 C . D .20.若将分式(a ,b 均为正数)中a ,b 的值分别扩大为原来的3倍,则分式的值( ) A .扩大为原来的3倍 B .缩小为原来的C .不变D .缩小为原来的21.下列分式中是最简分式的是( )A .B .C .D .22.在式子x y 3,πa ,13+x ,31+x ,a a 2中,分式有 A .1个 B .2个 C .3个 D .4个23.在标准大气压下氢气的密度为0.00009g/cm 3 ,用科学记数法表示0.00009正确的是( )A .5910⨯B .5910-⨯C .4910-⨯D .40.910⨯24.下列语句:①任何数的零次方都等于1;②如果两条直线被第三条直线所截,那么同位角相等;③一个图形和它经过平移所得的图形中,两组对应点的连线平行且相等;④平行线间的距离处处相等.说法错误的有( )A .1个B .2个C .3个D .4个25.把分式2n m n +中的m 与n 都扩大3倍,那么这个代数式的值 A .不变B .扩大3倍C .扩大6倍D .缩小到原来的13【参考答案】***试卷处理标记,请不要删除一、选择题1.B解析:B【解析】 将分式3ab a b -中的a 、b 都扩大到3倍,则为3333333a b ab a b a b⨯⨯=⨯--, 所以分式的值扩大3倍.故选B .2.D解析:D【解析】试题分析:观察已知和所求的关系,容易发现把已知通分后,再求倒数即可.解:∵, ∴﹣=, ∴, ∴=﹣2.故选D .3.B解析:B .【解析】试题解析:原式=(a-2)•2(2)(2)(2)a a a +--=a+2, 故选B .考点:分式的乘除法. 4.D解析:D【分析】此题考查了分式的基本性质,解答此类题一定要熟练掌握分式的基本性质是解题的关键.根据分式的基本性质无论是把分式的分子和分母扩大还是缩小相同的倍数,都不要漏乘(除)分子、分母中的任何一项,且扩大(缩小)的倍数不能为0,即可得出答案.【详解】A 、2122x y x y =++,22x y +≠1x y+,不符合题意; B 、(-x-1)(1-x )=[-(x+1)](1-x )=-(1-x 2)=x 2-1,不合题意; C 、x x y -+=--x x y ,x x y -+≠-+x x y ,不合题意; D 、(-x-1)2=x 2+2x+1,符合题意.故选D.考点:分式的基本性质.5.B解析:B【解析】试题分析:要使分式的值为0,必须分式分子的值为0并且分母的值不为0.解:由分子x 2﹣4=0解得:x=±2. 当x=2时分母x 2﹣2x=4﹣4=0,分式没有意义; 当x=﹣2时分母x 2﹣2x=4+4=8≠0. 所以x=﹣2.故选B .6.D解析:D【解析】试题解析:因为a=-3-2=-211=-39, b=-0.32=-0.09,c=(-13)-2=21913=⎛⎫- ⎪⎝⎭, d=(-15)0=1, 所以c >d >a >b .故选D .【点睛】本题主要考查了(1)零指数幂,负整数指数幂和有理数的乘方运算:负整数指数为正整数指数的倒数;任何非0数的0次幂等于1.(2)有理数比较大小:正数>0;0>负数;两个负数,绝对值大的反而小.7.A解析:A【解析】试题分析:根据零指数幂的性质和有理数的加减法,可求解为:4-(-4)0=4-1=3. 故选A.8.C解析:C【详解】解:A.220.21020.3103a a a a a a --=--,故原选项错误; B. 11x x x y x y+--=--,故原选项错误; C. 116321623a a a a --=++ ,故此选项正确; D.22b a b a a b-=-+,故原选项错误, 故选C .9.A解析:A【解析】分析:本题考查的是负指数幂的运算.解析:①10-3=0.00001,故①错误;②(0.0001)0=1正确;③3a -2=23a ,故③错误;④(-2)3÷(-2)5=2-2,故④错误. 故选A.10.D解析:D【解析】有意义, ∴7-x≥0,且2x-6≠0,解得:x≤7且x≠3,故选D .11.B解析:B【解析】 试题解析:2235a b -,37xy 的分母中均不含有字母,因此它们是整式,而不是分式. 12x y +,52a b a b --,3m的分母中含有字母,因此是分式. 故选B .12.C解析:C .【解析】 试题分析:先把2222-21a a a a a ++++进行化简得222(1)a a a -+,再把012=-+a a 化简为:2-a 2=a+1,21a a +=,代入即可求值. 试题解析:2222222(2)21(1)a a a a a a a a a a ++-+-=++++ =222(1)a a a -+ ∵012=-+a a∴2-a 2=a+1,21a a += 原式=2211111(1)(1)1a a a a a a a +====+++ 故选C .考点:分式的值.13.C解析:C【解析】A 选项:∵334b b b b b x x x x ++==,∴A 错误; B 选项:∵2a a a a a a b b a a b a b a b -=+=-----,∴B 错误; C 选项:∵2222bc a a b c ab⋅=,故C 正确; D 选项:∵221()(1)(1)1a a a a a a a a a--÷=-⋅=--,∴D 错误; 故选C. 14.B解析:B【解析】试题分析:根据科学记数法表示较小的数,可知a=6.01,n=-6,所以用科学记数法表示为6.01×10-6. 故选:B点睛:科学记数法的表示形式为a×10n 的形式,其中1≤|a|<10,n 为整数.确定n 的值时,要看把原数变成a 时,小数点移动了多少位,n 的绝对值与小数点移动的位数相同.当原数绝对值>1时,n 是正数;当原数的绝对值<1时,n 是负数.15.B解析:B【解析】分式有意义的条件是:“分母的值不为0”,在A 中,当0a =时,分式无意义;在C 中当1a =±时,分式无意义;在D 中当1a =-时分式无意义;只有B 中,无论a 为何值,分式都有意义;故选B.16.B解析:B【解析】 试题分析:根据分式的概念,分母中含有字母的式子,因此可知2a ,22x y xy -,21x y -是分式,共三个.故选B考点:分式的概念17.C解析:C【解析】试题分析:因为032=-b a ,所以3a=b 2,所以234=83122a b b b b a b b b b ++==--,故选:C . 考点:分式的化简求值.18.A【解析】试题分析:当x-3=0时,分式的值为0,所以x=3,故选:A.考点:分式的值为0的条件.19.A解析:A【解析】试题分析:因为2299(3)(3)33333m m m mmm m m m-+--===+----,所以选:A.考点:分式的减法.20.B解析:B【解析】由题意得==,缩小为原来的故选B21.A解析:A【解析】选项A,的分子、分母都不能再分解,且不能约分,是最简分式;选项B,原式=2x;选项C,原式=11x+;选项D,原式=-1.故选A.22.C解析:C【解析】试题分析:分式是指分母含有字母的代数式.考点:分式的定义23.B解析:B【解析】根据科学记数法的书写规则,易得B.24.C解析:C【解析】改正:①任何非0数的零次方都等于1;②如果两条平行的直线被第三条直线所截,那么同位角相等;③一个图形和它经过平移所得的图形中,两组对应点的连线平行(或共线)且相等;④正确.故选C.25.A【解析】 试题解析:分式2n m n+中的m 与n 都扩大3倍,得 6233n n m n m n=++, 故选A .。
2022年北京市中考数学历年真题汇总 卷(Ⅲ) 考试时间:90分钟;命题人:数学教研组 考生注意:1、本卷分第I 卷(选择题)和第Ⅱ卷(非选择题)两部分,满分100分,考试时间90分钟2、答卷前,考生务必用0.5毫米黑色签字笔将自己的姓名、班级填写在试卷规定位置上3、答案必须写在试卷各个题目指定区域内相应的位置,如需改动,先划掉原来的答案,然后再写上新的答案;不准使用涂改液、胶带纸、修正带,不按以上要求作答的答案无效。
第I 卷(选择题 30分) 一、单选题(10小题,每小题3分,共计30分) 1、若()()2105x mx x x n +-=-+,则m n 的值为( ) A .6- B .8 C .16- D .18 2、质检部门从同一批次1000件产品中随机抽取100件进行检测,检测出次品3件,由此估计这一批次产品中次品件数是( )A .60B .30C .600D .3003、定义一种新运算:2a b a b ⊕=+,2a b a b =※,则方程()()1232x x +=⊕-※的解是( ) A .112x =,22x =- B .11x =-,212x = C .112x =-,22x = D .11x =,212x =-4、如图,点P 是▱ABCD 边AD 上的一点,E ,F 分别是BP ,CP 的中点,已知▱ABCD 面积为16,那么△PEF 的面积为( )·线○封○密○外A .8B .6C .4D .25、多项式()22x --去括号,得( )A .22x --B .22x -+C .24x --D .24x -+6、下列说法中错误的是( )A .若a b <,则11+<+a bB .若22a b ->-,则a b <C .若a b <,则ac bc <D .若()()2211a c b c +<+,则a b <7、人类的遗传物质是DNA ,其中最短的22号染色体含 30000000个核苷酸,30000000用科学记数法表示为( )A .3×106B .3×107C .3×108D .0.3×1088、如图所示,BE ⊥AC 于点D ,且AD =CD ,BD =ED ,若∠ABC =54°,则∠E =( )A .25°B .27°C .30°D .45° 9、若a b ,则下列分式化简正确的是( )A .22a a b b +=+B .22a a b b -=-C .22a a b b =D .22a a b b= 10、下列说法正确的是( )A .2mn π的系数是2πB .28ab 2-的次数是5次C .3234xy x y +-的常数项为4D .21165x x -+是三次三项式 第Ⅱ卷(非选择题 70分) 二、填空题(5小题,每小题4分,共计20分)1、如图,点A 在第二象限内,AC ⊥OB 于点C ,B (-6,0),OA =4,∠AOB =60°,则△AOC 的面积是______.2、点P 为边长为2的正方形ABCD 内一点,PBC 是等边三角形,点M 为BC 中点,N 是线段BP 上一动点,将线段MN 绕点M 顺时针旋转60°得到线段MQ ,连接AQ 、PQ ,则AQ PQ+的最小值为______.3、2.25的倒数是__________.4、多项式2a 2b -abc 的次数是______.5、如图,B 、C 、D 在同一直线上,90B D ∠=∠=︒,2AB CD ==,6BC DE ==,则ACE 的面积为_______. ·线○封○密○外三、解答题(5小题,每小题10分,共计50分)1、计算:201122π-⎛⎫⎫-⎪⎪⎝⎭⎭2、解方程(组)(1)3122123m m-+-=;(2)323123m n m nm n m n+-⎧+=⎪⎪⎨+-⎪-=-⎪⎩.3、一艘轮船在相距120千米的甲、乙两地之间匀速航行,从甲地到乙地顺流航行用6小时,从乙地到甲地逆流航行用10小时.(请列方程或方程组解答)(1)求该轮船在静水中的速度和水流速度;(2)若在甲、乙两地之间的丙地新建一个码头,使该轮船从甲地到丙地和从乙地到丙地所用的航行时间相同,问甲、丙两地相距多少千米?4、某中学九年级学生共进行了五次体育模拟测试,已知甲、乙两位同学五次模拟测试成绩的均分相同,小明根据甲同学的五次测试成绩绘制了尚不完整的统计表,并给出了乙同学五次测试成绩的方差的计算过程.甲同学五次体育模拟测试成绩统计表:小明将乙同学五次模拟测试成绩直接代入方差公式,计算过程如下:2222221(2628)(2828)(2728)(2928)(3028)25S ⎡⎤=-+-+-+-+-=⎣⎦乙(分2) 根据上述信息,完成下列问题: (1)a 的值是______; (2)根据甲、乙两位同学这五次模拟测试成绩,你认为谁的体育成绩更好?并说明理由; (3)如果甲再测试1次,第六次模拟测试成绩为28分,与前5次相比,甲6次模拟测试成绩的方差将______.(填“变大”“变小”或“不变”) 5、(1)计算:011)()sin 452π--︒. (2)用适当的方法解一元二次方程:2760x x ++=. -参考答案-一、单选题1、D【分析】根据多项式乘以多项式展开,根据多项式相等即可求得对应字母的值,进而代入代数式求解即可.【详解】 解:()()2555x x n x nx x n -+=+--, ()()2105x mx x x n +-=-+, 5nx x mx ∴-=,510n -=-,5n m ∴-=,2n =,解得:3m =-,2n =,·线○封○密○外3128m n -∴==. 故选:D .【点睛】本题考查了多项式乘以多项式,负整数指数幂,掌握以上知识是解题的关键.2、B【分析】根据样本的百分比为3%,用1000乘以3%即可求得答案.【详解】解:∵随机抽取100件进行检测,检测出次品3件,∴估计1000件产品中次品件数是3100030100⨯= 故选B【点睛】本题考查了根据样本求总体,掌握利用样本估计总体是解题的关键.3、A【分析】根据新定义列出关于x 的方程,解方程即可.【详解】解:由题意得,方程()()1232x x +=⊕-※,化为22(1)62x x +=+-,整理得,22320x x +-=,2,3,2a b c ===-,∴354x -±==,解得:112x =,22x =-, 故选A .【点睛】本题考查了公式法解一元二次方程,正确理解新运算、掌握公式法解一元二次方程的一般步骤是解题的关键. 4、D 【分析】 根据平行线间的距离处处相等,得到=8PBC S △,根据EF 是△PBC 的中位线,得到△PEF ∽△PBC ,EF =12BC ,得到1=4PEF PBC S S △△计算即可. 【详解】 ∵点P 是▱ABCD 边AD 上的一点,且 ▱ABCD 面积为16, ∴1==82PBC ABCD S S △平行四边形; ∵E ,F 分别是BP ,CP 的中点, ∴EF ∥BC ,EF =12BC , ∴△PEF ∽△PBC , ∴21=()4PEF PBC PBC EF S S S BC =△△△, ∴1=824PEF S ⨯=△, 故选D . 【点睛】 本题考查了平行四边形的性质,三角形中位线定理,三角形相似的判定和性质,熟练掌握中位线定理,灵活运用三角形相似的性质是解题的关键. ·线○封○密○外5、D【分析】利用去括号法则变形即可得到结果.【详解】解:−2(x −2)=-2x +4,故选:D .【点睛】本题考查了去括号与添括号,掌握如果括号外的因数是正数,去括号后原括号内各项的符号与原来的符号相同;如果括号外的因数是负数,去括号后原括号内各项的符号与原来的符号相反是解题的关键.6、C【分析】根据不等式的性质进行分析判断.【详解】解:A 、若a b <,则11+<+a b ,故选项正确,不合题意;B 、若22a b ->-,则a b <,故选项正确,不合题意;C 、若a b <,若c =0,则ac bc =,故选项错误,符合题意;D 、若()()2211a c b c +<+,则a b <,故选项正确,不合题意;故选C .【点睛】本题考查了不等式的性质.解题的关键是掌握不等式的性质:①不等式的两边同时加上(或减去)同一个数或同一个含有字母的式子,不等号的方向不变;②不等式的两边同时乘以(或除以)同一个正数,不等号的方向不变;③不等式的两边同时乘以(或除以)同一个负数,不等号的方向改变.7、B【分析】用科学记数法表示较大的数时,一般形式为a ×10n ,其中1≤|a |<10,n 为整数,据此判断即可.【详解】解:30000000=3×107.故选:B .【点睛】 本题主要考查了用科学记数法表示较大的数,一般形式为a ×10n ,其中1≤|a |<10,确定a 与n 的值是解题的关键. 8、B 【分析】 根据BE ⊥AC ,AD =CD ,得到AB=BC ,12ABE ∠=∠ABC ,证明△ABD ≌△CED ,求出∠E =∠ABE =27°. 【详解】 解:∵BE ⊥AC ,AD =CD , ∴BE 是AC 的垂直平分线, ∴AB=BC , ∴12ABE ∠=∠ABC =27°, ∵AD =CD ,BD =ED ,∠ADB =∠CDE , ∴△ABD ≌△CED , ∴∠E =∠ABE =27°, 故选:B . 【点睛】 ·线○封○密○外此题考查了线段垂直平分线的性质,全等三角形的判定及性质,熟记线段垂直平分线的性质是解题的关键.9、C【分析】由a b ,令3a =,4b =再逐一通过计算判断各选项,从而可得答案.【详解】解:当3a =,4b =时,34a b =,2526a b +=+,故A 不符合题意; 2122a b -=-,故B 不符合题意; 而2,2a a b b= 故C 符合题意; 22916a b =.故D 不符合题意 故选:C .【点睛】本题考查的是利用特值法判断分式的变形,同时考查分式的基本性质,掌握“利用特值法解决选择题或填空题”是解本题的关键.10、A【分析】根据单项式的系数、次数的定义以及多项式次数、项数、常数项的定义可解决此题.【详解】解:A 、2mn π的系数是2π,故选项正确;B 、28ab 2-的次数是3次,故选项错误;C 、3234xy x y +-的常数项为-4,故选项错误;D 、21165x x -+是二次三项式,故选项错误; 故选A . 【点睛】 本题主要考查单项式的系数、次数的定义以及多项式次数、项数、常数项的定义,熟练掌握单项式的系数、次数的定义以及多项式次数、项数、常数项的定义是解决本题的关键. 二、填空题 1、【分析】 利用直角三角形的性质和勾股定理求出OC 和AC 的长,再运用三角形面积公式求出即可. 【详解】 解:∵AC ⊥OB , ∴90ACO ∠=︒ ∵∠AOB =60°, ∴30CAO ∠=︒∵OA =4, ∴122OC CA == 在Rt △ACO中,AC =∴11222AOC S AC CO ∆==⨯=故答案为:·线○封○密·○外【点睛】本题主要考查了坐标与图形的性质,直角三角形的性质,勾股定理以及三角形的面积等知识,求出OC 和AC 的长是解答本题的关键.2【分析】如图,取,BP PC 的中点,E F ,连接EF ,,EM AM ,PM ,证明BMN EMQ ≌,进而证明Q 在EF 上运动, 且EF 垂直平分PM ,根据AQ PQ AQ MQ AM +=+≥,求得最值,根据正方形的性质和勾股定理求得AM 的长即可求得AQ PQ +的最小值.【详解】解:如图,取,BP PC 的中点,E F ,连接EF ,,EM AM ,PM ,将线段MN 绕点M 顺时针旋转60°得到线段MQ ,MN MQ ∴=,60NMQ ∠=︒ PBC 是等边三角形,PB BC ∴=,60PBC ∠=︒,E F 是,BP PC 的中点,M 是BC 的中点BM BE ∴=BEM ∴是等边三角形BME ∴∠60=︒,BM BE =NMQ BME ∴∠=∠BME NME NMQ NME ∴∠-∠=∠-∠ 即BMB EMQ ∠=∠ 在BMN △和EMQ 中, BM EM BMN EMQ MN MQ =⎧⎪∠-⎨⎪=⎩ ∴BMN EMQ ≌ 60MEQ MBN ∴∠=∠=︒ 又60EMB ∠=︒ MEQ EMB ∴∠=∠ EQ BC ∴∥,E F 是,BP PC 的中点 EF BC ∴∥ Q ∴点在EF 上 M 是BC 的中点,PBC 是等边三角,PM BC ∴⊥ EF PM ∴⊥ 又11,22EP PB EM EB PB === EP EM ∴= EF ∴垂直平分PM QP QM ∴= ·线○封○密·○外AQ PQ AQ MQ AM∴+=+≥即AQ PQ+的最小值为AM四边形ABCD是正方形,且2AB=AM∴==∴AQ PQ+【点睛】本题考查了正方形的性质等边三角形的性质,旋转的性质,全等三角形的性质与判定,勾股定理,垂直平分线的性质与判定,根据以上知识转化线段是解题的关键.3、4 9【分析】2.25的倒数为12.25,计算求解即可.【详解】解:由题意知,2.25的倒数为14 2.259=故答案为:49.【点睛】本题考查了倒数.解题的关键在于理解倒数的定义.4、3【分析】利用几个单项式的和叫做多项式,每个单项式叫做多项式的项,多项式中次数最高的项的次数叫做多项式的次数,据此求解即可.【详解】解:多项式2a 2b -abc 的次数是3.故答案为:3.【点睛】本题主要考查了多项式,正确把握多项式的项数和次数确定方法是解题关键.5、20【分析】根据题意由“SAS ”可证△ABC ≌△CDE ,得AC =CE ,∠ACB =∠CED ,再证∠ACE =90°,然后由勾股定理可求AC 的长,进而利用三角形面积公式即可求解. 【详解】 解:在△ABC 和△CDE 中, AB CD B D BC DE =⎧⎪∠=∠⎨⎪=⎩, ∴△ABC ≌△CDE (SAS ), ∴AC =CE ,∠ACB =∠CED ,∵∠CED +∠ECD =90°,∴∠ACB +∠ECD =90°,∴∠ACE =90°,∵∠B =90°,AB =2,BC =6,∴AC∴CE=·线○封○密○外∴S △ACE =12AC ×CE =12×,故答案为:20.【点睛】本题考查全等三角形的判定和性质,勾股定理,等腰直角三角形的性质等知识,证明△ABC ≌△CDE 是解题的关键.三、解答题1、4【分析】先根据绝对值的意义、负整数指数幂的性质、二次根式的化简和零指数幂分别化简,再计算即可.【详解】解:原式1414=+-=【点睛】此题考查了实数的混合运算,掌握相应的运算性质和运算法则是解答此题的关键.2、(1)135=m (2)42m n =⎧⎨=-⎩ 【分析】(1)方程去分母,去括号,移项合并,把m 系数化为1,即可求出解;(2)把原方程组整理后,再利用加减消元法解答即可.【小题1】解:3122123m m -+-=, 去分母得:()()3316222m m --=+, 去括号得:93644m m --=+, 移项合并得:513m = 解得:135=m ; 【小题2】 方程组整理得:51856m n m n +=⎧⎨+=-⎩①②, ①×5-②得:2496m =, 解得:4m =,代入①中, 解得:2n =-,所以原方程组的解为:42m n =⎧⎨=-⎩. 【点睛】 此题考查了解一元一次方程以及解二元一次方程组,掌握消元的思想和消元的方法是解题的关键,消元的方法有:代入消元法与加减消元法.3、(1)静水中的速度是16千米/小时,水流速度是4千米/小时(2)75千米【分析】(1)设该轮船在静水中的速度是x 千米/小时,水流速度是y 千米/小时,根据路程=速度×时间,即可得出关于x ,y 的二元一次方程组,解之即可得出结论; ·线○封○密○外(2)设甲、丙两地相距a千米,则乙、丙两地相距(120-a)千米,根据时间=路程÷速度,即可得出关于a的一元一次方程,解之即可得出结论.【小题1】解:设该轮船在静水中的速度是x千米/小时,水流速度是y千米/小时,依题意,得:()()6120 10120x yx y⎧+=⎪⎨-=⎪⎩,解得:164xy=⎧⎨=⎩,答:该轮船在静水中的速度是16千米/小时,水流速度是4千米/小时.【小题2】设甲、丙两地相距a千米,则乙、丙两地相距(120-a)千米,依题意,得:120 164164a a-=+-,解得:a=75,答:甲、丙两地相距75千米.【点睛】本题考查了二元一次方程组的应用以及一元一次方程的应用,解题的关键是:(1)找准等量关系,正确列出二元一次方程组;(2)找准等量关系,正确列出一元一次方程.4、(1)29(2)乙的体育成绩更好,理由见解析(3)变小【分析】(1)根据平均分相同,根据乙的方差公式可得乙的平均分为28,则甲的平均分也为28,进而求得a的值;(2)根据甲的成绩计算甲的方差,比较甲乙的方差,方差小的体育成绩更好;(3)根据第六次的成绩等于平均数,根据方差公式可知方差将变小.(1) 解:甲、乙两位同学五次模拟测试成绩的均分相同, 乙的方差为:2222221(2628)(2828)(2728)(2928)(3028)25S ⎡⎤=-+-+-+-+-=⎣⎦乙 则平均分为28 所以甲的平均分为28 则25292730528a ++++=⨯ 解得29a = 故答案为:29 (2) 乙的成绩更好,理由如下, 2222221(2528)(2928)(2728)(2928)(3028) 3.25S ⎡⎤=-+-+-+-+-=⎣⎦甲 ∴2S 乙<2S 甲 ∴乙的成绩较稳定,则乙的体育成绩更好 (3) 222222218(2528)(2928)(2728)(2928)(3028)(2828) 2.763S +⎡⎤=-+-+-+-+--=≈⎣⎦甲 2.7 3.2< ∴甲6次模拟测试成绩的方差将变小故答案为:变小【点睛】·线○封○密○外本题考查了求方差,平均数,根据方差判断稳定性,掌握求方差的公式是解题的关键.5、(1);(2)11x =-,26x =- 【分析】(1)先计算零指数幂,分母有理化,负指数幂,特殊三角函数值,再合并同类项即可;(2)因式分解法解一元二次方程.【详解】(1)解:011)()sin 452π--︒,=12,=112+-=2; (2)解:原方程分解因式得(1)(6)0x x ++=,∴ 10x +=或60x +=,解得11x =-,26x =-.【点睛】本题考查含有锐角三角函数的实数混合运算,零指数幂,负指数幂,二次根式分母有理化,一元二次方程的解法,掌握含有锐角三角函数的实数混合运算,零指数幂,负指数幂,二次根式分母有理化,一元二次方程的解法.。
专题03代数式及整式(45题)一、单选题1.(2024·广东·中考真题)下列计算正确的是()A .2510a a a ⋅=B .824a a a ÷=C .257a a a-+=D .()5210a a =2.(2024·四川内江·中考真题)下列单项式中,3ab 的同类项是()A .33ab B .232a b C .22a b -D .3a b3.(2024·湖北·中考真题)223x x ⋅的值是()A .25x B .35x C .26x D .36x 4.(2024·河南·中考真题)计算3···a a a a ⎛⎫⎪ ⎪⎝⎭个的结果是()A .5a B .6a C .3a a +D .3aa 5.(2024·浙江·中考真题)下列式子运算正确的是()A .325x x x +=B .326x x x ⋅=C .()239x x =D .624x x x ÷=6.(2024·河北·中考真题)下列运算正确的是()A .734a a a -=B .222326a a a ⋅=C .33(2)8a a -=-D .44a a a÷=7.(2024·黑龙江齐齐哈尔·中考真题)下列计算正确的是()A .224426a a a +=B .5210a a a ⋅=C .623a a a ÷=D .()224a a -=8.(2024·黑龙江牡丹江·中考真题)下列计算正确的是()A .32622a a a ⋅=B .331(2)8a b a b-÷⨯=-C .()322a a a a a a++÷=+D .2233aa -=9.(2024·云南·中考真题)按一定规律排列的代数式:2x ,23x ,34x ,45x ,56x ,L ,第n 个代数式是()A .2nx B .()1nn x-C .1n nx +D .()1nn x+10.(2024·云南·中考真题)下列计算正确的是()A .33456x x x +=B .635x x x ÷=C .()327a a =D .()333ab a b =11.(2024·山东烟台·中考真题)下列运算结果为6a 的是()A .23a a ⋅B .122a a ÷C .33a a +D .()32a 12.(2024·江苏盐城·中考真题)下列运算正确的是()A .624a a a ÷=B .22a a -=C .326a a a ⋅=D .()235a a =13.(2024·黑龙江牡丹江·中考真题)如图是由一些同样大小的三角形按照一定规律所组成的图形,第1个图有4个三角形.第2个图有7个三角形,第3个图有10个三角形……按照此规律排列下去,第674个图中三角形的个数是()A .2022B .2023C .2024D .202514.(2024·江苏连云港·中考真题)下列运算结果等于6a 的是()A .33a a +B .6a a ⋅C .28a a ÷D .()32a -15.(2024·江苏扬州·中考真题)下列运算中正确的是()A .222()a b a b -=-B .523a a a -=C .()235a a =D .236326a a a ⋅=16.(2024·山东威海·中考真题)下列运算正确的是()A .5510x x x +=B .21m m n n n÷⋅=C .624a a a ÷=D .()325a a -=-17.(2024·河北·中考真题)若a ,b 是正整数,且满足8282222222a ba a ab bb++⋅⋅⋅+=⨯⨯⋅⋅⋅⨯ 个相加个相乘,则a 与b 的关系正确的是()A .38a b+=B .38a b=C .83a b +=D .38a b=+18.(2024·四川眉山·中考真题)下列运算中正确的是()A .2a a a -=B .23a a a ⋅=C .()325a a =D .()323626ab a b =19.(2024·广东广州·中考真题)若0a ≠,则下列运算正确的是()A .235a a a+=B .325a a a ⋅=C .235a a a⋅=D .321a a ÷=20.(2024·福建·中考真题)下列运算正确的是()A .339a a a ⋅=B .422a a a ÷=C .()235a a =D .2222a a -=21.(2024·湖南·中考真题)下列计算正确的是()A .22321a a -=B .32(0)a a a a ÷=≠C .236a a a ⋅=D .()3326a a =22.(2024·贵州·中考真题)计算23a a +的结果正确的是()A .5aB .6aC .25a D .26a 23.(2024·湖北武汉·中考真题)下列计算正确的是()A .236a a a ⋅=B .()1432a a =C .()2236a a =D .()2211a a +=+24.(2024·黑龙江绥化·中考真题)下列计算中,结果正确的是()A .()2139--=B .()222a b a b +=+C 93=±D .()3263x y x y -=25.(2024·重庆·中考真题)用菱形按如图所示的规律拼图案,其中第①个图案中有2个菱形,第②个图案中有5个菱形,第③个图案中有8个菱形,第④个图案中有11个菱形,…,按此规律,则第⑧个图案中,菱形的个数是()A .20B .21C .23D .2626.(2024·黑龙江大兴安岭地·中考真题)下列计算正确的是()A .326a a a ⋅=B .()527a a =C .()339328a b a b -=-D .()()22a b a b a b-++=-27.(2024·内蒙古赤峰·中考真题)下列计算正确的是()A .235a a a +=B .222()a b a b +=+C .632a a a ÷=D .()236a a =28.(2024·广东深圳·中考真题)下列运算正确的是()A .()523m m -=-B .23m n m m n ⋅=C .33mn m n-=D .()2211m m -=-29.(2024·四川广元·中考真题)下列计算正确的是()A .336a a a +=B .632a a a ÷=C .()222a b a b +=+D .()2224ab a b =30.(2024·四川凉山·中考真题)下列运算正确的是()A .235ab ab ab +=B .()3235ab a b =C .824a a a ÷=D .236a a a ⋅=31.(2024·江苏扬州·中考真题)1202年数学家斐波那契在《计算之书》中记载了一列数:1,1,2,3,5,……,这一列数满足:从第三个数开始,每一个数都等于它的前两个数之和.则在这一列数的前2024个数中,奇数的个数为()A .676B .674C .1348D .135032.(2024·河北·中考真题)“铺地锦”是我国古代一种乘法运算方法,可将多位数乘法运算转化为一位数乘法和简单的加法运算.淇淇受其启发,设计了如图1所示的“表格算法”,图1表示13223⨯,运算结果为3036.