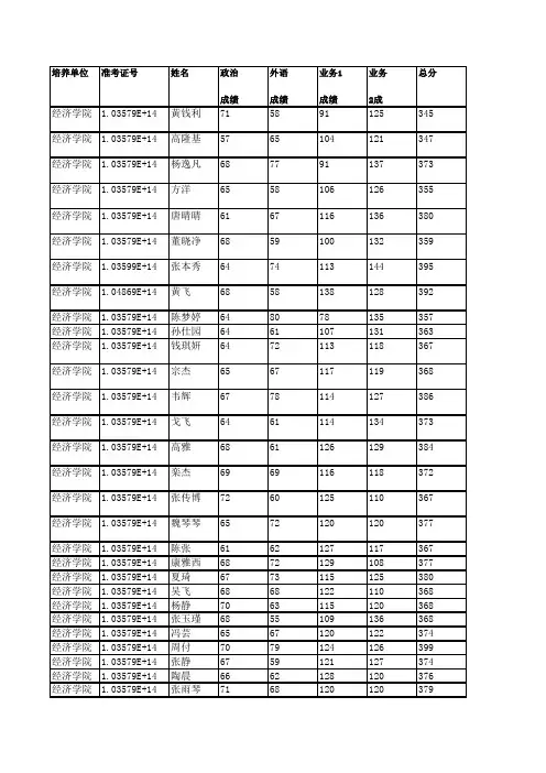
2019安徽大学硕士研究生拟录取名单
- 格式:docx
- 大小:401.38 KB
- 文档页数:76
安徽大学生命科学学院2019年硕士研究生拟录取名单公示政治外语业务1业务成绩成绩成绩2成生命科学学院1.03579E+14穆露露605211275299生命科学学院1.03579E+14潘燕625610586309生命科学学院1.03579E+14钮文俊6052111105328生命科学学院1.03579E+14李艺迪61598094294生命科学学院1.03579E+14王帅70528980291生命科学学院1.03579E+14童妃妃67568886297生命科学学院1.03579E+14周晓晶6264100106332生命科学学院1.03579E+14孔慧慧7157116101345生命科学学院1.03579E+14周永玲62578193293 生命科学学院1.03579E+14杜昌钱71679772307 生命科学学院1.03579E+14汪鑫665611295329生命科学学院1.03579E+14汪军6262108104336 生命科学学院1.03579E+14侯忠凯68609274294 生命科学学院1.03579E+14关兆媛6658106107337 生命科学学院1.03579E+14杜雪晴64719474303 生命科学学院1.03579E+14王栋67449094295生命科学学院1.03579E+14黄文汉61669591313 生命科学学院1.03579E+14孙莉玲645110098313 生命科学学院1.03579E+14魏启兵725610772307生命科学学院1.03199E+14王迪6747130123367生命科学学院1.06109E+14张鑫磊6847124120359生命科学学院1.03579E+14陈荣60659386304生命科学学院1.03579E+14王梦瑶65539699313 培养单位准考证号姓名总分生命科学1.03579E+14张蒙765310365297学院生命科学1.03579E+14束方奇626010984315学院生命科学1.03579E+14张猛654710393308学院1.03579E+14王成68598681294生命科学学院1.03579E+14刘小庆8168128115392生命科学学院1.03579E+14任镜新63599196309生命科学学院1.02809E+14唐爱国6043131141375生命科学学院生命科学1.44239E+14吴前震6241136143382学院1.02869E+14李雨停6659106137368生命科学学院1.03579E+14员江岚71529777297生命科学学院生命科学1.03579E+14王哲翔666411489333学院1.03579E+14陈新565110496307生命科学学院1.03579E+14伍可凡626410381310生命科学学院生命科学1.03579E+14彭齐霞696410885326学院1.03579E+14刘鑫63519287293生命科学学院1.03579E+14闫梦黎666185107319生命科学学院生命科学1.03579E+14方健62618796306学院1.03579E+14梅雅晴68769066300生命科学学院1.03579E+14吕孟琪72568677291生命科学学院1.03579E+14李玉帅64569692308生命科学学院生命科学1.03579E+14杜建勇716011189331学院1.02869E+14李幸7059106128363生命科学学院生命科学1.03579E+14刘传昌644784109304学院生命科学1.03589E+14缪永鑫6759105113344学院生命科学1.03579E+14吴志59649368284学院生命科学1.03579E+14潘若兰695796103325学院生命科学1.03579E+14张坤峰7172102113358学院生命科学1.05589E+14熊超亚665011290318学院1.03599E+14孙凯7060125100355生命科学学院1.02519E+14秦春晖565910695316生命科学学院1.03589E+14王健6357112108340生命科学学院1.04039E+14周灿灿6151110111333生命科学学院生命科学1.00559E+14安景604712895330学院1.02469E+14王潇瑞585310592308生命科学学院1.00559E+14麻宇婷6147124101333生命科学学院生命科学1.00569E+14马鹤624311190306学院1.00199E+14许婉莲5848106118330生命科学学院1.03079E+14张彧6256113127358生命科学学院生命科学1.02559E+14陈浩6547109118339学院1.03599E+14卢翠平726011488334生命科学学院1.03599E+14高仟735212987341生命科学学院生命科学1.03199E+14程容容595092104305学院1.44239E+14吴森帝6345118108334生命科学学院1.02559E+14朱雨涵5954105108326生命科学学院1.00199E+14张辛豹634213184320生命科学学院生命科学1.04869E+14尹悦62609399314学院1.02469E+14余忠帆5066120116352生命科学学院生命科学1.0698E+14吉俊祥6844118123353学院生命科学1.02959E+14郑凯莉695697110332学院生命科学1.02489E+14许一凡5941117128345学院生命科学1.00559E+14么金柱5948108115330学院1.03599E+14韩其其634512388319生命科学学院生命科学1.03589E+14毛雪莉6974102108353学院生命科学1.03359E+14李俊男627087110329学院拟录取复试复试专业码面试笔试71005微生物学82.4469138.05全日制71005微生物学79.9973140.16全日制71005微生物学76.6576148.33全日制71005微生物学84.4461130.72全日制71005微生物学82.4469132.05全日制71005微生物学85.7270135.86全日制71005微生物学86.7174149.02全日制71005微生物学80.6575150.16全日制71005微生物学79.7263129.36全日制71005微生物学79.5660126.11全日制71005微生物学83.2269145.11全日制71005微生物学82.5662142.95全日制71005微生物学76.0167126.84全日制71005微生物学87.363146.15全日制71005微生物学77.0169129.01全日制71005微生物学82.2272138.44全日制71005微生物学85.5170139.76全日制71005微生物学85.2264140.61全日制71005微生物学81.2262