工程地质与地基基础
- 格式:ppt
- 大小:10.15 MB
- 文档页数:91
建筑物地基与基础工程的规范要求与地质勘察建筑物的稳定与安全性主要依赖于其地基与基础工程的设计与施工。
在进行地基与基础工程时,必须严格遵守相关的规范要求,并进行充分的地质勘察工作。
本文将介绍建筑物地基与基础工程的规范要求以及地质勘察的重要性。
一、地基与基础工程的规范要求1. 地基处理地基处理是为了提高地基的承载能力和稳定性,通常包括地基加固和地基改良两个方面。
地基加固主要采用加固桩、灌注桩等方法,而地基改良则包括土体置换、压密和固化等措施。
在进行地基处理时,应根据工程的具体情况选择合适的方法,并按照规范要求进行施工。
2. 基础设计基础设计是根据建筑物的荷载特点和地基条件确定基础的类型、形式和尺寸。
常见的基础类型包括浅基础和深基础,浅基础主要有扩展基础、筏基础和板基础等,深基础则包括桩基础和墙基础等。
基础设计需要考虑建筑物的荷载、地基的稳定性和变形性能等因素,确保基础的安全可靠。
3. 施工监督建筑物地基与基础工程的施工必须进行严格的监督与检验,以确保施工质量。
施工监督人员应对施工过程进行全面监管,包括施工方案的审核、施工现场的巡视和材料质量的把关等。
同时,还需要对施工过程中的关键节点进行重点监督,及时发现和解决施工中的问题。
二、地质勘察的重要性地质勘察是建筑物地基与基础工程设计的基础,它的主要目的是了解地下的地质情况和水文地质条件,为基础设计和地基处理提供可靠的依据。
1. 地质情况的了解通过地质勘察,可以了解地基下的岩土层分布、岩石性质和地下水位等情况。
这些信息对于基础设计和地基处理的选择至关重要,不同的地质情况需要采用不同的处理措施,以确保地基的稳定性和安全性。
2. 地下水位的控制地下水位的高低对地基的稳定性有着重要影响。
在地质勘察中,需要确定地下水位的深度和变化规律,以便在基础设计和地基处理中合理地控制地下水位。
对于高地下水位区域,常常需要采取降低地下水位的措施,以减小地基的水分含量和改善土壤的工程性能。
工程勘察报告地基与基础调查工程勘察报告地基与基础调查一、调查目的本报告旨在对工程地基与基础进行全面调查,了解地质、地下水位以及其他影响基础安全稳定的因素,为工程设计和施工提供可靠的依据。
二、调查范围调查范围涵盖工程所在地区及其周边,包括地质情况、水文地质情况、地下水位、土壤力学性质等相关要素。
三、调查内容1. 地理位置与地势根据现场实地测量和相关图纸资料调查,确定工程地理位置和地势特征。
包括工程所在区域的地形、地貌、地势等情况。
2. 地质调查(1)岩性调查:对工程区域进行地质钻探和岩芯采样,分析地层成分、岩性特征以及地层的厚度等情况。
(2)断裂与裂隙:通过地质钻探和地层差异分析,了解区域内可能存在的断裂和裂隙情况,评估其对地基稳定性的影响。
(3)软土地层:对于存在软土地层的情况,进行地下水位测量、土壤取样分析等工作,研究土壤的渗透性、压缩性等特性。
3. 水文地质调查(1)地下水位调查:采用水位计等测量工具,测量工程区域的地下水位,确定施工期间和工程使用期间的地下水位变化情况。
(2)水文地质地貌分析:通过查阅历史地质和水文记录,了解地下水的形成和演化规律,评估地下水对工程地基的可能影响。
4. 土壤力学性质调查(1)采样与试验:根据工程需要,在工程区域内采取岩芯取样、土壤采样,并进行相关试验,评估土壤的力学性质,包括承载力、抗剪强度等。
(2)地基沉降:通过局部或全面的地基沉降观测,了解地基沉降速率和沉降的影响范围。
5. 地震和地质灾害风险评估综合考虑工程所在地区地震活动性、地质灾害历史以及地质构造情况,评估工程地基与基础在地震和地质灾害情况下的稳定性和安全性。