图2表示一个三位数与一个两位数相乘,表格中部分数据被墨迹覆盖,根据图2中现有数据进行推断,正确的是()A .“20”左边的数是16B .“20”右边的“□”表示5C .运算结果小于6000D .运算结果可以表示为41001025a +二、填空题33.(2024·天津·中考真题)计算86x x ÷的结果为.34.(2024·河南·中考真题)请写出2m 的一个同类项:.35.(2024·广东广州·中考真题)如图,把1R ,2R ,3R 三个电阻串联起来,线路AB 上的电流为I ,电压为U ,则123U IR IR IR =++.当120.3R =,231.9R =,347.8R =, 2.2I =时,U 的值为.36.(2024·上海·中考真题)计算:()324x =.37.(2024·江西·中考真题)观察a ,2a ,3a ,4a ,…,根据这些式子的变化规律,可得第100个式子为.38.(2024·江苏苏州·中考真题)若2a b =+,则()2b a -=.39.(2024·四川乐山·中考真题)已知3a b -=,10ab =,则22a b +=.40.(2024·广东广州·中考真题)若2250a a --=,则2241a a -+=.41.(2024·四川成都·中考真题)若m ,n 为实数,且()2450m n +-=,则()2m n +的值为.42.(2024·四川成都·中考真题)在综合实践活动中,数学兴趣小组对1n 这n 个自然数中,任取两数之和大于n 的取法种数k 进行了探究.发现:当2n =时,只有{}1,2一种取法,即1k =;当3n =时,有{}1,3和{}2,3两种取法,即2k =;当4n =时,可得4k =;…….若6n =,则k 的值为;若24n =,则k 的值为.三、解答题43.(2024·吉林·中考真题)先化简,再求值:()()2111a a a +-++,其中3a =44.(2024·陕西·中考真题)先化简,再求值:()()22x y x x y ++-,其中1x =,=2y -.45.(2024·甘肃·中考真题)先化简,再求值:()()()22222a b a b a b b ⎡⎤+-+-÷⎣⎦,其中2a =,1b =-.专题03代数式及整式(45题)一、单选题1.(2024·广东·中考真题)下列计算正确的是()A .2510a a a ⋅=B .824a a a ÷=C .257a a a-+=D .()5210a a =【答案】D【分析】本题主要考查了同底数幂乘除法计算,幂的乘方计算,合并同类项,熟知相关计算法则是解题的关键.【详解】解:A 、257a a a ⋅=,原式计算错误,不符合题意;B 、826a a a ÷=,原式计算错误,不符合题意;C 、253a a a -+=,原式计算错误,不符合题意;D 、()5210a a =,原式计算正确,符合题意;故选:D .2.(2024·四川内江·中考真题)下列单项式中,3ab 的同类项是()A .33ab B .232a b C .22a b -D .3a b【答案】A【分析】本题主要考查的是同类项的定义,掌握同类项的定义是解题的关键.依据同类项的定义:所含字母相同,相同字母的次数相同,据此判断即可.【详解】解:A .是同类项,此选项符合题意;B .字母a 的次数不相同,不是同类项,故此选项不符合题意;C .相同字母的次数不相同,不是同类项,故此选项不符合题意;D .相同字母的次数不相同,不是同类项,故此选项不符合题意.故选:A .3.(2024·湖北·中考真题)223x x ⋅的值是()A .25x B .35x C .26x D .36x 【答案】D【分析】本题主要考查单项式与单项式的乘法.运用单项式乘单项式运算法则求出结果即可判断.【详解】解:23236x x x ⋅=,故选:D .4.(2024·河南·中考真题)计算3···a a a a ⎛⎫⎪ ⎪⎝⎭个的结果是()A .5aB .6a C .3a a +D .3aa 【答案】D【分析】本题考查的是乘方的含义,幂的乘方运算的含义,先计算括号内的运算,再利用幂的乘方运算法则可得答案.【详解】解:()()333···aaa a a a a a ==个,故选D5.(2024·浙江·中考真题)下列式子运算正确的是()A .325x x x +=B .326x x x ⋅=C .()239x x =D .624x x x ÷=【答案】D【分析】本题考查了合并同类项,幂的运算,熟练掌握运算法则是解题的关键.分别利用合并同类型法则,同底数幂的乘法,幂的乘方,同底数幂的除法分别判断即可.【详解】解:A 、3x 与2x 不是同类项,不能合并,故本选项不符合题意;B 、325x x x ×=,故本选项不符合题意;C 、()236x x =,故本选项不符合题意;D 、624x x x ÷=,故本选项符合题意.故选:D .6.(2024·河北·中考真题)下列运算正确的是()A .734a a a -=B .222326a a a ⋅=C .33(2)8a a -=-D .44a a a÷=【答案】C【分析】本题考查整式的运算,根据合并同类项,单项式乘以单项式,积的乘方,同底数幂的除法依次对各选项逐一分析判断即可.解题的关键是掌握整式运算的相关法则.【详解】解:A .7a ,4a 不是同类项,不能合并,故此选项不符合题意;B .224326a a a ⋅=,故此选项不符合题意;C .()3328a a -=-,故此选项符合题意;D .441a a ÷=,故此选项不符合题意.故选:C .7.(2024·黑龙江齐齐哈尔·中考真题)下列计算正确的是()A .224426a a a +=B .5210a a a ⋅=C .623a a a ÷=D .()224a a -=【答案】D【分析】本题考查了积的乘方、合并同类项、同底数幂相乘、除,根据运算法则逐项分析,即可作答.【详解】解:A 、22244266a a a a ≠+=,故该选项不符合题意;B 、2521010a a a a ⋅=≠,故该选项不符合题意;C 、6243a a a a ÷=≠,故该选项不符合题意;D 、()224a a -=,故该选项符合题意;故选:D8.(2024·黑龙江牡丹江·中考真题)下列计算正确的是()A .32622a a a ⋅=B .331(2)8a b a b-÷⨯=-C .()322a a a a a a++÷=+D .2233aa -=【答案】D【分析】本题考查了单项式的乘除法,多项式除以单项式,负整数指数幂,根据运算法则进行逐项计算,即可作答.【详解】解:A 、32522a a a ⋅=,故该选项是错误的;B 、33218(2)a a b b b-÷⨯=-,故该选项是错误的;C 、()3221a a a a a a ++÷=++,故该选项是错误的;D 、2233aa -=,故该选项是正确的;故选:D .9.(2024·云南·中考真题)按一定规律排列的代数式:2x ,23x ,34x ,45x ,56x ,L ,第n 个代数式是()A .2n xB .()1nn x-C .1n nx +D .()1nn x+【答案】D【分析】本题考查了数列的规律变化,根据数列找到变化规律即可求解,仔细观察和总结规律是解题的关键.【详解】解:∵按一定规律排列的代数式:2x ,23x ,34x ,45x ,56x ,L ,∴第n 个代数式是()1nn x +,故选:D .10.(2024·云南·中考真题)下列计算正确的是()A .33456x x x +=B .635x x x ÷=C .()327a a =D .()333ab a b =【答案】D【分析】本题考查了合并同类项、幂的乘方、积的乘方、同底数幂的除法,熟练掌握运算法则是解答的关键.利用合并同类项法则、幂的乘方运算法则、同底数幂的除法运算法则、积的乘方运算法则进行运算,并逐项判断即可.【详解】解:A 、33356x x x +=,选项计算错误,不符合题意;B 、633x x x ÷=,选项计算错误,不符合题意;C 、()326a a =,选项计算错误,不符合题意;D 、()333ab a b =,选项计算正确,符合题意;故选:D .11.(2024·山东烟台·中考真题)下列运算结果为6a 的是()A .23a a ⋅B .122a a ÷C .33a a +D .()32a 【答案】D【分析】本题考查了同底数幂的乘法,同底数幂的除法,合并同类项,幂的乘方,解题的关键是熟练掌握以上运算法则;根据同底数幂的乘法同底数幂的除法,合并同类项,幂的乘方,运算法则计算即可【详解】A .23235a a a a +⋅==,故选项不符合题意;B .12212210a a a a -÷==,故选项不符合题意;C .3332a a a +=,故选项不符合题意;D .()32236a a a ⨯==,故选项符合题意;故选:D .12.(2024·江苏盐城·中考真题)下列运算正确的是()A .624a a a ÷=B .22a a -=C .326a a a ⋅=D .()235a a =【答案】A【分析】本题考查了同底数幂乘法,合并同类项,同底数幂除法,幂的乘方等知识点,熟知相关运算法则是解本题的关键.根据同底数幂乘法,合并同类项,同底数幂除法,幂的乘方等运算法则分别计算即可得出答案.【详解】解:A 、624a a a ÷=,正确,符合题意;B 、2a a a -=,错误,不符合题意;C 、325a a a ⋅=,错误,不符合题意;D 、()236a a =,错误,不符合题意;故选:A .13.(2024·黑龙江牡丹江·中考真题)如图是由一些同样大小的三角形按照一定规律所组成的图形,第1个图有4个三角形.第2个图有7个三角形,第3个图有10个三角形……按照此规律排列下去,第674个图中三角形的个数是()A .2022B .2023C .2024D .2025【答案】B【分析】此题考查了图形的变化规律,解题的关键是根据图形的排列,归纳出图形的变化规律.根据前几个图形的变化发现规律,可用含n 的代数式表示出第n 个图形中三角形的个数,从而可求第674个图形中三角形的个数.【详解】解:第1个图案有4个三角形,即4311=⨯+,第2个图案有7个三角形,即7321=⨯+,第3个图案有10个三角形,即10331=⨯+,…,按此规律摆下去,第n 个图案有()31n +个三角形,则第674个图案中三角形的个数为:367412023⨯+=(个).故选:B .14.(2024·江苏连云港·中考真题)下列运算结果等于6a 的是()A .33a a +B .6a a ⋅C .28a a ÷D .()32a -【答案】C【分析】本题考查整式的运算,根据合并同类项,同底数幂的乘除法则,积的乘方和幂的乘方法则,逐一进行计算判断即可.【详解】解:A 、3332a a a +=,不符合题意;B 、67a a a ⋅=,不符合题意;C 、826a a a ÷=,符合题意;D 、()326a a -=-,不符合题意;故选:C .15.(2024·江苏扬州·中考真题)下列运算中正确的是()A .222()a b a b -=-B .523a a a -=C .()235a a =D .236326a a a ⋅=【答案】B【分析】本题考查了乘法公式,合并同类项,幂的乘方,单项式乘法,掌握整式的运算法则是解题的关键.【详解】解:A 、()2222a b a ab b -=-+,原选项错误,不符合题意;B 、523a a a -=,正确,符合题意;C 、()236a a =,原选项错误,不符合题意;D 、2353·26a a a =,原选项错误,不符合题意;故选:B .16.(2024·山东威海·中考真题)下列运算正确的是()A .5510x x x +=B .21m m n n n÷⋅=C .624a a a ÷=D .()325a a -=-17.(2024·河北·中考真题)若a ,b 是正整数,且满足8282222222a ba a ab b b++⋅⋅⋅+=⨯⨯⋅⋅⋅⨯ 个相加个相乘,则a 与b 的关系正确的是()A .38a b +=B .38a b=C .83a b +=D .38a b=+【答案】A【分析】本题考查了同底数幂的乘法,幂的乘方的运算的应用,熟练掌握知识点是解题的关键.由题意得:()8822a b ⨯=,利用同底数幂的乘法,幂的乘方化简即可.【详解】解:由题意得:()8822a b ⨯=,∴38222a b ⨯=,∴38a b +=,故选:A .18.(2024·四川眉山·中考真题)下列运算中正确的是()A .2a a a -=B .23a a a ⋅=C .()325a a =D .()323626ab a b =【答案】B【分析】此题考查了合并同类项,同底数幂乘法,幂的乘方和积的乘方,解题的关键是掌握以上运算法则.根据合并同类项,同底数幂乘法,幂的乘方和积的乘方运算法则进行判断即可.【详解】解:2a 与a -不是同类项,无法合并,则A 不符合题意;23a a a ⋅=,则B 符合题意;()326a a =,则C 不符合题意;()323628ab a b =,则D 不符合题意;故选:B .19.(2024·广东广州·中考真题)若0a ≠,则下列运算正确的是()A .235a a a+=B .325a a a ⋅=C .235a a a⋅=D .321a a ÷=【答案】B【分析】本题考查了分式的乘法,同底数幂乘法与除法,掌握相关运算法则是解题关键.通分后变为同分母分数相加,可判断A 选项;根据同底数幂相乘,底数不变,指数相加,可判断B 选项;根据分式乘法法则计算,可判断C 选项;根据同底数幂除法,底数不变,指数相减,可判断D 选项.【详解】解:A 、32523666a a a a a +=+=,原计算错误,不符合题意;B 、325a a a ⋅=,原计算正确,符合题意;C 、2236a a a⋅=,原计算错误,不符合题意;D 、32a a a ÷=,原计算错误,不符合题意;故选:B .20.(2024·福建·中考真题)下列运算正确的是()A .339a a a ⋅=B .422a a a ÷=C .()235a a =D .2222a a -=【答案】B【分析】本题考查了同底数幂的乘法,同底数幂的除法,幂的乘方,合并同类项,解题的关键是掌握同底数幂的乘法,同底数幂的除法,幂的乘方,合并同类项运算法则.利用同底数幂的乘法,同底数幂的除法,幂的乘方,合并同类项计算后判断正误.【详解】解:336a a a ⋅=,A 选项错误;422a a a ÷=,B 选项正确;()236a a =,C 选项错误;2222a a a -=,D 选项错误;故选:B .21.(2024·湖南·中考真题)下列计算正确的是()A .22321a a -=B .32(0)a a a a ÷=≠C .236a a a ⋅=D .()3326a a =【答案】B【分析】本题考查了合并同类项,同底数幂的乘除法,积的乘方,根据以上运算法则逐项分析即可.【详解】解:A 、22232a a a -=,故该选项不正确,不符合题意;B 、32(0)a a a a ÷=≠,故该选项正确,符合题意;C 、235a a a ⋅=,故该选项不正确,不符合题意;D 、()3328a a =,故该选项不正确,不符合题意;故选:B .22.(2024·贵州·中考真题)计算23a a +的结果正确的是()A .5aB .6aC .25a D .26a 【答案】A【分析】本题主要考查合并同类项,根据合并同类项的法则:把同类项的系数相加,所得结果作为系数,字母和字母的指数不变即可得.【详解】解:235a a a +=,故选:A .23.(2024·湖北武汉·中考真题)下列计算正确的是()A .236a a a ⋅=B .()1432a a =C .()2236a a =D .()2211a a +=+【答案】B【分析】本题考查了完全平方公式,积的乘方,幂的乘方,同底数幂的乘法等,根据同底数幂的乘法,积的乘方,幂的乘方,完全平方公式运算法则分别判断即可.【详解】解:A.235a a a ⋅=,故该选项不正确,不符合题意;B.()4312a a =,故该选项正确,符合题意;C.()2239a a =,故该选项不正确,不符合题意;D.()22121a a a +=++,故该选项不正确,不符合题意;故选:B .24.(2024·黑龙江绥化·中考真题)下列计算中,结果正确的是()A .()2139--=B .()222a b a b +=+C 93=±D .()3263x y x y -=【答案】A【分析】本题考查了负整数指数幂,完全平方公式,算术平方根,积的乘方,据此逐项分析计算,即可求解.【详解】解:A.()2139--=,故该选项正确,符合题意;B.()2222a b a ab b +=++,故该选项不正确,不符合题意;C.93=,故该选项不正确,不符合题意;D.()3263x y x y -=-,故该选项不正确,不符合题意;故选:A .25.(2024·重庆·中考真题)用菱形按如图所示的规律拼图案,其中第①个图案中有2个菱形,第②个图案中有5个菱形,第③个图案中有8个菱形,第④个图案中有11个菱形,…,按此规律,则第⑧个图案中,菱形的个数是()A .20B .21C .23D .26【答案】C【分析】本题考查了图形类的规律探索,解题的关键是找出规律.利用规律求解.通过观察图形找到相应的规律,进行求解即可.【详解】解:第①个图案中有()131112+⨯-+=个菱形,第②个图案中有()132115+⨯-+=个菱形,第③个图案中有()133118+⨯-+=个菱形,第④个图案中有()1341111+⨯-+=个菱形,∴第n 个图案中有()131131n n +-+=-个菱形,∴第⑧个图案中菱形的个数为38123⨯-=,故选:C .26.(2024·黑龙江大兴安岭地·中考真题)下列计算正确的是()A .326a a a ⋅=B .()527a a =C .()339328a b a b -=-D .()()22a b a b a b-++=-【答案】C【分析】本题主要考查同底数幂的乘法,幂的乘方与积的乘方,平方差公式,运用相关运算法则求出各选项的结果后再进行判断即可.【详解】解:A 、3256a a a a ⋅=≠,故选项A 计算错误,此选项不符合题意;B 、()52107a a a =≠,故选项B 计算错误,此选项不符合题意;C 、()339328a b a b -=-,此选项计算正确,符合题意;D 、()()()()22a b a b b a b a b a -++=-+=-,故选项D 计算错误,此选项不符合题意;故选:C .27.(2024·内蒙古赤峰·中考真题)下列计算正确的是()A .235a a a +=B .222()ab a b +=+C .632a a a ÷=D .()236a a =【答案】D【分析】此题考查了同底数幂的除法,完全平方公式,合并同类项,幂的乘方.根据同底数幂的除法法则,完全平方公式,合并同类项,幂的乘方的运算法则,可得答案.【详解】解:A 、2a 与3a 不是同类项,不能合并,故此选项不符合题意;B 、()222222a b a ab b a b +=++≠+,故此选项不符合题意;C 、6332a a a a ÷=≠,故此选项不符合题意;D 、()236a a =,故此选项符合题意.故选:D .28.(2024·广东深圳·中考真题)下列运算正确的是()A .()523m m -=-B .23m n m m n ⋅=C .33mn m n -=D .()2211m m -=-【答案】B【分析】本题考查了合并同类项,积的乘方,单项式乘以单项式,完全平方公式.根据单项式乘以单项式,积的乘方,完全平方公式法则进行计算即可求解.【详解】解:A 、()2365m m m -=≠-,故该选项不符合题意;B 、23m n m m n ⋅=,故该选项符合题意;C 、33mn m n -≠,故该选项不符合题意;D 、()2221211m m m m -=-+≠-,故该选项不符合题意;故选:B .29.(2024·四川广元·中考真题)下列计算正确的是()A .336a a a +=B .632a a a ÷=C .()222a b a b +=+D .()2224ab a b =【答案】D【分析】本题考查了合并同类项,同底数幂的除法,完全平方公式,积的乘方运算,正确的计算是解题的关键.根据合并同类项,同底数幂的除法,完全平方公式,积的乘方运算法则逐项分析判断即可求解.【详解】解:A .3332a a a +=,故该选项不正确,不符合题意;B .633a a a ÷=,故该选项不正确,不符合题意;C .()222=2a b a ab b +++,故该选项不正确,不符合题意;D .()2224ab a b =,故该选项正确,符合题意.故选:D .30.(2024·四川凉山·中考真题)下列运算正确的是()A .235ab ab ab +=B .()3235ab a b =C .824a a a ÷=D .236a a a ⋅=【答案】A【分析】本题考查了整式的运算,根据合并同类项法则、积的乘方、同底数幂的除法和乘法分别计算即可判断求解,掌握整式的运算法则是解题的关键.【详解】解:A 、235ab ab ab +=,该选项正确,符合题意;B 、()3236ab a b =,该选项错误,不合题意;C 、826a a a ÷=,该选项错误,不合题意;D 、235a a a ⋅=,该选项错误,不合题意;故选:A .31.(2024·江苏扬州·中考真题)1202年数学家斐波那契在《计算之书》中记载了一列数:1,1,2,3,5,……,这一列数满足:从第三个数开始,每一个数都等于它的前两个数之和.则在这一列数的前2024个数中,奇数的个数为()A .676B .674C .1348D .1350【答案】D【分析】将这一列数继续写下去,发现这列数的变化规律即可解答.本题主要考查的是数字规律类问题,发现这列数的变化规律是解题的关键.【详解】这一列数为:1,1,2,3,5,8,13,21,34,…可以发现每3个数为一组,每一组前2个数为奇数,第3个数为偶数.由于202436742÷= ,即前2024个数共有674组,且余2个数,∴奇数有674221350⨯+=个.故选:D32.(2024·河北·中考真题)“铺地锦”是我国古代一种乘法运算方法,可将多位数乘法运算转化为一位数乘法和简单的加法运算.淇淇受其启发,设计了如图1所示的“表格算法”,图1表示13223⨯,运算结果为3036.图2表示一个三位数与一个两位数相乘,表格中部分数据被墨迹覆盖,根据图2中现有数据进行推断,正确的是()A .“20”左边的数是16B .“20”右边的“□”表示5C .运算结果小于6000D .运算结果可以表示为41001025a +【答案】D【分析】本题考查了整式的加法运算,整式的乘法运算,理解题意,正确的逻辑推理时解决本题的关键.设一个三位数与一个两位数分别为10010x y z ++和10m n +,则20,5,2,mz nz ny nx a ====,即4=m n ,可确定1,2n y ==时,则4,5,m z x a ===,由题意可判断A 、B 选项,根据题意可得运算结果可以表示为:()1000411002541001025a a a +++=+,故可判断C 、D 选项.【详解】解:设一个三位数与一个两位数分别为10010x y z ++和10m n +如图:则由题意得:20,5,2,mz nz ny nx a ====,∴4mznz=,即4=m n ,∴当2,1n y ==时, 2.5z =不是正整数,不符合题意,故舍;当1,2n y ==时,则4,5,m z x a ===,如图:,∴A 、“20”左边的数是248⨯=,故本选项不符合题意;B 、“20”右边的“□”表示4,故本选项不符合题意;∴a 上面的数应为4a ,如图:∴运算结果可以表示为:()1000411002541001025a a a +++=+,∴D 选项符合题意,当2a =时,计算的结果大于6000,故C 选项不符合题意,故选:D .二、填空题33.(2024·天津·中考真题)计算86x x ÷的结果为.【答案】2x 【分析】本题考查同底数幂的除法,掌握同底数幂的除法,底数不变,指数相减是解题的关键.【详解】解:862x x x ÷=,故答案为:2x .34.(2024·河南·中考真题)请写出2m 的一个同类项:.【答案】m (答案不唯一)【分析】本题考查的是同类项的含义,根据同类项的定义直接可得答案.【详解】解:2m 的一个同类项为m ,故答案为:m35.(2024·广东广州·中考真题)如图,把1R ,2R ,3R 三个电阻串联起来,线路AB 上的电流为I ,电压为U ,则123U IR IR IR =++.当120.3R =,231.9R =,347.8R =, 2.2I =时,U 的值为.【答案】220【分析】本题考查了代数式求值,乘法运算律,掌握相关运算法则,正确计算是解题关键.根据123U IR IR IR =++,将数值代入计算即可.【详解】解:123U IR IR IR =++ ,当120.3R =,231.9R =,347.8R =, 2.2I =时,()20.3 2.231.9 2.247.8 2.220.331.947.8 2.2220U =⨯+⨯+⨯=++⨯=,故答案为:220.36.(2024·上海·中考真题)计算:()324x =.【答案】664x 【分析】本题考查了积的乘方以及幂的乘方,掌握相关运算法则是解题关键.先将因式分别乘方,再结合幂的乘方计算即可.【详解】解:()326464x x =,故答案为:664x .37.(2024·江西·中考真题)观察a ,2a ,3a ,4a ,…,根据这些式子的变化规律,可得第100个式子为.【答案】100a 【分析】此题考查了单项式规律探究.分别找出系数和次数的规律,据此判断出第n 个式子是多少即可.【详解】解:∵a ,2a ,3a ,4a ,…,∴第n 个单项式的系数是1;∵第1个、第2个、第3个、第4个单项式的次数分别是1、2、3、4,…,∴第n 个式子是n a .∴第100个式子是100a .故答案为:100a .38.(2024·江苏苏州·中考真题)若2a b =+,则()2b a -=.【答案】4【分析】本题考查了求代数式的值,把2a b =+整体代入化简计算即可.【详解】解:∵2a b =+,∴()2b a -()22b b ⎡⎤=-+⎣⎦()22b b =--()22=-4=,故答案为:4.39.(2024·四川乐山·中考真题)已知3a b -=,10ab =,则22a b +=.【答案】29【分析】本题考查了完全平方公式的变形.熟练掌握完全平方公式的变形是解题的关键.根据()2222a b a b ab +=-+,计算求解即可.【详解】解:由题意知,()22222321029a b a b ab +=-+=+⨯=,故答案为:29.40.(2024·广东广州·中考真题)若2250a a --=,则2241a a -+=.【答案】11【分析】本题考查了已知字母的值求代数式的值,得出条件的等价形式是解题关键.由2250a a --=,得225a a -=,根据对求值式子进行变形,再代入可得答案.【详解】解:2250a a --= ,225a a ∴-=,()2224122125111a a a a ∴-+=-+=⨯+=,故答案为:11.41.(2024·四川成都·中考真题)若m ,n 为实数,且()240m +=,则()2m n +的值为.42.(2024·四川成都·中考真题)在综合实践活动中,数学兴趣小组对1n 这n 个自然数中,任取两数之和大于n 的取法种数k 进行了探究.发现:当2n =时,只有{}1,2一种取法,即1k =;当3n =时,有{}1,3和{}2,3两种取法,即2k =;当4n =时,可得4k =;…….若6n =,则k 的值为;若24n =,则k 的值为.【答案】9144【分析】本题考查数字类规律探究,理解题意,能够从特殊到一般,得到当n 为偶数或奇数时的不同取法是解答的关键.先根据前几个n 值所对应k 值,找到变化规律求解即可.【详解】解:当2n =时,只有{}1,2一种取法,则1k =;当3n =时,有{}1,3和{}2,3两种取法,则2k =;当4n =时,有{}1,4,{}2,4,{}3,4,{}2,3四种取法,则243144k =+==;故当5n =时,有{}1,5,{}2,5,{}3,5,{}4,5,{}2,4,{}3,4六种取法,则426k =+=;当6n =时,有{}1,6,{}2,6,{}3,6,{}4,6,{}5,6,{}2,5,{}3,5,{}4,5,{}3,4九种取法,则2653194k =++==依次类推,当n 为偶数时,()()2135314n k n n =-+-++++= ,故当24n =时,2242321195311444k =++++++== ,故答案为:9,144.三、解答题43.(2024·吉林·中考真题)先化简,再求值:2111a a a +-++,其中3【答案】22a ,6【分析】本题考查了整式的化简求值,平方差公式,先利用平方差公式化简,再进行合并同类项,最后代入求值即可.【详解】解:原式2211a a =-++22a =,当3a =时,原式()223=⨯6=.44.(2024·陕西·中考真题)先化简,再求值:()()22x y x x y ++-,其中1x =,=2y -.【答案】222x y +,6【分析】本题考查了整式的混合运算以及求值.根据完全平方公式和单项式乘以多项式法则进行运算,再合并同类项,最后代入即可求解.【详解】解:()()22x y x x y ++-22222x xy y x xy =+++-222x y =+;当1x =,=2y -时,原式()22212246=⨯+-=+=.45.(2024·甘肃·中考真题)先化简,再求值:()()()22222a b a b a b b ⎡⎤+-+-÷⎣⎦,其中2a =,1b =-.【答案】2a b +,3【分析】本题主要考查了整式的化简求值,先根据平方差公式和完全平方公式去小括号,然后合并同类项,再根据多项式除以单项式的计算法则化简,最后代值计算即可.【详解】解:()()()22222a b a b a b b ⎡⎤+-+-÷⎣⎦()()22224442a ab b a b b⎡⎤=++--÷⎣⎦()22224442a ab b a b b=++-+÷()2422ab b b=+÷2a b =+,当2a =,1b =-时,原式()2213=⨯+-=.。
