高中数学公式汇总
- 格式:pdf
- 大小:235.22 KB
- 文档页数:8
高考数学必备必考公式大全一、集合1.并集的运算A∪B={x|x∈A,或x∈B}2. 并集的运算性质(1) A∪A=A(2)A∪∅=A(3)A∪B=B∪A(4) A∪B=A⇔B⊆A3. 交集的运算A∩B={x|x∈A,且x∈B}4. 交集的运算性质(1)A∩A=A(2)A∩∅=∅(3)A∩B=B∩A(4)A∩B=A⇔A⊆B5. 补集的运算∁U A={x|x∈U,且x∉A}6. 补集的运算性质(1) ∁U (∁U A)=A(2) ∁U U=∅,∁U∅=U(3)A∪(∁U A)=U,A∩(∁U A)=∅(4) ∁U (A∩B)=( ∁U A)∪(∁U B), ∁U (A∪B)=( ∁U A)∩(∁U B)二、函数与导数公式1. 有理数指数幂的运算性质(1)a r a s=a r+s(a>0,r,s∈Q)(2)=a r-s(a>0,r,s∈Q)(3)(a r)s=a rs(a>0,r,s∈Q)(4)(ab)r=a r b r(a>0,b>0,r∈Q)2.对数运算公式(1)对数的运算性质如果a>0,且a≠1,M>0,N>0,那么:log a(M·N)=log a M+log a N;log a=log a M-log a N;log a M n=n log a M(n∈R)(2)对数恒等式a log aN =N(a>0,且a≠1,N>0)(3)对数运算的换底公式log a b=(a>0,且a≠1;c>0,且c≠1;b>0)(4)换底公式的变形log a b·log b a=1,即log a b=lo b n=log a blog N M==(5)换底公式的推广log a b·log b c·log c d=log a d3.求导公式及运算法则(1)基本初等函数的导数公式a.若f(x)=c(c为常数),则f'(x)=0.b.若f(x)=x n(n∈Q*),则f'(x)=nx n-1.c.若f(x)=sin x,则f'(x)=cos x.d.若f(x)=cos x,则f'(x)=-sin x.e.若f(x)=a x,则f'(x)=a x ln a.f.若f(x)=e x,则f'(x)=e x.g.若f(x)=log a x,则f'(x)=.h.若f(x)=ln x,则f'(x)=.(2)导数运算法则a.[f(x)±g(x)]'=f'(x)±g'(x)b.[f(x)·g(x)]'=f'(x)g(x)+f(x)g'(x)c.[]'=(g(x)≠0)(3)复合函数的导数(理)设y=f(u),u=φ(x),则y'x=y'u u'x或记作f '[φ(x)]=f '(u)φ'(x).特别地,[f (ax +b )] '=a f' (ax+b).4.定积分的运算性质(理)(1)b a ⎰kf (x )d x=k b a ⎰f (x )d x (k 为常数)(2) b a ⎰[f (x )±g (x )]d x=b a ⎰f (x )d x±b a ⎰g (x )d x (3)b a ⎰f (x )d x=-a b ⎰f (x )d x(4)c a ⎰f (x )d x=b a ⎰f (x )d x+cb ⎰f (x )d x (a<b<c )三、三角函数1. 同角关系:(1)平方关系:sin 2α+cos 2α=1.(2)商的关系:=tan α(α≠+k π,k ∈Z ). 2. 诱导公式:奇变偶不变,符号看象限。
高中数学必背公式大全(经典版)编制人:__________________审核人:__________________审批人:__________________编制单位:__________________编制时间:____年____月____日序言下载提示:该文档是本店铺精心编制而成的,希望大家下载后,能够帮助大家解决实际问题。
文档下载后可定制修改,请根据实际需要进行调整和使用,谢谢!并且,本店铺为大家提供各种类型的经典范文,如好词好句、文案短句、作文大全、读后感、观后感、诗词歌赋、语文知识、文言知识、名言警句、其他范文等等,想了解不同范文格式和写法,敬请关注!Download tips: This document is carefully compiled by this editor. I hope that after you download it, it can help you solve practical problems. The document can be customized and modified after downloading, please adjust and use it according to actual needs, thank you!Moreover, our store provides various types of classic sample essays, such as good words and sentences, copywriting short sentences, complete essays, reading feedback, observation feedback, poetry, song and fu, Chinese knowledge, classical Chinese knowledge, famous aphorisms, and other sample essays. If you want to learn about different sample essay formats and writing methods, please stay tuned!高中数学必背公式大全2023高中数学必背公式大全很多人想知道在高中数学的学习上有哪些需要背的公式,高考数学中必背的重点公式有哪些呢?下面本店铺为大家带来高中数学必背公式大全,欢迎大家参考阅读,希望能够帮助到大家!高中数学必背公式大全1、一元二次方程的解-b+√(b2-4ac)/2a-b-√(b2-4ac)/2a根与系数的关系X1+X2=-b/aX1_X2=c/a注:韦达定理判别式b2-4a=0注:方程有相等的两实根b2-4ac>0注:方程有两个不相等的个实根b2-4ac 2、立体图形及平面图形的公式圆的标准方程(X-a)2+(y-b)2=r2注:(a,b)是圆心坐标圆的一般方程X2+y2+DX+Ey+F=0注:D2+E2-4F>0抛物线标准方程y2=2pXy2=-2p_2=2pyX2=-2py直棱柱侧面积S=c_h斜棱柱侧面积S=c_h正棱锥侧面积S=1/2c_h正棱台侧面积S=1/2(c+c)h圆台侧面积S=1/2(c+c)l=pi(R+r)l球的表面积S=4pi_r2圆柱侧面积S=c_h=2pi_h圆锥侧面积S=1/2_c_l=pi_r_l弧长公式l=a_ra是圆心角的弧度数r>0扇形面积公式s=1/2_l_r 锥体体积公式V=1/3_S_H圆锥体体积公式V=1/3_pi_r2h斜棱柱体积V=SL注:其中,S是直截面面积,L是侧棱长柱体体积公式V=s_h圆柱体V=pi_r2h3、图形周长、面积、体积公式长方形的周长=(长+宽)X2正方形的周长=边长X4长方形的面积=长X宽正方形的面积=边长X边长三角形的面积已知三角形底a,高h,则S=ah/2已知三角形三边a,b,c,半周长p,则S=√[p(p-a)(p-b)(p-c)](海伦公式)(p=(a+b+c)/(2)和:(a+b+c)_(a+b-c)_1/4已知三角形两边a,b,这两边夹角C,则S=absinC/2设三角形三边分别为a、b、c,内切圆半径为r则三角形面积=(a+b+c)r/2设三角形三边分别为a、b、c,外接圆半径为r则三角形面积=abc/4r高中数学常用公式汇总1、两角和公式sin(A+B)=sinAcosB+cosAsinB sin(A-B)=sinAcosB-sinBcosA cos(A+B)=cosAcosB-sinAsinB cos(A-B)=cosAcosB+sinAsinBtan(A+B)=(tanA+tanB)/(1-tanAtanB)tan(A-B)=(tanA-tanB)/(1+ta nAtanB)cot(A+B)=(cotAcotB-(1)/(cotB+cotA)cot(A-B)=(cotAcotB+(1)/(cotB-cotA)2、倍角公式tan2A=2tanA/(1-tan2A)cot2A=(cot2A-(1)/2cotacos2a=cos2a-sin2a=2cos2a-1=1-2sin2asinα+sin(α+2π/n)+sin(α+2π_2/n)+sin(α+2π_3/n)+……+sin[α+2π_(n-(1)/n]=0cosα+cos(α+2π/n)+cos(α+2π_2/n)+cos(α+2π_3/n)+……+cos[α+2π_(n-(1)/n]=0 以及sin^2(α)+sin^2(α-2π/(3)+sin^2(α+2π/(3)=3/2tanAtanBtan(A+B)+tanA+tanB-tan(A+B)=03、半角公式sin(A/(2)=√((1-cosA)/(2)sin(A/(2)=-√((1-cosA)/(2)cos(A/(2)=√((1+cosA)/(2)cos(A/(2)=-√((1+cosA)/(2)tan(A/(2)=√((1-cosA)/((1+cosA))tan(A/(2)=-√((1-cosA)/((1+cosA))cot(A/(2)=√((1+cosA)/((1-cosA))cot(A/(2)=-√((1+cosA)/((1-cosA))4、和差化积2sinAcosB=sin(A+B)+sin(A-B)2cosAsinB=sin(A+B)-sin(A-B) 2cosAcosB=cos(A+B)-sin(A-B)-2sinAsinB=cos(A+B)-cos(A-B) sinA+sinB=2sin((A+B)/(2)cos((A-B)/2 cosA+cosB=2cos((A+B)/(2)sin((A-B)/(2)tanA+tanB=sin(A+B)/cosAcosB tanA-tanB=sin(A-B)/cosAcosB cotA+cotBsin(A+B)/sinAsinB -cotA+cotBsin(A+B)/sinAsinB5、某些数列前n项和1+2+3+4+5+6+7+8+9+…+n=n(n+(1)/2 1+3+5+7+9+11+13+15+…+(2n-(1)=n22+4+6+8+10+12+14+…+(2n)=n(n+(1)1^2+2^2+3^2+4^2+5^2+6^2+7^2+8^2+…+n^2=n(n+(1)(2n+(1)/6 1^3+2^3+3^3+4^3+5^3+6^3+…n^3=(n(n+(1)/(2)^2 1_2+2_3+3_4+4_5+5_6+6_7+…+n(n+(1)=n(n+(1)(n+(2)/36、正弦定理 a/sinA=b/sinB=c/sinC=2R 注:其中 R 表示三角形的外接圆半径7、余弦定理 b2=a2+c2-2accosB 注:角B是边a和边c的夹角8、乘法与因式分 a2-b2=(a+b)(a-b)a3+b3=(a+b)(a2-ab+b(2)a3-b3=(a-b(a2+ab+b(2)9、三角不等式 |a+b|≤|a|+|b| |a-b|≤|a|+|b| |a|≤b-b≤a ≤b10、|a-b|≥|a|-|b| -|a|≤a≤|a|高中数学所有公式大全一元二次方程的解 -b+√(b2-4ac)/2a -b-√(b2-4ac)/2a根与系数的关系 X1+X2=-b/a X1_X2=c/a 注:韦达定理判别式 b2-4a=0 注:方程有相等的两实根b2-4ac>0 注:方程有两个不相等的个实根b2-4ac0抛物线标准方程 y2=2pX y2=-2pX X2=2py X2=-2py直棱柱侧面积 S=c_h 斜棱柱侧面积 S=c_h正棱锥侧面积 S=1/2c_h 正棱台侧面积 S=1/2(c+c)h圆台侧面积 S=1/2(c+c)l=pi(R+r)l 球的表面积 S=4pi_r2圆柱侧面积 S=c_h=2pi_h 圆锥侧面积 S=1/2_c_l=pi_r_l弧长公式 l=a_r a是圆心角的弧度数r >0 扇形面积公式s=1/2_l_r锥体体积公式 V=1/3_S_H 圆锥体体积公式 V=1/3_pi_r2h斜棱柱体积 V=SL 注:其中,S是直截面面积, L是侧棱长柱体体积公式 V=s_h 圆柱体 V=pi_r2h数学基础不好怎么办1.先把你以前学过的却不懂的知识再复习,直到弄懂为止.2.上学前一天把地二天要学的内容看一次,不用弄懂,只要过目一次就可以了.3.上课时精神一定要非常集中.这个很重要,因为往往老师说的一句话会在考试的题目中出现.4.打了下课铃后不要急着冲出教室,要把上可是老师讲过的内容在脑海里过一次.因为科学家发现了一个规律:当你记了一样事情,很容易在很短的时间内忘记,所以这样对你回很有帮助.5.做功课要很认真.不能一边看电视或干其他事而一边做功课.6.除了完成老师不止的功课以外,最好自己买一些课外书多做练习.(光光学书里的知识是不够的,通常考试时不只靠书里的内容) 学好数学的诀窍对于中档题,尤其要讲究做题效益,做完题之后,需要进行一定的“反思”,思考一下本题所用的基础知识或数学思考方法是什么等。
高中必背的数学公式(完整归纳)高中必背的数学公式(一)两角和公式1、sin(A+B)=sinAcosB+cosAsinB sin(A-B)=sinAcosB-sinBcosA2、cos(A+B)=cosAcosB-sinAsinB cos(A-B)=cosAcosB+sinAsinB3、tan(A+B)=(tanA+tanB)/(1-tanAtanB)tan(A-B)=(tanA-tanB)/(1+tanAtanB)4、ctg(A+B)=(ctgActgB-1)/(ctgB+ctgA)ctg(A-B)=(ctgActgB+1)/(ctgB-ctgA)(二)倍角公式1、cos2A=cos2A-sin2A=2cos2A-1=1-2sin2A2、tan2A=2tanA/(1-tan2A)ctg2A=(ctg2A-1)/2ctgA(三)半角公式1、sin(A/2)=√((1-cosA)/2)sin(A/2)=-√((1-cosA)/2)2、cos(A/2)=√((1+cosA)/2)cos(A/2)=-√((1+cosA)/2)3、tan(A/2)=√((1-cosA)/((1+cosA))tan(A/2)=-√((1-cosA)/((1+cosA))4、ctg(A/2)=√((1+cosA)/((1-cosA))ctg(A/2)=-√((1+cosA)/((1-cosA))(四)和差化积公式1、2sinAcosB=sin(A+B)+sin(A-B) 2cosAsinB=sin(A+B)-sin(A-B)2、2cosAcosB=cos(A+B)-sin(A-B) -2sinAsinB=cos(A+B)-cos(A-B)3、sinA+sinB=2sin((A+B)/2)cos((A-B)/2cosA+cosB=2cos((A+B)/2)sin((A-B)/2)4、tanA+tanB=sin(A+B)/cosAcosB tanA-tanB=sin(A-B)/cosAcosB5、ctgA+ctgBsin(A+B)/sinAsinB -ctgA+ctgBsin(A+B)/sinAsinB(五)几何体表面积和体积公式1、圆柱体:表面积:2πRr+2πRh体积:πR2h(R为圆柱体上下底圆半径,h为圆柱体高)2、圆锥体:表面积:πR2+πR[(h2+R2)的平方根]体积:πR2h/3(r为圆锥体低圆半径,h为其高)3、正方体:表面积:S=6a2,体积:V=a3(a-边长)4、长方体:表面积:S=2(ab+ac+bc)体积:V=abc(a-长,b-宽,c-高)5、棱柱:体积:V=Sh(S-底面积,h-高)6、棱锥:体积:V=Sh/3(S-底面积,h-高)7、棱台:V=h[S1+S2+(S1S2)^1/2]/3(S1上底面积,S2下底面积,h-高)8、拟柱体:V=h(S1+S2+4S0)/6(S1-上底面积,S2-下底面积,S0-中截面积,h-高)9、圆柱:S底=πr2,S侧=Ch,S表=Ch+2S底,V=S底h=πr2h(r-底半径,h-高,C—底面周长,S底—底面积,S侧—侧面积,S表—表面积)10、空心圆柱:V=πh(R^2-r^2)(R-外圆半径,r-内圆半径,h-高)11、直圆锥:V=πr^2h/3(r-底半径,h-高)12、圆台:V=πh(R2+Rr+r2)/3(r-上底半径,R-下底半径,h-高)13、球:V=4/3πr^3=πd^3/6(r-半径,d-直径)14、球缺:V=πh(3a2+h2)/6=πh2(3r-h)/3(h-球缺高,r-球半径,a-球缺底半径)15、球台:V=πh[3(r12+r22)+h2]/6(r1球台上底半径,r2-球台下底半径,h-高)16、圆环体:V=2π2Rr2=π2Dd2/4(R-环体半径,D-环体直径,r-环体截面半径,d-环体截面直径)(六)椭圆公式1、椭圆周长公式:l=2πb+4(a-b)2、椭圆周长定理:椭圆的周长等于该椭圆短半轴,长为半径的圆周长(2πb)加上四倍的该椭圆长半轴长(a)与短半轴长(b)的差3、椭圆面积公式:s=πab4、椭圆面积定理:椭圆的面积等于圆周率(π)乘该椭圆长半轴长(a)与短半轴长(b)的乘积如何提高高中数学成绩1、记数学笔记,特别是对概念理解的不同侧面和数学规律,教师在课堂中拓展的课外知识。
一、函数1、函数的单调性:(1)设2121],,[x x b a x x <∈、那么],[)(0)()(21b a x f x f x f 在⇔<−上是增函数; ],[)(0)()(21b a x f x f x f 在⇔>−上是减函数. 也可以这样定义:设[]2121,,x x b a x x ≠∈⋅那么[]1212()()()0x x f x f x −−>⇔[]b a x f x x x f x f ,)(0)()(2121在⇔>−−上是增函数; []1212()()()0x x f x f x −−<⇔[]b a x f x x x f x f ,)(0)()(2121在⇔<−−上是减函数. (2)复合函数单调性:同增异减 2、函数的奇偶性首先判断函数定义域是否关于原点对称,若不对称则为非奇非偶函数;若对称则继续往下判断: 对于定义域内任意的x ,都有)()(x f x f =−,则)(x f 是偶函数; 对于定义域内任意的x ,都有)()(x f x f −=−,则)(x f 是奇函数。
奇函数的图象关于原点对称,偶函数的图象关于y 轴对称。
3、复合函数定义域求法规则:(1)定义域指的是单个x 的取值范围 (2) 同类型的函数括号内的范围相同 4、二次函数)0(2≠++=a c bx ax y 的性质(1)顶点坐标公式:⎪⎪⎭⎫ ⎝⎛−−ab ac a b 44,22, 对称轴:a b x 2−=,最大(小)值:a b ac 442− (2).二次函数的解析式的三种形式(1)一般式2()(0)f x ax bx c a =++≠; (2)顶点式 2()()(0)f x a x h k a =−+≠ ; (3)两根式12()()()(0)f x a x x x x a =−−≠. 5、指数与指数函数 幂的运算法则:(1)a m • a n = a m + n ,(2)nm n m aa a −=÷,(3)( a m ) n = a m n (4)( ab ) n = a n • b n(5) n n nb a b a =⎪⎭⎫ ⎝⎛(6)a 0 = 1 ( a ≠0)(7)n n a a 1=− (8)m n m na a =(9)m n m naa 1=−根式的性质(1)()nna a =.(2)当n 为奇数时,nna a =; 当n 为偶数时,,0||,0nna a a a a a ≥⎧==⎨−<⎩.指数函数y = a x (a > 0且a ≠1)的性质:(1)定义域:R ; 值域:( 0 , +∞) (2)图象过定点(0,1)6、指数式与对数式的互化: log b a N b a N =⇔=(0,1,0)a a N >≠>.7、对数与对数函数 对数的运算法则:(1)a b = N <=> b = log a N (2)log a 1 = 0(3)log a a = 1(4)log a a b = b (5)a log a N= N (6)log a (MN) = log a M + log a N (7)log a (NM) = log a M -- log a N (8)log a N b = b log a N (9)换底公式:log a N = aNb b log log(10)推论 log log m n a a nb b m=(0a >,且1a >,,0m n >,且1m ≠,1n ≠, 0N >). (11)log a N =aN log 1(12)常用对数:lg N = log 10 N (13)自然对数:ln A = log e A (其中 e = 2.71828…)对数函数y = log a x (a > 0且a ≠1)的性质:(1)定义域:( 0 , +∞) ; 值域:R (2)图象过定点(1,0)8、幂函数y = x a 的图象:根据 a 的取值画出函数在第一象限的简图 .例如: y = x 2 21x x y ==11−==x xy 9、图象平移:若将函数)(x f y =的图象右移a 、上移b 个单位, 得到函数b a x f y +−=)(的图象; 规律:左加右减,上加下减10、函数的零点:(1)定义:对于()y f x =,把使()0f x =的X 叫()y f x =的零点。
高中必背88个数学公式数学是一门需要记忆的学科,公式则是数学的重要部分。
在高中数学中,我们需要掌握的公式非常多。
下面就是必背的88个数学公式,大家可以结合具体情况进行记忆。