四、调查结果1. 地理位置与地势工程位于城市郊区,地势相对平坦,无特殊地质地貌特征。
2. 地质调查(1)岩性调查结果显示,工程区域主要地层为页岩和砂岩,地层较稳定。
(2)经过断裂和裂隙分析,未发现明显的断裂和裂隙存在,地基稳定性较好。
(3)通过土壤力学试验,确定工程区域土壤承载力适宜,具备良好的抗剪强度。
基础与地基在土木工程中的重要性土木工程是一门专门研究和应用建筑物和基础设施的科学与技术。
而基础和地基是土木工程中至关重要的组成部分。
没有稳固的基础和可靠的地基,建筑物将难以承受荷载,甚至会出现安全隐患。
因此,在土木工程中,基础和地基的设计与施工必须得到足够重视。
一、基础的重要性基础是承重结构的下部结构,通常位于地下,用以将建筑物的荷载传递到地基上。
基础不仅要能够承受自身重量,还要能够承受外力并将其传递到地基上。
一个稳固的基础可以确保建筑物稳定、安全,具有一定的抗震和抗风能力。
首先,基础的选用取决于基地的地质及土壤状况。
不同地质和土壤会对基础的设计和施工提出不同的要求。
比如,在软弱的土壤中,可能需要采用桩基或地下连续墙等增加承载能力的技术。
而在坚硬的地质中,可以选择浅基础,如筏基或地下基础板。
其次,基础的合理设计与施工是确保建筑物稳定的关键。
合适的基础类型和尺寸,以及良好的施工工艺和材料质量,都是保证基础功能的重要因素。
经过仔细测量和分析,并根据所需荷载进行力学计算,可得到合理的基础方案,以确保建筑物稳定和安全。
最后,基础还要考虑到建筑物的用途和环境因素。
例如,高层建筑需要更加坚固的基础来承受大量的垂直荷载和侧向力。
在地震活跃区域,基础还需要具备较强的抗震能力,以保护建筑物免受地震的影响。
因此,基础的设计与施工必须充分考虑到这些因素,以确保建筑物的安全性和稳定性。
二、地基的重要性地基是基础的下部土层,直接承受基础的荷载并将其分散到土壤中。
合适的地基设计和施工是基础优化和整体工程质量的重要保障。
地基的重要性主要表现在以下几个方面。
首先,地基的选择与土质、地下水位、地震活动等因素有关。
较好的地基应具备较高的承载能力、适度的变形能力和合理的水分状况。
不同类型的土质以及地下水位和地震活动的影响都会对地基的设计和施工提出不同的要求。
因此,在选择地基时,必须对地质和地下条件进行详细勘察,并进行相应的工程设计。
地基与基础工程的范围
地基与基础工程的范围主要包括以下几个方面:
1. 地质勘察:包括地质探测、土质分析、地下水位测定等,目的是获取地质信息,为地基设计提供依据。
2. 基础设计:根据地质勘察结果,确定地基和基础的类型、尺寸、承载力等参数,并进行结构计算与设计。
3. 土方工程:包括土方开挖、填筑、夯实等工作,用于调整地面和地基的形状和高程。
4. 地基处理:根据地基情况,采取相应的地基处理措施,如挖槽、加固、处理软弱地基等,以提高地基的稳定性和承载力。
5. 地基施工:包括石方打桩、灌注桩、钢筋混凝土浇筑等工作,用于建立地基承载结构,保证建筑物的稳定性。
6. 基础防水:进行地下水位控制、防水层施工等工作,以防止地下水对基础的侵蚀和建筑物的渗水。
7. 基础验收:对完成的地基与基础工程进行验收,检查工程质量是否符合要求。
总的来说,地基与基础工程的范围涵盖了地质勘察、基础设计、土方工程、地基处理、地基施工、基础防水以及基础验收等各个环节,旨在为建筑物提供稳定的基础支撑。
地基与基础pdf
地基与基础是建筑工程中非常重要的概念。
地基是指建筑物所依托的地面或地表的一部分,它起着承载建筑物荷载、分散荷载和保证建筑物稳定的作用。
地基的类型包括浅基础和深基础。