专题07分式与分式方程(3大考点)(解析版)三年(2022-2024)中考数学真题分类汇编(全国通用)【考点归纳】一、考点01解分式方程----------------------------------------------------------------------------------------------------------------------------1二、考点02分式方程的解-----------------------------------------------------------------------------------------------------------------------11三、考点03分式方程的应用-------------------------------------------------------------------------------------------------------------------16考点01解分式方程一、考点01解分式方程1.(2024·山东济宁·中考真题)解分式方程1513126x x-=---时,去分母变形正确的是()A .2625x -+=-B .6225x --=-C .2615x --=D .6215x -+=2.(2024·四川泸州·中考真题)分式方程322x x-=--的解是()A .73x =-B .=1x -C .53x =D .3x =1362x -+=-,39x -=-,3x =,经检验3x =是该方程的解,故选:D .3.(2024·四川德阳·中考真题)分式方程153x x =+的解是()A .3B .2C .32D .344.(2023·辽宁大连·中考真题)解方程311x x x+=--去分母,两边同乘(1)x -后的式子为()A .133(1)x x +=-B .13(1)3x x +-=-C .133x x -+=-D .13(1)3x x+-=【答案】B【分析】本题考查了解分式方程时去分母,找到分式方程的公分母是解题的关键.根据分式方程的解法,两侧同乘(1)x -化简分式方程即可.【详解】解:分式方程的两侧同乘(1)x -得:13(1)3x x +-=-.故选:B .5.(2023·海南·中考真题)分式方程115x =-的解是()A .6x =B .6x =-C .5x =D .5x =-【答案】A【分析】先去分母将分式方程化为整式方程,解方程得到x 的值,再检验即可得到答案.【详解】解:去分母得:15x =-,解得:6x =,检验,当6x =时,510x -=≠,∴原分式方程的解是6x =,故选:A .【点睛】本题主要考查了解分式方程,熟练掌握解分式方程的步骤,注意要检验.6.(2023·黑龙江哈尔滨·中考真题)方程231x x =+的解为()A .1x =B .=1x -C .2x =D .2x =-7.(2023·湖南·中考真题)将关于x 的分式方程21x x =-去分母可得()A .332x x -=B .312x x -=C .31x x -=D .33x x-=8.(2023·甘肃兰州·中考真题)方程213x =+的解是()A .1x =B .=1x -C .5x =D .5x =-【答案】B【分析】分式方程去分母转化为整式方程,求出整式方程的解得到x 的值,经检验即可得解.【详解】解:去分母得:23x =+,解得=1x -,经检验=1x -是分式方程的解.故选:B .【点睛】本题考查了解分式方程,熟练掌握解分式方程的方法是解题的关键.9.(2023·上海·中考真题)在分式方程2221521x x x x -+=-中,设221x y x -=,可得到关于y 的整式方程为()A .2550y y ++=B .2550y y -+=C .2510y y ++=D .2510y y -+=10.(2024·浙江·中考真题)若11x =-,则x =【答案】3【分析】此题考查了解分式方程,解分式方程的基本思想是“转化思想”,把分式方程转化为整式方程求解.解分式方程一定注意要验根.分式方程去分母转化为整式方程,求出整式方程的解得到x 的值,经检验即可得到分式方程的解.【详解】解:去分母得:21x =-,移项合并得:3x -=-,解得:3x =,经检验,3x =是分式方程的解,故答案为:311.(2024·北京·中考真题)方程11023x x+=的解为.12.(2024·四川宜宾·中考真题)分式方程301x x +-=的解为.13.(2023·江苏·中考真题)方程1121x -=+的解是.故答案为:2x =-【点睛】此题考查了分式方程的求解,解题的关键是掌握分式方程的求解方法.14.(2023·北京·中考真题)方程31512x x=+的解为.【答案】1x =【分析】方程两边同时乘以()251x x +化为整式方程,解整式方程即可,最后要检验.【详解】解:方程两边同时乘以()251x x +,得651x x =+,解得:1x =,经检验,1x =是原方程的解,故答案为:1x =.【点睛】本题考查了解分式方程,熟练掌握解分式方程的步骤是解题的关键.15.(2023·江苏苏州·中考真题)分式方程123x x +=的解为x =.【答案】3-【分析】方程两边同时乘以3x ,化为整式方程,解方程验根即可求解.【详解】解:方程两边同时乘以3x ,()312x x +=解得:3x =-,经检验,3x =-是原方程的解,故答案为:3-.【点睛】本题考查了解分式方程,熟练掌握解分式方程的步骤是解题的关键.16.(2023·重庆·中考真题)若关于x 的一元一次不等式组+34222x x a ⎧≤⎪⎨⎪-≥⎩,至少有2个整数解,且关于y 的分式方程14222a y y-+=--有非负整数解,则所有满足条件的整数a 的值之和是.17.(2022·山东威海·中考真题)按照如图所示的程序计算,若输出y的值是2,则输入x的值是.18.(2022·四川成都·中考真题)分式方程144x x x-+=的解是.19.(2024·福建·中考真题)解方程:122x x +=+-.20.(2024·陕西·中考真题)解方程:2111x x +=--.【答案】3x =-【分析】本题主要考查了解分式方程,先去分母变分式方程为整式方程,然后再解整式方程,最后对方程的解进行检验即可.21.(2024·广东广州·中考真题)解方程:x x=.2522.(2023·西藏·中考真题)解分式方程:1-=.11x x23.(2023·山西·中考真题)解方程:1122x x +=.24.(2022·青海西宁·中考真题)解方程:220x x x x-=+-.【答案】7x =【分析】分式方程去分母转化为整式方程,求出整式方程的解得到x 的值,经检验即可得到分式方程的解.【详解】解:方程两边同乘()()11x x x +-,得()()41310x x --+=,解得7x =,检验:当7x =时,()()110x x x +-≠,所以,原分式方程的解为7x =.【点睛】本题主要考查了解分式方程,掌握求解的方法是解题的关键,注意解分式方程一定要验根.25.(2022·江苏苏州·中考真题)解方程:311x x x+=.二、考点02分式方程的解26.(2024·四川遂宁·中考真题)分式方程2111m x x =---的解为正数,则m 的取值范围()A .3m >-B .3m >-且2m ≠-C .3m <D .3m <且2m ≠-27.(2024·黑龙江齐齐哈尔·中考真题)如果关于x 的分式方程01m x x -=+的解是负数,那么实数m 的取值范围是()A .1m <且0m ≠B .1m <C .1m >D .1m <且1m ≠-【答案】A【分析】本题考查了根据分式方程的解的情况求参数,解分式方程求出分式方程的解,再根据分式方程的28.(2024·黑龙江大兴安岭地·中考真题)已知关于x 的分式方程233x x -=--无解,则k 的值为()A .2k =或1k =-B .2k =-C .2k =或1k =D .1k =-29.(2023·山东淄博·中考真题)已知1x =是方程322x x -=--的解,那么实数m 的值为()A .2-B .2C .4-D .430.(2023·黑龙江·中考真题)已知关于x 的分式方程122x x +=--的解是非负数,则m 的取值范围是()A .2m ≤B .2m ≥C .2m ≤且2m ≠-D .2m <且2m ≠-31.(2022·重庆·中考真题)若关于x 的一元一次不等式组1351x x a-⎧-≥⎪⎨⎪-⎩<的解集为2x ≤-,且关于y 的分式方程1211y a y y -=-++的解是负整数,则所有满足条件的整数a 的值之和是()A .-26B .-24C .-15D .-1332.(2024·黑龙江牡丹江·中考真题)若分式方程311x mx x x =-的解为正整数,则整数m 的值为.33.(2024·重庆·中考真题)若关于x 的一元一次不等式组2133423x x x a+⎧≤⎪⎨⎪-<+⎩的解集为4x ≤,且关于y 的分式方程8122a y y y --=++的解均为负整数,则所有满足条件的整数a 的值之和是.34.(2024·四川达州·中考真题)若关于x 的方程122x x --=无解,则k 的值为.35.(2023·四川巴中·中考真题)关于x 的分式方程322x x ++=有增根,则m =.三、考点03分式方程的应用36.(2024·山东·中考真题)为提高生产效率,某工厂将生产线进行升级改造,改造后比改造前每天多生产100件,改造后生产600件的时间与改造前生产400件的时间相同,则改造后每天生产的产品件数为()A .200B .300C .400D .50037.(2024·内蒙古呼伦贝尔·中考真题)A,B两种机器人都被用来搬运化工原料,A型机器人比B型机器人每小时多搬运30千克,A型机器人搬运900千克所用时间与B型机器人搬运600千克所用时间相等.A,B 两种机器人每小时分别搬运多少干克化工原料?()A.60,30B.90,120C.60,90D.90,6038.(2024·四川达州·中考真题)甲乙两人各自加工120个零件,甲由于个人原因没有和乙同时进行,乙先加工30分钟后,甲开始加工.甲为了追赶上乙的进度,加工的速度是乙的1.2倍,最后两人同时完成.求乙每小时加工零件多少个?设乙每小时加工x个零件.可列方程为()A.120120301.2x x-=B.120120301.2x x-=C.120120301.260x x-=D.120120301.260x x-=39.(2024·甘肃临夏·中考真题)端午节期间,某商家推出“优惠酬宾”活动,决定每袋粽子降价2元销售.细心的小夏发现,降价后用240元可以比降价前多购买10袋,求:每袋粽子的原价是多少元?设每袋粽子的原价是x元,所得方程正确的是()A.240240102x x-=+B.240240102x x-=-C.240240102x x-=D.240240102x x-=40.(2023·山东青岛·中考真题)某校组织学生进行劳动实践活动,用1000元购进甲种劳动工具,用2400元购进乙种劳动工具,乙种劳动工具购买数量是甲种的2倍,但单价贵了4元.设甲种劳动工具单价为x 元,则x满足的分式方程为.41.(2023·内蒙古呼和浩特·中考真题)甲、乙两船从相距150km的A,B两地同时匀速沿江出发相向而行,甲船从A地顺流航行90km时与从B地逆流航行的乙船相遇.甲、乙两船在静水中的航速均为30km/h,则江水的流速为km/h.42.(2023·湖北武汉·中考真题)我国古代数学经典著作《九章算术》记载:“今有善行者行一百步,不善行者行六十步.今不善行者先行一百步,善行者追之,问几何步及之?”如图是善行者与不善行者行走路程s(单位:步)关于善行者的行走时间t的函数图象,则两图象交点P的纵坐标是.43.(2022·江西·中考真题)甲、乙两人在社区进行核酸采样,甲每小时比乙每小时多采样10人,甲采样160人所用时间与乙采样140人所用时间相等,甲、乙两人每小时分别采样多少人?设甲每小时采样x人,则可列分式方程为.44.(2024·云南·中考真题)某旅行社组织游客从A地到B地的航天科技馆参观,已知A地到B地的路程为300千米,乘坐C型车比乘坐D型车少用2小时,C型车的平均速度是D型车的平均速度的3倍,求D型车的平均速度.答:D型车的平均速度为100km/h.45.(2024·江苏扬州·中考真题)为了提高垃圾处理效率,某垃圾处理厂购进A、B两种机器,A型机器比B 型机器每天多处理40吨垃圾,A型机器处理500吨垃圾所用天数与B型机器处理300吨垃圾所用天数相等.B 型机器每天处理多少吨垃圾?46.(2024·广西·中考真题)综合与实践在综合与实践课上,数学兴趣小组通过洗一套夏季校服,探索清洗衣物的节约用水策略.【洗衣过程】步骤一:将校服放进清水中,加入洗衣液,充分浸泡揉搓后拧干;步骤二:将拧干后的校服放进清水中,充分漂洗后拧干.重复操作步骤二,直至校服上残留洗衣液浓度达到洗衣目标.假设第一次漂洗前校服上残留洗衣液浓度为0.2%,每次拧干后校服上都残留0.5kg水.浓度关系式:0.50.5ddw=+前后.其中d前、d后分别为单次漂洗前、后校服上残留洗衣液浓度;w为单次漂洗所加清水量(单位:kg)【洗衣目标】经过漂洗使校服上残留洗衣液浓度不高于0.01%【动手操作】请按要求完成下列任务:(1)如果只经过一次漂洗,使校服上残留洗衣液浓度降为0.01%,需要多少清水?(2)如果把4kg清水均分,进行两次漂洗,是否能达到洗衣目标?(3)比较(1)和(2)的漂洗结果,从洗衣用水策略方面,说说你的想法.【答案】(1)只经过一次漂洗,使校服上残留洗衣液浓度降为0.01%,需要9.5kg清水.(2)进行两次漂洗,能达到洗衣目标;(3)两次漂洗的方法值得推广学习47.(2024·重庆·中考真题)为促进新质生产力的发展,某企业决定投入一笔资金对现有甲、乙两类共30条生产线的设备进行更新换代.(1)为鼓励企业进行生产线的设备更新,某市出台了相应的补贴政策.根据相关政策,更新1条甲类生产线的设备可获得3万元的补贴,更新1条乙类生产线的设备可获得2万元的补贴.这样更新完这30条生产线的设备,该企业可获得70万元的补贴.该企业甲、乙两类生产线各有多少条?(2)经测算,购买更新1条甲类生产线的设备比购买更新1条乙类生产线的设备需多投入5万元,用200万元购买更新甲类生产线的设备数量和用180万元购买更新乙类生产线的设备数量相同,那么该企业在获得70万元的补贴后,还需投入多少资金更新生产线的设备?48.(2023·山东济南·中考真题)某校开设智能机器人编程的校本课程,购买了A,B两种型号的机器人模型.A 型机器人模型单价比B型机器人模型单价多200元,用2000元购买A型机器人模型和用1200元购买B型机器人模型的数量相同.(1)求A型,B型机器人模型的单价分别是多少元?(2)学校准备再次购买A型和B型机器人模型共40台,购买B型机器人模型不超过A型机器人模型的3倍,且商家给出了两种型号机器人模型均打八折的优惠.问购买A型和B型机器人模型各多少台时花费最少?最少花费是多少元?49.(2023·辽宁沈阳·中考真题)甲、乙两人加工同一种零件,每小时甲比乙多加工2个这种零件,甲加工25个这种零件所用的时间与乙加工20个这种零件所用的时间相等,求乙每小时加工多少个这种零件.【答案】乙每小时加工8个这种零件.50.(2023·宁夏·中考真题)“人间烟火味,最抚凡人心”,地摊经济、小店经济是就业岗位的重要来源.某经营者购进了A型和B型两种玩具,已知用520元购进A型玩具的数量比用175元购进B型玩具的数量多30个,且A型玩具单价是B型玩具单价的1.6倍.(1)求两种型号玩具的单价各是多少元?根据题意,甲、乙两名同学分别列出如下方程:甲:520175301.6x x=+,解得5x=,经检验5x=是原方程的解.乙:5201751.630x x=⨯-,解得65x=,经检验65x=是原方程的解.则甲所列方程中的x表示_______,乙所列方程中的x表示_______;(2)该经营者准备用1350元以原单价再次购进这两种型号的玩具共200个,则最多可购进A型玩具多少个?51.(2023·山东·中考真题)某校组织学生去郭永怀纪念馆进行研学活动.纪念馆距学校72千米,部分学生乘坐大型客车先行,出发12分钟后,另一部分学生乘坐小型客车前往,结果同时到达.已知小型客车的速度是大型客车速度的1.2倍,求大型客车的速度.52.(2023·贵州·中考真题)为推动乡村振兴,政府大力扶持小型企业.根据市场需求,某小型企业为加快生产速度,需要更新生产设备,更新设备后生产效率比更新前提高了25%,设更新设备前每天生产x件产品.解答下列问题:(1)更新设备后每天生产_______件产品(用含x的式子表示);(2)更新设备前生产5000件产品比更新设备后生产6000件产品多用2天,求更新设备后每天生产多少件产品.53.(2023·广东·中考真题)某学校开展了社会实践活动,活动地点距离学校12km,甲、乙两同学骑自行车同时从学校出发,甲的速度是乙的1.2倍,结果甲比乙早到10min,求乙同学骑自行车的速度.54.(2023·重庆·中考真题)某公司不定期为员工购买某预制食品厂生产的杂酱面、牛肉面两种食品.(1)该公司花费3000元一次性购买了杂酱面、牛肉面共170份,此时杂酱面、牛肉面的价格分别为15元、20元,求购买两种食品各多少份?(2)由于公司员工人数和食品价格有所调整,现该公司分别花费1260元、1200元一次性购买杂酱面、牛肉面两种食品,已知购买杂酱面的份数比牛肉面的份数多50%,每份杂酱面比每份牛肉面的价格少6元,求购买牛肉面多少份?。
整式与因式分解一.选择题1. (2018·广西贺州·3分)下列运算正确的是()A.a2•a2=2a2B.a2+a2=a4C.(a3)2=a6D.a8÷a2=a4【解答】解:A.a2•a2=a4,错误;B.a2+a2=2a2,错误;C.(a3)2=a6,正确;D.a8÷a2=a6,错误;故选:C.2. (2018·广西贺州·3分)下列各式分解因式正确的是()A.x2+6xy+9y2=(x+3y)2B.2x2﹣4xy+9y2=(2x﹣3y)2C.2x2﹣8y2=2(x+4y)(x﹣4y)D.x(x﹣y)+y(y﹣x)=(x﹣y)(x+y)【解答】解:A.x2+6xy+9y2=(x+3y)2,正确;B.2x2﹣4xy+9y2=无法分解因式,故此选项错误;C.2x2﹣8y2=2(x+2y)(x﹣2y),故此选项错误;D.x(x﹣y)+y(y﹣x)=(x﹣y)2,故此选项错误;故选:A.3. (2018·广西梧州·3分)下列各式计算正确的是()A.a+2a=3a B.x4•x3=x12C.()﹣1=﹣D.(x2)3=x5【分析】根据同底数幂的乘法、幂的乘方、负指数幂和合并同类项法则逐个判断即可.【解答】解:A.a+2a=3a,正确;B.x4•x3=x7,错误;C.,错误;D.(x2)3=x6,错误;故选:A.【点评】此题考查同底数幂的乘法、幂的乘方、负指数幂和合并同类项,关键是根据法则计算.4. (2018·湖北荆州·3分)下列代数式中,整式为()A.x+1 B. C.D.【解答】解:A.x+1是整式,故此选项正确;B.,是分式,故此选项错误;C.是二次根式,故此选项错误;D.,是分式,故此选项错误;故选:A.5. (2018·湖北荆州·3分)下列计算正确的是()A.3a2﹣4a2=a2B.a2•a3=a6C.a10÷a5=a2 D.(a2)3=a6【解答】解:A.3a2﹣4a2=﹣a2,错误;B.a2•a3=a5,错误;C.a10÷a5=a5,错误;D.(a2)3=a6,正确;故选:D.6. (2018·湖北十堰·3分)下列计算正确的是()A.2x+3y=5xy B.(﹣2x2)3=﹣6x6C.3y2•(﹣y)=﹣3y2 D.6y2÷2y=3y【分析】根据整式的运算法则即可求出答案.【解答】解:(A)原式=2x+3y,故A错误;(B)原式=﹣8x6,故B错误;(C)原式=﹣3y3,故C错误;故选:D.【点评】本题考查整式的运算法则,解题的关键是熟练运用整式的运算法则,本题属于基础题型.7.(2018·四川省攀枝花·3分)下列运算结果是a5的是()A.a10÷a2B.(a2)3C.(﹣a)5D.a3•a2解:A.a10÷a2=a8,错误;B.(a2)3=a6,错误;C.(﹣a)5=﹣a5,错误;D.a3•a2=a5,正确;故选D.8.(2018·云南省曲靖·4分)下列计算正确的是()A.a2•a=a2B.a6÷a2=a3C.a2b﹣2ba2=﹣a2b D.(﹣)3=﹣【解答】解:A.原式=a3,不符合题意;B.原式=a4,不符合题意;C.原式=﹣a2b,符合题意;D.原式=﹣,不符合题意,故选:C.9.(2018·云南省·4分)按一定规律排列的单项式:a,﹣a2,a3,﹣a4,a5,﹣a6,……,第n个单项式是()A.a n B.﹣a n C.(﹣1)n+1a n D.(﹣1)n a n【分析】观察字母a的系数、次数的规律即可写出第n个单项式.【解答】解:a,﹣a2,a3,﹣a4,a5,﹣a6,……,(﹣1)n+1•a n.故选:C.【点评】考查了单项式,数字的变化类,注意字母a的系数为奇数时,符号为正;系数字母a的系数为偶数时,符号为负.10.(2018·辽宁省沈阳市)(2.00分)下列运算错误的是()A.(m2)3=m6B.a10÷a9=a C.x3•x5=x8D.a4+a3=a7【分析】直接利用合并同类项法则以及单项式乘以单项式运算法则和同底数幂的除法运算法则化简求出即可.【解答】解:A.(m2)3=m6,正确;B.a10÷a9=a,正确;C.x3•x5=x8,正确;D.a4+a3=a4+a3,错误;故选:D.【点评】此题主要考查了合并同类项法则以及单项式乘以单项式运算法则和同底数幂的除法运算法则等知识,正确掌握运算法则是解题关键.11.(2018·辽宁省盘锦市)下列运算正确的是()A.3x+4y=7xy B.(﹣a)3•a2=a5C.(x3y)5=x8y5D.m10÷m7=m3【解答】解:A.3x、4y不是同类项,不能合并,此选项错误;B.(﹣a)3•a2=﹣a5,此选项错误;C.(x3y)5=x15y5,此选项错误;D.m10÷m7=m3,此选项正确;故选D.12.(2018·辽宁省葫芦岛市) 下列运算正确的是()A.﹣2x2+3x2=5x2B.x2•x3=x5C.2(x2)3=8x6D.(x+1)2=x2+1【解答】解:A.﹣2x2+3x2=x2,错误;B.x2•x3=x5,正确;C.2(x2)3=2x6,错误;D.(x+1)2=x2+2x+1,错误;故选B.13.(2018·辽宁省抚顺市)(3.00分)下列运算正确的是()A.2x+3y=5xy B.(x+3)2=x2+9 C.(xy2)3=x3y6D.x10÷x5=x2【分析】根据同底数幂的乘除法,完全平方公式,以及合并同类项的•法则解答即可.【解答】解:A.原式不能合并,错误;B.(x+3)2=x2+6x+9,错误;C.(xy2)3=x3y6,正确;D.x10÷x5=x5,错误;故选:C.【点评】此题考查了同底数幂的乘除法,完全平方公式,以及合并同类项,熟练掌握公式及运算法则是解本题的关键.14. (2018•乐山•3分)已知实数A.b满足a+b=2,ab=,则a﹣b=()A.1 B.﹣C.±1 D.±解:∵a+b=2,ab=,∴(a+b)2=4=a2+2ab+b2,∴a2+b2=,∴(a﹣b)2=a2﹣2ab+b2=1,∴a ﹣b=±1.故选C.15. (2018•广安•3分)下列运算正确的()A.(b2)3=b5B.x3÷x3=x C.5y3•3y2=15y5D.a+a2=a3【分析】直接利用幂的乘方运算法则以及同底数幂的除法运算法则、单项式乘以单项式和合并同类项法则.【解答】解:A.(b2)3=b6,故此选项错误;B.x3÷x3=1,故此选项错误;C.5y3•3y2=15y5,正确;D.a+a2,无法计算,故此选项错误.故选:C.【点评】此题主要考查了幂的乘方运算以及同底数幂的除法运算、单项式乘以单项式和合并同类项,正确掌握相关运算法则是解题关键.16. (2018•陕西•3分)下列计算正确的是A. a2·a2=2a4B. (-a2)3=-a6C. 3a2-6a2=3a2D. (a-2)2=a2-4【答案】B【解析】【分析】根据同底数幂乘法、幂的乘方、合并同类项法则、完全平方公式逐项进行计算即可得.【详解】A. a2·a2=a4,故A选项错误;B. (-a2)3=-a6,正确;C. 3a2-6a2=-3a2,故C选项错误;D. (a-2)2=a2-4a+4,故D选项错误,故选B.【点睛】本题考查了同底数幂的乘法、幂的乘方、合并同类项、完全平方公式,熟练掌握各运算的运算法则是解题的关键.17. (2018·湖北咸宁·3分)下列计算正确的是()A. a3•a3=2a3B. a2+a2=a4C. a6÷a2=a3D. (﹣2a2)3=﹣8a6【答案】D【解析】【分析】根据同底数幂的乘法、合并同类项法则及同底数幂的除法、积的乘方与幂的乘方的运算法则逐一计算可得.【详解】A.a3•a3=a6,故A选项错误;B.a2+a2=2a2,故B选项错误;C.a6÷a2=a4,故C选项错误;D.(﹣2a2)3=﹣8a6,故D选项正确,故选D.【点睛】本题考查了同底数幂的乘除法、合并同类项、积的乘方等运算,熟练掌握各运算的运算法则是解题的关键.18.(2018·江苏常州·2分)已知苹果每千克m元,则2千克苹果共多少元?()A.m﹣2 B.m+2 C.D.2m【分析】根据苹果每千克m元,可以用代数式表示出2千克苹果的价钱.【解答】解:∵苹果每千克m元,∴2千克苹果2m元,故选:D.【点评】本题考查列代数式,解答本题的关键是明确题意,列出相应的代数式.19.(2018·辽宁大连·3分)计算(x3)2的结果是()A.x5B.2x3C.x9D.x6解:(x3)2=x6.故选D.二.填空题1. (2018·湖北荆州·3分)如图所示,是一个运算程序示意图.若第一次输入k的值为125,则第2018次输出的结果是.【解答】解:∵第1次输出的结果是25,第2次输出的结果是5,第3次输出的结果是1,第4次输出的结果是5,第5次输出的结果是5,…,∴第2n次输出的结果是5,第2n+1次输出的结果是1(n为正整数),∴第2018次输出的结果是5.故答案为:5.2.(2018·四川省攀枝花·4分)分解因式:x3y﹣2x2y+xy= .解:原式=xy(x2﹣2x+1)=xy(x﹣1)2.故答案为:xy(x﹣1)2.3.(2018·云南省·3分)分解因式:x2﹣4= (x+2)(x﹣2).【分析】直接利用平方差公式进行因式分解即可.【解答】解:x2﹣4=(x+2)(x﹣2).故答案为:(x+2)(x﹣2).【点评】本题考查了平方差公式因式分解.能用平方差公式进行因式分解的式子的特点是:两项平方项,符号相反.4.(2018·辽宁省沈阳市)(3.00分)因式分解:3x3﹣12x= 3x(x+2)(x﹣2).【分析】首先提公因式3x,然后利用平方差公式即可分解.【解答】解:3x3﹣12x=3x(x2﹣4)=3x(x+2)(x﹣2)故答案是:3x(x+2)(x﹣2).【点评】本题考查了提公因式法与公式法分解因式,要求灵活使用各种方法对多项式进行因式分解,一般来说,如果可以先提取公因式的要先提取公因式,再考虑运用公式法分解.5.(2018·辽宁省盘锦市)因式分解:x3﹣x= x(x+1)(x﹣1).【解答】解:原式=x(x2﹣1)=x(x+1)(x﹣1).故答案为:x(x+1)(x﹣1).6.(2018·辽宁省葫芦岛市) 分解因式:2a3﹣8a= 2a(a+2)(a﹣2).【解答】解:原式=2a(a2﹣4)=2a(a+2)(a﹣2).故答案为:2a(a+2)(a﹣2).7.(2018·辽宁省抚顺市)(3.00分)分解因式:xy2﹣4x= x(y+2)(y﹣2).【分析】原式提取x,再利用平方差公式分解即可.【解答】解:原式=x(y2﹣4)=x(y+2)(y﹣2),故答案为:x(y+2)(y﹣2)【点评】此题考查了提公因式法与公式法的综合运用,熟练掌握因式分解的方法是解本题的关键.8. (2018·湖北咸宁·3分)因式分解:ab2﹣a=_____.【答案】a(b+1)(b﹣1)【解析】分析:首先提取公因式,再用公式法分解因式即可.详解:原式故答案为:点睛:考查因式分解,本题是提取公因式法和公式法相结合.注意分解一定要彻底. 9.(2018·江苏常州·2分)分解因式:3x2﹣6x+3= 3(x﹣1)2.【分析】先提取公因式3,再对余下的多项式利用完全平方公式继续分解.【解答】解:3x2﹣6x+3=3(x2﹣2x+1)=3(x﹣1)2.【点评】本题考查了用提公因式法和公式法进行因式分解,一个多项式有公因式首先提取公因式,然后再用其他方法进行因式分解,同时因式分解要彻底,直到不能分解为止.10.(2018·辽宁大连·3分)因式分解:x2﹣x= .解:x2﹣x=x(x﹣1).故答案为:x(x﹣1).11.(2018·江苏镇江·2分)计算:(a2)3= a6.【解答】解:(a2)3=a6.故答案为:a6.12.(2018·江苏镇江·2分)分解因式:x2﹣1= (x+1)(x﹣1).【解答】解:x2﹣1=(x+1)(x﹣1).故答案为:(x+1)(x﹣1).13.(2018·吉林长春·3分)计算:a2•a3= a5.【分析】根据同底数的幂的乘法,底数不变,指数相加,计算即可.【解答】解:a2•a3=a2+3=a5.故答案为:a5.三.解答题1(2018·重庆市B卷)21.(10.00分)计算:(1)(x+2y)2﹣(x+y)(x﹣y);【分析】(1)原式利用完全平方公式,平方差公式化简,去括号合并即可得到结果;【解答】解:(1)原式=x2+4xy+4y2﹣x2+y2=4xy+5y2;2. (2018•乐山•10分)先化简,再求值:(2m+1)(2m﹣1)﹣(m﹣1)2+(2m)3÷(﹣8m),其中m是方程x2+x﹣2=0的根解:原式=4m2﹣1﹣(m2﹣2m+1)+8m3÷(﹣8m)=4m2﹣1﹣m2+2m﹣1﹣m2=2m2+2m﹣2=2(m2+m﹣1).∵m是方程x2+x﹣2=0的根,∴m2+m﹣2=0,即m2+m=2,则原式=2×(2﹣1)=2.3.(2018·江苏镇江·4分)(2)化简:(a+1)2﹣a(a+1)﹣1.【解答】解:(2)原式=a2+2a+1﹣a2﹣a﹣1=a.4. (2018·湖北咸宁·8分)(2)化简:(a+3)(a﹣2)﹣a(a﹣1).【答案】(2)2a﹣6.【解析】(2)按顺序先利用多项式乘多项式、单项式乘多项式的法则进行展开,然后再合并同类项即可得.【详解】(2)(a+3)(a﹣2)﹣a(a﹣1)=a2﹣2a+3a﹣6﹣a2+a=2a﹣6.【点睛】本题考查了整式的混合运算,熟练掌握各运算的运算顺序以及运算法则是解题的关键.。
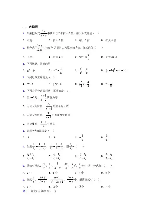
初三数学分式试题答案及解析1.分式可变形为()A.B.C.D.【答案】D.【解析】根据分式的性质,分子分母都乘以﹣1,分式的值不变,可得答案:分式的分子分母都乘以﹣1,得.故选D.【考点】分式的基本性质.2.化简:的结果是A.B.C.D.【答案】A.【解析】原式=.故选A.【考点】分式的化简.3.计算:(1)(2)【答案】(1);(2).【解析】(1)根据绝对值,零指数幂,负指数幂,特殊角的三角函数进行化简即可;(2)先通分,再化成最简即可.试题解析:(1);(2 ) .【考点】1.绝对值2.零指数幂3.负指数幂4.特殊角的三角函数5.分式化简.4.先化简,再求代数式的值,其中【答案】.【解析】先因式分解,然后将除法转化为乘法,约分后再相加,然后代入求值.原式=∵a=6tan30°-2=∴原式【考点】1.分式的化简求值;2.特殊角的三角函数值.5.先化简,再求值:,其中=.【答案】.【解析】把所给代数式第一项分子、分母进行因式分解,乘以第二项的倒数,约分后与最后一项通分化简,然后把a的值代入求值即可.原式=;当时,原式=.【考点】分式的化简求值.6.(1)化简:.(2)解方程:.【答案】(1)x;(2)x=3.【解析】(1)原式利用除法法则变形,约分即可得到结果;(2)方程去分母,去括号,移项合并,将x系数化为1,即可求出解.(1)原式=;(2)原方程可化为3x+2=8+x,合并同类项得:2x=6,解得:x=3.【考点】1.分式的乘除法;2.解一元一次方程.7.(1)计算:(2)【答案】(1)1;(2).【解析】先计算零次幂、负整数指数幂、二次根式、绝对值、特殊角三角函数值,最后再加减即可;(2)先计算括号里的,然后再乘以除式的倒数,进行约分化简即可求出结果.(1)原式=;(2)原式=考点: 1.实数的运算;2.分式的化简.8.先化简,再求值:,其中为不等式组的整数解.【答案】.【解析】先进行分式的化简,再解一元一次不等式组,确定不等式组的整数解,最后把整数解代入化简的整式求值.原式====.由解得.∵x是不等式组的整数解,∴x=1.x=0(舍)当x=1时,原式=.【考点】1.分式的化简求值;解一元一次不等式组.9.佳佳果品店在批发市场购买某种水果销售,第一次用1200元购进若干千克,并以每千克8元出售,很快售完.由于水果畅销,第二次购买时,每千克的进价比第一次提高了10%,用1452元所购买的数量比第一次多20千克,以每千克9元售出100千克后,因出现高温天气,水果不易保鲜,为减少损失,便降价50%售完剩余的水果.(1)求第一次水果的进价是每千克多少元?(2)该果品店在这两次销售中,总体上是盈利还是亏损?盈利或亏损了多少元?【答案】(1)第一次水果的进价为每千克6元(2)该老板两次卖水果总体上是赚钱了,共赚了388元.【解析】(1)设第一次购买的单价为x元,则第二次的单价为1.1x元,第一次购买用了1200元,第二次购买用了1452元,第一次购水果,第二次购水果,根据第二次购水果数多20千克,可得出方程,解出即可得出答案;(2)先计算两次购水果数量,赚钱情况:卖水果量×(实际售价﹣当次进价),两次合计,就可以回答问题了.解:(1)设第一次购买的单价为x元,则第二次的单价为(1+10%)x=1.1x元,根据题意得:=20,解得:x=6,经检验,x=6是原方程的解,(2)第一次购水果1200÷6=200(千克).第二次购水果200+20=220(千克).第一次赚钱为200×(8﹣6)=400(元).第二次赚钱为100×(9﹣6.6)+120×(9×0.5﹣6×1.1)=﹣12(元).所以两次共赚钱400﹣12=388(元),答:第一次水果的进价为每千克6元,该老板两次卖水果总体上是赚钱了,共赚了388元.10.请写出一个同时满足下列条件的分式:(1)分式的值不可能为0;(2)分式有意义时,的取值范围是x≠±2;(3)当x=0时,分式的值为-1.你所写的分式为 .【答案】(答案不唯一)【解析】(1)分式的分母不为零、分子不为零;(2)分式有意义,分母不等于零;(3)将x=0代入后,分式的分子、分母互为相反数.解:(1)分式的分子不等于零;(2)分式有意义时,x的取值范围是x≠±2,即当x=±2时,分式的分母等于零;(3)当x=0时,分式的值为﹣1,即把x=0代入后,分式的分子、分母互为相反数.所以满足条件的分式可以是:;11.已知-=,求的值.【答案】-2【解析】解:∵-=,∴=,∴=-,∴=-2.12.先化简,再求值:,其中.【答案】.【解析】先化简,再化简,最后把a的代入即可求值.试题解析:又∴代入上式得:原式=考点: 分式的化简求值.13.当x=时,的值为零.【答案】x=-1.【解析】根据分式的值为零,分子等于0,分母不等于0列式进行计算即可得解.试题解析:根据题意得,|x|-1=0且x2+2x-3≠0,由|x|-1=0得:x=1或x=-1由x2+2x-3≠0知x≠-3或x≠1故x=-1.考点: 分式的值为零的条件.14.若,则()A.B.C.D.【答案】A.【解析】∵,∴.故选A.【考点】1.代数式求值;2.整体思想的应用.15.先化简,再求值:,其中m是方程的根.【答案】.【解析】先通分计算括号里的,再计算括号外的,化为最简,由于m是方程的根,那么,可得的值,再把的值整体代入化简后的式子,计算即可.试题解析:原式= .∵m是方程的根.∴,即,∴原式=.考点:分式的化简求值;一元二次方程的解.16.函数中自变量x的取值范围是.【答案】.【解析】求函数自变量的取值范围,就是求函数解析式有意义的条件,根据二次根式被开方数必须是非负数和分式分母不为0的条件,要使在实数范围内有意义,必须。