131.28全日制71005微生物学84.9174163.79全日制71005微生物学84.5181164.09全日制71009细胞生物学81.9975138.16全日制71009细胞生物学82.4260136.21全日制学习方式备注信息拟录取专业总得分71009细胞生物85.3664130.68全日制学77.7161133.69全日制71009细胞生物学85.7266141.19全日制71009细胞生物学71009细胞生物87.4261129.88全日制学90.9986169.5全日制71009细胞生物学81.1470137.9全日制71009细胞生物学76.2971164.31全日制71009细胞生物学71009细胞生物73.2271165.11全日制学91.0275164.01全日制71009细胞生物学71010生物化学81.7261129.36全日制与分子82.0867142.21全日制71010生物化学与分子81.0868141.21全日制71010生物化学与分子71010生物化学87.5868139.12全日制与分子82.3663137.01全日制71010生物化学与分子80.7276138.03全日制71010生物化学与分子85.7961137.4全日制71010生物化学与分子71010生物化学77.6561130.33全日制与分子84.1461124.57全日制71010生物化学与分子71010生物化学83.5161126.59全日制与分子83.8763136.1全日制71010生物化学与分子90.4466144.89全日制71010生物化学与分子71010生物化学89.4980162.75全日制与分子71300生态学79.9960134.33全日制71300生态学84.6365147.48全日制85238生物工程84.2261126.28全日制85238生物工程85.9970149.66全日制85238生物工程83.3470144全日制85238生物工程79.1468148.57全日制85238生物工程91.0266145.51全日制85238生物工程82.6365147.15全日制85238生物工程82.6366147.98全日制85238生物工程75.0263143.34全日制85238生物工程84.8771143.6全日制85238生物工程81.6366148.82全日制85238生物工程82.366141.15全日制85238生物工程84.3670151.85全日制85238生物工程84.860152.4全日制85238生物工程82.7367150.53全日制85238生物工程86.3760140.52全日制85238生物工程84.9273150.96全日制85238生物工程84.1471142.9全日制85238生物工程81.265148.43全日制85238生物工程83.6364144.82全日制85238生物工程89.6564148.49全日制85238生物工程87.5773144.29全日制85238生物工程88.3666155.85全日制85238生物工程88.7775162.22全日制85238生物工程84.6561141.83全日制85238生物工程79.874158.57全日制85238生物工程79.4861140.57全日制85238生物工程86.7774150.39全日制85238生物工程87.6361139.98全日制。
政治外语业务1业务培养单位准考证号姓名总分成绩成绩成绩2成管理学院 1.03579E+14解玉林717398105347管理学院 1.03579E+14盛丽莉6973112122376管理学院 1.03579E+14张含莹805897127362管理学院 1.03579E+14许良6867103110348管理学院 1.03579E+14郑子然7563101106345管理学院 1.03579E+14夏苗苗7274110107363管理学院 1.03579E+14董雪6762114105348管理学院 1.03579E+14王碧薇7166106119362管理学院 1.03579E+14赵海燕7979109104371管理学院 1.03579E+14许梦霏6877122113380管理学院 1.03579E+14茆雪晴758476116351管理学院 1.03579E+14丁辉727297107348管理学院 1.03579E+14朱欣7167104105347管理学院 1.03579E+14孙毛毛686995119351管理学院 1.03579E+14江余7473102118367管理学院 1.03579E+14汪开君6771110112360管理学院 1.03579E+14徐正顺7475102120371管理学院 1.03579E+14张浩676898115348管理学院 1.03579E+14潘玮727697113358管理学院 1.03579E+14王雨蒙747210297345管理学院 1.03579E+14王子璇7269112113366管理学院 1.03579E+14夏青青6665115117363管理学院 1.03579E+14王恬恬7179112104366管理学院 1.03579E+14舒和兵6866109106349管理学院 1.03579E+14王容7174100116361管理学院 1.03579E+14朱彬彬7073104112359管理学院 1.03579E+14杨萌737591116355管理学院 1.03579E+14张莉6961110117357管理学院 1.03579E+14刘冰丽6770114109360管理学院 1.03579E+14秦依晴6466113116359管理学院 1.03579E+14张丹华7356112105346管理学院 1.03579E+14杨梅726797126362管理学院 1.03579E+14潘金玉7665111121373管理学院 1.03579E+14朱盼盼7455103117349管理学院 1.03579E+14许桂明00000管理学院 1.03359E+14叶娇娇7360131128392管理学院 1.02469E+14牛淑月7061136143410管理学院 1.03579E+14吴超群7167111112361管理学院 1.03579E+14林浩炜6562114115356管理学院 1.03579E+14裴佳越6670110102348管理学院 1.03579E+14鲁唱晚688284116350管理学院 1.03579E+14韩萌萌6864103111346管理学院 1.03579E+14雷梦杰7380112120385管理学院 1.03579E+14黄炳衡6974105108356管理学院 1.03579E+14云云7771102106356管理学院 1.03579E+14杨晨晨7166115121373管理学院 1.03579E+14夏莉7567118120380管理学院 1.03579E+14滕文倩7067116106359管理学院 1.03579E+14匡婷婷00000管理学院 1.03579E+14陈晓楠00000管理学院 1.05119E+14万雅倩6155135124375管理学院 