1. 两点距离公式:$d=\sqrt{(x_2-x_1)^2+(y_2-y_1)^2}$2. 长方形周长公式:$C=2(a+b)$,面积公式:$S=ab$3. 正方形周长公式:$C=4a$,面积公式:$S=a^2$4. 平行四边形周长公式:$C=2(a+b)$,面积公式:$S=bh$5. 菱形周长公式:$C=4a$,面积公式:$S=\frac{1}{2}d_1d_2$6. 梯形周长公式:$C=a+b+c+d$,面积公式:$S=\frac{1}{2}(a+b)h$7. 圆心角公式:$l=R\theta$8. 弧长公式:$l=R\theta$9. 扇形面积公式:$S=\frac{1}{2}R^2\theta$10. 圆周率的记法:$\pi=\frac{C}{d}$11. 直角三角形勾股定理:$a^2+b^2=c^2$12. 三角形内角和公式:$180^{\circ}$13. 正弦定理:$\frac{a}{\sin A}=\frac{b}{\sin B}=\frac{c}{\sin C}=2R$14. 余弦定理:$c^2=a^2+b^2-2ab\cos C$15. 正切定理:$\frac{a-b}{a+b}=\tan\frac{A-B}{2}\cdot\tan\frac{A+B}{2}$16. 三角函数和差公式:$\sin(x\pm y)=\sin x\cos y\pm\cos x\sin y$17. 三角函数积化和公式:$\sin x\cos y=\frac{1}{2}[\sin(x+y)+\sin(x-y)]$18. 三角函数积化差公式:$\cos x\cos y=\frac{1}{2}[\cos(x+y)+\cos(x-y)]$19. 三角函数半角公式:$\cos\frac{x}{2}=\pm\sqrt{\frac{1+\cosx}{2}},\sin\frac{x}{2}=\pm\sqrt{\frac{1-\cos x}{2}}$20. 一次函数解析式:$y=kx+b$21. 二次函数解析式:$y=ax^2+bx+c$22. 一次函数的斜率:$k=\frac{\Delta y}{\Delta x}=\frac{y_2-y_1}{x_2-x_1}$23. 一次函数的截距:$b=y-kx$24. 常数函数:$f(x)=c$25. 幂函数:$f(x)=x^a(a\in R,a\neq0)$26. 指数函数:$f(x)=a^x(a>0,a\neq1)$27. 对数函数:$\log_a x=y\Leftrightarrow a^y=x(a>0,a\neq1)$28. 指数函数的底数为e的情况:$f(x)=e^x$29. 对数函数的底数为e的情况:$f(x)=\ln x$30. 指数函数的性质:$a^x\cdot a^y=a^{x+y},(a^x)^y=a^{xy}$31. 指数函数的导数:$(a^x)'=a^x\ln a$32. 对数函数的性质:$\log_a(xy)=\log_ax+\log_ay,\log_a\frac{x}{y}=\log_ax-\log_ay,\log_aa^x=x$33. 对数函数的导数:$(\log_ax)'=\frac{1}{x\ln a}$34. 牛顿-莱布尼茨公式:$\int_a^bf(x)dx=F(b)-F(a)$35. 实数幂次根的存在性定理:$a>0,n\in N^*$,则存在唯一的$b>0$,使得$b^n=a$。
高中数学常用公式及常用结论1. 元素与集合的关系U x A x C A ,U x C A xA .2.德摩根公式();()U U U U U U C AB C AC B C AB C A C B . 3.包含关系A B AA B BU U A B C BC AU AC BU C ABR4.容斥原理()()card A B cardA cardB card A B ()()card AB C cardA cardB cardC card AB ()()()()card AB card BC card C A card AB C .5.集合12{,,,}n a a a 的子集个数共有2n个;真子集有2n–1个;非空子集有2n–1个;非空的真子集有2n–2个.6.二次函数的解析式的三种形式(1)一般式2()(0)f x ax bx c a ;(2)顶点式2()()(0)f x a x h k a ; (3)零点式12()()()(0)f x a x x x x a. 7.解连不等式()Nf x M 常有以下转化形式()Nf x M[()][()]0f x M f x N |()|22M NM N f x ()0()f x N Mf x 11()f x N M N.8.方程0)(x f 在),(21k k 上有且只有一个实根,与0)()(21k f k f 不等价,前者是后者的一个必要而不是充分条件.特别地, 方程)0(02a c bx ax 有且只有一个实根在),(21k k 内,等价于0)()(21k f k f ,或0)(1k f 且22211k k ab k ,或0)(2k f 且22122k a b k k .9.闭区间上的二次函数的最值二次函数)0()(2a c bxaxx f 在闭区间q p,上的最值只能在ab x2处及区间的两端点处取得,具体如下:(1)当a>0时,若q p ab x,2,则minmaxmax()(),()(),()2b f x f f x f p f q a;q p ab x,2,maxmax()(),()f x f p f q ,minmin()(),()f x f p f q .(2)当a<0时,若q p abx ,2,则min()min (),()f x f p f q ,若q p ab x,2,则max()max (),()f x f p f q ,min()min (),()f x f p f q .10.一元二次方程的实根分布依据:若()()0f m f n ,则方程0)(x f 在区间(,)m n 内至少有一个实根 .设q px x x f 2)(,则(1)方程0)(x f 在区间),(m 内有根的充要条件为0)(m f 或2402pq p m;(2)方程0)(x f 在区间(,)m n 内有根的充要条件为()()0f m f n 或2()0()0402f m f n pq p mn或()0()f m af n 或()0()f n af m ;(3)方程0)(x f 在区间(,)n 内有根的充要条件为()0f m 或2402pq p m.11.定区间上含参数的二次不等式恒成立的条件依据(1)在给定区间),(的子区间L (形如,,,,,不同)上含参数的二次不等式(,)0f x t (t 为参数)恒成立的充要条件是min(,)0()f x t xL . (2)在给定区间),(的子区间上含参数的二次不等式(,)0f x t (t 为参数)恒成立的充要条件是(,)0()manf x t x L .(3)0)(24cbxaxx f 恒成立的充要条件是000ab c或2040a bac.12.真值表pq非pp或qp且q真真假真真真假假真假假真真真假假假真假假13.常见结论的否定形式原结论反设词原结论反设词是不是至少有一个一个也没有都是不都是至多有一个至少有两个大于不大于至少有n 个至多有(1n )个小于不小于至多有n 个至少有(1n )个对所有x ,成立存在某x ,不成立p 或q p 且q 对任何x ,不成立存在某x ,成立p 且qp 或q14.四种命题的相互关系原命题互逆逆命题若p则q若q则p互互互为为互否否逆逆否否否命题逆否命题若非p则非q互逆若非q则非p15.充要条件(1)充分条件:若p q ,则p 是q 充分条件. (2)必要条件:若q p ,则p 是q 必要条件. (3)充要条件:若pq ,且qp ,则p 是q 充要条件.注:如果甲是乙的充分条件,则乙是甲的必要条件;反之亦然.16.函数的单调性(1)设2121,,x x b a x x 那么1212()()()0x x f x f x b a x f x x x f x f ,)(0)()(2121在上是增函数;1212()()()x x f x f x b a x f x x x f x f ,)(0)()(2121在上是减函数.(2)设函数)(x f y在某个区间内可导,如果0)(x f ,则)(x f 为增函数;如果0)(x f ,则)(x f 为减函数.17.如果函数)(x f 和)(x g 都是减函数,则在公共定义域内,和函数)()(x g x f 也是减函数; 如果函数)(u f y 和)(x g u在其对应的定义域上都是减函数,则复合函数)]([x g f y是增函数.18.奇偶函数的图象特征奇函数的图象关于原点对称,偶函数的图象关于y 轴对称;反过来,如果一个函数的图象关于原点对称,那么这个函数是奇函数;如果一个函数的图象关于y 轴对称,那么这个函数是偶函数.19.若函数)(x f y 是偶函数,则)()(a x f a x f ;若函数)(a x f y 是偶函数,则)()(a xf a xf .20.对于函数)(x f y(R x ),)()(x bf a xf 恒成立,则函数)(x f 的对称轴是函数2ba x;两个函数)(a xf y与)(x bf y 的图象关于直线2ba x对称.21.若)()(a xf x f ,则函数)(x f y的图象关于点)0,2(a对称; 若)()(a xf x f ,则函数)(x f y为周期为a 2的周期函数.22.多项式函数110()nn n n P x a xa x a 的奇偶性多项式函数()P x 是奇函数()P x 的偶次项(即奇数项)的系数全为零.多项式函数()P x 是偶函数()P x 的奇次项(即偶数项)的系数全为零. 23.函数()y f x 的图象的对称性(1)函数()yf x 的图象关于直线x a 对称()()f a x f a x (2)()f ax f x .(2)函数()yf x 的图象关于直线2a bx 对称()()f a mx f b mx ()()f abmx f mx .24.两个函数图象的对称性(1)函数()y f x 与函数()y f x 的图象关于直线0x (即y 轴)对称.(2)函数()y f mxa 与函数()yf b mx 的图象关于直线2ab xm对称.(3)函数)(x f y和)(1x fy 的图象关于直线y=x 对称.25.若将函数)(x f y 的图象右移a 、上移b 个单位,得到函数b a x f y )(的图象;若将曲线0),(y x f 的图象右移a 、上移b 个单位,得到曲线0),(b y a x f 的图象.26.互为反函数的两个函数的关系a b f b a f )()(1. 27.若函数)(b kxf y存在反函数,则其反函数为])([11b x fky ,并不是)([1b kxfy,而函数)([1b kx fy 是])([1b x f ky的反函数.28.几个常见的函数方程(1)正比例函数()f x cx ,()()(),(1)f xy f x f y f c . (2)指数函数()xf x a ,()()(),(1)0f x y f x f y f a . (3)对数函数()log a f x x ,()()(),()1(0,1)f xy f x f y f a aa.(4)幂函数()f x x ,'()()(),(1)f xy f x f y f .(5)余弦函数()cos f x x ,正弦函数()sin g x x ,()()()()()f x y f x f y g x g y ,()(0)1,lim1xg x f x.29.几个函数方程的周期(约定a>0)(1))()(a x f x f ,则)(x f 的周期T=a ;(2)0)()(a x f x f ,或)0)(()(1)(x f x f a x f ,或1()()f x a f x (()0)f x ,或21()()(),(()0,1)2f x f x f x a f x ,则)(x f 的周期T=2a ;(3))0)(()(11)(x f a x f x f ,则)(x f 的周期T=3a ;(4))()(1)()()(212121x f x f x f x f x x f 且1212()1(()()1,0||2)f a f x f x x x a ,则)(x f 的周期T=4a ;(5)()()(2)(3)(4)f x f x a f x a f x a f x a ()()(2)(3)(4)f x f x a f x a f x a f x a ,则)(x f 的周期T=5a ;(6))()()(a x f x f a x f ,则)(x f 的周期T=6a.30.分数指数幂(1)1mnn ma a(0,,a m n N ,且1n ). (2)1m nm n aa(0,,am nN ,且1n ).31.根式的性质(1)()nna a .(2)当n 为奇数时,nnaa ;当n 为偶数时,,0||,0nna a aa a a.32.有理指数幂的运算性质(1) (0,,)r s r s a a a a r s Q . (2) ()(0,,)r s rsa a ar s Q . (3)()(0,0,)rr rab a b a brQ .注:若a >0,p 是一个无理数,则a p表示一个确定的实数.上述有理指数幂的运算性质,对于无理数指数幂都适用.33.指数式与对数式的互化式log ba NbaN (0,1,0)aa N .34.对数的换底公式log log log m a m N Na(0a ,且1a ,0m ,且1m ,0N).推论log log mna a nb b m(0a ,且1a ,,0m n,且1m,1n ,0N).35.对数的四则运算法则若a >0,a ≠1,M >0,N >0,则(1)log ()log log a a a MN M N ; (2) log log log aa a MMN N ; (3)log log ()na a Mn M nR .36.设函数)0)((log )(2a c bxaxx f m ,记ac b42.若)(x f 的定义域为R,则0a,且0;若)(x f 的值域为R ,则0a ,且0.对于0a的情形,需要单独检验.37.对数换底不等式及其推广若0a,0b,0x ,1xa ,则函数log ()ax ybx (1)当a b 时,在1(0,)a 和1(,)a上log ()ax ybx 为增函数. ,(2)当ab 时,在1(0,)a 和1(,)a 上log ()ax ybx 为减函数.推论:设1n m ,0p,0a,且1a ,则(1)log ()log m p m n p n . (2)2log log log 2a a am n m n.38.平均增长率的问题如果原来产值的基础数为N ,平均增长率为p ,则对于时间x 的总产值y ,有(1)xy N p .39.数列的同项公式与前n 项的和的关系11,1,2nnn s n a s s n( 数列{}n a 的前n 项的和为12nn s a a a ).40.等差数列的通项公式*11(1)()na a n ddna d nN ;其前n 项和公式为1()2n nn a a s 1(1)2n n na d211()22d n a d n. 41.等比数列的通项公式1*11()n nna a a qq nN q;其前n 项的和公式为11(1),11,1nna q qs q na q或11,11,1n na a qq q s na q . 42.等比差数列n a :11,(0)nna qa d ab q的通项公式为1(1),1(),11nn nb n d q a bqdb q dq q ;其前n 项和公式为(1),(1)1(),(1)111nnnb n n d q s d qd bn qqq q.43.分期付款(按揭贷款) 每次还款(1)(1)1nnab b xb 元(贷款a 元,n 次还清,每期利率为b ).44.常见三角不等式(1)若(0,)2x,则sin tan xx x .(2) 若(0,)2x ,则1sin cos 2xx.(3) |sin ||cos |1x x .45.同角三角函数的基本关系式22sincos1,tan =cossin ,tan 1cot .46.正弦、余弦的诱导公式212(1)sin ,sin()2(1)s ,n n n co 212(1)s ,s()2(1)sin ,nn co n co 47.和角与差角公式sin()sincoscos sin; cos()cos cos sin sin;tan tan tan()1tantan .22sin()sin()sinsin(平方正弦公式); 22cos()cos()cossin.sin cos a b =22sin()a b (辅助角所在象限由点(,)a b 的象限决定,tanba).48.二倍角公式sin22sin cos .2222cos2cossin2cos112sin.22tan tan21tan.49. 三倍角公式3sin 33sin 4sin4sin sin()sin()33. 3cos34cos 3cos 4coscos()cos()33.323tantantan3tan tan()tan()13tan33.50.三角函数的周期公式函数sin()y x,x ∈R 及函数cos()y x,x ∈R(A,ω,为常数,且A ≠0,ω>0)的周期2T ;函数tan()y x ,,2x kk Z (A,ω,为常数,且A ≠0,ω>0)的周期T. 51.正弦定理2sin sin sin a b c R A BC.52.余弦定理2222cos abcbc A ; 2222cos b c a ca B ;2222cos c abab C .(n 为偶数) (n 为奇数) (n 为偶数)(n 为奇数)53.面积定理(1)111222abc S ah bh ch (a b c h h h 、、分别表示a 、b 、c 边上的高).(2)111sin sin sin 222S ab C bc Aca B .(3)221(||||)()2OABS OA OB OA OB .54.三角形内角和定理在△ABC 中,有()A B CC A B 222C A B222()C AB .55.简单的三角方程的通解sin (1)arcsin (,||1)k x a x k a k Z a . s 2arccos (,||1)co x a x ka k Z a .tan arctan (,)x a x k a kZ aR .特别地,有sin sin (1)()kk k Z . s cos 2()co k k Z . tan tan ()k kZ . 56.最简单的三角不等式及其解集sin (||1)(2arcsin ,2arcsin ),xa a xka ka kZ .sin (||1)(2arcsin ,2arcsin ),x a a x k a k a k Z . cos (||1)(2arccos ,2arccos ),x a a x k a k a k Z . cos (||1)(2arccos ,22arccos ),x a a x k a k a k Z .tan ()(arctan ,),2x a a R x k a k kZ . tan ()(,arctan ),2xa aR xkka kZ .57.实数与向量的积的运算律设λ、μ为实数,那么(1) 结合律:λ(μa)=(λμ)a; (2)第一分配律:(λ+μ)a=λa+μa;(3)第二分配律:λ(a+b)=λa+λb. 58.向量的数量积的运算律:(1) a ·b= b ·a (交换律); (2)(a )·b= (a ·b )=a ·b= a ·(b ); (3)(a +b )·c= a ·c +b ·c.59.平面向量基本定理如果e 1、e 2是同一平面内的两个不共线向量,那么对于这一平面内的任一向量,有且只有一对实数λ1、λ2,使得a=λ1e 1+λ2e 2.不共线的向量e 1、e 2叫做表示这一平面内所有向量的一组基底.60.向量平行的坐标表示设a=11(,)x y ,b=22(,)x y ,且b 0,则a b(b 0)12210x y x y .53. a 与b 的数量积(或内积)a ·b=|a ||b|cos θ.61. a ·b 的几何意义数量积a ·b 等于a 的长度|a|与b 在a 的方向上的投影|b|cos θ的乘积.62.平面向量的坐标运算(1)设a=11(,)x y ,b=22(,)x y ,则a+b=1212(,)x x y y . (2)设a=11(,)x y ,b=22(,)x y ,则a-b=1212(,)x x y y .(3)设A 11(,)x y ,B 22(,)x y ,则2121(,)ABOB OA x x y y .(4)设a=(,),x y R ,则a=(,)x y . (5)设a=11(,)x y ,b=22(,)x y ,则a ·b=1212()x x y y .63.两向量的夹角公式121222221122cos x x y y x y x y (a =11(,)x y ,b=22(,)x y ). 64.平面两点间的距离公式,A B d =||AB AB AB 222121()()x x y y (A 11(,)x y ,B 22(,)x y ).65.向量的平行与垂直设a=11(,)x y ,b=22(,)x y ,且b 0,则A ||b b=λa 12210x y x y . ab(a0)a ·b=012120x x y y .66.线段的定比分公式设111(,)P x y ,222(,)P x y ,(,)P x y 是线段12P P 的分点,是实数,且12PP PP ,则121211x x x y y y121OP OP OP12(1)OPtOP t OP (11t).67.三角形的重心坐标公式△ABC 三个顶点的坐标分别为11A(x ,y )、22B(x ,y )、33C(x ,y ),则△ABC 的重心的坐标是123123(,)33x x x y y y G .68.点的平移公式''''xx h x xh y y kyyk''OPOPPP .注:图形F 上的任意一点P(x ,y)在平移后图形'F 上的对应点为'''(,)P x y ,且'PP 的坐标为(,)h k .69.“按向量平移”的几个结论(1)点(,)P x y 按向量a=(,)h k 平移后得到点'(,)P x h y k .(2) 函数()yf x 的图象C 按向量a=(,)h k 平移后得到图象'C ,则'C 的函数解析式为()yf x h k .(3) 图象'C 按向量a=(,)h k 平移后得到图象C ,若C 的解析式()y f x ,则'C 的函数解析式为()y f x h k .(4)曲线C :(,)0f x y 按向量a=(,)h k 平移后得到图象'C ,则'C 的方程为(,)0f xh yk .(5) 向量m =(,)x y 按向量a=(,)h k 平移后得到的向量仍然为m =(,)x y .70.三角形五“心”向量形式的充要条件设O 为ABC 所在平面上一点,角,,A B C 所对边长分别为,,a b c ,则(1)O 为ABC 的外心222OA OB OC . (2)O 为ABC 的重心0OA OBOC.(3)O 为ABC 的垂心OA OB OB OCOC OA . (4)O 为ABC 的内心0aOAbOBcOC.(5)O 为ABC 的A 的旁心aOA bOB cOC . 71.常用不等式:(1),a b R 222a b ab (当且仅当a =b 时取“=”号).(2),a b R 2a bab (当且仅当a =b 时取“=”号).(3)3333(0,0,0).a b c abc a b c (4)柯西不等式22222()()(),,,,.ab cd ac bd a b c dR (5)b a b a b a .72.极值定理已知y x,都是正数,则有(1)若积xy 是定值p ,则当y x 时和y x 有最小值p 2;(2)若和y x 是定值s ,则当y x时积xy 有最大值241s .推广已知R yx,,则有xyy xy x2)()(22(1)若积xy 是定值,则当||y x 最大时,||y x 最大;当||y x 最小时,||y x 最小. (2)若和||y x 是定值,则当||y x 最大时, ||xy 最小;当||y x最小时, ||xy 最大.73.一元二次不等式20(0)ax bxc或2(0,40)abac,如果a 与2axbx c 同号,则其解集在两根之外;如果a 与2ax bx c 异号,则其解集在两根之间.