专题04分式与分式方程(56题)1.(2023·甘肃兰州·统考中考真题)方程213x 的解是()A .1x B .=1x C .5x D .5x 2.(2023·河北·统考中考真题)化简233y x x的结果是()A .6xyB .5xyC .25x y D .26x y 3.(2023·湖南·统考中考真题)下列计算正确的是()A .623a a aB .325aaC .22()()a ba b a b a b D .01134.(2023·贵州·统考中考真题)化简11a a a结果正确的是()A .1B .aC .1aD .1a5.(2023·山东东营·统考中考真题)为扎实推进“五育”并举工作,加强劳动教育,东营市某中学针对七年级学生开设了“跟我学面点”烹饪课程,课程开设后学校花费6000元购进第一批面粉,用完后学校又花费9600元购进了第二批面粉,第二批面粉的采购量是第一批采购量的1.5倍,但每千克面粉价格提高了0.4元.设第一批面粉采购量为x 千克,依题意所列方程正确的是()A .960060000.41.5x x B .960060000.41.5x x C .600096000.41.5x xD .600096000.41.5x x6.(2023·黑龙江牡丹江·统考中考真题)若分式方程3122a x x 的解为负数,则a 的取值范围是()A .1a 且2aB .0a 且2aC .2a 且3a D .1a 且3a 7.(2023·辽宁·统考中考真题)某校八年级学生去距离学校120km 的游览区游览,一部分学生乘慢车先行,出发1h 后,另一部分学生乘快车前往,结果他们同时到达.已知快车的速度是慢车速度的1.5倍,求慢车的速度,设慢车的速度是km/h x ,所列方程正确的是()A .1201201 1.5x xB .1201201 1.5x xC .1201201.51x xD .1201201.51x x19.(2023·河北·统考中考真题)根据下表中的数据,写出a 的值为.b 的值为.x 结果代数式2n31x 7b 21x xa120.(2023·四川眉山·统考中考真题)关于x 的方程1122x m x x x的解为非负数,则m 的取值范围是.21.(2023·福建·统考中考真题)已知121a b,且a b ,则ab a a b 的值为.22.(2023·四川成都·统考中考真题)若23320ab b ,则代数式22221ab ba b a a b,的值为.三、解答题23.(2023·四川乐山·统考中考真题)为了践行习近平总书记提出的“绿水青山就是金山银山”的发展理念,某地计划在规定时间内种植梨树6000棵.开始种植时,由于志愿者的加入,实际每天种植梨树的数量比原计划增加了20%,结果提前2天完成任务.问原计划每天种植梨树多少棵?24.(2023·吉林长春·统考中考真题)随着中国网民规模突破10亿、博物馆美育不断向线上拓展.敦煌研究院顺势推出数字敦煌文化大使“伽瑶”,受到广大敦煌文化爱好者的好评.某工厂计划制作3000个“伽瑶”玩偶摆件,为了尽快完成任务,实际平均每天完成的数量是原计划的1.5倍,结果提前5天完成任务.问原计划平均每天制作多少个摆件?25.(2023·湖南岳阳·统考中考真题)水碧万物生,岳阳龙虾好.小龙虾产业已经成为岳阳乡村振兴的“闪亮名片”.已知翠翠家去年龙虾的总产量是4800kg,今年龙虾的总产量是6000kg,且去年与今年的养殖面积相同,平均亩产量去年比今年少60kg,求今年龙虾的平均亩产量.26.(2023·湖南常德·统考中考真题)“六一”儿童节将至,张老板计划购买A型玩具和B型玩具进行销售,若用1200元购买A型玩具的数量比用1500元购买B型玩具的数量多20个,且一个B型玩具的进价是一个A型玩具进价的1.5倍.(1)求A型玩具和B型玩具的进价分别是多少?(2)若A型玩具的售价为12元/个,B型玩具的售价为20元/个,张老板购进A,B型玩具共75个,要使总利润不低于300元,则A型玩具最多购进多少个?27.(2023·贵州·统考中考真题)为推动乡村振兴,政府大力扶持小型企业.根据市场需求,某小型企业为加快生产速度,需要更新生产设备,更新设备后生产效率比更新前提高了25%,设更新设备前每天生产x 件产品.解答下列问题:(1)更新设备后每天生产_______件产品(用含x的式子表示);(2)更新设备前生产5000件产品比更新设备后生产6000件产品多用2天,求更新设备后每天生产多少件产品.28.(2023·吉林·统考中考真题)下面是一道例题及其解答过程的一部分,其中M 是单项式.请写出单项式M ,并将该例题的解答过程补充完整.例先化简,再求值:211a a aM ,其中100a .解:原式2111a a a a a……29.(2023·重庆·统考中考真题)计算:(1) 263x x x ;(2)2293n m n m m.30.(2023·四川宜宾·统考中考真题)计算(1)计算:012tan 45312.(2)化简:211224x x x x.31.(2023·湖北鄂州·统考中考真题)先化简,再求值:22111a a a ,其中2a .37.(2023·浙江温州·统考中考真题)计算:(1) 2311843.(2)22311a a a.38.(2023·辽宁营口·统考中考真题)先化简,再求值:524223m m m m,其中16tan 45m .39.(2023·山东东营·统考中考真题)(1)计算: 113tan 452023232274;(2)先化简,再求值:2221211x x x x x x,化简后,从23x 的范围内选择一个你喜欢的整数作为x 的值代入求值.40.(2023·山东临沂·统考中考真题)(1)解不等式1522xx ,并在数轴上表示解集.(2)下面是某同学计算211a a a 的解题过程:解:211a a a 22(1)11a a a a ①22(1)1a a a②2211a a a a③111a a ④上述解题过程从第几步开始出现错误?请写出正确的解题过程.41.(2023·重庆·统考中考真题)某公司不定期为员工购买某预制食品厂生产的杂酱面、牛肉面两种食品.(1)该公司花费3000元一次性购买了杂酱面、牛肉面共170份,此时杂酱面、牛肉面的价格分别为15元、20元,求购买两种食品各多少份?(2)由于公司员工人数和食品价格有所调整,现该公司分别花费1260元、1200元一次性购买杂酱面、牛肉面两种食品,已知购买杂酱面的份数比牛肉面的份数多50%,每份杂酱面比每份牛肉面的价格少6元,求购买牛肉面多少份?42.(2023·黑龙江·统考中考真题)2023年5月30日上午9点31分,神舟十六号载人飞船在酒泉发射中心发射升空,某中学组织毕业班的同学到当地电视台演播大厅观看现场直播,学校准备为同学们购进A,B两款文化衫,每件A款文化衫比每件B款文化衫多10元,用500元购进A款和用400元购进B款的文化衫的数量相同.(1)求A款文化衫和B款文化衫每件各多少元?(2)已知毕业班的同学一共有300人,学校计划用不多于14800元,不少于14750元购买文化衫,求有几种购买方案?(3)在实际购买时,由于数量较多,商家让利销售,A款七折优惠,B款每件让利m元,采购人员发现(2)中的所有购买方案所需资金恰好相同,试求m值.43.(2023·江苏扬州·统考中考真题)甲、乙两名学生到离校2.4km的“人民公园”参加志愿者活动,甲同学步行,乙同学骑自行车,骑自行车速度是步行速度的4倍,甲出发30min后乙同学出发,两名同学同时到达,求乙同学骑自行车的速度.44.(2023·辽宁营口·统考中考真题)某大型超市购进一款热销的消毒洗衣液,由于原材料价格上涨,今年每瓶洗衣液的进价比去年每瓶洗衣液的进价上涨4元,今年用1440元购进这款洗衣液的数量与去年用1200元购进这款洗衣液的数量相同.当每瓶洗衣液的现售价为36元时,每周可卖出600瓶,为了能薄利多销.该超市决定降价销售,经市场调查发现,这种洗衣液的售价每降价1元,每周的销量可增加100瓶,规定这种消毒洗衣液每瓶的售价不低于进价.(1)求今年这款消毒洗衣液每瓶进价是多少元;(2)当这款消毒洗衣液每瓶的售价定为多少元时,这款洗衣液每周的销售利润最大?最大利润是多少元?45.(2023·山东烟台·统考中考真题)中华优秀传统文化源远流长、是中华文明的智慧结晶.《孙子算经》、《周髀算经》是我国古代较为普及的算书、许多问题浅显有趣.某书店的《孙子算经》单价是《周髀算经》单价的34,用600元购买《孙子算经》比购买《周髀算经》多买5本.(1)求两种图书的单价分别为多少元?(2)为等备“3.14数学节”活动,某校计划到该书店购买这两种图书共80本,且购买的《周髀算经》数量不少于《孙子算经》数量的一半.由于购买量大,书店打折优惠,两种图书均按八折出售.求两种图书分别购买多少本时费用最少?46.(2023·黑龙江牡丹江·统考中考真题)某商场欲购进A和B两种家电,已知B种家电的进价比A种家电的进价每件多100元,经计算,用1万元购进A种家电的件数与用1.2万元购进B种家电的件数相同.请解答下列问题:(1)这两种家电每件的进价分别是多少元?(2)若该商场欲购进两种家电共100件,总金额不超过53500元,且A种家电不超过67件,则该商场有哪几种购买方案?(3)在(2)的条件下,若A和B两种家电的售价分别是每件600元和750元,该商场从这100件中拿出两种家电共10件奖励优秀员工,其余家电全部售出后仍获利5050元,请直接写出这10件家电中B种家电的件数.50.(2023·四川德阳·统考中考真题)2022年8月27日至29日,以“新能源、新智造、新时代”为主题的世界清洁能源装备大会在德阳举行.大会聚焦清洁能源装备产业发展热点和前瞻性问题,着力实现会展聚集带动产业聚集.其中德阳清洁能源装备特色小镇位于德阳经济技术开发区,规划面积4.82平方公里,计划2025年基本建成.若甲、乙两个工程队计划参与修建“特色小镇”中的某项工程,已知由甲单独施工需要18个月完成任务,若由乙先单独施工2个月,再由甲、乙合作施工10个月恰好完成任务.承建公司每个月需要向甲工程队支付施工费用8万元,向乙工程队支付施工费用5万元.(1)乙队单独完工需要几个月才能完成任务?(2)为保证该工程在两年内完工,且尽可能的减少成本,承建公司决定让甲、乙两个工程队同时施工,并将该工程分成两部分,甲队完成其中一部分工程用了a 个月,乙队完成另一部分工程用了b 个月,已知甲队施工时间不超过6个月,乙队施工时间不超过24个月,且a ,b 为正整数,则甲乙两队实际施工的时间安排有几种方式?哪种安排方式所支付费用最低?51.(2023·湖北恩施·统考中考真题)先化简,再求值:22142x x x,其中52x .52.(2023·宁夏·统考中考真题)“人间烟火味,最抚凡人心”,地摊经济、小店经济是就业岗位的重要来源.某经营者购进了A 型和B 型两种玩具,已知用520元购进A 型玩具的数量比用175元购进B 型玩具的数量多30个,且A 型玩具单价是B 型玩具单价的1.6倍.(1)求两种型号玩具的单价各是多少元?根据题意,甲、乙两名同学分别列出如下方程:甲:520175301.6x x ,解得5x ,经检验5x 是原方程的解.乙:5201751.630x x ,解得65x ,经检验65x 是原方程的解.则甲所列方程中的x 表示_______,乙所列方程中的x 表示_______;(2)该经营者准备用1350元以原单价再次购进这两种型号的玩具共200个,则最多可购进A 型玩具多少个?。
一、选择题1.如果把分式2xx y-中的x 与y 都扩大2倍,那么分式的值( )A .不变B .扩大2倍C .缩小2倍D .扩大4倍2.把分式2210x y xy+中的x y 、都扩大为原来的5倍,分式的值( )A .不变B .扩大5倍C .缩小为15D .扩大25倍3.下列运算,正确的是 A .0a 0=B .11a a-=C .22a a b b=D .()222a b a b -=-4.下列运算正确的是( ) A .2-3=-6B .(-2)3=-6C .(23)-2=49D .2-3=185.下列关于分式的判断,正确的是( ) A .当x =2时,12x x +-的值为零 B .无论x 为何值,231x +的值总为正数 C .无论x 为何值,31x +不可能得整数值 D .当x ≠3时,3x x-有意义 6.计算32-的结果是( ) A .-6B .-8C .18-D .187.如果112111S t t =+,212111S t t =-,则12S S =( ) A .1221t t t t +-B .2121t t t t -+C .1221t t t t -+D .1212t t t t +-8.已知有理式:4x 、4a 、1x y -、34x 、12x 2、1a +4,其中分式有 ( )A .2个B .3个C .4个D .5个9.分式a x ,22x y x y +-,2121a a a --+,+-x y x y 中,最简分式有( ). A .1个B .2个C .3个D .4个10.下列变形正确的是( ).A .1x yx y-+=-- B .x m mx n n+=+ C .22x y x y x y +=++ D .632x x x= 11.已知a <b ,化简222a a ab b a b a-+-的结果是( )A .aB .a -C .a --D .a -12.若代数式32x x +-在实数范围内有意义,则x 的取值范围为( ) A .x<-3 B .x ≥-3C .x>2D .x ≥-3,且x ≠213.若 ()1311xx --=,则 x 的取值有 ()A .0 个B .1 个C .2 个D .3 个14.下列关于分式的判断正确的是 ( ) A .无论x 为何值,231x +的值总为正数 B .无论x 为何值,31x +不可能是整数值 C .当x =2时,12x x +-的值为零 D .当x ≠3时3x x-,有意义 15.下列各式:2116,,4,,235x y xx y x π++-中,分式有( ) A .1个B .2个C .3个D .4个16.将分式2x x y+中的x 、y 的值同时扩大3倍,则 扩大后分式的值( )A .扩大3倍B .缩小3倍C .保持不变D .无法确定17.若0x y y z z xabc a b c---===<,则点P(ab ,bc)不可能在第( )象限 A .一B .二C .三D .四18.每到四月,许多地方杨絮、柳絮如雪花般漫天飞舞,人们不堪其扰,据测定,杨絮纤维的直径约为0.0000105m ,该数值用科学记数法表示为( ) A .51.0510⨯ B .51.0510-⨯C .50.10510-⨯D .410.510-⨯19.若,则用u 、v 表示f 的式子应该是( )A .B .C .D .20.下列计算正确的是( )A .3x x=xB .11a b ++=abC .2÷2﹣1=﹣1D .a ﹣3=(a 3)﹣121.纳米是一种长度单位,1米=109纳米,已知某种植物花粉的直径约为35000纳米,那么用科学记数法表示这种花粉的直径为( ) A .3.5×10﹣6米 B .3.5×10﹣5米 C .35×1013米 D .3.5×1013米 22.下列分式中,最简分式是( )A .211x x +-B .2211x x -+C .236212x x -+D .()2--y x x y23.分式212xy 和214x y的最简公分母是( ) A .2xy B .2x 2y 2C .4x 2y 2D .4x 3y 324.下列分式从左到右的变形正确的是( )A .2=2x x y yB .22=x x y yC .22=x x xx D .515(2)2xx25.下列各式计算正确的是( )A .a x ab x b+=+ B .112a b a b+=+C .22()a a b b=D .11x y x y-=-+-【参考答案】***试卷处理标记,请不要删除一、选择题 1.A 解析:A 【解析】分析:解答此题时,可将分式中的x ,y 用2x ,2y 代替,然后计算即可得出结论. 详解:依题意得:2222x x y ⨯-=222xx y ⋅⋅-()=原式.故选A .点睛:本题考查的是对分式的性质的理解和运用,扩大或缩小n 倍,就将原来的数乘以n 或除以n .2.A解析:A 【详解】∵要把分式2210x y xy+中的x y 、都扩大5倍,∴扩大后的分式为:()()()22222225551055251010x y x y xy x yxyxy+++==⨯⨯⨯,∴把分式2210x y xy+中的x y 、都扩大5倍,分式的值不变.故选A.点睛:解这类把分式中的所有字母都扩大n 倍后,判断分式的值的变化情况的题,通常是用分式中每个字母的n 倍去代替原来的字母,然后对新分式进行化简,再把化简结果和原来的分式进行对比就可判断新分式和原分式相比值发生了怎样的变化.3.B解析:B 【解析】A 选项中,因为只有当0a ≠时,01a =,所以A 错误;B 选项中,11=a a-,所以B 正确; C 选项中,22a b的分子与分母没有公因式,不能约分,所以C 错误;D 选项中,222()2a b a ab b -=-+,所以D 错误; 故选B.4.D解析:D 【解析】选项A. 2-3=18,A 错. 选项B. (-2)3=-8,B 错.选项C. (23)-2=94 ,C 错误. 选项D. 2-3=18,正确 .所以选D. 5.B解析:B 【解析】A 选项中,因为当2x =时,分式12x x +-无意义,所以本选项错误; B 选项中,因为无论x 取何值,21x +的值始终为正数,则分式231x +的值总为正数,所以本选项正确;C 选项中,因为当2x =时,分式311x =+,所以本选项说法错误; D 选项中,因为0x ≠时,分式3x x-才有意义,所以本选项说法错误; 故选B.6.D解析:D 【解析】3311228-==. 故选D. 7.B解析:B 【解析】∵112111S t t =+,212111S t t =-, ∴S 1=1212t t t t +,S 2=1221t t t t -,∴12112211221221t t s t t t t t t s t t t t +-==+-, 故选B .【点睛】本题考查了分式的混合运算,熟练掌握运算法则是解题的关键.8.B解析:B 【解析】4a 、、34x 、12x 2的分母中均不含有字母,因此它们是整式,而不是分式. 4x、、1x y -、1a +4的分母中含有字母,因此是分式.所以B 选项是正确的.点睛:本题主要考查分式的概念,分式与整式的区别主要在于:分母中是否含有未知数.9.B解析:B 【解析】 试题解析:a x,+-x yx y 是最简分式, 221()()x y x y x y x y x y x y ++==-+--,2211121(1)1a a a a a a --==-+--.故选B.10.A解析:A 【解析】试题解析:()1x y x y x y x y-+--==---. 故选A.11.D解析:D 【解析】因为a-ba a b-=-故选D.,0,0a a a a a ≥⎧==⎨-<⎩,推广此时a 可以看做是一个式子,式子整体大于等于0,把绝对值变为括号;式子整体小于0,把绝对值变为括号,前面再加负号.最后去括号,化简.12.D解析:D 【分析】根据二次根式有意义的条件和分式有意义的条件得到x+3≥0且x-2≠0,然后求出两个不等式的公共部分即可. 【详解】根据题意得x+3≥0且x−2≠0, 所以x 的取值范围为x ≥−3且x≠2. 故答案选D. 【点睛】本题考查的知识点是二次根式有意义的条件,分式有意义的条件,解题的关键是熟练的掌握二次根式有意义的条件,分式有意义的条件.13.C解析:C 【分析】直接利用零指数幂的性质以及有理数的乘方运算法则得出答案. 【详解】解:∵(1-x )1-3x =1, ∴当1-3x=0时,原式=1, 当x=0时,原式=1, 故x 的取值有2个. 故选C . 【点睛】此题主要考查了零指数幂的性质以及有理数的乘方运算,正确掌握运算法则是解题关键.14.A解析:A【解析】 【分析】根据分式有意义的条件、分式值为0的条件、分式值是正负等逐一进行分析即可得. 【详解】A 、分母中x 2+1≥1,因而23x 1+的值总为正数,故A 选项正确; B 、当x+1=1或-1时,3x 1+的值是整数,故B 选项错误; C 、当x=2时,分母x-2=0,分式无意义,故C 选项错误; D 、当x=0时,分母x=0,分式无意义,故D 选项错误, 故选A . 【点睛】本题考查了分式的值为零的条件,分式的定义,分式有意义的条件,注意分式的值是正数的条件是分子、分母同号,值是负数的条件是分子、分母异号.15.A解析:A 【解析】分析:判断分式的依据是看分母中是否含有字母,如果含有字母则是分式,如果不含有字母则不是分式. 详解:216,,4,,23x y xx y π++的分母中均不含有字母,因此它们是整式,而不是分式.15x -的分母中含有字母,因此是分式. 故选A .点睛:本题主要考查分式的定义,注意π不是字母,6xπ是常数,所以不是分式,是整式.16.A解析:A 【解析】 试题分析:==;故选A.考点:分式的基本性质.17.A解析:A 【解析】 【分析】根据有理数的乘法判断出a ,b ,c 中至少有一个是负数,另两个同号,然后求出三个数都是负数时x 、y 、z 的大小关系,得出矛盾,从而判断出a 、b 、c 不能同时是负数,确定出点P 不可能在第一象限. 【详解】 解:∵abc <0,∴a ,b ,c 中至少有一个是负数,另两个同号, 可知三个都是负数或两正数,一个是负数, 当三个都是负数时:若x yabc a-=, 则20x y a bc -=>,即x >y ,同理可得:y >z ,z >x 这三个式子不能同时成立, 即a ,b ,c 不能同时是负数, 所以,P (ab ,bc )不可能在第一象限. 故选:A. 【点睛】本题主要考查分式的基本性质和点的坐标的知识,熟悉点的坐标的基本知识是本题的解题关键,确定一个点所在象限,就是确定点的坐标的符号.18.B解析:B 【解析】 【分析】绝对值小于1的正数也可以利用科学记数法表示,一般形式为a×10-n ,与较大数的科学记数法不同的是其所使用的是负指数幂,指数由原数左边起第一个不为零的数字前面的0的个数所决定. 【详解】0.0000105=1.05×10-5, 故选B . 【点睛】本题考查用科学记数法表示较小的数,一般形式为a×10-n ,其中1≤|a|<10,n 为由原数左边起第一个不为零的数字前面的0的个数所决定.19.B解析:B 【解析】 【分析】已知等式左边通分并利用同分母分式的加法法则计算,表示出f 即可. 【详解】,变形得:f=.故选B.【点睛】此题考查了分式的加减法,熟练掌握运算法则是解本题的关键.20.D解析:D【解析】【分析】分子和分母同乘以(或除以)一个不为0的数,分数值不变.【详解】A、3xx=x2,错误;B、11ab++=+1+1ab,错误;C、2÷2﹣1=4,错误;D、a﹣3=(a3)﹣1,正确;故选D.【点睛】此题考查分式的基本性质,关键是根据把分式的分子和分母扩大还是缩小相同的倍数,分式的值不变解答.21.B解析:B【解析】【分析】绝对值小于1的正数也可以利用科学记数法表示,一般形式为a×10﹣n,与较大数的科学记数法不同的是其所使用的是负指数幂,指数由原数左边起第一个不为零的数字前面的0的个数所决定.【详解】∵1米=109纳米,某种植物花粉的直径约为35000纳米,∴35000纳米=35000×10﹣9m=3.5×10﹣5m.故选B.【点睛】本题考查了用科学记数法表示较小的数,一般形式为a×10﹣n,其中1≤|a|<10,n为由原数左边起第一个不为零的数字前面的0的个数所决定.22.B解析:B【分析】利用最简分式的定义判断即可.【详解】A 、原式=()()11111x x x x +=+--,不合题意;B 、原式为最简分式,符合题意;C 、原式=()()()666262x x x x +--=+,不合题意,D 、原式=()()2x y x y x x y x--=-,不合题意;故选B . 【点睛】此题考查了最简分式,最简分式为分式的分子分母没有公因式,即不能约分的分式.23.C解析:C 【解析】 【分析】确定最简公分母的方法是: (1)取各分母系数的最小公倍数;(2)凡单独出现的字母连同它的指数作为最简公分母的一个因式; (3)同底数幂取次数最高的,得到的因式的积就是最简公分母. 【详解】 分式212xy 和214x y的最简公分母是4x 2y 2. 故选C. 【点睛】本题考查了最简公分母的知识,通分的关键是准确求出各个分式中分母的最简公分母,确定最简公分母的方法一定要掌握.24.D解析:D 【分析】根据分式的基本性质逐项判断. 【详解】解:A 、当y=-2时,该等式不成立,故本选项错误; B 、当x=-1,y=1时,该等式不成立,故本选项错误;C.22=x x x x --+-,故本选项错误; D 、正确. 故选D. 【点睛】本题考查分式的基本性质,属于基础题型,分式的分子和分母同时乘以(或除以)同一个不为0的整式,分式的值不变.25.D解析:D【解析】根据分式的基本性质,可知A 不正确;根据异分母的分式相加,可知11a b +=b a a b ab ab ab ++=,故不正确;根据分式的乘方,可知2a b ⎛⎫= ⎪⎝⎭22a b ,故不正确;根据分式的性质,可知11x y x y -=-+-,故正确. 故选:D.。
2021年中考数学真题分项汇编【全国通用】(第02期)专题3整式及运算姓名:__________________ 班级:______________ 得分:_________________一、单选题1.(2021·黑龙江绥化市·中考真题)下列运算正确的是( )A .()257a a =B .448x x x ⋅=C 3=± D【答案】B【分析】根据幂的乘方,同底数幂的乘法,算术平方根,以及实数的运算法则逐一判断.【详解】A 、(a 5)2=a 10,故A 错,B 、x 4⋅x 4=x 8,故B 正确,C 3=,故C 错,D -3-D 错,故选:B【点睛】本题考查了算术平方根,实数的运算,同底数幂的乘法,以及幂的乘方,熟悉并灵活运用以上性质是解题的关键.2.(2021·河南中考真题)下列运算正确的是( )A .22()a a -=-B .2222a a -=C .23a a a ⋅=D .22(1)1a a -=- 【答案】C【分析】直接利用幂的运算性质和完全平方公式分别判断得出答案.【详解】解:A 、22()a a -=,原计算错误,不符合题意;B 、2222a a a -=,原计算错误,不符合题意;C 、23a a a ⋅=,正确,符合题意;D 、22(1)21a a a -=-+,原计算错误,不符合题意;故选:C .【点睛】本题主要考查了幂的运算性质和完全平方公式,正确掌握相关运算法则是解题关键.3.(2021·湖北鄂州市·中考真题)下列运算正确的是( )A .23a a a ⋅=B .541a a -=C .632a a a ÷=D .()3326a a = 【答案】A【分析】直接利用同底数幂的乘法、合并同类项、同底数幂的除法、幂的乘方直接求解即可.【详解】A 、23a a a ⋅=,选项正确,符合题意;B 、54a a a -=,选项错误,不符合题意;C 、633a a a ÷=,选项错误,不符合题意;D 、()3328a a =,选项错误,不符合题意;故选:A .【点睛】本题考查了同底数幂的乘法、合并同类项、同底数幂的除法、幂的乘方,解题的关键是:掌握相关的运算法则.4.(2021·江苏无锡市·中考真题)下列运算正确的是( )A .23a a a +=B .352()a a =C .824a a a ÷=D .235a a a ⋅= 【答案】D【分析】根据合并同类项法则,幂的乘方法则,同底数幂的乘除法法则,逐一判断选项,即可.【详解】解:A. 2a a +,不是同类项,不能合并,故该选选错误,B. 236()a a =,故该选项错误,C. 826a a a ÷=,故该选项错误,D. 235a a a ⋅=,故该选项正确,故选D .【点睛】本题主要考查整式的运算,熟练掌握合并同类项法则,幂的乘方法则,同底数幂的乘除法法则,是解题的关键.5.(2021·内蒙古通辽市·中考真题)下列计算正确的是( )A .335x x x +=B .3321x x -=C .347x x x ⋅=D .()323626xy x y -=- 【答案】C【分析】根据合并同类项法则、同底数幂乘法法则、积的乘方及幂的乘方法则逐一计算即可得答案.【详解】A.3332x x x +=,故该选项计算错误,不符合题意,B.3332x x x -=,故该选项计算错误,不符合题意,C.33744x x x x +⋅==,故该选项计算正确,符合题意,D.()323323362(2)8xy x y x y ⨯-=-=-,故该选项计算错误,不符合题意,故选:C .【点睛】本题考查合并同类项、同底数幂乘法、积的乘方及幂的乘方,熟练掌握运算法则是解题关键. 6.(2021·湖南中考真题)已知0a ≠,下列运算正确的是( )A .321a a -=B .326a a a ⋅=C .32a a a ÷=D .()3326a a = 【答案】C【分析】根据合并同类项、整式的乘法、同底数幂的除法、积的乘方逐项判断即可得.【详解】A 、32a a a -=,此项错误,不符题意;B 、2326a a a ⋅=,此项错误,不符题意;C 、32a a a ÷=,此项正确,符合题意;D 、()3328a a =,此项错误,不符题意;故选:C .【点睛】本题考查了合并同类项、整式的乘法、同底数幂的除法、积的乘方,熟练掌握各运算法则是解题关键. 7.(2021·福建中考真题)下列运算正确的是( )A .22a a -=B .()2211a a -=-C .632a a a ÷=D .326(2)4a a = 【答案】D【分析】根据不同的运算法则或公式逐项加以计算,即可选出正确答案.【详解】解:A :()221a a a a -=-=,故 A 错误;B :()22121a a a -=-+,故 B 错误;C :63633a a a a -÷==,故C 错误;D :()()2232332622?44a a a a ⨯===.故选:D【点睛】本题考查了整式的加减法法则、乘法公式、同底数幂的除法法则、积的乘方、幂的乘方等知识点,熟知上述各种不同的运算法则或公式,是解题的关键.8.(2021·四川宜宾市·中考真题)下列运算正确的是( )A .23a a a +=B .()32622a a =C .623a a a ÷=D .325a a a ⋅= 【答案】D【分析】根据同底数幂相乘底数不变指数相加、同底数幂相除底数不变指数相减、乘积的幂等于各部分幂的乘积运算法则求解即可.【详解】解:选项A :a 与2a 不是同类项,不能相加,故选项A 错误;选项B :()32628a a =,故选项B 错误;选项C :62624a a a a -÷==,故选项C 错误;选项D :33522a a a a +⋅==,故选项D 正确;故选:D .【点睛】本题考查幂的运算法则,属于基础题,熟练掌握运算法则是解决本类题的关键.9.(2021·黑龙江齐齐哈尔市·中考真题)下列计算正确的是( )A .4=±B .