1.00029E+14许玉雪6465138100367管理学院 1.02809E+14焦杨6270127108367管理学院 1.02699E+14郑淑芳5563121135374管理学院 1.00029E+14张肖6651112141370管理学院 1.02479E+14张晓宇6277122112373管理学院 1.06739E+14司玥7853135113379管理学院 1.05119E+14蔡庆誉5762126125370管理学院 1.02849E+14季文静6777112121377管理学院 1.06109E+14宋依娜6062124115361管理学院 1.04599E+14牛梦瑶7455126133388管理学院 1.04599E+14潘文珂7867144108397管理学院 1.03579E+14黄锐1366100197管理学院 1.03579E+14陈倩雯1386300201管理学院 1.03579E+14杨琳1347200206管理学院 1.03579E+14盛佳佳1397700216管理学院 1.03579E+14胡秀文1346200196管理学院 1.03579E+14朱仁杰1386200200管理学院 1.03579E+14刘芳1346200196管理学院 1.03579E+14邢凯智1405200192管理学院 1.03579E+14章成云1345600190管理学院 1.03579E+14张欣慧1564300199管理学院 1.03579E+14项旭东1397000209管理学院 1.03579E+14韦政1406200202管理学院 1.03579E+14徐敏莉1458000225管理学院 1.03579E+14黄静静1366100197管理学院 1.03579E+14吴冰靖1415900200管理学院 1.03579E+14高慧慧1345900193管理学院 1.03579E+14林园园1367300209管理学院 1.03579E+14赵云1377800215管理学院 1.03579E+14孟丽颖1407200212管理学院 1.03579E+14李晶晶1328800220管理学院 1.03579E+14邓玉华1445500199管理学院 1.03579E+14张永辉1466600212管理学院 1.03579E+14潘园园1376400201管理学院 1.03579E+14韩宝祥1405700197管理学院 1.03579E+14李梦竹1237600199管理学院 1.03579E+14陶亮1487400222管理学院 1.03579E+14季美虹1237200195管理学院 1.03579E+14付应龙1455600201管理学院 1.03579E+14王玥1407900219管理学院 1.03579E+14程汪1306700197管理学院 1.03579E+14吴明义1464500191管理学院 1.03579E+14胡立1357000205管理学院 1.03579E+14聂文娟1396000199管理学院 1.03579E+14詹俊杰1336500198管理学院 1.03579E+14徐晶1366100197管理学院 1.03579E+14许守乐1426100203管理学院 1.03579E+14李小玉1448000224管理学院 1.03579E+14平原1417700218管理学院 1.03579E+14刘丽红1357300208管理学院 1.03579E+14蔡亚男1427600218管理学院 1.03579E+14邵雅1266700193管理学院 1.03579E+14张婷1236000183管理学院 1.03579E+14李雨晴1436300206管理学院 1.03579E+14贾晓宇1134400157管理学院 1.03579E+14尹志浩1415500196管理学院 1.03579E+14黄海博1236700190管理学院 1.03579E+14徐佩1356900204管理学院 1.03579E+14罗炎平1648300247管理学院 1.03579E+14吴亚琴1327000202管理学院 1.03579E+14刘雅平1467200218管理学院 1.03579E+14韦国林1486900217管理学院 1.03579E+14束苏雪1585200210管理学院 1.03579E+14王小磊1296800197管理学院 1.03579E+14柳锴1385700195管理学院 1.03579E+14陈冲1454500190管理学院 1.03579E+14肖梦楠1278400211管理学院 1.03579E+14陈思1198400203管理学院 1.03579E+14张永利1286600194管理学院 1.03579E+14孙琪1437900222管理学院 1.03579E+14周波1415100192管理学院 1.03579E+14王丽娜1327000202管理学院 1.03579E+14司碧娇1296600195管理学院 1.03579E+14李安然1256800193管理学院 1.03579E+14陈杨利1397200211管理学院 1.03579E+14李岩1316400195管理学院 1.03579E+14胡翠云1435000193管理学院 1.03579E+14辛成1566000216管理学院 1.03579E+14王忠丽1197500194管理学院 1.03579E+14郭庆友1535100204管理学院 1.03579E+14葛康力1426800210管理学院 1.03579E+14蒋政奇1605100211管理学院 1.03579E+14冯贞贞1166000176管理学院 1.03579E+14张晨1205500175管理学院 1.03579E+14万伟1266900195管理学院 1.03579E+14张修名1476300210管理学院 1.03579E+14秦瑶1387400212管理学院 1.03579E+14蔡传钰1546100215管理学院 1.03579E+14柏杨1335400187管理学院 1.03579E+14王耀1336900202管理学院 1.03579E+14李悦玲1418000221管理学院 1.03579E+14李冬琴1556600221管理学院 1.03579E+14王浩然1447900223管理学院 1.03579E+14朱小云1357600211管理学院 1.03579E+14刘灵钰1588000238管理学院 1.03579E+14刘筱靓1486000208管理学院 1.03579E+14张强1395100190管理学院 1.03579E+14徐梅1325100183管理学院 1.03579E+14胡亚1386500203管理学院 1.03579E+14杨青1217300194管理学院 1.03579E+14孔祥荣1438700230管理学院 1.03579E+14周亚1447500219管理学院 1.03579E+14程婉舟1628200244管理学院 1.03579E+14马昕悦1538200235管理学院 1.03579E+14牛耕1388500223管理学院 1.03579E+14闵志强1486900217管理学院 1.03579E+14靳梦茹1618300244管理学院 