20道化简求值的题
- 格式:doc
- 大小:17.00 KB
- 文档页数:3
化简求值专项练习题1.先化简,再求值:2(3a2﹣ab)﹣3(2a2﹣ab),其中a=﹣2,b=3.2.先化简,再求值:6a2b﹣(﹣3a2b+5ab2)﹣2(5a2b﹣3ab2),其中a=﹣2,b=.3.先化简,再求值:3x2y2﹣[5xy2﹣(4xy2﹣3)+2x2y2],其中x=﹣3,y=2.4.先化简,再求值:5ab2+3a2b﹣3(a2b﹣ab2),其中a=2,b=﹣1.5.先化简,再求值:2x2﹣y2+(2y2﹣x2)﹣3(x2+2y2),其中x=3,y=﹣2.6.先化简,再求值:5x2﹣[x2+(5x2﹣2x)﹣2(x2﹣3x)],其中x=.7.先化简,再求值:(6a2﹣6ab﹣12b2)﹣3(2a2﹣4b2),其中a=﹣,b=﹣8.8.先化简,再求值:x2y﹣(2xy﹣x2y)+xy,其中x=﹣1,y=﹣2.9.先化简,再求值:5(xy+3x2﹣2y)﹣3(xy+5x2﹣2y),其中x=,y=﹣1.10.当|a|=3,b=a﹣2时,化简代数式1﹣{a﹣b﹣[a﹣(b﹣a)+b]}后,再求这个代数式的值.11.先化简,再求值:a2﹣(2a2+2ab﹣b2)+(a2﹣ab﹣b2),其中a=3,b=﹣2.12.先化简,再求值:3a2﹣(2ab+b2)+(﹣a2+ab+2b2),其中a=﹣1,b=2.13.先化简再求值,已知a=﹣2,b=﹣1,c=3,求代数式5abc﹣2a2b﹣[(4ab2﹣a2b)﹣3abc]的值.14.先化简,再求值:﹣2(ab﹣3a2)﹣[a2﹣5(ab﹣a2)+6ab],其中a=2,b=﹣3.15.先化简,再求值:3a3﹣[a3﹣3b+(6a2﹣7a)]﹣2(a3﹣3a2﹣4a+b)其中a=2,b=﹣1,16.先化简,再求值:(5a2b+4b3﹣2ab2+3a3)﹣(2a3﹣5ab2+3b3+2a2b),其中a=﹣2,b=3.17.先化简,再求值:(a2﹣3ab﹣2b2)﹣(a2﹣2b2),其中,b=﹣8.18.先化简,再求值:8mn﹣[4m2n﹣(6mn2+mn)]﹣29mn2,其中m=﹣1,n=.19.化简求值:3(x3﹣2y2﹣xy)﹣2(x3﹣3y2+xy),其中x=3,y=1.20.先化简再求值:3x2y﹣[2xy2﹣2(xy﹣x2y)+xy]+3xy2,其中x=,y=﹣5.整式化简求值90题参考答案:1.原式=6a2﹣2ab﹣6a2+3ab=ab,当a=﹣2,b=3时,原式=ab=﹣2×3=﹣6.2.原式=6a2b+3a2b﹣5ab2﹣10a2b+6ab2=﹣a2b+ab2 ,把a=﹣2,b=代入上式得:原式=﹣(﹣2)2×+(﹣2)×2=﹣2﹣=﹣2.3.原式=3x2y2﹣5xy2+4xy2﹣3﹣2x2y2=x2y2﹣xy2﹣3当x=﹣3,y=2时,原式=454.原式=5ab2+3a2b﹣3a2b+2ab2=7ab2.当a=2,b=﹣1时,原式=7×2×(﹣1)2=14.5.原式=2x2﹣y2+2y2﹣x2﹣3x2﹣6y2=﹣2x2﹣5y2.当x=3,y=﹣2时,原式=﹣18﹣20=﹣38.6.原式=5x2﹣(x2+5x2﹣2x﹣2x2+6x)=x2﹣4x当x=时,原式=7.原式=6a2﹣6ab﹣12b2﹣6a2+12b2=﹣6ab,当a=﹣,b=﹣8时,原式=﹣6×(﹣)×(﹣8)=﹣24.8.原式=x2y﹣2xy+x2y+xy=2x2y﹣xy,当x=﹣1,y=﹣2时,原式=2×(﹣1)2×(﹣2)﹣(﹣1)×(﹣2)=﹣6.9.原式=5xy+15x2﹣10y﹣3xy﹣15x2+6y=2xy﹣4y,当x=,y=﹣1时,原式=2××(﹣1)﹣4×(﹣1)=3.10.原式=1+a+b;当a=3时,b=1,代数式的值为5;当a=﹣3时,b=﹣5,代数式的值为﹣7.a2﹣(2a2+2ab﹣b2)+(a2﹣ab﹣b2)11.原式==a2﹣2a2﹣2ab+b2+a2﹣ab﹣b2=﹣a2﹣3ab.当a=3,b=﹣2时,原式=﹣×32﹣3×3×(﹣2)=﹣3+18=1512.原式=2a2﹣ab+b2当a=﹣1,b=2.原式=2a2﹣ab+b2=2×(﹣1)2﹣(﹣1)×2+22= 813.原式=5abc﹣2a2b﹣4ab2+a2b+3abc=8abc﹣a2b﹣4ab2;a=﹣2,b=﹣1,c=3时,原式=8×2×1×3﹣4×(﹣1)﹣4×(﹣2)×1=60.14.原式=﹣2ab+6a2﹣(a2﹣5ab+5a2+6ab)=﹣2ab+6a2﹣a2+5ab﹣5a2﹣6ab=﹣3ab;当a=2,b=﹣3时,原式=﹣3×2×(﹣3)=1815.原式=3a3﹣[a3﹣3b+6a2﹣7a]﹣2a3+6a2+8a﹣2b=3a3﹣a3+3b﹣6a2+7a﹣2a3+6a2+8a﹣2b=15a+b当a=2,b=﹣1时,原式=15×2﹣1=29.16.原式=5a2b+4b3﹣2ab2+3a3﹣2a3+5ab2﹣3b3﹣2a2b=a3+3a2b+3ab2+b3,当a=﹣2,b=3时,原式=(﹣2)3+3×(﹣2)2×3+3×(﹣2)×32+33=﹣8+36﹣54+27=1.17.原式=a2﹣3ab﹣2b2﹣a2+2b2=﹣3ab,当,b=﹣8时,原式=﹣3×()×(﹣8)=﹣12.18.原式=8mn﹣[4m2n﹣6mn2﹣mn]﹣29mn2=8mn﹣4m2n+6mn2+mn﹣29mn2=9mn﹣4m2n﹣23mn2当m=﹣1,n=时,原式=9×(﹣1)×﹣4×12×﹣23×(﹣1)×=﹣﹣2+=﹣.19.原式=3x3﹣6y2﹣3xy﹣3x3+6y2﹣2xy=﹣5xy,当x=3,y=1时,原式=﹣5×3×1=﹣15.20.原式=3x2y﹣[2xy2﹣(2xy﹣3x2y)+xy]+3xy2=3x2y﹣(2xy2﹣2xy+3x2y+xy)+3xy2=3x2y﹣2xy2+2xy﹣3x2y﹣xy+3xy2=xy+xy2,当x=,y=﹣5时,原式=×(﹣5)+×25=.。
化间求值:1、-9(x-2)-y(x-5)(1)化简整个式子。
(2)当x=5时,求y的解。
2、5(9+a)×b-5(5+b)×a(1)化简整个式子。
(2)当a=5/7时,求式子的值。
3、62g+62(g+b)-b(1)化简整个式子。
(2)当g=5/7时,求b的解。
4、3(x+y)-5(4+x)+2y(1)化简整个式子。
5、(x+y)(x-y)(1)化简整个式子。
6、2ab+a×a-b(1)化简整个式子。
7、5.6x+4(x+y)-y(1)化简整个式子。
8、6.4(x+2.9)-y+2(x-y)(1)化简整个式子。
9、(2.5+x)(5.2+y)(1)化简整个式子。
3.3ab-4ab+8ab-7ab+ab=______.4.7x-(5x-5y)-y=______.5.23a3bc2-15ab2c+8abc-24a3bc2-8abc=______.6.-7x2+6x+13x2-4x-5x2=______.7.2y+(-2y+5)-(3y+2)=______.11.(2x2-3xy+4y2)+(x2+2xy-3y2)=______.12.2a-(3a-2b+2)+(3a-4b-1)=______.13.-6x2-7x2+15x2-2x2=______.14.2x-(x+3y)-(-x-y)-(x-y)=______.16.2x+2y-[3x-2(x-y)]=______.17.5-(1-x)-1-(x-1)=______.18.( )+(4xy+7x2-y2)=10x2-xy.19.(4xy2-2x2y)-( )=x3-2x2y+4xy2+y3.21.已知A=x3-2x2+x-4,B=2x3-5x+3,计算A+B=______.22.已知A=x3-2x2+x-4,B=2x3-5x+3,计算A-B=______.23.若a=-0.2,b=0.5,代数式-(|a2b|-|ab2|)的值为______.25.一个多项式减去3m4-m3-2m+5得-2m4-3m3-2m2-1,那么这个多项式等于______.26.-(2x2-y2)-[2y2-(x2+2xy)]=______.27.若-3a3b2与5ax-1by+2是同类项,则x=______,y=______.28.(-y+6+3y4-y3)-(2y2-3y3+y4-7)=______.29.化简代数式4x2-[7x2-5x-3(1-2x+x2)]的结果是______.30.2a-b2+c-d3=2a+( )-d3=2a-d3-( )=c-( ).31.3a-(2a-3b)+3(a-2b)-b=______.32.