简言之:同号两根之外,异号两根之间.121212()()0()x xx x x x x x x ;121212,()()0()xx x x xx xx x x 或.74.含有绝对值的不等式当a> 0时,有22xaxaa x a .22x a x axa 或x a .75.无理不等式(1)()0()()()0()()f x f xg x g x f x g x .(2)2()0()0()()()0()0()[()]f x f x f xg x g x g x f x g x 或.(3)2()0()()()0()[()]f x f xg x g x f x g x .76.指数不等式与对数不等式(1)当1a 时,()()()()f x g x aaf xg x ;()0log ()log ()()0()()a a f x f x g x g x f x g x .(2)当01a 时,()()()()f x g x aaf xg x ;()0log ()log ()()0()()a a f x f x g x g x f x g x 77.斜率公式2121y y kx x (111(,)P x y 、222(,)P x y ).78.直线的五种方程(1)点斜式11()y y k x x (直线l 过点111(,)P x y ,且斜率为k ).(2)斜截式y kx b (b 为直线l 在y 轴上的截距).(3)两点式112121y y x x y y x x (12y y )(111(,)P x y 、222(,)P x y (12x x )).(4)截距式1xya b (a b 、分别为直线的横、纵截距,0a b 、)(5)一般式0Ax ByC (其中A 、B 不同时为0). 79.两条直线的平行和垂直(1)若111:l y k x b ,222:l y k x b ①121212||,l l k k b b ;②12121l l k k . (2)若1111:0l A x B y C ,2222:0l A x B y C ,且A 1、A 2、B 1、B 2都不为零,①11112222||A B C l l A B C ;②1212120l l A A B B ;80.夹角公式(1)2121tan ||1k k k k .(111:l y k x b ,222:l yk x b ,121k k )(2)12211212tan ||A B A B A A B B .(1111:0l A x B y C ,2222:0l A xB yC ,12120A A B B ).直线12l l 时,直线l 1与l 2的夹角是2.81. 1l 到2l 的角公式(1)2121tan 1k k k k .(111:l y k xb ,222:l yk x b ,121k k )(2)12211212tan A B A B A A B B .(1111:0l A x B yC ,2222:0l A xB yC ,12120A A B B ).直线12l l 时,直线l 1到l 2的角是2.82.四种常用直线系方程(1)定点直线系方程:经过定点000(,)P x y 的直线系方程为00()y y k x x (除直线0x x ),其中k 是待定的系数; 经过定点000(,)P x y 的直线系方程为00()()0A x x B y y ,其中,A B 是待定的系数.(2)共点直线系方程:经过两直线1111:0l A x B yC ,2222:0l A xB yC 的交点的直线系方程为111222()()0A xB yC A xB yC (除2l ),其中λ是待定的系数.(3)平行直线系方程:直线y kx b 中当斜率k 一定而b 变动时,表示平行直线系方程.与直线0Ax By C 平行的直线系方程是0Ax By (0),λ是参变量.(4)垂直直线系方程:与直线0Ax By C (A ≠0,B ≠0)垂直的直线系方程是0BxAy,λ是参变量.83.点到直线的距离22||Ax By C dAB(点00(,)P x y ,直线l :0AxBy C).84. 0AxBy C 或0所表示的平面区域设直线:0l Ax ByC,则0AxByC或0所表示的平面区域是:若0B ,当B 与Ax By C 同号时,表示直线l 的上方的区域;当B 与AxBy C 异号时,表示直线l 的下方的区域.简言之,同号在上,异号在下.若0B ,当A 与Ax By C 同号时,表示直线l 的右方的区域;当A 与Ax ByC 异号时,表示直线l 的左方的区域. 简言之,同号在右,异号在左.85. 111222()()0A x B y C A x B y C 或0所表示的平面区域设曲线111222:()()0C A xB yC A x B y C (12120A A B B ),则111222()()0A x B y C A x B y C 或0所表示的平面区域是:111222()()0A x B y C A x B y C 所表示的平面区域上下两部分;111222()()0A xB yC A xB yC 所表示的平面区域上下两部分.86. 圆的四种方程(1)圆的标准方程222()()x a y b r . (2)圆的一般方程220xyDxEy F(224DEF >0).(3)圆的参数方程cos sinx a r yb r .(4)圆的直径式方程1212()()()()0xx xx yy yy (圆的直径的端点是11(,)A x y 、22(,)B x y ).87. 圆系方程(1)过点11(,)A x y ,22(,)B x y 的圆系方程是1212112112()()()()[()()()()]0x x x x y y y y x x y y y y x x 1212()()()()()0xx xx yy y y axbyc ,其中0ax by c是直线AB 的方程,λ是待定的系数.(2)过直线l :0AxBy C与圆C :220x yDxEy F的交点的圆系方程是22()0xyDx Ey FAx By C ,λ是待定的系数.(3) 过圆1C :221110x yD xE yF 与圆2C :222220x yD xE yF 的交点的圆系方程是2222111222()0xyD xE yF xy D xE yF ,λ是待定的系数.88.点与圆的位置关系点00(,)P x y 与圆222)()(r b ya x 的位置关系有三种若2200()()da xb y ,则d r 点P 在圆外;d r 点P 在圆上;d r 点P 在圆内. 89.直线与圆的位置关系直线0C By Ax 与圆222)()(r b y a x 的位置关系有三种: 0相离r d ;0相切r d ; 0相交rd.其中22BA CBb Aad.90.两圆位置关系的判定方法设两圆圆心分别为O 1,O 2,半径分别为r 1,r 2,dO O 21条公切线外离421r r d ; 条公切线外切321r r d;条公切线相交22121r r d r r ;条公切线内切121r r d ;无公切线内含21r r d.91.圆的切线方程(1)已知圆220x y Dx Ey F .①若已知切点00(,)x y 在圆上,则切线只有一条,其方程是00()()022D x x E y y x xy yF. 当00(,)x y 圆外时, 000()()022D x xE y y x x y yF表示过两个切点的切点弦方程.②过圆外一点的切线方程可设为00()yy k xx ,再利用相切条件求k ,这时必有两条切线,注意不要漏掉平行于y 轴的切线.③斜率为k 的切线方程可设为y kx b ,再利用相切条件求b ,必有两条切线.(2)已知圆222x yr .①过圆上的000(,)P x y 点的切线方程为200x x y yr ;②斜率为k 的圆的切线方程为21y kx r k .92.椭圆22221(0)x y a bab的参数方程是cos sinx a yb .93.椭圆22221(0)x y a bab 焦半径公式)(21ca xe PF ,)(22x c ae PF .94.椭圆的的内外部(1)点00(,)P x y 在椭圆22221(0)x y a b a b 的内部2200221x y a b . (2)点00(,)P x y 在椭圆22221(0)x y abab的外部2200221x yab .95. 椭圆的切线方程(1)椭圆22221(0)x y a b ab 上一点00(,)P x y 处的切线方程是00221x xy y ab.(2)过椭圆22221(0)x y abab外一点00(,)P x y 所引两条切线的切点弦方程是00221x x y y ab. (3)椭圆22221(0)x y a bab 与直线0Ax By C 相切的条件是22222A aB bc .96.双曲线22221(0,0)x y ab ab的焦半径公式21|()|aPF e xc,22|()|aPF e x c .97.双曲线的内外部(1)点00(,)P x y 在双曲线22221(0,0)x y a b a b 的内部2200221x y a b . (2)点00(,)P x y 在双曲线22221(0,0)x y abab的外部2200221x ya b .98.双曲线的方程与渐近线方程的关系(1)若双曲线方程为12222by ax 渐近线方程:22220x y abx ab y. (2)若渐近线方程为xa b yby ax 双曲线可设为2222by ax .(3)若双曲线与12222by ax 有公共渐近线,可设为2222by ax (0,焦点在x 轴上,0,焦点在y 轴上).99. 双曲线的切线方程(1)双曲线22221(0,0)x y a b ab 上一点00(,)P x y 处的切线方程是00221x x y y ab.(2)过双曲线22221(0,0)x y abab外一点00(,)P x y 所引两条切线的切点弦方程是00221x x y y ab.(3)双曲线22221(0,0)x y a bab与直线0AxBy C相切的条件是22222A aB bc .100. 抛物线px y 22的焦半径公式抛物线22(0)ypx p焦半径02p CFx . 过焦点弦长p x x p x p x CD 212122. 101.抛物线px y22上的动点可设为P ),2(2y py或或)2,2(2pt pt P P (,)x y ,其中22ypx .102.二次函数2224()24b ac b yaxbx c a xaa(0)a 的图象是抛物线:(1)顶点坐标为24(,)24b ac b a a;(2)焦点的坐标为241(,)24b ac ba a;(3)准线方程是2414acb ya.103.抛物线的内外部(1)点00(,)P x y 在抛物线22(0)y px p的内部22(0)y px p. 点00(,)P x y 在抛物线22(0)y px p的外部22(0)ypx p . (2)点00(,)P x y 在抛物线22(0)ypx p 的内部22(0)ypx p.点00(,)P x y 在抛物线22(0)y px p的外部22(0)ypx p . (3)点00(,)P x y 在抛物线22(0)xpy p的内部22(0)xpy p.点00(,)P x y 在抛物线22(0)x py p 的外部22(0)x py p .(4) 点00(,)P x y 在抛物线22(0)xpy p 的内部22(0)xpy p . 点00(,)P x y 在抛物线22(0)xpy p 的外部22(0)xpy p. 104. 抛物线的切线方程(1)抛物线px y 22上一点00(,)P x y 处的切线方程是00()y y p xx .(2)过抛物线px y22外一点00(,)P x y 所引两条切线的切点弦方程是00()y yp x x .(3)抛物线22(0)y px p 与直线0Ax By C 相切的条件是22pB AC .105.两个常见的曲线系方程(1)过曲线1(,)0f x y ,2(,)0f x y 的交点的曲线系方程是12(,)(,)0f x y f x y (为参数).(2)共焦点的有心圆锥曲线系方程22221xya kb k ,其中22max{,}ka b .当22min{,}ka b 时,表示椭圆; 当2222min{,}max{,}a b ka b 时,表示双曲线.106.直线与圆锥曲线相交的弦长公式221212()()AB x x y y 或2222211212(1)()||1tan ||1tABk x x x x y y co (弦端点A ),(),,(2211y xB y x ,由方程)y ,x (F b kx y消去y 得到02cbx ax,0,为直线AB 的倾斜角,k 为直线的斜率).107.圆锥曲线的两类对称问题(1)曲线(,)0F x y 关于点00(,)P x y 成中心对称的曲线是00(2-,2)0F x x y y .(2)曲线(,)0F x y 关于直线0Ax By C 成轴对称的曲线是22222()2()(,)0A AxBy C B AxBy C F xyABAB.108.“四线”一方程对于一般的二次曲线220AxBxy Cy Dx Ey F,用0x x 代2x ,用0y y 代2y ,用002x yxy 代xy ,用02x x代x ,用2y y代y 即得方程00000222x yxy x xy yAx xBCy y DEF,曲线的切线,切点弦,中点弦,弦中点方程均是此方程得到.109.证明直线与直线的平行的思考途径(1)转化为判定共面二直线无交点;(2)转化为二直线同与第三条直线平行;(3)转化为线面平行;(4)转化为线面垂直;(5)转化为面面平行.110.证明直线与平面的平行的思考途径(1)转化为直线与平面无公共点;(2)转化为线线平行;(3)转化为面面平行.111.证明平面与平面平行的思考途径(1)转化为判定二平面无公共点;(2)转化为线面平行;(3)转化为线面垂直.112.证明直线与直线的垂直的思考途径(1)转化为相交垂直;(2)转化为线面垂直;(3)转化为线与另一线的射影垂直;(4)转化为线与形成射影的斜线垂直. 113.证明直线与平面垂直的思考途径(1)转化为该直线与平面内任一直线垂直;(2)转化为该直线与平面内相交二直线垂直;(3)转化为该直线与平面的一条垂线平行;(4)转化为该直线垂直于另一个平行平面;(5)转化为该直线与两个垂直平面的交线垂直. 114.证明平面与平面的垂直的思考途径(1)转化为判断二面角是直二面角;(2)转化为线面垂直.115.空间向量的加法与数乘向量运算的运算律(1)加法交换律:a +b=b +a .(2)加法结合律:(a +b)+c=a +(b +c).(3)数乘分配律:λ(a +b)=λa +λb .116.平面向量加法的平行四边形法则向空间的推广始点相同且不在同一个平面内的三个向量之和,等于以这三个向量为棱的平行六面体的以公共始点为始点的对角线所表示的向量.117.共线向量定理对空间任意两个向量a 、b(b ≠0 ),a ∥b 存在实数λ使a=λb .P A B 、、三点共线||AP ABAPt AB(1)OP t OA tOB .||AB CDAB 、CD 共线且AB CD 、不共线ABtCD 且AB CD 、不共线.118.共面向量定理向量p 与两个不共线的向量a 、b 共面的存在实数对,x y ,使paxby .推论空间一点P 位于平面MAB 内的存在有序实数对,x y ,使MPxMAyMB ,或对空间任一定点O ,有序实数对,x y ,使OPOMxMAyMB .119.对空间任一点O 和不共线的三点A 、B 、C ,满足OP xOA yOB zOC (x y z k ),则当1k 时,对于空间任一点O ,总有P 、A 、B 、C 四点共面;当1k 时,若O 平面ABC ,则P 、A 、B 、C 四点共面;若O 平面ABC ,则P 、A 、B 、C 四点不共面.C A B 、、、D 四点共面AD 与AB 、AC 共面ADx AByAC(1)ODxy OAxOByOC (O 平面ABC ).120.空间向量基本定理如果三个向量a 、b 、c 不共面,那么对空间任一向量p ,存在一个唯一的有序实数组x ,y ,z ,使p =xa +yb +zc .推论设O 、A 、B 、C 是不共面的四点,则对空间任一点P ,都存在唯一的三个有序实数x ,y ,z ,使OPxOAyOBzOC .121.射影公式已知向量AB =a 和轴l ,e 是l 上与l 同方向的单位向量.作A 点在l 上的射影'A ,作B 点在l 上的射影'B ,则''||cos A BAB 〈a ,e 〉=a ·e122.向量的直角坐标运算设a =123(,,)a a a ,b =123(,,)b b b 则(1)a +b =112233(,,)a b a b a b ;(2)a -b =112233(,,)a b a b a b ;(3)λa =123(,,)a a a (λ∈R);(4)a ·b =112233a b a b a b ;123.设A 111(,,)x y z ,B 222(,,)x y z ,则ABOBOA = 212121(,,)x x y y z z .124.空间的线线平行或垂直设111(,,)a x y z r ,222(,,)b x y z r,则a br r P (0)ab b r r r r 121212x x y y z z ;abr r 0a br r 1212120x x y y z z .125.夹角公式设a =123(,,)a a a ,b =123(,,)b b b ,则cos 〈a ,b 〉=112233222222123123a b a b a b aaabbb.推论2222222112233123123()()()a b a b a b aaa b bb ,此即三维柯西不等式.126. 四面体的对棱所成的角四面体ABCD 中, AC 与BD 所成的角为,则2222|()()|cos2ABCD BCDA AC BD.127.异面直线所成角cos|cos ,|a b r r =121212222222111222||||||||x x y y z z a b a b xy z x y z r r r r (其中(090oo)为异面直线a b ,所成角,,a b r r分别表示异面直线a b ,的方向向量)128.直线AB 与平面所成角sin||||AB marc AB m (m 为平面的法向量).129.若ABC 所在平面若与过若AB 的平面成的角,另两边AC ,BC 与平面成的角分别是1、2,A B 、为ABC 的两个内角,则2222212sin sin (sin sin )sin A B .特别地,当90ACB时,有22212sinsinsin.130.若ABC 所在平面若与过若AB 的平面成的角,另两边AC ,BC 与平面成的角分别是1、2,''A B 、为ABO 的两个内角,则222'2'212tan tan (sin sin )tanA B .特别地,当90AOB时,有22212sinsinsin .131.二面角l的平面角cos||||m narc m n 或cos||||m narc m n (m ,n 为平面,的法向量).132.三余弦定理设AC 是α内的任一条直线,且BC ⊥AC ,垂足为C ,又设AO 与AB 所成的角为1,AB 与AC所成的角为2,AO 与AC 所成的角为.则12cos cos cos . 133. 三射线定理若夹在平面角为的二面角间的线段与二面角的两个半平面所成的角是1,2,与二面角的棱所成的角是θ,则有22221212sinsinsinsin2sinsincos;1212||180()(当且仅当90时等号成立).134.空间两点间的距离公式若A 111(,,)x y z ,B 222(,,)x y z ,则,A B d =||AB AB AB222212121()()()x x y y z z .135.点Q 到直线l 距离221(||||)()||h a b a b a (点P 在直线l 上,直线l 的方向向量a=PA ,向量b=PQ ).136.异面直线间的距离||||CD n dn (12,l l 是两异面直线,其公垂向量为n ,C D 、分别是12,l l 上任一点,d 为12,l l 间的距离).137.点B 到平面的距离||||AB n dn (n 为平面的法向量,AB 是经过面的一条斜线,A).138.异面直线上两点距离公式2222cos dhmnmn .222'2cos ,dhmnmn EA AF .2222cos d hmnmn ('E AAF ).(两条异面直线a 、b 所成的角为θ,其公垂线段'AA 的长度为h.在直线a 、b 上分别取两点E 、F ,'A E m ,AF n ,EF d ). 139.三个向量和的平方公式2222()222a b c abca b b c c a2222||||cos ,2||||cos ,2||||cos ,a b ca b a bb c b cc a c a140. 长度为l 的线段在三条两两互相垂直的直线上的射影长分别为123l l l 、、,夹角分别为123、、,则有2222123llll222123coscoscos1222123sinsinsin2.(立体几何中长方体对角线长的公式是其特例).141. 面积射影定理'cosSS.(平面多边形及其射影的面积分别是S 、'S ,它们所在平面所成锐二面角的为). 142. 斜棱柱的直截面已知斜棱柱的侧棱长是l ,侧面积和体积分别是S 斜棱柱侧和V 斜棱柱,它的直截面的周长和面积分别是1c 和1S ,则①1S c l 斜棱柱侧. ②1V Sl 斜棱柱.143.作截面的依据三个平面两两相交,有三条交线,则这三条交线交于一点或互相平行. 144.棱锥的平行截面的性质如果棱锥被平行于底面的平面所截,那么所得的截面与底面相似,截面面积与底面面积的比等于顶点到截面距离与棱锥高的平方比(对应角相等,对应边对应成比例的多边形是相似多边形,相似多边形面积的比等于对应边的比的平方);相应小棱锥与小棱锥的侧面积的比等于顶点到截面距离与棱锥高的平方比.145.欧拉定理(欧拉公式)2V F E (简单多面体的顶点数V 、棱数E 和面数F).(1)E =各面多边形边数和的一半.特别地,若每个面的边数为n 的多边形,则面数F 与棱数E 的关系:12EnF ;(2)若每个顶点引出的棱数为m ,则顶点数V 与棱数E 的关系:12EmV .146.球的半径是R ,则其体积343VR , 其表面积24SR .147.球的组合体(1)球与长方体的组合体:长方体的外接球的直径是长方体的体对角线长.(2)球与正方体的组合体:正方体的内切球的直径是正方体的棱长, 正方体的棱切球的直径是正方体的面对角线长,正方体的外接球的直径是正方体的体对角线长. (3) 球与正四面体的组合体:棱长为a 的正四面体的内切球的半径为612a ,外接球的半径为64a .148.柱体、锥体的体积13V Sh 柱体(S 是柱体的底面积、h 是柱体的高). 13V Sh 锥体(S 是锥体的底面积、h 是锥体的高).149.