浅基础是指地基的下沉程度相对较浅的基础,常见的有筏形基础、板桩基础、连续墙基础等。
浅基础适用于地层较为坚实、稳定的场地,负载能力较小的建筑物。
深基础是指地基的下沉程度相对较深的基础,常见的有桩基础、摩擦桩基础、钻孔灌注桩基础等。
深基础适用于地层较为松软、不稳定或者需要承受较大荷载的场地,能够通过深入地下来获得更好的承载能力。
基础是指建筑物底部的结构,是将建筑物的荷载传递到地基上的一部分。
基础的种类很多,常见的有承台基础、隔离基础、条形基础等。
基础的设计需要考虑建筑物的荷载特点、地基的承载能力以及周围环境等因素。
地基与基础的设计和施工都需要严格按照相关规范和标准进行,以确保建筑物的安全稳定。
在建筑工程中,地基与基础的选择和设计是一个非常重要的环节,需要充分考虑地质条件、荷载特点和建筑物的要求等因素。
工程地质与地基基础复习题及参考答案一、单项选择及填空第1篇工程地质概论1.玄武岩就是属()a.浅成岩b.深成岩c.喷出岩d.火山碎屑岩2.侵入地壳深处的酸性岩浆冷凝后形成()a.流纹岩b.花岗岩c.辉绿岩d.闪长岩3.在胶结物中,强度最大的是()a.铁质b.硅质c.泥质d.碳质4.变质促进作用因素主要就是指().a.高温,高压和化学活泼性流体b.上覆岩体重力下的压固脱水作用c.高温下的矿物重结晶作用d.构造应力将岩石挤压破碎的作用5.大理岩是由()变质而成的岩石.a.石灰岩b.石英砂岩c.泥岩d.花岗岩6.地层对称重复,中间老,两边新,地层界线平行延伸,表示该地区存在()a.水平背斜b.水平向斜c.倾伏背斜d.倾伏向斜7.正断层是指断层的()的现象.a.主队相对向上运动b.主队相对向上运动c.上盘相对向上运动d.两盘水平错动8.逆断层就是指断层的()的现象.a.下盘相对向上运动b.下盘相对向下运动c.上盘相对向下运动d.两盘水平错动9.地下水中含有侵蚀性co2时,对混凝土有()a.通常酸性冲刷b.乳化性冲刷c.碳酸冲刷d.硫酸冲刷10.上层滞水的主要给养来源就是()a.大气降水b.潜水c.承压水d.岩溶水11.埋在地面下第一个平衡隔水层上的重力水叫作()a.上层滞水b.潜水c.承压水d.裂隙水12.潜水就是埋在第一个平衡隔水层上的()a.饱气带水b.毛细水c.重力水d.上层滞水13.埋藏并充满两个隔水带之间的重力水叫做()a.潜水b.承压水c.上层滞水d.饱气带水14.黄土的()就是黄土地区进水后产生大量塌陷的关键原因.a.湿陷性b.瓦解性c.潜蚀性d.易冲刷性15.具备承载力高,下陷量小的土是()a.黄土b.软土c.膨胀土d.冻土16.冻土的冻胀融沉性是因为冻土中含有较多的()a.易溶盐b.水c.孔隙d.有机质17.岩石的强度指标,通常是用岩石的()来表示.a.抗压强度b.抗拉强度c.抗剪强度d.抗炎抖强度18.岩体工程性质不仅取决于组成它的岩石,更主要是取决于它的()a.结构体形态b.矿物成份c.不连续性d.岩石构造19.斜坡上的岩,土体在重力促进作用下沿坡内一个或几个滑动面作整体大幅下滑的过程叫做()a.崩落b.滑坡c.塌方d.塌方20.滑坡主要发育在()a.花岗岩区b.石灰岩区c.软弱岩区d.高陡边坡21.斜坡上的大量岩,土体在重力促进作用下,忽然瓦解坡体崩塌的现象叫作()a.破损b.落石c.崩落d.滑坡22.崩落主要发育在()a.软弱岩区b.节理不发育边坡c.节理发育的坚硬岩区d.平缓山坡23.泥石流是一种()a.由风化碎屑物质共同组成的碎流b.流量特别小的洪流c.含大量泥砂石块的特殊洪流d.由重力堆积物组成的固体物质24、内力地质作用包括:地壳运动、岩浆作用、变质作用、地震作用。