化简代数式x-[y-2x-(x+y)]等于______.33.[5a2+( )a-7]+[( )a2-4a+( )]=a2+2a+1.34.3x-[y-(2x+y)]=______.35.化简|1-x+y|-|x-y|(其中x<0,y>0)等于______.36.已知x≤y,x+y-|x-y|=______.37.已知x<0,y<0,化简|x+y|-|5-x-y|=______.38.4a2n-an-(3an-2a2n)=______.39.若一个多项式加上-3x2y+2x2-3xy-4得2x2y+3xy2-x2+2xy,则这个多项式为______.40.-5xm-xm-(-7xm)+(-3xm)=______.41.当a=-1,b=-2时,[a-(b-c)]-[-b-(-c-a)]=______.43.当a=-1,b=1,c=-1时,-[b-2(-5a)]-(-3b+5c)=______.44.-2(3x+z)-(-6x)+(-5y+3z)=______.45.-5an-an+1-(-7an+1)+(-3an)=______.46.3a-(2a-4b-6c)+3(-2c+2b)=______.48.9a2+[7a2-2a-(-a2+3a)]=______.50.当2y-x=5时,5(x-2y)2-3(-x+2y)-100=______.(二)选择52.下列各式中计算结果为-7x-5x2+6x3的是[ ] A.3x-(5x2+6x3-10x);B.3x-(5x2+6x3+10x);C.3x-(5x2-6x3+10x);D.3x-(5x2-6x3-10x).53.把(-x-y)+3(x+y)-5(x+y)合并同类项得[ ]A.(x-y)-2(x+y);B.-3(x+y);C.(-x-y)-2(x+y);D.3(x+y).54.2a-[3b-5a-(2a-7b)]等于[ ]A.-7a+10b;B.5a+4b;C.-a-4b;D.9a-10b.55.减去-3m等于5m2-3m-5的代数式是[ ]A.5(m2-1);B.5m2-6m-5;C.5(m2+1);D.-(5m2+6m-5).56.将多项式2ab-9a2-5ab-4a2中的同类项分别结合在一起,应为[ ] A.(9a2-4a2)+(-2ab-5ab);B.(9a2+4a2)-(2ab-5ab);C.(9a2-4a2)-(2ab+5ab);D.(9a2-4a2)+(2ab-5ab).57.当a=2,b=1时,-a2b+3ba2-(-2a2b)等于[ ] A.20;B.24;C.0;D.16.59.若A和B均为五次多项式,则A-B一定是[ ] A.十次多项式;B.零次多项式;C.次数不高于五次的多项式;D.次数低于五次的多项式.60.-{[-(x+y)]}+{-[(x+y)]}等于[ ]A.0;B.-2y;C.x+y;D.-2x-2y.61.若A=3x2-5x+2,B=3x2-5x+6,则A与B的大小是A.A>B;B.A=B;C.A<B;D.无法确定.62.当m=-1时,-2m2-[-4m2+(-m2)]等于[ ]A.-7;B.3;C.1;D.2.63.当m=2,n=1时,多项式-m-[-(2m-3n)]+[-(-3m)-4n]等于[ ] A.1;B.9;C.3;D.5.69.4x2y-5xy2的结果应为[ ]A.-x2y;B.-1;C.-x2y2;D.以上答案都不对.(三)化简70.(4x2-8x+5)-(x3+3x2-6x+2).72.(0.3x3-x2y+xy2-y3)-(-0.5x3-x2y+0.3xy2).73.-{2a2b-[3abc-(4ab2-a2b)]}.74.(5a2b+3a2b2-ab2)-(-2ab2+3a2b2+a2b).75.(x2-2y2-z2)-(-y2+3x2-z2)+(5x2-y2+2z2).76.(3a6-a4+2a5-4a3-1)-(2-a+a3-a5-a4).77.(4a-2b-c)-5a-[8b-2c-(a+b)].78.(2m-3n)-(3m-2n)+(5n+m).79.(3a2-4ab-5b2)-(2b2-5a2+2ab)-(-6ab).80.xy-(2xy-3z)+(3xy-4z).81.(-3x3+2x2-5x+1)-(5-6x-x2+x3).83.3x-(2x-4y-6x)+3(-2z+2y).84.(-x2+4+3x4-x3)-(x2+2x-x4-5).85.若A=5a2-2ab+3b2,B=-2b2+3ab-a2,计算A+B.86.已知A=3a2-5a-12,B=2a2+3a-4,求2(A-B).87.2m-{-3n+[-4m-(3m-n)]}.88.5m2n+(-2m2n)+2mn2-(+m2n).89.4(x-y+z)-2(x+y-z)-3(-x-y-z).90.2(x2-2xy+y2-3)+(-x2+y2)-(x2+2xy+y2).92.2(a2-ab-b2)-3(4a-2b)+2(7a2-4ab+b2).94.4x-2(x-3)-3[x-3(4-2x)+8].(四)将下列各式先化简,再求值97.已知a+b=2,a-b=-1,求3(a+b)2(a-b)2-5(a+b)2×(a-b)2的值.98.已知A=a2+2b2-3c2,B=-b2-2c2+3a2,C=c2+2a2-3b2,求(A-B)+C.99.求(3x2y-2xy2)-(xy2-2x2y),其中x=-1,y=2.101.已知|x+1|+(y-2)2=0,求代数式5(2x-y)-3(x-4y)的值.106.当P=a2+2ab+b2,Q=a2-2ab-b2时,求P-[Q-2P-(P-Q)].107.求2x2-{-3x+5+[4x2-(3x2-x-1)]}的值,其中x=-3.110.当x=-2,y=-1,z=3时,求5xyz-{2x2y-[3xyz-(4xy2-x2y)]}的值.113.已知A=x3-5x2,B=x2-6x+3,求A-3(-2B).(五)综合练习115.去括号:{-[-(a+b)]}-{-[-(a-b)]}.116.去括号:-[-(-x)-y]-[+(-y)-(+x)].117.已知A=x3+6x-9,B=-x3-2x2+4x-6,计算2A-3B,并把结果放在前面带“-”号的括号内.118.计算下式,并把结果放在前面带“-”号的括号内:(-7y2)+(-4y)-(-y2)-(+5y)+(-8y2)+(+3y).119.去括号、合并同类项,将结果按x的升幂排列,并把后三项放在带有“-”号的括号内:120.不改变下式的值,将其中各括号前的符号都变成相反的符号:(x3+3x2)-(3x2y-7xy)+(2y3-3y2).121.把多项式4x2y-2xy2+4xy+6-x2y2+x3-y2的三次项放在前面带有“-”号的括号内,二次项放在前面带有“+”号的括号内,四次项和常数项放在前面带有“-”号的括号内.122.把下列多项式的括号去掉,合并同类项,并将其各项放在前面带有“-”号的括号内,再求2x-2[3x-(5x2-2x+1)]-4x2的值,其中x=-1.123.合并同类项:7x-1.3z-4.7-3.2x-y+2.1z+5-0.1y.124.合并同类项:5m2n+5mn2-mn+3m2n-6mn2-8mn.126.去括号,合并同类项:(1)(m+1)-(-n+m);(2)4m-[5m-(2m-1)].127.化简:2x2-{-3x-[4x2-(3x2-x)+(x-x2)]}.128.化简:-(7x-y-2z)-{[4x-(x-y-z)-3x+z]-x}.129.计算:(+3a)+(-5a)+(-7a)+(-31a)-(+4a)-(-8a).130.化简:a3-(a2-a)+(a2-a+1)-(1-a4+a3).131.将x2-8x+2x3-13x2-2x-2x3+3先合并同类项,再求值,其中x=-4.132.在括号内填上适当的项:[( )-9y+( )]+2y2+3y-4=11y2-( )+13.133.在括号内填上适当的项:(-x+y+z)(x+y-z)=[y-( )][y+( )].134.在括号内填上适当的项:(3x2+xy-7y2)-( )=y2-2xy-x2.135.在括号内填上适当的项:(1)x2-xy+y-1=x2-( );(2)[( )+6x-7]-[4x2+( )-( )]=x2-2x+1.136.计算4x2-3[x+4(1-x)-x2]-2(4x2-1)的值.137.化简:138.用竖式计算(-x+5+2x4-6x3)-(3x4+2x2-3x3-7).139.已知A=11x3+8x2-6x+2,B=7x3-x2+x+3,求2(3A-2B).140.已知A=x3-5x2,B=x3-11x+6,C=4x-3,求(1)A-B-C;(2)(A-B-C)-(A-B+C).141.已知A=3x2-4x3,B=x3-5x2+2,计算(1)A+B;(2)B-A.142.已知x<-4,化简|-x|+|x+4|-|x-4|.146.求两代数式-1.56a+3.2a3-0.47,2.27a3-0.02a2+4.03a+0.53的差与6-0.15a+3.24a2+5.07a3的和.-0.3,y=-0.2.150.已知(x-3)2+|y+1|+z2=0,求x2-2xy-5x2+12xz+3xy-z2-8xz-2x2的值.。