1.03579E+14卢倩1467900225管理学院 1.03579E+14吴彩云1526900221管理学院 1.03579E+14高千惠1487300221管理学院 1.03579E+14阮星宇1447500219管理学院 1.03579E+14方苇苇1526800220管理学院 1.03579E+14岳冰清1408000220管理学院 1.03579E+14卢婧1428700229管理学院 1.03579E+14黄雨晨1467500221管理学院 1.03579E+14申升1538500238管理学院 1.03579E+14邬义威1506600216管理学院 1.03579E+14高巧莉1537500228管理学院 1.03579E+14余正逸凡1487600224管理学院 1.03579E+14刘凡1577200229管理学院 1.03579E+14段然1437400217管理学院 1.03579E+14高燕1578400241管理学院 1.03579E+14管婷婷1658400249管理学院 1.03579E+14李楠1477900226管理学院 1.03579E+14陈珊慧1627800240管理学院 1.03579E+14王越1586700225管理学院 1.03579E+14吴田恬1606500225管理学院 1.03579E+14贾玉洁1478100228管理学院 1.03579E+14张宇1615800219管理学院 1.03579E+14郏鑫1394600185管理学院 1.03579E+14张寰宇1488200230管理学院 1.03579E+14崔冉1717900250管理学院 1.03579E+14程格1507600226管理学院 1.03579E+14吴晨光1616000221管理学院 1.03579E+14王倩1546400218管理学院 1.03579E+14刘洁1527800230管理学院 1.03579E+14宗芳芳1557700232管理学院 1.03579E+14陈鸽1567800234管理学院 1.03579E+14徐娅敏1497100220管理学院 1.03579E+14史健健1508100231管理学院 1.03579E+14陈静文1447600220管理学院 1.03579E+14魏光萍1487100219管理学院 1.03579E+14邓盼星1507500225管理学院 1.03579E+14李子东1588200240管理学院 1.03579E+14靖子森1248000204管理学院 1.03579E+14孔科伟1328200214管理学院 1.03579E+14王雅萌1526500217管理学院 1.03579E+14吴春峤1116600177管理学院 1.03579E+14张霞1196500184管理学院 1.03579E+14黄潇1205300173管理学院 1.03579E+14叶良啟1195200171管理学院 1.03579E+14赵宇明1285800186管理学院 1.03579E+14杨理1525600208管理学院 1.03579E+14陈梅1424600188管理学院 1.03579E+14洪政1096700176管理学院 1.03579E+14崔瑞华1126100173管理学院 1.03579E+14武娟1195400173管理学院 1.03579E+14曹楠楠1255500180管理学院 1.03579E+14杨中亚1126700179管理学院 1.03579E+14马进山1156100176管理学院 1.03579E+14张晓宏1084800156管理学院 1.03579E+14蒲振宇1377700214管理学院 1.03579E+14徐中海1187300191拟录取复试复试专业码面试笔试120400公共管理83.4575146.89全日制120400公共管理80.3971153.7全日制120400公共管理83.7872152.56全日制120400公共管理77.3971145.2全日制120400公共管理81.7274146.86全日制120400公共管理84.2875151.97全日制120400公共管理83.9571150.48全日制120400公共管理79.1171150.06全日制120400公共管理84.7871148.89全日制120400公共管理83.0584161.86全日制120400公共管理87.1177146.06全日制120400公共管理80.8971143.95全日制120400公共管理83.2870146.31全日制120400公共管理82.7275150.19全日制120400公共管理83.5570150.11全日制120400公共管理80.5582155.28全日制120400公共管理87.2272153.61全日制120400公共管理81.0571147.03全日制120400公共管理86.8975150.95全日制120400公共管理80.7272142.69全日制120400公共管理73.9577150.48全日制120400公共管理84.0575156.86全日制120400公共管理82.9572149.48全日制120400公共管理85.8969149.11全日制120400公共管理83.9579153.48全日制120400公共管理87.3975153.2全日制120400公共管理83.4576148.73全日制120400公共管理81.4572152.39全日制120400公共管理85.2274153.94全日制120400公共管理84.2881158.97全日制120400公共管理83.7877152.72全日制120400公共管理79.3980154.03全日制120400公共管理82.2879157.97全日制120400公共管理82.2879153.97全日制120400公共管理000全日制推免生120400公共管理89.3368165全日制120400公共管理8462166全日制120500图书情报与档案87.1777156.42全日制120500图书情报与档案8974157.83全日制120500图书情报与档案85.8372149.58全日制学习方式备注信息拟录取专业总得分120500图书情报87.6783152全日制与档案85.1775151.42全日制120500图书情报与档案83.6769153.67全日制120500图书情报与档案84.6765145.84全日制120500图书情报与档案120500图书情报8473147.83全日制与档案86.1768155.75全日制120500图书情报与档案120500图书情报86.3380162.5全日制与档案84.1778155.09全日制120500图书情报与档案000全日制推免生120500图书情报与档案120500图书情报000全日制推免生与档案83.3275165.49全日制120500图书情报与档案82.6575158.16全日制120500图书情报与档案87.3375159.5全日制120500图书情报与档案120500图书情报84.3372163.5全日制与档案82.8275163.24全日制120500图书情报与档案120