()2234636m n m n =C .24833a a a ⋅=D .33xy x y -= 【答案】A【分析】根据平方根,幂的乘方与积的乘方,单项式乘以单项式及合并同类项的运算法则分别对每一个选项进行分析,即可得出答案.【详解】A 、4=±,正确,故该选项符合题意;B 、()2234639m n m n =,错误,故该选项不合题意;C 、24633a a a ⋅=,错误,故该选项不合题意;D 、3xy 与3x 不是同类项,不能合并,故该选项不合题意;故选:A .【点睛】本题考查了平方根、幂的乘方与积的乘方,单项式乘以单项式以及合并同类项,熟练掌握平方根的定义、幂的乘方与积的乘方、单项式乘以单项式以及合并同类项的运算法则是解题关键.10.(2021·湖北中考真题)下列运算正确的是( )A .23a a a ⋅=B .()325a a =C .33(2)6a a =D .1234a a a ÷=【答案】A【分析】根据同底数幂的乘除法、幂的乘方、积的乘方法则逐项判断即可得.【详解】A 、23a a a ⋅=,此项正确,符合题意;B 、()326a a =,此项错误,不符题意;C 、33(2)8a a =,此项错误,不符题意;D 、1239a a a ÷=,此项错误,不符题意;故选:A .【点睛】本题考查了同底数幂的乘除法、幂的乘方、积的乘方,熟练掌握各运算法则是解题关键.11.(2021·山东威海市·中考真题)下列运算正确的是( )A .236(3)9a a -=-B .235()a a a -⋅=C .222(2)4x y x y -=-D .22445a a a += 【答案】B【分析】分别根据积的乘方和幂的乘方运算法则、同底数幂的乘法、完全平方公式以及合并同类项的运算法则对各项进行计算后再判断即可.【详解】解:A . 236(3)27a a -=-,原选项计算错误,不符合题意;B . 235()a a a -⋅=原选项计算正确 ,符合题意;C. 222(2)44x y x xy y -=-+,原选项计算错误,不符合题意;D . 22245a a a +=,原选项计算错误,不符合题意;故选:B .【点睛】此题主要考查了积的乘方和幂的乘方、同底数幂的乘法、完全平方公式以及合并同类项,熟练掌握相关运算法则是解答此题的关键.12.(2021·山东济宁市·中考真题)下列各式中,正确的是( )A .223x x x +=B .()x y x y --=--C .()325x x =D .532x x x ÷= 【答案】D根据合并同类项,只把系数相加减,字母与字母的次数不变;同底数幂相除,底数不变指数相减;幂的乘方,底数不变指数相乘,对各选项计算后利用排除法求解.【详解】解:A 、23x x x +=,此选项错误,不符合题意;B 、()+x y x y --=-,此选项错误,不符合题意;C 、()326x x =,此选项错误,不符合题意; D 、532x x x ÷=,此选项正确,符合题意;故选:D .【点睛】本题主要考查合并同类项法则,同底数幂除法,幂的乘方,熟练掌握运算性质是解题的关键. 13.(2021·黑龙江鹤岗市·中考真题)下列运算中,计算正确的是( )A .2352m m m +=B .()32626a a -=- C .()222a b a b -=- D =【答案】D【分析】根据积的乘方、完全平方公式及二次根式的除法可直接进行排除选项.【详解】解:A 、2m 与3m 不是同类项,所以不能合并,错误,故不符合题意;B 、()32628a a -=-,错误,故不符合题意;C 、()2222a b a ab b -=-+,错误,故不符合题意;D =故选D .【点睛】本题主要考查积的乘方、完全平方公式及二次根式的除法,熟练掌握积的乘方、完全平方公式及二次根式的除法是解题的关键.14.(2021·广东中考真题)已知93,274m n ==,则233m n +=( )A .1B .6C .7D .12【分析】利用同底数幂乘法逆用转换求解即可.【详解】解:⋅93,274m n ==,⋅232323333(3)(3)927=34=12m n m n m n m n +=⨯=⨯=⨯⨯,⋅故选:D .【点睛】本题主要考查同底数幂乘法的逆用,熟练掌握其运算法则即表现形式是解题关键.15.(2021·内蒙古中考真题)若1x =,则代数式222x x -+的值为( )A .7B .4C .3D .3- 【答案】C【分析】先将代数式222x x -+变形为()211x -+,再代入即可求解.【详解】解:())22222=111113x x x -+-+=-+=. 故选:C【点睛】本题考查了求代数式的值,熟练掌握完全平方公式是解题关键,也可将x 的值直接代入计算. 16.(2021·山东济宁市·中考真题)按规律排列的一组数据:12,35,□,717,926,1137,…,其中□内应填的数是( )A .23B .511C .59D .12 【答案】D【分析】分子为连续奇数,分母为序号的平方1+,根据规律即可得到答案.【详解】观察这排数据发现,分子为连续奇数,分母为序号的平方1+,∴第n 个数据为:2211n n -+ 当3n =时的分子为5,分母为23110+=∴这个数为51102= 故选:D .【点睛】本题考查了数字的探索规律,分子和分母分别寻找规律是解题关键.17.(2021·湖北十堰市·)将从1开始的连续奇数按如图所示的规律排列,例如,位于第4行第3列的数为27,则位于第32行第13列的数是( )A .2025B .2023C .2021D .2019【答案】B【分析】根据数字的变化关系发现规律第n 行,第n 列的数据为:2n (n -1)+1,即可得第32行,第32列的数据为:2×32×(32-1)+1=1985,再依次加2,到第32行,第13列的数据,即可.【详解】解:观察数字的变化,发现规律:第n 行,第n 列的数据为:2n (n -1)+1,⋅第32行,第32列的数据为:2×32×(32-1)+1=1985,根据数据的排列规律,第偶数行从右往左的数据一次增加2,⋅第32行,第13列的数据为:1985+2×(32-13)=2023,故选:B .【点睛】本题考查了数字的变化类,解决本题的关键是观察数字的变化寻找探究规律,利用规律解决问题. 18.(2021·广西来宾市·中考真题)下列运算正确的是( )A .235a a a ⋅=B .623a a a ÷=C .()325a a =D .2232a a a -=【答案】A【分析】 分别根据同底数幂的乘法、同底数幂的除法、幂的乘方、整式的加减法则进行计算,即可求解.【详解】解:A. 235a a a ⋅=,原选项计算正确,符合题意;B. 624a a a ÷=,原选项计算错误,不合题意;C. ()326a a =,原选项计算错误,不合题意;D. 232a a -,不是同类项,无法相减,原选项计算错误,不合题意.故选:A【点睛】本题考查了同底数幂的乘法、同底数幂的除法、幂的乘方、整式的加减等知识,熟知相关运算公式和法则是解题关键.19.(2021·内蒙古呼和浩特市·中考真题)下列计算正确的是( )A .224347a a a +=B 11a= C .31812()42-+÷-= D .21111a a a a --=-- 【答案】D【分析】 根据有理数、整式、分式、二次根式的运算公式运算验证即可.【详解】222347a a a +=,故A 错;当a >011a =,当a <011a=-,故B 错; 31812()262-+÷-=-,故C 错; 21111a a a a --=--,D 正确; 故选:D .【点睛】本题主要考查了有理数、整式、分式、二次根式的运算,熟记运算定理和公式是解决问题的额关键. 20.(2021·广西玉林市·中考真题)观察下列树枝分杈的规律图,若第n 个图树枝数用n Y 表示,则94Y Y -=( )A .4152⨯B .4312⨯C .4332⨯D .4632⨯【答案】B【分析】根据题目中的图形,可以写出前几幅图中树枝分杈的数量,从而可以发现树枝分杈的变化规律,进而得到规律21n n Y =-,代入规律求解即可.【详解】解:由图可得到: 11223344211213217211521n n Y Y Y Y Y =-==-==-==-==-则:9921Y =-,⋅944942121312Y Y -=--+=⨯,故答案选:B .【点睛】本题考查图形规律,解答本题的关键是明确题意,利用数形结合的思想解答.二、填空题21.(2021·青海中考真题)已知单项式4272m a b -+与223m n a b +是同类项,则m n +=______.【答案】3【分析】根据同类项的定义(所含字母相同,相同字母的指数相同),求出m ,n 的值,再代入代数式计算即可.【详解】解:⋅单项式4272m a b -+与223m n a b +是同类项,⋅2m =4,n +2=-2m +7,解得:m =2,n =1,则m +n =2+1=3.故答案是:3.【点睛】本题考查同类项的定义,同类项定义中的两个“相同”:相同字母的指数相同,是易混点.22.(2021·四川达州市·中考真题)已知a ,b 满足等式2690a a ++=,则20212020a b =___________. 【答案】-3【分析】先将原式变形,求出a 、b ,再根据同底数幂的乘法、积的乘方的逆运算即可求解.【详解】解:由2690a a ++=,变形得()230a +=, ⋅130,03a b +=-=, ⋅13,3a b =-=, ⋅()()()()20202020202020212020202120201113=33=33=3333a b ⎛⎫⎛⎫⎛⎫=-⨯-⨯-⨯-⨯-⨯- ⎪ ⎪ ⎪⎝⎭⎝⎭⎝⎭.故答案为:-3【点睛】本题考查了完全平方公式,平方、算术平方根的非负性,同底数幂的乘法、积的乘方的逆用等知识,根据题意求出a 、b 的值,熟知同底数幂的乘法、积的乘方是解题关键.23.(2021·广东中考真题)若1136x x +=且01x <<,则221x x -=_____. 【答案】6536-【分析】 根据1136x x +=,利用完全平方公式可得2125()36x x -=,根据x 的取值范围可得1x x-的值,利用平方差公式即可得答案.【详解】 ⋅1136x x +=, ⋅2211125()()436x x x x x x -=+-⋅=, ⋅01x <<, ⋅1x x<, ⋅1x x-=56-, ⋅221x x -=11()()x x x x +-=135()66⨯-=6536-, 故答案为:6536- 【点睛】本题考查了完全平方公式及平方差公式,准确运用公式是解题的关键.24.(2021·贵州铜仁市·中考真题)观察下列各项:112,124,138,1416,…,则第n 项是______________. 【答案】12n n +【分析】 根据已知可得出规律:第一项:1111122=+,第二项:2112242=+,第三项:3113382=+…即可得出结果.【详解】解:根据题意可知: 第一项:1111122=+, 第二项:2112242=+,第三项:3113382=+, 第四项:41144162=+, …则第n 项是12n n +; 故答案为:12n n +. 【点睛】此题属于数字类规律问题,根据已知各项的规律得出结论是解决此类题目的关键.25.(2021·四川达州市·中考真题)如图是一个运算程序示意图,若开始输入x 的值为3,则输出y 值为___________.【答案】2【分析】根据运算程序的要求,将x=3代入计算可求解.【详解】解:⋅x =3<4⋅把x =3代入1(4)y x x =-≤, 解得:312y =-=,⋅y 值为2,故答案为:2.【点睛】本题主要考查列代数式,代数式求值,读懂运算程序的要求是解题的关键.26.(2021·湖南常德市·中考真题)如图中的三个图形都是边长为1的小正方形组成的网格,其中第一个图形有11⨯个正方形,所有线段的和为4,第二个图形有22⨯个小正方形,所有线段的和为12,第三个图形有33⨯个小正方形,所有线段的和为24,按此规律,则第n 个网格所有线段的和为____________.(用含n 的代数式表示)【答案】2n 2+2n【分析】本题要通过第1、2、3和4个图案找出普遍规律,进而得出第n 个图案的规律为S n =4n +2n ×(n -1),得出结论即可.【详解】解:观察图形可知:第1个图案由1个小正方形组成,共用的木条根数141221,S =⨯=⨯⨯第2个图案由4个小正方形组成,共用的木条根数262232,S =⨯=⨯⨯第3个图案由9个小正方形组成,共用的木条根数383243,S =⨯=⨯⨯第4个图案由16个小正方形组成,共用的木条根数4104254,S =⨯=⨯⨯…由此发现规律是:第n 个图案由n 2个小正方形组成,共用的木条根数()22122,n S n n n n =+=+ 故答案为:2n 2+2n .【点睛】本题考查了规律型-图形的变化类,熟练找出前四个图形的规律是解题的关键.27.(2021·河北中考真题)现有甲、乙、丙三种不同的矩形纸片(边长如图).(1)取甲、乙纸片各1块,其面积和为___________;(2)嘉嘉要用这三种纸片紧密拼接成一个大正方形,先取甲纸片1块,再取乙纸片4块,还需取丙纸片___________块.【答案】22a b + 4【分析】(1)直接利用正方形面积公式进行计算即可;(2)根据已知图形的面积公式的特征,利用完全平方公式即可判定应增加的项,再对应到图形上即可.【详解】解:(1)⋅甲、乙都是正方形纸片,其边长分别为,a b⋅取甲、乙纸片各1块,其面积和为22a b +;故答案为:22a b +.(2)要用这三种纸片紧密拼接成一个大正方形,先取甲纸片1块,再取乙纸片4块,则它们的面积和为224a b +,若再加上4ab (刚好是4个丙),则()222442a b ab a b ++=+,则刚好能组成边长为2+a b 的正方形,图形如下所示,所以应取丙纸片4块.故答案为:4.【点睛】本题考查了正方形的面积公式以及完全平方公式的几何意义,解决本题的关键是牢记公式特点,灵活运用公式等,本题涉及到的方法为观察、假设与实践,涉及到的思想为数形结合的思想.28.(2021·黑龙江大庆市·中考真题)如图,3条直线两两相交最多有3个交点,4条直线两两相交最多有6个交点,按照这样的规律,则20条直线两两相交最多有______个交点【答案】190【分析】根据题目中的交点个数,找出n 条直线相交最多有的交点个数公式:1(1)2n n -. 【详解】解:2条直线相交有1个交点;3条直线相交最多有1123322+==⨯⨯个交点; 4条直线相交最多有11236432++==⨯⨯个交点; 5条直线相交最多有1123410542+++==⨯⨯个交点; ⋯ 20条直线相交最多有120191902⨯⨯=. 故答案为:190.【点睛】本题考查的是多条直线相交的交点问题,解答此题的关键是找出规律,即n 条直线相交最多有1(1)2n n -. 29.(2021·黑龙江绥化市·中考真题)下面各图形是由大小相同的三角形摆放而成的,图①中有1个三角形,图①中有5个三角形,图①中有11个三角形,图①中有19个三角形…,依此规律,则第n 个图形中三角形个数是_______.【答案】21n n +-【分析】此题只需分成上下两部分即可找到其中规律,上方的规律为(n -1),下方规律为n 2,结合两部分即可得出答案.【详解】解:将题意中图形分为上下两部分,则上半部规律为:0、1、2、3、4……n -1,下半部规律为:12、22、32、42……n 2,⋅上下两部分统一规律为:21n n +-.故答案为:21n n +-.【点睛】本题主要考查的图形的变化规律,解题的关键是将图形分为上下两部分分别研究.30.(2021·江苏常州市·中考真题)计算:()2222a a -+=__________. 【答案】22a -【分析】先去括号,再合并同类项,即可求解.【详解】解:原式=2222a a --=22a -,故答案是:22a -.【点睛】本题主要考查整式的运算,掌握去括号法则以及合并同类项法则,是解题的关键.31.(2021·江西中考真题)下表在我国宋朝数学家杨辉1261年的著作《详解九章算法》中提到过,因而人们把这个表叫做杨辉三角,请你根据杨辉三角的规律补全下表第四行空缺的数字是______.【答案】3【分析】通过观察每一个数字等于它上方相邻两数之和.【详解】解:通过观察杨辉三角发现每一个数字等于它上方相邻两数之和的规律,例如:第3行中的2,等于它上方两个相邻的数1,1相加,即:211=+;第4行中的3,等于它上方两个相邻的数2,1相加,即:321=+;⋅⋅⋅⋅⋅⋅由此规律:故空缺数等于它上方两个相邻的数1,2相加,即空缺数为:3,故答案是:3.【点睛】本题考查了杨辉三角数的规律,解题的关键是:通过观察找到数与数之间的关系,从来解决问题.三、解答题32.(2021·湖南永州市·中考真题)先化简,再求值:()()212(2)x x x +++-,其中1x =.【答案】25x +,7.【分析】先计算完全平方公式、平方差公式,再计算整式的加减法,然后将1x =代入求值即可得.【详解】解:原式22214x x x =+++-, 25x =+,将1x =代入得:原式2157=⨯+=.【点睛】本题考查了整式的化简求值,熟记完全平方公式和平方差公式是解题关键.33.(2021·吉林长春市·中考真题)先化简,再求值:(2)(2)(1)a a a a +-+-,其中4a =. 【答案】4,5a【分析】首先利用平方差公式,单项式乘以多项式去括号,再合并同类项,然后将a 的值代入化简后的式子,即可解答本题.【详解】221a a a a224a a a =-+-4a =-当4a =时,原式44-=【点睛】本题考查了整式的混合运算,解题的关键是熟练运用整式的运算法则,本题属于基础题型.34.(2021·贵州安顺市·中考真题)(1)有三个不等式()231,515,316x x x +--->,请在其中任选两个不等式,组成一个不等式组,并求出它的解集:(2)小红在计算()()211a a a +--时,解答过程如下: 2(1)(1)a a a +--22(1)a a a =+-- 第一步221a a a =+--第二步1a =-第三步小红的解答从第_________步开始出错,请写出正确的解答过程.【答案】(1)x <-3;(2)第一步,正确过程见详解【分析】(1)先挑选两个不等式组成不等式组,然后分别求出各个不等式的解,再取公共部分,即可; (2)根据完全平方公式、去括号法则以及合并同类项法则,进行化简,即可.【详解】解:(1)挑选第一和第二个不等式,得231515x x +<-⎧⎨->⎩①②,由⋅得:x <-2,由⋅得:x <-3,⋅不等式组的解为:x <-3;(2)小红的解答从第一步开始出错,正确的解答过程如下:2(1)(1)a a a +--22(21)a a a a =+--+2221a a a a =+-+-31a =-.故答案是:第一步【点睛】本题主要考查解一元一次不等式组以及整式的混合运算,掌握解不等式组的基本步骤以及完全平方公式,是解题的关键.35.(2021·吉林中考真题)先化简,再求值:()()()221x x x x +---,其中12x =. 【答案】4x -,132- 【分析】先根据平方差公式和单项式乘以多项式进行计算,再合并同类项,最后代入求出答案即可.【详解】解:()()()221x x x x +--- 224x x x =--+4x =-, 当12x =时,原式114322=-=-. 【点睛】本题考查了平方差公式,单项式乘以多项式,合并同类项,运用平方差公式是解题的关键.36.(2021·湖北鄂州市·中考真题)数学课外活动小组的同学在学习了完全平方公式之后,针对两个正数之和与这两个正数之积的算术平方根的两倍之间的关系进行了探究,请阅读以下探究过程并解决问题.猜想发现:由5510+==;112333+==;0.40.40.8+==;1525+>=;0.2 3.2 1.6+>=;111282+>猜想:如果0a >,0b >,那么存在a b +≥a b =时等号成立).猜想证明:①20≥①①0=,即a b =时,0a b -=,①a b +=①当0≠,即a b 时,0a b ->,①a b +>综合上述可得:若0a >,0b >,则a b +≥a b =时等号成立).猜想运用:(1)对于函数()10y x x x =+>,当x 取何值时,函数y 的值最小?最小值是多少? 变式探究:(2)对于函数()133y x x x =+>-,当x 取何值时,函数y 的值最小?最小值是多少? 拓展应用:(3)疫情期间、为了解决疑似人员的临隔离问题.高速公路榆测站入口处,检测人员利用检测站的一面墙(墙的长度不限),用63米长的钢丝网围成了9间相同的长方形隔离房,如图.设每间离房的面积为S (米2).问:每间隔离房的长、宽各为多少时,可使每间隔离房的面积S 最大?最大面积是多少?【答案】(1)1x =,函数y 的最小值为2;(2)4x =,函数y 的最小值为5;(3)每间隔离房长为72米,宽为218米时,S 的最大值为214716米 【分析】猜想运用:根据材料以及所学完全平方公式证明求解即可; 变式探究:将原式转换为1333y x x =+-+-,再根据材料中方法计算即可; 拓展应用:设每间隔离房与墙平行的边为x 米,与墙垂直的边为y 米,依题意列出方程,然后根据两个正数之和与这两个正数之积的算术平方根的两倍之间的关系探究最大值即可.【详解】猜想运用:⋅0x >, ⋅10x>,⋅12y x x =+≥=, ⋅当1x x=时,min 2y =, 此时21x =,只取1x =,即1x =时,函数y 的最小值为2.变式探究:⋅3x >,⋅30x ->,103x ,⋅133353y x x =+-+≥=-, ⋅当133x x =--时,min 5y =, 此时()231x -=,⋅14x =,22x =(舍去),即4x =时,函数y 的最小值为5.拓展应用:设每间隔离房与墙平行的边为x 米,与墙垂直的边为y 米,依题意得:91263x y +=,即3421x y +=,⋅30x >,40y >,⋅34x y +≥即21≥,整理得:14716xy ≤, 即14716S ≤, ⋅当34x y =时max 14716S =, 此时72x =,218y =, 即每间隔离房长为72米,宽为218米时,S 的最大值为214716米. 【点睛】本题主要考查根据完全平方公式探究两个正数之和与这两个正数之积的算术平方根的两倍之间的关系,熟练运用完全平方公式并参照材料中步骤进行计算是解题关键,属于创新探究题.。
一、选择题1.函数y =x 的取值范围是( ) A .x ≥﹣2 B .x ≥﹣2且x ≠1C .x ≠1D .x ≥﹣2或x ≠12.计算22193x x x+--的结果是( ) A .13x - B .13x + C .13x- D .2339x x +- 3.下列运算,正确的是 A .0a 0=B .11a a-=C .22a a b b=D .()222a b a b -=-4.下列关于分式的判断,正确的是( ) A .当x =2时,12x x +-的值为零 B .无论x 为何值,231x +的值总为正数 C .无论x 为何值,31x +不可能得整数值 D .当x ≠3时,3x x-有意义 5.下列各式从左到右的变形正确的是( )A .221188a a a a ---=-++ B .()()221a b a b -+=-C .22x y x y x y+=++ D .052520.11y yx x ++=-++6.计算32-的结果是( ) A .-6 B .-8C .18-D .187.如果112111S t t =+,212111S t t =-,则12S S =( ) A .1221t t t t +- B .2121t t t t -+ C .1221t t t t -+ D .1212t t t t +- 8.下列变形正确的是( ). A .1a b bab b++= B .22x y x y-++=-C .222()x y x y x y x y --=++ D .23193x x x -=-- 9.下列各式中的计算正确的是( )A .22b b a a=B .a ba b++=0 C .a c ab c b+=+ D .a ba b-+-=-1 10.下列变形正确的是( ).A .1x yx y-+=-- B .x m mx n n+=+ C .22x y x y x y +=++ D .632x x x= 11.若 ()1311xx --=,则 x 的取值有 ()A .0 个B .1 个C .2 个D .3 个12.下列分式是最简分式的是( )A .22a aab +B .63xy aC .211x x -+D .211x x ++13.将分式2x x y+中的x 、y 的值同时扩大3倍,则 扩大后分式的值( )A .扩大3倍B .缩小3倍C .保持不变D .无法确定14.计算21424m m ++-的结果是( ) A .2m +B .2m -C .12m + D .12m - 15.一种花粉颗粒直径约为0.0000065米,数字0.0000065用科学记数法表示为( ) A .0.65×10﹣5 B .65×10﹣7 C .6.5×10﹣6 D .6.5×10﹣5 16.化简:32322012220122010201220122013-⨯-+-,结果是( )A .20102013B .20102012C .20122013D .2011201317.纳米是一种长度单位,1纳米=10-9米,已知某种植物花粉的直径约为35000纳米,那么用科学记数法表示该种花粉的直径为( ) A .43.510⨯米 B .43.510-⨯米C .53.510-⨯米D .93.510-⨯米18.下列分式中:xy x ,2y x-,+-x yx y ,22x y x y +-不能再约分化简的分式有( ) A .1个 B .2个C .3个D .4个19.分式b ax ,3c bx -,35acx 的最简公分母是( ) A .5cx 3B .15abcxC .15abcx 3D .15abcx 520.甲、乙两人分两次在同一粮店内买粮食,两次的单价不同,甲每次购粮100千克,乙每次购粮100元.若规定:谁两次购粮的平均单价低,谁的购粮方式就合算.那么这两次购粮( )A .甲合算B .乙合算C .甲、乙一样D .要看两次的价格情况21.已知m ﹣1m ,则1m+m 的值为( )A .BC .D .1122.计算(16)0×3﹣2的结果是( ) A .32 B .9C .19-D .1923.若(1-x )1-3x =1,则x 的取值有( )个. A .1个B .2个C .3个D .4个24.如果把分式232x x y+中的x 和y 都扩大为原来的5倍,那么分式的值( )A .扩大为原来的5倍B .扩大为原来的10倍C .不变D .缩小为原来的1525.2018年3月3日,新浪综合网报道:“中科院发明首个抗癌DNA 纳米机器人,可精准阻断肿瘤血管饿死肿瘤!”.中国科学家团队研发出的这种可编程、基于 DNA 折纸技术的纳米机器人大小只有90×60×2nm ,nm 是长度计量单位,1nm=0.000000001米,则2nm 用科学记数法表示为( )A .2×109米 B .20×10-8米 C .2×10-9米 D .2×10-8米【参考答案】***试卷处理标记,请不要删除一、选择题 1.B 解析:B 【分析】根据二次根式、分式有意义的条件可得关于x 的不等式组,解不等式组即可得. 【详解】 解:由题意得:2010x x +≥⎧⎨-≠⎩,解得:x≥﹣2且x≠1, 故选B. 【点睛】本题考查的是函数自变量取值范围的求法.函数自变量的范围一般从三个方面考虑:(1)当函数表达式是整式时,自变量可取全体实数;(2)当函数表达式是分式时,考虑分式的分母不能为0;(3)当函数表达式是二次根式时,被开方数为非负数.2.B解析:B 【解析】原式=()()2x x 3x 3+-−1 x 3-=()()()2x x 3x 3x 3-++-=()()x 3x 3x 3-+-=1x 3+.故选:B.3.B解析:B 【解析】A 选项中,因为只有当0a ≠时,01a =,所以A 错误;B 选项中,11=a a-,所以B 正确; C 选项中,22a b的分子与分母没有公因式,不能约分,所以C 错误;D 选项中,222()2a b a ab b -=-+,所以D 错误; 故选B.4.B解析:B 【解析】A 选项中,因为当2x =时,分式12x x +-无意义,所以本选项错误; B 选项中,因为无论x 取何值,21x +的值始终为正数,则分式231x +的值总为正数,所以本选项正确;C 选项中,因为当2x =时,分式311x =+,所以本选项说法错误; D 选项中,因为0x ≠时,分式3x x-才有意义,所以本选项说法错误; 故选B.5.B解析:B 【解析】解:A .原式=22(1)1(8)8a a a a -++=--- ,错误; B .原式=1,正确; C .原式为最简结果,错误;D .原式=520110yx+-+,错误.故选B .点睛:此题考查了分式的基本性质,熟练掌握分式的基本性质是解本题的关键.6.D解析:D 【解析】3311228-==. 故选D. 7.B解析:B 【解析】∵112111S t t =+,212111S t t =-, ∴S 1=1212t t t t +,S 2=1221t t t t -, ∴12112211221221t t s t t t t t t s t t t t +-==+-, 故选B .【点睛】本题考查了分式的混合运算,熟练掌握运算法则是解题的关键.8.C解析:C 【解析】 选项A.a bab+ 不能化简,错误. 选项B.22x y x y-+-=-,错误. 选项C.()222x y x y x y x y --=++ ,正确. 选项D. 23193x x x -=-+,错误. 故选C.9.D解析:D 【解析】解:A.22b ba a≠,故A错误;B.a ba b++=1,故B错误;C.a c ab c b+≠+,故C错误;D.a ba b-+-=-1,正确.故选D.10.A 解析:A 【解析】试题解析:()1 x y x yx y x y-+--==---.故选A.11.C解析:C【分析】直接利用零指数幂的性质以及有理数的乘方运算法则得出答案.【详解】解:∵(1-x)1-3x=1,∴当1-3x=0时,原式=1,当x=0时,原式=1,故x的取值有2个.故选C.【点睛】此题主要考查了零指数幂的性质以及有理数的乘方运算,正确掌握运算法则是解题关键.12.D解析:D【解析】A选项中,分式的分子、分母中含有公因式a,因此它不是最简分式.故本选项错误;B选项中,分式的分子、分母中含有公因数3,因此它不是最简分式.故本选项错误;C选项中,分子可化为(x+1)(x-1),所以该分式的分子、分母中含有公因式(x+1),因此它不是最简分式.故本选项错误;D选项中,分式符合最简分式的定义.故本选项正确.故选:D.点睛:最简分式的标准是分子,分母中不含有公因式,不能再约分.判断的方法是把分子、分母分解因式,看分子和分母中有无公因式,并且观察有无互为相反数的因式,这样的因式可以通过符号变化化为相同的因式从而进行约分.13.A解析:A 【解析】 试题分析:==;故选A.考点:分式的基本性质.14.D解析:D 【解析】 【分析】先通分,再加减.注意化简. 【详解】21424124(2)(2)2m m m m m m -++==+-+-- 故选:D 【点睛】考核知识点:异分母分式加减法.通分是关键.15.C解析:C 【解析】 【分析】科学记数法的表示形式为a×10n 的形式,其中1≤|a|<10,n 为整数.确定n 的值时,要看把原数变成a 时,小数点移动了多少位,n 的绝对值与小数点移动的位数相同.当原数绝对值>1时,n 是正数;当原数的绝对值<1时,n 是负数. 【详解】解:0.0000065的小数点向右移动6位得到6.5, 所以数字0.0000065用科学记数法表示为6.5×10﹣6, 故选C . 【点睛】本题考查科学记数法的表示方法.科学记数法的表示形式为a×10n 的形式,其中1≤|a|<10,n 为整数,表示时关键要正确确定a 的值以及n 的值.16.A解析:A 【分析】将所求式子的分子分母前两项提取20122,整理后分子提取2010,分母提取2013,约分后即可得到结果,选出答案. 【详解】原式=32322012220122010201220122013-⨯-+-=2220122012220102012201212013--⨯+-()()=22201220102010201220132013⨯-⨯-=22201020121201320121--()()=20102013,故答案选A. 【点睛】本题主要考查了因式分解的应用,是一道技巧性较强的题,熟练掌握因式分解的方法是解本题的关键.17.C解析:C 【解析】 【分析】绝对值小于1的正数也可以利用科学记数法表示,一般形式为a×10-n ,与较大数的科学记数法不同的是其所使用的是负指数幂,指数由原数左边起第一个不为零的数字前面的0的个数所决定. 【详解】35000纳米=35000×10-9米=3.5×10-5米. 故选C . 【点睛】此题主要考查了用科学记数法表示较小的数,一般形式为a×10-n ,其中1≤|a|<10,n 为由原数左边起第一个不为零的数字前面的0的个数所决定.18.B解析:B 【分析】找出各项中分式分子分母中有没有公因式,即可做出判断. 【详解】xyx=y, 22x y x y +-= ()()x y x y x y ++-= 1x y -所以,不能约分化简的有:- 22y x +-x yx y共两个,故答案选B. 【点睛】本题考查的知识点是分式的约分,解题的关键是熟练的掌握分式的基本性质.19.C解析:C 【分析】要求分式的最简公分母,即取各分母系数的最小公倍数与字母因式的最高次幂的积. 【详解】最简公分母为3⨯5⨯a ⨯b ⨯c ⨯x 3=15abcx 3故答案选:C. 【点睛】本题考查的知识点是最简公分母,解题的关键是熟练的掌握最简公分母.20.B解析:B 【解析】 【分析】分别算出两次购粮的平均单价,用做差法比较即可. 【详解】解:设第一次购粮时的单价是x 元/千克,第二次购粮时的单价是y 元/千克,甲两次购粮共花费:100x+100y ,一共购买了粮食:100+100=200千克,甲购粮的平均单价是:1001002002x y x y++=;乙两次购粮共花费:100+100=200元,一共购买粮食:()100100100x y x y xy++=(千克),乙购粮的平均单价是:2xyx y+; 甲乙购粮的平均单价的差是:()()()()22420222x y xy x y x y xy x y x y x y >+--+-==+++, 即22x y xyx y++>, 所以甲购粮的平均单价高于乙购粮的平均单价,乙的购粮方式更合算,故选B . 【点睛】本题考查的知识点是做差法,解题关键是注意一个数的平方为非负数.21.A解析:A 【分析】根据完全平方公式即可得到结果. 【详解】1m-=m21m-=7m ⎛⎫∴ ⎪⎝⎭, 221m -2+=7m ∴, 221m +=9m∴,22211m+=m +2+=11m m ⎛⎫∴ ⎪⎝⎭,1m+m ∴=.故选A. 【点睛】本题主要考查完全平方公式,熟悉掌握公式是关键.22.D解析:D 【解析】 【分析】根据零指数幂的性质以及负指数幂的性质先进行化简,然后再进行乘法运算即可. 【详解】(16)0×3﹣2=11199⨯=, 故选D . 【点睛】本题考查了实数的运算,涉及了零指数幂、负指数幂的运算,正确化简各数是解题关键.23.B解析:B 【分析】利用零指数幂,乘方的意义判断即可. 【详解】解:∵(1-x )1-3x =1, ∴1-x≠0,1-3x=0或1-x=1,解得:x=13或x=0, 则x 的取值有2个, 故选B 【点睛】本题考查了零指数幂,以及有理数的乘方,熟练掌握运算法则是解题的关键.24.A解析:A 【解析】 【分析】x ,y 都扩大为原来的5倍就是分别变成原来的5倍,变成5x 和5y .用5x 和5y 代替式子中的x 和y ,看得到的式子与原来的式子的关系. 【详解】用5x和5y代替式子中的x和y得:()2255, 151032x xx y x y=++则扩大为原来的5倍.故选:A.【点睛】考查分式的基本性质,掌握分式的基本性质是解题的关键.25.C解析:C【解析】分析:绝对值小于1的正数也可以利用科学记数法表示,一般形式为a×10﹣n,与较大数的科学记数法不同的是其所使用的是负指数幂,指数由原数左边起第一个不为零的数字前面的0的个数所决定.详解:0.000000001×2=2×10﹣9.故选C.点睛:本题考查了用科学记数法表示较小的数,一般形式为a×10﹣n,其中1≤|a|<10,n 为由原数左边起第一个不为零的数字前面的0的个数所决定.。