化简求值专项练习题1、化简,求值:111(11222+---÷-+-m m m m m m ), 其中m =3.2、先化简,再求代数式2221111x x x x -+---的值,其中x=tan600-tan4503、化简:xx x x x x x x x 416)44122(2222+-÷+----+, 其中22+=x4、计算:332141222+-+÷⎪⎭⎫ ⎝⎛---+a a a a a a a .5、先化简22()5525x x x x x x -÷---,然后从不等组23212x x --≤⎧⎨<⎩的解集中,选取一个你认为符合题意的x 的值代入求值.6、先化简,再求值:13x -·32269122x x x x x x x-+----,其中x =-6.7、先化简:再求值:⎝⎛⎭⎫1-1a -1÷a 2-4a +4a 2-a ,其中a =2+ 2 .8、先化简,再求值:a -1a +2·a 2+2a a 2-2a +1÷1a 2-1,其中a 为整数且-3<a <2.9、先化简,再求值:222211y xy x x y x y x ++÷⎪⎪⎭⎫ ⎝⎛++-,其中1=x ,2-=y .10、先化简,再求值:2222(2)42x x x x x x -÷++-+,其中12x =.11、先化简,再求值:222112()2442x x x x x x-÷--+-,其中2x =(tan45°-cos30°)12、22221(1)121a a a a a a +-÷+---+.13、先化简再求值:1112421222-÷+--•+-a a a a a a ,其中a 满足20a a -=.14、先化简:144)113(2++-÷+-+a a a a a ,并从0,1-,2中选一个合适的数作为a 的值代入求值。
初中数学代数式化简求值练习题(含答案)1、已知x=1,求代数式x²+x(x-2)+(x+1)(x-1)的值。
2、已知x= -2,求代数式3(x-1)²+4x(x+2)-10的值。
3、先化简,再求值:2(x-3)(x+2)-(3+x)(3-x)-3(x-1)2,其中x=-2。
4、先化简再求值∶(2x³-2y²)-3(x³y²+x³)+2(y²+y²x³),其中x=-1,y=2。
5、先化简,再求值:(3x²y-2xy²)-2(xy²-2x²y),其中x=2,y=-1。
6、先化简,再求值:5y(2x²y+3xy²)-3x(4xy²+3x²y),其中x=1,y=-1。
7、先化简,再求值:(3x²y-xy²)-2(xy²-3x²y),其中x=-2,y=3。
8、先化简,再求值:(3x²y-2xy²)-2(xy²-2x²y),其中x=2,y=-1。
9、若x²+2y²=5,求多项式(3x²-2xy+y²)-(x²-2xy-3y²)的值。
10、先化简,再求值:5x²+4-3x²-5x-2x²-5+6x,其中x=-3。
11、先化简,再求值:2(x+x²y)-2/3(3x²y+3/2x)-y²,其中x=1,y=-3。
12、先化简,再求值:(4x²y-3xy)+(-5x²y+2xy)-(2yx²-1),其中x=2,y=1/2。
13、先化简,再求值:2x²y-[2xy²-2(-x²y+4xy²)],其中x=1/2,y=-2。
有理数绝对值化简求值题20道一、基础题型1. 已知a = - 3,求| a|的值。
- 解析:根据绝对值的定义,正数的绝对值是它本身,负数的绝对值是它的相反数,0的绝对值是0。
因为a=-3是负数,所以| a|=-a = -(-3)=3。
2. 若b = 5,求| b|的值。
- 解析:由于b = 5是正数,正数的绝对值是它本身,所以| b|=b = 5。
3. 已知c=0,求| c|的值。
- 解析:0的绝对值是0,所以| c| = 0。
二、含有简单运算的题型4. 已知x=-2,求| x + 1|的值。
- 解析:先计算x + 1=-2+1=-1,因为-1是负数,所以| x + 1|=-(x + 1)=-(-1)=1。
5. 若y = 3,求| y-2|的值。
- 解析:先计算y-2 = 3-2 = 1,1是正数,所以| y-2|=y - 2=1。
6. 已知m=-4,求| 2m|的值。
- 解析:先计算2m=2×(-4)=-8,因为-8是负数,所以| 2m|=-2m=-2×(-4)=8。
三、含有多层绝对值的题型7. 已知a=-2,求|| a| - 1|的值。
- 解析:首先| a|=| - 2|=2,然后|| a| - 1|=|2 - 1|=|1| = 1。
8. 若b = 1,求|| b|+2|的值。
- 解析:因为| b|=|1| = 1,所以|| b|+2|=|1 + 2|=|3| = 3。
四、含有字母表达式的题型9. 已知a、b满足a=-b,且b≠0,求| a|+| b|的值。
- 解析:因为a=-b,所以| a|=| - b|=| b|。
则| a|+| b|=| b|+| b| = 2| b|。
10. 若x、y满足x<0,y>0且| x|=| y|,求| x + y|的值。
- 解析:因为x<0,y>0且| x|=| y|,设x=-m,则y = m(m>0)。
那么x + y=-m+m = 0,所以| x + y| = 0。
七年级化简求值题50道一、整式化简求值题(30道)1. 化简求值:公式,其中公式,公式。
- 解析:- 先化简式子:- 根据完全平方公式公式,可得公式。
- 根据平方差公式公式,可得公式。
- 则原式公式。
- 再代入求值:- 当公式,公式时,公式。
2. 化简求值:公式,其中公式,公式。
- 解析:- 先化简式子:- 根据平方差公式公式。
- 根据完全平方公式公式。
- 则原式公式。
- 再代入求值:- 当公式,公式时,公式。
3. 化简求值:公式,其中公式,公式。
- 解析:- 先化简式子:- 去括号得:公式。
- 再代入求值:- 当公式,公式时,公式。
4. 化简求值:公式,其中公式,公式。
- 解析:- 先化简式子:- 去括号得:公式。
- 再代入求值:- 当公式,公式时,公式。
5. 化简求值:公式,其中公式,公式。
- 解析:- 先化简式子:- 根据完全平方公式展开得:公式。
- 再代入求值:- 当公式,公式时,公式。
6. 化简求值:公式,其中公式。
- 解析:- 先化简式子:- 根据完全平方公式公式。
- 根据平方差公式公式。
- 根据单项式乘多项式公式。
- 则原式公式。
- 再代入求值:- 当公式时,公式。
7. 化简求值:公式,其中公式,公式。
- 解析:- 先化简式子:- 去括号得:公式。
- 再代入求值:。
8. 化简求值:公式,其中公式,公式。
- 解析:- 先化简式子:- 去括号得:公式。
- 再代入求值:- 当公式,公式时,公式。
9. 化简求值:公式,其中公式,公式。
- 解析:- 先化简式子:- 去括号得:公式。
- 再代入求值:。
10. 化简求值:公式,其中公式,公式。
- 解析:- 先化简式子:- 根据平方差公式公式,这里公式,公式,则原式公式。
- 再代入求值:- 当公式,公式时,公式。
11. 化简求值:公式,其中公式,公式。
- 解析:- 先化简式子:- 根据平方差公式公式。
- 根据完全平方公式公式。
- 则原式公式。
