分析化学第五版答案
- 格式:docx
- 大小:452.92 KB
- 文档页数:25
分析化学第五版习题答案详解(下)第五章配位滴定法思考题答案1.EDTA与金属离子的配合物有哪些特点?答:(1)EDTA与多数金属离子形成1?1配合物;(2)多数EDTA-金属离子配合物稳定性较强(可形成五个五原子环); (3)EDTA与金属配合物大多数带有电荷,水溶性好,反应速率快;(4)EDTA与无色金属离子形成的配合物仍为无色,与有色金属离子形成的配合物颜色加深。
2.配合物的稳定常数与条件稳定常数有何不同?为什么要引用条件稳定常数?答:配合物的稳定常数只与温度有关,不受其它反应条件如介质浓度、溶液pH值等的影响;条件稳定常数是以各物质总浓度表示的稳定常数,受具体反应条件的影响,其大小反映了金属离子,配位体和产物等发生副反应因素对配合物实际稳定程度的影响。
3.在配位滴定中控制适当的酸度有什么重要意义?实际应用时应如何全面考虑选择滴定时的pH?答:在配位滴定中控制适当的酸度可以有效消除干扰离子的影响,防止被测离子水解,提高滴定准确度。
具体控制溶液pH值范围时主要考虑两点:(1)溶液酸度应足够强以消去干扰离子的影响,并能准确滴定的最低pH值;(2)pH值不能太大以防被滴定离子产生沉淀的最高pH值。
4.金属指示剂的作用原理如何?它应该具备那些条件?答:金属指示剂是一类有机配位剂,能与金属形成有色配合物,当被EDTA等滴定剂置换出来时,颜色发生变化,指示终点。
金属指示剂应具备如下条件:(1)在滴定的pH范围内,指示剂游离状态的颜色与配位状态的颜色有较明显的区别;(2)指示剂与金属离子配合物的稳定性适中,既要有一定的稳定性K’MIn>104,又要容易被滴定剂置换出来,要求K’MY/K’MIn ≥104(个别102);(3)指示剂与金属离子生成的配合物应易溶于水;(4)指示剂与金属离子的显色反应要灵敏、迅速,有良好的可逆性。
5.为什么使用金属指示剂时要限定适宜的pH?为什么同一种指示剂用于不同金属离子滴定时,适宜的pH条件不一定相同?答:金属指示剂是一类有机弱酸碱,存在着酸效应,不同pH时指示剂颜色可能不同,K’MIn不同,所以需要控制一定的pH值范围。
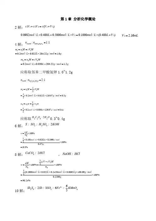
第1章 分析化学概论2解:112212()c V c V c V V +=+220.0982/0.4800.5000/0.1000/(0.480)mol L L mol L V mol L L V ⨯+⨯=⨯+ 2 2.16V mL =4解:844:1:1NaOH KHC H O n n =1110.2/0.025204.22/ 1.0m n M cV Mmol L L g mol g ===⨯⨯=2220.2/0.030204.22/ 1.2m n M cV Mmol L L g mol g ===⨯⨯=应称取邻苯二甲酸氢钾1.0~1.2g22422:2:1NaOH H C O H O n n ⋅=1111210.2/0.025126.07/0.32m n M cV M mol L L g mol g ===⨯⨯⨯=2221210.2/0.030126.07/0.42m n M cV M mol L L g mol g ===⨯⨯⨯=应称取22422H C O H O⋅0.3~0.4g6解:2242S SO H SO KOH100%10.108/0.028232.066/2100%0.47110.3%nMw m mol L L g mol g=⨯⨯⨯⨯=⨯=8解:32CaCO HCl ,NaOH HCl001()2100%100%1(0.2600/0.0250.2450/0.0065)100.09/2100%0.250098.24%cV cV MnM w m m mol L L mol L L g mol g-=⨯=⨯⨯-⨯⨯=⨯=10解:2232462365Sb S Sb SO Fe KMnO +232323550.0200/0.031800.0005366220.000530.001060.00053339.68/100%71.64%0.25130.00106121.76/100%51.36%0.2513Sb S Sb S Sb Sb S Sb n cV mol L L moln n mol mol mol g molw gmol g mol w g ==⨯⨯===⨯=⨯=⨯=⨯=⨯=12解: 323345104As O AsO MnO --故4410005KMnO mcV M=⨯⨯440.2112100050.02345(/)36.42197.8KMnO c mol L ⨯⨯==⨯14解:22422422435001000 5.55310()90.035H C O H C O H C O m n mol M -===⨯2242H C O NaOH22433322 5.5531011.10610()11.106100.111()111()0.100NaOH H C O NaOH NaOHNaOH n n mol n V L mL c ---==⨯⨯=⨯⨯====224425H C O KMnO422433225.55310 2.22110()55KMnO H C O n n mol --==⨯⨯=⨯44432.221100.0222()22.2()0.100KMnO KMnO KMnO n V L mL c -⨯====16解:2272272275.442294.180.01850(/)1K Cr O K Cr O K Cr O n c mol L V ===3422722734/20.01850231.5428.567(/)Fe O K Cr OK Cr O Fe O T c M mg mL =⨯⨯=⨯⨯=18解: 245Fe MnO +-4243735.70550.02034 3.63110()1000FeSO H O MnO n n mol --∙∴==⨯⨯=⨯424242427777FeSO H OFeSO H O FeSO H OFeSO H O m n M mmω∙∙∙∙⨯==33.63110278.0499.76%1.012-⨯⨯== 故为一级化学试剂。
第1章 分析化学概论2. 有0.0982mol/L 的H 2SO 4溶液480mL,现欲使其浓度增至0.1000mol/L 。
问应加入0.5000mol/L H 2SO 4的溶液多少毫升? 解:112212()c V c V c V V +=+220.0982/0.4800.5000/0.1000/(0.480)mol L L mol L V mol L L V ⨯+⨯=⨯+ ,2 2.16V mL =4.要求在滴定时消耗0.2mol/LNaOH 溶液25~30mL 。
问应称取基准试剂邻苯二甲酸氢钾(KHC 8H 4O 4)多少克?如果改用22422H C O H O⋅做基准物质,又应称取多少克?解:844:1:1NaOH KHC H O n n =1110.2/0.025204.22/ 1.0m n M cV Mmol L L g mol g ===⨯⨯=2220.2/0.030204.22/ 1.2m n M cV Mmol L L g mol g ===⨯⨯=应称取邻苯二甲酸氢钾1.0~1.2g22422:2:1NaOH H C O H O n n ⋅=1111210.2/0.025126.07/0.32m n M cV M mol L L g mol g ===⨯⨯⨯=2221210.2/0.030126.07/0.42m n M cV M mol L L g mol g ===⨯⨯⨯=应称取22422H C O H O⋅0.3~0.4g6.含S 有机试样0.471g ,在氧气中燃烧,使S 氧化为SO 2,用预中和过的H 2O 2将SO 2吸收,全部转化为H 2SO 4,以0.108mol/LKOH 标准溶液滴定至化学计量点,消耗28.2mL 。
求试样中S 的质量分数。
解:2242S SO H SO KOH100%10.108/0.028232.066/2100%0.47110.3%nMw m mol L L g mol g=⨯⨯⨯⨯=⨯=8.0.2500g 不纯CaCO 3试样中不含干扰测定的组分。
第四章 酸碱滴定法思考题1. 从质子理论来看下面各物质对分别是什么? 哪个是最强酸?哪个是最强碱?试按强弱顺序把他们排列起来答:HAc (Ac -)Ka=×10-5; H 3PO 4(H 2PO 4-)Ka 1=×10-3;NH 3(NH 4+)Ka=×10-10; HCN (CN -)Ka=×10-10 HF (F -)Ka=×10-4; (CH 2)6N ((CH 2)6NH +)Ka=×10-9 HCO 3-(CO 3-)Ka 2=×10-11 酸的强弱顺序:H 3PO 4 > HF > HAc> (CH 2)6N 4H + > HCN > NH 4+ > HCO 3-碱的强弱顺序:CO 3- > NH 3 > CN - >(CH 2)6N 4 >Ac - > F - > H 2PO 4- 2. 写出下列物质在水溶液中的质子条件式答:(1)NH 4CN [HCN] + [H 3O +] = [NH 3] + [OH -](2)Na 2CO 3 2[H 2CO 3] + [HCO 3-] + [H 3O +] = [OH -](3)(NH 4)2HPO 4 2[H 3PO 4] + [H 2PO 4-] + [H 3O +] = [NH 3] + [OH -]+[PO 43-] (4) (NH 4)3PO 4 3[H 3PO 4] + 2[H 2PO 4-] +[HPO 42-]+[H 3O +] = [NH 3] + [OH -] (5) NH 4H 2PO 4 [H 3PO 4] + [H 3O +] = [NH 3] + [HPO 42-] +2[PO 43-]+[OH -]3. 欲配制pH 为3的缓冲溶液,应选下列何种酸及其共轭碱 二氯乙酸()二氯乙酸() 甲酸() 乙酸() 苯酚() 答:选二氯乙酸(缓冲溶液pH ≈pKa=)5. NaOH 标准溶液吸收了空气中的CO 2,当用于滴定(1)强酸;(2)弱酸时,对滴定的准确度各有何影响?答:滴定强酸时:(1) 若用甲基橙为指示剂,终点pH ≈4,消耗2mol 强酸,即2molNaOH 与CO 2反应生成1molNaCO 3仍消耗2mol 强酸,基本无影响 ; (2)若用酚酞作指示剂,终点pH ≈9,生成NaHCO 3,即2molNaOH 与CO 2反应生成1molNaCO 3只消耗1mol 强酸,有显着影响。