500图书情报90.1574160.08全日制与档案81.9869158.16全日制120500图书情报与档案84.1769160.25全日制120500图书情报与档案120500图书情报87.3374158.33全日制与档案88.3374160.83全日制120500图书情报与档案82.8365160.25全日制120500图书情报与档案88.6772164.34全日制120500图书情报与档案125200公共管理85.3574153.35非全日制125200公共管理80.7672149.76非全日制125200公共管理80.7772147.77非全日制125200公共管理84.2774153.77非全日制125200公共管理88.4474155.44非全日制125200公共管理86.9972155.99非全日制125200公共管理80.1668150.49非全日制特岗教师,初试加10分125200公共管理84.5170154.51非全日制125200公共管理87.6578154.65非全日制125200公共管理84.2673162.26非全日制125200公共管理85.4972154.99非全日制125200公共管理86.9370156.93非全日制125200公共管理87.2669159.76非全日制125200公共管理80.9970148.99非全日制125200公共管理84.3272154.82非全日制125200公共管理85.0971152.09非全日制125200公共管理84.6572152.65非全日制125200公共管理86.4472158.27非全日制三支一扶,初试加10分125200公共管理82.8574152.85非全日制125200公共管理83.4373149.43非全日制125200公共管理82.2673154.26非全日制125200公共管理79.0974152.09非全日制125200公共管理83.3275151.82非全日制125200公共管理84.0182154.01非全日制125200公共管理86.0177147.51非全日制125200公共管理86.0176160.01非全日制125200公共管理87.0974151.92非全日制西部计划,初试加10分125200公共管理8585157.5非全日制125200公共管理81.3583151.35非全日制125200公共管理85.6879150.68非全日制125200公共管理82.9374155.93非全日制125200公共管理86.0977153.59非全日制125200公共管理82.6572152.15非全日制125200公共管理82.8283149.32非全日制125200公共管理79.7764147.77非全日制125200公共管理84.572155.5非全日制125200公共管理8367155非全日制125200公共管理8174151.5非全日制125200公共管理84.6575152.15非全日制125200公共管理85.6583156.65非全日制125200公共管理84.1674152.16非全日制村官,初试加15分125200公共管理83.7671150.26非全日制村官,初试加15分125200公共管理86.171157.6非全日制125200公共管理84.1570140.65非全日制退役大学生计划125200公共管理83.0161153.51非全日制125200公共管理87.8374149.33非全日制125200公共管理83.8368151.33非全日制125200公共管理89.6675171.66非全日制125200公共管理82.3372148.33非全日制125200公共管理82.3566155.35非全日制125200公共管理80.7777154.77非全日制125200公共管理86.8271165.82非全日制125200公共管理83.8274148.32非全日制125200公共管理86.4379155.43非全日制125200公共管理80.4365152.93非全日制125200公共管理88.6671152.16非全日制125200公共管理88.1885147.68非全日制125200公共管理82.3370151.33非全日制村官,初试加15分125200公共管理83.663155.1非全日制125200公共管理86.8587157.35非全日制125200公共管理85.3286151.32非全日制125200公共管理85.3363149.83非全日制125200公共管理89.673152.1非全日制125200公共管理86.4477155.94非全日制125200公共管理86.2675151.76非全日制125200公共管理80.8375152.33非全日制125200公共管理82.8271165.82非全日制村官,初试加15分125200公共管理87.9477147.44非全日制125200公共管理82.0978158.59非全日制125200公共管理85.7677156.76非全日制125200公共管理79.2779159.27非全日制125200公共管理85.6874148.68非全日制村官,初试加15分125200公共管理84.4374149.43非全日制村官,初试加15分125200公共管理84.9372147.93非全日制125200公共管理87.1676160.66非全日制125200公共管理84.6878153.68非全日制125200公共管理80.4472157.44非全日制125200公共管理83.6671155.16非全日制村官,初试加15分125200公共管理84.2776150.77非全日制125200公共管理81.0179151.51非全日制125200公共管理84.4476161.94非全日制125200公共管理84.671156.6非全日制125200公共管理89.173156.6非全日制125200公共管理81.7775165.77非全日制村官,初试加15分125200公共管理81.2671155.26非全日制125200公共管理85.3373158.16非全日制三支一扶,初试加10分125200公共管理79.3566150.35非全日制村官,初试加15分125200公共管理83.7767152.77非全日制125200公共管理87.5167148.01非全日制125200公共管理82.4464153.94非全日制125200公共管理80.5967152.59非全日制125500图书情报84.6178165.61全日制125500图书情报78.4971154.99全日制125500图书情报87.3362156.33全日制125500图书情报82.8374156.83全日制125500图书情报84.1168164.61全日制125500图书情报87.8369160.83全日制125500图书情报82.7171158.71全日制125500图书情报87.9469161.94全日制125500图书情报83.6165155.61全日制125500图书情报85.1665161.16全日制125500图书情报84.2166154.21全日制125500图书情报85.7169156.71全日制125500图