1、化简,求值: 111(11222+---÷-+-m m m m m m ), 其中m =3.2. 化简:xx x x x x x x x 416)44122(2222+-÷+----+, 其中22+=x3. 先化简,再求值:13x -·32269122x x x xx x x-+----,其中x =-6.4. 先化简,再求值:222112()2442x x x x x x -÷--+-, 其中2x =(tan45°-cos30°)5. 先化简再求值:1112421222-÷+--•+-a a a a a a ,其中a 满足20a a -=.6. 先化简:144)113(2++-÷+-+a a a a a ,并从0,1-,2中选一个合适的数作为a 的值代入求值。
7. 先化简,再把 x 取一个你最喜欢的数代入求值:2)22444(22-÷+-++--x x x x x x x8. 先化简:(错误!未找到引用源。
)÷错误!未找到引用源。
.再从1,2,3中选一个你认为合适的数作为a 的值代入求值.9. 先化简,再求值,(错误!未找到引用源。
+错误!未找到引用源。
)÷错误!未找到引用源。
,其中x=2.10. 先化简,再求值:错误!未找到引用源。
,其中x=2,y=﹣1.11. 化简求值错误!未找到引用源。
,其中错误!未找到引用源。
.12. 先化简,再求值:错误!未找到引用源。
,其中a=错误!未找到引用源。
.13.先化简,再求值:,其中x 是不等式3x+7>1的负整数解.14、先化简,再求值:1221214322+-+÷⎪⎭⎫⎝⎛---+x x x x x x ,其中x 是不等式组⎩⎨⎧<+>+15204x x 的整数解。
15. 先化简,再求值:,其中,a ,b 满足。
16.先化简,再求值:(x 2+4x -4)÷ x 2-4x 2+2x,其中x=-117.先化简,然后从﹣2≤x ≤2的范围内选择一个合适的整数作为x 的值代入求值.18.先化简,再求值:,其中是方程的根.19.已知a=,求代数式的值20.,其中x 满足方程x 2﹣x ﹣2=0.21. 先化简,再求值:aa a a a a 4)4822(222-÷-+-+,其中a 满足方程0142=++a a .22. 11454)1221(22----÷----+x x x x x x x x ,其中x 满足07222=--x x .23. 先化简,再求值:,其中满足.24. 先化简,再求值:2319()369x x x x x x x +---÷--+,其中x 是不等式173>+x 的负整数解.25. 先化简,再求值:22222÷142x x x x x x --⎛⎫-+ ⎪-+⎝⎭,其中x 为方程()213(1)x x -=-的解.26. 先化简,再求值: 12413123+--÷⎪⎭⎫ ⎝⎛--+x x x x x x ,其中2=x27. 先化简,再求值:212311x x x x -⎛⎫--÷ ⎪--⎝⎭,其中x 满足分式方程34322x xx +⎧⎪⎨-⎪⎩≤<的整数解。
初三30道化简求值带答案1、(3X+2Y)+(4X+3Y)其中X=5,Y=3解:原式=3X+2Y+4X+3Y=7X+5Y当X=5,Y=3时原式=5*7+(-3)*5=202、(5a²-3b²)+(a²+b²)-(5a²+3b²),其中a=-1,b=1=5a²-3b²+a²+b²-5a²-3b²=a²-5b²=(-1) ²-5*1²=1-5=-43、2 (3a- ab) -3 (2a ² - ab),其中 a= - 2,b=3. 原式=6a ²- 2ab - 6a ²+3ab=ab,当a=-2,b=3时,原式=ab= - 2×3=-6.4、9x+6x ² -3(x-2/3x ²).其中x=-29x+6x² -3(x-2/3x²)=9x+6x²-3x+2x²=8x²+6x=8×(-2)²+6×(-2)=32-12=205、a²-ab+2b²=3 求2ab-2a²-4b²-7的值解:2ab-2a²-4b²-7=2(ab-a²-2b²)-7=-2(a²-ab+2b²)-7=(-2)*3-7=-6-7=-136、1/4(-4x²+2x-8)-(1/2x-1),其中x=1/21/4(-4x²+2x-8)-(1/2x-1)=-x²+1/2x-2-1/2x+1=-x²-1=-(1/2)²-1=-1/4-1=-5/47、2(a²b+ab²)-2(a²b-1)-2ab²-2其中a=-2,b=2=2a²b+2ab²-2a²b+2-2ab²-2=08、6a²b - ( - 3a²b+5ab²) -2 (5a²b - 3ab²),其中a= - 2,b=1/2原式=6a²b+3a²b - 5ab² - 10a²b+6ab²= - ab+ab²把a= - 2, b=1/2代入上式得:原式= (-2)²*1/2+(-2)*1/2²=-5/29、3x²y² - [5xy² - (4xy² - 3)+2x²y²],其中x=- 3,y=2原式=3x²y² - 5xy²+4xy² - 3- 2x²y²=x²y²- xy²- 3当x=- 3,y=2时,原式=4510、2x-3(2x-x)+(2y-y),其中x=1,y=2解;原式=2x-3x+y当x=1,y=2时原式=2*1-3*1+2=2-3+2=111、5ab²+3a²b - 3 (a²b - ab²),其中a=2,b= - 1原式=5ab²+3a²b - 3a²b+2ab²=7ab²当a=2,b=- 1时,原式=7×2×( -1)2=1412、2a-(3a-2b+2)+(3a-4b-1),其中a=5 b=-3=2a-3a+2b-2+3a-4b-1=(2-3+3)a+(2-4)b+(-2-1)=2a-2b-3=10-(-6)-3=10+6-3=1313、5-(1-x)-1-(x-1)-2x+(-5y),其中x=2,y=2x=4-2x-5y=4-4-20=-2014、2x-(x+3y)-(-x-y)-(x-y),其中x=3,y=-3=2x-x+3y+x+y-x+y=x+5y=3-15=-1215、-ab+3ba-(-2ab),其中a=2,b=1=-ab+3ba+2ab=2ab+2ab=4ab=4*2*1=816、-m-[-(2m-3n)]+[-(-3m)-4n],其中m=2,n=1 =-m-(-2m+3n)+3m-4n=-m-4m+2m-3n+3m=-3n=-3*1=-317、2(2a+2ab)-2(2ab-1)-2ab-2,其中a=-2 b=2 =4a+4ab-4ab+2-2ab-2=4a-2ab=4*(-2)-2*(-2)*2=-8-(-8)=-8+8=018、3ab-4ab+8ab-7ab+ab,其中a=-2,b=3=-8ab+9ab=ab=-2*3=-619、2x²- y²+ (2y² - x²) - 3 (x²+2y²),其中 x=3,y= - 2原式=2x² - y²+2y² - x² - 3x² - 6y²= - 2x²- 5y²当x=3,y=-2时,原式=– 18- 20= - 3820、5x²- [x² +(5x²- 2x) - 2 (X²- 3x)],其中x=1.原式=5x² - (x²+5x²- 2x - 2x²+6x) =x ² - 4x当x=1/2时,原式=7/421、( 6a²- 6ab - 12b²) - 3 (2a²- 4b²),其中 a=-1/2, b=- 8. 原式=6a² - 6ab - 12b² - 6a²+12b3²= - 6ab,当a=-1/2, b=-8时,原式=-6x( -1/2) ×( -8) =- 24 22、x²y - (2xy - x²y)+xy,其中x=- 1,y= - 2.原式=x²y - 2xy+x²y+xy=2x²y - xy,当x= - 1,y=-2时,原式=2*( - 1) ²* ( -2) - ( -1) *( - 2) = - 623、当|a|=3,b=a -2时,化简代数式1- {a - b - [a - (b - a)+b]}后,再求这个代数式的值.