分类计数原理(加法原理)12n N m m m . 150.分步计数原理(乘法原理)12n N m m m . 151.排列数公式m nA =)1()1(m nn n =!!)(m nn .(n ,m ∈N *,且mn ).注:规定1!0.152.排列恒等式(1)1(1)m m n n A n m A ; (2)1m m n n nA An m ;(3)11m m n n A nA ; (4)11n n n nn nnA AA ; (5)11m m m n nnAAmA.(6) 1!22!33!!(1)!1n n n .153.组合数公式m nC =m n m mAA=mm n n n 21)1()1(=!!!)(m nm n (n ∈N *,mN ,且m n ).154.组合数的两个性质(1)m n C =mn n C ; (2) m n C +1m nC =m n C1.注:规定10nC . 155.组合恒等式(1)11m m nnn m C C m ;(2)1m m nn n C Cn m ;(3)11m m nn n CC m;(4)nr r nC 0=n2; (5)1121r n rn r r r r r r C C C C C . (6)nnnrn n n n C C C C C 2210.(7)14205312n nnn nn n C CCCCC .(8)1321232n n nnnnn nCCCC. (9)r nm r nr mnr mnr mCC C CC CC 0110.(10)nn n n n n n C C C C C 22222120)()()()(.156.排列数与组合数的关系m m nnAm C ! .157.单条件排列以下各条的大前提是从n 个元素中取m 个元素的排列. (1)“在位”与“不在位”①某(特)元必在某位有11m n A 种;②某(特)元不在某位有11m n mnAA (补集思想)1111m n n AA(着眼位置)11111m nm m nA A A (着眼元素)种.(2)紧贴与插空(即相邻与不相邻)①定位紧贴:)(n m k k 个元在固定位的排列有km k n k k A A 种. ②浮动紧贴:n 个元素的全排列把k 个元排在一起的排法有k kk n k n A A11种.注:此类问题常用捆绑法;③插空:两组元素分别有k 、h 个(1h k),把它们合在一起来作全排列,k 个的一组互不能挨近的所有排列数有kh h h A A 1种.(3)两组元素各相同的插空m 个大球n 个小球排成一列,小球必分开,问有多少种排法?当1m n 时,无解;当1m n 时,有nm nn n m C A A 11种排法. (4)两组相同元素的排列:两组元素有m 个和n 个,各组元素分别相同的排列数为n nm C.158.分配问题(1)(平均分组有归属问题)将相异的m 、n 个物件等分给m 个人,各得n 件,其分配方法数共有mn nn nnnmn n nmn n mnn mn CCCCCN)!()!(22.(2)(平均分组无归属问题)将相异的m ·n 个物体等分为无记号或无顺序的m 堆,其分配方法数共有m n nn nnnmn nnmn n mnn m mn m CCC CCN)!(!)!(!...22. (3)(非平均分组有归属问题)将相异的)12m P(P=n +n ++n 个物体分给m 个人,物件必须被分完,分别得到1n ,2n ,…,m n 件,且1n ,2n ,…,m n 这m 个数彼此不相等,则其分配方法数共有!!...!!!! (2121)1m n n n n p n pn n n m p m CCCNm m.(4)(非完全平均分组有归属问题)将相异的)12m P(P=n +n ++n 个物体分给m 个人,物件必。
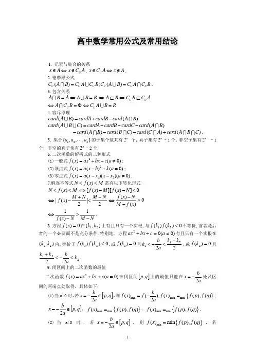
高中数学常用公式及常用结论1.包含关系A B A A B B =⇔=U U A B C B C A ⇔⊆⇔⊆ U A C B ⇔=ΦU C A B R ⇔=2.集合12{,,,}n a a a 的子集个数共有2n 个;真子集有2n –1个;非空子集有2n –1个;非空的真子集有2n –2个.3.充要条件(1)充分条件:若p q ⇒,则p 是q 充分条件.(2)必要条件:若q p ⇒,则p 是q 必要条件.(3)充要条件:若p q ⇒,且q p ⇒,则p 是q 充要条件.注:如果甲是乙的充分条件,则乙是甲的必要条件;反之亦然. 4.函数的单调性(1)设[]2121,,x x b a x x ≠∈⋅那么[]1212()()()0x x f x f x -->⇔[]b a x f x x x f x f ,)(0)()(2121在⇔>--上是增函数;[]1212()()()0x x f x f x --<⇔[]b a x f x x x f x f ,)(0)()(2121在⇔<--上是减函数. (2)设函数)(x f y =在某个区间内可导,如果0)(>'x f ,则)(x f 为增函数;如果0)(<'x f ,则)(x f 为减函数.5.如果函数)(x f 和)(x g 都是减函数,则在公共定义域内,和函数)()(x g x f +也是减函数; 如果函数)(u f y =和)(x g u =在其对应的定义域上都是减函数,则复合函数)]([x g f y =是增函数.6.奇偶函数的图象特征奇函数的图象关于原点对称,偶函数的图象关于y 轴对称;反过来,如果一个函数的图象关于原点对称,那么这个函数是奇函数;如果一个函数的图象关于y 轴对称,那么这个函数是偶函数.7.对于函数)(x f y =(R x ∈),)()(x b f a x f -=+恒成立,则函数)(x f 的对称轴是函数2ba x +=;两个函数)(a x f y +=与)(xb f y -= 的图象关于直线2ba x +=对称. 8.几个函数方程的周期(约定a>0)(1))()(a x f x f +=,则)(x f 的周期T=a ; (2),)0)(()(1)(≠=+x f x f a x f ,或1()()f x a f x +=-(()0)f x ≠,则)(x f 的周期T=2a ; 9.分数指数幂(1)mna=(0,,a m n N *>∈,且1n >).(2)1mnm naa-=(0,,a m n N *>∈,且1n >).10.根式的性质(1)n a =.(2)当na =;当n,0||,0a a a a a ≥⎧==⎨-<⎩.11.有理指数幂的运算性质 (1) (0,,)rsr sa a aa r s Q +⋅=>∈.(2) ()(0,,)r s rs a a a r s Q =>∈.(3)()(0,0,)r r r ab a b a b r Q =>>∈.12.指数式与对数式的互化式 log b a N b a N =⇔=(0,1,0)a a N >≠>.①.负数和零没有对数,②.1的对数等于0:01log =a ,③.底的对数等于1:1log =a a ,④.积的对数:N M MN a a a log log )(log +=,商的对数:N M NMa a alog log log -=,幂的对数:M n M a na log log =;b mnb a n a m log log =13.对数的换底公式 log log log m a m NN a= (0a >,且1a ≠,0m >,且1m ≠, 0N >).推论 log log m na a nb b m =(0a >,且1a >,,0m n >,且1m ≠,1n ≠, 0N >). 15.11,1,2n n n s n a s s n -=⎧=⎨-≥⎩( 数列{}n a 的前n 项的和为12n n s a a a =+++).16.等差数列的通项公式*11(1)()n a a n d dn a d n N =+-=+-∈;其前n 项和公式为1()2n n n a a s +=1(1)2n n na d -=+211()22d n a d n =+-. 17.等比数列的通项公式1*11()n n n a a a q q n N q-==⋅∈;其前n 项的和公式为11(1),11,1n n a q q s q na q ⎧-≠⎪=-⎨⎪=⎩或11,11,1n n a a qq q s na q -⎧≠⎪-=⎨⎪=⎩.18.同角三角函数的基本关系式22sin cos 1θθ+=,tan θ=θθcos sin 19正弦、余弦的诱导公式212(1)sin ,sin()2(1)s ,nn n co απαα-⎧-⎪+=⎨⎪-⎩20和角与差角公式sin()sin cos cos sin αβαβαβ±=±;cos()cos cos sin sin αβαβαβ±=;tan tan tan()1tan tan αβαβαβ±±=.sin cos a b αα+)αϕ+(辅助角ϕ所在象限由点(,)a b 的象限决定,tan baϕ=). 21、二倍角的正弦、余弦和正切公式: ⑴sin 22sin cos ααα=. ⑵2222cos2cossin 2cos 112sin ααααα=-=-=-(21cos 2cos 2αα+=,21cos 2sin 2αα-=).⑶22tan tan 21tan ααα=-. 22.三角函数的周期公式函数sin()y x ωϕ=+,x ∈R 及函数cos()y x ωϕ=+,x ∈R(A,ω,ϕ为常数,且A ≠0,ω>0)的周期2T πω=;函数tan()y x ωϕ=+,,2x k k Z ππ≠+∈(A,ω,ϕ为常数,且A≠0,ω>0)的周期T πω=. 23.正弦定理2sin sin sin a b cR A B C===. 24.余弦定理2222cos a b c bc A =+-;2222cos b c a ca B =+-;2222cos c a b ab C =+-.25.面积定理111sin sin sin 222S ab C bc A ca B ===(2).26.三角形内角和定理在△ABC 中,有()A B C C A B ππ++=⇔=-+222C A Bπ+⇔=-222()C A B π⇔=-+. 27.实数与向量的积的运算律设λ、μ为实数,那么(1) 结合律:λ(μa )=(λμ)a ;(2)第一分配律:(λ+μ)a =λa +μa;(3)第二分配律:λ(a +b )=λa +λb . 28.向量的数量积的运算律:(1) a ·b= b ·a (交换律);(2)(λa )·b= λ(a ·b )=λa ·b = a ·(λb );(3)(a +b )·c= a ·c +b ·c. 30.向量平行的坐标表示设a =11(,)x y ,b =22(,)x y ,且b ≠0,则a b(b ≠0)12210x y x y ⇔-=. 31. a 与b 的数量积(或内积)a ·b =|a ||b |cos θ.32.数量积a ·b 等于a 的长度|a |与b 在a 的方向上的投影|b |cos θ的乘积.33.平面向量的坐标运算(1)设a =11(,)x y ,b =22(,)x y ,则a+b=1212(,)x x y y ++.(2)设a =11(,)x y ,b =22(,)x y ,则a-b=1212(,)x x y y --. (3)设A 11(,)x y ,B 22(,)x y ,则2121(,)AB OB OA x x y y =-=--.(4)设a =(,),x y R λ∈,则λa=(,)x y λλ.(5)设a =11(,)x y ,b =22(,)x y ,则a ·b=1212()x x y y +. 34.两向量的夹角公式2222122cos y x yθ=+⋅+(a =11(,)x y ,b =22(,)x y ).35.平面两点间的距离公式 ,A B d =||AB AB AB =⋅=11(,)x y ,B 22(,)x y ).36.向量的平行与垂直设a =11(,)x y ,b =22(,)x y ,且b ≠0,则 A ||b ⇔b =λa 12210x y x y ⇔-=. a ⊥b(a ≠0)⇔a ·b=012120x x y y ⇔+=.37.三角形的重心坐标公式△ABC 三个顶点的坐标分别为11A(x ,y )、22B(x ,y )、33C(x ,y ),则△ABC 的重心的坐标是123123(,)33x x x y y y G ++++. 设O 为ABC ∆所在平面上一点,角,,A B C 所对边长分别为,,a b c ,则(1)O 为ABC ∆的外心222OA OB OC ⇔==.(2)O 为ABC ∆的重心0OA OB OC ⇔++=. (3)O 为ABC ∆的垂心OA OB OB OC OC OA ⇔⋅=⋅=⋅. 38.常用不等式:(1),a b R ∈⇒222a b ab +≥(当且仅当a =b 时取“=”号).(2),a b R +∈⇒2a b+≥(当且仅当a =b 时取“=”号). (3)b a b a b a +≤+≤-.39已知y x ,都是正数,则有(1)若积xy 是定值p ,则当y x =时和y x +有最小值p 2;(2)若和y x +是定值s ,则当y x =时积xy 有最大值241s . 40.含有绝对值的不等式 当a> 0时,有22x a x a a x a <⇔<⇔-<<.22x a x a x a >⇔>⇔>或x a <-.41.斜率公式 2121y y k x x -=-(111(,)P x y 、222(,)P x y ).42.直线的五种方程(1)点斜式 11()y y k x x -=- (直线l 过点111(,)P x y ,且斜率为k ).(2)斜截式 y kx b =+(b 为直线l 在y 轴上的截距).(3)两点式112121y y x x y y x x --=--(12y y ≠)(111(,)P x y 、222(,)P x y (12x x ≠)).(4)截距式 1x ya b+=(a b 、分别为直线的横、纵截距,0a b ≠、)(5)一般式 0Ax By C ++=(其中A 、B 不同时为0).43.两条直线的平行和垂直(1)若111:l y k x b =+,222:l y k x b =+①121212||,l l k k b b ⇔=≠;②12121l l k k ⊥⇔=-.(2)若1111:0l A x B y C ++=,2222:0l A x B y C ++=,且A 1、A 2、B 1、B 2都不为零,①11112222||A B C l l A B C ⇔=≠;②1212120l l A A B B ⊥⇔+=; (1111:0l A x B y C ++=,2222:0l A x B y C ++=,12120A A B B +≠).直线12l l ⊥时,直线l 1与l 2的夹角是2π. 45.点到直线的距离d =(点00(,)P x y ,直线l :0Ax By C ++=).46. 圆的四种方程(1)圆的标准方程 222()()x a y b r -+-=.(2)圆的一般方程 220x y Dx Ey F ++++=(224D E F +->0). 47.直线与圆的位置关系直线0=++C By Ax 与圆222)()(r b y a x =-+-的位置关系有三种:0<∆⇔⇔>相离r d ;0=∆⇔⇔=相切r d ; 0>∆⇔⇔<相交r d .其中22BA C Bb Aa d +++=.48.两圆位置关系的判定方法设两圆圆心分别为O 1,O 2,半径分别为r 1,r 2,d O O =21条公切线外离421⇔⇔+>r r d ;条公切线外切321⇔⇔+=r r d ;条公切线相交22121⇔⇔+<<-r r d r r ;条公切线内切121⇔⇔-=r r d ; 无公切线内含⇔⇔-<<210r r d .49.圆的切线方程(1)已知圆220x y Dx Ey F ++++=.(2)已知圆222x y r +=.①过圆上的000(,)P x y 点的切线方程为200x x y y r +=;50.椭圆22221(0)x y a b a b +=>>的参数方程是cos sin x a y b θθ=⎧⎨=⎩.51.椭圆22221(0)x y a b a b +=>>焦半径公式 )(21c a x e PF +=,)(22x ca e PF -=. 52.椭圆的的内外部(1)点00(,)P x y 在椭圆22221(0)x y a b a b +=>>的内部2200221x y a b⇔+<.(2)点00(,)P x y 在椭圆22221(0)x y a b a b +=>>的外部2200221x y a b⇔+>.53.双曲线22221(0,0)x y a b a b -=>>的焦半径公式21|()|a PF e x c =+,22|()|a PF e x c=-.54.双曲线的方程与渐近线方程的关系(1)若双曲线方程为12222=-b y a x ⇒渐近线方程:22220x y a b -=⇔x aby ±=.(2)若渐近线方程为x aby ±=⇔0=±b y a x ⇒双曲线可设为λ=-2222b y a x .(3)若双曲线与12222=-b y a x 有公共渐近线,可设为λ=-2222b y a x (0>λ,焦点在x 轴上,0<λ,焦点在y 轴上).55. 抛物线px y 22=的焦半径公式抛物线22(0)y px p =>焦半径02p CF x =+.过焦点弦长p x x px p x CD ++=+++=212122.56.直线与圆锥曲线相交的弦长公式AB =1212|||AB x x y y ==-=-(弦端点A ),(),,(2211y x B y x ,由方程⎩⎨⎧=+=0)y ,x (F b kx y 消去y 得到02=++c bx ax ,0∆>,α为直线AB 的倾斜角,k 为直线的斜率).57(1)加法交换律:a +b =b +a .(2)加法结合律:(a +b )+c =a +(b +c ).(3)数乘分配律:λ(a +b )=λa +λb . 59共线向量定理对空间任意两个向量a 、b (b ≠0 ),a ∥b ⇔存在实数λ使a =λb .P A B 、、三点共线⇔||AP AB ⇔AP t AB =⇔(1)OP t OA tOB =-+.60.向量的直角坐标运算设a =123(,,)a a a ,b =123(,,)b b b 则(1)a +b =112233(,,)a b a b a b +++;(2)a -b =112233(,,)a b a b a b ---;(3)λa =123(,,)a a a λλλ (λ∈R); (4)a ·b =112233a b a b a b ++;61.设A 111(,,)x y z ,B 222(,,)x y z ,则AB OB OA =-= 212121(,,)x x y y z z ---. 62.空间的线线平行或垂直设111(,,)a x y z =,222(,,)b x y z =,则a b ⊥⇔0a b ⋅=⇔1212120x x y y z z ++=. 63.夹角公式设a =123(,,)a a a ,b =123(,,)b b b ,则cos 〈a ,b 〉21a .64.异面直线所成角cos |cos ,|a b θ==21||||||a b a b x ⋅=⋅+(其中θ(090θ<≤)为异面直线a b ,所成角,,a b 分别表示异面直线a b ,的方向向量) 65.直线AB 与平面所成角sin||||AB marc AB m β⋅=(m 为平面α的法向量).66.二面角l αβ--的平面角cos ||||m n arc m n θ⋅=或cos ||||m narc m n π⋅-(m ,n 为平面α,β的法向量).134.空间两点间的距离公式若A 111(,,)x y z ,B 222(,,)x y z ,则 ,A B d =||AB AB AB =⋅=.67.球的半径是R ,则 其体积343V R π=,其表面积24S R π=. (3) 球与正四面体的组合体:棱长为a的正四面体的内切球的半径为12a ,外接球的半径为4a . 6813V Sh =柱体(S 是柱体的底面积、h 是柱体的高).13V Sh =锥体(S 是锥体的底面积、h 是锥体的高).69.分类计数原理(加法原理)12n N m m m =+++.70.排列数公式 mn A =)1()1(+--m n n n =!!)(m n n -.(n ,m ∈N *,且m n ≤).注:规定1!0=.71.组合数公式 mnC =m n m mA A =m m n n n ⨯⨯⨯+-- 21)1()1(=!!!)(m n m n -⋅(n ∈N *,m N ∈,且m n ≤).72.组合数的两个性质(1)m n C =mn nC - ;(2) m n C +1-m nC =m n C 1+.注:规定10=n C .155.组合恒等式(1)11m m nn n m C C m --+=;(2)1m m n n n C C n m -=-;(3)11mm n n n C C m --=; (4)∑=nr r n C 0=n 2; 73.排列数与组合数的关系m mn n A m C =⋅! .74.单条件排列以下各条的大前提是从n 个元素中取m 个元素的排列.(1)“在位”与“不在位”①某(特)元必在某位有11--m n A 种;②某(特)元不在某位有11---m n m n A A (补集思想)1111---=m n n A A (着眼位置)11111----+=m n m m n A A A (着眼元素)种.(2)紧贴与插空(即相邻与不相邻)①定位紧贴:)(n m k k ≤≤个元在固定位的排列有km k n kk A A --种.②浮动紧贴:n 个元素的全排列把k 个元排在一起的排法有kk k n k n A A 11+-+-种.注:此类问题常用捆绑法;③插空:两组元素分别有k 、h 个(1+≤h k ),把它们合在一起来作全排列,k 个的一组互不能挨近的所有排列数有kh hh A A 1+种.(3)两组元素各相同的插空m 个大球n 个小球排成一列,小球必分开,问有多少种排法?当1+>m n 时,无解;当1+≤m n 时,有n m n nn m C A A 11++=种排法.(4)两组相同元素的排列:两组元素有m 个和n 个,各组元素分别相同的排列数为nn m C +.75.分配问题(1)(平均分组有归属问题)将相异的m 、n 个物件等分给m 个人,各得n 件,其分配方法数共有mnn n n n n mn n n mn n mn n mn C C C C C N )!()!(22=⋅⋅⋅⋅⋅=-- . (2)(平均分组无归属问题)将相异的m ·n 个物体等分为无记号或无顺序的m 堆,其分配方法数共有 mn nn n n n mn n n mn n mn n m mn m C C C C C N )!(!)!(!...22=⋅⋅⋅⋅=--.(3)(非平均分组有归属问题)将相异的)12m P(P=n +n ++n 个物体分给m 个人,物件必须被分完,分别得到1n ,2n ,…,m n 件,且1n ,2n ,…,m n 这m 个数彼此不相等,则其分配方法数共有!!...!!!! (212)11m n nnn p n p n n n m p m C C C N mm=⋅⋅=-. 