地基和基础的概念地基和基础是建筑工程中非常重要的两个概念,它们对于建筑物的安全和稳定性至关重要。
本文将从地基和基础的定义、分类、选型和施工等方面进行详细讲解。
一、地基和基础的定义地基是指建筑物所处的地面部分,包括地面的土壤、岩石和水等。
而基础则是指承受建筑物重量的结构部分,通常是建筑物下面的一层结构,包括基础底座、基础柱、基础梁和基础板等。
地基和基础是建筑物的重要组成部分,它们的质量和稳定性直接影响到建筑物的安全使用寿命。
二、地基和基础的分类根据地基的类型,可以将地基分为自然地基和人工地基两类。
自然地基是指自然形成的地面土壤、岩石和水等,由于地质构造、地貌等原因,自然地基的性质和稳定性各不相同。
人工地基则是指经过人工处理的地基,如填土地基、深基础和基础加固等。
根据基础的类型,可以将基础分为浅基础和深基础两类。
浅基础是指基础底座直接放置在地面上的基础,通常适用于较小的建筑物和轻型结构。
深基础则是指基础柱、基础梁和基础板等深入地下的基础,通常适用于大型建筑物和重型结构。
三、地基和基础的选型在选型地基和基础时,需要考虑多个因素,如建筑物类型、地质条件、土壤性质、地下水位、气候条件和建筑物使用寿命等。
对于不同类型的建筑物和不同地质和土壤条件,需要选择不同类型的地基和基础。
例如,在软土地区,需要选择深基础来确保建筑物的稳定性;而在坚硬岩石地区,则可以选择浅基础来节省成本。
四、地基和基础的施工地基和基础的施工是建筑工程中非常重要的环节,它直接影响到建筑物的安全和稳定性。
在施工过程中,需要注意以下几点:1. 地基和基础施工前,需要进行充分的勘察和分析,了解地质和土壤情况,选择合适的地基和基础类型。
2. 在地基和基础施工过程中,需要严格按照设计要求和施工标准进行施工,确保施工质量和安全。
3. 在地基和基础施工过程中,需要注意施工现场的安全和环保问题,避免对周围环境和人员造成不良影响。
4. 在地基和基础施工完成后,需要进行检查和验收,确保地基和基础的质量和稳定性,避免后续使用中发生安全事故。
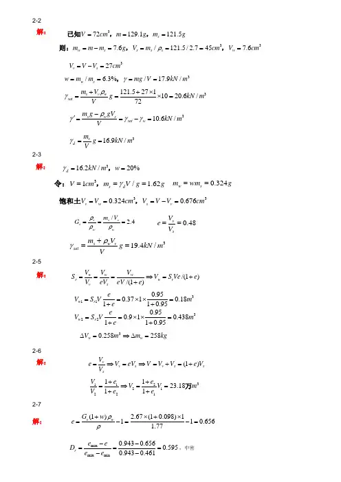
2-32-52-62-7解: (1) 2.67(10.098)1110.6561.77s wG w e ρρ+⨯+⨯=-=-=max max min 0.9430.6560.5950.9430.461r e e D e e --===--,中密解:372129.1121.5s V cm m g m g===已知,,337.6/121.5/2.7457.6w s s s s w m m m g V m cm V cm ρ=-=====则:,,327v s V V V cm =-=3/ 6.3%/17.9/w s w m m mg V kN m γ====,3121.52711020.6/72s v w sat m V g kN m V ργ++⨯==⨯=310.6/s w ssat w m g gV kN m Vργγγ-'==-=316.9/sd m g kN m Vγ==解:316.2/20%d kN m w γ==,31/ 1.62s d V cm m V g gγ===令:,0.324w s m wm g==330.3240.676v w s v V V cm V V V cm ===-=饱和土,/ 2.4s s ss w wm V G ρρρ===0.48vsV e V ==319.4/s w vsat m V g kN m Vργ+==解:/(1)/(1)w w wr w r v s V V V S V S Ve e V eV eV e ===⇒=++3110.950.3710.18110.95w