原式=1+a+b;当a=3时,b=1,代数式的值为5;当a=-3时,b=- 5,代数式的值为–724、- 2(ab - 3a²) - [a²- 5 (ab - a²) +6ab],其中 a=2,b=- 3原式= -2ab+6a² - (a² - 5ab+5a² +6ab) = - 2ab+6a² - a² +5ab - 5a² - 6ab= - 3ab;当a=2,b=-3时,原式=–3×2×( -3) =1825、( a² - 3ab - 2b²) - (a² - 2b²),其中a= - 1/2. b= - 8原式=a²- 3ab - 2b² - a²+2b²= - 3ab,当a=-1/2 ,b=-8时,原式= -3×( -1/2) ×( -8)= - 1226、8mn - [4m²n - ( 6mn² +mn) ] - 29mn²,其中 m= - 1,n=1/2原式=8mn - [4m²n - 6mn²- mn] - 29mn²=8mn - 4m²n+6mn²+mn - 29mn²=9mn - 4m²n - 23mn²当m=- l,n=1/2时,原式=9× ( - 1)×1/2-4×1²×1/2- 23x ( - 1)×1/4=-9/2-2+23/4=-3/427、(3X+2Y)+(4X+3Y)其中X=5,Y+3原式=3X+2Y+4X+3Y=7X+5Y当X=5,Y=3时原式=5*7+(-3)*5+20=35-15+20=4028、2x-3(2x-x)+(2y-y),其中x=1,y=2解;原式=2x-3x+y当x=1,y=2时原式=2*1-3*1+2=2-3+2=129、2a-(3a-2b+2)+(3a-4b-1),其中a=5 b=-3 =2a-3a+2b-2+3a-4b-1=(2-3+3)a+(2-4)b+(-2-1)=2a-2b-3=10-(-6)-3=10+6-3=1330、2x-(x+3y)-(-x-y)-(x-y),其中x=3,y=-3=2x-x+3y+x+y-x+y=x+5y=3-15=-12。
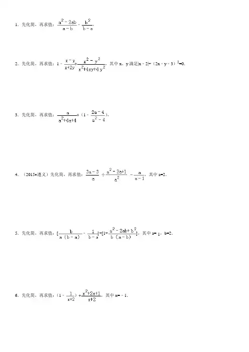
1.先化简,再求值:﹣,2.先化简,再求值:1﹣÷,其中x、y满足|x﹣2|+(2x﹣y﹣3)2=0.3.先化简,再求值:÷(1﹣),4.(2015•遵义)先化简,再求值:,其中a=2.5.先化简,再求值:[﹣]+[1+],其中a=-1,b=2.6.先化简,再求值:(1﹣)÷,其中x=﹣1.7.化简求值:÷(﹣a),其中a=﹣2.8.先化简,再求值:(x﹣2+)÷,其中x=(π﹣2015)0+()﹣1.9.先化简,再求值:÷﹣,其中x=﹣1.10.(2015•广州)已知A=﹣(1)化简A;(2)当x满足不等式组,且x为整数时,求A的值.11.÷,12.化简求值:[﹣]•,其中x=-1.13.先化简,再求值:(1﹣)÷,其中x=-1.14.先化简÷(a﹣2+),然后从﹣2,﹣1,1,2四个数中选择一个合适的数作为a的值代入求值.15.(2015•阜新)先化简,再求值:(a﹣)÷,其中a=+1.16.(2015•朝阳)先化简,再求值:(1+),其中a=﹣3.17.先化简,再求值:,其中x=﹣1.18 先化简,再求值:(1﹣)÷,从﹣1,2,3中选择一个适当的数作为x值代入.19.先化简,再求值:﹣,其中a=1.20.先化简,再求值:(﹣)•,其中x=4.21 先化简,再求值:(+)÷,其中a满足a2﹣4a﹣1=0.22.(2015•黑龙江)先化简,再求值:(1﹣)÷,其中x=-123.先化简,再求值:﹣,其中a=﹣1.24.先化简,再求值:(﹣)÷,其中x=9.25.先化简•(m﹣n)26.先化简(+)×,然后选择一个你喜欢的数代入求值.27.先化简,再求值:(﹣)÷,其中x=3.28.先化简,再求值:[﹣]÷,请选取一个适当的x的数值代入求值.29.解分式方程:+=1.30.解方程:.31.(2015•河南)÷(﹣),32.先化简,再求值:÷,33.先化简,再求值:(+)•,其中a=﹣.34.先化简,再求值:÷﹣,其中m=﹣3.35.(2015•安顺)先化简,再求值:÷(x﹣2+),其中x=﹣1.36.先化简,再求值:÷(a﹣),其中a=2,b=2.37.先化简,再求值:•,其中a=5.38.(2015•齐齐哈尔)÷(+1)39.(2015•烟台)先化简:÷(﹣),再从﹣2<x<3的范围内选取一个你最喜欢的值代入,求值.40.(2015•邵阳)先化简(﹣)•,再从0,1,2中选一个合适的x的值代入求值.41.先化简,再求值:(1+)÷,其中a=4.42.(2015•日照)(+1)43.(2015•资阳)先化简,再求值:(﹣)÷,其中x满足2x﹣6=0.44.先化简,再求值:(1﹣),其中x=3.45.先化简:(+1)++,然后从﹣2≤x≤2的范围内选取一个合适的整数作为x的值代入求值.46.(+)÷,其中a=-1,b=﹣.47.先化简:﹣,再选取一个适当的m的值代入求值.48.先化简,再求值:•+,其中x是从﹣1、0、1、2中选取的一个合适的数.49.先化简,再求值:÷(﹣1),其中x=2.50.(2015•哈尔滨(﹣)÷51.(+)÷52.先化简,再求值:•﹣,其中a=1,b=1.53.先化简,再求值:()÷,其中x=﹣254.先化简,再求值:(1﹣)÷,其中x=-2.55.先化简(1+)÷,再从1,2,3三个数中选一个合适的数作为x的值,代入求值.56.(2015•衢州)先化简,再求值:(x2﹣9)÷,其中x=﹣1.57.先化简,再求值:(+)÷,其中a=﹣1.58.先化简:(﹣)÷,然后解答下列问题:(1)当x=3时,求原代数式的值;(2)原代数式的值能等于﹣1吗?为什么?59.(2015•张家界).60.(2015•锦州)先化简,再求值:(1+)÷,其中:x=﹣3.62.化简:(a ﹣)÷= .63.63先化简,再求值:,其中.64先化简,再求值:2241222x x x x x⎛⎫-⨯ ⎪--+⎝⎭,其中14x =.65先化简,再求值:11212222--÷+++-+x x x x x x x ,其中4=x .66先化简,再求值:,其中.67求代数式的值:22224242x x x x x x --⎛⎫÷-- ⎪-+⎝⎭,其中22x =+.68先化简,再求值:-4-2x x +24-4+4x x ÷-2xx ,其中x =1211122x x x -⎛⎫-÷⎪++⎝⎭2x =2211()22x y x y x x y x+--++23x y ==,69先化简,再求值:()2111211x x x ⎛⎫+÷-- ⎪--⎝⎭,其中x =70先化简、再求值:6)225(423-=---÷--a a a a a ,其中。
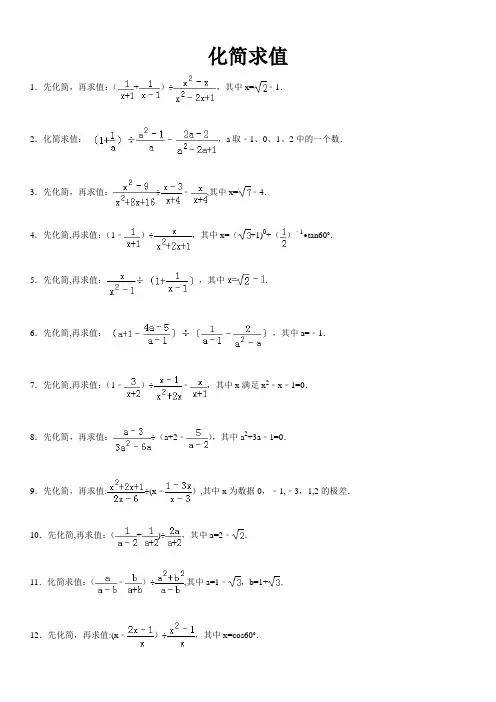
化简求值专练1.先化简,再求值(﹣1)÷,然后选一个你喜欢的的数代入求值.2.先化简,再求值:,其中x请从不等式组的解集中选取一个合适的值代入.3.先化简,再求值:(1﹣)÷,其中x的值从不等式组中的整数解中选取.4.化简求值:,其中x=.5.先化简(1﹣)÷,再从0,2,﹣1,1中选择一个合适的数代入并求值.6.先化简,再求值:(+)÷,其中x=2﹣1.7.先化简,再求值:(+)÷,其中a=.8.先化简,再求值:(+)÷,其中x=3.9.已知:(x﹣+1)(x﹣2)=0,求的值.10.先化简,再求值:÷x,其中x=3.11.先化简,再选择一个恰当的数m值代入并求值.12.先化简,再从3,1,﹣1,0中选择合适的数代入求值.13.先化简,再求值:,其中x=+1.14.先化简,再求代数式()2•﹣÷的值,a=﹣1,b=2.15.先化简,再求值:,其中x=﹣3.16.先化简,再求值:,其中m=﹣1.17.先化简,再求值;(1)(﹣),其中a=2﹣(2)先化简,再求值:,其中x=﹣1 18.化简并求值:,其中m=.19.先化简,再求值:÷(),其中x=2.20.先化简,再求值:,其中x为满足1≤x<4的整数.21.先化简(﹣)+,然后x从﹣5,﹣1,0,5中选一个你喜欢的数代入求值.22.先化简再求值:÷(1﹣),其中x=﹣2.23.先化简再求值:,其中.24.先化简,再求值:(1﹣)÷,其中a=2+2.25.先化简,再求值:﹣,其中a=﹣2.26.先化简,再求值:(x+2+)÷,其中x=27.先化简,再求值:(x+1﹣),其中x的值从不等式组的整数解中选取.28.先化简,再求值:,其中x是从0,1,3,5中选取的一个合适的数.29.先化简,再求值:(﹣),其中x=﹣1.30.先化简,再求值:÷﹣,其中x=﹣2.。