一、选择题1.分式b ax ,3c bx -,35acx 的最简公分母是( )A .5cx 3B .15abcxC .15abcx 3D .15abcx 52.分式x 22x 6-- 的值等于0,则x 的取值是 A .x 2= B .x ?2=-C .x 3=D .x ?3=-3.分式x 5x 6-+ 的值不存在,则x 的取值是 A .x ?6=-B .x 6=C .x 5≠D .x 5=4.下列关于分式的判断,正确的是( ) A .当x =2时,12x x +-的值为零 B .无论x 为何值,231x +的值总为正数 C .无论x 为何值,31x +不可能得整数值 D .当x ≠3时,3x x-有意义 5.下列变形正确的是( ). A .11a ab b+=+ B .11a ab b--=-- C .221a b a b a b-=-- D .22()1()a b a b --=-+ 6.下列计算,正确的是( )A .2(2)4--=B 2=-C .664(2)64÷-=D =7.使分式293x x -+的值为0,那么x ( ).A .3x ≠-B .3x =C .3x =±D .3x ≠8.人体中红细胞的直径约为0.000 007 7 m ,用科学记数法表示该数据为 ( ) A .7.7×106 B .7.7×107 C .7.7×10-6 D .7.7×10-7 9.计算正确的是( )A .(﹣5)0=0B .x 3+x 4=x 7C .(﹣a 2b 3)2=﹣a 4b 6D .2a 2•a ﹣1=2a 10.下列各式计算正确的是( )A .a x ab x b+=+ B .112a b a b+=+C .22()a a b b=D .11x y x y-=-+- 11.若 ()1311xx --=,则 x 的取值有 ()A .0 个B .1 个C .2 个D .3 个12.下列各式中,正确的是( )A .a m ab m b +=+ B .a b0a b +=+ C .ab 1b 1ac 1c 1--=-- D .22x y 1x y x y-=-+13.纳米是一种长度单位,1纳米=10-9米,已知某种植物花粉的直径约为35000纳米,那么用科学记数法表示该种花粉的直径为( ) A .43.510⨯米B .43.510-⨯米C .53.510-⨯米D .93.510-⨯米14.下列各式变形正确的是() A .x y x yx y x y -++=---B .22a b a bc d c d--=++ C .0.20.03230.40.0545a b a bc d c d--=++D .a b b ab c c b--=-- 15.每到四月,许多地方杨絮、柳絮如雪花般漫天飞舞,人们不堪其扰,据测定,杨絮纤维的直径约为0.0000105m ,该数值用科学记数法表示为( ) A .51.0510⨯B .51.0510-⨯C .50.10510-⨯D .410.510-⨯16.氢原子的半径约为0.000 000 000 05m ,用科学记数法表示为( ) A .5×10﹣10m B .5×10﹣11m C .0.5×10﹣10m D .﹣5×10﹣11m 17.甲、乙两人分两次在同一粮店内买粮食,两次的单价不同,甲每次购粮100千克,乙每次购粮100元.若规定:谁两次购粮的平均单价低,谁的购粮方式就合算.那么这两次购粮( ) A .甲合算 B .乙合算C .甲、乙一样D .要看两次的价格情况18.下列说法:①在一个装有2白球和3个红球的袋中摸3个球,摸到红球是必然事12a =--,则12a ≥-; 22a ba b-+是最简分式;其中正确的有()个. A .1个 B .2个C .3个D .4个19.若一种DNA 分子的直径只有0.00000007cm ,则这个数用科学记数法表示为( ) A .90.710-⨯ B .90.710⨯C .8710-⨯D .710⨯820.分式212xy 和214x y的最简公分母是( ) A .2xyB .2x 2y 2C .4x 2y 2D .4x 3y 321.如果把代数式x yxy+中的x 与y 都扩大到原来的8倍,那么这个代数式的值( ) A .不变 B .扩大为原来的8倍 C .缩小为原来的18D .扩大为原来的16倍22.3--2的倒数是( )A .-9B .9C .19D .-1923.下列运算错误的是( )A 4=B .12100-=C 3=- D 2=24.计算21424m m ++-的结果是( ) A .2m + B .2m -C .12m + D .12m - 25.已知分式32x x +-有意义,则x 的取值范围是( ) A .x ≠-3B .x≠0C .x≠2D .x=2【参考答案】***试卷处理标记,请不要删除一、选择题 1.C 解析:C 【分析】要求分式的最简公分母,即取各分母系数的最小公倍数与字母因式的最高次幂的积. 【详解】最简公分母为3⨯5⨯a ⨯b ⨯c ⨯x 3=15abcx 3 故答案选:C. 【点睛】本题考查的知识点是最简公分母,解题的关键是熟练的掌握最简公分母.2.A解析:A 【解析】由题意得:20260x x -=⎧⎨-≠⎩,解得:2x =. 故选A.点睛:分式值为0需同时满足两个条件:(1)分子的值为0;(2)分母的值不为0.3.A解析:A 【解析】∵分式56x x -+的值不存在, ∴分式56x x -+无意义, ∴60x +=,解得:6x =-. 故选A.4.B解析:B 【解析】A 选项中,因为当2x =时,分式12x x +-无意义,所以本选项错误; B 选项中,因为无论x 取何值,21x +的值始终为正数,则分式231x +的值总为正数,所以本选项正确;C 选项中,因为当2x =时,分式311x =+,所以本选项说法错误; D 选项中,因为0x ≠时,分式3x x-才有意义,所以本选项说法错误; 故选B.5.B解析:B 【解析】 A 选项中,11a b ++不能再化简,所以A 中变形错误; B 选项中,11a ab b--=--,所以B 中变形正确; C 选项中,221()()a b a b a b a b a b a b--==-+-+,所以C 中变形错误;D 选项中,2222()()1()()a b a b a b a b --+==++,所以D 中变形错误; 故选B.6.C解析:C 【解析】 【详解】 解:A .()2124--=,所以A 错误;B 2=,所以B 错误;C .()666664242264÷-=÷==,所以C 正确;D ==D 错误,故选C .7.B解析:B 【解析】∵由题意可得:2903x x -=+,∴29030x x ⎧-=⎨+≠⎩,∴3x =±且3x ≠-, ∴3x =. 故选B .点睛:分式中字母的取值使分式的值为0,需同时满足两个条件:(1)字母的取值使分子的值为0;(2)字母的取值使分母的值不为0.8.C解析:C【解析】绝对值小于1的数也可以利用科学记数法表示,一般形式为a×10-n ,与较大数的科学记数法不同的是其所使用的是负指数幂,指数由原数左边起第一个不为零的数字前面的0的个数所决定, 0.000 007 7=7.7×10-6, 故选C.9.D解析:D【解析】解:A .原式=1,故A 错误;B .x 3与x 4不是同类项,不能进行合并,故B 错误;C .原式=a 4b 6,故C 错误;D .正确. 故选D .10.D解析:D 【解析】根据分式的基本性质,可知A 不正确;根据异分母的分式相加,可知11a b +=b a a b ab ab ab ++=,故不正确;根据分式的乘方,可知2a b ⎛⎫= ⎪⎝⎭22a b ,故不正确;根据分式的性质,可知11x y x y-=-+-,故正确.11.C解析:C 【分析】直接利用零指数幂的性质以及有理数的乘方运算法则得出答案. 【详解】解:∵(1-x )1-3x =1, ∴当1-3x=0时,原式=1, 当x=0时,原式=1, 故x 的取值有2个. 故选C . 【点睛】此题主要考查了零指数幂的性质以及有理数的乘方运算,正确掌握运算法则是解题关键.12.D解析:D 【解析】A.在分式的分子、分母上同时加上或减去同一个非0的数或式子分式的值要改变,故A 错误;B.a ba b++=1,故B 错误; C.a 不是分子、分母的因式,故C 错误;D.22x y x y --=()()x y x y x y -+-=1x y+;故D 正确. 故选D.13.C解析:C 【解析】 【分析】绝对值小于1的正数也可以利用科学记数法表示,一般形式为a×10-n ,与较大数的科学记数法不同的是其所使用的是负指数幂,指数由原数左边起第一个不为零的数字前面的0的个数所决定. 【详解】35000纳米=35000×10-9米=3.5×10-5米. 故选C . 【点睛】此题主要考查了用科学记数法表示较小的数,一般形式为a×10-n ,其中1≤|a|<10,n 为由原数左边起第一个不为零的数字前面的0的个数所决定.14.D【解析】【分析】根据分式的分子分母都乘以或除以同一个不为零的数或者同一个不为零的整式,分式的值不变,可得答案.【详解】A、原式x yx y-=+,所以A选项错误;B、原式=2a bc d-+(),所以B选项错误;C、原式=203405a bc d-+,所以C选项错误;D、a b b ab c c b--=--,所以D选项正确.故选D.【点睛】本题考查了分式基本性质,分式的分子分母都乘以或除以同一个不为零的数或者同一个不为零的整式,分式的值不变.15.B解析:B【解析】【分析】绝对值小于1的正数也可以利用科学记数法表示,一般形式为a×10-n,与较大数的科学记数法不同的是其所使用的是负指数幂,指数由原数左边起第一个不为零的数字前面的0的个数所决定.【详解】0.0000105=1.05×10-5,故选B.【点睛】本题考查用科学记数法表示较小的数,一般形式为a×10-n,其中1≤|a|<10,n为由原数左边起第一个不为零的数字前面的0的个数所决定.16.B解析:B【解析】【分析】绝对值小于1的正数也可以利用科学记数法表示,一般形式为a×10﹣n,与较大数的科学记数法不同的是其所使用的是负指数幂,指数由原数左边起第一个不为零的数字前面的0的个数所决定.【详解】0.00000000005=5×10﹣11.故选B.【点睛】本题考查了用科学记数法表示较小的数,一般形式为a×10﹣n,其中1≤|a|<10,n为由原数左边起第一个不为零的数字前面的0的个数所决定.17.B解析:B【解析】【分析】分别算出两次购粮的平均单价,用做差法比较即可.【详解】解:设第一次购粮时的单价是x元/千克,第二次购粮时的单价是y元/千克,甲两次购粮共花费:100x+100y,一共购买了粮食:100+100=200千克,甲购粮的平均单价是:1001002002x y x y++=;乙两次购粮共花费:100+100=200元,一共购买粮食:()100100100x yx y xy++=(千克),乙购粮的平均单价是:2xyx y+;甲乙购粮的平均单价的差是:()()()()22420 222x y xy x yx y xyx y x y x y>+--+-==+++,即22x y xyx y ++>,所以甲购粮的平均单价高于乙购粮的平均单价,乙的购粮方式更合算,故选B.【点睛】本题考查的知识点是做差法,解题关键是注意一个数的平方为非负数.18.C解析:C【解析】【分析】根据必然事件的定义,二次根式的性质,最简分式的定义以及同类二次根式的定义进行判断.【详解】①在一个装有2白球和3个红球的袋中摸3个球,摸到红球是必然事件,正确.②12a=--,则12a≤-,错误;==④分式22a ba b -+是最简分式,正确;故选:C . 【点睛】本题主要考查了随机事件、二次根式以及命题的真假判断,正确的命题叫真命题,错误的命题叫做假命题.把几个二次根式化为最简二次根式后,如果它们的被开方数相同,就把这几个二次根式叫做同类二次根式.19.C解析:C 【解析】 【分析】绝对值小于1的正数也可以利用科学记数法表示,一般形式为a×10-n ,与较大数的科学记数法不同的是其所使用的是负指数幂,指数由原数左边起第一个不为零的数字前面的0的个数所决定. 【详解】解:若一种DNA 分子的直径只有0.00000007cm ,则这个数用科学记数法表示为8710-⨯.故选:C. 【点睛】本题考查用科学记数法表示较小的数,一般形式为a×10-n ,其中1≤|a|<10,n 为由原数左边起第一个不为零的数字前面的0的个数所决定.20.C解析:C 【解析】 【分析】确定最简公分母的方法是: (1)取各分母系数的最小公倍数;(2)凡单独出现的字母连同它的指数作为最简公分母的一个因式; (3)同底数幂取次数最高的,得到的因式的积就是最简公分母. 【详解】 分式212xy 和214x y的最简公分母是4x 2y 2. 故选C. 【点睛】本题考查了最简公分母的知识,通分的关键是准确求出各个分式中分母的最简公分母,确定最简公分母的方法一定要掌握.21.C解析:C 【解析】【分析】根据x 与y 都扩大到原来的8倍,分别判断出x+y 、xy 的变化情况,即可判断出这个代数式值的变化情况. 【详解】因为x 与y 都扩大到原来的8倍,所以x+y 扩大到原来的8倍,xy 扩大到原来的64倍,所以这个代数式的值缩小为原来的18.所以A 、B 、D 错误,C 正确. 【点睛】本题主要考察了分式的基本性质应用,要熟练掌握分式的基本性质;解答此题的关键在于分别判断出x+y 、xy 的变化情况.22.A解析:A 【解析】 【分析】 首先计算3--2=-19,再根据倒数的定义求解即可. 【详解】 ∵3--2=213-=-19,-19的倒数是-9, ∴3--2的倒数是-9, 故选A. 【点睛】此题考查了倒数和负整数指数幂,掌握倒数的定义是本题的关键.23.B解析:B 【解析】 【分析】分别根据立方根及算术平方根的定义对各选项进行逐一解答即可. 【详解】A 、∵42=16=4,故本选项正确;B 、12100-110,故本选项错误;C 、∵(-3)3=-273=-,故本选项正确;D =2,故本选项正确.故选B . 【点睛】本题考查的是立方根及算术平方根,熟知立方根及算术平方根的定义是解答此题的关键.24.D解析:D【解析】【分析】先通分,再加减.注意化简.【详解】21424124(2)(2)2m m m m m m -++==+-+-- 故选:D【点睛】考核知识点:异分母分式加减法.通分是关键.25.C解析:C【解析】分析:根据分式有意义的条件:分母不等于0即可求解.详解:根据题意得:x-2≠0,解得:x≠2.故选C..点睛:本题考查了分式有意义的条件,从以下三个方面透彻理解分式的概念:(1)分式无意义⇔分母为零;(2)分式有意义⇔分母不为零;(3)分式值为零⇔分子为零且分母不为零.。
专题04.分式与分式方程一、单选题1.(2021·河北中考真题)由1122c c +⎛⎫- ⎪+⎝⎭值的正负可以比较12c A c +=+与12的大小,下列正确的是( )A .当2c =-时,12A =B .当0c 时,12A ≠C .当2c <-时,12A > D .当0c <时,12A <【答案】C 【分析】先计算1122c c +⎛⎫- ⎪+⎝⎭的值,再根c 的正负判断1122c c +⎛⎫- ⎪+⎝⎭的正负,再判断A 与12的大小即可.【详解】解:11=224+2c cc c +-+,当2c =-时,20c +=,A 无意义,故A 选项错误,不符合题意; 当0c 时,04+2c c=,12A =,故B 选项错误,不符合题意; 当2c <-时,04+2c c>,12A >,故C 选项正确,符合题意; 当20c -<<时,04+2c c <,12A <;当2c <-时,04+2c c>,12A >,故D 选项错误,不符合题意; 故选:C .【点睛】本题考查了分式的运算和比较大小,解题关键是熟练运用分式运算法则进行计算,根据结果进行准确判断.2.(2021·湖南中考真题)为响应习近平总书记“坚决打赢关键核心技术攻坚战”的号召,某科研团队最近攻克了7nm 的光刻机难题,其中1nm 0.000000001m =,则7nm 用科学记数法表示为( ) A .80.710m ⨯ B .8710m -⨯C .80.710m -⨯D .9710m -⨯【答案】D【分析】由题意易得nm 0.000000007m 7=,然后根据科学记数法可直接进行求解. 【详解】解:由题意得:nm 0.000000007m 7=, ∴7nm 用科学记数法表示为9710m -⨯;故选D .【点睛】本题主要考查科学记数法,熟练掌握科学记数法是解题的关键.3.(2021·四川眉山市·中考真题)化简221111a a a ⎛⎫+÷ ⎪--⎝⎭的结果是( ) A .1a + B .1a a+ C .1a a- D .21a a + 【答案】B【分析】小括号先通分合并,再将除法变乘法并因式分解即可约分化简. 【详解】解:原式()()()()221111111=11a a a a a aa a a a a a+-+--++⨯=⨯=--故答案是:B . 【点睛】本题考察分式的运算和化简、因式分解,属于基础题,难度不大.解题关键是掌握分式的运算法则.4.(2021·天津中考真题)计算33a ba b a b---的结果是( ) A .3 B .33a b +C .1D .6aa b- 【答案】A【分析】先根据分式的减法运算法则计算,再提取公因式3,最后约分化简即可. 【详解】原式33a b a b -=-,3()a b a b-=-3=.故选A . 【点睛】本题考查分式的减法.掌握分式的减法运算法则是解答本题你的关键. 5.(2021·山东临沂市·中考真题)计算11()()a b b a-÷-的结果是( )A .ab-B .a bC .b a-D .b a【答案】A【分析】根据分式的混合运算顺序和运算法则计算可得.【详解】解:11a b b a ⎛⎫⎛⎫-÷- ⎪ ⎪⎝⎭⎝⎭=11ab ab b b a a ⎛⎫⎛⎫-÷- ⎪ ⎪⎝⎭⎝⎭=11ab a b ab -⨯-=a b-故选A . 【点睛】本题主要考查分式的混合运算,解题的关键是掌握分式的混合运算顺序和运算法则. 6.(2021·江西中考真题)计算11a a a+-的结果为( ) A .1 B .1- C .2a a+D .2a a- 【答案】A【分析】直接利用同分母分式的减法法则计算即可. 【详解】解:11111a a aa a a a++--===.故选:A . 【点睛】本题考查了同分母分式的减法,熟练掌握运算法则是解题的关键.7.(2021·江苏扬州市·中考真题)不论x 取何值,下列代数式的值不可能为0的是( ) A .1x + B .21x -C .11x + D .()21x +【答案】C【分析】分别找到各式为0时的x 值,即可判断.【详解】解:A 、当x =-1时,x +1=0,故不合题意;B 、当x =±1时,x 2-1=0,故不合题意; C 、分子是1,而1≠0,则11x +≠0,故符合题意;D 、当x =-1时,()210x +=,故不合题意;故选C . 【点睛】本题考查了分式的值为零的条件,代数式的值.若分式的值为零,需同时具备两个条件:(1)分子为0;(2)分母不为0.这两个条件缺一不可. 8.(2021·湖北恩施土家族苗族自治州·中考真题)分式方程3111x x x +=--的解是( ) A .1x = B .2x =-C .34x =D .2x =【答案】D【分析】先去分母,然后再进行求解方程即可. 【详解】解:3111x x x +=-- 去分母:13x x +-=,∴2x =, 经检验:2x =是原方程的解;故选D .【点睛】本题主要考查分式方程的解法,熟练掌握分式方程的解法是解题的关键. 9.(2021·湖南怀化市·中考真题)定义12a b a b ⊗=+,则方程342x ⊗=⊗的解为( ) A .15x =B .25x =C .35x =D .45x =【答案】B【分析】根据新定义,变形方程求解即可 【详解】∵12a b a b ⊗=+,∴342x ⊗=⊗变形为1123242x ⨯+=⨯+,解得25x = ,经检验25x =是原方程的根,故选B 【点睛】本题考查了新定义问题,根据新定义把方程转化一般的分式方程,并求解是解题的关键10.(2021·山东临沂市·中考真题)某工厂生产A 、B 两种型号的扫地机器人.B 型机器人比A 型机器人每小时的清扫面积多50%;清扫2100m 所用的时间A 型机器人比B 型机器人多用40分钟. 两种型号扫地机器人每小时分别清扫多少面积?若设A 型扫地机器人每小时清扫2m x ,根据题意可列方程为( ) A .10010020.53x x =+ B .10021000.53x x += C .10021003 1.5x x += D .10010021.53x x =+ 【答案】D【分析】根据清扫100m 2所用的时间A 型机器人比B 型机器人多用40分钟列出方程即可.【详解】解:设A 型扫地机器人每小时清扫x m 2,由题意可得:10010021.53x x =+,故选D . 【点睛】本题考查了分式方程的实际应用,解题的关键是读懂题意,找到等量关系. 11.(2021·四川成都市·中考真题)分式方程21133x x x-+=--的解为( ) A .2x = B .2x =-C .1x =D .1x =-【答案】A【分析】直接通分运算后,再去分母,将分式方程化为整式方程求解. 【详解】解:21133x x x -+=--,21133x x x --=--,2113x x --=-,213x x --=-,解得:2x =, 检验:当2x =时,32310x -=-=-≠,2x ∴=是分式方程的解,故选:A .【点睛】本题考查了解分式方程,解题的关键是:去分母化为整式方程求解,最后需要对解进行检验.12.(2021·重庆中考真题)若关于x 的一元一次不等式组()322225x x a x ⎧-≥+⎨-<-⎩的解集为6x ≥,且关于y 的分式方程238211y a y y y+-+=--的解是正整数,则所有满足条件的整数a 的值之和是( ) A .5 B .8C .12D .15【答案】B【分析】先计算不等式组的解集,根据“同大取大”原则,得到562a+<解得7a <,再解分式方程得到5=2a y +,根据分式方程的解是正整数,得到5a >-,且5a +是2的倍数,据此解得所有符合条件的整数a 的值,最后求和. 【详解】解:()322225x x a x ⎧-≥+⎨-<-⎩①②解不等式①得,6x ≥,解不等式②得,5+2ax >不等式组的解集为:6x ≥562a+∴<7a ∴< 解分式方程238211y a y y y +-+=--得238211y a y y y +--=--2(38)2(1)y a y y ∴+--=-整理得5=2a y +, 10,y -≠ 则51,2a +≠ 3,a ∴≠- 分式方程的解是正整数,502a +∴>5a ∴>-,且5a +是2的倍数,57a ∴-<<,且5a +是2的倍数,∴整数a 的值为-1, 1, 3, 5, 11358∴-+++=故选:B .【点睛】本题考查解含参数的一元一次不等式、解分式方程等知识,是重要考点,难度一般,掌握相关知识是解题关键.13.(2021·重庆中考真题)关于x 的分式方程331122ax x x x--+=--的解为正数,且使关于y 的一元一次不等式组32122y y y a-⎧≤-⎪⎨⎪+>⎩有解,则所有满足条件的整数a 的值之和是( )A .5-B .4-C .3-D .2-【答案】B【分析】先将分式方程化为整式方程,得到它的解为64x a =+,由它的解为正数,同时结合该分式方程有解即分母不为0,得到40a +>且43a +≠,再由该一元一次不等式组有解,又可以得到20a -<,综合以上结论即可求出a 的取值范围,即可得到其整数解,从而解决问题.【详解】解:331122ax x x x--+=--,两边同时乘以(2x -),3213ax x x -+-=-,()46a x +=, 由于该分式方程的解为正数,∴64x a =+,其中4043a a +>+≠,;∴4a >-,且1a ≠-;∵关于y 的元一次不等式组32122y y y a -⎧≤-⎪⎨⎪+>⎩①②有解,由①得:0y ≤;由②得:2y a >-;∴20a -<,∴2a <综上可得:42a -<<,且1a ≠-;∴满足条件的所有整数a 为:32,0,1--,;∴它们的和为4-;故选B . 【点睛】本题涉及到含字母参数的分式方程和含字母参数的一元一次不等式组等内容,考查了解分式方程和解一元一次不等式组等相关知识,要求学生能根据题干中的条件得到字母参数a 的限制不等式,求出a 的取值范围进而求解,本题对学生的分析能力有一定要求,属于较难的计算问题.14.(2020·辽宁朝阳市·中考真题)某体育用品商店出售毽球,有批发和零售两种售卖方式,小明打算为班级购买键球,如果给每个人买一个毽球,就只能按零售价付款,共需80元;如果小明多购买5个毽球,就可以享受批发价,总价是72元.已知按零售价购买40个毽球与按批发价购买50个毽球付款相同,则小明班级共有多少名学生?设班级共有x 名学生,依据题意列方程得( ) A .807250405x x ⨯=⨯+ B .807240505x x ⨯=⨯+ C .728040505x x ⨯=⨯- D .728050405x x⨯=⨯- 【答案】B【分析】根据“按零售价购买40个毽球与按批发价购买50个毽球付款相同”建立等量关系,分别找到零售价与批发价即可列出方程.【详解】设班级共有x 名学生,依据题意列方程得,807240505x x ⨯=⨯+故选:B . 【点睛】本题主要考查列分式方程,读懂题意找到等量关系是解题的关键.15.(2020·四川绵阳市·中考真题)甲、乙二人同驾一辆车出游,各匀速行驶一半路程,共用3小时,到达目的地后,甲对乙说:“我用你所花的时间,可以行驶180km”,乙对甲说:“我用你所花的时间,只能行驶80km”.从他们的交谈中可以判断,乙驾车的时长为( ) A .1.2小时 B .1.6小时C .1.8小时D .2小时【答案】C【分析】设乙驾车时长为x 小时,则甲驾车时长为(3﹣x )小时,根据两人对话可知:甲的速度为180xkm/h ,乙的速度为803x-km/h ,根据“各匀速行驶一半路程”列出方程求解即可. 【详解】解:设乙驾车时长为x 小时,则甲驾车时长为(3﹣x )小时, 根据两人对话可知:甲的速度为180xkm/h ,乙的速度为803x -km/h ,根据题意得:()1803803x xxx-=-,解得:x 1=1.8或x 2=9, 经检验:x 1=1.8或x 2=9是原方程的解,x 2=9不合题意,舍去,故答案为:C .【点睛】本题考查了分式方程的应用,解决本题的关键是正确理解题意,熟练掌握速度时间和路程之间的关系,找到题意中的等量关系.16.(2020·黑龙江鹤岗市·中考真题)已知关于x 的分式方程433x kx x-=--的解为非正数,则k 的取值范围是( ) A .12k ≤- B .12k -≥C .12k >-D .12k <-【答案】A【分析】表示出分式方程的解,由解为非正数得出关于k 的不等式,解出k 的范围即可.【详解】解:方程433x kx x-=--两边同时乘以(3)x -得:4(3)x x k --=-, ∴412x x k -+=-,∴312x k -=--,∴43kx =+,∵解为非正数,∴403k+≤,∴12k ≤-,故选:A .【点睛】本题考查了分式方程的解及解一元一次不等式,熟练掌握分式方程的解法和一元一次不等式的解法是解题的关键.17.(2020·湖北荆门市·中考真题)已知关于x 的分式方程2322(2)(3)x kx x x +=+--+的解满足41x -<<-,且k 为整数,则符合条件的所有k 值的乘积为( ) A .正数 B .负数C .零D .无法确定【答案】A【分析】先解出关于x 的分式方程得到x=63k-,代入41x -<<-求出k 的取值,即可得到k 的值,故可求解.【详解】关于x 的分式方程2322(2)(3)x k x x x +=+--+得x=217k -, ∵41x -<<-∴21471k --<<-解得-7<k <14 ∴整数k 为-6,-5,-4,-3,-2,-1,0,1,2,3,4,5,6,7,8,9,10,11,12,13, 又∵分式方程中x≠2且x≠-3∴k≠35且k≠0∴所有符合条件的k 中,含负整数6个,正整数13个,∴k 值的乘积为正数,故选A . 【点睛】此题主要考查分式方程与不等式综合,解题的关键是熟知分式方程的求解方法.18.