分析化学第五版-第四章-酸碱滴定法课后标准答案第四章酸碱滴定法思考题1. 从质⼦理论来看下⾯各物质对分别是什么?哪个是最强酸?哪个是最强碱?试按强弱顺序把他们排列起来答:HAc (Ac -)Ka=1.75×10-5; H 3PO 4(H 2PO 4-)Ka 1=7.52×10-3;NH 3(NH 4+)Ka=5.7×10-10; HCN (CN -)Ka=6.2×10-10 HF (F -)Ka=6.8×10-4;(CH 2)6N ((CH 2)6NH +)Ka=1.4×10-9 HCO 3-(CO 3-)Ka 2=5.61×10-11 酸的强弱顺序:H 3PO 4 > HF > HAc> (CH 2)6N 4H + > HCN > NH 4+ > HCO 3-碱的强弱顺序:CO 3- > NH 3 > CN - >(CH 2)6N 4 >Ac - > F - > H 2PO 4- 2. 写出下列物质在⽔溶液中的质⼦条件式答:(1)NH 4CN [HCN] + [H 3O +] = [NH 3] + [OH -](2)Na 2CO 3 2[H 2CO 3] + [HCO 3-] + [H 3O +] = [OH -](3)(NH 4)2HPO 4 2[H 3PO 4] + [H 2PO 4-] + [H 3O +] = [NH 3] + [OH -]+[PO 43-] (4) (NH 4)3PO 4 3[H 3PO 4] + 2[H 2PO 4-] + [HPO 42-]+[H 3O +] = [NH 3] + [OH -] (5) NH 4H 2PO 4 [H 3PO 4] + [H 3O +] = [NH 3] + [HPO 42-] +2[PO 43-]+[OH -] 3. 欲配制pH 为3的缓冲溶液,应选下列何种酸及其共轭碱⼆氯⼄酸(1.30)⼆氯⼄酸(2.86)甲酸(3.74)⼄酸(4.76)苯酚(9.95)答:选⼆氯⼄酸(缓冲溶液pH ≈pKa=2.86)5. NaOH 标准溶液吸收了空⽓中的CO 2,当⽤于滴定(1)强酸;(2)弱酸时,对滴定的准确度各有何影响?答:滴定强酸时:(1) 若⽤甲基橙为指⽰剂,终点pH ≈4,消耗2mol 强酸,即2molNaOH 与CO 2反应⽣成1molNaCO 3仍消耗2mol 强酸,基本⽆影响;(2)若⽤酚酞作指⽰剂,终点pH ≈9,⽣成NaHCO 3,即2molNaOH 与CO 2反应⽣成1molNaCO 3只消耗1mol 强酸,有显著影响。
第1章分析化学概论2. 有0.0982mol/L的H2SO4溶液480mL,现欲使其浓度增至0.1000mol/L。
问应加入0.5000mol/L H2SO4的溶液多少毫升?解:4.要求在滴定时消耗0.2mol/LNaOH溶液25~30mL。
问应称取基准试剂邻苯二甲酸氢钾(KHC8H4O4)多少克?如果改用做基准物质,又应称取多少克?解:应称取邻苯二甲酸氢钾1.0~1.2g应称取0.3~0.4g6.含S 有机试样0.471g ,在氧气中燃烧,使S 氧化为SO 2,用预中和过的H 2O 2将SO 2吸收,全部转化为H 2SO 4,以0.108mol/LKOH 标准溶液滴定至化学计量点,消耗28.2mL 。
求试样中S 的质量分数。
解:8.0.2500g 不纯CaCO 3试样中不含干扰测定的组分。
加入25.00mL0.2600mol/LHCl 溶解,煮沸除去CO 2,用0.2450mol/LNaOH 溶液反滴定过量酸,消耗6.50mL ,计算试样中CaCO 3的质量分数。
解:10.不纯Sb 2S 30.2513g ,将其置于氧气流中灼烧,产生的SO 2通入FeCl 3溶液中,使Fe 3+还原至Fe 2+,然后用0.02000mol/LKMnO 4标准溶液滴定Fe 2+,消耗溶液31.80mL 。
计算试样中Sb 2S 3的质量分数。
若以Sb 计,质量分数又为多少?解:12. 用纯As2O3标定KMnO4溶液的浓度。
若0.211 2 g As2O3在酸性溶液中恰好与36.42 mL KMnO4反应。
求该KMnO4溶液的浓度。
解:故14.H2C2O4作为还原剂。
可与KMnO4反应如下:其两个质子也可被NaOH标准溶液滴定。
分别计算0.100mol·L-1NaOH和0.100 mol·L-1 KMnO4溶液与500mgH 2C2O4完全反应所消耗的体积(mL)。
解:16. 含K2Cr2O75.442g·L-1的标准溶液。
第五章 习题5.1计算pH=5时EDTA 的酸效应系数αY(H)。
若此时EDTA 各种存在形式的总浓度为0.0200mol ·L -1,则[Y 4-]为多少?答案:(1)EDTA 的61~K K :1010.26,106.16,102.67,102.0,101.6,100.961~ββ:1010.26,1016.42,1019.09,1021.09,1022.69,1023.59pH=5.0时:()[][][][][][]66554433221H Y H H H H H H 1ββββββ++++++++++++=α=1+105.26+106.42+104.09+101.09+10-2.31+10-6.41=106.45(2)[Y 4-]=45.610020.0=7.1×10-9mol ·L -15.2 pH=5时,锌和EDTA 配合物的条件稳定常数是多少?假设Zn 2+和EDTA 的浓度皆为10-2 mol ·L -1(不考虑羟基配位等副反应)。