化简求值1.先化简,再求值:(+)÷,其中x=﹣1.2.化简求值:,a取﹣1、0、1、2中的一个数.3.先化简,再求值:÷﹣,其中x=﹣4.4.先化简,再求值:(1﹣)÷,其中x=(+1)0+()﹣1•tan60°.5.先化简,再求值:,其中.6.先化简,再求值:,其中a=﹣1.7.先化简,再求值:(1﹣)÷﹣,其中x满足x2﹣x﹣1=0.8.先化简,再求值:÷(a+2﹣),其中a2+3a﹣1=0.9.先化简,再求值:÷(x﹣),其中x为数据0,﹣1,﹣3,1,2的极差.10.先化简,再求值:(+)÷,其中a=2﹣.11.化简求值:(﹣)÷,其中a=1﹣,b=1+.12.先化简,再求值:(x﹣)÷,其中x=cos60°.13.先化简,再求值:(﹣)÷,其中x=﹣1.14.先化简,再求值:(x+1﹣)÷,其中x=2.15.先化简,再求值:(﹣)÷,其中a2+a﹣2=0.16.先化简÷(1﹣),再从不等式2x﹣3<7的正整数解中选一个使原式有意义的数代入求值.17.先化简,再求值:÷(﹣)+,其中x的值为方程2x=5x﹣1的解.18.先化简:(x﹣)÷,再任选一个你喜欢的数x代入求值.19.先化简,再求值:÷(2+),其中x=﹣1.20.先化简,再求值:(﹣),其中x=2.21.先化简,再求值:(1﹣)÷,其中a=.22.先化简,再求值:(﹣1)÷,其中a=+1,b=﹣1.23.先化简代数式(﹣)÷,再从0,1,2三个数中选择适当的数作为a的值代入求值.24.先化简,再求值:(x﹣1﹣)÷,其中x是方程﹣=0的解.25.先简化,再求值:(﹣)+,其中a=+1.26.先化简,后计算:(1﹣)÷(x ﹣),其中x=+3.27.先化简,再求值:(1﹣)÷,其中x=3.28.先化简,再求值:(﹣)÷,其中x=()﹣1﹣(π﹣1)0+.29.先化简,再求值:()÷,其中a,b 满足+|b ﹣|=0.30.先化简,再求值:(﹣)÷,在﹣2,0,1,2四个数中选一个合适的代入求值.31。
化简求值经典练习五十题一.选择题(共 1 小题)1.(2013 秋?包河区期末)已知a﹣b=5,c+d=2,则(b+c)﹣(a﹣d)的值是()A.﹣3 B.3 C.﹣7 D.7二.解答题(共49 小题)2.(2017 秋?庐阳区校级期中)先化简,再求值:(1)化简:(2x2﹣+3 x)﹣4(x﹣x2+ )(2)化简:(3)先化简再求值: 5(3a2b﹣ab2)﹣2(ab2+3a2b),其中a= ,b= .3.(2017 秋?包河区校级期中)先化简,再求值2x2y﹣2(xy2+2x2y)+2(x2y﹣3xy2),其中x=﹣,y=24.(2017 秋?瑶海区期中)先化简,再求值:3a2b﹣[ 2a2b﹣(2ab﹣a2b)﹣4a2] ﹣ab2,其中a=﹣1,b=﹣2..5.(2017 秋?巢湖市期中)先化简,再求值:﹣3[ y﹣(3x2﹣3xy)] ﹣[ y+2(4x2﹣4xy)] ,其中 x=﹣3,y= .5.(2017 秋?柳州期中)先化简,再求值:2xy﹣(4xy﹣8x2y2)+2(3xy﹣5x2y2),其中x= ,y=﹣3.6.(2017 秋?蜀山区校级期中)先化简,再求值:,其中 a=﹣1,b= .7.(2017 秋?安徽期中)先化简,再求值:2﹣[ 7x﹣(4x﹣2x2)] ;其中 x=﹣2. 3x8.(2015 秋?淮安期末)先化简下式,再求值:5(3a2b﹣ab2)﹣4(﹣ab2+3a2b),其中a=﹣2,b=3.*** ..2+| y﹣| =0,求5x2y﹣[ 2x2y﹣(xy2﹣2x2y)﹣9.(2015 秋?南雄市期末)已知(x+2)2 的值. 4] ﹣2xy3+4x﹣(x+3x2+2x3),其中 x=﹣1. 10.(2015 秋?庐阳区期末)先化简,再求值:2x11.(2015 秋?淮北期末)先化简,再求值:(3x2y﹣xy2)﹣3(x2y﹣2xy2),其中,.12.(2015 秋?包河区期末)先化简,再求值:2﹣[ a2﹣(2a+4a2)+2(a2﹣2a)] ,其中 a=﹣3. 2a13.(2014 秋?成县期末)化简求值:若(x+2)2+| y﹣1| =0,求 4xy﹣(2x2+5xy﹣y2)+2(x2+3xy)的值.。
七年级上册数学计算题化简求值一、整式化简求值类(1 - 10题)1. 先化简,再求值:(2x^2-3xy + 4y^2)-3(x^2-xy+(5)/(3)y^2),其中x = -2,y = 1。
- 解析:- 首先对原式进行化简:- 展开式子得:2x^2-3xy + 4y^2-3x^2+3xy - 5y^2。
- 合并同类项:(2x^2-3x^2)+(-3xy + 3xy)+(4y^2-5y^2)=-x^2-y^2。
- 然后将x = -2,y = 1代入化简后的式子:- 当x=-2,y = 1时,-x^2-y^2=-(-2)^2-1^2=-4 - 1=-5。
2. 化简求值:3a+( - 8a + 2)-(3 - 4a),其中a=(1)/(2)。
- 解析:- 化简式子:- 去括号得:3a-8a + 2-3 + 4a。
- 合并同类项:(3a-8a+4a)+(2 - 3)=-a-1。
- 当a=(1)/(2)时,代入得:-a - 1=-(1)/(2)-1=-(3)/(2)。
3. 先化简,再求值:(5a^2+2a - 1)-4(3 - 8a + 2a^2),其中a=-1。
- 解析:- 化简过程:- 去括号:5a^2+2a-1 - 12 + 32a-8a^2。
- 合并同类项:(5a^2-8a^2)+(2a + 32a)+(-1-12)=-3a^2+34a-13。
- 当a = -1时:- 代入得:-3×(-1)^2+34×(-1)-13=-3-34 - 13=-50。
4. 化简求值:2(x^2y+xy)-3(x^2y - xy)-4x^2y,其中x = 1,y=-1。
- 解析:- 化简式子:- 展开式子得:2x^2y+2xy-3x^2y + 3xy-4x^2y。
- 合并同类项:(2x^2y-3x^2y-4x^2y)+(2xy + 3xy)=-5x^2y+5xy。
- 当x = 1,y=-1时:- 代入得:-5×1^2×(-1)+5×1×(-1)=5 - 5 = 0。
20个化简求值带答案初二1.已知:x+y=1,xy=-1/2,利用因式分解求:x(x+y)(x-y)-(x+y)的平方的值.x(x+y)(x-y)-x(x+y)^2=x(x+y)(x-y-x-y)=x(x+y)(-2y)=-2xy(x+y)=-2*[-1/2]*1=12.已知:a+b+c=11 求2a^2+2b^2+2c^2+4ab+4ac+4bc的值2a^2+2b^2+2c^2+4ab+4ac+4bc=2(a+b+c)^2=2*11^2=2423.(2000三次方-2*2001二次方-1999)/2001三次方+2001二次方-2002设2001为x.则[(x-1)^3-2x^2-x+2]/x^3+x^2-x-14.1.2x的平方-7xy-22y的平方(注:X^2代表X的平方)2x^2-7xy-22y^2=(2x-11y)(x+2y);5.1999x的平方-(1999的平方-1)-19991999x^2-(1999^2-1)x-1999=1999x^2-1999^2x+x-1999=1999x(x-1999)+(x-1999)=(x-1999)(1999x+1)6.(x+3)(x的平方-1)(x+5)-20(X+3)(X+1)(X-1)(X+5)-20(X^2+4X+3)(X^2+4X-5)-20(X^2+4X)^2-2(X^2+4X)-35(X^2+4X+5)(X^2+4X-7)7.已知三角形ABC的三遍长分别为abc试利用分解因式说明式子b的平方-a的平方+2ac-c的平方b^2-a^2+2ac-c^2=b^2-(a-c)^2=(b+a-c)(b-a+c)(平方差公式)因为a,b,c是三角形三边,根据两边之和大于第三边,所以上式是正数.8.求方程6xy+4x-9y-7=o 的整数解6xy+4x-9y-7=06xy-9y+4x-6-1=03y(2x-3)+2(2x-3)=1(3y+2)(2x-3)=1当3y+2=0时,无整数解,因为此时y不是整数;当3y+2≠0时,2x-3=1/(3y+2)接下来分情况讨论:当y为小于-1的整数时(即从-2开始),那么3y+22,也就是说1/(3y+2)此时也不可能为整数,那么解出的x也不可能为整数,此时也无整数解.当y=-1时,3y+2=-1,那么1/(3y+2)=-1,即2x-3=-1,则x=1,所以整数解为(1,-1)。