76.二项式定理 nn n r r n r n n n n n n n n b C b a C b a C b a C a C b a ++++++=+--- 222110)( ; 二项展开式的通项公式rr n r n r b a C T -+=1)210(n r ,,, =.77.n 次独立重复试验中某事件恰好发生k 次的概率()(1).k k n k n n P k C P P -=-78.离散型随机变量的分布列的两个性质(1)0(1,2,)i P i ≥=;(2)121P P ++=.79.数学期望1122n n E x P x P x P ξ=++++80..数学期望的性质(1)()()E a b aE b ξξ+=+.(2)若ξ~(,)B n p ,则E np ξ=.81.方差()()()2221122n n D x E p x E p x E p ξξξξ=-⋅+-⋅++-⋅+标准差σξ=ξD .82.方差的性质(1)()2D a b a D ξξ+=;(2)若ξ~(,)B n p ,则(1)D np p ξ=-. 83..)(x f 在),(b a 的导数()dy df f x y dx dx ''===00()()lim limx x y f x x f x x x∆→∆→∆+∆-==∆∆. 84.. 函数)(x f y =在点0x 处的导数的几何意义函数)(x f y =在点0x 处的导数是曲线)(x f y =在))(,(00x f x P 处的切线的斜率)(0x f ',相应的切线方程是))((000x x x f y y -'=-.85..几种常见函数的导数(1) 0='C (C 为常数).(2) '1()()n n x nx n Q -=∈.(3) x x cos )(sin ='.(4) x x sin )(cos -=' (5) x x 1)(ln =';ax a xln 1)(log ='(6) x x e e =')(; a a a x x ln )(='. 86..导数的运算法则(1)'''()u v u v ±=±.(2)'''()uv u v uv =+.(3)'''2()(0)u u v uv v v v-=≠. 87..复合函数的求导法则设函数()u x ϕ=在点x 处有导数''()x u x ϕ=,函数)(u f y =在点x 处的对应点U 处有导数''()u y f u =,则复合函数(())y f x ϕ=在点x 处有导数,且'''x u x y y u =⋅,或写作'''(())()()x f x f u x ϕϕ=.89.复数的相等,a bi c di a c b d +=+⇔==.(,,,a b c d R ∈)90.复数z a bi =+的模(或绝对值)||z =||a bi +91.复数的四则运算法(1)()()()()a bi c di a c b d i +++=+++(2)()()()()a bi c di a c b d i +-+=-+-;(3)()()()()a bi c di ac bd bc ad i ++=-++;(4)2222()()(0)ac bd bc ada bi c di i c di +-+÷+=++≠.sin y x = cos y x = tan y x =图象定义域 R R,2x x k k ππ⎧⎫≠+∈Z ⎨⎬⎩⎭值域[]1,1-[]1,1-R最值当22x k ππ=+()k ∈Z 时,max 1y =;当22x k ππ=- ()k ∈Z 时,min 1y =-.当()2x k k π=∈Z 时,max 1y =;当2x k ππ=+()k ∈Z 时,min 1y =-.既无最大值也无最小值周期性2π 2π π奇偶性奇函数偶函数奇函数单调性在2,222k k ππππ⎡⎤-+⎢⎥⎣⎦()k ∈Z 上是增函数;在32,222k k ππππ⎡⎤++⎢⎥⎣⎦ ()k ∈Z 上是减函数.在[]()2,2k k k πππ-∈Z 上是增函数;在[]2,2k k πππ+()k ∈Z 上是减函数.在,22k k ππππ⎛⎫-+ ⎪⎝⎭()k ∈Z 上是增函数.对称性对称中心()(),0k k π∈Z对称轴()2x k k ππ=+∈Z对称中心(),02k k ππ⎛⎫+∈Z ⎪⎝⎭ 对称轴()x k k π=∈Z 对称中心(),02k k π⎛⎫∈Z ⎪⎝⎭ 无对称轴函 数 性质。
高中数学常用公式及常用结论1. 元素与集合的关系U x A x C A ∈⇔∉,U x C A x A ∈⇔∉. 2.德摩根公式();()U U U U U U C A B C A C B C A B C A C B ==.3.包含关系A B A A B B =⇔=U U A B C B C A ⇔⊆⇔⊆ U A C B ⇔=ΦU C A B R ⇔=4.容斥原理()()card A B cardA cardB card A B =+-()()card A B C cardA cardB cardC card A B =++-()()()()card A B card B C card C A card A B C ---+.5.集合12{,,,}n a a a 的子集个数共有2n 个;真子集有2n –1个;非空子集有2n–1个;非空的真子集有2n–2个.6.二次函数的解析式的三种形式(1)一般式2()(0)f x ax bx c a =++≠; (2)顶点式2()()(0)f x a x h k a =-+≠; (3)零点式12()()()(0)f x a x x x x a =--≠. 7.解连不等式()N f x M <<常有以下转化形式()N f x M <<⇔[()][()]0f x M f x N --<⇔|()|22M N M Nf x +--<⇔()0()f x N M f x ->- ⇔11()f x N M N>--. 8.方程0)(=x f 在),(21k k 上有且只有一个实根,与0)()(21<k f k f 不等价,前者是后者的一个必要而不是充分条件.特别地, 方程)0(02≠=++a c bx ax 有且只有一个实根在),(21k k 内,等价于0)()(21<k f k f ,或0)(1=k f 且22211k k a bk +<-<,或0)(2=k f 且22122k abk k <-<+. 9.闭区间上的二次函数的最值二次函数)0()(2≠++=a c bx ax x f 在闭区间[]q p ,上的最值只能在abx 2-=处及区间的两端点处取得,具体如下:(1)当a>0时,若[]q p a bx ,2∈-=,则{}min max max ()(),()(),()2b f x f f x f p f q a=-=; []q p abx ,2∉-=,{}max max ()(),()f x f p f q =,{}min min ()(),()f x f p f q =. (2)当a<0时,若[]q p a bx ,2∈-=,则{}min ()min (),()f x f p f q =,若[]q p abx ,2∉-=,则{}max ()max (),()f x f p f q =,{}min ()min (),()f x f p f q =. 10.一元二次方程的实根分布依据:若()()0f m f n <,则方程0)(=x f 在区间(,)m n 内至少有一个实根 . 设q px x x f ++=2)(,则(1)方程0)(=x f 在区间),(+∞m 内有根的充要条件为0)(=m f 或2402p q p m ⎧-≥⎪⎨->⎪⎩;(2)方程0)(=x f 在区间(,)m n 内有根的充要条件为()()0f m f n <或2()0()0402f m f n p q p m n >⎧⎪>⎪⎪⎨-≥⎪⎪<-<⎪⎩或()0()0f m af n =⎧⎨>⎩或()0()0f n af m =⎧⎨>⎩; (3)方程0)(=x f 在区间(,)n -∞内有根的充要条件为()0f m <或2402p q p m ⎧-≥⎪⎨-<⎪⎩ .11.定区间上含参数的二次不等式恒成立的条件依据(1)在给定区间),(+∞-∞的子区间L (形如[]βα,,(]β,∞-,[)+∞,α不同)上含参数的二次不等式(,)0f x t ≥(t 为参数)恒成立的充要条件是min (,)0()f x t x L ≥∉.(2)在给定区间),(+∞-∞的子区间上含参数的二次不等式(,)0f x t ≥(t 为参数)恒成立的充要条件是(,)0()man f x t x L ≤∉.(3)0)(24>++=c bx ax x f 恒成立的充要条件是000a b c ≥⎧⎪≥⎨⎪>⎩或2040a b ac <⎧⎨-<⎩.12.13.14.四种命题的相互关系15.充要条件(1)充分条件:若p q ⇒,则p 是q 充分条件.(2)必要条件:若q p ⇒,则p 是q 必要条件.(3)充要条件:若p q ⇒,且q p ⇒,则p 是q 充要条件.注:如果甲是乙的充分条件,则乙是甲的必要条件;反之亦然. 16.函数的单调性(1)设[]2121,,x x b a x x ≠∈⋅那么[]1212()()()0x x f x f x -->⇔[]b a x f x x x f x f ,)(0)()(2121在⇔>--上是增函数;[]1212()()()0x x f x f x --<⇔[]b a x f x x x f x f ,)(0)()(2121在⇔<--上是减函数. (2)设函数)(x f y =在某个区间内可导,如果0)(>'x f ,则)(x f 为增函数;如果0)(<'x f ,则)(x f 为减函数.17.如果函数)(x f 和)(x g 都是减函数,则在公共定义域内,和函数)()(x g x f +也是减函数; 如果函数)(u f y =和)(x g u =在其对应的定义域上都是减函数,则复合函数)]([x g f y =是增函数.18.奇偶函数的图象特征奇函数的图象关于原点对称,偶函数的图象关于y 轴对称;反过来,如果一个函数的图象关于原点对称,那么这个函数是奇函数;如果一个函数的图象关于y 轴对称,那么这个函数是偶函数.19.若函数)(x f y =是偶函数,则)()(a x f a x f --=+;若函数)(a x f y +=是偶函数,则)()(a x f a x f +-=+.20.对于函数)(x f y =(R x ∈),)()(x b f a x f -=+恒成立,则函数)(x f 的对称轴是函数2b a x +=;两个函数)(a x f y +=与)(x b f y -= 的图象关于直线2ba x +=对称. 21.若)()(a x f x f +--=,则函数)(x f y =的图象关于点)0,2(a对称; 若)()(a x f x f +-=,则函数)(x f y =为周期为a 2的周期函数.22.多项式函数110()n n n n P x a x a x a --=+++的奇偶性多项式函数()P x 是奇函数⇔()P x 的偶次项(即奇数项)的系数全为零. 多项式函数()P x 是偶函数⇔()P x 的奇次项(即偶数项)的系数全为零. 23.函数()y f x =的图象的对称性(1)函数()y f x =的图象关于直线x a =对称()()f a x f a x ⇔+=-(2)()f a x f x ⇔-=.(2)函数()y f x =的图象关于直线2a bx +=对称()()f a mx f b mx ⇔+=- ()()f a b mx f mx ⇔+-=.24.两个函数图象的对称性(1)函数()y f x =与函数()y f x =-的图象关于直线0x =(即y 轴)对称. (2)函数()y f mx a =-与函数()y f b mx =-的图象关于直线2a bx m+=对称. (3)函数)(x f y =和)(1x fy -=的图象关于直线y=x 对称.25.若将函数)(x f y =的图象右移a 、上移b 个单位,得到函数b a x f y +-=)(的图象;若将曲线0),(=y x f 的图象右移a 、上移b 个单位,得到曲线0),(=--b y a x f 的图象.26.互为反函数的两个函数的关系a b f b a f =⇔=-)()(1.27.若函数)(b kx f y +=存在反函数,则其反函数为])([11b x f ky -=-,并不是)([1b kx fy +=-,而函数)([1b kx fy +=-是])([1b x f ky -=的反函数. 28.几个常见的函数方程(1)正比例函数()f x cx =,()()(),(1)f x y f x f y f c +=+=.(2)指数函数()xf x a =,()()(),(1)0f x y f x f y f a +==≠.(3)对数函数()log a f x x =,()()(),()1(0,1)f xy f x f y f a a a =+=>≠. (4)幂函数()f x x α=,'()()(),(1)f xy f x f y f α==.(5)余弦函数()cos f x x =,正弦函数()sin g x x =,()()()()()f x y f x f y g x g y -=+,()(0)1,lim1x g x f x→==. 29.几个函数方程的周期(约定a>0)(1))()(a x f x f +=,则)(x f 的周期T=a ; (2)0)()(=+=a x f x f ,或)0)(()(1)(≠=+x f x f a x f , 或1()()f x a f x +=-(()0)f x ≠,或[]1(),(()0,1)2f x a f x +=+∈,则)(x f 的周期T=2a ; (3))0)(()(11)(≠+-=x f a x f x f ,则)(x f 的周期T=3a ; (4))()(1)()()(212121x f x f x f x f x x f -+=+且1212()1(()()1,0||2)f a f x f x x x a =⋅≠<-<,则)(x f 的周期T=4a ;(5)()()(2)(3)(4)f x f x a f x a f x a f x a +++++++()()(2)(3)(4)f x f x a f x a f x a f x a =++++,则)(x f 的周期T=5a ; (6))()()(a x f x f a x f +-=+,则)(x f 的周期T=6a.30.分数指数幂(1)m na =(0,,a m n N *>∈,且1n >). (2)1m nm naa-=(0,,a m n N *>∈,且1n >).31.根式的性质(1)na =.(2)当na =; 当n,0||,0a a a a a ≥⎧==⎨-<⎩.32.有理指数幂的运算性质 (1) (0,,)rsr sa a aa r s Q +⋅=>∈.(2) ()(0,,)r s rs a a a r s Q =>∈. (3)()(0,0,)rr rab a b a b r Q =>>∈.注: 若a >0,p 是一个无理数,则a p 表示一个确定的实数.上述有理指数幂的运算性质,对于无理数指数幂都适用.33.指数式与对数式的互化式log b a N b a N =⇔=(0,1,0)a a N >≠>.34.对数的换底公式log log log m a m NN a=(0a >,且1a ≠,0m >,且1m ≠, 0N >).推论 log log m na a nb b m =(0a >,且1a >,,0m n >,且1m ≠,1n ≠, 0N >).35.对数的四则运算法则若a >0,a ≠1,M >0,N >0,则 (1)log ()log log a a a MN M N =+;(2) log log log aa a MM N N =-; (3)log log ()na a M n M n R =∈.36.设函数)0)((log )(2≠++=a c bx ax x f m ,记ac b 42-=∆.若)(x f 的定义域为R ,则0>a ,且0<∆;若)(x f 的值域为R ,则0>a ,且0≥∆.对于0=a 的情形,需要单独检验.37. 对数换底不等式及其推广若0a >,0b >,0x >,1x a ≠,则函数log ()ax y bx = (1)当a b >时,在1(0,)a 和1(,)a +∞上log ()ax y bx =为增函数., (2)当a b <时,在1(0,)a 和1(,)a+∞上log ()ax y bx =为减函数. 推论:设1n m >>,0p >,0a >,且1a ≠,则 (1)log ()log m p m n p n ++<.(2)2log log log 2a a am nm n +<. 38. 平均增长率的问题如果原来产值的基础数为N ,平均增长率为p ,则对于时间x 的总产值y ,有(1)x y N p =+.39.数列的同项公式与前n 项的和的关系11,1,2n n n s n a s s n -=⎧=⎨-≥⎩( 数列{}n a 的前n 项的和为12n n s a a a =+++).40.等差数列的通项公式*11(1)()n a a n d dn a d n N =+-=+-∈;其前n 项和公式为1()2n n n a a s +=1(1)2n n na d -=+ 211()22d n a d n =+-. 41.等比数列的通项公式1*11()n nn a a a q q n N q-==⋅∈; 其前n 项的和公式为11(1),11,1n n a q q s q na q ⎧-≠⎪=-⎨⎪=⎩或11,11,1n n a a qq q s na q -⎧≠⎪-=⎨⎪=⎩.42.等比差数列{}n a :11,(0)n n a qa d a b q +=+=≠的通项公式为1(1),1(),11n n n b n d q a bq d b q d q q -+-=⎧⎪=+--⎨≠⎪-⎩;其前n 项和公式为(1),(1)1(),(1)111n n nb n n d q s d q db n q q q q +-=⎧⎪=-⎨-+≠⎪---⎩. 43.分期付款(按揭贷款)每次还款(1)(1)1nnab b x b +=+-元(贷款a 元,n 次还清,每期利率为b ). 44.常见三角不等式 (1)若(0,)2x π∈,则sin tan x x x <<.(2) 若(0,)2x π∈,则1sin cos x x <+≤(3) |sin ||cos |1x x +≥.45.同角三角函数的基本关系式22sin cos 1θθ+=,tan θ=θθcos sin ,tan 1cot θθ⋅=. 46.正弦、余弦的诱导公式212(1)sin ,sin()2(1)s ,nn n co απαα-⎧-⎪+=⎨⎪-⎩212(1)s ,s()2(1)sin ,nn co n co απαα+⎧-⎪+=⎨⎪-⎩47.和角与差角公式sin()sin cos cos sin αβαβαβ±=±;cos()cos cos sin sin αβαβαβ±=;tan tan tan()1tan tan αβαβαβ±±=.22sin()sin()sin sin αβαβαβ+-=-(平方正弦公式); 22cos()cos()cos sin αβαβαβ+-=-.sin cos a b αα+=)αϕ+(辅助角ϕ所在象限由点(,)a b 的象限决定,tan baϕ= ).48.二倍角公式sin22sin cos ααα=.2222cos 2cos sin 2cos 112sin ααααα=-=-=-.22tan tan 21tan ααα=-.49. 三倍角公式3sin 33sin 4sin 4sin sin()sin()33ππθθθθθθ=-=-+.3cos34cos 3cos 4cos cos()cos()33ππθθθθθθ=-=-+.323tan tan tan 3tan tan()tan()13tan 33θθππθθθθθ-==-+-.50.三角函数的周期公式函数sin()y x ωϕ=+,x ∈R 及函数cos()y x ωϕ=+,x ∈R(A,ω,ϕ为常数,且A ≠0,ω>0)的周期2T πω=;函数tan()y x ωϕ=+,,2x k k Z ππ≠+∈(A,ω,ϕ为常数,且A≠0,ω>0)的周期T πω=.51.正弦定理2sin sin sin a b cR A B C===. 52.余弦定理2222cos a b c bc A =+-; 2222cos b c a ca B =+-; 2222cos c a b ab C =+-.53.面积定理(1)111222a b c S ah bh ch ===(a b c h h h 、、分别表示a 、b 、c 边上的高). (2)111sin sin sin 222S ab C bc A ca B ===.(3)22(||||)()OAB S OA OB OA OB ∆=⋅-⋅.54.三角形内角和定理在△ABC 中,有()A B C C A B ππ++=⇔=-+222C A B π+⇔=-222()C A B π⇔=-+. 55. 简单的三角方程的通解sin (1)arcsin (,||1)kx a x k a k Z a π=⇔=+-∈≤. s 2arccos (,||1)co x a x k a k Z a π=⇔=±∈≤.tan arctan (,)x a x k a k Z a R π=⇒=+∈∈.特别地,有sin sin (1)()k k k Z αβαπβ=⇔=+-∈.s cos 2()co k k Z αβαπβ=⇔=±∈.tan tan ()k k Z αβαπβ=⇒=+∈.56.最简单的三角不等式及其解集sin (||1)(2arcsin ,2arcsin ),x a a x k a k a k Z πππ>≤⇔∈++-∈.sin (||1)(2arcsin ,2arcsin ),x a a x k a k a k Z πππ<≤⇔∈--+∈. cos (||1)(2arccos ,2arccos ),x a a x k a k a k Z ππ>≤⇔∈-+∈.cos (||1)(2arccos ,22arccos ),x a a x k a k a k Z πππ<≤⇔∈++-∈.tan ()(arctan ,),2x a a R x k a k k Z πππ>∈⇒∈++∈.tan ()(,arctan ),2x a a R x k k a k Z πππ<∈⇒∈-+∈.57.实数与向量的积的运算律 设λ、μ为实数,那么(1) 结合律:λ(μa )=(λμ)a ; (2)第一分配律:(λ+μ)a =λa +μa; (3)第二分配律:λ(a +b )=λa +λb . 58.向量的数量积的运算律: (1) a ·b= b ·a (交换律); (2)(λa )·b= λ(a ·b )=λa ·b = a ·(λb ); (3)(a +b )·c= a ·c +b ·c. 59.平面向量基本定理如果e 1、e 2是同一平面内的两个不共线向量,那么对于这一平面内的任一向量,有且只有一对实数λ1、λ2,使得a=λ1e 1+λ2e 2.