pH=5时,能否用EDTA 标准溶液滴定Zn 2+?答案: 查表5-2: 当pH=5.0时,lg αY(H)=6.45,Zn 2+与EDTA 浓度皆为10-2mol ·L -1, lgK ’=lgK 稳- lg αY(H)=16.50-6.46=10.05﹥8,可以滴定。
5.3假设Mg 2+和EDTA 的浓度皆为10-2 mol ·L -1,在pH=6时,镁与EDTA 配合物的条件稳定常数是多少(不考虑羟基配位等副反应)?并说明在此pH 条件下能否用EDTA 标准溶液滴定Mg 2+。
如不能滴定,求其允许的最小pH 。
答案: (1)查表5-2: 当pH=6.0时,lg αY(H)=4.65,lgK ’=lgK 稳- lg αY(H)=8.69-4.65=4.04, lgK ’﹤8, ∴不能滴定(2)lg αY(H)= lgK 稳-8=0.69,查表5-2得pH ≈9.6。
1.写出下列溶液的质子条件式。
a.c1 mol·L-l NH3 + c2 mol·L-l NH4Cl;c.c1 mol·L-l)H3PO4 + c2 mol·L-l HCOOH;解:a. 对于共轭体系,由于构成了缓冲溶液,所以可以将其视为由强酸(HCl和弱碱(NH3)反应而来,所以参考水准选为HCl, NH3和H2O 质子条件式为:[ H+ ] + [NH4+] = [Cl-] + [OH-]或[ H+ ] + [NH4+] = c2 + [OH-]c. 直接取参考水平:H3PO4 , HCOOH , H2O质子条件式:[H+] = [H2PO4-] + 2[HPO42-] + 3[PO43-] + [HCOO-]+[OH-]3.计算下列各溶液的pH。
a.0.050 mol·L-l NaAc;c.0.10 mol·L-l NH4CN;e.0.050 mol·L-l氨基乙酸;g.0.010 mol·L-l H2O2液;i.0.060 mol·L-l HCI和0.050 mol·L-l氯乙酸钠(ClCH2COONa)混合溶液。
解:a.对于醋酸而言,Kb = Kw / Ka = 5.6 ⨯ 10-10应为cKb = 5.6 ⨯ 10-10⨯ 5 ⨯10-2 = 2.8 ⨯ 10-11> 10Kwc/Kb> 100 故使用最简式;[OH -] = 105.6100.05-⨯⨯ = 5.29⨯ 10-6pH = 14 – pOH = 8.72 c. NH 4+ K a ’ = 5.6 ⨯ 10-10 HCN K a = 6.2. ⨯ 10-10 cK a ’ > 10K w c > 10 K a 由近似公式可以得到:[H +] = 'a a K K = 206.2 5.610-⨯⨯ = 5.89⨯ 10-10pH = 10 – 0.77 = 9.23e. 氨基乙酸一端羧基显酸性,一端氨基显碱性,K a1 = 4.5⨯ 10-3 , K a2 = 2.5 ⨯ 10-10c/K a2> 100 且c > 10 K a1 所以[H +] =12a a K K =134.2 2.510-⨯⨯ = 1.06 ⨯ 10-6pH = 6-0.03 = 5.97g. 对于双氧水而言,K a = 1.8 ⨯ 10-12 cK a < 10K w c/K a > 100 所以可以计算氢离子浓度[H +] = a w cK K + = 14141.810110--⨯+⨯ = 1.67 ⨯ 10-7pH = 7 – 0.22 = 6.78i. 由于ClCH 2COONa + HCl = ClCH 2COOH + NaCl所以原溶液可以看成0.050mol/L 的ClCH 2COOH 和0.010mo/LHCl 的混合溶液设有x mol/L 的ClCH 2COOH 发生离解,则 ClCH 2COOH ClCH 2COO - + H +0.05-xx 0.01+x所以有(0.01)0.05x xx +- = K a = 1.4 ⨯ 10-3解得x = 4.4 ⨯ 10-3mol/L那么[H +] = 0.0144mol/L pH = -log [H +] = 1.845.某混合溶液含有0.10 mol ·L -l HCl 、2.0×10-4 mol ·L -l NaHSO 4和2.0×10-6 mol ·L -l HAc 。
分析化学答案第一章001()2100%100%1(0.2600/0.0250.2450/0.0065)100.09/2100%0.250098.24%cV cV MnM w m m mol L L mol L L g mol g-=⨯=⨯⨯-⨯⨯=⨯=10.不纯Sb 2S 30.2513g ,将其置于氧气流中灼烧,产生的SO 2通入FeCl 3溶液中,使Fe 3+还原至Fe 2+,然后用0.02000mol/LKMnO 4标准溶液滴定Fe 2+,消耗溶液31.80mL 。
计算试样中Sb 2S 3的质量分数。