化简供值典范训练五十题之阳早格格创做一.采用题(共1小题)1.(2013秋•包河区期终)已知a﹣b=5,c+d=2,则(b+c)﹣(a﹣d)的值是()A.﹣3B.3C.﹣7D.7二.解问题(共49小题)2.(2017秋•庐阳区校级期中)先化简,再供值:(1)化简:(2x2﹣+3x)﹣4(x﹣x2+)(2)化简:(3)先化简再供值:5(3a2b﹣ab2)﹣2(ab2+3a2b),其中a=,b=.3.(2017秋•包河区校级期中)先化简,再供值2x2y﹣2(xy2+2x2y)+2(x2y﹣3xy2),其中x=﹣,y=24.(2017秋•瑶海区期中)先化简,再供值:3a2b﹣[2a2b﹣(2ab ﹣a2b)﹣4a2]﹣ab2,其中a=﹣1,b=﹣2.5.(2017秋•巢湖市期中)先化简,再供值:﹣3[y﹣(3x2﹣3xy)]﹣[y+2(4x2﹣4xy)],其中x=﹣3,y=.5.(2017秋•柳州期中)先化简,再供值:2xy﹣(4xy﹣8x2y2)+2(3xy﹣5x2y2),其中x=,y=﹣3.6.(2017秋•蜀山区校级期中)先化简,再供值:,其中a=﹣1,b=.7.(2017秋•安徽期中)先化简,再供值:3x2﹣[7x﹣(4x﹣2x2)];其中x=﹣2.8.(2015秋•淮安期终)先化简下式,再供值:5(3a2b﹣ab2)﹣4(﹣ab2+3a2b),其中a=﹣2,b=3.9.(2015秋•北雄市期终)已知(x+2)2+|y﹣|=0,供5x2y﹣[2x2y﹣(xy2﹣2x2y)﹣4]﹣2xy2的值.10.(2015秋•庐阳区期终)先化简,再供值:2x3+4x﹣(x+3x2+2x3),其中x=﹣1.11.(2015秋•淮北期终)先化简,再供值:(3x2y﹣xy2)﹣3(x2y﹣2xy2),其中,.12.(2015秋•包河区期终)先化简,再供值:2a2﹣[a2﹣(2a+4a2)+2(a2﹣2a)],其中a=﹣3.13.(2014秋•成县期终)化简供值:若(x+2)2+|y﹣1|=0,供4xy﹣(2x2+5xy﹣y2)+2(x2+3xy)的值.14.(2014秋•合肥期终)先化简,再供值:3a2b+(﹣2ab2+a2b)﹣2(a2b+2ab2),其中a=﹣2,b=﹣1.16.(2015秋•包河区期中)先化简,再供值:x﹣2(x﹣y2)+(﹣x+y2),其中x=﹣2,y=﹣2.17.(2015秋•包河区期中)明白取思索:正在某次做业中有那样的一讲题:“如果代数式5a+3b的值为﹣4,那么代数式2(a+b)+4(2a+b)的值是几?”小明是那样去解的:本式=2a+2b+8a+4b=10a+6b把式子5a+3b=﹣4二边共乘以2,得10a+6b=﹣8.仿照小明的解题要领,完毕底下的问题:(1)如果a2+a=0,则a2+a+2015=.(2)已知a﹣b=﹣3,供3(a﹣b)﹣5a+5b+5的值.(3)已知a2+2ab=﹣2,ab﹣b2=﹣4,供2a2+ab+b2的值.18.(2013秋•蜀山区校级期终)先化简,再供值(4x3﹣x2+5)+(5x2﹣x3﹣4),其中x=﹣2.19.(2013秋•寿县期终)先化简,再供值:2(3x3﹣2x+x2)﹣6(1+x+x3)﹣2(x+x2),其中x=.20.(2013秋•包河区期终)先化简,再供值:﹣ab2+(3ab2﹣a2b)﹣2(ab2﹣a2b),其中a=﹣,b=﹣9.21.(2014秋•合肥校级期中)先化简供值:2(x2y+xy)﹣3(x2y﹣xy)﹣4x2y,其中x=,y=﹣1.22.(2014秋•包河区期中)先化简,再供值:﹣(x2+5x﹣4)+2(5x﹣4+2x2),其中,x=﹣2.23.(2012秋•包河区期终)先化简,后供值:(3x2y﹣xy2)﹣3(x2y﹣2xy2),其中x=﹣1,y=﹣2.24.(2012秋•蜀山区期终)若a=|b﹣1|,b是最大的背整数,化简并供代数式3a﹣[b﹣2(b﹣a)+2a]的值.25.(2012秋•靖江市期终)化简供值6x2﹣[3xy2﹣2(2xy2﹣3)+7x2],其中x=4,y=﹣.26.(2013秋•包河区期中)先化简,再供值:(2a+5﹣3a2)+(2a2﹣5a)﹣2(3﹣2a),其中a=﹣2.27.(2011秋•瑶海区期终)化简并供值:3(x2﹣2xy)﹣[(﹣xy+y2)+(x2﹣2y2)],其中x,y的值睹数轴表示:28.(2012秋•泸县期中)先化简,再供值(1)5a2﹣|a2﹣(2a﹣5a2)﹣2(a2•3a)|,其中a=4;(2)﹣2﹣(2a﹣3b+1)﹣(3a+2b),其中a=﹣3,b=﹣2.28.(2010•梧州)先化简,再供值:(﹣x2+5x+4)+(5x﹣4+2x2),其中x=﹣2.30.(2010秋•少歉县校级期中)化简估计:(1)3a2﹣2a﹣a2+5a(2)(3)若单项式取﹣2x m y3是共类项,化简供值:(m+3n﹣3mn)﹣2(﹣2m﹣n+mn)31.(2010秋•包河区期中)先化简,后供值:(3x2y﹣xy2)﹣3(x2y﹣xy2),其中:,y=﹣3.32.(2008秋•牡丹江期终)先化简,再供值:5x2﹣[x2+(5x2﹣2x)﹣2(x2﹣3x)],其中x=.33.(2007秋•淮北期中)先化简,再供值3a+abc﹣c2﹣3a+c2﹣c,其中a=﹣,b=2,c=﹣3.33.(2017秋•歉台区期终)先化简,再供值:5x2y+[7xy﹣2(3xy﹣2x2y)﹣xy],其中x=﹣1,y=﹣.34.(2017秋•惠山区期终)先化简,再供值:5(3a2b﹣ab2)﹣4(﹣ab2+3a2b),其中a=﹣1,b=﹣2.35.(2017秋•翁牛特旗期终)先化简再供值:2(ab﹣a+b)﹣(3b+ab),其中2a+b=﹣5.36.(2017秋•利辛县期终)先化简,再供值:4(3x2y﹣xy2)﹣2(xy2+3x2y),其中x=,y=﹣137.(2017秋•鄞州区期终)先化简,再供值:2(a2﹣ab)﹣3(a2﹣ab﹣1),其中a=﹣2,b=338.(2017秋•埇桥区期终)先化简,再供值:2(x2y﹣y2)﹣(3x2y﹣2y2),其中x=﹣5,y=﹣.39.(2017秋•北仄期终)先化简,再供值:(5x+y)﹣(3x+4y),其中x=,y=.40.(2016秋•武安市期终)供2x﹣[2(x+4)﹣3(x+2y)]﹣2y 的值,其中.41.(2016秋•崇安区期终)先化简,再供值:(8mn﹣3m2)﹣5mn﹣2(3mn﹣2m2),其中m=2,n=﹣.43.(2017秋•广饶县校级期中)先化简,再供值:(1)2y2﹣6y﹣3y2+5y,其中y=﹣1.(2)8a2b+2(2a2b﹣3ab2)﹣3(4a2b﹣ab2),其中a=2,b=3.44.(2017秋•邗江区校级期中)有那样一讲题:“估计(2x4﹣4x3y﹣2x2y2)﹣(x4﹣2x2y2+y3)+(﹣x4+4x3y﹣y3)的值,其中x=,y=﹣1.甲共教把“x=”错抄成“x=﹣”,但是他估计的截止也是精确的,您能证明那是为什么吗?45.(2016秋•资中县期终)先化简,再供值:2(x2﹣xy)﹣(3x2﹣6xy),其中x=2,y=﹣1.46.(2017秋•雁塔区校级期中)先化简,再供值:(1)3(a2﹣ab)﹣(a2+3ab2﹣3ab)+6ab2,其中a=﹣1,b=2.(2)4x2﹣3(x2+2xy﹣y+2)+(﹣x2+6xy﹣y),其中x=2013,y=﹣1.46.(2017秋•黄冈期中)若代数式(2x2+ax﹣y+6)﹣(2bx2﹣3x+5y﹣1)的值取字母x的值无闭,供代数式a2﹣2b+4ab的值.47.(2017秋•岑溪市期中)先化简下式,再供值,2(3a2b+ab2)﹣6(a2b+a)﹣2ab2﹣3b,其中a=,b=3.49.(2017秋•蚌埠期中)先化简再供值:供5xy2﹣[2x2y﹣(2x2y ﹣3xy2)]的值.(其中x,y二数正在数轴上对于应的面如图所示).50.(2017秋•夏邑县期中)如图,一只蚂蚁从面A沿数轴背左爬止2个单位少度到达面B,面A表示的数n为﹣,设面B所表示的数为m.(1)供m的值;(2)对于﹣2(mn﹣3m2)﹣[m2﹣5(mn﹣m2)+2mn]化简,再供值.参照问案取试题剖析一.采用题(共1小题)1.解:∵a﹣b=5,c+d=2,∴本式=b+c﹣a+d=﹣(a﹣b)+(c+d)=﹣5+2=﹣3,故选:A.二.解问题(共49小题)2.解:(1)本式=2x2﹣+3x﹣4x+4x2﹣2=6x2﹣x﹣;(2)本式=x﹣2x+y2+x﹣y2=y2;(3)本式=15a2b﹣5ab2﹣2ab2﹣6a2b=9a2b﹣7ab2,当a=﹣,b=时,本式=+=.3.解:当x=﹣,y=2时,本式=2x2y﹣2xy2﹣4x2y+2x2y﹣6y2=﹣2xy2﹣6y2=﹣2×(﹣)×4﹣6×4=2﹣24=﹣224.解:本式=3a2b﹣2a2b+2ab﹣a2b+4a2﹣ab2=4a2+2ab﹣ab2当a=﹣1,b=﹣2时,本式=4+4+4=12.5.