r e V S Vm e ==⨯⨯=++30.258258w w V m m kg∆=⇒∆=3220.950.910.438110.95w r e V S V m e ==⨯⨯=++解:(1)vv s v s s sV e V eV V V V e V V =⇒=⇒=+=+3112212211123.1811V e e V V m V e e ++=⇒==++万解:2(1) 2.73(10.31)1110.8821.9s wG w e ρρ+⨯+⨯=-=-=32 2.730.8821019.2/110.882s sat w G e kN m e γγ++==⨯=++3(1) 2.74(10.41)111 1.1111.83s wG w e ρρ+⨯+⨯=-=-=33 2.74 1.1111018.2/11 1.111s sat w G e kN m e γγ++==⨯=++4(1) 2.72(10.27)1110.7711.95s wG w e ρρ+⨯+⨯=-=-=34 2.720.7711019.7/110.771s sat w G e kN m e γγ++==⨯=++3-2解:68020212542k k k k G F G F p d kPa A A γ+==+=+⨯=⨯ 680 1.3120.89086802042263k k k M l e m m F G ⨯===>=++⨯⨯⨯max 2()2(68020422)301332(20.8908)k k k F G p kPa bk +⨯+⨯⨯⨯===⨯⨯-4-3解:213tan (45/2)2tan(45/2)435.2f c kPa σσϕϕ=︒++︒+=4-4解:21321tan (45/2)2tan(45/2)210tan (4525/2)236tan(4525/2)630.4f c kPa σσϕϕσ=︒++︒+=⨯︒+︒+⨯⨯︒+︒=>或者 23123tan (45/2)2tan(45/2)380tan (4525/2)236tan(4525/2)108.4f c kPa σσϕϕσ=︒--︒-=⨯︒-︒-⨯⨯︒-︒=<,弹性状态,安全4-5解:213tan (45/2)2tan(45/2)47.1330tan f f c c kPac σσϕϕϕτσϕ⎫=︒++︒+=⎧⎪⇒⎬⎨=︒=+⎩⎪⎭ 5-3解:2220tan(4518/2)29.06aA p kPa =-=-⨯⨯︒-︒=-21112tan (4518/2)185220tan(4518/2)18.4aB a p K h kPa γ=-=︒-︒⨯⨯-⨯⨯︒-︒=29.063.07518.4x x m x =⇒=- 221tan (4535/2)18524.4aBa p K h kPa γ'==︒-︒⨯⨯=221122()tan (4535/2)(185203)40.6aC a p K h h kPa γγ=+=︒-︒⨯⨯+⨯=1118.4(5 3.07)(24.440.6)3115.322a E kPa =⨯⨯-+⨯+⨯=15 3.071[18.4(5 3.07)(3)24.432232140.631]/115.3 1.732a h m -=⨯⨯-⨯++⨯⨯⨯+⨯⨯⨯=7-3解:(0.5)185 1.618.6(1.10.5)202.9a ak d m f f d kPa ηγ=+-=+⨯⨯-=1801202.920 1.1k a G F b m f d γ≥==--⨯7-4解:(0.5)210118(1.90.5)235.2a ak d m f f d kPa