若以Sb 计,质量分数又为多少? 解:2232462365Sb S Sb SO Fe KMnO +232323550.0200/0.031800.0005366220.000530.001060.00053339.68/100%71.64%0.25130.00106121.76/100%51.36%0.2513Sb S Sb S Sb Sb S Sb n cV mol L L moln n mol mol mol g molw gmol g mol w g ==⨯⨯===⨯=⨯=⨯=⨯=⨯=12. 用纯As2O3标定KMnO4溶液的浓度。
若0.211 2 g As2O3在酸性溶液中恰好与36.42 mL KMnO4反应。
求该KMnO4溶液的浓度。
解:323345104As O AsO MnO--故4410005KMnOmcVM=⨯⨯440.2112100050.02345(/)36.42197.8KMnOc mol L⨯⨯==⨯14.H2C2O4作为还原剂。
可与KMnO4反应如下:-+2+ 2244225H C O+2MnO+6H=10CO+2Mn+8H O↑其两个质子也可被NaOH标准溶液滴定。
分别计算0.100mol·L-1NaOH和0.100 mol·L-1 KMnO4溶液与500mgH 2C2O4完全反应所消耗的体积(mL)。
分析化学第五版-第四章-酸碱滴定法课后答案第四章 酸碱滴定法思考题1. 从质子理论来看下面各物质对分别是什么? 哪个是最强酸?哪个是最强碱?试按强弱顺序把他们排列起来答:HAc (Ac -)Ka=1.75×10-5; H 3PO 4(H 2PO 4-)Ka 1=7.52×10-3;NH 3(NH 4+)Ka=5.7×10-10; HCN (CN -)Ka=6.2×10-10 HF (F -)Ka=6.8×10-4; (CH 2)6N ((CH 2)6NH +)Ka=1.4×10-9 HCO 3-(CO 3-)Ka 2=5.61×10-11 酸的强弱顺序:H 3PO 4 > HF > HAc> (CH 2)6N 4H + > HCN > NH 4+ > HCO 3-碱的强弱顺序:CO 3- > NH 3 > CN - >(CH 2)6N 4 >Ac - > F - > H 2PO 4- 2. 写出下列物质在水溶液中的质子条件式答:(1)NH 4CN [HCN] + [H 3O +] = [NH 3] + [OH -](2)Na 2CO 3 2[H 2CO 3] + [HCO 3-] + [H 3O +] = [OH -](3)(NH 4)2HPO 4 2[H 3PO 4] + [H 2PO 4-] + [H 3O +] = [NH 3] + [OH -]+[PO 43-] (4) (NH 4)3PO 4 3[H 3PO 4] + 2[H 2PO 4-] +[HPO 42-]+[H 3O +] = [NH 3] + [OH -] (5) NH 4H 2PO 4 [H 3PO 4] + [H 3O +] = [NH 3] + [HPO 42-] +2[PO 43-]+[OH -]3. 欲配制pH 为3的缓冲溶液,应选下列何种酸及其共轭碱二氯乙酸(1.30)二氯乙酸(2.86) 甲酸(3.74) 乙酸(4.76) 苯酚(9.95) 答:选二氯乙酸(缓冲溶液pH ≈pKa=2.86)5. NaOH 标准溶液吸收了空气中的CO 2,当用于滴定(1)强酸;(2)弱酸时,对滴定的准确度各有何影响?答:滴定强酸时:(1) 若用甲基橙为指示剂,终点pH ≈4,消耗2mol 强酸,即2molNaOH 与CO 2反应生成1molNaCO 3仍消耗2mol 强酸,基本无影响 ; (2)若用酚酞作指示剂,终点pH ≈9,生成NaHCO 3,即2molNaOH 与CO 2反应生成1molNaCO 3只消耗1mol 强酸,有显著影响。
分析化学〔第五版〕课后习题答案第二章 误差及分析数据的统计处理3. 某矿石中钨的质量分数(%)测定结果为:20.39,20.41,20.43。
计算标准偏差s 及置信度为95%时的置信区间。
答:分析结果的平均值x =20.41%()()()()2412043204120412041203920122212......-+-+-=--=∑=n xxs ni i=0.02%n=3,置信度为95%时,t = 4.303,有μ=nts x ±= 0.05)%7. 有一标样,其标准值为0.123%,今用一新方法测定,得四次数据如下(%):0.112,0.118,0.115和0.119,判断新方法是否存在系统误差。
(置信度选95%) 答:x =0.116%,s=0.003%n=6,置信度为95%时,t = 3.182,有t 计算=n sx μ-=4003012301160⨯-...=4.667> t新方法存在系统误差,结果偏低。
11.按有效数字运算规那么,计算以下各式: (1) 2.187×0.854 + 9.6×10-5 - 0.0326×0.00814; (2) ();(3);(4)688103310161051---⨯⨯⨯⨯...解:(1)1.868;(2)62.36;(3)705.2 ;(4)1.7×10-5。