解:本式=﹣3y+9x2﹣9xy﹣y﹣8x2+8xy=x2﹣xy﹣4y当x=﹣3,y=时,本式=9+1﹣=6.解:2xy﹣(4xy﹣8x2y2)+2(3xy﹣5x2y2)=2xy﹣2xy+4x2y2+6xy﹣10x2y2=6xy﹣6x2y2,当x=,y=﹣3时,本式=﹣6﹣6=﹣12.7.解:本式=2a2﹣ab+2a2﹣8ab﹣ab=4a2﹣9ab,当a=﹣1,b=时,本式=4+3=7.8.解:本式=3x2﹣(7x﹣4x+2x2)=3x2﹣7x+4x﹣2x2=x2﹣3x当x=﹣2时,本式=(﹣2)2﹣3×(﹣2)=4﹣(﹣6)=10.9.解:5(3a2b﹣ab2)﹣4(﹣ab2+3a2b),=15a2b﹣5ab2+4ab2﹣12a2b=3a2b﹣ab2,当a=﹣2,b=3时,本式=3×(﹣2)2×3﹣(﹣2)×32=36+18=54.10.解:∵(x+2)2+|y﹣|=0,∴x=﹣2,y=,则本式=5x2y﹣2x2y+xy2﹣2x2y+4﹣2xy2=x2y﹣xy2+4=2++4=6.11.解:本式=2x3+4x﹣x﹣3x2﹣2x3=3x﹣3x2,当x=﹣1时,本式=﹣3﹣3=﹣6.12.解:本式=3x2y﹣xy2﹣3x2y+6xy2=5xy2,当,.13.解:本式=2a2﹣a2+2a+4a2﹣2a2+4a=3a2+6a,当a=﹣3时,本式=27﹣18=9.14.解:∵(x+2)2+|y﹣1|=0,∴x+2=0,y﹣1=0,即x=﹣2,y=1,则本式=4xy﹣2x2﹣5xy+y2+2x2+6xy=y2+5xy,当x=﹣2,y=1时,本式=1﹣10=﹣9.15.解:本式=3a2b﹣2ab2+a2b﹣2a2b﹣4ab2=2a2b﹣6ab2,当a=﹣2,b=﹣1时,本式=2×4×(﹣1)﹣6×(﹣2)×1=4.16.解:本式=x﹣2x+y2﹣x+y2=﹣x+y2,当x=﹣2,y=﹣2时,本式=.17.解:(1)∵a2+a=0,∴本式=2015;故问案为:2015;(2)本式=3a﹣3b﹣5a+5b+5=﹣2(a﹣b)+5,当a﹣b=﹣3时,本式=6+5=11;(3)本式=(4a2+7ab+b2)=[4(a2+2ab)﹣(ab﹣b2)],当a2+2ab=﹣2,ab﹣b2=﹣4时,本式=×(﹣8+4)=﹣2.18.解:本式=4x3﹣x2+5+5x2﹣x3﹣4=3x3+4x2+1,当x=﹣2时,本式=﹣24+16+1=﹣7.19.解:本式=6x3﹣4x+2x2﹣6﹣6x﹣6x3﹣2x﹣2x2=﹣12x﹣6,当x=﹣,本式=﹣12×(﹣)﹣6=10﹣6=4;20.解:本式=﹣ab2+3ab2﹣a2b﹣2ab2+2a2b=a2b,当a=﹣,b=﹣9时,本式=×(﹣9)=﹣4.21.解:本式=2x2y+2xy﹣3x2y+3xy﹣4x2y=﹣5x2y+5xy,当x=,y=﹣1时,本式=﹣=﹣.22.解:本式=﹣x2﹣5x+4+10x﹣8+4x2=3x2+5x﹣4,当x=﹣2时,本式=12﹣10﹣4=﹣2.23.解:本式=(3x2y﹣xy2)﹣3(x2y﹣2xy2)=3x2y﹣xy2﹣3x2y+6xy2=5xy2,当x=﹣1,y=﹣2时,本式=5xy2=5×(﹣1)×(﹣2)2=﹣20.24.解:∵最大的背整数为﹣1,∴b=﹣1,∴a=|﹣1﹣1|=2,本式=3a﹣b+2b﹣2a﹣2a=b﹣a,当a=2,b=﹣1时,本式=﹣1﹣2=﹣3.25.解:6x2﹣[3xy2﹣2(2xy2﹣3)+7x2],=6x2﹣3xy2+4xy2﹣6﹣7x2,=﹣x2+xy2﹣6;当x=4,y=时,本式=﹣42+4×﹣6=﹣21.26.解:本式=2a+5﹣3a2+2a2﹣5a﹣6+4a=﹣a2+a﹣1,将a=﹣2代进,本式=﹣(﹣2)2+(﹣2)﹣1=﹣7.27.解:本式=3x2﹣6xy+xy+y2﹣x2+2y2=2x2﹣xy+y2,根据数轴上面的位子得:x=2,y=﹣1,则本式=8+11+1=20.28.解:(1)5a2﹣|a2﹣(2a﹣5a2)﹣2(a2•3a)|,=5a2﹣|a2﹣2a+5a2﹣6a3|,=5a2﹣|6a2﹣2a﹣6a3|,=5a2﹣6a2+2a+6a3,=﹣a2+2a+6a3把a=4代进得:﹣16+8+384=376;(2)﹣2﹣(2a﹣3b+1)﹣(3a+2b),=﹣2﹣2a+3b﹣1﹣3a﹣2b,=﹣5a+b﹣3把a=﹣3,b=﹣2.代进得:﹣5×(﹣3)+(﹣2)﹣3=10.29.解:本式=(﹣x2+5x+4)+(5x﹣4+2x2)=﹣x2+5x+4+5x﹣4+2x2=x2+10x=x(x+10).∵x=﹣2,∴本式=﹣16.30.解:(1)3a2﹣2a﹣a2+5a,=(3﹣1)a2+(5﹣2)a,=2a2+3a;(2)(﹣8x2+2x﹣4)﹣(x﹣1),=﹣2x2+x﹣1﹣x+,=﹣2x2﹣;(3)∵单项式取﹣2x m y3是共类项,∴m=2,n=3,(m+3n﹣3mn)﹣2(﹣2m﹣n+mn)=m+3n﹣3mn+4m+2n﹣2mn=(1+4)m+(﹣3﹣2)mn+(3+2)n=5m﹣5mn+5n,当m=2,n=3时,本式=5×2﹣5×2×3+5×3=10﹣30+15=﹣5.31.解:(3x2y﹣xy2)﹣3(x2y﹣xy2),=3x2y﹣xy2﹣3x2y+3xy2,=2xy2;当x=,y=﹣3时,本式=2xy2=2××(﹣3)2=9.32.解:本式=5x2﹣(x2+5x2﹣2x﹣2x2+6x)=x2﹣4x当x=时,上式=33.解:本式=3a﹣3a+abc﹣c2+c2﹣c=abc﹣c,当a=﹣,b=2,c=﹣3时本式=abc﹣c=﹣×2×(﹣3)﹣(﹣3)=1+3=4.34.解:本式=5x2y+7xy﹣6xy+4x2y﹣xy=9x2y,当x=﹣1,y=﹣时,本式=﹣6.35.解:本式=15a2b﹣5ab2+4ab2﹣12a2b=3a2b﹣ab2,当a=﹣1,b=﹣2时本式=﹣6+4=﹣2.36.解:本式=ab﹣2a+2b﹣3b﹣ab=﹣2a﹣b=﹣(2a+b),当2a+b=﹣5时,本式=5.37.解:本式=12x2y﹣4xy2﹣2xy2﹣6x2y=6x2y﹣6xy2,当 x=,y=﹣1 时,本式=6×()2×(﹣1)﹣6××(﹣1)2=﹣﹣3=﹣4.38.解:本式=2a2﹣2ab﹣2a2+3ab+3=ab+3,当a=﹣2,b=3时,本式=﹣6+3=﹣3.39.解:本式=2x2y﹣2y2﹣3x2y+2y2=﹣x2y,当x=﹣5,y=﹣时,本式=.40.解:本式=5x+y﹣3x﹣4y=2x﹣3y,当x=,y=时,本式=2×﹣3×=1﹣2=﹣1.41.解:本式=2x﹣2x﹣8+3x+6y﹣2y=3x+4y﹣8,当x=,y=时,本式=1+2﹣8=﹣5.42.解:本式=8mn﹣3m2﹣5mn﹣6mn+4m2=m2﹣3mn,当m=2,n=﹣时,本式=4+2=6.43.解:(1)本式=﹣y2﹣y,当y=﹣1时,本式=﹣1+1=0;(2)本式=8a2b+4a2b﹣6ab2﹣12a2b+3ab2=﹣3ab2,当a=2,b=3时,本式=﹣54.44.解:本式=2x4﹣4x3y﹣2x2y2﹣x4+2x2y2﹣y3﹣x4+4x3y﹣y3=﹣2y3,当y=﹣1时,本式=2.故“x=”错抄成“x=﹣”,但是他估计的截止也是精确的.45.解:本式=2x2﹣2xy﹣3x2+6xy=﹣x2+4xy,当x=2,y=﹣1时,本式=﹣4﹣8=﹣12.46.解:(1)本式=3a2﹣3ab﹣a2﹣3ab2+3ab+6ab2=2a2+3ab2,当a=﹣1,b=2时,本式=2﹣12=﹣10;(2)本式=4x2﹣3x2﹣6xy+3y﹣6﹣x2+6xy﹣y=2y﹣6,当y=﹣1时,本式=﹣2﹣6=﹣8.47.解:本式=2x2+ax﹣y+6﹣2bx2+3x﹣5y+1=(2﹣2b)x2+(a+3)x﹣6y+7,∵代数式的值取x的值无闭,∴2﹣2b=0,a+3=0,解得:a=﹣3,b=1,将a=﹣3,b=1代进得:本式=4.5﹣2﹣12=﹣9.5.48.解:本式=6a2b+2ab2﹣6a2b﹣6a﹣2ab2﹣3b=﹣6a﹣3b,当a=,b=3时,本式=﹣6×﹣3×3=﹣12.49.解:本式=5xy2﹣[2x2y﹣2x2y+3xy2]=5xy2﹣2x2y+2x2y﹣3xy2=2xy2,当x=2,y=﹣1时,本式=4.50.解:(1)m=﹣+2=;(2)﹣2(mn﹣3m2)﹣[m2﹣5(mn﹣m2)+2mn]=﹣2mn+6m2﹣m2+5mn﹣5m2﹣2mn=mn.当m=,n=﹣时,本式=×(﹣)=﹣.。