不共线的向量e 1、e 2叫做表示这一平面内所有向量的一组基底. 60.向量平行的坐标表示设a =11(,)x y ,b =22(,)x y ,且b ≠0,则a b(b ≠0)12210x y x y ⇔-=. 53. a 与b 的数量积(或内积) a ·b =|a ||b |cos θ. 61. a ·b 的几何意义数量积a ·b 等于a 的长度|a |与b 在a 的方向上的投影|b |cos θ的乘积. 62.平面向量的坐标运算(1)设a =11(,)x y ,b =22(,)x y ,则a+b=1212(,)x x y y ++.(2)设a =11(,)x y ,b =22(,)x y ,则a-b=1212(,)x x y y --. (3)设A 11(,)x y ,B 22(,)x y ,则2121(,)AB OB OA x x y y =-=--.(4)设a =(,),x y R λ∈,则λa=(,)x y λλ.(5)设a =11(,)x y ,b =22(,)x y ,则a ·b=1212()x x y y +. 63.两向量的夹角公式cos θ=(a =11(,)x y ,b =22(,)x y ).64.平面两点间的距离公式 ,A Bd =||AB AB AB =⋅=11(,)x y ,B 22(,)x y ).65.向量的平行与垂直设a =11(,)x y ,b =22(,)x y ,且b ≠0,则 A ||b ⇔b =λa 12210x y x y ⇔-=. a ⊥b(a ≠0)⇔a ·b=012120x x y y ⇔+=. 66.线段的定比分公式设111(,)P x y ,222(,)P x y ,(,)P x y 是线段12P P 的分点,λ是实数,且12PP PP λ=,则121211x x x y y y λλλλ+⎧=⎪⎪+⎨+⎪=⎪+⎩⇔121OP OP OP λλ+=+ ⇔12(1)OP tOP t OP =+-(11t λ=+). 67.三角形的重心坐标公式△ABC 三个顶点的坐标分别为11A(x ,y )、22B(x ,y )、33C(x ,y ),则△ABC 的重心的坐标是123123(,)33x x x y y y G ++++. 68.点的平移公式''''x x h x x h y y k y y k⎧⎧=+=-⎪⎪⇔⎨⎨=+=-⎪⎪⎩⎩''OP OP PP ⇔=+ . 注:图形F 上的任意一点P(x ,y)在平移后图形'F 上的对应点为'''(,)P x y ,且'PP 的坐标为(,)h k .69.“按向量平移”的几个结论(1)点(,)P x y 按向量a =(,)h k 平移后得到点'(,)P x h y k ++.(2) 函数()y f x =的图象C 按向量a =(,)h k 平移后得到图象'C ,则'C 的函数解析式为()y f x h k =-+.(3) 图象'C 按向量a =(,)h k 平移后得到图象C ,若C 的解析式()y f x =,则'C 的函数解析式为()y f x h k =+-.(4)曲线C :(,)0f x y =按向量a =(,)h k 平移后得到图象'C ,则'C 的方程为(,)0f x h y k --=.(5) 向量m =(,)x y 按向量a =(,)h k 平移后得到的向量仍然为m =(,)x y . 70. 三角形五“心”向量形式的充要条件设O 为ABC ∆所在平面上一点,角,,A B C 所对边长分别为,,a b c ,则 (1)O 为ABC ∆的外心222OA OB OC ⇔==. (2)O 为ABC ∆的重心0OA OB OC ⇔++=.(3)O 为ABC ∆的垂心OA OB OB OC OC OA ⇔⋅=⋅=⋅. (4)O 为ABC ∆的内心0aOA bOB cOC ⇔++=. (5)O 为ABC ∆的A ∠的旁心aOA bOB cOC ⇔=+. 71.常用不等式:(1),a b R ∈⇒222a b ab +≥(当且仅当a =b 时取“=”号).(2),a b R +∈⇒2a b+≥(当且仅当a =b 时取“=”号). (3)3333(0,0,0).a b c abc a b c ++≥>>>(4)柯西不等式22222()()(),,,,.a b c d ac bd a b c d R ++≥+∈(5)b a b a b a +≤+≤-. 72.极值定理已知y x ,都是正数,则有(1)若积xy 是定值p ,则当y x =时和y x +有最小值p 2; (2)若和y x +是定值s ,则当y x =时积xy 有最大值241s . 推广 已知R y x ∈,,则有xy y x y x 2)()(22+-=+ (1)若积xy 是定值,则当||y x -最大时,||y x +最大; 当||y x -最小时,||y x +最小.(2)若和||y x +是定值,则当||y x -最大时, ||xy 最小; 当||y x -最小时, ||xy 最大.73.一元二次不等式20(0)ax bx c ++><或2(0,40)a b ac ≠∆=->,如果a 与2ax bx c ++同号,则其解集在两根之外;如果a 与2ax bx c ++异号,则其解集在两根之间.简言之:同号两根之外,异号两根之间.121212()()0()x x x x x x x x x <<⇔--<<; 121212,()()0()x x x x x x x x x x <>⇔--><或.74.含有绝对值的不等式 当a> 0时,有22x a x a a x a <⇔<⇔-<<.22x a x a x a >⇔>⇔>或x a <-.75.无理不等式 (1()0()0()()f x g x f x g x ≥⎧⎪>⇔≥⎨⎪>⎩. (22()0()0()()0()0()[()]f x f x g x g x g x f x g x ≥⎧≥⎧⎪>⇔≥⎨⎨<⎩⎪>⎩或. (32()0()()0()[()]f x g x g x f x g x ≥⎧⎪<⇔>⎨⎪<⎩. 76.指数不等式与对数不等式 (1)当1a >时,()()()()f x g x a a f x g x >⇔>;()0log ()log ()()0()()a a f x f x g x g x f x g x >⎧⎪>⇔>⎨⎪>⎩.(2)当01a <<时,()()()()f x g x a a f x g x >⇔<;()0log ()log ()()0()()a a f x f x g x g x f x g x >⎧⎪>⇔>⎨⎪<⎩77.斜率公式2121y y k x x -=-(111(,)P x y 、222(,)P x y ).78.直线的五种方程(1)点斜式 11()y y k x x -=- (直线l 过点111(,)P x y ,且斜率为k ). (2)斜截式 y kx b =+(b 为直线l 在y 轴上的截距).(3)两点式112121y y x x y y x x --=--(12y y ≠)(111(,)P x y 、222(,)P x y (12x x ≠)).(4)截距式 1x ya b+=(a b 、分别为直线的横、纵截距,0a b ≠、)(5)一般式 0Ax By C ++=(其中A 、B 不同时为0).79.两条直线的平行和垂直(1)若111:l y k x b =+,222:l y k x b =+ ①121212||,l l k k b b ⇔=≠; ②12121l l k k ⊥⇔=-.(2)若1111:0l A x B y C ++=,2222:0l A x B y C ++=,且A 1、A 2、B 1、B 2都不为零, ①11112222||A B C l l A B C ⇔=≠;②1212120l l A A B B ⊥⇔+=; 80.夹角公式(1)2121tan ||1k k k k α-=+.(111:l y k x b =+,222:l y k x b =+,121k k ≠-)(2)12211212tan ||A B A B A A B B α-=+. (1111:0l A x B y C ++=,2222:0l A x B y C ++=,12120A A B B +≠). 直线12l l ⊥时,直线l 1与l 2的夹角是2π. 81. 1l 到2l 的角公式(1)2121tan 1k k k k α-=+.(111:l y k x b =+,222:l y k x b =+,121k k ≠-)(2)12211212tan A B A B A A B B α-=+.(1111:0l A x B y C ++=,2222:0l A x B y C ++=,12120A A B B +≠).直线12l l ⊥时,直线l 1到l 2的角是2π. 82.四种常用直线系方程(1)定点直线系方程:经过定点000(,)P x y 的直线系方程为00()y y k x x -=-(除直线0x x =),其中k 是待定的系数; 经过定点000(,)P x y 的直线系方程为00()()0A x x B y y -+-=,其中,A B 是待定的系数.(2)共点直线系方程:经过两直线1111:0l A x B y C ++=,2222:0l A x B y C ++=的交点的直线系方程为111222()()0A x B y C A x B y C λ+++++=(除2l ),其中λ是待定的系数.(3)平行直线系方程:直线y kx b =+中当斜率k 一定而b 变动时,表示平行直线系方程.与直线0Ax By C ++=平行的直线系方程是0Ax By λ++=(0λ≠),λ是参变量.(4)垂直直线系方程:与直线0Ax By C ++= (A ≠0,B ≠0)垂直的直线系方程是0Bx Ay λ-+=,λ是参变量.83.点到直线的距离d =(点00(,)P x y ,直线l :0Ax By C ++=).84. 0Ax By C ++>或0<所表示的平面区域设直线:0l Ax By C ++=,则0Ax By C ++>或0<所表示的平面区域是: 若0B ≠,当B 与Ax By C ++同号时,表示直线l 的上方的区域;当B 与Ax By C ++异号时,表示直线l 的下方的区域.简言之,同号在上,异号在下. 若0B =,当A 与Ax By C ++同号时,表示直线l 的右方的区域;当A 与Ax By C ++异号时,表示直线l 的左方的区域. 简言之,同号在右,异号在左.85. 111222()()0A x B y C A x B y C ++++>或0<所表示的平面区域设曲线111222:()()0C A x B y C A x B y C ++++=(12120A A B B ≠),则111222()()0A x B y C A x B y C ++++>或0<所表示的平面区域是: 111222()()0A x B y C A x B y C ++++>所表示的平面区域上下两部分; 111222()()0A x B y C A x B y C ++++<所表示的平面区域上下两部分.86. 圆的四种方程(1)圆的标准方程 222()()x a y b r -+-=.(2)圆的一般方程 220x y Dx Ey F ++++=(224D E F +->0).(3)圆的参数方程 cos sin x a r y b r θθ=+⎧⎨=+⎩.(4)圆的直径式方程 1212()()()()0x x x x y y y y --+--=(圆的直径的端点是11(,)A x y 、22(,)B x y ).87. 圆系方程(1)过点11(,)A x y ,22(,)B x y 的圆系方程是1212112112()()()()[()()()()]0x x x x y y y y x x y y y y x x λ--+--+-----= 1212()()()()()0x x x x y y y y ax by c λ⇔--+--+++=,其中0ax by c ++=是直线AB 的方程,λ是待定的系数.(2)过直线l :0Ax By C ++=与圆C :220x y Dx Ey F ++++=的交点的圆系方程是22()0x y Dx Ey F Ax By C λ+++++++=,λ是待定的系数.(3) 过圆1C :221110x y D x E y F ++++=与圆2C :222220x y D x E y F ++++=的交点的圆系方程是2222111222()0x y D x E y F x y D x E y F λ+++++++++=,λ是待定的系数.88.点与圆的位置关系点00(,)P x y 与圆222)()(r b y a x =-+-的位置关系有三种若d =d r >⇔点P 在圆外;d r =⇔点P 在圆上;d r <⇔点P 在圆内.89.直线与圆的位置关系直线0=++C By Ax 与圆222)()(r b y a x =-+-的位置关系有三种:0<∆⇔⇔>相离r d ; 0=∆⇔⇔=相切r d ; 0>∆⇔⇔<相交r d .其中22BA C Bb Aa d +++=.90.两圆位置关系的判定方法设两圆圆心分别为O 1,O 2,半径分别为r 1,r 2,d O O =21条公切线外离421⇔⇔+>r r d ; 条公切线外切321⇔⇔+=r r d ;条公切线相交22121⇔⇔+<<-r r d r r ; 条公切线内切121⇔⇔-=r r d ; 无公切线内含⇔⇔-<<210r r d .91.圆的切线方程(1)已知圆220x y Dx Ey F ++++=.①若已知切点00(,)x y 在圆上,则切线只有一条,其方程是0000()()022D x xE y y x x y yF ++++++=. 当00(,)x y 圆外时, 0000()()022D x xE y y x x y yF ++++++=表示过两个切点的切点弦方程.②过圆外一点的切线方程可设为00()y y k x x -=-,再利用相切条件求k ,这时必有两条切线,注意不要漏掉平行于y 轴的切线.③斜率为k 的切线方程可设为y kx b =+,再利用相切条件求b ,必有两条切线.(2)已知圆222x y r +=.①过圆上的000(,)P x y 点的切线方程为200x x y y r +=;②斜率为k 的圆的切线方程为y kx =±.92.椭圆22221(0)x y a b a b +=>>的参数方程是cos sin x a y b θθ=⎧⎨=⎩.93.椭圆22221(0)x y a b a b+=>>焦半径公式)(21c a x e PF +=,)(22x ca e PF -=.94.椭圆的的内外部(1)点00(,)P x y 在椭圆22221(0)x y a b a b +=>>的内部2200221x y a b ⇔+<. (2)点00(,)P x y 在椭圆22221(0)x y a b a b+=>>的外部2200221x y a b ⇔+>. 95. 椭圆的切线方程(1)椭圆22221(0)x y a b a b +=>>上一点00(,)P x y 处的切线方程是00221x x y ya b +=.(2)过椭圆22221(0)x y a b a b+=>>外一点00(,)P x y 所引两条切线的切点弦方程是00221x x y ya b+=. (3)椭圆22221(0)x y a b a b+=>>与直线0Ax By C ++=相切的条件是22222A a B b c +=.96.双曲线22221(0,0)x y a b a b -=>>的焦半径公式21|()|a PF e x c =+,22|()|a PF e x c=-.97.双曲线的内外部(1)点00(,)P x y 在双曲线22221(0,0)x y a b a b -=>>的内部2200221x y a b ⇔->. (2)点00(,)P x y 在双曲线22221(0,0)x y a b a b-=>>的外部2200221x y a b⇔-<.98.双曲线的方程与渐近线方程的关系(1)若双曲线方程为12222=-b y a x ⇒渐近线方程:22220x y a b -=⇔x aby ±=.(2)若渐近线方程为x aby ±=⇔0=±b y a x ⇒双曲线可设为λ=-2222b y a x .(3)若双曲线与12222=-b y a x 有公共渐近线,可设为λ=-2222by a x (0>λ,焦点在x轴上,0<λ,焦点在y 轴上).99. 双曲线的切线方程(1)双曲线22221(0,0)x y a b a b -=>>上一点00(,)P x y 处的切线方程是00221x x y ya b -=.(2)过双曲线22221(0,0)x y a b a b-=>>外一点00(,)P x y 所引两条切线的切点弦方程是00221x x y ya b-=. (3)双曲线22221(0,0)x y a b a b-=>>与直线0Ax By C ++=相切的条件是22222A a B b c -=.100. 抛物线px y 22=的焦半径公式抛物线22(0)y px p =>焦半径02p CF x =+.过焦点弦长p x x px p x CD ++=+++=212122.101.抛物线px y 22=上的动点可设为P ),2(2 y py 或或)2,2(2pt pt P P (,)x y ,其中22y px =.102.二次函数2224()24b ac b y ax bx c a x a a-=++=++(0)a ≠的图象是抛物线:(1)顶点坐标为24(,)24b ac b a a --;(2)焦点的坐标为241(,)24b ac b a a-+-;(3)准线方程是2414ac b y a--=.103.抛物线的内外部(1)点00(,)P x y 在抛物线22(0)y px p =>的内部22(0)y px p ⇔<>. 点00(,)P x y 在抛物线22(0)y px p =>的外部22(0)y px p ⇔>>. (2)点00(,)P x y 在抛物线22(0)y px p =->的内部22(0)y px p ⇔<->. 点00(,)P x y 在抛物线22(0)y px p =->的外部22(0)y px p ⇔>->. (3)点00(,)P x y 在抛物线22(0)x py p =>的内部22(0)x py p ⇔<>. 点00(,)P x y 在抛物线22(0)x py p =>的外部22(0)x py p ⇔>>. (4) 点00(,)P x y 在抛物线22(0)x py p =>的内部22(0)x py p ⇔<>. 点00(,)P x y 在抛物线22(0)x py p =->的外部22(0)x py p ⇔>->.104. 抛物线的切线方程(1)抛物线px y 22=上一点00(,)P x y 处的切线方程是00()y y p x x =+.(2)过抛物线px y 22=外一点00(,)P x y 所引两条切线的切点弦方程是00()y y p x x =+.(3)抛物线22(0)y px p =>与直线0Ax By C ++=相切的条件是22pB AC =.105.两个常见的曲线系方程(1)过曲线1(,)0f x y =,2(,)0f x y =的交点的曲线系方程是12(,)(,)0f x y f x y λ+=(λ为参数).(2)共焦点的有心圆锥曲线系方程22221x y a k b k+=--,其中22max{,}k a b <.当22min{,}k a b >时,表示椭圆; 当2222min{,}max{,}a b k a b <<时,表示双曲线.106.直线与圆锥曲线相交的弦长公式 AB =1212|||AB x x y y ==-=-(弦端点A ),(),,(2211y xB y x ,由方程⎩⎨⎧=+=0)y ,x (F b kx y 消去y 得到02=++c bx ax ,0∆>,α为直线AB 的倾斜角,k 为直线的斜率).107.圆锥曲线的两类对称问题(1)曲线(,)0F x y =关于点00(,)P x y 成中心对称的曲线是00(2-,2)0F x x y y -=. (2)曲线(,)0F x y =关于直线0Ax By C ++=成轴对称的曲线是22222()2()(,)0A Ax By C B Ax By C F x y A B A B++++--=++. 108.“四线”一方程对于一般的二次曲线220Ax Bxy Cy Dx Ey F +++++=,用0x x 代2x ,用0y y 代2y ,用002x y xy +代xy ,用02x x +代x ,用02y y +代y 即得方程0000000222x y xy x x y yAx x B Cy y D E F ++++⋅++⋅+⋅+=,曲线的切线,切点弦,中点弦,弦中点方程均是此方程得到.109.证明直线与直线的平行的思考途径 (1)转化为判定共面二直线无交点; (2)转化为二直线同与第三条直线平行; (3)转化为线面平行; (4)转化为线面垂直; (5)转化为面面平行.110.证明直线与平面的平行的思考途径 (1)转化为直线与平面无公共点; (2)转化为线线平行; (3)转化为面面平行.111.证明平面与平面平行的思考途径 (1)转化为判定二平面无公共点; (2)转化为线面平行; (3)转化为线面垂直.112.证明直线与直线的垂直的思考途径 (1)转化为相交垂直; (2)转化为线面垂直;(3)转化为线与另一线的射影垂直; (4)转化为线与形成射影的斜线垂直. 113.证明直线与平面垂直的思考途径(1)转化为该直线与平面内任一直线垂直; (2)转化为该直线与平面内相交二直线垂直; (3)转化为该直线与平面的一条垂线平行; (4)转化为该直线垂直于另一个平行平面; (5)转化为该直线与两个垂直平面的交线垂直. 114.证明平面与平面的垂直的思考途径 (1)转化为判断二面角是直二面角; (2)转化为线面垂直.115.空间向量的加法与数乘向量运算的运算律 (1)加法交换律:a +b =b +a .(2)加法结合律:(a +b )+c =a +(b +c ). (3)数乘分配律:λ(a +b )=λa +λb .116.平面向量加法的平行四边形法则向空间的推广 始点相同且不在同一个平面内的三个向量之和,等于以这三个向量为棱的平行六面体的以公共始点为始点的对角线所表示的向量.117.共线向量定理对空间任意两个向量a 、b (b ≠0 ),a ∥b ⇔存在实数λ使a =λb .P A B 、、三点共线⇔||AP AB ⇔AP t AB =⇔(1)OP t OA tOB =-+.||AB CD ⇔AB 、CD 共线且AB CD 、不共线⇔AB tCD =且AB CD 、不共线.118.共面向量定理向量p 与两个不共线的向量a 、b 共面的⇔存在实数对,x y ,使p ax by =+. 推论 空间一点P 位于平面MAB 内的⇔存在有序实数对,x y ,使MP xMA yMB =+, 或对空间任一定点O ,有序实数对,x y ,使OP OM xMA yMB =++.119.