第三章 滴定分析3.7. 计算以下溶液滴定度,以g·mL -1表示:(1) 以0.2021 mol·L -1HCl 溶液,用来测定Na 2CO 3,NH 3 (2) 以0.1896 mol·L -1NaOH 溶液,用来测定HNO 3,CH 3COOH 解: (1) 根据反响式Na 2CO 3 + 2HCl = H 2CO 3 + NaCl NH 3·H 2O + HCl = H 2O + NH 4 Cl 可以得到关系式n Na 2CO 3= HCl n 21, H Cl NH n n =3,所以=11000232-⋅⨯⨯L mL M c CO Na HCl =/mL=110003-⋅⨯LmL M c NH HCl =/mL(2) 根据NaOH 与HNO 3的反响可知 n NaOH =n HNO3根据NaOH 与CH 3COOH 的反响可知 n NaOH =n CH3COOH 所以=110003-⋅⨯LmL M c HNO NaOH = /mL ;=110003-⋅⨯L mL M c COOHCH NaOH = /mL3.8. 计算0.01135 mol·L -1HCl 溶液对CaO 的滴定度。
分析化学(第五版)上册武汉大学主编第一章概论第二章分析试样的采集与制备第三章分析化学中的误差与数据处理第四章分析化学中的质量保证与质量控制第五章酸碱滴定第六章络合滴定第七章氧化还原滴定第八章沉淀滴定法与滴定分析小结第九章重量分析法第十章吸光光度法第十一章分析化学中常用的分离与富集方法第一章概论1、答:定义:分析化学是发展和应用各种理论、方法、仪器和策略以获取相关物质在相对时空内的组成和性质的信息的一门科学。
任务:定性、定量、结构。
作用:略2、答:略3、答:取样→分解→测定→计算及评价注:取样的原则:应取具有高度代表性的样品;分解的原则:①防止式样损失;②防止引入干扰。
4、答:Na2B4O7·10H2O的摩尔质量比Na2CO3的大,故选择硼砂作为标定盐酸的基准物质可以使称量误差减小,但是硼砂含10个结晶水不稳定,而碳酸钠摩尔质量小,性质稳定。
6、答:a.偏低b.偏低c.偏低d.无影响e.偏大f.偏小g.偏大h.可能偏大也可能偏小7、答:偏低NaOH O H O C H OH O C H NaOH V M m C 1210002422242222⨯⨯=••因为失水后的H 2C 2O 4中含有比同样质量H 2C 2O 4·2H 2O 更多的能与NaOH 作用的H +,这样测定时消耗V NaOH 增大,所以C NaOH 偏小。
8、答:偏高第二章 分析试样的采集与制备(略)1、答:不对。
应将原始试样全部送交分析部门,再由分析人员对原始试样采用四分法进行缩分,依据经验公式取样,再分解、测定等。
2、答:分解无机试样和有机试样的主要区别在于:无机试样的分解时将待测物转化为离子,而有机试样的分解主要是破坏有机物,将其中的卤素,硫,磷及金属元素等元素转化为离子。
3、答:用NaOH 溶解试样,Fe ,Ni ,Mg 形成氢氧化物沉淀,与Zn 基体分离。
4、答:测硅酸盐中SiO 2的含量时采用碱熔法,用KOH 熔融,是硅酸盐中的硅转化为可溶性的K 2SiO 3,再用容量法测定:测定硅酸盐中Fe ,Al ,Ca ,Mg ,Ti 的含量时,用HF 酸溶解试样,使Si 以SiF 4的形式溢出,再测试液中Fe ,Al ,Ca ,Mg ,Ti 的含量。
分析化学(第五版)试卷5套及答案(五篇材料)第一篇:分析化学(第五版)试卷5套及答案《分析化学》期末试卷(B)一、是非题(本大题共10小题,每小题1分,共10分)1.化学分析法的测定灵敏度高,因此常用于微量分析。
()2.分析数据中,凡是“0”都不是有效数字。
()3.纯度很高的物质均可作为基准物质。
()4.用HCl溶液滴定Na2CO3基准物溶液以甲基橙作指示剂,其物质量关系为n(HCl)∶n(Na2CO3)=1∶1。
()5.酸碱滴定中,只有当溶液的pH突跃超过2个pH单位,才能指示滴定终点。
()6.标定高锰酸钾溶液时,为使反应较快进行,可以加入Mn2+。
()7.AgCl的Ksp=1.56×10-10比Ag2CrO4的Ksp=9×10-12大,所以,AgCl在水溶液中的溶解度比Ag2CrO4大。
()8.用佛尔哈德法测定Cl-时,如果生成的AgCl沉淀不分离除去或加以隔离,AgCl沉淀可转化为AgSCN沉淀。
但用佛尔哈德法测定Br-时,生成的AgBr沉淀不分离除去或不加以隔离即可直接滴定。
()9.重量分析法要求沉淀溶解度愈小愈好。
()10.吸光光度法只能测定有颜色物质的溶液。
()二、选择题(本大题共20题,每小题1.5分,共30分)1.试样预处理的目的不是为了()(A)使被测物成为溶液;(B)使被测组分生成沉淀(C)使被测物变成有利测定的状态;(D)分离干扰组分 2.下列论述正确的是:()(A)准确度高,一定需要精密度好;(B)进行分析时,过失误差是不可避免的;(C)精密度高,准确度一定高;(D)精密度高,系统误差一定小;3.称取含氮试样0.2g,经消化转为NH4+后加碱蒸馏出NH3,用10 mL 0.05 mol·L-1HCl吸收,回滴时耗去0.05 mol·L-1 NaOH 9.5 mL。
若想提高测定准确度, 可采取的有效方法是()(A)增加HCl溶液体积(B)使用更稀的HCl溶液(C)使用更稀的NaOH溶液(D)增加试样量4.在酸碱滴定中被测物与滴定剂浓度各变化10倍,引起的突跃范围的变化为()。
第1章 分析化学概论2. 有0.0982mol/L 的H 2SO 4溶液480mL,现欲使其浓度增至0.1000mol/L 。