(2020·四川广元市·中考真题)按照如图所示的流程,若输出的=6M -,则输入的m 为( )A .3B .1C .0D .-1【答案】C【分析】根据题目中的程序,利用分类讨论的方法可以分别求得m 的值,从而可以解答本题. 【详解】解:当m 2-2m≥0时,661m =--,解得m=0, 经检验,m=0是原方程的解,并且满足m 2-2m≥0,当m 2-2m <0时,m -3=-6,解得m=-3,不满足m 2-2m <0,舍去.故输入的m 为0.故选:C . 【点睛】本题考查有理数的混合运算,解答本题的关键是明确有理数混合运算的计算方法.19.(2020·四川成都市·中考真题)已知2x =是分式方程311k x x x -+=-的解,那么实数k 的值为( ) A .3 B .4C .5D .6【答案】B【分析】将2x =代入原方程,即可求出k 值. 【详解】解:将2x =代入方程311k x x x -+=-中,得231221k +=--解得:4k = .故选:B . 【点睛】本题考查了方程解的概念.使方程左右两边相等的未知数的值就是方程的解.“有根必代”是这类题的解题通法.20.(2020·四川遂宁市·中考真题)关于x 的分式方程2mx -﹣32x-=1有增根,则m 的值( ) A .m =2 B .m =1C .m =3D .m =﹣3【答案】D【分析】分式方程去分母转化为整式方程,由分式方程有增根,确定出m 的值即可. 【详解】解:去分母得:m +3=x ﹣2,由分式方程有增根,得到x ﹣2=0,即x =2, 把x =2代入整式方程得:m +3=0,解得:m =﹣3,故选:D .【点睛】此题考查了分式方程的增根,增根确定后可按如下步骤进行:①化分式方程为整式方程;②把增根代入整式方程即可求得相关字母的值. 21.(2020·浙江金华市·中考真题)分式52x x +-的值是零,则x 的值为( ) A .5 B .5- C .2-D .2【答案】B【分析】利用分式值为零的条件可得50x +=,且20x -≠,再解即可. 【详解】解:由题意得:50x +=,且20x -≠,解得:5x =-,故选:B .【点睛】此题主要考查了分式值为零的条件,关键是掌握分式值为零的条件是分子等于零且分母不等于零.注意:“分母不为零”这个条件不能少.22.(2020·湖北孝感市·中考真题)已知1x =,1y =,那么代数式()32x xy x x y --的值是( )A .2BC .4D .【答案】D【分析】先按照分式四则混合运算法则化简原式,然后将x 、y 的值代入计算即可.【详解】解:()32x xy x x y --=()()()x x y x y x x y +--11D . 【点睛】本题考查了分式的化简求值,根据分式四则混合运算法则化简分式是解答本题的关键. 23.(2020·河北中考真题)若ab ,则下列分式化简正确的是( )A .22a ab b+=+B .22a a b b -=-C .22a a b b=D .1212aa b b = 【答案】D【分析】根据a≠b ,可以判断各个选项中的式子是否正确,从而可以解答本题. 【详解】∵a≠b ,∴22a a b b +≠+,选项A 错误;22a ab b-≠-,选项B 错误; 22a a b b ≠,选项C 错误;1212a ab b =,选项D 正确;故选:D . 【点睛】本题考查分式的混合运算,解答本题的关键是明确分式混合运算的计算方法. 24.(2020·贵州贵阳市·中考真题)当1x =时,下列分式没有意义的是( )A .1x x+B .1x x -C .1x x-D .1x x + 【答案】B【分析】由分式有意义的条件分母不能为零判断即可. 【详解】1xx -,当x=1时,分母为零,分式无意义.故选B. 【点睛】本题考查分式有意义的条件,关键在于牢记有意义条件. 25.(2019·河北中考真题)如图,若x 为正整数,则表示()2221441x x x x +-+++的值的点落在( )A .段①B .段②C .段③D .段④【答案】B【分析】将所给分式的分母配方化简,再利用分式加减法化简,据x 为正整数,从所给图中可得正确答案.【详解】解∵2222(2)1(2)1441(2)1x x x x x x x ++-=-=+++++1111xx x -=++.又∵x 为正整数,∴121x x ≤+<1,故表示22(2)1441x x x x +-+++的值的点落在②.故选B . 【点睛】本题考查了分式的化简及分式加减运算,同时考查了分式值的估算,总体难度中等.26.(2019·湖南娄底市·中考真题)2018年8月31日,华为正式发布了全新一代自研手机SoC 麒麟980,这款号称六项全球第一的芯片,随着华为Mate 20系列、荣耀Magic 2相继搭载上市,它的强劲性能、出色能效比、卓越智慧、顶尖通信能力,以及为手机用户带来的更强大、更丰富、更智慧的使用体用,再次被市场和消费者所认可.麒麟980是全球首颗()97110nm nm m -=手机芯片.7nm 用科学记数法表示为( ) A .8710m -⨯ B .9710m -⨯C .80.710m -⨯D .10710m -⨯【答案】B【分析】绝对值小于1的正数也可以利用科学记数法表示,一般形式为a×10-n ,与较大数的科学记数法不同的是其所使用的是负指数幂,指数由原数左边起第一个不为零的数字前面的0的个数所决定. 【详解】7nm 用科学记数法表示为9710m -⨯.故选B .【点睛】本题考查用科学记数法表示较小的数,一般形式为a×10-n ,其中1≤|a|<10,n 为由原数左边起第一个不为零的数字前面的0的个数所决定.27.(2019·湖北孝感市·中考真题)已知二元一次方程组1249x y x y +=⎧⎨+=⎩,则22222x xy y x y -+-的值是( ) A .5- B .5C .6-D .6【答案】C【分析】解方程组求出x 、y 的值,对所求式子进行化简,然后把x 、y 的值代入进行计算即可. 【详解】1249x y x y +=⎧⎨+=⎩①②,2②-①×得,27y =,解得72y =,把72y =代入①得,712x +=,解得52x =-, ∴222222()()()x xy y x y x y x y x y -+-=-+-572261x y x y ---===-+,故选C. 【点睛】本题考查了解二元一次方程组,分式化简求值,正确掌握相关的解题方法是关键. 28.(2019·北京中考真题)如果1m n +=,那么代数式()22221m n m n m mn m +⎛⎫+⋅- ⎪-⎝⎭的值为( ) A .-3B .-1C .1D .3【答案】D【分析】原式化简后,约分得到最简结果,把已知等式代入计算即可求出值. 【详解】解:原式=()22221m n m n m mn m +⎛⎫+⋅-⎪-⎝⎭2()()()()m n m n m n m n m m n m m n ⎡⎤+-=+⋅+-⎢⎥--⎣⎦ 3()()3()()mm n m n m n m m n =⋅+-=+-1m n +=∴原式=3,故选D.【点睛】此题考查了分式的化简求值,熟练掌握运算法则是解本题的关键.29.(2019·四川中考真题)一辆货车送上山,并按原路下山.上山速度为a 千米/时,下山速度为b 千米/时.则货车上、下山的平均速度为( )千米/时. A .1()2a b + B .aba b+ C .2a bab+ D .2aba b+ 【答案】D【分析】平均速度=总路程÷总时间,设单程的路程为s ,表示出上山下山的总时间,把相关数值代入化简即可.【详解】解:设上山的路程为x 千米,则上山的时间x a 小时,下山的时间为xb小时, 则上、下山的平均速度22xabxxa b ab=++千米/时.故选D .【点睛】本题考查了列代数式以及分式的化简,得到平均速度的等量关系是解决本题的关键,得到总时间的代数式是解决本题的突破点.30.(2019·湖南益阳市·中考真题)解分式方程232112x x x+=--时,去分母化为一元一次方程,正确的是( ) A .x+2=3 B .x ﹣2=3 C .x ﹣2=3(2x ﹣1) D .x+2=3(2x ﹣1)【答案】C【分析】最简公分母是2x ﹣1,方程两边都乘以(2x ﹣1),即可把分式方程便可转化成一元一次方程. 【详解】方程两边都乘以(2x ﹣1),得x ﹣2=3(2x ﹣1),故选C .【点睛】本题考查了解分式方程,解分式方程的基本思想是“转化思想”,把分式方程转化为整式方程求解.解分式方程一定注意要验根.31.(2019·广东中考真题)定义一种新运算:1an n n bn xdx a b -⋅=-⎰,例如:222khxdx k h ⋅=-⎰,若m252mx dx --=-⎰,则m =( )A .-2B .25-C .2D .25【答案】B【分析】根据新定义运算得到一个分式方程,求解即可.【详解】根据题意得,5211m11(5)25m x dx m m m m---⎰-=-=-=-,则25m =-,经检验,25m =-是方程的解,故选B. 【点睛】此题考查了解分式方程,弄清题中的新定义是解本题的关键. 二、填空题32.(2021·四川资阳市·中考真题)若210x x +-=,则33x x-=_________. 【答案】3【分析】先由210x x +-=可得21x x -=,再运用分式的减法计算33x x-,然后变形将21x x -=代入即可解答.【详解】解:∵210x x +-=∴21x x -=∴()2231333333x x x x x x x x---====.故填:3. 【点睛】本题主要考查了代数式的求值、分式的减法等知识点,灵活对等式进行变形成为解答本题的关键.33.(2021·四川南充市·中考真题)若3n m n m +=-,则2222m n n m+=_________ 【答案】174【分析】先根据3n m n m +=-得出m 与n 的关系式,代入2222m n n m+化简即可; 【详解】解:∵3n mn m+=-,∴()3n m n m +=-,∴2n m =, ∴22222222417+=44m n m m n m m m +=故答案为:174 【点睛】本题考查了分式的混合运算,得出2n m =是解决本题的关键.34.(2021·四川达州市·中考真题)若分式方程22411x a x ax x --+-=-+的解为整数,则整数a =___________. 【答案】±1【分析】直接移项后通分合并同类项,化简、用a 来表示x ,再根据解为整数来确定a 的值. 【详解】解:22411x a x a x x --+-=-+,22411x a x ax x --+-=-+ (2)(1)(2)(1)4(1)(1)x a x a x x x x -+---=-+整理得:2x a=若分式方程22411x a x ax x --+-=-+的解为整数, a 为整数,当1a =±时,解得:2x =±,经检验:10,10x x -≠+≠成立;当2a =±时,解得:1x =±,经检验:分母为0没有意义,故舍去; 综上:1a =±,故答案是:±1.【点睛】本题考查了分式方程,解题的关键是:化简分式方程,最终用a 来表示x ,再根据解为整数来确定a 的值,易错点,容易忽略对根的检验.35.(2021·湖南常德市·中考真题)分式方程1121(1)x x x x x ++=--的解为__________. 【答案】3x =【分析】直接利用通分,移项、去分母、求出x 后,再检验即可.【详解】解:1121(1)x x x x x ++=--通分得:212(1)(1)x x x x x x -+=--,移项得:()301x x x -=-, 30x ∴-=,解得:3x =,经检验,3x =时,(1)60x x -=≠,∴3x =是分式方程的解,故答案是:3x =. 【点睛】本题考查了对分式分式方程的求解,解题的关键是:熟悉通分,移项、去分母等运算步骤,易错点,容易忽略对根进行检验.36.(2021·湖南衡阳市·中考真题)“绿水青山就是金山银山”.某地为美化环境,计划种植树木6000棵.由于志愿者的加入,实际每天植树的棵树比原计划增加了25%,结果提前3天完成任务.则实际每天植树__________棵. 【答案】500【分析】设原计划每天植树x 棵,则实际每天植树()125%x +,根据工作时间=工作总量÷工作效率,结合实际比原计划提前3天完成,准确列出关于x 的分式方程进行求解即可.【详解】解:设原计划每天植树x 棵,则实际每天植树()125%x +,6000600031.25x x-=,400x =,经检验,400x =是原方程的解, ∴实际每天植树400 1.25500⨯=棵,故答案是:500.【点睛】本题考查了分式方程的应用,解题的关键是:找准等量关系,准确列出分式方程. 37.(2021·四川凉山彝族自治州·中考真题)若关于x 的分式方程2311x mx x-=--的解为正数,则m 的取值范围是_________. 【答案】m >-3且m ≠-2【分析】先利用m 表示出x 的值,再由x 为正数求出m 的取值范围即可. 【详解】解:方程两边同时乘以x -1得,()231x x m --=-,解得3x m =+, ∵x 为正数,∴m +3>0,解得m >-3.∵x ≠1,∴m +3≠1,即m ≠-2. ∴m 的取值范围是m >-3且m ≠-2.故答案为:m >-3且m ≠-2.【点睛】本题考查的是分式方程的解,熟知求出使分式方程中令等号左右两边相等且分母不等于0的未知数的值,这个值叫方程的解是解答此题的关键. 38.(2020·内蒙古呼和浩特市·中考真题)分式22x x -与282x x-的最简公分母是_______,方程228122-=--x x x x的解是____________. 【答案】()2x x - x=-4【分析】根据最简公分母的定义得出结果,再解分式方程,检验,得解. 【详解】解:∵()222x x x x -=-,∴分式22x x -与282x x -的最简公分母是()2x x -, 方程228122-=--x x x x,去分母得:()2282x x x -=-,去括号得:22282x x x -=-, 移项合并得:2280x x +-=,变形得:()()240x x -+=,解得:x=2或-4,∵当x=2时,()2x x -=0,当x=-4时,()2x x -≠0,∴x=2是增根,∴方程的解为:x=-4. 【点睛】本题考查了最简公分母和解分式方程,解题的关键是掌握分式方程的解法. 39.(2020·山东潍坊市·中考真题)若关于x 的分式方程33122x m x x +-=--有增根,则m 的值为_____. 【答案】3【分析】把分式方程化为整式方程,进而把可能的增根代入,可得m 的值.【详解】去分母得3x -(x -2)=m+3,当增根为x=2时,6=m+3 ∴m=3.故答案为3.【点睛】考查分式方程的增根问题;增根问题可按如下步骤进行:①让最简公分母为0确定增根;②化分式方程为整式方程;③把增根代入整式方程即可求得相关字母的值. 40.(2020·湖北黄冈市·中考真题)计算:221yx x y x y ⎛⎫÷- ⎪-+⎝⎭的结果是____________. 【答案】1x y- 【分析】先计算括号内分式的减法、将被除式分母因式分解,再将除法转化为乘法,最后约分即可得.【详解】解:221yx x y x y ⎛⎫÷- ⎪-+⎝⎭()()y x y x x y x y x y x y ⎛⎫+=÷- ⎪+-++⎝⎭()()y y x y x y x y=÷+-+()()yx y x y x y y +=⋅+-1x y=-,故答案为:1x y -. 【点睛】本题主要考查分式的混合运算,解题的关键是掌握分式的混合运算顺序和运算法则. 41.(2020·山东滨州市·中考真题)观察下列各式:1234523101526,,,,,357911a a a a a =====, 根据其中的规律可得n a =________(用含n 的式子表示).【答案】()12121n n n ++-+【分析】观察发现,每一项都是一个分数,分母依次为3、5、7,…,那么第n 项的分母是2n+1;分子依次为2,3,10,15,26,…,变化规律为:奇数项的分子是n 2+1,偶数项的分子是n 2-1,即第n 项的分子是n 2+(-1)n+1;依此即可求解.【详解】解:由分析得21(1)21n n n a n ++-=+,故答案为:21(1)21n n n a n ++-=+ 【点睛】本题考查学生通过观察、归纳、抽象出数列的规律的能力,要求学生首先分析题意,找到规律,并进行推导得出答案.42.(2020·山东济宁市·中考真题)已知m+n=-3.则分式222m n m n n m m ⎛⎫+--÷- ⎪⎝⎭的值是____________. 【答案】1m n -+,13【分析】先计算括号内的,再将除法转化为乘法,最后将m+n=-3代入即可.【详解】解:原式=222m n m n mn m m ⎛⎫+---÷ ⎪⎝⎭=222m n m n mn m m ⎛⎫+---÷ ⎪⎝⎭=()2m n m n m m ⎡⎤++÷-⎢⎥⎢⎥⎣⎦=()2m n m m m n ⎡⎤+⨯-⎢⎥+⎢⎥⎣⎦=1m n -+,∵m+n=-3,代入,原式=13. 【点睛】本题考查了分式的化简求值,解题的关键是掌握分式的运算法则.43.(2019·江西中考真题)斑马线前“车让人”,不仅体现着一座城市对生命的尊重,也直接反映着城市的文明程度.如图,某路口的斑马线路段A B C --横穿双向行驶车道,其中6AB BC ==米,在绿灯亮时,小明共用11秒通过AC ,其中通过BC 的速度是通过AB 速度的1.2倍,求小明通过AB 时的速度.设小明通过AB 时的速度是x 米/秒,根据题意列方程得:_____________________.【答案】66111.2x x+= 【分析】设小明通过AB 时的速度是x 米/秒,根据题意列出分式方程解答即可. 【详解】解:设小明通过AB 时的速度是x 米/秒,可得:66111.2x x +=,故答案为66111.2x x+=, 【点睛】此题考查由实际问题抽象分式方程,关键是根据题意列出分式方程解答.三、解答题44.(2021·湖北随州市·中考真题)先化简,再求值:2141122x x x -⎛⎫+÷⎪++⎝⎭,其中1x =. 【答案】22x -,-2 【分析】(1)先把括号里通分合并,括号外的式子进行因式分解,再约分,将x=1代入计算即可. 【详解】解:原式()()()21221222x x x x x x ++=⋅=++-- 当1x =时,原式2212==-- 【点睛】本题考查了分式的化简求值,用到的知识是约分、分式的加减,熟练掌握法则是解题的关键.45.(2021·山东菏泽市·中考真题)先化简,再求值:22221244m n n m m n m mn n--+÷--+,其中m ,n 满足32m n =-. 【答案】3nm n+;-6. 【分析】先变除法为乘法,后因式分解,化简计算,后变形32nm =-代入求值即可【详解】∵22221244m n n m m n m mn n--+÷--+=2(2)12()()m n m n m n n m n m --+⨯--+=21m n n m --+=3n m n +, ∵32m n =-,∴32nm =-,∴原式=332nn n -+= -6. 【点睛】本题考查了分式的化简求值,熟练掌握分式混合运算的基本顺序,基本计算方法是解题的关键. 46.(2021·湖北宜昌市·中考真题)先化简,再求值:2211111x x x ÷--+-,从1,2,3这三个数中选择一个你认为适合的x 代入求值. 【答案】11x -,1或12【分析】先根据分式混合运算顺序和运算法则化简原式,再选取使分式有意义的x 的值代入计算即可. 【详解】解:原式21(1)(1)(1)1x x x x =⋅+--+-11x =-.∵x 2﹣1≠0,∴当2x =时,原式1=.或当3x =时,原式12=.(选择一种情况即可) 【点睛】本题考查了分式的化简求值,要了解使分式有意义的条件,熟练掌握分式的运算法则是解题的关键.47.(2021·四川达州市·中考真题)化简求值:231041244a a a a a --⎛⎫⎛⎫-÷ ⎪ ⎪--+⎝⎭⎝⎭,其中a 与2,3构成三角形的三边,且a 为整数. 【答案】24a -+,-2【分析】先根据分式的混合运算法则进行化简,再根据三角形三边关系确定a 的取值范围,把不合题意的a 的值舍去,最后代入求值即可求解.【详解】解:原式()22231024a a a a a ---+=⋅--()()224224a a a a ---=⋅--24a =-+; ∵2,3,a 为三角形的三边,∴3232a -<<+,∴15a <<,∵a 为整数,∴2a =,3或4,由原分式得20a -≠,40a -≠,∴2a ≠且4a ≠,∴3a =, ∴原式=242342a -+=-⨯+=-.【点睛】本题考查了分式的化简求值,正确进行分式的化简是解题关键,在把a 的值代入求值是要注意所求的a 的值保证原分式有意义.48.(2021·湖南株洲市·中考真题)先化简,再求值:2223142x x x x ⎛⎫⋅-- ⎪-+⎝⎭,其中2x =. 【答案】12x -+,2-【分析】先对分式进行化简,然后根据二次根式的运算进行求值即可.【详解】解:原式=()()223231222222x x x x x x x x x -⋅-=-=-+++-++,把2x =代入得:原式=2=-. 【点睛】本题主要考查分式的化简求值及二次根式的运算,熟练掌握分式的化简求值及二次根式的运算是解题的关键.49.(2021·四川成都市·中考真题)先化简,再求值:2269111a a a a ++⎛⎫+÷⎪++⎝⎭,其中3=a . 【答案】13a +【分析】原式括号中两项通分并利用同分母分式的减法法则计算,同时利用除法法则变形,约分得到最简结果,把x 的值代入计算即可求出值.【详解】解:2269111a a a a ++⎛⎫+÷ ⎪++⎝⎭212(3)111a a a a a ++⎛⎫=+÷ ⎪+++⎝⎭2311(3)a a a a ++=⋅++13a =+,当3=a时,原式=== 【点睛】本题主要考查了分式的化简求值,二次根式的混合运算,解题的关键是掌握分式混合运算顺序和运算法则.50.(2021·四川资阳市·中考真题)先化简,再求值:222211111x x x x x x ⎛⎫++-÷ ⎪---⎝⎭,其中30x -=. 【答案】原式=13. 【分析】利用分式的混合运算法则进行化简,再将3x =代入原式,即可求解.【详解】解:原式=()()()22111111x x x x x x ⎡⎤+--⋅⎢⎥+--⎢⎥⎣⎦=211111x x x x x +-⎛⎫-⋅ ⎪--⎝⎭=211x x x x -⋅-=1x303x x -=∴= 将3x =代入原式,原式=13.【点睛】本题主要考查分式的混合运算.需要掌握分式的混合运算法则、完全平方公式、平方差公式、同分母分式相加减等相关知识.进行分式的混合运算时,要细心. 51.(2021·四川凉山彝族自治州·中考真题)已知112,1x y x y-=-=,求22x y xy -的值. 【答案】-4【分析】根据已知求出xy =-2,再将所求式子变形为()xy x y -,代入计算即可. 【详解】解:∵2x y -=,∴1121y x x y xy xy---===,∴2xy =-, ∴()()22224xy x x y xy y ==---⨯=-.【点睛】本题考查了代数式求值,解题的关键是掌握分式的运算法则和因式分解的应用.52.(2021·四川遂宁市·中考真题)先化简,再求值:322293443m m m m m m -⎛⎫÷++ ⎪-+-⎝⎭,其中m 是已知两边分别为2和3的三角形的第三边长,且m 是整数. 【答案】32m m --;12【分析】原式括号中两项通分并利用同分母分式的减法法则计算,同时利用除法法则变形,约分得到最简结果,利用三角形三边的关系,求得m 的值,代入计算即可求出值.【详解】解:322293443m m m m m m -⎛⎫÷++ ⎪-+-⎝⎭222(2)99(2)33m m m m m m ⎛⎫--÷+ ⎪---⎝⎭= 2223m m m m ÷--=2232m m m m-⋅-=32m m --=, ∵m 是已知两边分别为2和3的三角形的第三边长,∴3-2<m <3+2,即1<m <5, ∵m 为整数,∴m =2、3、4,又∵m ≠0、2、3∴m =4,∴原式=431422-=-. 【点睛】本题主要考查了分式的化简求值以及三角形三边的关系,解题的关键是掌握分式混合运算顺序和运算法则.53.(2021·江苏连云港市·中考真题)解方程:214111x x x +-=--. 【答案】无解。
中考真题分类汇编(数与式)----分式一、选择题1.(2021•江苏省苏州市)已知两个不等于0的实数a、b满足a+b=0,则+等于()A.﹣2B.﹣1C.1D.2【分析】先把所求式子通分,然后将分子变形,再根据两个不等于0的实数a、b满足a+b =0,可以得到ab≠0,再将a+b=0代入化简后的式子即可解答本题.【解答】解:+===,∵两个不等于0的实数a、b满足a+b=0,∴ab≠3,当a+b=0时,原式=,故选:A.2.(2021•江西省)计算的结果为()A.1B.﹣1C.D.【分析】根据分式的加减运算法则即可求出答案.【解答】解:原式===1,故选:A.3.(2021•山东省临沂市)计算(a﹣)÷(﹣b)的结果是()A.﹣B.C.﹣D.【分析】根据分式的减法和除法法则可以化简题目中的式子.【解答】解:(a﹣)÷(﹣b)=÷==﹣,故选:A.4.(2021•四川省眉山市)化简(1+)÷的结果是()A.a+1B.C.D.【分析】分式的混合运算,先算小括号里面的,然后算括号外面的.【解答】解:原式==,故选:B.5.(2021•四川省南充市)下列运算正确的是()A.•=B.÷=C.+=D.﹣=【分析】根据分式的乘除法和加减法可以计算出各个选项中式子的正确结果,从而可以解答本题.【解答】解:=,故选项A错误;==,故选项B错误;==,故选项C错误;===,故选项D正确;故选:D .6. (2021•天津市)计算33a ba b a b---的结果是( ) A. 3 B. 33a b +C. 1D.6aa b- 【答案】A 【解析】【分析】先根据分式的减法运算法则计算,再提取公因式3,最后约分化简即可. 【详解】原式33a ba b-=-, 3()a b a b-=-3=.故选A .7.(2021•贵州省铜仁市)下列等式正确的是( ) A. 3tan 452-+︒=- B. ()5510x xy x y ⎛⎫÷= ⎪⎝⎭C. ()2222a b a ab b -=++ D. ()()33x y xy xy x y x y -=+-【答案】D8. (2021•浙江省宁波市)要使分式12x +有意义,x 的取值应满足( ) A. 0x ≠ B. 2x ≠-C. 2x ≥-D. 2x >-【答案】B 【解析】【分析】由分式有意义,分母不为零,再列不等式,解不等式即可得到答案. 【详解】解:分式12x +有意义, 20,x ∴+≠2.x ∴≠-故选:.B9. 2021•黑龙江省大庆市)已知b >a >0,则分式a b 与a +1b +1的大小关系是( )AA . a b <a +1b +1B . a b =a +1b +1C . a b >a +1b +1D . 不能确定二.填空题1. (2021•湖南省衡阳市)计算:= 1 .【分析】根据同分母的分式加减法则进行计算即可. 【解答】解:原式==1.故答案为:1.2. (2021•岳阳市)要使分式51x -有意义,则x 的取值范围为_________. 【答案】x ≠13. (2021•四川省南充市)若=3,则+=.【分析】利用分式化简,得出n =2m ,代入即可求解.【解答】解:∵,∴n =2m , ∴+=+=+4=,故答案为:.4. (2021•四川省自贡市)化简:22824a a -=-- _________. 【答案】22a + 【解析】【分析】利用分式的减法法则,先通分,再进行计算即可求解. 【详解】解:22824a a --- ()()28222a a a =--+- ()()()()()2282222a a a a a +=-+-+-()()()2222a a a -=+-22a =+, 故答案为:22a +. 5. (2021•福建省)已知非零实数x ,y 满足y =,则的值等于 .【答案】4 【解析】【分析】由条件1xy x =+变形得,x -y =xy ,把此式代入所求式子中,化简即可求得其值. 【详解】由1xy x =+得:xy +y =x ,即x -y =xy ∴3344x y xy xy xy xyxy xy xy-++===故答案为:4三、解答题1. (2021•湖南省常德市)化简:2593111aa a a a a ++⎛⎫+÷ ⎪---⎝⎭【答案】31a a ++ 【解析】【分析】直接将括号里面的分式,通分运算进而结合分式的混合运算法则,计算得出答案. 详解】2593111aa a a a a ++⎛⎫+÷⎪---⎝⎭222591=113a a a a a a a ++-⨯--+(+) 2691=(1)(1)3a a a a a a ++-⨯+-+ 2(3)1=(1)(1)3a a a a a +-⨯+-+ 31a a +=+故答案为:31a a ++. 2. (2021•怀化市)先化简,再求值:,其中x =.【分析】直接利用分式的混合运算法则化简,再把已知数据代入得出答案. 【解答】解:原式=+•=+=+= = =,当x =+2时, 原式===.3. (2021•湖南省邵阳市)先化简,再从﹣1,0,1,2,+1中选择一个合适的x 的值代入求值.(1﹣)÷.【分析】先计算分式的混合运算进行化简,先算小括号里面的,然后算括号外面的,最后根据分式成立的条件确定x 的取值,代入求值即可. 【解答】解:原式==,又∵x ≠±1,∴x 可以取0,此时原式=﹣1; x 可以取2,此时原式=1; x 可以取,此时原式=.4. (2021•株洲市)先化简,再求值:2223142x x x x ⎛⎫⋅-- ⎪-+⎝⎭,其中22x =. 【答案】12x -+,25. (2021•江苏省南京市)计算222ab a b b ab a b a ab ab-⎛⎫-+÷ ⎪+++⎝⎭. 【答案】a ba b-+ 【解析】【分析】先对括号里的分式进行通分,将通分后的分式进行合并,将合并后的结果与最后一项分式相除,将除法运算转化为乘法运算,最后约分化简后即可得到计算结果.【详解】解:原式=()()2a bab b a b a b a a b a b ⎛⎫-+⋅ ⎪ ⎪+++-⎝⎭=()()()222a ab b ab ab a b ab a b ab a b a b ⎛⎫-+⋅ ⎪ ⎪+++-⎝⎭=()222a ab b abab a b a b-+⋅+-=()()2a b ab ab a b a b-⋅+- =a ba b-+. 6. (2021•山东省聊城市) 先化简,再求值:22212211111a a a a a a a a +--⎛⎫+÷-- ⎪+--⎝⎭,其中a =﹣32. 【答案】21aa +;6 【解析】【分析】先把分式化简后,再把a 的值代入求出分式的值即可.【详解】解:原式=22212(21)(1)(1)111a a a a a a a a a +---+-+÷+-- 2222122111a a a a aa a a +--+=+÷+-- 21111a a a +=-++ 21a a =+,当32a=-时,原式=6.7.(2021•四川省达州市)化简求值:(1﹣)÷(),其中a与2,3构成三角形的三边【分析】直接将括号里面通分运算,再利用分式的混合运算法则化简,再结合三角形三边关系、分式有意义的条件得出a的值,求出答案即可.【解答】解:原式=•=•=﹣2(a﹣2)=﹣2a+4,∵a与2,6构成三角形的三边,∴3﹣2<a<8+2,∴1<a<4,∵a为整数,∴a=2,3或6,又∵a﹣2≠0,a﹣5≠0,∴a≠2且a≠5,∴a=3,∴原式=﹣2a+5=﹣2×3+2=﹣6+4=﹣3.8.(2021•四川省乐山市)已知2612(1)(2)A B xx x x x--=----,求A、B的值.【答案】A的值为4,B的值为-2【解析】【分析】根据分式、整式加减运算,以及二元一次方程组的性质计算,即可得到答案.【详解】(2)(1)12(1)(2)(1)(2)A B A x B xx x x x x x---=+------,∴(2)(1)26(1)(2)(1)(2)A xB x x x x x x -+--=----,∴(2)(1)26A x B x x -+-=-, 即()(2)26A B x A B x +-+=-.∴226A B A B +=⎧⎨+=⎩,解得:42A B =⎧⎨=-⎩∴A 的值为4,B 的值为2-.。