ηγ=+-=+⨯⨯-=224001.21.214.6235.220 1.9k a G F A m f d γ≥=⨯=--⨯取/ 1.5 3.2n l b b m ==⇒==, 4.8l nb m ==85060 1.440.313240020 4.8 3.2 1.96M e m m F G +⨯===<++⨯⨯⨯max 6240020 4.8 3.2 1.960.313(1)(1)270.3 1.2282.24.8 3.2 4.8k a F G e p kPa f kPa A l ++⨯⨯⨯⨯=+=⨯+=<=⨯故取 4.8l m =, 3.2b m = 7-5解:(0.5)184 1.115.7(1.350.5)198.7a ak d m f f d kPa ηγ=+-=+⨯⨯-=取正方形基础, 2.2b m ≥==下卧层验算:0278020 1.515.7 1.351702.2G m F p d d kPa A γγ=+-=+⨯-⨯= 12/5s s E E =,/125z b θ≈⇒=︒22022170 2.249.8(2tan )(2.222tan 25)z p b kPa b z σθ⨯===++⨯⨯︒15.7 1.3518.6258.4cz kPa σ=⨯+⨯=58.4(0.5)88 1.1(3.350.5)142.73.35az ak d m f f d kPa ηγ=+-=+⨯⨯-= 49.858.4108.2z cz az kPa f σσ+=+=<,满足ABC7-7解:持力层验算:300200.81662k a F G p kPa f A +==+⨯=< (0.5)180 1.017.2(0.80.5)185.2a ak d m f f d kPa ηγ=+-=+⨯⨯-=3520.1053002020.86M e m m F G ===<++⨯⨯max 660.105(1)166(1)218.3 1.22222k k a e p p kPa f kPa l ⨯=+=⨯+=<=,满足要求下卧层验算:12/3s s E E =,/123z b θ=⇒=︒016617.20.8152.2k m p p d kPa γ=-=-⨯=0152.2282.32tan 222tan 23z p b kPa b z σθ⨯===++⨯⨯︒17.20.87.2228.2cz kPa σ=⨯+⨯=28.2(0.5)951(2.80.5)118.22.8az ak d m f f d kPa ηγ=+-=+⨯⨯-= 110.5z cz az f σσ+=<,满足某一柱基础,采用φ500mm 钢筋砼预制管桩,荷载F k =3700KN ,M k =280KN.m ,H k =58KN (水平荷载作用在地面处),桩长12m ,地质条件如下:第一层土为2.00m 杂填土,第二层土,粉质粘土,厚7m ,桩周摩阻力特征值q sa1=22kP a ,第三层土,灰色粘土,厚22.5m ,q sa2=32kP a ,桩尖平面处土的承载力特征值q pa =1100kP a ,试确定 ⑴单桩承载力特征值;⑵确定桩数、桩的布置及承台平面尺寸(s=3d )(承台埋深2m );⑶ 验算单桩承载力是否满足要求。
贵港市市区地处郁江溶蚀堆积孤峰平原,总体地势较平坦,交通便利。
市区所处地理位置特殊,工程地质条件独特,塑造了多样的地基基础类型。
笔者分析、研究贵港市市区工程地质条件,对贵港市市区房屋建筑地基基础类型进行初探。
1 贵港市市区房屋结构特点贵港市市区新建房屋多数为20~33层的高层建筑[1],少数为2~4层的裙房别墅,地下室1层的居多,地下室2~3层的比较少。
结构特点普遍为钢筋混凝土的框架结构和框架—剪力墙结构。