对空间任一点O 和不共线的三点A 、B 、C ,满足OP xOA yOB zOC =++(x y z k ++=),则当1k =时,对于空间任一点O ,总有P 、A 、B 、C 四点共面;当1k ≠时,若O ∈平面ABC ,则P 、A 、B 、C 四点共面;若O ∉平面ABC ,则P 、A 、B 、C 四点不共面.C A B 、、、D 四点共面⇔AD 与AB 、AC 共面⇔AD x AB y AC =+⇔(1)OD x y OA xOB yOC =--++(O ∉平面ABC ).120.空间向量基本定理如果三个向量a 、b 、c 不共面,那么对空间任一向量p ,存在一个唯一的有序实数组x ,y ,z ,使p =x a +y b +z c .推论 设O 、A 、B 、C 是不共面的四点,则对空间任一点P ,都存在唯一的三个有序实数x ,y ,z ,使OP xOA yOB zOC =++.121.射影公式已知向量AB =a 和轴l ,e 是l 上与l 同方向的单位向量.作A 点在l 上的射影'A ,作B 点在l 上的射影'B ,则''||cos A B AB =〈a ,e 〉=a ·e122.向量的直角坐标运算设a =123(,,)a a a ,b =123(,,)b b b 则 (1)a +b =112233(,,)a b a b a b +++; (2)a -b =112233(,,)a b a b a b ---;(3)λa =123(,,)a a a λλλ (λ∈R); (4)a ·b =112233a b a b a b ++; 123.设A 111(,,)x y z ,B 222(,,)x y z ,则AB OB OA =-= 212121(,,)x x y y z z ---.124.空间的线线平行或垂直设111(,,)a x y z =,222(,,)b x y z =,则a b ⇔(0)a b b λ=≠⇔121212x x y y z zλλλ=⎧⎪=⎨⎪=⎩;a b ⊥⇔0a b ⋅=⇔1212120x x y y z z ++=.125.夹角公式设a =123(,,)a a a ,b =123(,,)b b b ,则 cos 〈a ,b 〉.推论 2222222112233123123()()()a b a b a b a a a b b b ++≤++++,此即三维柯西不等式.126. 四面体的对棱所成的角四面体ABCD 中, AC 与BD 所成的角为θ,则2222|()()|cos 2AB CD BC DA AC BDθ+-+=⋅.127.异面直线所成角cos |cos ,|a b θ==21||||||a b a b x ⋅=⋅+(其中θ(090θ<≤)为异面直线a b ,所成角,,a b 分别表示异面直线a b ,的方向向量)128.直线AB 与平面所成角sin||||AB marc AB m β⋅=(m 为平面α的法向量).129.若ABC ∆所在平面若β与过若AB 的平面α成的角θ,另两边AC ,BC 与平面α成的角分别是1θ、2θ,A B 、为ABC ∆的两个内角,则2222212sin sin (sin sin )sin A B θθθ+=+.特别地,当90ACB ∠=时,有22212sin sin sin θθθ+=.130.若ABC ∆所在平面若β与过若AB 的平面α成的角θ,另两边AC ,BC 与平面α成的角分别是1θ、2θ,''A B 、为ABO ∆的两个内角,则222'2'212tan tan (sin sin )tan A B θθθ+=+.特别地,当90AOB ∠=时,有22212sin sin sin θθθ+=. 131.二面角l αβ--的平面角cos||||m n arc m n θ⋅=或cos ||||m narc m n π⋅-(m ,n 为平面α,β的法向量).132.三余弦定理设AC 是α内的任一条直线,且BC ⊥AC ,垂足为C ,又设AO 与AB 所成的角为1θ,AB 与AC 所成的角为2θ,AO 与AC 所成的角为θ.则12cos cos cos θθθ=.133. 三射线定理若夹在平面角为ϕ的二面角间的线段与二面角的两个半平面所成的角是1θ,2θ,与二面角的棱所成的角是θ,则有22221212sin sin sin sin 2sin sin cos ϕθθθθθϕ=+- ;1212||180()θθϕθθ-≤≤-+(当且仅当90θ=时等号成立).134.空间两点间的距离公式若A 111(,,)x y z ,B 222(,,)x y z ,则,A B d =||AB AB AB =⋅=135.点Q 到直线l 距离h =(点P 在直线l 上,直线l 的方向向量a =PA ,向量b =PQ ).136.异面直线间的距离||||CD n d n ⋅=(12,l l 是两异面直线,其公垂向量为n ,C D 、分别是12,l l 上任一点,d 为12,l l 间的距离).137.点B 到平面α的距离||||AB n d n ⋅=(n 为平面α的法向量,AB 是经过面α的一条斜线,A α∈). 138.异面直线上两点距离公式2cos d mn θ=.',d EA AF =.d =('E AA F ϕ=--).(两条异面直线a 、b 所成的角为θ,其公垂线段'AA 的长度为h.在直线a 、b 上分别取两点E 、F ,'A E m =,AF n =,EF d =). 139.三个向量和的平方公式2222()222a b c a b c a b b c c a ++=+++⋅+⋅+⋅2222||||cos ,2||||cos ,2||||cos ,a b c a b a b b c b c c a c a =+++⋅+⋅+⋅140. 长度为l 的线段在三条两两互相垂直的直线上的射影长分别为123l l l 、、,夹角分别为123θθθ、、,则有2222123l l l l =++222123cos cos cos 1θθθ⇔++=222123sin sin sin 2θθθ⇔++=.(立体几何中长方体对角线长的公式是其特例).141. 面积射影定理'cos S S θ=.(平面多边形及其射影的面积分别是S 、'S ,它们所在平面所成锐二面角的为θ). 142. 斜棱柱的直截面已知斜棱柱的侧棱长是l ,侧面积和体积分别是S 斜棱柱侧和V 斜棱柱,它的直截面的周长和面积分别是1c 和1S ,则①1S c l =斜棱柱侧. ②1V S l =斜棱柱.143.作截面的依据三个平面两两相交,有三条交线,则这三条交线交于一点或互相平行. 144.棱锥的平行截面的性质如果棱锥被平行于底面的平面所截,那么所得的截面与底面相似,截面面积与底面面积的比等于顶点到截面距离与棱锥高的平方比(对应角相等,对应边对应成比例的多边形是相似多边形,相似多边形面积的比等于对应边的比的平方);相应小棱锥与小棱锥的侧面积的比等于顶点到截面距离与棱锥高的平方比.145.欧拉定理(欧拉公式)2V F E +-=(简单多面体的顶点数V 、棱数E 和面数F).(1)E =各面多边形边数和的一半.特别地,若每个面的边数为n 的多边形,则面数F 与棱数E 的关系:12E nF =; (2)若每个顶点引出的棱数为m ,则顶点数V 与棱数E 的关系:12E mV =. 146.球的半径是R ,则其体积343V R π=, 其表面积24S R π=.147.球的组合体(1)球与长方体的组合体:长方体的外接球的直径是长方体的体对角线长. (2)球与正方体的组合体:正方体的内切球的直径是正方体的棱长, 正方体的棱切球的直径是正方体的面对角线长, 正方体的外接球的直径是正方体的体对角线长. (3) 球与正四面体的组合体:棱长为a ,a . 148.柱体、锥体的体积13V Sh =柱体(S 是柱体的底面积、h 是柱体的高).13V Sh =锥体(S 是锥体的底面积、h 是锥体的高).149.分类计数原理(加法原理) 12n N m m m =+++. 150.分步计数原理(乘法原理) 12n N m m m =⨯⨯⨯. 151.排列数公式m n A =)1()1(+--m n n n =!!)(m n n -.(n ,m ∈N *,且m n ≤).注:规定1!0=.152.排列恒等式(1)1(1)m m n n A n m A -=-+;(2)1mmn n n A A n m -=-; (3)11m m n n A nA --=;(4)11n n nn n n nA A A ++=-;(5)11m m m n n n A A mA -+=+.(6) 1!22!33!!(1)!1n n n +⋅+⋅++⋅=+-.153.组合数公式m nC =m n m mA A =m m n n n ⨯⨯⨯+-- 21)1()1(=!!!)(m n m n -⋅(n ∈N *,m N ∈,且m n ≤).154.组合数的两个性质 (1)mn C =mn nC - ; (2) m n C +1-m nC =mn C 1+.注:规定10=n C .155.组合恒等式(1)11mm n n n m C C m --+=; (2)1m mn n n C C n m -=-;(3)11mm n n n C C m--=;(4)∑=nr r nC0=n2;(5)1121++++=++++r n r n r r r r r rC C C C C . (6)nn n r n n n n C C C C C 2210=++++++ . (7)14205312-+++=+++n n n n n n n C C C C C C . (8)1321232-=++++n n n n n n n nC C C C . (9)rn m r n r m n r m n r m C C C C C C C +-=+++0110 . (10)nn n n n n n C C C C C 22222120)()()()(=++++ .156.排列数与组合数的关系m m n n A m C =⋅! .157.单条件排列以下各条的大前提是从n 个元素中取m 个元素的排列. (1)“在位”与“不在位”①某(特)元必在某位有11--m n A 种;②某(特)元不在某位有11---m n m n A A (补集思想)1111---=m n n A A (着眼位置)11111----+=m n m m n A A A (着眼元素)种.(2)紧贴与插空(即相邻与不相邻)①定位紧贴:)(n m k k ≤≤个元在固定位的排列有km k n k k A A --种.②浮动紧贴:n 个元素的全排列把k 个元排在一起的排法有kk k n k n A A 11+-+-种.注:此类问题常用捆绑法;③插空:两组元素分别有k 、h 个(1+≤h k ),把它们合在一起来作全排列,k 个的一组互不能挨近的所有排列数有kh h h A A 1+种.(3)两组元素各相同的插空m 个大球n 个小球排成一列,小球必分开,问有多少种排法?当1+>m n 时,无解;当1+≤m n 时,有n m n nn m C A A 11++=种排法.(4)两组相同元素的排列:两组元素有m 个和n 个,各组元素分别相同的排列数为nn m C +. 158.分配问题(1)(平均分组有归属问题)将相异的m 、n 个物件等分给m 个人,各得n 件,其分配方法数共有mnn nn nn mn nn mn nmn n mn C C C C C N )!()!(22=⋅⋅⋅⋅⋅=-- . (2)(平均分组无归属问题)将相异的m ·n 个物体等分为无记号或无顺序的m 堆,其分配方法数共有mn nn n n n mn n n mn n mn n m mn m C C C C C N )!(!)!(!...22=⋅⋅⋅⋅=--.(3)(非平均分组有归属问题)将相异的)12m P(P=n +n ++n 个物体分给m 个人,物件必须被分完,分别得到1n ,2n ,…,m n 件,且1n ,2n ,…,m n 这m 个数彼此不相等,则其分配方法数共有!!...!!!! (212)11m n n n n p n p n n n m p m C C C N m m =⋅⋅=-.(4)(非完全平均分组有归属问题)将相异的)12m P(P=n +n ++n 个物体分给m 个人,物件必须被分完,分别得到1n ,2n ,…,m n 件,且1n ,2n ,…,m n 这m 个数中分别有a 、b 、c 、…个相等,则其分配方法数有!...!!!...211c b a m C C C N m m n n n n p n p ⋅⋅=- 12!!!!...!(!!!...)m p m n n n a b c =.(5)(非平均分组无归属问题)将相异的)12m P(P=n +n ++n 个物体分为任意的1n ,2n ,…,m n 件无记号的m 堆,且1n ,2n ,…,m n 这m 个数彼此不相等,则其分配方法数有!!...!!21m n n n p N =.(6)(非完全平均分组无归属问题)将相异的)12m P(P=n +n ++n 个物体分为任意的1n ,2n ,…,m n 件无记号的m 堆,且1n ,2n ,…,m n 这m 个数中分别有a 、b 、c 、…个相等,则其分配方法数有!...)!!(!!...!!21c b a n n n p N m =.(7)(限定分组有归属问题)将相异的p (2m p n n n =1+++)个物体分给甲、乙、丙,……等m 个人,物体必须被分完,如果指定甲得1n 件,乙得2n 件,丙得3n 件,…时,则无论1n ,2n ,…,m n 等m 个数是否全相异或不全相异其分配方法数恒有!!...!!...21211m n n n n p n p n n n p C C C N m m =⋅=-.159.“错位问题”及其推广。
高中数学常用公式大全一、集合。
1. 集合的基本运算。
- 交集:A∩ B = {xx∈ A且x∈ B}- 并集:A∪ B={xx∈ A或x∈ B}- 补集:∁_UA = {xx∈ U且x∉ A}(U为全集)2. 集合元素个数关系。
- n(A∪ B)=n(A)+n(B)-n(A∩ B)(n(A)表示集合A的元素个数)二、函数。
1. 函数的定义域。
- 分式函数y = (f(x))/(g(x)),g(x)≠0。
- 偶次根式函数y=sqrt[n]{f(x)}(n为偶数),f(x)≥slant0。
2. 函数的单调性。
- 设x_1,x_2∈[a,b],x_1 < x_2- 对于函数y = f(x),若f(x_1),则y = f(x)在[a,b]上单调递增;若f(x_1)>f(x_2),则y = f(x)在[a,b]上单调递减。
3. 函数的奇偶性。
- 对于函数y = f(x),定义域关于原点对称。
- 若f(-x)=f(x),则y = f(x)是偶函数;若f(-x)= - f(x),则y = f(x)是奇函数。
4. 一次函数y=kx + b(k≠0)- 斜率k=(y_2 - y_1)/(x_2 - x_1)。
5. 二次函数y = ax^2+bx + c(a≠0)- 对称轴x =-(b)/(2a),顶点坐标(-(b)/(2a),frac{4ac - b^2}{4a})。
- 当a>0时,函数开口向上,在x =-(b)/(2a)处取得最小值frac{4ac -b^2}{4a};当a < 0时,函数开口向下,在x=-(b)/(2a)处取得最大值frac{4ac -b^2}{4a}。
6. 指数函数y = a^x(a>0,a≠1)- 性质:当a > 1时,函数在R上单调递增;当0 < a < 1时,函数在R上单调递减。
7. 对数函数y=log_ax(a>0,a≠1)- 性质:当a > 1时,函数在(0,+∞)上单调递增;当0 < a < 1时,函数在(0,+∞)上单调递减。
高中必背88个数学公式1. 勾股定理:直角三角形的两条直角边的平方和等于斜边平方。
2. 余弦定理:在任意三角形中,一个角的余弦等于与该角相对的边的平方和减去另外两条边的平方的差再除以两倍的另一条边与该角相对的角的正弦的乘积。
3. 正弦定理:在任意三角形中,一个角的正弦等于与该角相对的边长和另外两条边长的比例的乘积。
4. 长方形面积公式:长方形的面积等于长乘以宽。
5. 平行四边形面积公式:平行四边形面积等于底边长乘以高。
6. 梯形面积公式:梯形的面积等于上底加下底乘以高再除以二。
7. 三角形面积公式:三角形面积等于底边长乘以高再除以二。
8. 圆面积公式:圆的面积等于圆周率乘以半径的平方。
9. 圆周长公式:圆的周长等于直径乘以圆周率。
10. 球体表面积公式:球体的表面积等于四倍的圆面积。
11. 球体体积公式:球体的体积等于四分之三的圆面积乘以半径的立方。
12. 一次函数方程: y = kx + b。
13. 二次函数方程: y = ax² + bx + c。
14. 等差数列通项公式: an = a1 + (n - 1)d,其中a1为首项,d为公差,an为第n项。
15. 等差数列前n项和公式: Sn = n(a1 + an)/2,其中a1为首项,an为第n项,n为项数。
16. 等比数列通项公式:an = a1 × qⁿ⁻¹,其中a1为首项,q为公比,n为项数。
17. 等比数列前n项和公式: Sn = a1(1 - qⁿ)/1 - q,其中a1为首项,q为公比,n为项数。
18. 三角函数正弦的定义:在直角三角形中,任意一锐角的正弦是指这个角的对边与这个角所在的斜边的比值。
19. 三角函数余弦的定义:在直角三角形中,任意一锐角的余弦是指这个角的邻边与这个角所在的斜边的比值。
20. 三角函数正切的定义:在直角三角形中,任意一锐角的正切是指这个角的对边与这个角的邻边的比值。
21. 三角函数余切的定义:在直角三角形中,任意一锐角的余切是指这个角的邻边与这个角的对边的比值。
高中数学必背公式大全1. 二次函数的标准形式:y = ax² + bx + c2. 三角函数的基本关系:sin(A±B)=sinAcosB±cosAsinB3. 余弦定理:a² = b² + c² - 2bc cosA4. 正弦定理:a/sinA = b/sinB = c/sinC5. 相似三角形的定义:两个三角形的相应角相等,且相应边成比例,则称两个三角形相似。
6. 三角形面积公式:S=1/2ab sinC7. 勾股定理:a² + b² = c²8. 平面向量的定义:平面向量是指在平面上的有向线段,它由起点和终点确定,其长度和方向确定。
9. 向量的加法:a+b=b+a10. 向量的减法:a-b=b-a高中数学公式大全总结1、二次函数的标准方程:y=ax^2+bx+c2、三角函数的基本公式:sinA=a/c,cosA=b/c,tanA=a/b3、勾股定理:a^2+b^2=c^24、直角三角形面积公式:S=1/2ab5、椭圆面积公式:S=πab6、圆的面积公式:S=πr^27、梯形面积公式:S=1/2(a+b)h8、平行四边形面积公式:S=ab9、正方形面积公式:S=a^210、圆柱体体积公式:V=πr^2h探索澳洲金融数学,展开你的金融数学之旅澳洲金融数学是一门涉及金融统计学、投资分析和金融工程的综合性学科。
它侧重于金融市场、金融产品和金融服务中经济学、数学和计算机科学知识的结合。
本文将为您提供了解更多澳洲金融数学的指南,帮助您开启探索之旅。
一、澳洲金融数学的定义澳洲金融数学是一门综合性学科,涉及金融统计学、投资分析和金融工程等领域。
它涉及金融市场、金融产品和金融服务相关的经济学、数学和计算机科学知识。
二、澳洲金融数学的内容澳洲金融数学的内容包括:金融数学基础、金融数学模型、金融产品定价、金融风险管理、金融统计学、金融工程、投资管理、金融市场分析等。
1.元素与集合的关系X∈A⇔X∉C U A X∈C U A⇔X∉A2.德摩根公式C U(A∩B)=C U AUC U B C U(A∪B)=C U A∩C U B3.包含关系A∩B=A⇔A∪B=B⇔A⊆B⇔C U B⊆C U A⇔A∩CU B=φ⇔CU A∪B=R.4.容斥原理card(AUB)=cardA+cardB-card(A∩B)card(AUB∪C)=cardA+cardB+cardC-card(A∩B)-card(A∩B)-card(B∩C)-card(C∩A)+card(A∩B∩C)5.集合{a1,a2,a3…an}的子集个数共有2n个;真子集有2n-1个;非空子集有2n-1个;非空的真子集有2n-2个.6.二次函数的解析式的三种形式(1)一般式f(x)=ax2+bx+c(a≠0);(2)顶点式f(x)=a(x-h)2+k(a≠0);(3)零点式f(x)=a(x-x1)(x-x2)(a≠0)7.解连不等式N<f(x)<M.常有以下转化形式N<f(x)<M⇔[f(x)-M][f(x)-N]<0⇔|f(x)-(M+N)/2|<(M-N)/2⇔f(x)-N/M-f(x)>0⇔1/f(x)-N>1/(M-N)8.方程f(x)=0在(k1,k2)上有且只有一个实根,与f(k1)f(k2)<0不等价,前者是后者的一个必要而不是充分条件,方程ax2+bx+C=0(a≠0)有且只有一个实根在(k1,k2)内等价于f(k1)f(k2)<0,或f(k1)=0且k1<-b/2a<(k1+k2)/2,或f(k2)=0且(k1+k2)/2<-b/2a<k29.闭区间上的二次函数的最值二次函数f(x)=ax2+bx+C(a≠0)在闭区间[p,q]上的最值只能在x=-b/2a处及区间的两端点处取得,具体如下:10.一元二次方程的实根分布依据:若f(m)f(n)<0,则方程f(x)=0在区间(m,n)内至少有一个实根.+pX+q,则设f(x)=X2(1)方程f(x)=0在区间(m+∞)内有根的充要条件为f(m)=0或p2-4q≥0,-p/2>m;(2)方程f(x)=0在区间(m,n)内有根的充要条件为f(m)f(n)<0或f(m)>0,f(n)>0,p2-4q≥0,m<-p/2<n或f(m)=0,af(n)>0或f(n)=0,af(m)>0;(3)方程f(x)=0在区间(-∞,n)内有根的充要条件为f(m)<0或p2-4q≥0,-p/2<m11.定区间上含参数的二次不等式恒成立的条件依据(1)在给定区间(-∞,+∞)的子区间L(形如[α,β],(-∞,β],[α,+∞)不同)上含参数的二次不等式f(x,t)≥0(t为参数)恒成立的充要条件是≥0(x∉L).f(x,t)min(2)在给定区间(-∞,+∞)的子区间上含参数的二次不等式f(x,t)≥0(t为参数)恒成立的充要条件是f(x,t)≥0(x∉L).max12.真值表p q非p P或q P且q真真假真真真假假真假假真真真假假假真假假13.常见结论的否定形式原结论反设词原结论反设词是不是至少有一个一个也没有都是不都是至多有一个至少有两个大于不大于至少有n个至多有(n-1)个小于不小于至多有n个至少有(n+1)个对所有X,成立存在某X,不成立P或q¬P且¬q对任何X,不成立存在某X,成立P且q¬P或¬q14.四种命题的相互关系原命题逆命题若q则p互逆若p则q互否互否否命题逆否命题若非p则非q互逆若非q则非p15.充要条件(1)充分条件:若P⇔q,则P是q充分条件.(2)必要条件:若q⇔P,则P是q必要条件.(3)充要条件:若P⇔q,且q⇔P,则P是q充要条件.注:如果甲是乙的充分条件,则乙是甲的必要条件;反之亦然.16.函数的单调性(1)设X1·X2∈[a,b],X1≠X2那么(X1-X2)[f(X1)-f(X2)]>0⇔[f(X1)-f(X2)]/(X1-X2)>0⇔f(x)在[a,b]上是增函数;(X1-X2)[f(X1)-f(X2)]<0⇔[f(X1)-f(X2)/(X1-X2)<0⇔f(x)在[a,b]上是减函数.(2)设函数y=f(x)在某个区间内可导,如果f’(x)>0,则f(x)为增函数;如果f’(x)<0,则f(x)为减函数.17.如果函数f(x)和g(x)都是减函数,则在公共定义域内,和函数f(x)+g(x)也是减函数,如果函数y=f(u)和u=g(x)在其对应的定义域上都是减函数。