问应加入0.5000mol/L H 2SO 4的溶液多少毫升?解:,4.要求在滴定时消耗0.2mol/LNaOH 溶液25~30mL 。
问应称取基准试剂邻苯二甲酸氢钾(KHC 8H 4O 4)多少克?如果改用做基准物质,又应称取多少克? 解:应称取邻苯二甲酸氢钾1.0~1.2g应称取0.3~0.4g 6.含S 有机试样0.471g ,在氧气中燃烧,使S 氧化为SO 2,用预中和过的H 2O 2将SO 2吸收,全部转化为H 2SO 4,以0.108mol/LKOH 标准溶液滴定至化学计量点,消耗28.2mL 。
求试样中S 的质量分数。
解:8.0.2500g 不纯CaCO 3试样中不含干扰测定的组分。
加入25.00mL0.2600mol/LHCl 溶解,煮沸除去CO 2,用0.2450mol/LNaOH 溶液反滴定过量酸,消耗6.50mL ,计算试样中CaCO 3的质量分数。
解:,112212()c V c V c V V +=+220.0982/0.4800.5000/0.1000/(0.480)mol L L mol L V mol L L V ⨯+⨯=⨯+2 2.16V mL =22422H C O H O⋅844:1:1NaOH KHC H O n n =1110.2/0.025204.22/ 1.0m n M cV Mmol L L g mol g ===⨯⨯=2220.2/0.030204.22/ 1.2m n M cV Mmol L L g mol g ===⨯⨯=22422:2:1NaOH H C O H O n n ⋅=1111210.2/0.025126.07/0.32m n M cV M mol L L g mol g ===⨯⨯⨯=2221210.2/0.030126.07/0.42m n M cV M mol L L g mol g ===⨯⨯⨯=22422H C O H O⋅2242S SO H SO KOH100%10.108/0.028232.066/2100%0.47110.3%nMw m mol L L g mol g=⨯⨯⨯⨯=⨯=32CaCO HClNaOH HCl10.不纯Sb2S30.2513g,将其置于氧气流中灼烧,产生的SO2通入FeCl3溶液中,使Fe3+还原至Fe2+,然后用0.02000mol/LKMnO4标准溶液滴定Fe2+,消耗溶液31.80mL。
计算试样中Sb2S3的质量分数。
若以Sb计,质量分数又为多少?解:12. 用纯As2O3标定KMnO4溶液的浓度。
若0.211 2 g As2O3在酸性溶液中恰好与36.42 mL KMnO4反应。
求该KMnO4溶液的浓度。
解:故14.H2C2O4作为还原剂。
可与KMnO4反应如下:其两个质子也可被NaOH标准溶液滴定。
分别计算0.100mol·L-1NaOH和0.100 mol·L-1 KMnO4溶液与500mgH 2C2O4完全反应所消耗的体积(mL)。
解:001()2100%100%1(0.2600/0.0250.2450/0.0065)100.09/2100%0.250098.24%cV cV MnMwm mmol L L mol L L g molg-=⨯=⨯⨯-⨯⨯=⨯=2232462365Sb S Sb SO Fe KMnO+232323550.0200/0.031800.0005366220.000530.001060.00053339.68/100%71.64%0.25130.00106121.76/100%51.36%0.2513Sb SSb SSb Sb SSbn cV mol L L moln n mol molmol g molwgmol g molwg==⨯⨯===⨯=⨯=⨯=⨯=⨯=323345104As O AsO MnO--4410005KMnOmcVM=⨯⨯440.2112100050.02345(/)36.42197.8KMnOc mol L⨯⨯==⨯-+2+2244225H C O+2MnO+6H=10CO+2Mn+8H O↑22422422435001000 5.55310()90.035H C OH C OH C Omn molM-===⨯2242H C O NaOH22433322 5.5531011.10610()11.106100.111()111()0.100NaOH H C ONaOHNaOHNaOHn n molnV L mLc---==⨯⨯=⨯⨯====16. 含K 2Cr 2O 7 5.442g ·L -1的标准溶液。
求其浓度以及对于Fe 3O 4(M=231.54g ·mol -1)的滴定度(mg/mL )。
解:18. 按国家标准规定,化学试剂FeSO 4·7H 2O (M =278.04g ·mol -1)的含量:99.50~100.5%为一级(G.R );99.00%~100.5%为二级(A.R );98.00%~101.0%为三级(C.P )。
现以KMnO 4法测定,称取试样1.012g ,在酸性介质中用0.02034 mol ·L -1 KMnO 4溶液滴定,至终点时消耗35.70mL 。
计算此产品中FeSO 4·7H 2O 的质量分数,并判断此产品符合哪一级化学试剂标准。
解:故为一级化学试剂。