框柱荷重不同,高层建筑单柱荷重较大,低层建筑单柱荷重较小。
笔者从勘察角度出发,将房屋荷重按20kN/m2进行估算,以此来分析评价地基基础类型。
2 工程地质条件2.1 地形地貌贵港市市区地理上处于郁江溶蚀堆积孤峰平原,总体地势较平坦,孤峰拔地而起。
地面标高一般41~50m,孤峰峰顶标高100~180m。
2.2 地质构造贵港市市区大地构造位置属南华准地台范畴[2],处于桂中—桂东台陷大瑶山凸起的西段的贵县向斜部分,无区域断层通过,受附近覃塘压性断裂影响,局部岩石节理裂隙发育。
贵县向斜表现为宽缓状,轴向NE,轴长40km,宽15km,由中泥盆统—中石炭统碳酸盐组成,岩层倾角轴部<10°,两翼在20°左右。
覃塘压性断裂位于市区外西侧,长77km,断面倾向W,倾角45°,切穿寒武纪、泥盆—二叠纪地层,垂直断距500~1500m不等,断裂面受挤压强烈,具角砾岩化、硅化等现象。
断裂中段两处被NW向断裂错开。
2.3 岩土特性贵港市市区岩土层有填土、淤泥质土、次生红黏土、砂砾石层、红黏土、石灰岩和白云岩。
浅谈贵港市区工程地质条件及房屋建筑地基基础类型● 刘心晓(地矿梧州地质工程勘察公司,广西 贵港 537100)[摘 要]文章根据作者工程经验,总结了贵港市市区的地基类型、基础类型,并针对工程地质特征提出了合理选择地基基础类型的建议。
[关键词]贵港;地质条件;地基基础[作者简介]刘心晓(1987-),男,2016年毕业于桂林理工大学,土木工程专业,主要从事岩土工程勘察工作,助理工程师。
地基与基础工程施工计算是在建筑工程项目中至关重要的一环,它直接关系到工程的安全、质量和经济效益。
本文将从地基与基础工程的施工计算方法、步骤和注意事项等方面进行详细阐述。
一、地基与基础工程施工计算方法1. 土方开挖计算:根据设计图纸和施工方案,计算开挖土方的体积和开挖深度。
开挖土方体积的计算公式为:V=abh,其中a、b、h分别为开挖土方的底边长、底边宽和高。
2. 基坑支护计算:根据基坑的深度、地质条件、周边环境等因素,选择合适的基坑支护方案。
支护方案的选择需考虑支护结构的稳定性、施工安全和经济效益。
3. 桩基施工计算:根据设计图纸和施工方案,计算桩基的直径、长度、桩数等参数。
桩基直径和长度的计算公式分别为:D=2r(圆形桩)和L=H+h(桩长=设计高度+桩尖长度),其中r为桩径,H为建筑物的高度,h为桩尖长度。
4. 钢筋笼绑扎计算:根据设计图纸和施工方案,计算钢筋笼的直径、长度、主筋数量、箍筋数量等参数。
钢筋笼直径和长度的计算公式同桩基直径和长度的计算公式。
5. 混凝土浇筑计算:根据设计图纸和施工方案,计算混凝土的浇筑体积、浇筑速度、浇筑时间等参数。
混凝土浇筑体积的计算公式为:V=abh,其中a、b、h分别为混凝土浇筑的底边长、底边宽和高。
二、地基与基础工程施工计算步骤1. 收集资料:收集设计图纸、施工方案、地质报告等相关资料。
2. 分析地质条件:分析地质报告,了解地层的分布、厚度和性质。
3. 确定施工方案:根据地质条件和设计要求,确定施工方案,包括土方开挖、基坑支护、桩基施工等。
4. 计算参数:根据施工方案,计算各项施工参数,如土方体积、支护结构尺寸、桩基参数、钢筋笼参数等。
5. 校核计算结果:对计算结果进行校核,确保计算准确无误。
6. 编制施工预算:根据计算结果,编制地基与基础工程的施工预算。
三、地基与基础工程施工计算注意事项1. 充分了解设计意图:在计算过程中,要充分理解设计图纸和施工方案,确保计算结果符合设计要求。
简述地基与基础设计的基本要求地基与基础设计是建筑工程中非常重要的一环,它直接关系到建筑物的稳定性和安全性。