2022年年年年年年年年年年年年年一、选择题1.(2022·江苏省无锡市)分式方程2x−3=1x的解是( )A. x=1B. x=−1C. x=3D. x=−32.(2022·海南省)分式方程2x−1−1=0的解是( )A. x=1B. x=−2C. x=3D. x=−33.(2022·黑龙江省哈尔滨市)方程2x−3=3x的解为( )A. x=3B. x=−9C. x=9D. x=−34.(2022·贵州省毕节市)小明解分式方程1x+1=2x3x+3−1的过程如下.5.解:去分母,得3=2x−(3x+3).①6.去括号,得3=2x−3x+3.②7.移项、合并同类项,得−x=6.③8.化系数为1,得x=−6.④9.以上步骤中,开始出错的一步是( )A. ①B. ②C. ③D. ④10.(2022·四川省德阳市)如果关于x的方程2x+mx−1=1的解是正数,那么m的取值范围是( )A. m>−1B. m>−1且m≠0C. m<−1D. m<−1且m≠−211.(2022·重庆市)关于x的分式方程3x−ax−3+x+13−x=1的解为正数,且关于y的不等式组{y+9≤2(y+2)2y−a3>1的解集为y≥5,则所有满足条件的整数a的值之和是( )A. 13B. 15C. 18D. 2012.(2022·黑龙江省鹤岗市)已知关于x的分式方程2x−mx−1−31−x=1的解是正数,则m的取值范围是( )A. m>4B. m<4C. m>4且m≠5D. m<4且m≠113.(2022·浙江省丽水市)某校购买了一批篮球和足球.已知购买足球的数量是篮球的2倍,购买足球用了5000元,购买篮球用了4000元,篮球单价比足球贵30元.根据题意可列方程50002x =4000x−30,则方程中x表示( )A. 足球的单价B. 篮球的单价C. 足球的数量D. 篮球的数量14.(2022·重庆市)若关于x的一元一次不等式组{x−1≥4x−1 3,5x−1<a的解集为x≤−2,且关于y的分式方程y−1y+1=ay+1−2的解是负整数,则所有满足条件的整数a的值之和是( )A. −26B. −24C. −15D. −1315.(2022·辽宁省铁岭市)小明和小强两人在公路上匀速骑行,小强骑行28km所用时间与小明骑行24km所用时间相等,已知小强每小时比小明多骑行2km,小强每小时骑行多少千米?设小强每小时骑行xkm,所列方程正确的是( )A. 28x =24x+2B. 28x+2=24xC. 28x−2=24xD. 28x=24x−216.(2022·云南省)某地开展建设绿色家园活动,活动期间,计划每天种植相同数量的树木.该活动开始后,实际每天比原计划每天多植树50棵,实际植树400棵所需时间与原计划植树300棵所需时间相同.设实际每天植树x棵,则下列方程正确的是( )A. 400x−50=300xB. 300x−50=400xC. 400x+50=300xD. 300x+50=400x17.(2022·湖北省恩施土家族苗族自治州)一艘轮船在静水中的速度为30km/ℎ,它沿江顺流航行144km与逆流航行96km所用时间相等,江水的流速为多少?设江水流速为v km/ℎ,则符合题意的方程是( )A. 14430+v =9630−vB. 14430−v=96vC. 14430−v =9630+vD. 144v=9630+v18.(2022·四川省宜宾市)某家具厂要在开学前赶制540套桌凳,为了尽快完成任务,厂领导合理调配,加强第一线人力,使每天完成的桌凳比原计划多2套,结果提前3天完成任务.问原计划每天完成多少套桌凳?设原计划每天完成x套桌凳,则所列方程正确的是( )A.540x−2−540x=3 B. 540x+2−540x=3B.C. 540x −540x+2=3 D. 540x−540x−2=319.(2022·四川省广元市)某药店在今年3月份购进了一批口罩,这批口罩包括一次性医用外科口罩和N95口罩,且两种口罩的只数相同,其中一次性医用外科口罩花费1600元,N95口罩花费9600元.已知一次性医用外科口罩的单价比N95口罩的单价少10元,那么一次性医用外科口罩的单价为多少元?设一次性医用外科口罩单价为x元,则列方程正确的是( )A. 9600x−10=1600xB. 9600x+10=1600xC. 9600x =1600x−10D. 9600x=1600x+1020.(2022·黑龙江省绥化市)有一个容积为24m3的圆柱形的空油罐,用一根细油管向油罐内注油,当注油量达到该油罐容积的一半时,改用一根口径为细油管口径2倍的粗油管向油罐注油,直至注满,注满油的全过程共用30分钟.设细油管的注油速度为每分钟xm3,由题意列方程,正确的是( )A. 12x +124x=30 B. 15x+154x=24 C. 30x+302x=24 D. 12x+122x=30二、填空题21.(2022·湖南省永州市)解分式方程2x −1x+1=0去分母时,方程两边同乘的最简公分母是______.22.(2022·湖南省常德市)方程2x +1x(x−2)=52x的解为______.23.(2022·湖南省岳阳市)分式方程3xx+1=2的解为x=______.24.(2022·浙江省宁波市)定义一种新运算:对于任意的非零实数a,b,a⊗b=1a +1b.若(x+1)⊗x=2x+1x,则x的值为______.25.(2022·四川省内江市)对于非零实数a,b,规定a⊕b=1a −1b.若(2x−1)⊕2=1,则x的值为______.26.(2022·浙江省金华市)若分式2x−3的值为2,则x的值是______.27.(2022·四川省成都市)分式方程3−xx−4+14−x=1的解为______.28.(2022·江西省)甲、乙两人在社区进行核酸采样,甲每小时比乙每小时多采样10人,甲采样160人所用时间与乙采样140人所用时间相等,甲、乙两人每小时分别采样多少人?设甲每小时采样x人,则可列分式方程为______.三、解答题29.(2022·湖北省随州市)解分式方程:1x =4x+3.30.(2022·江苏省苏州市)解方程:xx+1+3x=1.31.(2022·广西壮族自治区梧州市)解方程:1−23−x =4x−3.32.(2022·广西壮族自治区柳州市)习近平总书记在主持召开中央农村工作会议中指出:“坚持中国人的饭碗任何时候都要牢牢端在自己手中,饭碗主要装中国粮.”某粮食生产基地为了落实习近平总书记的重要讲话精神,积极扩大粮食生产规模,计划投入一笔资金购买甲、乙两种农机具,已知1件甲种农机具比1件乙种农机具多1万元,用15万元购买甲种农机具的数量和用10万元购买乙种农机具的数量相同.33.(1)求购买1件甲种农机具和1件乙种农机具各需多少万元?34.(2)若该粮食生产基地计划购买甲、乙两种农机具共20件,且购买的总费用不超过46万元,则甲种农机具最多能购买多少件?35.(2022·吉林省长春市)为了让学生崇尚劳动,尊重劳动,在劳动中提升综合素质,某校定期开展劳动实践活动.甲、乙两班在一次体验挖土豆的活动中,甲班挖1500千克土豆与乙班挖1200千克土豆所用的时间相同.已知甲班平均每小时比乙班多挖100千克土豆,问乙班平均每小时挖多少千克土豆?36.(2022·山东省烟台市)扫地机器人具备敏捷的转弯、制动能力和强大的自主感知、规划能力,深受人们喜爱.某商场根据市场需求,采购了A,B两种型号扫地机器人.已知B型每个进价比A型的2倍少400元.采购相同数量的A,B两种型号扫地机器人,分别用了96000元和168000元.请问A,B两种型号扫地机器人每个进价分别为多少元?37.(2022·山东省聊城市)为了解决雨季时城市内涝的难题,我市决定对部分老街道的地下管网进行改造.在改造一段长3600米的街道地下管网时,每天的施工效率比原计划提高了20%,按这样的进度可以比原计划提前10天完成任务.38.(1)求实际施工时,每天改造管网的长度;39.(2)施工进行20天后,为了减少对交通的影响,施工单位决定再次加快施工进度,以确保总工期不超过40天,那么以后每天改造管网至少还要增加多少米?40.(2022·贵州省贵阳市)国发(2022)2号文发布后,贵州迎来了高质量快速发展,货运量持续增加.某物流公司有两种货车,已知每辆大货车的货运量比每辆小货车的货运量多4吨,且用大货车运送80吨货物所需车辆数与小货车运送60吨货物所需车辆数相同.每辆大、小货车货运量分别是多少吨?41.(2022·贵州省铜仁市)科学规范戴口罩是阻断遵守病毒传播的有效措施之一,某口罩生产厂家接到一公司的订单,生产一段时间后,还剩280万个口罩未生产,厂家因更换设备,生产效率比更换设备前提高了40%.结果刚好提前2天完成订单任务.求该厂家更换设备前和更换设备后每天各生产多少万个口罩?42.(2022·吉林省)刘芳和李婷进行跳绳比赛.已知刘芳每分钟比李婷多跳20个,刘芳跳135个所用的时间与李婷跳120个所用的时间相等.求李婷每分钟跳绳的个数.43.(2022·黑龙江省大庆市)某工厂生产某种零件,由于技术上的改进,现在平均每天比原计划多生产20个零件,现在生产800个零件所需时间与原计划生产600个零件所需时间相同.求现在平均每天生产多少个零件?44.(2022·内蒙古自治区呼和浩特市)今年我市某公司分两次采购了一批土豆,第一次花费30万元,第二次花费50万元,已知第一次采购时每吨土豆的价格比去年的平均价格上涨了200元,第二次采购时每吨土豆的价格比去年的平均价格下降了200元,第二次的采购数量是第一次采购数量的2倍.45.(1)问去年每吨土豆的平均价格是多少元?46.(2)该公司可将土豆加工成薯片或淀粉,因设备原因,两种产品不能同时加工,若单独加工成薯片,每天可加工5吨土豆,每吨土豆获利700元;若单独加工成淀粉,每天可加工8吨土豆,每吨土豆获利400元,由于出口需要,所有采购的土豆必须全部加工完且用时不超过60天,其中加工成薯片的土豆数量不少于加工成淀粉的土豆数量的2,为获得最大利润,应将多少吨土豆加工成薯片?最大利润是多少?3参考答案1.D2.C3.C4.B5.D6.D7.C8.D9.D10.D11.B12.A13.C14.B15.A16.x(x+1)17.x=418.219.−1220.5621.422.x=323.160x =140x−1024.解:1x =4x+3左右两边同时乘以(x+3)x得x+3=4x,3=3x,x=1.检验:把x=1代入原方程得11=41+3,等式成立,所以x=1是原方程的解.故答案为:x=1.25.解:方程两边同乘以x(x+1)得:x2+3(x+1)=x(x+1),解整式方程得:x=−32,经检验,x=−32是原方程的解,∴原方程的解为x=−32.26.解:去分母得:x−3+2=4,解得:x=5,当x=5时,x−3≠0,∴x=5是分式方程的根.27.解:(1)设购买1件乙种农机具需要x万元,则购买1件甲种农机具需要(x+1)万元,依题意得:15x+1=10x,解得:x=2,经检验,x=2是原方程的解,且符合题意,∴x+1=2+1=3.答:购买1件甲种农机具需要3万元,1件乙种农机具需要2万元.(2)设购买m件甲种农机具,则购买(20−m)件乙种农机具,依题意得:3m+2(20−m)≤46,解得:m≤6.答:甲种农机具最多能购买6件.28.解:设乙班平均每小时挖x千克土豆,根据题意,得1500x+100=1200x,解得x=400,经检验,x=400是原方程的根,且符合题意;答:乙班平均每小时挖400千克土豆.29.解:设每个A型扫地机器人的进价为x元,则每个B型扫地机器人的进价为(2x−400)元,依题意得:96000x =1680002x−400,解得:x=1600,经检验,x=1600是原方程的解,且符合题意,∴2x −400=2×1600−400=2800.答:每个A 型扫地机器人的进价为1600元,每个B 型扫地机器人的进价为2800元.30.解:(1)设原计划每天改造管网x 米,则实际施工时每天改造管网(1+20%)x 米,由题意得:3600x−3600(1+20%)x =10,解得:x =60,经检验,x =60是原方程的解,且符合题意. 此时,60×(1+20%)=72(米).答:实际施工时,每天改造管网的长度是72米;(2)设以后每天改造管网还要增加m 米,由题意得:(40−20)(72+m)≥3600−72×20, 解得:m ≥36.答:以后每天改造管网至少还要增加36米.31.解:设每辆小货车的货运量是x 吨,则每辆大货车的货运量是(x +4)吨,依题意得:80x+4=60x,解得:x =12,经检验,x =12是原方程的解,且符合题意, ∴x +4=12+4=16.答:每辆大货车的货运量是16吨,每辆小货车的货运量是12吨.32.解:设该厂家更换设备前每天生产口罩x 万个,则该厂家更换设备后每天生产口罩(1+40%)x 万个, 依题意得:280x−280(1+40%)x =2,解得:x =40,经检验,x =40是原方程的解,且符合题意, ∴(1+40%)x =(1+40%)×40=56.答:该厂家更换设备前每天生产口罩40万个,更换设备后每天生产口罩56万个.33.解:设李婷每分钟跳绳x 个,则刘芳每分钟跳绳x +20个,根据题意列方程,得135x+20=120x,即135x =120(x +20), 解得x =160,经检验x =160是原方程的解,答:李婷每分钟跳绳160个.34.解:设现在平均每天生产x 个零件,根据题意得:800x=600x−20,解得x =80,经检验,x =80是原方程的解,且符合题意, ∴x =80,答:现在平均每天生产80个零件.35.解:(1)设去年每吨土豆的平均价格是x 元,则今年第一次采购每吨土豆的平均价格为(x +200)元,第二次采购每吨土豆的平均价格为(x −200)元, 由题意得:300000x+200×2=500000x−200,解得:x =2200,经检验,x =2200是原分式方程的解,且符合题意, 答:去年每吨土豆的平均价格是2200元;(2)由(1)得:今年采购的土豆数为:3000002200+200×3=375(吨), 设应将m 吨土豆加工成薯片,则应将(375−m)吨加工成淀粉, 由题意得:{m ≥23(375−m)m 5+375−m 8≤60,解得:150≤m ≤175, 设总利润为y 元,则y =700m +400(375−m)=300m +150000, ∵300>0,∴y 随m 的增大而增大,∴当m =175时,y 的值最大=300×175+150000=202500,答:为获得最大利润,应将175吨土豆加工成薯片,最大利润是202500元.。
一、选择题1.()()2323x y z x y z +++-的结果为( ) A .1B .33-+m m C .33m m +- D .33mm + 2.下列关于分式的判断,正确的是( ) A .当x=2时,12x x +-的值为零 B .当x≠3时,3x x-有意义 C .无论x 为何值,31x +不可能得整数值 D .无论x 为何值,231x +的值总为正数 3.若分式||11x x -+的值为0,则x 的值为( ) A .1B .﹣1C .±1 D .无解4.把分式2210x y xy+中的x y 、都扩大为原来的5倍,分式的值( )A .不变B .扩大5倍C .缩小为15D .扩大25倍5.若a = (-0.4)2,b = -4-2,c =214-⎛⎫- ⎪⎝⎭,d =014⎛⎫- ⎪⎝⎭, 则 a 、b 、c 、d 的大小关系为( ) A .a <b <c <d B .b <a <d <c C .a <d <c <b D .c <a <d <b6.下列计算,正确的是( )A .2(2)4--=B 2=-C .664(2)64÷-=D =7.下列变形正确的是( ). A .1a b bab b++= B .22x y x y-++=- C .222()x y x y x y x y --=++ D .23193x x x -=-- 8.将分式()0,0xyx y x y≠≠-中的x .y 扩大为原来的3倍,则分式的值为:( ) A .不变;B .扩大为原来的3倍C .扩大为原来的9倍;D .减小为原来的139.计算正确的是( )A .(﹣5)0=0B .x 3+x 4=x 7C .(﹣a 2b 3)2=﹣a 4b 6D .2a 2•a ﹣1=2a 10.下列各式计算正确的是( )A .a x ab x b+=+ B .112a b a b+=+C .22()a a b b=D .11x y x y-=-+-11.下列各式:2116,,4,,235x y xx y x π++-中,分式有( ) A .1个 B .2个C .3个D .4个12.若代数式3x +在实数范围内有意义,则x 的取值范围为( ) A .x<-3 B .x ≥-3 C .x>2 D .x ≥-3,且x ≠2 13.一种花粉颗粒直径约为0.0000065米,数字0.0000065用科学记数法表示为( )A .0.65×10﹣5B .65×10﹣7 C .6.5×10﹣6 D .6.5×10﹣5 14.使分式224x x +-有意义的取值范围是( ) A .2x =-B .2x ≠-C .2x =D .2x ≠15.下列分式中:xy x ,2y x-,+-x yx y ,22x y x y +-不能再约分化简的分式有( ) A .1个B .2个C .3个D .4个16.已知12x y-=3,分式4322x xy yx xy y +-+-的值为( )A .32B .0C .23D .9417.若,则用u 、v 表示f 的式子应该是( )A .B .C .D .18.若(1-x )1-3x =1,则x 的取值有( )个. A .1个B .2个C .3个D .4个19.若a =-0.32,b =-3-2,c =(-13)-2,d =(-13)0,则它们的大小关系是( ) A .a<c<b<dB .b<a<d<cC .a<b<d<cD .b<a<c<d20.如果把分式232x x y+中的x 和y 都扩大为原来的5倍,那么分式的值( )A .扩大为原来的5倍B .扩大为原来的10倍C .不变D .缩小为原来的1521.下列分式从左到右的变形正确的是( ) A .2=2x x y yB .22=x x y yC .22=x x xx D .515(2)2xx22.函数32x y x +=-的取值范围是( )A .x >2B .x ≥3C .x ≥3,且x ≠2D .x ≥-3,且x ≠223.下列计算正确的有①()011-=;②21333-⨯=;③()()33m m x x -=-;④2211224x x x ⎛⎫-=-+ ⎪⎝⎭;⑤()()22339a b b a a b ---=-.A .4个B .3个C .2个D .1个24.计算21424m m ++-的结果是( ) A .2m + B .2m -C .12m + D .12m -25.函数y =x 的取值范围是( ) A .x ≥﹣2B .x ≥﹣2且x ≠1C .x ≠1D .x ≥﹣2或x ≠1【参考答案】***试卷处理标记,请不要删除一、选择题 1.A 解析:A 【分析】先计算除法运算,然后进行减法运算即可得出答案. 【详解】原式=3m m +-6(3)(33)m -+× 32m -= 3m m ++ 33m += 33m m ++=1 故答案选A. 【点睛】本题考查的知识点是分式的混合运算,解题的关键是熟练的掌握分式的混合运算.2.D解析:D 【解析】A 选项:当x =2时,该分式的分母x -2=0,该分式无意义,故A 选项错误.B 选项:当x =0时,该分式的分母为零,该分式无意义. 显然,x =0满足x ≠3. 由此可见,当x ≠3时,该分式不一定有意义. 故B 选项错误.C 选项:当x =0时,该分式的值为3,即当x =0时该分式的值为整数,故C 选项错误.D 选项:无论x 为何值,该分式的分母x 2+1>0;该分式的分子3>0. 由此可知,无论x 为何值,该分式的值总为正数. 故D 选项正确. 故本题应选D. 点睛:本题考查了与分式概念相关的知识. 分式有意义的条件是分式的分母不等于零,并不是分母中的x 的值不等于零. 分式的值为零的条件是分式的分母不等于零且分式的分子等于零. 在分式整体的符号为正的情况下,分式值的符号由分子与分母的符号共同确定:若分子与分母同号,则分式值为正数;若分子与分母异号,则分式值为负数.3.A解析:A 【解析】试题解析:∵分式||11x x -+的值为0, ∴|x|﹣1=0,且x+1≠0, 解得:x=1. 故选A .4.A解析:A 【详解】∵要把分式2210x y xy+中的x y 、都扩大5倍,∴扩大后的分式为:()()()22222225551055251010x y x y xy x yxyxy+++==⨯⨯⨯,∴把分式2210x y xy+中的x y 、都扩大5倍,分式的值不变.故选A.点睛:解这类把分式中的所有字母都扩大n 倍后,判断分式的值的变化情况的题,通常是用分式中每个字母的n 倍去代替原来的字母,然后对新分式进行化简,再把化简结果和原来的分式进行对比就可判断新分式和原分式相比值发生了怎样的变化.5.B解析:B 【解析】∵a=0.16;b=-214=-116;c =(211()4-)=16;d =1;故:b<a<d<c6.C解析:C 【解析】【详解】 解:A .()2124--=,所以A 错误;B 2=,所以B 错误;C .()666664242264÷-=÷==,所以C 正确;D ==D 错误,故选C .7.C解析:C 【解析】 选项A.a bab+ 不能化简,错误. 选项B.22x y x y-+-=-,错误. 选项C.()222x y x y x y x y --=++ ,正确. 选项D. 23193x x x -=-+,错误. 故选C.8.B解析:B 【解析】 解:把分式xy x y +中的x 、y 扩大为原来的3倍后为3333x y x y ⋅+=3xyx y+,即将分式00xyx y x y≠≠-(,)中的x 、y 扩大为原来的3倍后分式的值为原来的分式的值的3倍.故选B .9.D解析:D【解析】解:A .原式=1,故A 错误;B .x 3与x 4不是同类项,不能进行合并,故B 错误;C .原式=a 4b 6,故C 错误;D .正确. 故选D .10.D解析:D 【解析】根据分式的基本性质,可知A 不正确;根据异分母的分式相加,可知11a b +=b a a b ab ab ab ++=,故不正确;根据分式的乘方,可知2a b ⎛⎫= ⎪⎝⎭22a b ,故不正确;根据分式的性质,可知11x y x y-=-+-,故正确. 故选:D.11.A解析:A 【解析】分析:判断分式的依据是看分母中是否含有字母,如果含有字母则是分式,如果不含有字母则不是分式. 详解:216,,4,,23x y xx y π++的分母中均不含有字母,因此它们是整式,而不是分式.15x -的分母中含有字母,因此是分式. 故选A .点睛:本题主要考查分式的定义,注意π不是字母,6xπ是常数,所以不是分式,是整式.12.D解析:D 【分析】根据二次根式有意义的条件和分式有意义的条件得到x+3≥0且x-2≠0,然后求出两个不等式的公共部分即可. 【详解】根据题意得x+3≥0且x−2≠0, 所以x 的取值范围为x ≥−3且x≠2. 故答案选D. 【点睛】本题考查的知识点是二次根式有意义的条件,分式有意义的条件,解题的关键是熟练的掌握二次根式有意义的条件,分式有意义的条件.13.C解析:C 【解析】 【分析】科学记数法的表示形式为a×10n 的形式,其中1≤|a|<10,n 为整数.确定n 的值时,要看把原数变成a 时,小数点移动了多少位,n 的绝对值与小数点移动的位数相同.当原数绝对值>1时,n 是正数;当原数的绝对值<1时,n 是负数. 【详解】解:0.0000065的小数点向右移动6位得到6.5,所以数字0.0000065用科学记数法表示为6.5×10﹣6, 故选C . 【点睛】本题考查科学记数法的表示方法.科学记数法的表示形式为a×10n 的形式,其中1≤|a|<10,n 为整数,表示时关键要正确确定a 的值以及n 的值.14.D解析:D 【解析】 【分析】根据分式有意义分母不为零可得2x-4≠0,再解即可. 【详解】解:由题意得:2x-4≠0, 解得:x≠2, 故选:D . 【点睛】此题主要考查了分式有意义的条件,关键是掌握分式有意义的条件是分母不等于零.15.B解析:B 【分析】找出各项中分式分子分母中有没有公因式,即可做出判断. 【详解】xyx=y, 22x y x y +-= ()()x y x y x y ++-= 1x y -所以,不能约分化简的有:- 22y x +-x yx y共两个,故答案选B. 【点睛】本题考查的知识点是分式的约分,解题的关键是熟练的掌握分式的基本性质.16.A解析:A 【解析】 【分析】先根据题意得出2x-y=-3xy ,再代入原式进行计算即可. 【详解】解:∵12x y-=3,∴2x-y=-3xy ,∴原式=()()2232x y xyx y xy-+-+,=633xy xyxy xy-+-+,=32xyxy --,=32,故选A.【点睛】本题考查的是分式的化简求值,熟知分式混合运算的法则是解答此题的关键.17.B解析:B【解析】【分析】已知等式左边通分并利用同分母分式的加法法则计算,表示出f即可.【详解】,变形得:f=.故选B.【点睛】此题考查了分式的加减法,熟练掌握运算法则是解本题的关键.18.B解析:B【分析】利用零指数幂,乘方的意义判断即可.【详解】解:∵(1-x)1-3x=1,∴1-x≠0,1-3x=0或1-x=1,解得:x=13或x=0,则x的取值有2个,故选B【点睛】本题考查了零指数幂,以及有理数的乘方,熟练掌握运算法则是解题的关键.19.B解析:B【解析】【分析】首先根据一个数的平方的计算方法,负整数指数幂的运算方法,以及零指数幂的运算方法,分别求出a、b、c、d的大小;然后根据实数大小比较的方法,判断出它们的大小关系即可.【详解】∵20 221110.30.09,3,9,1933a b c d--⎛⎫⎛⎫=-=-=-=-=-==-=⎪ ⎪⎝⎭⎝⎭,∴10.0919 9-<-<<,∴b<a<d<c.故选:B.【点睛】考查了负整数指数幂的运算,要熟练掌握,解答此题的关键是要明确:①a-p=1pa(a≠0,p为正整数);②计算负整数指数幂时,一定要根据负整数指数幂的意义计算;③当底数是分数时,只要把分子、分母颠倒,负指数就可变为正指数.(3)此题还考查了零指数幂的运算,要熟练掌握,解答此题的关键是要明确:①a0=1(a≠0);②00≠1.20.A解析:A【解析】【分析】x,y都扩大为原来的5倍就是分别变成原来的5倍,变成5x和5y.用5x和5y代替式子中的x和y,看得到的式子与原来的式子的关系.【详解】用5x和5y代替式子中的x和y得:()2255, 151032x xx y x y=++则扩大为原来的5倍.故选:A.【点睛】考查分式的基本性质,掌握分式的基本性质是解题的关键. 21.D解析:D【分析】根据分式的基本性质逐项判断.【详解】解:A、当y=-2时,该等式不成立,故本选项错误;B、当x=-1,y=1时,该等式不成立,故本选项错误;C.22=x x x x --+-,故本选项错误; D 、正确. 故选D. 【点睛】本题考查分式的基本性质,属于基础题型,分式的分子和分母同时乘以(或除以)同一个不为0的整式,分式的值不变.22.D解析:D 【解析】 【分析】根据二次根式的性质和分式有意义的条件,被开方数大于或等于0,分母不等于0,可以求出x 的范围. 【详解】 根据题意得:3020x x +≥⎧⎨-≠⎩,解得:x ≥﹣3且x ≠2.故选D . 【点睛】函数自变量的范围一般从三个方面考虑:(1)当函数表达式是整式时,自变量可取全体实数; (2)当函数表达式是分式时,考虑分式的分母不能为0; (3)当函数表达式是二次根式时,被开方数非负.23.C解析:C 【解析】 【分析】根据零指数幂、同底数幂的乘法、负整数指数幂的意义、积的乘方、完全平方公式、平方差公式计算后判断各个选项即可. 【详解】①()011-=,正确; ②2113333--⨯==,正确;③当m 为偶数时,()()33mm x x -≠-,错误;④221124x x x ⎛⎫-=-+ ⎪⎝⎭,错误; ⑤(a -3b )(-3b -a )=2222(3)9b a b a --=-,错误. 故选C .【点睛】本题考查了零指数幂、同底数幂的乘法、负整数指数幂的意义、积的乘方、完全平方公式、平方差公式.熟练掌握运算法则是解题的关键.24.D解析:D【解析】【分析】先通分,再加减.注意化简.【详解】21424124(2)(2)2m m m m m m -++==+-+-- 故选:D【点睛】考核知识点:异分母分式加减法.通分是关键.25.B解析:B【分析】根据二次根式、分式有意义的条件可得关于x 的不等式组,解不等式组即可得.【详解】解:由题意得:2010x x +≥⎧⎨-≠⎩, 解得:x≥﹣2且x≠1,故选B.【点睛】本题考查的是函数自变量取值范围的求法.函数自变量的范围一般从三个方面考虑:(1)当函数表达式是整式时,自变量可取全体实数;(2)当函数表达式是分式时,考虑分式的分母不能为0;(3)当函数表达式是二次根式时,被开方数为非负数.。
中考数学专题分类卷 专题三 分式 (真题篇)
一、选择题 1.(武汉)分式
2
1
+x 在实数范围内有意义,则实数x 的取值范围是( ) A.x >-2 B.x <-2 C.x= -2 D.x ≠-2 2.(金华)若分式
3
3
+-x x 的值为0,则x 的值为( ) A .3 B .-3 C .3或-3 D .0 3.(广州)计算
的结果是( )
A.a ⁵b ⁵
B.a ⁴b ⁵
C.ab ⁵
D.a ⁵b ⁶
4.(滨州)下列分式中,最简分式是( )
A .
B .
C .
D .
5.(山西)化简的结果是( )
A.-x ²+2x
B.-x ²+6x
C.
D.
6.(包头)化简,其结果是( )
A .
B .
C .
D .
7.(武汉)化简:的结果为( )
A .
B .
C .
D .a
8.(北京)如果a+b=2,那么代数式的值是( ) A.2 B .-2 C .2
1
D .2
1- 二、填空题
9.(湖州)要使分式
2
1
-x 有意义,x 的取值应满足_______. 10.(湖州)当x=1时,分式2
+x x
的值是______.
11.(河北)若a=2b ≠0,则的值为_______.
12.(咸宁)化简:________. 13.(福建)计算:____________.
14. 衡阳)化简:
____.
15.(咸宁)a ,b 互为倒数,代数式的值为_________.
16.(滨州)观察下列各式:;
;...
请利用你所得结论,化简代数式:≥3且n 为整
数),其结果为____. 三、解答题
17.化简:(1)(阜新)化简:
(2)(聊城)计算:;
(3)(重庆).
18.(盐城)先化简,再求值:,其中12x +=.
19.(眉山)先化简,再求值:,其中x满足x²-2x-2=0.
20.(安顺)先化简,再求值:,从-1,2,3中选择一个适当的数作为x的值代入.
专题三分式真题篇
1.D 2.A 3.A
4.A解析:A.原式为最简分式,符合题意;B.原式=,不合题
意;C.原式=,不合题意;D.原式=,不合题意,故选A.
5.C 解析:原式=,故选C.
6.B解析:原式=,故选B.
7.C 解析:原式=,故选C.
8.A解析:∵a+b=2,∴原式=,故选A.
1
9.x≠2 10.
3
11.2
3 解析:∵a=2b ,∴原式=.
12.x-1 解析:原式=.
13.0 解析:
-1=1-1=0.
14.0 解析:x
x x x x x +-+++22112=()x x
x x x +-++22
11=x+1-x-1=0 15.1 解析:原式=
()()ab b
a ab
b a ab
b
a b a b a =+⋅+=+÷++2
, ∵a ,b 互为倒数,∴a ·b=1,∴原式=1. 16. 解析:∵,...
∴,
∴
.
17.解:(1)原式;
(2)原式=;
(3)原式=
.
18.解:当12x +=时,
原式=.
19.解:原式
,
∵x ²- 2x-2=0,∴x ²=2x+2 =2(x+1), 则原式()2
1
121=++=
x x . 20.解:原式2
211-=
-+⋅+=
x x
x x x x ,
∵x+1≠0,x-2≠0,∴x ≠-1,x ≠2, ∴x 只能取3, ∴当x=3时,原式32
33
=-=
.。