书情报88.1670161.16全日制125500图书情报86.6663163.16全日制125500图书情报83.1173158.11全日制125500图书情报86.5475163.04全日制125500图书情报85.0467159.04全日制125500图书情报81.2170159.71全日制125500图书情报85.2173156.71全日制125500图书情报85.7174164.21全日制125500图书情报81.6672164.16全日制125500图书情报87.6668161.16全日制125500图书情报84.2873165.28全日制125500图书情报83.5470162.54全日制125500图书情报79.4962159.49全日制125500图书情报83.0468156.54全日制125500图书情报84.1167164.61全日制125500图书情报81.1667150.66全日制退役大学生计划125500图书情报86.2865160.28全日制125500图书情报85.6165171.11全日制125500图书情报86.5469161.54全日制125500图书情报80.9472161.44全日制退役大学生计划125500图书情报83.4969160.49全日制125500图书情报84.7869160.78全日制125500图书情报84.3372161.83全日制125500图书情报84.5467162.54全日制125500图书情报82.6165157.11全日制125500图书情报84.6162159.61全日制125500图书情报83.6660155.66全日制125500图书情报83.8862157.88全日制125500图书情报84.1170159.11全日制125500图书情报84.8865163.88全日制125600工程管理82.8363144.83非全日制125600工程管理87.3369153.33非全日制125600工程管理80.570156.5非全日制125600工程管理81.569137非全日制125600工程管理82.3371141.83非全日制125600工程管理87.1770147.17非全日制125600工程管理87.560147非全日制125600工程管理81.8364145.83非全日制125600工程管理87.3374163.33非全日制125600工程管理81.6761152.67非全日制125600工程管理85.1770139.67非全日制125600工程管理79.563135.5非全日制125600工程管理85.579145非全日制125600工程管理85.8374148.33非全日制125600工程管理87.8367143.83非全日制125600工程管理8373140.5非全日制125600工程管理85.1785144.17非全日制村官,初试加15分125600工程管理87.3369155.83非全日制125600工程管理85.8365144.83非全日制。
政治外语业务1业务成绩成绩成绩2成化学化工学院1.03579E+14蔡昌婷7060112135377化学化工学院1.03579E+14赵薇6668100124358化学化工学院1.03579E+14吴雪梅616997128355化学化工学院1.03579E+14杨小楠746693101334化学化工学院1.03579E+14李亮6655100116337化学化工学院1.03579E+14杜文丽6353117135368化学化工学院1.03579E+14查小青6556123131375化学化工学院1.03579E+14方宇6047103109319化学化工学院1.03579E+14毛荟6066118128372化学化工学院1.03579E+14吕亚文6662115133376化学化工学院1.03579E+14吴倩倩6254100111327化学化工学院1.03579E+14甄亚茹6858126127379化学化工学院1.03579E+14王梦真6858108125359化学化工学院1.03579E+14平中鑫705991115335化学化工学院1.03579E+14韩梦6458116116354化学化工学院1.03579E+14徐忠伟6846106137357化学化工学院1.03579E+14方鹏辉7052113137372化学化工学院1.03579E+14刘璐695297126344化学化工学院1.03579E+14陈卓6254104107327化学化工学院1.03579E+14孟茹6451100117332化学化工学院1.03579E+14杜金凤5763112124356化学化工学院1.03579E+14刘丽6660103117346化学化工学院1.03579E+14徐兆生6446104126340培养单位准考证号姓名总分化学化工1.03579E+14王阿珠7266100122360学院化学化工1.03579E+14许志鹏7558113126372学院化学化工1.03579E+14朱婉蓉7147119133370学院1.03579E+14陈彩芬6750100128345化学化工学院1.03579E+14唐媛媛6449100131344化学化工学院1.03579E+14黄威6662109122359化学化工学院1.03579E+14周彦珂7365125130393化学化工学院化学化工1.03579E+14单珊7165121130387学院1.03579E+14王小露634887132330化学化工学院1.03579E+14陈晓琴715685136348化学化工学院化学化工1.03579E+14袁佳佳6867115145395学院1.03579E+14许超6556104129354化学化工学院1.03579E+14陆娟6055103130348化学化工学院化学化工1.03579E+14许康斌6341106111321学院1.03579E+14王淑静6367114127371化学化工学院1.03579E+14车梓文6842101119330化学化工学院化学化工1.03579E+14邵一帆6363107128361学院1.03579E+14唐鹤森7152105119347化学化工学院1.03579E+14刘颖7363115138389化学化工学院1.03579E+14黄厚实7152120136379化学化工学院化学化工1.03579E+14王胜男7171119132393学院1.03579E+14陈信芮6658103114341化学化工学院化学化工1.03579E+14沈宏磊6665119133383学院化学化工1.03579E+14李佳佳6250113101326学院化学化工1.03579E+14吴晓航6758101112338学院化学化工1.03579E+14王玲6146111139357学院化学化工1.03579E+14叶聪6850105128351学院化学化工1.03579E+14陈泽乐00000学院1.03579E+14薛梦奇6858104128358化学化工学院1.03579E+14方键6947120132368化学化工学院1.03579E+14陈露闵656294107328化学化工学院1.03579E+14李小换