高中必背88个数学公式数学公式是数学知识的重要组成部分,对于高中学生来说,掌握数学公式是提高数学能力和应对考试的重要手段。
下面是88个高中必背的数学公式,帮助学生系统地了解并掌握数学知识。
1.两点之间的距离公式:d=√((x2-x1)²+(y2-y1)²)2.两点之间的中点公式:((x1+x2)/2,(y1+y2)/2)3. 一元二次方程的根公式:x = (-b±√(b²-4ac))/2a4.直线的斜率公式:m=(y2-y1)/(x2-x1)5.直线的点斜式公式:y-y1=m(x-x1)6.直线的一般式公式:Ax+By+C=07. 平面直角坐标系中两直线的夹角公式:tanθ = ,(m1-m2)/(1+m1m2)8.点到直线的距离公式:d=,Ax+By+C,/√(A²+B²)9. 解三角形的余弦定理:c² = a² + b² - 2abcosC10. 解三角形的正弦定理:a/sinA = b/sinB = c/sinC11.正弦函数的周期:T=2π/ω12. 船头相对于岸的速度:v = vw + vb13.波速公式:v=λf14.频率公式:f=1/T15. 倍角公式:si n2θ = 2sinθcosθ16.三角形内角和公式:A+B+C=180°17.弧长公式:s=rθ18.扇形面积公式:A=1/2r²θ19.圆柱体积公式:V=πr²h20. 圆柱体表面积公式:S = 2πr² + 2πrh21.球体积公式:V=4/3πr³22.球体表面积公式:S=4πr²23.二次函数的顶点公式:(h,k)24.两个集合的交集公式:A∩B25.两个集合的并集公式:A∪B26.两个集合的补集公式:A'=U-A27.两个集合的差集公式:A-B=A∩B'28.同位角公式:∠a°=∠b°29.异位角公式:∠a°+∠b°=180°30.子午线长度公式:s=2πR31.等周角公式:∠A°=∠B°=∠C°=∠D°32.相邻角公式:∠a°+∠b°=180°33.平行线之间的角公式:∠1=∠234.对顶角公式:∠1=∠335.余角公式:∠a°=90°-∠b°36.同行角公式:∠a=∠b37.一个点关于原点的对称点公式:(-x,-y)38. 两圆相交面积公式:A = r²arccos((d²+r²-R²)/(2dr)) +R²arccos((d²+R²-r²)/(2dR)) - √(s(s-d)(s-r)(s-R))39.在方程中求极值的一般方法40.二项式展开公式:(a+b)ⁿ=Cⁿ₀aⁿb⁰+Cⁿ₁aⁿ⁻¹b¹+Cⁿ₂aⁿ⁻²b²+...+Cⁿⁿa⁰bⁿ41. 对数运算公式:(a^x)^y = a^(xy)42. 对数运算公式:log(a^m) = mloga43.指数函数的斜率公式:y=a^x44.速度的平均值公式:v=Δx/Δt45.加速度的平均值公式:a=Δv/Δt46. 速度的瞬时值公式:v = ds/dt47. 加速度的瞬时值公式:a = dv/dt48. 速度的平均值与瞬时值之间的关系:v = lim(Δt→0) Δs/Δt49. 加速度的平均值与瞬时值之间的关系:a = lim(Δt→0)Δv/Δt50. 一维随机运动的位移公式:x = v₀t + 1/2at²51. 一维随机运动的速度公式:v = v₀ + at52. 一维随机运动的加速度公式:v² = v₀² + 2ax53. 二维随机运动的位移公式:x = v₀xt + 1/2at²54. 二维随机运动的速度公式:v = v₀ + at55. 二维随机运动的加速度公式:v² = v₀² + 2ax56.匀速圆周运动的角度公式:θ=ωt57.匀速圆周运动的角速度公式:ω=Δθ/Δt58.匀速圆周运动的线速度公式:v=ωr59.匀速圆周运动的加速度公式:a=v²/r60.匀速圆周运动的周期公式:T=2π/ω61. 平抛运动的位移公式:x = v₀xt62. 平抛运动的速度公式:v = v₀ + gt63. 平抛运动的加速度公式:v² = v₀² + 2gx64.平抛运动的竖直上升时间公式:t=v₀/g65. 平抛运动的竖直上升高度公式:h = v₀t - 1/2gt²66. 平抛运动的最大高度公式:h_max = v₀²/2g67. 圆锥曲线的焦距公式:f = ae68.圆锥曲线的离心率公式:e=c/a69.圆锥曲线的短轴长度公式:b=a√(1-e²)70. 均匀变速运动的位移公式:s = v₀t + 1/2at²71. 均匀变速运动的速度公式:v = v₀ + at72. 均匀变速运动的加速度公式:v² = v₀² + 2as73.均匀变速运动的时间公式:t=(v-v₀)/a74. 斜抛运动的水平位移公式:x = v₀xt75.斜抛运动的水平速度公式:v_x=v₀x76. 斜抛运动的竖直位移公式:y = v₀yt - 1/2gt²77. 斜抛运动的竖直速度公式:v_y = v₀t - gt78. 斜抛运动的参数方程:x = v₀xt, y = v₀yt - 1/2gt²79. 阻力的特征速度公式:v = mg/k80. 阻力的质量与时间的关系:m = (v₀/g)(k - kv₀/g)81. 阻尼振动的运动方程公式:mx'' + bx' + kx = 082.声音强度的公式:I=P/A83. 声音强度的分贝公式:L = 10log(I/I₀)84. 牛顿第二定律公式:F = ma85.牛顿万有引力公式:F=G(m₁m₂/r²)86.功的计算公式:W=Fs87.功的机械功率公式:P=W/t88.功的势能转换公式:W=ΔPE+ΔKE以上是88个高中必背的数学公式,学生们可以通过反复背诵和练习,掌握这些公式,并应用于解题中,提高数学能力。
1 过两点有且只有一条直线2 两点之间线段最短3 同角或等角的补角相等4 同角或等角的余角相等5 过一点有且只有一条直线和已知直线垂直6 直线外一点与直线上各点连接的所有线段中,垂线段最短7 平行公理经过直线外一点,有且只有一条直线与这条直线平行8 如果两条直线都和第三条直线平行,这两条直线也互相平行9 同位角相等,两直线平行10 内错角相等,两直线平行11 同旁内角互补,两直线平行12两直线平行,同位角相等13 两直线平行,内错角相等14 两直线平行,同旁内角互补15 定理三角形两边的和大于第三边16 推论三角形两边的差小于第三边17 三角形内角和定理三角形三个内角的和等于180°18 推论1 直角三角形的两个锐角互余19 推论2 三角形的一个外角等于和它不相邻的两个内角的和20 推论3 三角形的一个外角大于任何一个和它不相邻的内角21 全等三角形的对应边、对应角相等22边角边公理(SAS) 有两边和它们的夹角对应相等的两个三角形全等23 角边角公理( ASA)有两角和它们的夹边对应相等的两个三角形全等24 推论(AAS) 有两角和其中一角的对边对应相等的两个三角形全等25 边边边公理(SSS) 有三边对应相等的两个三角形全等26 斜边、直角边公理(HL) 有斜边和一条直角边对应相等的两个直角三角形全等27 定理1 在角的平分线上的点到这个角的两边的距离相等28 定理2 到一个角的两边的距离相同的点,在这个角的平分线上29 角的平分线是到角的两边距离相等的所有点的集合30 等腰三角形的性质定理等腰三角形的两个底角相等(即等边对等角)31 推论1 等腰三角形顶角的平分线平分底边并且垂直于底边32 等腰三角形的顶角平分线、底边上的中线和底边上的高互相重合33 推论3 等边三角形的各角都相等,并且每一个角都等于60°34 等腰三角形的判定定理如果一个三角形有两个角相等,那么这两个角所对的边也相等(等角对等边)35 推论1 三个角都相等的三角形是等边三角形36 推论2 有一个角等于60°的等腰三角形是等边三角形37 在直角三角形中,如果一个锐角等于30°那么它所对的直角边等于斜边的一半38 直角三角形斜边上的中线等于斜边上的一半39 定理线段垂直平分线上的点和这条线段两个端点的距离相等40 逆定理和一条线段两个端点距离相等的点,在这条线段的垂直平分线上41 线段的垂直平分线可看作和线段两端点距离相等的所有点的集合42 定理1 关于某条直线对称的两个图形是全等形43 定理2 如果两个图形关于某直线对称,那么对称轴是对应点连线的垂直平分线44定理3 两个图形关于某直线对称,如果它们的对应线段或延长线相交,那么交点在对称轴上45逆定理如果两个图形的对应点连线被同一条直线垂直平分,那么这两个图形关于这条直线对称46勾股定理直角三角形两直角边a、b的平方和、等于斜边c的平方,即a^2+b^2=c^2 47勾股定理的逆定理如果三角形的三边长a、b、c有关系a^2+b^2=c^2 ,那么这个三角形是直角三角形48定理四边形的内角和等于360°49四边形的外角和等于360°50多边形内角和定理n边形的内角的和等于(n-2)×180°51推论任意多边的外角和等于360°52平行四边形性质定理1 平行四边形的对角相等53平行四边形性质定理2 平行四边形的对边相等54推论夹在两条平行线间的平行线段相等55平行四边形性质定理3 平行四边形的对角线互相平分56平行四边形判定定理1 两组对角分别相等的四边形是平行四边形57平行四边形判定定理2 两组对边分别相等的四边形是平行四边形58平行四边形判定定理3 对角线互相平分的四边形是平行四边形59平行四边形判定定理4 一组对边平行相等的四边形是平行四边形60矩形性质定理1 矩形的四个角都是直角61矩形性质定理2 矩形的对角线相等62矩形判定定理1 有三个角是直角的四边形是矩形63矩形判定定理2 对角线相等的平行四边形是矩形64菱形性质定理1 菱形的四条边都相等65菱形性质定理2 菱形的对角线互相垂直,并且每一条对角线平分一组对角66菱形面积=对角线乘积的一半,即S=(a×b)÷267菱形判定定理1 四边都相等的四边形是菱形68菱形判定定理2 对角线互相垂直的平行四边形是菱形69正方形性质定理1 正方形的四个角都是直角,四条边都相等70正方形性质定理2正方形的两条对角线相等,并且互相垂直平分,每条对角线平分一组对角71定理1 关于中心对称的两个图形是全等的72定理2 关于中心对称的两个图形,对称点连线都经过对称中心,并且被对称中心平分73逆定理如果两个图形的对应点连线都经过某一点,并且被这一点平分,那么这两个图形关于这一点对称74等腰梯形性质定理等腰梯形在同一底上的两个角相等75等腰梯形的两条对角线相等76等腰梯形判定定理在同一底上的两个角相等的梯形是等腰梯形77对角线相等的梯形是等腰梯形78平行线等分线段定理如果一组平行线在一条直线上截得的线段相等,那么在其他直线上截得的线段也相等79 推论1 经过梯形一腰的中点与底平行的直线,必平分另一腰80 推论2 经过三角形一边的中点与另一边平行的直线,必平分第三边81 三角形中位线定理三角形的中位线平行于第三边,并且等于它的一半82 梯形中位线定理梯形的中位线平行于两底,并且等于两底和的一半L=(a+b)÷2 S=L×h83 (1)比例的基本性质如果a:b=c:d,那么ad=bc如果ad=bc,那么a:b=c:d wc呁/S∕-?84 (2)合比性质如果a/b=c/d,那么(a±b)/b=(c±d)/d85 (3)等比性质如果a/b=c/d=…=m/n(b+d+…+n≠0),那么(a+c+…+m)/(b+d+…+n)=a/b86 平行线分线段成比例定理三条平行线截两条直线,所得的对应线段成比例87 推论平行于三角形一边的直线截其他两边(或两边的延长线),所得的对应线段成比例88 定理如果一条直线截三角形的两边(或两边的延长线)所得的对应线段成比例,那么这条直线平行于三角形的第三边89 平行于三角形的一边,并且和其他两边相交的直线,所截得的三角形的三边与原三角形三边对应成比例90 定理平行于三角形一边的直线和其他两边(或两边的延长线)相交,所构成的三角形与原三角形相似91 相似三角形判定定理1 两角对应相等,两三角形相似(ASA)92 直角三角形被斜边上的高分成的两个直角三角形和原三角形相似93 判定定理2 两边对应成比例且夹角相等,两三角形相似(SAS)94 判定定理3 三边对应成比例,两三角形相似(SSS)95 定理如果一个直角三角形的斜边和一条直角边与另一个直角三角形的斜边和一条直角边对应成比例,那么这两个直角三角形相似96 性质定理1 相似三角形对应高的比,对应中线的比与对应角平分线的比都等于相似比97 性质定理2 相似三角形周长的比等于相似比98 性质定理3 相似三角形面积的比等于相似比的平方99 任意锐角的正弦值等于它的余角的余弦值,任意锐角的余弦值等于它的余角的正弦值100任意锐角的正切值等于它的余角的余切值,任意锐角的余切值等于它的余角的正切值101圆是定点的距离等于定长的点的集合102圆的内部可以看作是圆心的距离小于半径的点的集合103圆的外部可以看作是圆心的距离大于半径的点的集合104同圆或等圆的半径相等105到定点的距离等于定长的点的轨迹,是以定点为圆心,定长为半径的圆106和已知线段两个端点的距离相等的点的轨迹,是着条线段的垂直平分线107到已知角的两边距离相等的点的轨迹,是这个角的平分线108到两条平行线距离相等的点的轨迹,是和这两条平行线平行且距离相等的一条直线109定理不在同一直线上的三点确定一个圆。
高中数学常用公式及常用结论1. 元素与集合的关系,.2.德摩根公式.3.包含关系4.容斥原理.5.集合的子集个数共有个;真子集有–1个;非空子集有–1个;非空的真子集有–2个.6.二次函数的解析式的三种形式(1)一般式;(2)顶点式;(3)零点式.7.解连不等式常有以下转化形式.8.方程在上有且只有一个实根,与不等价,前者是后者的一个必要而不是充分条件.特别地, 方程有且只有一个实根在内,等价于,或且,或且.9.闭区间上的二次函数的最值二次函数在闭区间上的最值只能在处及区间的两端点处取得,具体如下:(1)当a>0时,若,则;,,.(2)当a<0时,若,则,若,则,.10.一元二次方程的实根分布依据:若,则方程在区间内至少有一个实根 .设,则(1)方程在区间内有根的充要条件为或;(2)方程在区间内有根的充要条件为或或或;(3)方程在区间内有根的充要条件为或.11.定区间上含参数的二次不等式恒成立的条件依据(1)在给定区间的子区间(形如,,不同)上含参数的二次不等式(为参数)恒成立的充要条件是.(2)在给定区间的子区间上含参数的二次不等式(为参数)恒成立的充要条件是.(3)恒成立的充要条件是或.12.真值表pq非pp或qp且q真真假真真真假假真假假真真真假假假真假假13.常见结论的否定形式原结论反设词原结论反设词是不是至少有一个一个也没有都是不都是至多有一个至少有两个大于不大于至少有个至多有()个小于不小于至多有至少有(个)个对所有,成立存在某,不成立或且对任何,不成立存在某,成立且或14.四种命题的相互关系原命题互逆逆命题若p则q若q则p互互互为为互否否逆逆否否否命题逆否命题若非p则非q互逆若非q则非p15.充要条件(1)充分条件:若,则是充分条件.(2)必要条件:若,则是必要条件.(3)充要条件:若,且,则是充要条件.注:如果甲是乙的充分条件,则乙是甲的必要条件;反之亦然.16.函数的单调性(1)设那么上是增函数;上是减函数.(2)设函数在某个区间内可导,如果,则为增函数;如果,则为减函数.17.如果函数和都是减函数,则在公共定义域内,和函数也是减函数; 如果函数在其对应的定义域上都是减函数,则复合函数是增函数.18.奇偶函数的图象特征奇函数的图象关于原点对称,偶函数的图象关于y轴对称;反过来,如果一个函数的图象关于原点对称,那么这个函数是奇函数;如果一个函数的图象关于y轴对称,那么这个函数是偶函数.19.若函数是偶函数,则;若函数是偶函数,则.20.对于函数(),恒成立,则函数的对称轴是函数;两个函数与的图象关于直线对称.21.若,则函数的图象关于点对称; 若,则函数为周期为的周期函数.22.多项式函数的奇偶性多项式函数是奇函数的偶次项(即奇数项)的系数全为零.多项式函数是偶函数的奇次项(即偶数项)的系数全为零.23.函数(1)函数的图象关于直线对称.(2)函数的图象关于直线对称.24.两个函数图象的对称性(1)函数与函数的图象关于直线(即轴)对称.(2)函数与函数对称.(3)函数和的图象关于直线y=x对称.25.若将函数的图象右移、上移个单位,得到函数的图象;若将曲线的图象右移、上移个单位,得到曲线的图象.26.互为反函数的两个函数的关系.27.若函数存在反函数,则其反函数为,而函数是的反函数.28.几个常见的函数方程(1)正比例函数,.(2)指数函数,.(3)对数函数,.(4)幂函数,.(5)余弦函数,,.29.几个函数方程的周期(约定a>0)(1),则的周期T=a;(2),或,或,或,则的周期T=2a;(3),则的周期T=3a;(4)且,则的周期T=4a;(5),则的周期T=5a;(6),则的周期T=6a.30.分数指数幂(1)(,且).(2)(,且).31.根式的性质(1).(2)当为奇数时,;当为偶数时,.32.有理指数幂的运算性质(1).(2).(3).注:若a>0,p是一个无理数,则ap表示一个确定的实数.上述有理指数幂的运算性质,对于无理数指数幂都适用.33.指数式与对数式的互化式.34.对数的换底公式(,且,,且,).推论(,且,,且,,).35.对数的四则运算法则若a>0,a≠1,M>0,N>0,则(1);(2);(3).36.设函数,记.若的定义域为,则,且;若的值域为,则,且.对于的情形,需要单独检验.37. 对数换底不等式及其推广若,,,,则函数(1)当时,在和上为增函数., (2)当时,在和上为减函数.推论:设,,,且,则(1).(2).38. 平均增长率的问题如果原来产值的基础数为N,平均增长率为,则对于时间的总产值,有.39.数列的同项公式与前n项的和的关系( 数列的前n项的和为).40.等差数列的通项公式;其前n项和公式为.41.等比数列的通项公式;其前n项的和公式为或.42.等比差数列:的通项公式为;其前n项和公式为.43.分期付款(按揭贷款)每次还款元(贷款元,次还清,每期利率为).44.常见三角不等式(1)若,则.(2) 若,则.(3).45.同角三角函数的基本关系式,=,.46.正弦、余弦的诱导公式(n为偶数)(n为奇数)(n为偶数)(n为奇数)47.和角与差角公式;;.(平方正弦公式);.=(辅助角所在象限由点的象限决定,).48.二倍角公式...49. 三倍角公式...50.三角函数的周期公式函数,x∈R及函数,x∈R(A,ω,为常数,且A≠0,ω>0)的周期;函数,(A,ω,为常数,且A≠0,ω>0)的周期.51.正弦定理.52.余弦定理;;.53.面积定理(1)(分别表示a、b、c边上的高).(2).(3).54.三角形内角和定理在△ABC中,有.55. 简单的三角方程的通解...特别地,有...56.最简单的三角不等式及其解集......57.实数与向量的积的运算律设λ、μ为实数,那么(1) 结合律:λ(μa)=(λμ)a;(2)第一分配律:(λ+μ)a=λa+μa;(3)第二分配律:λ(a+b)=λa+λb.58.向量的数量积的运算律:(1) a·b= b·a (交换律);(2)(a)·b=(a·b)=a·b= a·(b);(3)(a+b)·c= a ·c +b·c.59.平面向量基本定理如果e1、e 2是同一平面内的两个不共线向量,那么对于这一平面内的任一向量,有且只有一对实数λ1、λ2,使得a=λ1e1+λ2e2.不共线的向量e1、e2叫做表示这一平面内所有向量的一组基底.60.向量平行的坐标表示设a=,b=,且b0,则ab(b0).53. a与b的数量积(或内积)a·b=|a||b|cosθ.61. a·b的几何意义数量积a·b等于a的长度|a|与b在a的方向上的投影|b|cosθ的乘积.62.平面向量的坐标运算(1)设a=,b=,则a+b=.(2)设a=,b=,则a-b=.(3)设A,B,则.(4)设a=,则a=.(5)设a=,b=,则a·b=.63.两向量的夹角公式(a=,b=).64.平面两点间的距离公式=(A,B).65.向量的平行与垂直设a=,b=,且b0,则A||bb=λa.ab(a0)a·b=0.66.线段的定比分公式设,,是线段的分点,是实数,且,则().67.三角形的重心坐标公式△ABC三个顶点的坐标分别为、、,则△ABC的重心的坐标是.68.点的平移公式.注:图形F上的任意一点P(x,y)在平移后图形上的对应点为,且的坐标为.69.“按向量平移”的几个结论(1)点按向量a=平移后得到点.(2) 函数的图象按向量a=平移后得到图象,则的函数解析式为.(3) 图象按向量a=平移后得到图象,若的解析式,则的函数解析式为.(4)曲线:按向量a=平移后得到图象,则的方程为.(5) 向量m=按向量a=平移后得到的向量仍然为m=.70. 三角形五“心”向量形式的充要条件设为所在平面上一点,角所对边长分别为,则(1)为的外心.(2)为的重心.(3)为的垂心.(4)为的内心.(5)为的的旁心.71.常用不等式:(1)(当且仅当a=b时取“=”号).(2)(当且仅当a=b时取“=”号).(3)(4)柯西不等式(5).72.极值定理已知都是正数,则有(1)若积是定值,则当时和有最小值;(2)若和是定值,则当时积有最大值.推广已知,则有(1)若积是定值,则当最大时,最大;当最小时,最小.(2)若和是定值,则当最大时,最小;当最小时,最大.73.一元二次不等式,如果与同号,则其解集在两根之外;如果与异号,则其解集在两根之间.简言之:同号两根之外,异号两根之间.;.74.含有绝对值的不等式当a> 0时,有.或.75.无理不等式(1).(2).(3).76.指数不等式与对数不等式(1)当时,;.(2)当时,;77.斜率公式(、).78.直线的五种方程(1)点斜式(直线过点,且斜率为).(2)斜截式(b为直线在y轴上的截距).(3)两点式()(、()).(4)截距式(分别为直线的横、纵截距,)(5)一般式(其中A、B不同时为0).79.两条直线的平行和垂直(1)若,①;②.(2)若,,且A1、A2、B1、B2都不为零, ①;②;80.夹角公式(1).(,,)(2).(,,).直线时,直线l1与l2的夹角是.81.到的角公式(1).(,,)(2).(,,).直线时,直线l1到l2的角是.82.四种常用直线系方程(1)定点直线系方程:经过定点的直线系方程为(除直线),其中是待定的系数; 经过定点的直线系方程为,其中是待定的系数.(2)共点直线系方程:经过两直线,的交点的直线系方程为(除),其中λ是待定的系数.(3)平行直线系方程:直线中当斜率k一定而b变动时,表示平行直线系方程.与直线平行的直线系方程是(),λ是参变量.(4)垂直直线系方程:与直线(A≠0,B≠0)垂直的直线系方程是,λ是参变量.83.点到直线的距离(点,直线:).。