20. CN -可用EDTA 间接滴定法测定。
已知一定量过量的Ni 2+与CN -反应生成Ni(CN),过量的Ni 2+以EDTA 标准溶液滴定,Ni(CN)并不发生反应。
取12.7mL 含CN -的试液,加入25.00mL 含过量Ni 2+的标准溶液以形成Ni(CN),过量的Ni 2+需与10.1mL 0.0130 mol ·L -1 EDTA 完全反应。
已知39.3mL 0.0130 mol ·L -1 EDTA 与上述Ni 2+标准溶液30.0mL 完全反应。
计算含CN -试液中CN -的物质的量浓度。
解:224425H C O KMnO 422433225.55310 2.22110()55KMnO H C O n n mol --==⨯⨯=⨯44432.221100.0222()22.2()0.100KMnO KMnO KMnO n V L mL c -⨯====2272272275.442294.180.01850(/)1K Cr O K Cr O K Cr O n c mol L V ===3422722734/20.01850231.5428.567(/)Fe O K Cr O K Cr O Fe O T c M mg mL =⨯⨯=⨯⨯=245Fe MnO +-4243735.70550.02034 3.63110()1000FeSO H O MnO n n mol --∙∴==⨯⨯=⨯424242427777FeSO H OFeSO H O FeSO H OFeSO H O m n M mmω∙∙∙∙⨯==33.63110278.0499.76%1.012-⨯⨯==24-24-24-2NiEDTA +222239.30.013010000.01703(/)30.01000Ni EDTANi Ni Ni n n c mol L V V ++++⨯∴====222425.000.01703 4.257510()1000Ni Ni Ni n c V mol +++-''==⨯=⨯第2章 分析试样的采集与制备1.某种物料,如各个采样单元间标准偏差的估计值为0.61%,允许的误差为0.48%,测定8次,置信水平选定为90%,则采样单元数应为多少?解:f=7 P=90% 查表可知t=1.902.某物料取得8份试样,经分别处理后测得其中硫酸钙量分别为81.65%、81.48%、81.34%、81.40%、80.98%、81.08%、81.17%、81.24%,求各个采样单元间的标准偏差.如果允许的误差为0.20%,置信水平选定为95%,则在分析同样的物料时,应选取多少个采样单元? 解:f=7 P=85% 查表可知 t=2.364.已知铅锌矿的K 值为0.1,若矿石的最大颗粒直径为30 mm ,问最少应采取试样多少千克才有代表性?解:5.采取锰矿试样15 kg ,经粉碎后矿石的最大颗粒直径为2 mm ,设K 值为0.3,问可缩分至多少克?解:设缩分n 次,则, ,解得,所以n=3 ,m =第3章 分析化学中的误差与数据处理1.根据有效数字运算规则,计算下列算式:(1)19.469+1.537-0.0386+2.54 (2) 3.6 0.0323 20.59 2.12345(3) (4) pH=0.06,求[H +]=?解:a. 原式=19.47+1.54-0.04+2.54=23.51 b. 原式=3.6×0.032×21×2.1=5.1c. 原式=d. [H +]=10-0.06=0.87( mol/L )3.设某痕量组分按下式计算分析结果:,A 为测量值,C 为空白值,m 为试样质量。
已知s A =s C =0.1,s m =0.001,A =8.0,C =1.0,m =1.0,求s x 。
410.10.0130 1.31310()1000EDTA EDTA EDTA n c V mol -''=⨯=⨯=⨯234() 1.177810()EDTA CN Ni n n n mol -+-''=-=⨯31.1778100.0927(/)12.71000CN CN CN n c mol L V ----⨯===221.900.61()() 5.860.48t n E σ⨯===≈222.360.13()() 2.430.20t n E σ⨯===≈220.13090()Q Kd kg ≥=⨯=220.32 1.2()Q Kd kg ≥=⨯=1() 1.2()2n Q kg ⨯≥115() 1.2()2n kg ⨯≥1ln15ln ln1.22n +≥3.6n ≤3115() 1.875()2kg ⨯=10000000.11245.0)32.100.24(00.45⨯⨯-⨯45.0022.680.1245=0.12711.0001000⨯⨯⨯m CA -=χ解:且故5. 反复称量一个质量为 1.0000g 的物体,若标准偏差为0.4mg ,那么测得值为1.0000 1.0008g 的概率为多少? 解:由故有 ,即 , 查表得 P=47.73%7.要使在置信度为95%时平均值的置信区间不超过±s ,问至少应平行测定几次? 解:查表,得:9. 测定黄铁矿中硫的质量分数,六次测定结果分别为30.48%, 30.42%, 30.59%, 30.51%, 30.56%, 30.49%,计算置信水平95%时总体平均值的置信区间。