6455119127365化学化工学院化学化工1.03579E+14邓孙艳665797135355学院1.03579E+14刘玲6951104118342化学化工学院1.03579E+14丁伯阳6551103129348化学化工学院化学化工1.03579E+14许晓庆6568121133387学院1.03579E+14赵婷钰6558116129368化学化工学院1.03579E+14王淑娜6149125139374化学化工学院化学化工1.03579E+14王莹莹705983126338学院1.03579E+14张涛5159118108336化学化工学院1.03579E+14陈天雨00000化学化工学院化学化工1.03579E+14张瑞675095113325学院1.03579E+14管杰655198112326化学化工学院1.03579E+14陈大业625688117323化学化工学院1.03579E+14郝小强675397126343化学化工学院化学化工1.03579E+14夏雪婷6361108102334学院1.03579E+14陈磊6746104118335化学化工学院化学化工1.03579E+14李鋆665981104310学院化学化工1.03579E+14杨锦福615299127339学院化学化工1.03579E+14徐佳辉6458113108343学院化学化工1.03579E+14陈杰59489890295学院化学化工1.03579E+14褚先强614793122323学院化学化工1.03579E+14周肄纯6446111126347学院1.03579E+14汪许俭715493115333化学化工学院1.03579E+14潘升军6856102119345化学化工学院1.03579E+14殷原野695295131347化学化工学院1.03579E+14汪旭东6450110102326化学化工学院化学化工1.03579E+14韦峰6939108104320学院1.03579E+14刘雷6453105119341化学化工学院1.03579E+14杨兰666598128357化学化工学院化学化工1.03579E+14黄涛584894112312学院1.03579E+14何晓卉614679122308化学化工学院1.03579E+14董二飞626198108329化学化工学院化学化工1.03579E+14姚鑫654791111314学院1.03579E+14易玖琦665490108318化学化工学院1.03579E+14张智6172102103338化学化工学院化学化工1.03579E+14黄俊杰54547092270学院1.03579E+14苏应豪686183101313化学化工学院1.03579E+14祝煜685188106313化学化工学院1.03579E+14张晓宇6157102100320化学化工学院化学化工1.03579E+14汪伟657294105336学院1.03579E+14张永猛66547599294化学化工学院化学化工1.03579E+14徐香67659182305学院化学化工1.03579E+14张俊6567107116355学院化学化工1.03579E+14董坤59598978285学院化学化工1.03579E+14杨思俊615586102304学院化学化工1.05589E+14胡杰706695110341学院化学化工1.04879E+14靳通6166121109357学院1.02869E+14郑之仁6362113125363化学化工学院1.02519E+14钱钢655991117332化学化工学院9.10029E+14杨晶婷66618981297化学化工学院1.05339E+14徐美松6653121118358化学化工学院化学化工1.05619E+14任柯丞677083113333学院1.02479E+14朱晨5955115109338化学化工学院1.03849E+14喻欣蕾657978113335化学化工学院化学化工1.02869E+14范超超666181122330学院1.06109E+14杨朋鑫6361103106333化学化工学院1.03599E+14陈小龙605188103302化学化工学院化学化工1.02859E+14张春明595281115307学院1.03579E+14张雅丽65808696327化学化工学院1.03579E+14陈继伟665492105317化学化工学院化学化工1.03579E+14许王强62529490298学院1.03579E+14胡恩强676510189322化学化工学院1.03579E+14王煜59759582311化学化工学院1.03579E+14方义文604793111311化学化工学院化学化工1.03579E+14田旭63626782274学院1.03579E+14陈倩57747194296化学化工学院化学化工1.03579E+14赵庆仁576610381307学院化学化工1.03579E+14孙亚波6864105104341学院化学化工1.03579E+14张文65668797315学院化学化工1.03579E+14宋伟6462111103340学院1.03579E+14倪应勇624210292298化学化工学院化学化工1.03579E+14李天荣59498899295学院1.03579E+14何乐55538392283化学化工学院化学化工1.03579E+14朱亚楠675795115334学院化学化工1.03579E+14王翰斌62688579294学院化学化工1.03579E+14程乐乐626075103300学院1.03579E+14朱建新6573106116360化学化工学院化学化工1.03579E+14凤田54567194275学院1.03579E+14孙稷61697498302化学化工学院化学化工1.03579E+14刘翩翩604592112309学院1.03579E+14陈自强6265108133368化学化工学院化学化工1.03579E+14赵晓东6244100118324学院1.03579E+14余浩然63489487292化学化工学院化学化工1.03579E+14陈秋阳627270114318学院化学化工1.03579E+14范伟665997108330学院拟录取复试复试专业码面试笔试70301无机化学81.1688166.91全日制70301无机化学84.7780157.05全日制70301无机化学84.4576155.23全日制70301无机化学84.6279146.48全日制70301无机化学83.0783155.04全日制70301无机化学81.2184166.61全日制70301无机化学89.5584171.44全日制70301无机化学87.8471150.09全日制70301无机化学78.8480161.42全日制70301无机化学92.9197177.62全日制70301无机化学82.4870146.57全日制70301无机化学82.4569160.06全日制70301无机化学86.7374158.03全日制70301无机化学84.271146.27全日制70301无机化学83.9875156.82全日制70301无机化学85.9286166