地基与基础设计的基本要求主要包括以下几个方面:首先,地基与基础设计需要符合承载力要求。
建筑物的承载力是指地基和基础要能够承受建筑物本身的重量和外部荷载,并将荷载稳定地传递到地下。
因此,在进行地基与基础设计时,需要根据建筑物的类型、高度、形状、重量等因素,合理确定地基和基础的尺寸和形式,确保承载力满足设计要求。
其次,地基与基础设计需要考虑地质条件。
地质条件是指地基的地质结构、土壤的物理性质等因素。
不同地质条件会对地基和基础的设计产生重要影响。
例如,软弱土壤需要采取加固措施,巩固地基的稳定性;坚硬土壤则需要适当选择基础形式,以减小沉降和变形。
第三,地基与基础设计需要确保建筑物的平稳沉降。
建筑物在使用过程中,由于自身重量和外部荷载的作用,会产生一定的沉降。
因此,在进行地基与基础设计时,需要对建筑物的沉降进行合理预测,并采取相应措施,控制建筑物的沉降在可接受范围内,避免沉降过大导致结构破坏。
第四,地基与基础设计需要满足抗震要求。
地震是影响建筑物安全的重要因素之一。
在地基与基础设计中,需要考虑地震荷载的作用,采取相应的抗震设计措施。
如采用抗震基础形式、设置抗震支撑等措施,提高建筑物的抗震性能,保证建筑物在地震中的稳定性。
总的来说,地基与基础设计要求全面考虑承载力、地质条件、沉降控制和抗震设计等因素。
只有在充分了解建筑物的性质和周围环境的基础上,进行合理的地基与基础设计,才能确保建筑物的稳定性和安全性。
在实际工程中,工程师还应密切配合工地情况与本地规定,确保基础设计符合相关标准。
这样才能保证建筑物的安全使用,为人们的生活提供强大的保障。
地基与基础工程施工方案地基与基础工程是建筑工程的重要组成部分,对于建筑物的稳定性和安全性起着至关重要的作用。
因此,在施工过程中需要制定详细的施工方案,以确保地基与基础工程质量达到设计要求。
本文将从地基处理、基础形式和施工方法等方面详细介绍地基与基础工程的施工方案。
一、地基处理1.地质勘察:在施工前进行详细的地质勘察,了解地层的性质和承载力,确定地基处理方案。
2.地基的处理方式:根据地层情况和设计要求,可以采取不同的地基处理方式,如挖土换基、灌注桩、土石方加固等。
3.地基处理的施工工艺:根据地基处理方式确定相应的施工工艺,包括土方开挖、土方运输、土方填筑等。
二、基础形式1.浅基础:适用于土质较好、不深厚的地层,可以采用扩展基础、板基础等形式。
2.深基础:适用于地质条件较差、土层较软的地区,可以采用钻孔灌注桩、钢筋混凝土桩等形式。
三、施工方法1.基础定位:根据设计要求进行基础定位,采用坐标放线或者传统放线方式,确保基础位置准确。
2.基础开挖:根据基础形式和地质条件进行基础开挖,包括边界开挖、底部清理等。
3.基础加固:根据设计要求进行基础加固,包括钢筋绑扎、防水处理等。
4.基础浇筑:在基础加固完毕后,进行基础浇筑,采用混凝土搅拌车进行浇筑,并严格控制浇筑质量。
5.基础验收:基础浇筑完毕后,进行基础的质量验收,包括强度检测、尺寸偏差检查等,确保基础质量达到设计要求。
通过以上地基与基础工程施工方案的制定和实施,可以保证地基和基础的质量达到设计要求,并确保建筑物的稳定性和安全性。
在施工过程中,需要合理安排施工进度,加强施工现场管理,提高施工质量和效率。
同时,在施工过程中要加强与施工监理和设计单位的沟通协作,及时解决施工过程中的问题,确保地基与基础工程的质量和进度。
总之,地基与基础工程的施工方案是建筑工程的关键部分,对于建筑物的稳定和安全起着重要作用。
在制定施工方案时,需要根据地层情况和设计要求,合理选择地基处理方式和基础形式,并制定相应的施工方法。