.96全日制70301无机化学77.7789166.72全日制70301无机化学82.275152.93全日制70302分析化学83.2786154.97全日制70302分析化学85.2789159.47全日制70302分析化学84.0578159.69全日制70302分析化学85.9286159.29全日制70302分析化学86.4974156.91全日制学习方式备注信息拟录取专业总得分70302分析化学82.1391160.57全日制70302分析化学85.286165.27全日制70302分析化学83.4579165.23全日制70302分析化学87.284161.6全日制70302分析化学83.271154.1全日制70302分析化学84.0282160.01全日制70302分析化学86.3592174.18全日制70302分析化学86.3587170.34全日制70302分析化学86.4183157.71全日制70303有机化学83.0791160.7全日制70303有机化学85.789174.02全日制70303有机化学84.4576157.89全日制70303有机化学90.7882164.06全日制70303有机化学87.4883157.57全日制70303有机化学89.3487168.5全日制70303有机化学90.0586161.36全日制70303有机化学85.781161.68全日制70303有机化学89.1677157.75全日制70303有机化学81.8475162.75全日制70303有机化学83.9889171.82全日制70303有机化学94.6284172.98全日制70303有机化学85.7387158.7全日制70303有机化学89.287172.1全日制70303有机化学91.0280156.84全日制70303有机化学84.4180153.21全日制70303有机化学83.4971160.58全日制70303有机化学84.9180160.12全日制70303有机化学000全日制推免生70304物理化学80.284159.43全日制70304物理化学77.8784164.94全日制83.7380148.87全日制70305高分子化学与物70305高分子化81.2780162.64全日制学与物72.6285156.14全日制70305高分子化学与物70305高分子化85.7782157.89全日制学与物77.5962147.13全日制70305高分子化学与物70305高分子化87.4888172.41全日制学与物88.0280165.68全日制70305高分子化学与物70305高分子化86.1394178.07全日制学与物87.9276151.63全日制70305高分子化学与物70305高分子化80.9882156.82全日制学与物000全日制推免生70305高分子化学与物81701化学工程85.7375149.7全日制81701化学工程76.1878147.09全日制81701化学工程81.7388153.2全日制81701化学工程79.4478153.05全日制81704应用化学85.6184154.81全日制81704应用化学83.7387159.37全日制81704应用化学86.5988148.96全日制81704应用化学80.1689159.91全日制81704应用化学84.7366149.03全日制81704应用化学79.7584144.54全日制81704应用化学83.6192159.47全日制81704应用化学84.5971156.8全日制81704应用化学75.1872142.92全日制81704应用化学78.1668146.75全日制81704应用化学78.4673151.06全日制81704应用化学71.7378145.53全日制81704应用化学83.7396160.53全日制81704应用化学82.7384158.03全日制81704应用化学90.0374157.35全日制81704应用化学76.8988151.11全日制81704应用化学81.3271143.16全日制81704应用化学77.4690152.4全日制81704应用化学83.7569143.71全日制81704应用化学81.8782147.94全日制81704应用化学85.0369145.35全日制85204材料工程71.2964121.65全日制85204材料工程8591149.33全日制85204材料工程86.4395155.38全日制85204材料工程77.2962136.98全日制85204材料工程82.1469141.9全日制85204材料工程70.7164125.36全日制85204材料工程80.7164130.02全日制85204材料工程69.7185151.69全日制85204材料工程72.1470126.74全日制85204材料工程74.2966132.81全日制85204材料工程86.8667145.26全日制85204材料工程86.6786163全日制85204材料工程92.2485167.95全日制85204材料工程87.5361143.6全日制85204材料工程89.1479140.74全日制85204材料工程80.2484161.79全日制85204材料工程82.7365139.2全日制85204材料工程83.6773153全日制85204材料工程92.2871145.31全日制85204材料工程78.9681147.65全日制85204材料工程85.4372148.38全日制85204材料工程83.5380145.43全日制85204材料工程82.0179145.84全日制85216化学工程83.8685145.1全日制85216化学工程78.4365137.38全日制85216化学工程76.7563131.21全日制85216化学工程78.4387146.05全日制85216化学工程77.2989142.15全日制85216化学工程73.6173141.31全日制85216化学工程76.1660117.75全日制85216化学工程82.4376134.22全日制85216化学工程84.2980143.48全日制85216化学工程88.1487157.24全日制85216化学工程86.8682145.76全日制85216化学工程74.7190153.69全日制85216化学工程77.3267136.83全日制85216化学工程79.1474138.9全日制85216化学工程74.8760125.77全日制85216化学工程74.8690152.43全日制85216化学工程85.4373133.88全日制85216化学工程73.7174133.19全日制85216化学工程80.5792160.29全日制85216化学工程79.4372130.72全日制85216化学工程87.7193147.69全日制85216化学工程76.2969140.65全日制85216化学工程77.7174156.19全日制85216化学工程78.8679151.6全日制85216化学工程77.4462130.05全日制85216化学工程78.1475137.9全日制85216化学工程78.4379147.05全日制。